Теоретические основы расчётов банковскими платежными карточками

  • Вид работы:
    Курсовая работа (т)
  • Предмет:
    Банковское дело
  • Язык:
    Русский
    ,
    Формат файла:
    MS Word
    2,63 Мб
  • Опубликовано:
    2014-01-04
Вы можете узнать стоимость помощи в написании студенческой работы.
Помощь в написании работы, которую точно примут!

Теоретические основы расчётов банковскими платежными карточками

Содержание

 

Введение

1. Теоретические основы расчётов банковскими платежными карточками

1.1 Сущность, история возникновения банковских платежных карточек и их преимущества

1.2 Виды пластиковых карт

2. Развитие расчетов с использованием банковских платежных карточек в Республике Беларусь

3. Перспективы развития расчётов с использованием банковских платежных карточек в Республике Беларусь

Заключение

Список использованных источников

Приложения

Введение

В условиях роста платёжного оборота и вызванного им увеличения трудовых и временных затрат остро встала проблема создания принципиально нового механизма денежных расчётов, обеспечивающего ускорение оборачиваемости денежных средств и снижение издержек обращения. Поэтому сегодня Республика Беларусь находится на этапе активного построения рынка банковских пластиковых карточек.

Банковская пластиковая карточка - универсальный платежный инструмент, являющийся ключом доступа к управлению банковским счетом и позволяющий своему владельцу оплачивать товары и услуги в различных торговых и сервисных предприятиях, принимающих карточки, получать наличные деньги, а также пользоваться иными дополнительными услугами и определёнными преимуществами.

Банковские пластиковые карточки - это не только атрибут современной банковской культуры, но и эффективный инструмент реализации денежно-кредитной политики государства. Они обеспечивают дополнительное привлечение средств населения в банки, увеличение потенциальных инвестиционных средств, расширение форм и увеличение масштабов кредитования, обслуживание потребительских сделок в безналичной форме в торговле, ускорение денежного оборота, учёт и контроль движения средств.

Актуальность данной темы заключается, прежде всего, в том, что широкое использование карт при расчётах способствует росту налогооблагаемой базы, уменьшению роли теневой экономики, решению проблемы современной выплаты заработной платы, снижению социальной напряжённости, стимуляции сбережений, укреплению оборотных средств предприятий, обеспечению снижения уровня их дебиторской задолженности, смягчению проблемы неплатежей. Финансовый эффект расчётов на основе пластиковых карточек достигается за счёт постоянного роста остатков средств населения на карт-счетах, которые увеличивают ресурсы банковской системы.

Внедрение в крупных масштабах расчётов с помощью банковских пластиковых карт приводит к изменениям макроэкономических показателей. Снижение спроса и затрат на наличные деньги снижает потребность в дополнительной денежной эмиссии, сокращает степень риска инфляции. Всё это способствует обеспечению устойчивости национальной денежной единицы и экономической стабильности государства в целом.

Цель данного исследования - изучение системы расчётов с использованием пластиковых карточек, выявление проблемы внедрения пластиковых карт в Республике Беларусь, установление путей совершенствования организации безналичных расчётов для держателей пластиковых карточек.

Предметом исследования - расчёты с использованием банковских пластиковых карточек.

Объектом исследования являются особенности расчётов с использованием пластиковых карточек в Республике Беларусь.

Задачами являются:

рассмотрение понятия и видов пластиковых карточек;

изучение происхождения пластиковых карт и их преимущества;

проведение анализа развития и функционирования рынка банковских пластиковых карт;

определение современного состояние рынка банковских пластиковых карточек;

установление путей совершенствования организации безналичных расчётов на основе банковских пластиковых карточек.

1. Теоретические основы расчётов банковскими платежными карточками


1.1 Сущность, история возникновения банковских платежных карточек и их преимущества


В настоящее время пластиковые карты прочно вошли в жизнь большинства людей на Земле. Многие уже воспринимают пластиковую карту как неотъемлемый атрибут похода в магазин, разговора по таксофону или мобильному телефону, как пропуск на работу и т.п.

Пластиковая карточка - это платежный инструмент, посредством которого ее держатели могут осуществлять безналичные расчеты за товары, работы и услуги или получать наличные денежные средства [1, с 36]. Пластиковая карточка является только средством доступа к денежным средствам на счете держателя, за счет которых он осуществляет вышеуказанные операции (исключение - карточки электронных денег). На ней содержится определенная информация, с помощью которой, а также индивидуального кода (ПИН-кода) и происходит доступ держателя к денежным средствам на своем счете.

Также пластиковая карточка является средством проведения платежей, а не самим средством платежа. Другими словами, карточка не заменяет сами деньги (законные платежные средства), а также не подменяет и не дублирует такую функцию денег, как средство платежа. Она является лишь инструментом, посредством которого деньги выполняют данную функцию и карточка не является денежным суррогатом [5, с.185].

Как уже было отмечено выше, на карточке содержится только определенная информация о счете, а не денежные средства. Сама по себе она не имеет никакой стоимости (за исключением стоимости пластика).

Первое теоретическое упоминание об использовании карт как платежного средства появилось в Англии и относится к концу XIX в. Идею кредитных карт выдвинул Джеймс Беллами в книге "Глядя назад" (1880). На практике пионерами в этой области оказались США. Первая кредитная карта была выпущена в 1914 г. фирмой General Petroleum Corporation Of California. Карты использовались для оплаты при торговле нефтепродуктами. В этом качестве они быстро завоевали популярность. Владелец карты получал значительные удобства в обслуживании и скидки при покупке товара. Фирма-эмитент получала постоянных клиентов и стабильные доходы.

С увеличением числа пользователей встал вопрос об учете и регистрации продаж по каждой эмитированной карте, что вызвало к жизни процесс эмбоссирования карт (теснение номера карты, данных клиента, срока действия карты). Эмбоссирование, появившись в 1928 г., практически без изменений сохранилось до наших дней и широко используется, в том числе и на смарт-картах. Первые карты с эмбоссированием изготавливались из металла, но затем они были вытеснены пластиковыми картами, так как последние оказались более практичными.

