Проект телеграфной станции при управлении дороги
Проект телеграфной станции при
управлении дороги
Реферат
сеть телеграфный станция дорога
Курсовой проект содержит страницы, таблиц, рисунка, источников.
Телеграфный аппарат, телеграфная связь, передача данных, узел связи,
коэффициент неравномерности, кодер, декодер, коммутация сообщений, циклический
код, корректирующий код.
Объектом исследования является телеграфная связь на железнодорожном
транспорте.
Цель работы - изучение организации телеграфной связи на железнодорожном
транспорте.
В процессе работы произведен расчет нагрузок и каналов коммутируемой
сети, неравномерность нагрузки. Найдено необходимое количество каналов. Сделан
расчет и выбор оборудования телеграфной станции: расчет числа телеграфных
аппаратов, выбор типов коммутационных установок и разработка схемы связи.
Выполнена разработка устройств повышения верности в системах передачи
дискретной информации, а также построена локальная сеть при управлении дороги.
Курсовой проект выполнен в текстовом редакторе Microsoft Word 2007. Все схемы, представленные в данной работе были
реализованы в программной среде Microsoft Office Visio 2007. Расчеты и графики осуществлены
в программе для выполнения и документирования инженерных и научных расчётов
Mathcad 14.
Введение
Железнодорожный транспорт, как и многие другие сферы производства не
может хорошо функционировать без связи. Связь обеспечивает слаженную и надежную
работу даже самых отдаленных пунктов функционирования. На железнодорожном
транспорте телеграфная связь служит для передачи распоряжений, приказов,
предупреждений, писем, форм статистической и бухгалтерской отчетности и др.
Характерными особенностями телеграфной связи являются документальность,
точность и высокая скорость доставки сообщений. Надежное и высококачественное
ее действие способствует круглосуточному безопасному движению поездов,
скорейшей доставки грузов и пассажиров.
Многообразие систем электрической связи по виду передаваемых сообщений
может быть разделено на два класса: аналоговые и дискретные.
Аналоговые - сообщения характеризуются бесконечным множеством значений на
протяжении конечного отрезка времени, дискретные - конечным числом значений на
том же отрезке времени. К последним относят все виды буквенно-цифровых
сообщений, потоки цифр в системах телеобработки на электронных вычислительных
машинах (ЭВМ), команды и приказы систем телемеханики, телесигнализации и
автоматики.
Телеграфия - область электросвязи, предназначенная для передачи
письменных документов на расстояние для восприятия их человеком. Телеграфные
сообщения (телеграммы) состоят из конечного числа букв, цифр, знаков пунктуации
и арифметических знаков, которые в совокупности дают возможность составлять
смысловые тексты на том или ином языке.
Передача данных - область электросвязи, предназначенная для передачи информации
для обработки ее электронными вычислительными машинами или уже обработанной
ими. Чаще всего это цифровые ЭВМ, поэтому под термином «данные» следует
понимать потоки цифровой информации, циркулирующие между объектами управления и
управляющим центром какой-либо автоматизированной системы управления.
Средства связи, обеспечивающие передачу данных, являются составной частью
комплекса технических средств автоматизированной системы управления
железнодорожным транспортом (АСУЖТ), внедрение которой позволяет
автоматизировать управление подразделениями транспорта, что ведет к улучшению
качественных показателей его работы. Эти виды электросвязи объединены в общую
сеть передачи дискретной информации.
Основной задачей курсового проекта является построение сети связи на
заданном участке железной дороги с основными элементами: коммутационных
станций, каналообразующей аппаратуры, оконечных установок.
.
Организация телеграфной связи и передачи данных на железнодорожном транспорте
Телеграфная связь и передача данных
на железнодорожном транспорте являются одним из основных видов ведомственной,
технологической связи, предназначенной для передачи документальных сообщений
работникам железнодорожного транспорта, связанными с организацией перевозочного
процесса.
Сеть связи представляет собой совокупность пунктов и линий (каналов)
связи и предназначается для доставки информации, преобразованной в сигналы
электросвязи, в соответствии с заданным адресом при условии обеспечения
заданных качественных показателей по времени доставки, верности и надежности.
