Разработка каналообразующего устройства передачи дискретной информации
Министерство
Образования Республики Беларусь
УЧРЕЖДЕНИЕ
ОБРАЗОВАНИЯ
«БЕЛОРУССКИЙ
ГОСУДАРСТВЕННЫЙ УНИВЕРСИТЕТ ТРАНСПОРТА»
кафедра
“Система передачи информации”
РАСЧЕТНО-ГРАФИЧЕСКАЯ
РАБОТА
по
дисциплине
«Каналообразующие
устройства передачи дискретной информации»
«Разработка
каналообразующего устройства передачи дискретной информации»
Шифр
- 124
Выполнил:
Проверил:
студент
гр. ЭТ-41 преподаватель
Луцевич
С. С. Семиход Д.Д.
Гомель 2009
Содержание
1. Расчет параметров
каналообразующего устройства и выбор метода модуляции
. Построение структурной
схемы каналообразующего устройства
. Литература
1. Расчет параметров каналообразующего
устройства и выбор метода модуляции
По заданию даны исходные данные: DF
=110 Гц; B = 300 Бод; С = 600
бит/с.
Для расчета параметров
каналообразующего устройства воспользуемся формулой Шеннона, устанавливающей
зависимость пропускной способности С непрерывного канала с белым гауссовским
шумом от используемой полосы частот DF
канала и отношения мощностей сигнала и шума
(1):
где PS = EB
V - средняя
мощность сигнала;- энергия, затрачиваемая на передачу одного бита информации;-
скорость передачи информации;= N0 DF
- средняя мощность шума в полосе частот DF;-
спектральная плотность мощности шума.
Это выражение позволяет определить предельное
значение скорости передачи информации, которое может быть достигнуто в
гауссовском канале с заданными значениями
DF
и
.
модуляция
каналообразующий передача информация
Предельное значение скорости
передачи примем равным:
= C.
Значение скорости передачи (2):
(2)
Отсюда вычислим число позиций
модуляции:
Выразим и вычислим из (1) значение
:
Вычислим
:
(3)
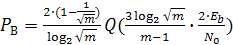
Для оценки вероятности ошибки при КАМ
воспользуемся формулой 4.

, (4)
где 
- функция Крампа.
. Построение структурной схемы
каналообразующего устройства
Характеристики КОУ:
режим передачи: асинхронный;
тип тракта: четырехпроходный;
тип линии связи: коммутируемая;
режим передачи: полудуплексный.
Полудуплексный режим
предусматривает обмен данными в обоих направлениях, однако, одновременно
информация передается только в одном направлении, что подразумевает наличие
переключателя.
Асинхронная передача является старт-стопной, при
этом одновременно передается или принимается один символ. Стартовый и стоповый
биты используются для разделения символов и синхронизации приемника и
передатчика. Таким образом, уменьшается вероятность искажения данных. При
асинхронной передаче каждый передаваемый символ кодируется последовательностью
импульсов. Передача, символа начинается стартовым импульсом, равным по длине
кодовому импульсу. Кодированный символ (последовательность импульсов)
завершается стоповым импульсом, который по длине может быть равен или больше
кодового импульса в зависимости от используемого кода передачи. Стартовый бит
соответствует переходу из состояния метки в состояние пробела. Поскольку в
состояний ожидания, когда не происходит передача данных, линия находится в
состоянии метки, стартовый импульс служит для принимающего устройства
индикатором того, что далее следует символ данных. Аналогично стоповый бит
обеспечивает перевод линии обратно в состояние метки, сообщая приемнику о
завершении передачи символа данных.
Как правило, каналы имеют двухпроводное или
четырехпроводное окончание. Для краткости их называют, соответственно,
двухпроводными и четырехпроводными.
При четырехпроводном тракте
одна пара проводов используется для передачи, а вторая - для приема. Такой
подход позволяет использовать общий тактовый генератор для приемной и
передающей части каналообразующего устройства, а также максимально исключает
воздействие сигнала передачи на прием и обратно.
Коммутируемые каналы представляются потребителям
на время соединения по их требованию (звонку). Такие каналы принципиально
содержат в своем составе коммуникационное оборудование телефонных станций
(АТС).
Рисунок 1 - Структурная схема
каналообразующего устройства
В состав устройства входят:
Передающая часть:
· ИС- источник сигналов;
· КД- кодер( устройство обеспечивает
кодирование информации с целью повышения помехоустойчивости);
· G
- генератор тактовых импульсов;
· СК- Скремблер(устройство
преобразующее последовательности цифрового потока единиц и нулей данных с целью
изменения его структуры, близкой к случайной, без изменения скорости передачи);
· Модулятор ( устройство представляющее
исходный сигнал в форму пригодную для передачи по каналу связи);
· УС- устройство согласования( для
согласования передающего устройства с линией связи).
Приемная часть:
· ДСК - Дескремблер (устройство ,
которое обратно преобразует последовательность единиц и нулей , выполняемое в
приемнике с целью восстановления исходной последовательности цифрового потока);
· Демодулятор - предназначен для
преобразования сигнала принятого из канала связи в сигнал пригодный для
декодирования;
· ДКД - декодер ( устройство
предназначенное для раскодирования полученного сигнала и передачу
декодированной информации к получателю);
· ПС - приемник сигналов;
Коммутируемая часть:
· КЛ1-КЛ2 - коммутирующее устройство;
· ПФ - полосовой фильтр;
Полная схема скремблера и дескремблера имеют
вид:
Рисунок 2 - Структурная схема
самосинхронизирующегося скремблера-дескремблера
Скремблирование происходит
суммированием по модулю два исходных и псевдослучайных двоичных сигналов,
генерируемых регистром сдвига. На вход поступает последовательность
с помощью
скремблера преобразуется в двоичную последовательность
, посылаемую
в канал связи. В приемнике из этой последовательности таким же регистром
сдвига, как и в передатчике, формируется последовательность
. Последняя
идентична последовательности
.
Полная схема кодера для выражения
принимает
вид:
Рисунок 3 - Структурная схема кодера
Литература
1. Автоматика,
телемехоника и связь на транспорте: Пособие по оформлению дипломных проектов /
Бочков К.А., Серенков А.Г., Кондрачук В.Ф., Харлап С.Н. - Гомель: БелГУТ, - 2002.
- 70 с.
. Семенюта
Н.Ф. Каналообразующие устройства передачи дискретных сообщений: Пособие по
дисциплине «Каналообразующие устройства». - Гомель: БелГУТ, 2003.-137 с.
. Проектирование
модемов передачи данных: Пособие / А.М. Демидов, В.Е. Минин, С.С. Татур. -
Гомель: БелГУТ, 2004. - 144 с.