Эти карты еще не были платежным средством. Это были так называемые "клубные" карты, которые подтверждали принадлежность пользователя к той или иной системе учреждений сферы обслуживания. Карты имели строго ограниченное распространение как по видам услуг, так и географически. Использование "клубных" карт широко распространено и в настоящее время.

Однако в этот период широкого развития карты не получили из-за кредитных ограничений, введенных федеральным правительством США в период Великой депрессии в 1929 г., а затем из-за последовавшей за депрессией Второй мировой войны. Но уже после войны наблюдается резкий скачок в их эмиссии, и в настоящее время в мире используется свыше несколько миллиардов платежных карт.

Первые карты, являющиеся полноценным платежным средством, были выпущены небанковскими гигантами: Diners Club (1950), American Express и Hilton Credit (1959).

Первая банковская карта была выпущена в 1951 г. нью-йоркским банком Long Island, и с тех пор началось бурное развитие этого вида услуг. Первая универсальная карта большого банка Bank of America прошла испытания в г. Фреско, штат Калифорния, в 1956 г. С 1966 г. Bank of America начал продажу лицензии на использование карточной технологии другим банкам.

В ответ на это несколько крупных банков - конкурентов Bank of America (14нью-йоркских банков) учредили свою Межбанковскую карточную ассоциацию - Interbank Card Association (ICA), а в 1969 г. эта ассоциация купила права на карты Master Charge, выпускавшиеся карточной ассоциацией банков западных штатов (четыре калифорнийских банка), а большинство банков - членов ICA перешли на выпуск Master Charge.

Параллельно с развитием американского рынка пластиковых карт развивался и европейский. Компания Diners Club (1951) выдала первую лицензию на использование своего имени и схемы в Великобритании. Примерно в это же время Британская ассоциация отелей и ресторанов начала выпускать универсальную, но небанковскую карту.

В 1991 г. компания EuroCard заключила соглашения с компаниями Cirrus и Maestro, что позволило расширить ассортимент предлагаемых клиентам услуг, а в конце 1992 г. произошло слияние EuroCard с платежной системой EuroCheck, и новая организация стала называться EuroPay International.

В 1961 г. была основана японская компания кредитных карт JCB, карточный продукт которой ориентирован на потребителей с высоким уровнем доходов. В настоящее время это единственная в Японии компания, чьи карты являются международными. Карты JCB отличаются от карт других международных платежных систем (Visa, EuroPay, MasterCard, American Express) ориентацией не столько на использование их в качестве средств платежа, сколько в качестве средств доступа к услугам в сфере туризма и развлечений.

В СССР карты American Express появились в 1974 г., в 1975 г. - Visa и EuroCard, в 1976 г. - JCB, которые выпускались зарубежными компаниями и банками. Первым советским эмитентом международных карт стал Внешэкономбанк, который выпустил в 1989 г. "золотые" карты EuroCard, а в 1991 г. собственную карту Visa выпустил коммерческий банк КредоБанк.

Основные привлекательные черты банковских пластиковых карточек для их владельцев следующие:

удобство пользования - владельцу карты не нужно иметь при себе крупных денежных сумм при посещении магазинов и предприятий сервиса, но в любой момент он может сделать крупную покупку, которую заранее не планирует. Эта возможность может быть реализована лишь при наличии широкой сети предприятий торговли и сервиса, принимающие карточки в оплату;

если карточка кредитная, то появляется возможность получения кредита, который может предоставляться автоматически без обращения в банк. Покупатель может погасить кредит в течение льготного периода без уплаты процентов или со сниженным процентом, либо может отсрочить уплату долга за пределы льготного периода.

не нужно заботиться о конвертации валюты. Это сделает банк, так, что клиент выигрывает на разнице между курсом обмена магазина и курсом банка;

на внесенные в банк средства (как правило, средний остаток, превышающий определенную сумму) банк начисляет проценты;

при утрате карточки нужно лишь немедленно сообщить об этом банку, чтобы все расчеты по ней были заблокированы Нашедший или укравший карту не сможет ею воспользоваться после совершения блокировки (от нескольких секунд до нескольких дней), за исключением некоторых редких случаев (подлимитные операции). Владельцу же будет перевыпущена его карта с сохранением всей суммы на момент блокировки, за минусом небольшой суммы за перевыпуск. Для некоторых типов карт предоставляется услуга экстренного получения наличных в случае утери карты во время нахождения за границей;

получение пользователем информации от банка в форме, позволяющей проверить каждую операцию и предъявить претензии в случае неправильного оформления сделок [11, с.8].

Для предприятий торговли и сервиса карточные расчеты имеют следующие преимущества:

не нужно заботиться о конвертации денег и инкассации выручки;

повышается престиж и рейтинг магазина;

привлечение новых покупателей и повышение за счет этого продаж;

возможность предоставления кредита без использования собственных средств и специальных систем учета;

повышается безопасность работы, так как чеки с подписями клиентов остаются в магазине и означают поступление денег на его счет, не представляют интереса для грабителей.

Человек с картой на руках более склонен совершить покупку, чем владелец наличных.

От внедрения пластиковых карточек банки рассчитывают получить следующие преимущества:

за операции с карточками банк, как правило, получает вознаграждение в виде комиссионных, клиент платит и за получение самой карточки;

увеличение привлеченных ресурсов;

снижение стоимости операций за счет уменьшения объема используемой наличности;

использование прогрессивной безбумажной технологии;

расширение сферы деятельности банка на новые регионы;

банковская платежная карта расчет

повышается конкурентный потенциал банка с учетом общемировой тенденции вытеснения из платежного оборота не только наличных денег, но и чеков, растет авторитет банка как участника инновационных процессов;

реклама банка на пластиковых карточках;

разгрузка центрального офиса банка от наплыва клиентов;

организация более быстрых и удобных для клиентов расчётов [2, с.52].