Система телеграфной связи строиться на базе телеграфной сети.
Пункты сети разделяются на оконечные (ОП) и узлы связи (УС). Оконечные
пункты оснащаются оконечными установками, которые осуществляют: преобразование
поступающей информации в сигналы электросвязи для передачи по каналам связи;
преобразование сигналов электросвязи в форму, удобную для получателя
информации. В узлах связи размещают комплекс технических средств, который в
зависимости от назначения узла может обеспечивать: организацию и транзит;
переключение в процессе управления сетью; коммутацию каналов, сообщений и
пакетов.
Сеть передачи дискретной информации построена по радиально-узловому
принципу и отражает иерархическую структуру управления железнодорожного транспорта.
Узлы коммутации организованны при Центральной станции связи МПС (ГУ),
управления дорог (ДУ), отделениях (ОУ) и крупных узловых станциях (УС).
Магистральные участки сети включают в себя каналы между ГУ и ДУ, а также между
смежными ДУ. Пучки между ДУ и ОУ и ОУ между собой организуют дорожные участки,
а внутриотделенческие включают в себя связи между УС и ОУ, а также соседними
УС.
Рисунок
1 - Схема расположения узлов связи
2. Расчет нагрузок и каналов коммутируемой сети
.1 Коэффициенты неравномерности
Распределение нагрузки в сетях носит неравномерный характер. Для
гарантийного обеспечения связью расчёт каналов и оборудования производится по
наибольшему значению нагрузки, определение которой производится путём введения
в расчётные формулы коэффициентов неравномерности и прироста телеграфной
нагрузки.
Часовую неравномерность оценивают коэффициентом концентрации, под которым
понимают отношение нагрузки в час наибольшего ее поступления (в час наибольшей
нагрузки - ЧНН) к суммарной нагрузке за сутки:
.(2.1)
Неравномерность поступления нагрузки по суткам в течение недели оценивают
коэффициентом суточной неравномерности, который определяют отношением нагрузки
наиболее загруженных суток недели к среднесуточной нагрузке за неделю:
.(2.2)
Неравномерность распределение нагрузки по месяцам года характеризует
коэффициент месячной неравномерности, определяемый отношением наибольшей
нагрузки за месяц к среднемесячной нагрузке за год:
.(2.3)
Непрерывное увеличение объема работ железнодорожного транспорта, развитие
сети дорог и широкое внедрение новой техники сопровождаются ростом потоков
телеграфного обмена. Увеличение телеграфной нагрузки в ближайшие годы
учитывается коэффициентом роста:
,(2.4)
где h -
коэффициент, учитывающий влияние на телеграфную нагрузку увеличения объема
работы железнодорожного транспорта, развития иных видов электрической связи и
других факторов;
r - темп ежегодного прироста телеграфной нагрузки;
tр -
расчетный период роста телеграфной нагрузки, годы.
При расчёте каналов и оборудования телеграфных станций сети общего
служебного пользования следует принимать во внимание, что нагрузка может
увеличиваться за счёт эксплуатационных надбавок (передачи справок, запросов,
наличия потерянных вызовов и т.п.). Это учитывают введением в расчётную формулу
коэффициента добавочной нагрузки КД.
Значения коэффициентов неравномерности и прироста нагрузки определяют в
процессе изысканий на проектирование или их задают заказчики. В данном курсовом
проекте можно принять следующие значения:
КЧНН = 0.09; КС.Н = 1.09; КМ.Н =
1.2; КР = 1.1; КД = 1.15.
2.2 Нагрузка сети общего пользования (ОП)
Время занятия канала для передачи одной телеграммы определяется исходя из
следующих данных:
времени передачи полезного текста телеграммы tПТ;
-времени организационных мероприятий tОР на установление соединения, обмен автоответами и
отбой;
- удельного веса ручной λр и автоматической λа передач на данном узле;
коэффициента серийности q.
Под серийностью понимают передачу сразу нескольких телеграмм,
объединённых по общности их адресной части. Коэффициент серийности равен
количеству телеграмм, передаваемых за одно соединение, его значение зависит от
потока телеграфного обмена и определяется в процессе изысканий на
проектирование.
