Управління дебіторською заборгованістю підприємства

  • Вид работы:
    Курсовая работа (т)
  • Предмет:
    Бухучет, управленч.учет
  • Язык:
    Украинский
    ,
    Формат файла:
    MS Word
    233,15 Кб
  • Опубликовано:
    2014-01-12
Вы можете узнать стоимость помощи в написании студенческой работы.
Помощь в написании работы, которую точно примут!

Управління дебіторською заборгованістю підприємства















Курсова робота

на тему

Управління дебіторською заборгованістю підприємства

ВСТУП

Актуальність теми. Розрахунки між підприємствами й організаціями - один із необхідних складників розширеного відтворення. Вони опосередковують розподіл і перерозподіл суспільного продукту, перехід його з товарної форми у грошову і навпаки. Розрахунки ґрунтуються на економічній базі кругообігу коштів у процесі виробництва і є суспільним визнанням того, що підприємство виконало свої зобов’язання й намічені цілі. У загальній сумі дебіторської заборгованості на розрахунки з покупцями припадає 80 - 90%.

Для нормального функціонування всіх ланок народного господарства необхідно, щоб підприємці, ухвалюючи рішення, мали достовірну інформацію про фінансовий стан підприємства, про стан дебіторської заборгованості та зобов’язань, про законність та обґрунтованість господарських операцій, в результаті яких вона виникла. Дебіторська заборгованість істотно погіршує фінансовий стан підприємства, вона є іммобілізацією грошових засобів, відверненням їх з господарського обороту, що приводить до зниження темпів виробництва і результативних показників діяльності підприємства, оскільки прострочена дебіторська заборгованість, по якій закінчився термін позовної давності, підлягає віднесенню на збитки підприємства. Зобов’язання, хоча є тимчасовим джерелом залученням позикових засобів, в результаті негативно впливають на стан підприємств, оскільки наявність зобов’язань зменшують їх фінансову стійкість та викликають ризик втрати платоспроможності.

Сучасні ринкові вимоги змушують підприємства продавати свої товари в кредит та з відстрочкою платежу. Це необхідно робити для того, щоб витримати жорстку конкуренцію на ринку попиту товарів та послуг. Тому виникнення такого явища як дебіторська заборгованість є цілком об’єктивним та потребує детального вивчення. Перш ніж розробляти заходи з ефективного управління та вдосконалення, необхідно здійснити детальний аналіз дебіторської заборгованості.

На сьогоднішній день питанню теоретичного та практичного дослідження сутності та необхідності аналізу стану дебіторської заборгованості присвячено багато робіт як іноземних, так і вітчизняних авторів. Проте не дивлячись на значний інтерес до цього питання, проблема аналізу стану дебіторської заборгованості на підприємствах України на сьогоднішній день не достатньо вивчене, тому потрібно продовжувати пошук нових методів вирішення кризи неплатежів дебіторської заборгованості та її постійного зростання.

Метою курсової роботи є аналіз і дослідження механізму управління дебіторською заборгованістю у процесі виконання забов’язань підприємства.

Для досягнення поставленої мети необхідно виконати наступні завдання:

.        Визначення нормативно-правової бази управління дебіторською заборгованістю підприємством та її аналіз;

.        Проаналізувати стан та динаміку дебіторської заборгованості на підприємствах України;

.        Дослідити особливості формування кредитної політики управління дебіторською заборгованістю та розробити заходи з підвищення їх дієвості;

.        Розробити шляхи покращення управління дебіторською заборгованістю.

Об’єктом дослідження є господарська діяльність підприємств України.

Предметом дослідження є управління дебіторською заборгованістю у процесі виконання забов’язань підприємства.

Методи дослідження, що використовувались при написанні курсової роботи:

ü  Аналітичний метод;

ü  Порівняльний метод;

ü  Метод спостереження;

ü  Вивчення наукових публікацій і статей;

ü  Метод узагальнення;

ü  Методи формальної логіки (індукція і дедукція);

ü  Системні методи;

ü  Логічний метод;

ü  Структурно - функціональні методи;

ü  Економіко - математичний метод.