Таким образом, операции с пластиковыми карточками открыли новые перспективы обслуживания клиентов, расширили возможности получения банковской прибыли. Возникнув полстолетия назад, пластиковые карточки быстро стали важной и неотъемлемой частью безналичного оборота развитых стран. Организация безналичных расчетов с использованием разнообразных видов пластиковых карточек приносит различные выгоды всем участникам этой системы. Для держателей карточек это, прежде всего, уменьшение риска кражи или потери денег, очевидны преимущества для банков и торговой сферы. Интересы государства заключаются в снижении колоссальных затрат на инкассацию денежных средств, эмиссию и регенерацию банкнот и монет, в упрощении учета движения денежных средств и взимания налогов, в снижении криминогенной обстановки вокруг предприятий и лиц, работающих с наличностью. Внедрение безналичных расчетов с использованием пластиковых карточек в некоторой степени может помочь снизить темпы инфляции в стране, уменьшить роль теневой экономики, снизить социальную напряжённость в стране. Всё это способствует обеспечению устойчивости национальной денежной единицы и экономической стабильности государства в целом.

1.2 Виды пластиковых карт


В зависимости от осуществляемых операций при выпуске и обращении пластиковые карточки подразделяются на банковские и небанковские (торговые).

Небанковскими (торговыми) являются карточки, выпускаемые в обращение юридическими лицами для расчетов за товары (работы, услуги), которые принадлежат им на правах собственности. В Беларуси это карты "Белтелекома", метрополитена, Интернет-карты.

Небанковские карты могут использоваться в качестве:

средств идентификации для санкционированного доступа на предприятия, в учреждения, здания или отдельные помещения, авторизации доступа к информации, базам данных, шифрования передаваемой по сети информации, разграничения доступа к ресурсам ЭВМ;

носителей информации: медицинские, карты, паспорта граждан, технические паспорта на автомобили и сложную бытовую технику, водительские удостоверения, читательские билеты, студенческие книжки.

Банковские карточки предполагают, что при их выпуске и в процессе обращения будут осуществляться банковские операции: открытие счетов, расчетное и кассовое обслуживание участников расчетов, валютно-обменные и другие операции.

Банковская пластиковая карточка в Республике Беларусь является платежным инструментом, обеспечивающим доступ к банковскому счету и проведение безналичных платежей за товары и услуги, получение наличных денежных средств и осуществление иных операций в соответствии с законодательством Республики Беларусь.

В соответствии с Банковским кодексом Республики Беларусь выпуск банковских пластиковых карточек в обращение осуществляется банками-эмитентами. Операции с использованием банковских пластиковых карточек проводятся банками-эмитентами в пределах полномочий, предоставленных имеющимися у них лицензиями Национального банка Республики Беларусь и в соответствии с Инструкцией о порядке совершения операций с банковскими пластиковыми карточками <#"698300.files/image001.gif">

Рисунок 1 - Количество безналичных операций в операциях с использованием карточек, в %

Примечание - Источник: собственная разработка на основе данных таблицы А.1

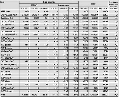
В настоящее время в Республике Беларусь банками выпускаются в обращение карточки внутренней платежной системы БЕЛКАРТ, международных платежных систем (далее - МПС) VISA и MasterСard. Кроме того, банками осуществляется эквайринг по операциям с использованием карточек указанных платежных систем и МПС American Express, UnionPay. По состоянию на 01.01.2013 эмиссию карточек в Республике Беларусь осуществляли 24 банка. На начало 2013 г. в Республике Беларусь общее количество выпущенных в обращение карточек составило 10 429 340 единиц. Для сравнения: на 01.01.2012 количество карточек составляло 9 863 341. За 2012 г. их количество увеличилось на 565 999 единиц (прирост 5,7%). При этом следует отметить, что увеличение карточек платежной системы БЕЛКАРТ составило 527 358 единиц, МПС - 38 643единицы. Так, на 01.01.2013 количество карточек платежной системы БЕЛКАРТ составило 4 909 045 (47% от общего количества карточек), карточек МПС - 5 520 295 (53% от общего количества карточек). Доля карточек БЕЛКАРТ и МПС на 01.01.2012 составляла 44 и 56% соответственно. Увеличение доли карточек БЕЛКАРТ связано в основном с переходом на использование карточек данной системы в рамках зарплатных проектов. Количество функционирующих счетов, к которым выданы карточки, на 01.01.2013 составило 10 152 459 единиц (прирост за 2012 г. - 13,4%). Самым крупным банком эмитентом в стране является ОАО "АСБ Беларусбанк”, на долю которого на 01.01.2013 приходится 46,8% всей эмиссии карточек. В пятерку лидеров по эмиссии карточек также входят ОАО "БПС-Сбербанк” (14,6% общего объема эмиссии), ОАО "Белагропромбанк" (11,8 %), ОАО Белинвестбанк" (7,8%), "Приорбанк" ОАО (6,5%) (Приложение Б).

На начало 2013 г. в Республике Беларусь функционировал 3701 банкомат (прирост за 2012 г. - 11,6%); 4221 платежносправочный терминал самообслуживания (далее - инфокиоск) (прирост - 3,7%), в том числе 879 инфокиосков, установленных за счет средств РУП "Белпочта”; 56 796 платежных терминалов (прирост - 39,4%) в 37 063 организациях торговли (сервиса) (далее - ОТС) (прирост - 44%) (Приложение В).

По всем показателям развития программно-технической инфраструктуры для использования карточек в 2012 г. обеспечено увеличение. Наибольший прирост наблюдается по показателям количества организаций торговли (сервиса) и установленных в них платежных терминалов, что способствует развитию безналичных расчетов с использованием карточек. Количество карточек на 1 платежный терминал в ОТС на 01.01.2013 составляло 184, количество карточек на 1 платежный терминал в целом (терминалы в ОТС, пунктах выдачи наличных (далее - ПВН), Белпочте, вне ОТС и вне ПВН) - 161. (Приложение Г, Д).

Данные свидетельствуют о достаточно равномерном распределении объектов программно-технической инфраструктуры в регионах. При этом сокращается разрыв между указанными показателями в областях и г. Минске, где изначально по всем позициям развития рынка карточек наблюдалось значительное опережение.