Время на передачу одной телеграммы ручным способом, с,
,(2.5)
автоматизированным способом, с,
,(2.6)
где
и
- время
передачи полезного текста телеграммы ручным и автоматическим способами.
В
работе принимаем следующие значения параметров и коэффициентов:
q = 2 Т;
tПТ(р) = 60 с; tПТ(а)
= 30 с; tОА = 18 с.
На
магистральных направлениях все телеграммы должны передаваться
автоматизированным способом ( с заранее заготовленной перфоленты или с
электронной памяти оконечного устройства), поэтому lр = 0,
lа = 1;
на дорожных направлениях допускается 20% телеграмм передавать ручным способом (lр =
0.2, lа =
0.8).
Нагрузка
сети ОП в ЧНН по направлениям, Эрл,
,(2.7)
где
- среднесуточная нагрузка от абонентов сети АТ,
переходящая на сеть ПС;
среднесуточный
результирующий поток телеграфного обмена на i-м
направлении, определяемый выражением:
,(2.8)
где Р - коэффициент допустимых потерь вызовов (Р = 0.02).
Определим нагрузку сети ОП для направления ДУ1-ГУ
По формулам (2.5) и (2.6) рассчитаем время на передачу одной телеграммы
ручным и автоматизированным способом:
;
.
Среднесуточный результирующий поток телеграфного обмена на данном
направлении, определяемый выражением (2.8), будет равен:
Qр = 4000 + (1 - 0.02)·3500 = 7430.
Нагрузка сети ОП в ЧНН по (2.7) будет равна:
Эрл
2.3 Нагрузка сети абонентского телеграфирования (АТ)
Нагрузка от местных абонентов на сеть АТ в ЧНН, Эрл,
бит/сутки,
где(2.9)
Т1
- Среднее время занятия сети одним абонентом АТ, сек/сутки,
V = 200 бит/сек
- скорость телеграфирования на сети АТ.
,
бит/сутки
Деление
нагрузки YАТ на
магистральную YАТМ и
дорожную YАТД
производится с учетом коэффициента внутридорожного обмена
, значение которого определяется в процессе изысканий
(в проекте
):
;(2.10)
.(2.11)
,
бит/сутки
,
бит/сутки
.4 Нагрузка объединенной сети (АТ-ОП)
При организации объединенной сети абонентского телеграфирования и общего
пользования АТ-ОП общая нагрузка каналов в ЧНН между проектируемой и i-й станциями может быть определена
выражением, Эрл:
,(2.12)
где YАТi - нагрузка от абонентского
телеграфирования, в зависимости от направления YАТ i = YАТМ i или YАТ i = YАТД i;
кс - коэффициент, выражающий нагрузку каналов системой АТ на i-м участке в ЧНН.
Значение коэффициента KC определяется в процессе изысканий на проектирование
для каждого участка общей сети АТ-ОП и колеблется в интервале от 0 до 1. При
выполнении курсового проекта принимается равный 0.8.
Результаты расчётов для всех других направлений приведены в таблице 1.