РОЗДІЛ 1. Теоретичні аспекти та нормативна база управління дебіторською заборгованістю у процесі виконання забов’язань підприємства

1.1    Нормативно-правова база управління дебіторською заборгованістю підприємства

Законом України «Про бухгалтерський облік і фінансову звітність в Україні» визначено, що аналіз забезпечує надання користувачам фінансової звітності для прийняття відповідних рішень повної та правдивої інформації про фінансовий стан, власний капітал, результати діяльності та рух грошових коштів підприємства [2]. Положення (стандарти) бухгалтерського обліку 10 «Дебіторська заборгованість» та 11 «Зобов’язання» регламентуються на рівні законодавства України.

П(С)БО 10 визначає методологічні засади формування у бухгалтерському обліку інформації про дебіторську заборгованість та її розкриття у фінансовій звітності підприємств. Норми даного Положення (стандарту) застосовуються підприємствами, організаціями та іншими юридичними особами незалежно від форм власності (крім бюджетних установ). Це положення (стандарт) застосовується з урахуванням особливостей оцінки та розкриття інформації щодо дебіторської заборгованості, встановлених іншими положеннями (стандартами) бухгалтерського обліку [8].

П(С)БО 11 визначає порядок формування та відображення у звітності інформації про зобов’язання. П(С)БО 11 розроблено на основі Міжнародного стандарту бухгалтерського обліку (МСБО) 37 «Забезпечення, непередбачені зобов’язання та непередбачені активи». Визначення сутності забезпечень майбутніх витрат і платежів у обох стандартах повністю співпадають.

Основними етапами організації бухгалтерського обліку зобов’язань є:

Ø  чітке документування розрахунків;

Ø  своєчасна та повна реєстрація даних первинного обліку в регістрах;

Ø  правдиве відображення інформації щодо дебіторської заборгованості та зобов’язань у фінансовій звітності та примітках до неї.

Перевіряючи правильність бухгалтерського обліку і відображення у фінансовій звітності дебіторської заборгованості та зобов’язань підприємств, аудитор повинен контролювати дотримання підприємством-клієнтом таких основних законодавчих та нормативних актів.

1. Закон України „Про бухгалтерський облік та фінансову звітність в Україні» від 16.07.99 № 996-ХІV [2].

2. Плани рахунків бухгалтерського обліку активів, капіталу, зобов’язань і господарських операцій підприємств і організацій.

3. Положень (стандартів) бухгалтерського обліку П(С)БО, затверджених відповідними наказами Міністерства фінансів України:

- П(С)БО 1 «Загальні вимоги до фінансової звітності»;

 П(С)БО 2 «Баланс»;

 П(С)БО 3 «Звіт про фінансові результати»;

 П(С)БО 4 «Звіт про рух грошей»;

 П(С)БО 10 «Дебіторська заборгованість»;

П(С) БО 15 «Дохід»;

 П(С) БО 16 «Витрати». [3-9]

1.2    Сутність дебіторської заборгованості підприємства

дебіторський заборгованість зобов’язання

У процесі діяльності підприємство не завжди здійснює розрахунки з іншими підприємствами, банківськими установами або фізичними особами одночасно з передачею майна, виконанням робіт, отриманням коштів, товарів тощо. У зв’язку із цим у підприємства виникає дебіторська заборгованість та зобов’язання.

Дебіторська заборгованість визначається як сума заборгованості дебіторів підприємству на певну дату. Дебіторами можуть бути як юридичні, так і фізичні особи, які заборгували підприємству грошові кошти, їх еквіваленти або інші активи. За даними бухгалтерського обліку можна визначити суму заборгованості на будь-яку дату, але звичайно така сума визначається на дату балансу. Оскільки відповідно до вимог національних стандартів бухгалтерського обліку підприємства подають також проміжну (квартальну) звітність, то суму дебіторської заборгованості підприємства слід визначати щоквартально.