По результатам 2012 г. сохранилась положительная динамика доли безналичных операций в общем объеме операций в белорусских рублях, совершенных в инфраструктуре белорусских банков с использованием карточек. Так, на 01.01.2013 данный показатель составил 62,6% по количеству операций и 18,9% - по сумме (на 01.01.2012 данные показатели составляли 56,1 и 15,7% соответственно) (Приложение Е, Ж). Согласно приведенным данным количество операций в долларах США с использованием карточек БЕЛКАРТ, эмитированных в белорусских рублях, незначительно. К таким операциям, по информации банков, относятся операции, при осуществлении которых валюта счета клиента отлична от валюты операции (например, оплата на заправках, погашение валютного кредита). Следует отметить устойчивый прирост количества безналичных операций, совершаемых держателями карточек в течение года. Так, в 2011 г. данный показатель увеличился на 39% по сравнению с 2010 г., в 2012 г. - на 27% по сравнению с 2011 г., что обусловлено увеличением количества объектов программно-технической инфраструктуры, в которых возможно осуществление безналичных операций, а также расширением спектра банковских услуг, позволяющих осуществлять безналичные расчеты за товары (услуги).

Основные показатели развития системы безналичных расчетов с использованием карточек в разрезе областей (Приложение К). Приведенные данные свидетельствуют об отсутствии значительных различий по доле безналичных операций в разрезе областей, за исключением г. Минска, где данные показатели выше средних по Республике Беларусь. Средняя сумма одной безналичной операции с использованием карточек в 2012 г. в целом по республике составляет порядка 75 тыс. бел. руб.

Необходимо отметить активное использование карточек, выпущенных в обращение белорусскими банками, для осуществления безналичных расчетов за пределами Республики Беларусь. Так, доля безналичных операций, совершенных в 2012 г. за пределами Республики Беларусь посредством карточек, эмитированных белорусскими банками, составляет 89,9% от общего количества и 78,1% - от общей суммы операций (за 2011 г. данные показатели составляли 59,2 и 53,2% соответственно). Средняя сумма безналичной операции, осуществленной резидентами Республики Беларусь за пределами страны, составляет чуть более 530 тыс. бел. руб. Услуги процессинга по операциям с использованием карточек в 2012 г. предоставляли на территории Республики Беларусь ОАО "Банковский процессинговый центр”, процессинговые центры ОАО "Банк БелВЭБ” и "Приорбанк" ОАО. Указанные процессинговые центры осуществляли обработку операций с использованием карточек, эмитированных 20 банками страны в рамках МПС VISA, MasterCard, внутренней платежной системы БЕЛКАРТ. Услугами процессинговых центров - нерезидентов в 2012 г. Пользовались ОАО "Белгазпромбанк”, ЗАО "АКБ "БЕЛРОСБАНК”, ЗАО Банк ВТБ (Беларусь). В рамках развития транзитного потенциала Республики Беларусь, а также в связи с организацией на территории нашей страны ряда крупных международных мероприятий в области спорта Национальным банком, банками в 2012 г. уделялось внимание вопросу оснащения объектов придорожного сервиса платежными терминалами для осуществления безналичных расчетов с использованием карточек.

Согласно постановлению Совета Министров Республики Беларусь и Национального банка Республики Беларусь от 11.12.2012 № 1139/16, внесены изменения и дополнения в постановление Совета Министров Республики Беларусь и Национального банка Республики Беларусь от 06.07.2011 № 924/16 "Об использовании кассового оборудования, платежных терминалов, автоматических электронных аппаратов, торговых автоматов и о приеме наличных денежных средств, банковских платежных карточек в качестве средства осуществления расчетов на территории Республики Беларусь при продаже товаров, выполнении работ, оказании услуг, осуществлении деятельности в сфере игорного бизнеса, лотерейной деятельности, проведении электронных интерактивных игр”, обязывающие вновь открываемые организации торговли (сервиса), относящиеся к объектам придорожного сервиса и включенные в утвержденный данным постановлением перечень, устанавливать платежные терминалы для безналичной оплаты товаров (услуг).

При этом количество устанавливаемых платежных терминалов должно составлять в процентном отношении к количеству единиц кассового оборудования указанных объектов 100%. Вышеупомянутые нормы вступили в силу с 16.06.2013.

На 01.04.2013 количество выпущенных в обращение карточек достигло 10 717 050 единиц (прирост за I квартал 2013 г. - 2,8%), из них карточек внутренней платежной системы БЕЛКАРТ - 4 987 613 (47% от общего количества карточек), карточек МПС - 5 729 437 единиц, в том числе карточек VISA - 4 035 260 единиц (37% от общего количества карточек), MasterCard - 1 694 177 единиц (16% от общего количества карточек). Данные приведены на рисунке 2.

Рисунок 2 - Динамика безналичных расчетов с использованием банковских платежных карточек в Беларуси за I квартал 2013 г.

Примечание - Источник: собственная разработка на основе данных таблицы.

Количество функционирующих счетов, к которым выданы карточки, на 01.04.2013 составило 10 446 893. На 01.04.2013 в Республике Беларусь функционировали 3778 банкоматов (прирост за I квартал 2013 г. - 2,1%); 4236 инфокиосков (прирост за I квартал 2013 г. - 0,4%); 61 398 платежных терминалов (прирост за I квартал 2013 г. - 8,1 %) в 40 680 организациях торговли (сервиса) (прирост за I квартал 2013 г. - 9,8%). Доля безналичных операций в операциях с карточками достигла 68% по количеству и 22% по сумме (на 1 января 2013 г. - 62,6 и 18,9% соответственно). По данным Национального статистического комитета Республики Беларусь, за I квартал 2013 г. доля безналичного денежного оборота в розничном товарообороте составила 15,8% (на 1 января 2013 г. - 13,2%). В стране создана и развивается программно-техническая инфраструктура для проведения населением безналичных платежей. Эффективность функционирования данной инфраструктуры зависит от заинтересованности населения в ее использовании. Для этого Национальным банком, банками и иными организациями проводится работа по популяризации безналичных расчетов и повышению финансовой грамотности населения. Национальный банк, банки заинтересованы в присутствии крупнейших платежных систем в Ре-публике Беларусь, их эффективном и надежном функционировании. МПС VISA и MasterCard достаточно давно присутствуют на рынке банковских услуг Республики Беларусь. В марте 2013 г. состоялся визит в Национальный банк представителей МПС Discover/Diners Club. Предметно обсуждается активное участие данной компании на финансовом рынке республики. Другим важным направлением сотрудничества Национального банка и банков с МПС стало взаимодействие в области повышения финансовой грамотности населения. Компании VISA и MasterCard имеют значительный опыт в вопросах повышения финансовой грамотности населения и уделяют большое внимание вопросам развития безналичных расчетов и важности сбережений, экономии финансовых ресурсов и планирования бюджета.