Таблица 1 -
Нагрузки для сетей ОП, АТ
|
Направление
|
QCi
|
QTPi
|
QPi
|
YОП
|
Y(АТ+ОП)(атм)
|
Y(АТ+ОП)(атд)
|
|
ДУ1-ГУ
|
1900
|
1200
|
3076
|
3713806,801
|
4520096,508
|
6132675,923
|
|
ДУ1-ДУ2
|
800
|
680
|
1466,4
|
3541226,493
|
4347516,2
|
5960095,616
|
|
ДУ1-ДУ3
|
1200
|
680
|
1866,4
|
3584114,243
|
4390403,951
|
6002983,366
|
|
ДУ1-ДУ4
|
1200
|
0
|
1200
|
3512663,251
|
4318952,959
|
5931532,374
|
|
ДУ1-ОУ1
|
175
|
110
|
282,8
|
3414321,64
|
4220611,347
|
5833190,762
|
|
ДУ1-ОУ2
|
500
|
77
|
575,46
|
3445700,462
|
4251990,17
|
5864569,585
|
|
ДУ1-ОУ3
|
200
|
98
|
296,04
|
3415741,224
|
4222030,932
|
5834610,347
|
|
ДУ1-ОУ4
|
92
|
440,16
|
3431193,681
|
4237483,388
|
5850062,803
|
|
ДУ1-ОУ5
|
275
|
73
|
346,54
|
3421155,803
|
4227445,51
|
5840024,925
|
|
ДУ1-ОУ6
|
450
|
102
|
549,96
|
3442966,368
|
4249256,076
|
5861835,491
|
|
ДУ1-ОУ7
|
300
|
220
|
515,6
|
3439282,31
|
4245572,018
|
5858151,433
|
|
ДУ1-ОУ8
|
340
|
280
|
614,4
|
3449875,585
|
4256165,292
|
5868744,707
|
|
Суммарное
|
7690
|
3612
|
11229,76
|
41812047,86
|
25437953,22
|
35113429,71
|
3. Расчет и выбор оборудования телеграфной станции
.1 Расчет нагрузки для определения числа телеграфных
аппаратов
Расчет этого вида нагрузки производится по одной и той же методике, но
отдельно для магистральных и дорожных направлений. Среднесуточный поток
телеграфного обмена проектируемой станции по всем магистральным или дорожным
направлениям, телеграмм в сутки,
(3.1)
или
,(3.2)
где М и Д - соответственно количество магистральных и
дорожных направлений.
телегр в
сут
телегр в
сут
Поток
телеграфного обмена, обусловленный переходом части нагрузки от абонентов сети
АТ к корреспондентам сети ОП,
,(3.3)
где tАТ - время передачи одного сообщения по сети АТ (в
среднем tАТ = 3 мин),
телегр в
сут.
Если
принять, что количество передаваемых (исходящих)
и
принимаемых (входящих)
телеграмм в узле связи одинаково, то
(3.4)
телегр в
сут.
Для
расчета числа аппаратов передачи исходящих, приёма входящих и переприёма
транзитных телеграмм необходимо определить соответствующие значения нагрузки в
ЧНН.
Нагрузка
аппаратов передачи исходящих телеграмм, телеграмм в час
(3.5)
Нагрузка аппаратов приема входящих телеграмм,
.(3.6)
,Эрл
.2 Расчет числа телеграфных аппаратов
Число
аппаратов передачи определяется с учётом доли передачи ручным
и автоматическим
способами
на данном узле (отдельно для магистральных и дорожных направлений, причём для
магистральных - только автоматическим способом):
, (3.7)
, (3.8)
Число
аппаратов приёма входящей и транзитной нагрузок
определяется
величинами
. Для дорожных направлений (КК) используются
номограммы (с.21,[3]) при Р = 0.02. Для магистральных направлений (КС)
, где
(3.9)
=0.8 -
коэффициент, учитывающий возрастание телеграфной нагрузки в связи с развитием
сети РЖД
Приём
и передача транзитной нагрузки при коммутации сообщений не требует специальных
аппаратов, т.к. эти телеграммы принимаются в память коммутационной станции.
Общее
количество аппаратов в аппаратном зале с учётом установки аппаратов стола
справок, эксплуатационного контроля и развития в ближайшие годы
, (3.10)
4. Разработка схемы связи
Рисунок
2 - Схема расположения узлов связи
5. Выбор метода защиты для передачи данных
Высокая верность - важное требование для передачи дискретной информации.
Для оценки этого параметра используется вероятность ошибок по знакам (кодовым
комбинациям) или единичным элементам (символам кода). Конкретные значения
допустимой вероятности ошибок зависят от назначения информации и методов ее
обработки.
Вероятность можно повысить разными методами: улучшением качественных
показателей каналов связи, каналообразующей аппаратуры и оконечных устройств
передачи и приема дискретной информации, а также введением различного рода
избыточности (использование систем с обратными связями, корректирующих кодов и
т. д.).
Основными причинами появления ошибок являются искажения дискретных
сигналов, нарушение синхронности и синфазности работы передающих и приемных
устройств. В курсовом проекте следует произвести расчет вероятности ошибок,
обусловленных искажениями сигналов, и выбрать способы защиты от ошибок, при
которых будет обеспечена заданная верность передачи данных.