Дебітори - юридичні та фізичні особи, які внаслідок минулих подій заборгували підприємству певні суми грошових коштів, їх еквівалентів або інших активів.

Дебіторська заборгованість, як і інші активи підприємства, відображається в балансі тільки при дотриманні загальної вимоги, яка пред'являється до активів національними стандартами, а саме:

Ø  може бути достовірно визначена грошова оцінка цієї дебіторської заборгованості;

Ø  у майбутньому очікується одержання від неї економічних вигод, тобто одержання грошових коштів, товарів, інших активів або зменшення зобов’язань.

П(С)БО №10 "Дебіторська заборгованість" визначає методи оцінки дебіторської заборгованості на етапах зарахування її на баланс підприємства, при відображенні у фінансовій звітності на дату балансу і при списанні з балансу як безнадійної.

Спочатку дебіторська заборгованість приймається на баланс за історичною (фактичною) собівартістю. Вона являє собою вартість придбаних дебітором активів (товарів, нематеріальних активів, виконаних робіт, наданих послуг, коштів, нарахованих до одержання відсотків і т.д.).

П(С)БО №10 встановлює особливий порядок оцінки дебіторської заборгованості за продукцію, роботи, товари, послуги.- вона зараховується на баланс (визнається в обліку) одночасно з визнанням доходу. [8] Таким чином, для визнання поточної дебіторської заборгованості за продукцію, товари, роботи, послуги необхідно, щоб виконувалися критерії визнання доходу (П(С)БО 15, п.8):

Ø  покупцеві передані ризики й вигоди, пов’язані з правом власності на продукцію (товар, інший актив);

Ø  підприємство не здійснює надалі управління та контроль за реалізованою продукцією (товарами, іншими активами);

Ø  сума доходу (виручка) може бути достовірно визначена;

Ø  є впевненість, що в результаті операції відбудеться збільшення економічних вигод підприємства, а витрати, пов’язані з цією операцією, можуть бути достовірно визначені.

Момент передачі ризиків й вигод, пов’язаних з правом власності на продукцію, товари, роботи, послуги визначається на основі вивчення угоди поставки продукції (товару, послуг), яка укладена між підприємством та покупцем, та обставин операції.

Дебіторська заборгованість, як правило, представлена у вигляді кредиту, що надається по відкритому рахунку. Єдиним доказом того, що покупець винен постачальнику гроші за отримані ним товари чи послуги, є запис в бухгалтерських книгах і рахунок, підписаний покупцем. Щоб захистити себе від ризику несплати по рахунках, постачальник може вимагати оформлення комерційного кредиту шляхом виписки простого або переказного векселя або виставлення покупцем акредитиву.

Розмір дебіторської заборгованості визначається багатьма факторами, які поділяються на зовнішні та внутрішні. Фактори, що визначають розмір дебіторської заборгованості зображені на рисунку 1.1.

Рис. 1.1. Фактори, що визначають розмір дебіторської заборгованості

Зовнішні фактори практично не залежать від діяльності підприємств і обмежити їх вплив досить складно. Внутрішні - залежать від того, наскільки фінансові менеджери фірми володіють навичками управління дебіторською заборгованістю.

1.3    Класифікація дебіторської заборгованості підприємства

В сучасних умовах для багатьох вітчизняних підприємств типовим наслідком кризових явищ є гостра нестача обігових коштів, яка супроводжується низьким рівнем їх використання. Розвиток ринкових відносин в Україні та досвід зарубіжної системи господарювання визначають залежність результатів діяльності підприємств від ефективності управління обіговими коштами підприємства. Саме за таких умов система управління дебіторською заборгованістю як важливий чинник підвищення ефективності функціонування підприємств набуває особливої актуальності.