На сегодняшний день подписаны Меморандумы о сотрудничестве в области повышения финансовой грамотности населения между Национальным банком и МПС VISA и MasterCard. Национальным банком совместно с иными заинтересованными разработано постановление Совета Министров Республики Беларусь и Национального банка Республики Беларусь от 01.04.2013 № 246/4"О Плане совместных действий государственных органов и участников финансового рынка по развитию в Республике Беларусь системы безналичных расчетов по розничным платежам с использованием современных электронных платежных инструментов и средств платежа на 2013-2015 годы”.

Данный документ содержит концептуальные подходы к дальнейшему развитию в Республике Беларусь такого сегмента национальной платежной системы, как система безналичных расчетов по розничным платежам. План совместных действий определяет также целевой ориентир работы в указанном направлении - увеличение показателя доли безналичного денежного оборота в розничном товарообороте организаций розничной торговли и доли безналичного денежного оборота в объеме платных услуг населению к 01.01.2016 до 50% и снижение нагрузки на платежный терминал для проведения безналичных расчетов в сфере розничной торговли и услуг до 160 карточек.

Утвержденные указанным постановлением мероприятия по реализации Плана совместных действий направлены на стимулирование активного использования населением различных видов электронных платежных инструментов и средств платежа, систем дистанционного банковского обслуживания, расширение круга организаций торговли (сервиса), принимающих оплату за товары (работы, услуги) в безналичной форме, обеспечение непрерывности и безопасности функционирования программно-технической инфраструктуры для проведения безналичных расчетов по розничным платежам, определение безналичных форм расчетов как приоритетных при планировании и разработке органами государственного управления различных мероприятий по работе с населением. В настоящее время основными задачами, стоящими перед Национальным банком, банками, органами государственного управления по развитию системы безналичных расчетов по розничным платежам, являются:

расширение круга хозяйствующих субъектов, предоставляющих населению возможность оплаты товаров, работ, услуг в безналичном порядке;

дальнейшее развитие программно-технической инфраструктуры для проведения населением безналичных платежей;

принятие дополнительных мер по стимулированию населения и субъектов хозяйствования к использованию безналичных форм расчетов.

Осуществление мероприятий по реализации Плана совместных действий позволит повысить уровень банковского обслуживания населения и увеличить долю безналичных расчетов при осуществлении розничных платежей.

Таким образом в настоящее время систему БелКарт ещё нельзя отнести к полнофункциональным платёжным системам национального масштаба. Но тенденции её развития, наличие государственной поддержки, расширение масштабов и функциональных возможностей, постепенная интеграция её в существующую платёжную систему Республики Беларусь, а также изменения в маркетинговой политике позволяют сделать вывод о перерастании БелКарт в полнофункциональную платёжную систему с использованием различных типов пластиковых карт. На 01.04.2013 количество выпущенных в обращение карточек достигло 10 717 050 единиц (прирост за I квартал 2013 г. - 2,8%), из них карточек внутренней платежной системы БЕЛКАРТ - 4 987 613 (47% от общего количества карточек), карточек МПС - 5 729 437 единиц, в том числе карточек VISA - 4 035 260 единиц (37% от общего количества карточек), MasterCard - 1 694 177 единиц (16% от общего количества карточек).

3. Перспективы развития расчётов с использованием банковских платежных карточек в Республике Беларусь


Сегодня расчеты посредством карточек стали наиболее распространенной (после расчетов банковскими чеками) формой безналичных расчетов. Благодаря своему главному предназначению - служить платежным инструментом - банковские карточки превратились в чрезвычайно рентабельный, если не самый прибыльный вид услуг, предлагаемый финансовой сферой. Вдобавок банковские карточки сильно упростили доступность кредита.

Рынку страны необходимы новые банковские продукты, способные стимулировать заинтересованность населения и предприятий торговли в использовании банковских пластиковых карточек для безналичных расчетов. Один из них - кредитная карта. Несмотря на богатый опыт международных платежных систем в области эмиссии "чистых" кредитных продуктов, банки страны не торопятся с их внедрением. Причины просты - отсутствие кредитных историй физических лиц, отсутствие либо недостаток у банков опыта работы с банковскими карточками, недостаточно развитая инфраструктура обслуживания держателей банковских карточек.

Внедрение кредитных карточек в гораздо большей степени позволяет учесть экономические интересы всех участников расчетов с использованием банковских пластиковых карточек. За счет более длительных сроков предоставления кредита, простоты его получения и погашения, более высокого по сравнению с овердрафтом кредитного лимита клиент получает возможность реального увеличения своей покупательной способности. В свою очередь, предприятия торговли и сервиса, обслуживающие держателей кредитных карточек, кроме опосредованного кредитования своего оборота и увеличения числа покупок, приобретают постоянных покупателей, способных осуществлять расчеты только в безналичном порядке. С увеличением количества кредитных карточек в обращении государство получает рост безналичных операций с использованием банковских пластиковых карточек, что напрямую влияет на сокращение налично-денежного оборота в стране.

Быстрое распространение банковских пластиковых карточек, их превращение в массовый инструмент расчетов, неуклонный рост их популярности среди населения служит наилучшим свидетельством того, что эта форма расчетов выгодна основным категориям участников системы. Все заинтересованные в системе расчетов субъекты, участвуют в развитии рынка и получают соответствующие выгоды. Клиент размещает свои средства в банке на счете, получая премиальный процент за неиспользованный остаток средств на счете, при условии, что в любой момент сможет получить сумму наличных денег либо оплатить товар безналично в сети предприятий торговли и сервиса. Банк заинтересован в привлекаемых средствах, для чего готов обслуживать их на счетах, а также организовывать работу с карточками в своей филиальной сети и в торговле. Торговые предприятия в свою очередь готовы принимать карточки к оплате за товары и услуги, стремясь к привлечению наибольшего количества покупателей [18, с.23].

Карточка, представляющая собой кусочек пластика, на который занесены определенные данные об её владельце и его счете, является формой доступа к этому счету, освобождающей от необходимости рисковать, нося с собой большие суммы наличных денег, дающая возможность совершать запланированные покупки. В случае утери карточки достаточно лишь сообщить об этом в банк - все расчеты по ней будут заблокированы.

