Конструкция выходного вала редуктора
Техническое задание
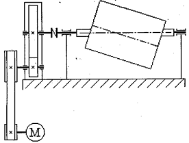
Рассчитать и спроектировать узел выходного вала
редуктора привода галтовочного барабана для снятия заусенцев после штамповки по
схеме, показанной на рисунке и данным, приведенным в таблице согласно варианту.
Привод не реверсивный. Нагрузка близка к
постоянной. Ресурс работы редуктора 25000 час.
Введение
Привод состоит из электродвигателя, ременной
передачи, редуктора и муфты. Вращение от электродвигателя через ременную
передачу и редуктор передается галтовочному барабану.
Данный привод обеспечивает согласование частоты
вращения электродвигателя и ведущего вала галтовочного барабана. Редуктор и
ременная передача дают выигрыш во вращательном моменте и уменьшают частоту
вращения.
В курсовом проекте рассчитывается и
разрабатывается конструкция выходного вала редуктора.
1.
Кинематический расчет привода
Требуемая мощность привода от галтовочного
барабана, кВт
где Тг.б. - вращающий момент на
барабане, Н×м;
nг.б.
- частота вращения барабана, об/мин.
Коэффициент полезного действия привода [1,2]
h = hрем×h3пк×ηм·ηзп
= 0,96· 0,993 · 0,97· 0,98 = 0,9,
где ηрем
= 0,96; - кпд ременной передачи,
ηпк
= 0,99; - кпд пары подшипников качения,
ηм
= 0.97; - кпд муфты;
ηзп
= 0,98; -кпд зубчатой передачи.
Требуемая мощность электродвигателя, кВт
Ртр = Рг.б./η
= 2,68/0,9 = 2,97.
По таблице 18.36 [1] принимаем электродвигатель
серии 4А марки 90L2/2840, имеющий мощность Рэл = 3,0 кВт и частоту
вращения nэл = 2840 об/мин.
Передаточное отношение привода
= iрем·iред
= nэл/nг.б.
= 2840/160 = 17,75.
Принимаем передаточное отношение редуктора iред
= 3,5, тогда
iрем = i/iред
=17,55/3,5 = 5.
Дальнейший расчет ведем по мощности, развиваемой
электродвигателем.
Вращающий момент, развиваемый электродвигателем
Тэл = 9550·Рэл /nэл
=9550·3/2840 = 10,1 Н·м.
Момент на выходном конце вала редуктора, Н·м
Т = Тэл iрем·iред×h2пк×ηм·ηзп
=10,1·5·3,5·0,98·0,97·0,992 = 164,67.
Момент на зубчатом колесе ведомого вала, Н·м
Т2 = Тэл·iрем·iред×hпк×ηм·ηзп
= 10,1·5·3,5·0,98·0,97·0,99 = 166,34.
. Выбор материала,
термической обработки, определение допускаемых контактных напряжений и
напряжений изгиба
По таблице 2.1 [1] принимаем для шестерни сталь
45, средней твердостью 270НВ, термическая обработка - улучшение. Для зубчатого
колеса принимаем сталь 40, средней твердостью 200НВ, термическая обработка -
улучшение.
По техническому заданию режим работы привода -
постоянный, поэтому коэффициенты долговечности КHL
при расчете по контактным напряжениям и КFL
при расчете по изгибу принимаем равными единице.
По таблице 2.2 [1] определяем допускаемые
контактные напряжения и допускаемые напряжения изгиба:
1,8·270 + 67 = 553
МПа;
1,8·200 + 67 = 427
МПа;
. Расчет зубчатой
передачи
Проектный расчет
где
=
43 - коэффициент для косозубой передачи,
- коэффициент
концентрации нагрузки, при скорости V<15
м/с и Н<350НВ
зубья прирабатываются, поэтому КНb=1,0
(стр.15[2]);
fва - коэффициент
ширины венца, принято fва=0,37
при симметричном расположении колес относительно опор (стр.15[2]).
По таблице 19.1[2] принимаем стандартное
значение межосевого расстояния
=125мм.
Модуль передачи
m = (0,01…0,02)
=
(0,01…0,02)125 = 1,25…2,5мм.
Принимаем стандартное значение модуля из первого
ряда m=2мм (стр.16[2]).
Суммарное число зубьев передачи
zS
=2
/m=2·125/2=125.
Числа зубьев z1 шестерни и z2 колеса
z1 = zS/(u+1)
= 125/(3,5+1) = 28;2 = zS
- z1 = 125 - 28 = 97.
Фактическое передаточное число
ф
= z2/ z1 = 97/28 = 3,5.
Отклонение от требуемого значения
что лежит в допускаемом пределе.
Фактическое межосевое расстояние
.