Искажение дискретных сигналов носят регулярный и случайный характер. К
регулярным относятся искажения, обусловленные несоблюдением норм технического
обслуживания аппаратуры (отклонение напряжений источников питания от наминала,
регулировка выходных и выходных реле с преобладанием), плавными изменениями
уровня в системах тонального телеграфирования с амплитудной модуляцией, сдвигом
частот в системах с частотной модуляцией, несоответствием ширины спектра канала
скорости модуляции и др. Причинами искажений случайного характера является
аддитивные и мультипликативные помехи и кратковременные прерывания канала
связи.
Для определения причин и статистической структуры краевых искажений
применяют анализатор искажений. Используя результаты измерений искажений таким
прибором, которые приведены в задании в таблице 4, необходимо рассчитать
математическое ожидание и среднеквадратическое отклонение от среднего значения:
, (5.1)
,(5.2)
где n i - количество смещений значащих
моментов восстановления (ЗМВ) в i-м интервале (частота смещения);
i -
среднее значение смещения ЗМВ для i-го интервала;
m -
количество интервалов.
Рассчитаем
математическое ожидание и среднеквадратическое отклонение от среднего значения
по формулам (5.1),(5.2):
α = -1,016%; σ =3.146%;
Результаты измерения искажений представлены в виде гистограммы
изображённой на рисунке 6.0.
Рисунок 3 - Гистограмма и график нормального закона распределения
искажений
Её форма дает основание предположить, что закон распределения смещений
ЗМВ близок к нормальному, определяемому выражением:
. (5.3)
Нормальный
закон полностью характеризуется параметрами a и s. Соответствие этому закону проверяется по критерию Пирсона
2 в такой
последовательности.
Определим
теоретические значения частот:
, (5.4)
где h - шаг выборки (интервал смещения
ЗМВ), равный 2, кроме крайних членов, где он равен 41.
, (5.5)
. (5.6)
Результаты расчетов по формулам (6.3 - 6.6) сведены в таблице 6.1.
Таблица 1 -
Результаты расчетов
|
ni
|
d
|
ti
|
j(ti)
|
ni’
|
|
31
|
-8
|
-2,22002
|
0,033939
|
25,18098427
|
|
103
|
-6
|
-1,58425
|
0,113737
|
84,38676467
|
|
175
|
-4
|
-0,94848
|
0,254426
|
188,7697587
|
|
261
|
-2
|
-0,31271
|
0,379906
|
281,8687658
|
|
285
|
0
|
0,323061
|
0,378658
|
280,9428191
|
|
202
|
2
|
0,958831
|
0,251927
|
186,9155218
|
|
78
|
4
|
1,594601
|
0,111881
|
83,00977713
|
6
|
2,230372
|
0,033166
|
24,60761806
|
|
3
|
8
|
2,866142
|
0,006563
|
4,869298021
|
|
åni = 1167
|
|
|
|
å ni’ = 1160,551
|
1) Найдем расхождение между ni и ni′:
= 100 %,
= х,
где х - расхождение между ni и ni′,
х
= 99,4 %.
Расхождение получилось 0,6%.
) Определяем критерий Пирсона:
. (5.7)
Подставим значения в формулу (6.7), получим:
χ2 = 10,528.
) Подсчитаем количество степеней свободы:
2 = m1-b-1,
где b - число параметров теоретического распределения.
Так как нормальный закон является двухпараметрическим b = 2, тогда
m2 = 7-2-1 =
4.
4)Для
значений
и m2 находим Р(
), которое получилось равным 0.95 больше 0.01, значит
можно утверждать, что эмпирическое распределение краевых искажений приближенно
соответствует нормальному закону с параметрами
и s.
Вероятность ошибки в элементе Рэ зависит от параметров
распределения искажений и допустимой величины искажений m (допустимое значение искажений в пределах
от 5 до 45% ):
, (5.8)
где
Ф1,Ф2 - функции распределения типа
нормированного центрированного нормального
распределения.