Значительным прорывом для держателей карточек стала возможность получения мини-кредитов в виде овердрафта без предоставления залога и большого числа документов, обычно сопровождающих процедуру кредитования, а также появление кредитных карточек.

Вместе с тем масштабная эмиссия пластиковых карточек, развитие сети предприятий торговли и сервиса, принимающих банковские каточки при оплате товаров/услуг, не влечет за собой столь же значительного расширения безналичных расчетов около 5% оборота. Остальные 95% в силу целого ряда объективных и субъективных причин приходится на операции получения наличных.

Незначительная доля безналичного оборота оказывает крайне негативное влияние не только и не, сколько на держателей карточек, сколько на банки, финансирующие развитие сети терминалов в торговле, на торговые предприятия, не получающие увеличения выручки за счет внедрения данного вида расчетов, а также на государство, не имеющее реального сокращения налично-денежного оборота.

Финансирование платежного оборудования для безналичных расчетов на 87% производится за счет средств банков, но следует отметить и другие - небанковские источники.

Удаленный доступ к счету привел к появлению новых типов операций по банковскому счету, которые можно выполнять на банкоматах или иных терминалах (плата за коммунальные услуги, пользование мобильной телефонной связью).

В отличие от эмиссии карточек развитие технической инфраструктуры обслуживания держателей карточек идет более медленными темпами. Темпы роста эмиссии карточек превосходят темпы роста инфраструктуры системы расчетов с использованием карточек, то есть банки, осуществляя эмиссию, не обеспечивают ее необходимыми средствами использования карточек.

Трудности банков, связанные с развитием инфраструктуры, обусловлены следующими факторами:

необходимостью крупных финансовых вложений, которыми на сегодняшний день банки не располагают. Денежные средства, прежде всего, необходимы для закупки и поддержания в работоспособном состоянии дорогостоящих аппаратно программных комплексов (банкоматы, платежные терминалы, программное обеспечение и другие), организации каналов связи, закупки заготовок пластиковых карточек;

выполнением банками не свойственных им функций (процессинг), что влечет за собой существенное увеличение штата сотрудников, работающих с пластиковыми карточками;

дублированием затрат на развитие параллельных сетей банкоматов (сети банкоматов для проведения операций с карточками международных систем и системы "БелКарт").

В Республике Беларусь заложена нормативная основа по расчётам с помощью карт как в рамках международных, так и внутренних карточных систем. В банках - членах системы завершён этап создания организационной и технической инфраструктур, обеспечивающих размещение карт среди клиентов и обслуживание по ним, подготовлены соответствующие специалисты.

По мнению специалистов белорусских банков, массовому распространению пластиковых карт в Беларуси мешают:

экономический кризис;

отсутствие технической инфраструктуры;

неразвитость конкурентной среды предприятий торговли и сервиса;

отсутствие потенциального потребителя банковских пластиковых карт, так как население в своей массе не готово к замене денежной наличности инструментальными средствами безналичных расчётов (чеками, пластиковыми карточками и т.д.). [9, с.12]

До сих пор не все руководители торговых предприятий понимают, что в рыночной экономике есть один дефицит - дефицит платёжеспособного покупателя. И для привлечения клиентов необходимо побеспокоиться, чтобы клиент не бегал в поисках пункта выдачи наличных, банкомата или торговой точки, обслуживающей по пластиковой карте.

Одним из основных препятствий на пути распространения банковских пластиковых карт является дороговизна оборудования. Не каждый магазин или ресторан может приобрести терминал, стоимость которого около 1500 дол. США. Поэтому банки могут осуществлять лизинг для ПТС, что, во-первых, снижает затраты ПТС, во-вторых, способствует расширению сети торговых предприятий, обслуживающих пластиковые карты. Для предприятий применение системы безналичных расчётов по картам создаёт возможность увеличения торгового оборота.

На сегодняшний день деятельность банка в рамках системы не окупается, поскольку инвестиции в развитие карт значительно выше получаемых доходов по операциям с ними. Однако единственным вариантом создания полномасштабной карточной системы национального уровня является дальнейшее развитие БелКарт. Это объясняется тем, что банками уже инвестированы значительные средства в создание и развитие системы, следовательно, необходимо двигаться дальше, чтобы в конечном итоге обеспечить их окупаемость, тем более, что система имеет потенциал дальнейшего развития [10, с.13].

Эффективность и совершенствование системы БелКарт во многом зависит от:

повышения роли банков в её рамках (банки должны определять стратегию своей деятельности в системе с учётом общих спецификаций и стандартов);

государственной поддержки в области улучшения законодательства с учётом предложений банков, создания благоприятных экономических условий;

ориентации банков на сбалансированное и постепенное развитие и длительные сроки окупаемости произведённых инвестиций.

Система подобного уровня не способна развиться достаточно быстро, независимо от того, будет ли она на основе карты с магнитной полосой или с микропроцессорами. Есть два основных фактора, тормозящих продвижение новшества: психологическая неготовность населения к использованию пластиковых денег, недостаточность средств для создания развитой полномасштабной системы.

По мнению экономистов, в Республике Беларусь необходимо провести ряд мероприятий, которые позволят активизировать рынок корпоративных карточек, так как они предоставляют определённые преимущества юридическим лицам (возможность сократить операционные расходы, осуществлять контроль над корпоративными расходами сотрудников, пополнять карточный счёт независимо от местонахождения сотрудника) и банкам (комплексное обслуживание клиентов и, как следствие, привлечение новых и удержание существующих клиентов; снижение операционных расходов; получение комиссионных доходов). К этим мероприятиям можно отнести:

упрощение процедуры открытия карт-счёта. В настоящее время для открытия карт-счёта юридическое лицо обязано предоставить в банк помимо заявления на открытие счёта, дубликат извещения о присвоении учётного номера плательщика, справку Фонда социальной защиты населения, нотариально заверенную карточку с образцами подписей и печати. При этом карт-счёт, как правило, пополняется с текущего счёта организации, который зачастую открыт в этом же банке-эмитенте. Отмена предоставления в банк данного пакета документов (кроме заявления) значительно упростила бы процесс открытия карт-счёта.