Проблематику класифікації дебіторської заборгованості висвітлено у працях М.Д. Білик [11], Р.М. Іванчук, О.А. Іванчук [16], Д.В. Глінкіної [13] і т. п.

Класифікація дебіторської заборгованості є дієвим методом вивчення цього складного економічного та правового явища, яка надає можливість виявити причини виникнення та існування, а також склад дебіторської заборгованості з метою прийняття управлінських рішень та застосування ефективних методів та інструментів щодо управління нею.

Заслуговують на увагу запропоновані Н.М. Новіковою два підходи щодо класифікації дебіторської заборгованості: бухгалтерський та управлінський, з якими ми погоджуємося, але вважаємо, що дебіторську заборгованість можна розглядати не лише з управлінської та бухгалтерської точки зору, а й ще з економічної та юридичної. Виходячи з вищевикладеного вважаємо за необхідне розширити та доповнити класифікацію дебіторської заборгованості за допомогою економічного та юридичного підходів. [15, С. 18]

Класифікація дебіторської заборгованості на базі бухгалтерського підходу дозволяє коректно відобразити дебіторську заборгованість згідно з вимогами бухгалтерського обліку.

Управлінський підхід до класифікації дебіторської заборгованості надає можливість систематизувати інформацію для ухвалення та реалізації рішень щодо управління дебіторською заборгованістю.

Економічний підхід щодо класифікації дебіторської заборгованості дозволяє визначити рівень дотримання фінансово розрахункової дисципліни, доцільність існування дебіторської заборгованості та розміри обігових коштів, що можуть бути спрямованими в дебіторську заборгованість.

Класифікація дебіторської заборгованості на основі юридичного підходу дозволяє розглянути дебіторську заборгованість з точки зору юридичної відповідальності, тобто визначення законності утворення, існування та стягнення, а також дозволяє виділити з існуючої заборгованості борги, що не підлягають управлінню й мають бути стягненні із застосуванням юридичних методів впливу, тобто у судовому порядку.

На основі бухгалтерського підходу здійснено класифікацію дебіторської заборгованості багатьма науковцями, але аналіз за цим підходом показав, що не дивлячись на значну кількість сучасних досліджень, науковці не дійшли згоди практично з жодної позиції. Проведення узагальнення та систематизація класифікації дебіторської заборгованості за бухгалтерським підходом дозволили виділити шість класифікаційних ознак.

.        Залежно від операційного циклу П.Б. Кватирка, С.Л. Береза, К.С. Сурніна поділяють дебіторську заборгованість на товарну та нетоварну та М.Д. Білик виділяє товарну та іншу дебіторську заборгованість.

Заборгованість називається товарною (операційною), якщо вона виникає внаслідок звичайної операційної діяльності підприємства та може передбачати продаж товарів, виконання робіт чи надання послуг.

Нетоварна (неопераційна) дебіторська заборгованість виникає від іншої діяльності підприємства (тобто операцій інших, ніж продаж товарів, виконання робіт або надання послуг).

.        Залежно від термінів виникнення заборгованості автори розробники П(С)БО, Д.В. Глінкіна, П.Б. Кватирка, С.Л. Береза, Б.О. Жнякін, В.В. Краснова, К.С. Сурніна, Н.М. Новікова поділяють дебіторську заборгованість на довгострокову та поточну.

Поточна дебіторська заборгованість - це сума дебіторської заборгованості, яка виникає в ході нормального операційного циклу або буде погашена протягом двадцяти місяців з дати балансу.

Довгострокова дебіторська заборгованість - це сума дебіторської заборгованості, яка виникає в ході нормального операційного циклу або буде погашена після дванадцяти місяців з дати балансу. До довгострокової дебіторської заборгованості відносять: заборгованість орендаря за фінансовою орендою, яка відображається в балансі орендодавця; надання позик іншим підприємствам; надання позик фізичним особам; заборгованість, що виникає при надзвичайних подіях - пожежі, повені, крадіжці тощо.