Подставляя
в формулу значения a, s и m, получаем:
Таблица 2 -
Результаты расчетов
|
m,%
|
 Рэ
|
|
|
|
10
|
2,866142174
|
2,2200208
|
0,0153276
|
|
11
|
3,184027359
|
2,537906
|
0,0064395
|
|
12
|
3,501912544
|
2,8557912
|
0,0024186
|
|
13
|
3,819797729
|
3,1736763
|
0,0008317
|
|
14
|
4,137682914
|
3,4915615
|
0,0002596
|
|
15
|
4,455568099
|
3,8094467
|
0,0000767
|
|
16
|
4,773453284
|
4,1273319
|
0,0000198
|
|
17
|
5,091338469
|
4,4452171
|
0,0000044
|
Зависимость Рэ(m) приведена на рисунке 3
Рисунок 3 - Зависимость вероятности ошибки в элементе от допустимой
величины искажения
Вероятность ошибки в комбинации из n элементов:
Рош.к=
, (5.9)
n - общее количество элементов в комбинации кода ,
n = k - для простого кода,
n = r + k - для корректирующего (k и r
- соответственно количество информационных и проверочных элементов)
В нашем случае код корректирующий
Рош1 = 0,004144682752- однократная ошибка;
Рош2 =0,00000690000 - двукратная ошибка;
Рош3 = 0,0000000057435102- трехкратная ошибка
По заданию, вероятность ошибки в комбинации при передаче данных не должна
превышать 10-6, но только при трехкратной ошибке вероятность ошибки
меньше, следовательно, при выборе корректирующего кода учитываем двукратную и
однократную ошибку
6. Выбор корректирующего кода
Кратность гарантированно обнаруживаемых ошибок, которую должен обеспечить
код t = 2. Тогда,
минимальное кодовое расстояние для исправления ошибок определим из выражения:
0³2t +1,
(6.1)
где t= 2.0 ³4+1, d0 ³5.
Степень
образующего полинома, численно равная количеству проверочных элементов r,
определяется из соотношения:

, (6.2)
где i = 0, 1, 2, … .
Условие удовлетворяется при n = 11:
≤ 170.67
Число проверочных разрядов кода равно:
r =
11 - 5 = 6.
7. Теоретическое кодирование
Кодирование циклическим кодом можно произвести программным и аппаратным
способами. При программном методе преобразование комбинаций, обнаружение и
исправление ошибок производится путем алгебраических операций над многочленами,
для которых программируется вычислительная система.
Теоретическое кодирование
Циклический код может быть задан образующим полиномом g(x) степени 6. В качестве образующего полинома второй степени
возьмем неприводимый многочлен
g(x) = x6+x +1.
Этим полиномом определяются корректирующие возможности
разрабатываемого кода, вид кодирующих и декодирующих устройств.
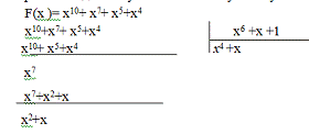
Преобразование комбинации G(x) = 10000 = x4 заданного кода МТК-2 в комбинацию циклического F(x) производится в соответствии с алгебраическим выражением (по
заданию циклический код должен быть разделимый с исправлением ошибок):
Умножением кодовой комбинации простого кода на одночлен Xr и
добавлением к этому произведению остатка от деления произведения Xr×P(x) на g(x). В результате получают
комбинацию разделимого циклического кода.
В нашем случае, F(x) = x4·x6 = x10
Далее произведем деление на g(x):
Добавляем остаток и получаем F(x)= x10+ x5+x4
Теперь можно записать комбинацию циклического кода: 1000011000. Таким
образом, произвели теоретическое кодирование.
8. Теоретическое декодирование
При теоретическом декодировании следует разделить принятую
приёмником комбинацию циклического кода на образующий полином. Получение
остатка при таком делении означает наличие ошибки. Если остатка нет, значит, в
комбинации нет ошибки. Каждому номеру ошибочных разрядов соответствует свой
остаток (синдром ошибки).
Для однократных ошибок синдром равен остатку от деления
полинома ошибки на образующий полином. Полином ошибки представляет собой сумму
по модулю два разрешённой комбинации и комбинации, содержащей ошибку в одном из
разрядов.