внедрение корпоративных кредитных карточек, дебетовых карточек с возможностью предоставления овердрафта по карт-счёту. Именно различные типы кредитных карточек позволят реализовать идею закупочной карточки, т.е. карточку для регулярных покупок.

расширение перечня операций с использованием корпоративных карточек. Юридические лица не имеют права оплачивать за рубежом товары и услуги, что резко сужает востребованность данного вида карточных продуктов.

расширение инфраструктуры по приёму карточек к оплате за счёт установки платёжных терминалов в оптовых магазинах, базах и т.п., поскольку на предприятиях оптовой торговли она практически отсутствует.

В рамках реализации целей, предусмотренных Концепцией развития платежной системы Республики Беларусь на 2010-2015 годы, утвержденной постановлением Правления Национального банка Республики Беларусь от 26 февраля 2010 г. № 29, проводятся работы по поэтапному переходу банков на эмиссию микропроцессорных карточек, соответствующих стандарту EMV, по доработке программно-технической инфраструктуры для обслуживания микропроцессорных карточек стандарта EMV.

Цель спецификации EMV - обеспечить возможность смарт-картам разных платежных систем уживаться на одном POS-терминале. В дополнение к этому спецификация касается вопросов повышенной защищенности, продвижения разработки унифицированных приложений и гибкости. Спецификация EMV применима только к дебетовым/кредитным платежным приложениям.

В настоящее время в Республике Беларусь доля банковских пластиковых карточек, соответствующих стандарту EMV, мала. В первую очередь это связано с неготовностью программно-технической инфраструктуры обслуживать данные карты. Кроме того, большая часть банковских пластиковых карточек в стране выпускается в рамках "зарплатных" проектов, низкорентабельных для банков-эмитентов. Себестоимость даже не самой дорогой чиповой карты на 1,5-2 евро выше, чем магнитной, что существенно влияет на уровень рентабельности карточных проектов. Более половины держателей карточек до недавнего времени использовали их раз или два в месяц - для снятия наличных денежных средств в банкомате после зарплаты. В итоге остатки на "карточных" счетах оставались небольшими, поэтому доступ к ним для мошенников был неинтересен. Тем не менее, с учетом повышающейся привлекательности карточки как платежного инструмента все большего доверия клиента к банкам, программно-технической инфраструктуре карточный рынок Республики Беларусь в самое ближайшее время будет постепенно приближаться к европейским тенденциям в вопросе миграции платежных карт на EMV. Главная предпосылка заключается в том, что Беларусь находится в центре Европы и не может игнорировать те процессы, которые происходят в соседних странах.

На сегодняшний день банки Республики Беларусь либо прошли сертификацию программно-технической инфраструктуры на прием карточек, соответствующих стандарту EMV, либо находятся в процессе получения соответствующих сертификатов. Что же касается эмиссии карточек стандарта EMV, то кроме сертификации в международных платежных системах на эмиссию данных карт необходимо приобретение (доработка) соответствующего программного обеспечения, а это является процессом не только дорогостоящим, но и достаточно сложным и длительным. Банковские пластиковые карточки, соответствующие стандарту EMV, сегодня эмитируют ОАО "Белгазпромбанк", ЗАО "АКБ "БЕЛРОСБАНК", ОАО "АСБ Беларусбанк", ОАО "Белпромстройбанк" [1, c.51-56].

В рамках реализации целей, предусмотренных Концепцией развития платежной системы Республики Беларусь на 2013-2015 годы, утвержденной Постановление Совета Министров Республики Беларусь и Национального банка Республики Беларусь 01.04.2013 № 246/4, проводятся мероприятия по реализации плана совместных действий государственных органов и участников финансового рынка по развитию в Республике Беларусь системы безналичных расчетов по розничным платежам с использованием современных электронных платежных инструментов и средств платежа на 2013-2015.

Разработка организационно-правового и методического обеспечения развития системы безналичных расчетов:

увеличение количества объектов, подлежащих оснащению платежными терминалами для регистрации операций, производимых с использованием банковских платежных карточек (далее - карточки), за счет расширения перечня таких объектов, уменьшения норм пороговых значений выручки (снижения размеров, выраженных в базовых величинах) для обязательной установки платежных терминалов, обеспечения приема к оплате карточек всех платежных систем, эмиссию которых осуществляют банки Республики Беларусь;

рассмотрение вопроса о возможности заключения с банком договора присоединения путем использования различных методов идентификации клиента в системах дистанционного банковского обслуживания и едином расчетном и информационном пространстве (далее - ЕРИП);

обеспечение перехода на выплату заработной платы работникам субъектов хозяйствования всех форм собственности, включая организации торговли (сервиса) *, через счета в банках, к которым выданы карточки внутренней платежной системы и по желанию владельцев счетов могут быть выданы карточки международных платежных систем.

Популяризация расчетов в безналичной форме среди населения:

разработка и проведение социальных акций с привлечением банков, международных и внутренних платежных систем, направленных на повышение доли безналичных расчетов по розничным платежам и финансовой грамотности населения при осуществлении данных расчетов;

освещение в средствах массовой информации вопросов развития безналичных расчетов по розничным платежам путем публикаций и интервью;

создание социальной рекламы (телевизионной, мультимедийной, радиорекламы, плакатов для наружной или другой рекламы), направленной на популяризацию использования в расчетах современных электронных платежных инструментов и средств платежа, систем дистанционного банковского обслуживания;

организация обучения работников субъектов хозяйствования всех форм собственности порядку осуществления платежей с использованием современных электронных платежных инструментов и средств платежа, посредством систем дистанционного банковского обслуживания, ЕРИП.

Подытоживая все вышеизложенное, хотелось бы отметить, что первоочередной задачей в 2011-2015 гг. будет являться дальнейшее расширение безналичных расчетов в сфере розничной торговли и услуг. Особое внимание будет уделяться популяризации использования банковских пластиковых карточек, финансовому образованию и грамотности населения. Также будут продолжаться работы по расширению и функциональному наполнению программно-технической инфраструктуры, в которой возможно осуществлять операции с банковскими пластиковыми карточками.