.        Залежно від термінів позовної давності М.Д. Білик та Б.О. Жнякін, В.В. Краснова поділяють дебіторську заборгованість на термінову та прострочену, С.Л. Береза пропонує поділяти дебіторську заборгованість на: термін сплати не настав, прострочену та відстрочену, Н.М. Новікова виділяє непрострочену та прострочену.

До строкової відноситься дебіторська заборгованість, строк погашення якої ще не настав або становить менше одного місяця та пов’язана з нормальними строками розрахунків, визначеними в угодах.

Прострочена дебіторська заборгованість - це заборгованість із порушенням договірних термінів.

Відстрочена дебіторська заборгованість - це заборгованість за якою відстрочено виконання забов’язань.

.        Залежно від ймовірності погашення Р.М. Іванчук та О.А. Іванчук, Б.О. Жнякін, В.В. Краснова виділяють сумнівну та безнадійну дебіторську заборгованість, також доповнює вищезазначені види дебіторської заборгованості П.Б. Кватирка бездоганною та С.Л. Береза нормальною, але безнадійну дебіторську заборгованість , у свою чергу, поділяє на затребувану та незатребувану. Н.М. Новікова виділяє дебіторську заборгованість із ймовірністю повернення в інтервалі 0.7-1.0, із ймовірністю повернення в інтервалі 0.2-0.7 й із ймовірністю повернення менше 0.2.

Нормальна дебіторська заборгованість (бездоганна, із ймовірністю повернення в інтервалі 0.2-0.7) - поточна дебіторська заборгованість , що не забезпечена відповідними гарантіями та щодо якої існує впевненість про її неповернення боржником або за якою минув строк позовної давності.

.        За статтями бухгалтерського балансу Н.М. Новікова виділяє дебіторську заборгованість за товари, роботи, послуги, дебіторську заборгованість із бюджетом за виданими авансами, із нарахованих доходів, із внутрішніх розрахунків, іншу поточну дебіторську заборгованість.

.        Залежно від оцінки суми заборгованості Н.М. Новікова виділяє первісну вартість та чисту реалізаційну вартість. [15, С. 19 - 20]

Первісна вартість дебіторської заборгованості - фактичний обсяг забов’язань боржника, які підлягають погашенню на час її виникнення.

Чиста реалізаційна вартість дебіторської заборгованості - це поточна дебіторська заборгованість за товари, роботи, послуги за мінусом резерву сумнівних боргів.

Здійснення класифікації дебіторської заборгованості за управлінським підходом є важливим моментом при прийнятті управлінських рішень, тому вважаємо доцільним не лише дослідити існуючі класифікаційні ознаки, а ще доповнити та розширити класифікацію за даним підходом.

Дослідження класифікації дебіторської заборгованості за управлінським підходом також свідчить про те, що, незважаючи на значну кількість сучасних досліджень, науковці не дійшли згоди практично не по одній класифікаційній ознаці.

Проведене узагальнення та систематизація класифікації дебіторської заборгованості за управлінським підходом дозволити виділити такі класифікаційні ознаки:

.        Залежно від часового аспекту П.Б. Кватирка виділяє дебіторську заборгованість від 1 до 15 днів, від 15 до 30 днів, від 30 до 60 днів, від 60 до 90 днів, від 90 до 120 днів, від 120 до 180 днів, від 180 до 360 днів та понад 365 днів, Н.М. Новікова пропонує класифікувати дебіторську заборгованість до 30 днів, від 30 до 60 днів, від 60 до 90 днів, від 90 до 120 днів, від 120 до 180 днів, від 180 до 360 днів та понад 365 днів, Н.М. Новікова пропонує класифікувати дебіторську заборгованість до 30 днів, від 30 до 60 днів, від 60 до 90 днів та за іншими термінами.