Основные геометрические параметры шестерни и
колеса:
·
делительные
диаметры
- диаметры окружностей вершин
·
диаметры
окружностей впадин

Проверочный расчет
Расчетные контактные напряжения
= 452,37 МПа,
где
коэффициент
распределения нагрузки между зубьями,
для косозубой передачи
- коэффициент
динамической нагрузки, для косозубой передачи при твердости ≤350НВ КНV=1,2
(стр.20 [2]);
КНb
- коэффициент концентрации нагрузки, принимаем по таблице 2.3 [1] в зависимости
от fd
= b2/d1
= 47/56 = 0,8 и симметричном расположении колес твердостью ≤350НВ.
Проверка зубьев по напряжениям изгиба.
Расчетное напряжение изгиба в зубьях шестерни и
колеса:
sF2=KFa·Yb·KFb·KFV·YF2·Ft/(b2·m)=0,9·1·1·1,2·3,61·1714,84/(47·2)=
71,13МПа;
sF1=
sF2·
YF1/
YF2
= 71,13·3,88/3,61 = 76,45МПа,
где KFa
= 0,9; Yb
= 1 - для косозубых передач;
KFb
= 1 при V<м/с
и Н<350НВ
(стр.19 [2]);
YF1=3,88
и YF2=3,61-
коэффициенты формы зуба по таблице 2.5 [2]
Условия прочности по контактным напряжениям sН≤
[s]Н
и по напряжениям изгиба sF≤
[s]F
выполняются, значит спроектированная передача будет работоспособна.
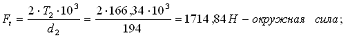
Определим усилия в зацеплении:
Ft
= 1714,84 H - окружная сила;
Fr
= Ft·tg20º
= 1714,84×0,364 = 624,2H
- радиальная сила;
FM
= 125∙11,92 = 1489,81Н - консольная нагрузка от муфты.
. Расчет тихоходного
вала
Проектный расчет
Диаметр выходного конца вала при расчете по
пониженным допускаемым напряжениям
По таблице 7.1 [1] принимаем стандартное
окончание вала по ГОСТ 1208-66: d=28мм и длину консольной части вала L=42мм.
По таблице 7.2 [1] принимаем высоту буртика
t>2f =2·2 = 4мм.
Получаем диаметр под манжету и подшипник dп
= d+4f = 28+4·2 = 36мм. Принимаем стандартное значение dп=dманж=32мм.
Диаметр вала под ступицей колеса принимаем dст=36мм.
Линейные размеры вала получаем при
конструировании узла выходного вала.
Проверочный расчет
Рассчитываем выходной вал под ступицей колеса и
в месте установки подшипника в опоре В.
Расчетная схема вала представлена на рисунке 1.
Реакции опор:
вертикальная плоскость YOZ
ΣMA=0;
- RВу·(a+b)
+ Fr·a
= 0;
ΣMB=0; RAy·(a+b)
- Fr·b = 0;
·
горизонтальная плоскость
XOZ
ΣMA=0;
Ft·a - RBх·(a+b)
+ FM·(a+b+c) = 0;
ΣMB=0; RAx·(a+b)
- Ft·b + FM·с
= 0;
Суммарное значение реакций опор
Изгибающие моменты:
вертикальная плоскость
ΣMA=0;
MD= RAy·a =315,82·41,5 = 13106,53H·мм;
- горизонтальная плоскость
ΣMA=0;
MD= RAx·a = 267,46·41,5 = 11099,59H·мм;
MB=
FM·с =1489,81·64
=95347,84Н·мм.
Суммарные значения изгибающих моментов
МВ = 95347,84 Н·мм.
Проверяем запас прочности в сечении, проходящем
через точку D, где действуют изгибающий момент МD
= 17175,04 Н·мм и вращающий момент Т =166,34 Н·м = 166340Н∙мм.
Концентрация напряжений обусловлена наличием
шпоночного паза.
Принимаем для вала сталь 35 твердостью 163…192НВ
с пределами выносливости s-1=235Мпа
и τ-1=110МПа.
Амплитудные напряжения в опасном сечении
sa=sи=МD/W=18989,6/0,1d3=17175,04/0,1·363=3,68МПа;
τa=0,5τK=T/2WK=T/2·0,2d3=166340/2·0,2·363=8,91МПа,
где W=0,1d3
- осевой момент сопротивления сечения;
WK=0,2d3
- полярный момент сопротивления сечения.
Пределы выносливости (s-1)D
и
(τ-1)D
вала в рассматриваемом сечении
(s-1)D
= s-1/(Кs)D
= 235/1,88 = 124,78МПа;
(τ-1)D
= τ-1/(Кτ)D
= 110/1,4 = 77,6МПа.
В этих формулах значения эффективных
коэффициентов концентрации приняты по таблицам 7.15 и 7.16 [1]; значение KF
коэффициента влияния шероховатости принято по таблице 7.11 [1]; значение KV
коэффициента влияния поверхностного упрочнения принято по таблице 7.12 [1].