Заключение


В данной работе был проведен теоретический анализ сущности расчётов с использованием банковских пластиковых карточек, их современного состояния и перспектив развития, сформулированы возможные пути совершенствования организации безналичных расчётов на основе банковских пластиковых карточек.

Проведенная работа дает возможность сделать ряд выводов:

более чем за полувековую историю своего развития пластиковые карточки прочно вошли в жизнь современного общества. Операции с пластиковыми карточками открыли новые перспективы обслуживания клиентов, расширили возможности получения банковской прибыли;

внедрение безналичных расчетов с использованием пластиковых карточек в некоторой степени может помочь снизить темпы инфляции в стране;

быстрое распространение банковских кредитных карточек, их превращение в массовый инструмент расчетов, неуклонный рост их популярности среди широких групп населения служит наглядным свидетельством того, что эта форма расчетов выгодна основным категориям участников системы. Организация расчетов с использованием банковских карточек имеет очевидные преимущества по сравнению с расчетами наличными деньгами. Банковская пластиковая карточка - не только удобный, но и безопасный способ совершения платежа;

при разработке стратегии работы банков на рынке пластиковых карточек необходимо учитывать, что присоединение к международным платёжным системам - дело не простое. Оно требует значительных затрат, что под силу только крупным банкам, и, кроме того, соблюдение жёстких требований, установленных международными карточными ассоциациями;

"Беларусбанк" в течение многих лет является неотъемлемой частью банковской системы страны, важнейшей составляющей её стабильности. Дальнейшая работа "Беларусбанка" в рамках развития системы безналичных платежей с использованием пластиковых карточек будет направлена на повышение уровня обслуживания клиентов и предоставление полного спектра услуг всеми подразделениями банка, независимо от того, где они расположены - в крупном городе или в небольшом сельском населённом пункте. Уже сегодня "Беларусбанк" обслуживает клиентов - держателей пластиковых карточек в отделениях, расположенных в сельской местности. Это позволит банку сохранить и укрепить достигнутые позиции на белорусском рынке пластиковых карт;

происходит постоянное развитие инфраструктуры для использования банковских пластиковых карточек, что способствует увеличению доли безналичных расчётов с использованием банковских пластиковых карточек среди населения. Однако в настоящее время не все банки принимают активное участие в развитии системы, что не способствует расширению сети приёма карт. Дефицит торговых и сервисных точек ведёт к снижению престижа системы, неудобствам для клиентов и отсутствию перспектив действительно массовой эмиссии карт;

для массового использования банковских пластиковых карточек в качестве платёжного инструмента в Республике Беларусь необходимо дальнейшее развитие инфраструктуры для использования банковских пластиковых карточек, проведение проектов, способствующих повышению привлекательности карточек как средства осуществления безналичных расчётов различными категориями населения. Национальным банком должна быть продолжена реализация мероприятий по обеспечению эффективного, надёжного и безопасного функционирования национальной платёжной системы, а также по дальнейшему развитию системы розничных платежей на основе банковских пластиковых карточек.

Подобный анализ позволяет отметить, что основной перспективой развития расчётов с использованием банковских пластиковых карточек является активное развитие банковских продуктов и услуг для держателей пластиковых карт.

Список использованных источников


1. Банковский кодекс Республики Беларусь: КодексРесп. Беларусь, 25 окт. 2000 г., № 411-З: в ред. Закона Респ. Беларусь от 13.07.2013 г., № 416-З // Консультант Плюс: Беларусь [Электронный ресурс] / ООО "ЮрСпектр", Нац. реестр правовых актов Респ. Беларусь. - Минск, 2013. - Дата доступа: 17.09.2013

. Волес, Н.А. Классификация банковских пластиковых карточек в РБ // Труды молодых специалистов Полоцкого государственного университета. - 2007. - №18. - С.51-53.

Новик, С.С. Банковские карточки вытесняют "наличку". // Главный бухгалтер: Учредитель: ООО "Агенство Владимира Гревцова". - 2009. - №34. - С.25-28.

. Рудакова, О.С. Банковские электронные услуги: Учеб. пособие. - М.: Вузовский учебник, 2009. - 400с.

. Говядинова, Н.Н., Голенда, Л.К. Автоматизированные системы безналичных расчётов: Учеб. пособие. - Минск: БГЭУ, 2004. - 278с.

. Инструкция "О порядке совершения операций с банковскими пластиковыми карточками": утв. Постановлением Правления Национального банка Республики Беларусь 18.01.2013 №34. - Минск, 2013. - 20с.

. Прокопов, Б.В. "Белкарт" в вопросах и ответах. - Минск: ПК ООО "Полибиг", 1999. - 77с.

. Бюллетень банковской статистики. - Минск. - 2013. - №9. - 171с.

. Беларусбанк: итоги 2009 года и перспективы развития [Электронный ресурс]. - 2009. - Режим доступа: #"698300.files/image003.gif">

Примечание - Источник: [14, c.42].

Приложение Б

 

Таблица Б.1 - Информация об эмиссии банковских пластиковых карточек в разрезе банков (01.01.2012-01.01.2013)


Примечание - Источник: [14, c.43].

Приложение В

 

Таблица В.1 - Информация об объектах программно-технической инфраструктуры, установленных банками в 2012 г.


Примечание - Источник: [14, c.44].

Приложение Г

 

Таблица Г.1 - Информация о рынке банковских платежных карточек в разрезе регионов на 01.01.2013


Примечание - Источник: [14, c.45].

Приложение Д

 

Таблица Д.1 - Показатели развития рынка банковских платежных карточек с учетом численности населения


Примечание - Источник: [14, c.45].

Приложение Е

 

Таблица Е.1 - Информация об объемах операций с использованием банковских пластиковых карточек в белорусских рублях


Примечание - Источник: [14, c.46].

Приложение Ж

 

Таблица Ж.1 - Информация об объемах операций с использованием банковских пластиковых карточек в долларах США


Примечание - Источник: [14, c.46].

приложение К

Таблица Ж.1 - Анализ основных показателей развития системы безналичных расчетов с использованием банковских пластиковых карточек по состоянию на 01.01.2013


Примечание - Источник: [14, c.47].

Похожие работы на - Теоретические основы расчётов банковскими платежными карточками

 

Не нашли материал для своей работы?
Поможем написать уникальную работу
Без плагиата!
Без нейросетей!