Ранжування дебіторської заборгованості за строками дозволяє контролювати та застосовувати відповідні методи впливу на боржників для того, щоб не допустити її прострочення.

.        Залежно від ступеня дотримання фінансової дисципліни М.Д. Білик, Р.М. Іванчук, О.А. Іванчук та Н.М. Новікова розрізняють виправдану (допустиму, нормальну) та невиправдану дебіторську заборгованість. Допустима дебіторська заборгованість не є наслідком недоліків у господарській діяльності підприємства та виникає в результаті форм розрахунків за товари та послуги. Н.М. Новікова під нормальною дебіторською заборгованістю розуміє заборгованість, обумовлену шляхом виконання виробничої програми, а також діючими формами розрахунків з нормальними термінами документообігу. Тобто до виправданої (нормальної) Р.М. Іванчук, О.А. Іванчук, Н.М. Новікова відносять заборгованість, термін погашення якої ще не настав або становить менше одного місяця. М.Д. Білик, Р.М. Іванчук, О.А. Іванчук, Н.М. Новікова дійшли згоди щодо розуміння недопустимої дебіторської заборгованості, яка виникає в результаті порушення розрахункової та фінансової дисципліни, наявних недоліків ведення звіту, ослаблення контролю за відпуском товарно-матеріальних цінностей, виникнення нестач та крадіжок.

.        Залежно від територіального розміщення боржника М.Д. Білик, П.Б. Кватирка, С.Л. Береза обліковують окремо вітчизняних та іноземних дебіторів, Л.О. Лігоненко, Н.М. Новікова виділяють боржників району діяльності підприємств, контрагентів інших областей та контрагентів країни, при цьому вищезазначені вчені не зазначають зовнішніх боржників.

.        За забезпеченістю М.Д. Білик виділяє забезпечену та незабезпечену. При визначенні сумнівності заборгованості для обліку та та управління важливим є поділ заборгованості для обліку та управління важливим є поділ заборгованості за забезпеченістю (гарантія, застава, порука, вексель).

.        Залежно від статусу дебітора заборгованість може бути державного підприємства, недержавного підприємства, приватного підприємства, бюджетної установи, фінансової установи, населення.

.        Залежно від безпечності фінансового положення для функціонування підприємства визначають такі розміри дебіторської заборгованості: мінімальний, нормальний та максимальний. [15, С. 20 - 21]

Мінімальний розмір дебіторської заборгованості - це сума боргів, яка не впливає на фінансове становище підприємства,.

Нормальний розмір дебіторської заборгованості - це сума боргів, яка реально може існувати, тобто не завдає шкоди фінансовому стану підприємства та пов’язана з нормальною діяльністю.

Максимальний розмір дебіторської заборгованості - це сума боргів, яка може призвести до банкрутства підприємства.

.        Також доцільно доповнити класифікацію дебіторської заборгованості наступною класифікаційною ознакою «залежно від керованості дебіторської заборгованості», що передбачає її розподіл на керовану та некеровану.

До керованої дебіторської заборгованості відносять ту частину дебіторської заборгованості, яка підлягає контролю та при управлінні якою витрати часу та грошових коштів будуть оптимальними та виправданими.

До некерованої дебіторської заборгованості слід віднести ту її частину, управлінський вплив на яку не дасть очікуваних результатів, при оптимальному використанні ресурсів.

Згідно з юридичним підходом щодо класифікації дебіторської заборгованості пропонуємо виділити такі ознаки:

1.      Залежно від здійснення впливу на боржників дебіторська заборгованість може бути затребувана або незатребувана.

Затребувана дебіторська заборгованість - це заборгованість, за якою підприємство - кредитор здійснило заходи впливу на боржників, спрямованих на її повернення. І відповідно незатребувана дебіторська заборгованість - це заборгованість, за якою підприємство - кредитор не здійснило заходи впливу на боржників, спрямованих на її повернення.