Синдромы ошибок для кода с обнаружением ошибок представлены в
таблице 3
Таблица 3 - Синдромы ошибок
|
Номер ошибочного разряда
|
Ошибочная комбинация
|
Синдром ошибки
|
|
1
|
10000000000 х10
|
x5+x4
|
|
2
|
01000000000 x9
|
x4+x3
|
|
3
|
00100000000 x8
|
x3+x2
|
|
4
|
00010000000 x7
|
x2+x
|
|
5
|
00001000000 x6
|
x+1
|
|
6
|
00000100000 x5
|
x5
|
|
7
|
00000010000 x4
|
x4
|
|
8
|
00000001000 x3
|
x3
|
|
9
|
00000000100 x2
|
x2
|
|
10
|
00000000010 x1
|
x
|
00000000001 x0
|
1
|
Комбинация без ошибки:
F(x)= x10+ x5+x4 - полином без ошибки, по
заданию ошибочный разряд - четвертый. Введем искусственно ошибку и получим
следующий вид полинома:

При делении F(x) на
образующий полином g(x) получается остаток x2+ x, что соответствует синдрому ошибки в четвертом
разряде.
9. Локальная сеть при управлении дороги
Локальные сети объединяют компьютеры одного здания или нескольких рядом
расположенных зданий в единую сеть, при этом технологии локальных сетей
обеспечивают экономичное соединение компьютеров за счёт использования
стандартных топологий и качественных кабельных систем. В результате селекции,
проведённой практикой, в арсенале разработчика осталось несколько базовых
технологий, на основе которых работает подавляющее количество современных
сетей: Ethernet, Token Ring, Token Bus, FDDI и др.
В курсовом проекте требуется построить локальную сеть в здании управления
дороги. Для этого используем наиболее популярную сетевую технологию Ethernet.
Схема локальной сети при Управлении дороги представлена на рисунке 4
Условные обозначения на схеме:
С - Сервер
РС - рабочая станция;
Пр-р - Принтер
Рисунок 4 - Схема локальной сети при Управлении дороги
Технические характеристики Коммутатора - Cisco WS-C3750X-48T-S: 48
портов, внутренняя пропускная способность 64 Гбит/сек, потребляемая мощность
350 Вт;
Технические характеристики Коммутатора - Cisco WS-C2960S-48FP-L: 48 портов,
пропускная способность от 1Гбит/с, потребляемая мощность 740 Вт;
Технические характеристики - Маршрутизатор CISCO2921-V/K9: 3 порта,
потребляемая мощность 60 Вт.
В соответствии со схемой локальной сети произведем расчет потребляемой
мощности. Принимаем, что один компьютер потребляет 300 Вт, принтер 150 Вт,
сервер 200 Вт.
Тогда общая потребляемая мощность будет равна 55900 Вт. Исходя из этого
значения, выбираем источник бесперебойного питания Newave Powerwave 33-60 S2 на
60 кВт. При максимальной нагрузке Newave Powerwave 33-60 проработает 22 минуты.
Заключение
В курсовом проекте разработана телеграфная станция при управлении дороги
ДУ1, предусмотрена связь её с главным узлом ГУ при МПС, узлами при управлениях
смежных дорог и отделениях, была разработана схема расположения узлов связи.
Также выполнен раздел по расчёту верности передачи данных, где были разработаны
методы теоретического и аппаратного кодирования и декодирования. В заключение
была спроектирована локальная сеть при управлении дороги.
Библиографический список
1. Кудряшов В.А., Семенюта Н.Ф. Передача дискретной
информации на железно-дорожном транспорте. М.: Транспорт, 1986.
2. Аджемов А.С., Кобленц А.И., Гордиенко В.Н. Многоканальная
электросвязь и каналообразующая телеграфная аппаратура. М.: Радио и связь,
1989.
3. Требина Е.Г., Черноусова В.С. Проектирование телеграфной
станции железно-дорожного узла: Метод. указ. по курсовой работе/ Омский
институт инженеров ж.д. транспорта. Омск, 1989.
. Требина Е.Г. Разработка устройств повышения верности в
системах передачи дискретной информации: Метод. указ. по курсовой работе/
Омский институт инженеров ж.д. транспорта. Омск, 1993.
5. Бронштейн И.Н., Семендяев К.А. Справочник по
математике. М.: Наука, 1980.