Запас прочности в сечении В
где Ss
и Sτ
- коэффициенты запаса прочности по нормальным и касательным напряжениям,
определяемые по формулам [2]:

Проверяем запас прочности вала в сечении,
проходящем через точку В, где установлен подшипник.
Концентрация напряжений здесь обусловлена
напресовкой на вал подшипника. В сечении действуют изгибающий момент МВ=95347,84МПа
и вращающий момент Т=142050МПа. Диаметр вала под подшипником dП=30мм.
Амплитудные напряжения цикла:
sa
= М/W = М/0,1d3
= 95347,84/0,1·323 = 29,1МПа;
τa
= T/2WK
= 142050/2·0,2·323 = 10,84МПа.
Пределы выносливости вала
(s-1)D
= s-1/(Ks)D
= 235/1,13 = 206,87МПа;
(τ-1)D
= τ-1/(Ks)D
= 110/1,2 = 90,75МПа,
где коэффициенты концентрации напряжений
(Кs)D
=
(Кτ)D
=
Запас прочности сечения
где коэффициенты запаса прочности по нормальным
и касательным напряжениям определяем по формулам:
Таким образом, прочность вала в опасном сечении
обеспечена.
5.
Подбор подшипников качения выходного вала на заданный ресурс
привод редуктор подшипник вал
По таблице 18.28 [1] принимаем предварительно
подшипники №306, которые имеют соответственно динамическую и статическую грузоподъемности
Сr=22кН
и Сr=15,1кН.
Расчет ведем по наиболее нагруженной опоре В.
Эквивалентная нагрузка
РrB=
V·FVB·Кб·КТ=
1·3351,17∙1·1=3351,17 Н,
где V - коэффициент вращения, при вращающемся
внутреннем кольце V=1; Кб=1 -
коэффициент безопасности, учитывающий характер нагрузки по таблице 6.3 [1];
КТ=1
- температурный коэффициент при t < 100ºС.
Долговечность принятого подшипника
где n
= n2
= 190об/мин; - частота вращения вала, на котором установлен подшипник; m=3;
- показатель степени для шарикоподшипников.
Так как расчетная долговечность больше требуемой
по техническому заданию, то подшипник пригоден для работы.
. Расчет шпоночных
соединений тихоходного вала
На консольном участке вала устанавливаем шпонку
со скругленными торцами bхh
= 8x7 мм.
Определяем необходимую (расчетную) длину шпонки,
приняв допускаемые напряжения смятия [σ]СМ=135МПа:
Длина шпонки l
= lp
+ b =26+8=34мм,
принимаем стандартную длину l=36мм. По таблице 18.19 [1] принимаем в
зависимости от диаметра вала сечение шпонки bхh
= 10х8мм.
Определяем расчетную длину шпонки при
допускаемом напряжении [σ]СМ=135МПа:
Длина шпонки l=lр + b
= 13,7 + 10 = 23,7 мм.
По таблице 18.19 [1] принимаем стандартную длину
шпонки l=28мм.
. Выбор смазочных
материалов
По таблице 8.1 [1] для контактных напряжений 600
МПа и окружной скорости меньше 2 м/с требуется вязкость масла 34·10-6м2/с.
Такую вязкость имеет индустриальное масло И-30А.
Список литературы
1. Решетов
Д.Н. Детали машин. - М.: Машиностроение, 1974.- 656 с.
2. Кудрявцев
В.Н. Детали машин. - Л.: Машиностроение, 1980. - 464 с.
3. Устюгов
И.И. Детали машин. - М.: Высшая школа, 1981. - 399 с.
4. Ковалев
Н.А. Прикладная механика. - М.: Высшая школа, 1982. - 400 с.
5. Иосилевич
Г.Б. и др. Прикладная механика. - М.: Машиностроение, 1985. - 576 с.
6. Куклин Н.Г., Куклина Г.С.
Детали машин. - М.: Высшая школа, 1987. - 383 с.
7. Чернавский С.А.
и др. Курсовое проектирование деталей машин. - М.: Машиностроение, 1988. - 416
с.
8. Дунаев И.Ф., Леликов О.П.
Детали машин. Курсовое проектирование. - М.: Высшая школа, 1990. - 399 с.
9. Шейнблит А.Е.
Курсовое проектирование деталей машин. - М.: Высшая школа, 1991. - 432 с.
10. Степин П.А.
Сопротивление материалов. - М.: Высшая школа, 1979. - 312 с.
. Методические указания с заданиями
к курсовому проекту по деталям машин для студентов не машиностроительных
специальностей. - Уфа, изд.БГУ, 2003 - 36 с. Составители: Райский В.В.,
Калимгулов А.Р.
. Зубчатые и червячные передачи.
Расчеты на прочность. Методические указания к курсовым и дипломным проектам. -
Уфа, изд. БашГУ, 2005 - 40 с.