2.      Залежно від законності утворення можна виділити законно та незаконно утворену дебіторську заборгованість.

Економічний підхід щодо класифікації дебіторської заборгованості висуває такі ознаки.

1.      Залежно від доцільності існування дебіторська заборгованість поділяється на доцільну та недоцільну.

2.      Залежно від джерела утворення виділяють власні кошти, авансовані в дебіторську заборгованість, та позикові кошти, авансовані в дебіторську заборгованість.

Залежно від джерела утворення виділяють власні кошти, авансовані в дебіторську заборгованість, та позикові кошти, авансовані в дебіторську заборгованість. [15, С. 20 - 21]

1.4    Управління дебіторською заборгованістю у процесі виконання забов’язань підприємствами

У сучасній практиці в Україні управління дебіторською заборгованістю є одним із найважливіших і водночас складних елементів управління оборотними активами. Порушення нормального циклічного процесу її утворення та погашення може бути не тільки причиною виникнення проблем для підприємства (зниження рентабельності активів, втрата їхньої ліквідності), а й спричинити розвиток глобальної кризи неплатежів.

Більшість вітчизняних підприємств приймають рішення щодо утворення і погашення дебіторської заборгованості на інтуїтивній основі. Часто з цього питання відсутня навіть більш-менш обґрунтована і постійна політика. Це може призвести до прямих фінансових втрат або до недоотримання частини прибутку. Все це робить дуже актуальною проблему управління дебіторською заборгованістю.

Досягнення більших прибутків за рахунок регулювання товарообороту визначається не тільки політикою ціноутворення, а й політикою реалізації товарів у кредит. При цьому оборотність товарних запасів підвищується, але збільшується обсяг інвестицій у дебіторську заборгованість, що затримує повернення коштів. Тому обґрунтоване управлінське рішення щодо доцільності надання товарного кредиту та його розміру повинно базуватися на визначенні оптимальної дебіторської заборгованості (в абсолютному вимірі та як частки продажу в кредит у загальному товарообороті).

Систему управління найзначнішими чинниками впливу звичайно відносять до категорії "кредитна політика". У цілому політика управління дебіторською заборгованістю являє собою частину загальної політики управління оборотними активами і маркетингової політики підприємства. Вона спрямована на розширення обсягу реалізації продукції та цієї заборгованості та полягає в оптимізації загального розміру й забезпеченні своєчасної її інкасації. Алгоритм управління дебіторською заборгованістю зображені на рисунку 1.2.

Рис. 1.2. Алгоритм управління дебіторською заборгованістю [24]

У сучасній комерційній і фінансовій практиці реалізація продукції в кредит, тобто з відстроченням платежу за неї, набула поширення як у нашій країні, так і в країнах із розвинутою ринковою економікою.

У процесі формування принципів кредитної політики стосовно покупців продукції ставляться два основних питання - в яких формах здійснювати реалізацію продукції у кредит та який тип кредитної політики варто обрати.

Вибір форм реалізації у кредит визначається галузевою приналежністю підприємства та характером реалізованої продукції (товарів, послуг).

Тип кредитної політики характеризує принципові підходи до її здійснення з позиції співвідношення рівнів прибутковості та ризику кредитної діяльності підприємства. Розрізняють три принципових типи кредитної політики підприємства стосовно покупців продукції - консервативний (спрямований на мінімізацію кредитного ризику), помірний (характеризує типові умови й орієнтоване на середній рівень кредитного ризику від продажу продукції з відстроченням платежу), агресивний (спрямований на максимізацію додаткового прибутку за рахунок розширення обсягу реалізації продукції в кредит).

У процесі вибору типу кредитної політики повинні враховуватися наступні чинники: сучасна комерційна та фінансова практика здійснення торгових операцій; загальний стан економіки, що визначає фінансові можливості покупців, рівень їхньої платоспроможності; сформована кон'юнктура товарного ринку, стан попиту на продукцію підприємства; потенційна здатність підприємства нарощувати обсяг виробництва продукції при розширенні можливостей її реалізації за рахунок надання кредиту; правові умови забезпечення стягнення дебіторської заборгованості; фінансові можливості підприємства в частині відволікання засобів у дебіторську заборгованість; фінансовий менталітет власників і менеджерів підприємства, їхнє ставлення до рівня допустимого ризику у процесі здійснення господарської діяльності.

Під час здійснення обробки інформації для побудови кредитної політики пропонуємо в умовах комп’ютеризації, використовуючи програмне забезпечення, створювати модуль "Управління кредитною політикою". У цьому модулі розробка кредитної політики підприємства повинна проводитися шляхом побудування економіко-математичної моделі за п’ятьма етапами, які зображені на рисунку 1.3.

Рис. 1.3. Етапи кредитної політики підприємства до контрагентів [24]

Таким чином, модулем передбачено, що перший етап "Період кредитування (термін надання кредиту)" характеризує граничний період, на який покупцю надається відстрочення платежу за реалізовану продукцію. Збільшення терміну надання кредиту стимулює обсяг реалізації продукції, однак призводить у той же час до збільшення суми фінансових коштів, що інвестуються в дебіторську заборгованість, і збільшення тривалості фінансового та всього операційного циклу підприємства.

Період кредитування дорівнює середньому періоду погашення дебіторської заборгованості в днях, який можна розрахувати за даними попередніх періодів у середньому по галузі. Можна взяти цей показник по аналогічних підприємствах. Вихідними даними для розрахунку середнього періоду погашення дебіторської заборгованості є виручка від реалізації продукції у кредит; середній розмір дебіторської заборгованості; тривалість періоду, що аналізується, у днях.

Особливе значення має прогнозування розміру виручки від реалізації, на якому базуються всі інші розрахунки. Збільшення терміну, що надається для оплати рахунків, наприклад, з 30 до 60 днів, приводить до залучення нових покупців, збільшення попиту на товар і обсягів продажів.

На другому етапі "Формування кредиту" модулем передбачено проведення таких розрахунків: розмір наданого кредиту (кредитний ліміт); вартість надання кредиту; система штрафних санкцій за прострочення виконання зобов’язань покупцями.

На третьому етапі "Стандарти кредитоспроможності" здійснюється оцінка покупців, в основі якої лежить їхня кредитоспроможність. Кредитоспроможність покупця характеризує систему умов, що визначають його здатність залучати кредит у різних формах і в повному обсязі в передбачений термін виконувати всі пов'язані з ним фінансові зобов'язання.

На цьому етапі проводиться оцінка фінансового стану покупців за рівнями: 1-й рівень - числення значень показників, що характеризують фінансовий стан покупця та 2-й рівень - оцінка й узагальнення показників і визначення класу надійності покупця.

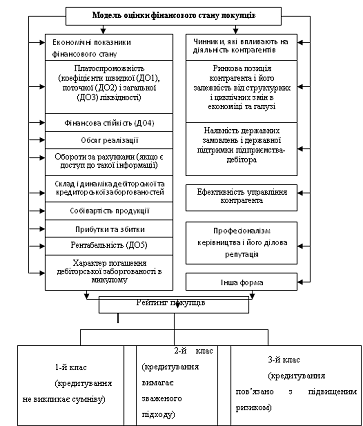
Таким чином, для оцінки фінансового стану покупців пропонуємо використати модель, модуль якої орієнтований на розрахунок низки економічних показників та врахування суб`єктивних чинників, що впливають на діяльність покупців, які зображені на рисунку 1.4.


Рис. 1.3. Схема економіко-математичної моделі оцінки фінансового стану покупців [24]

Останнім п’ятим елементом модуля "Управління кредитною політикою" є "Надання знижок за дострокову оплату рахунків".

Підприємство може прийняти рішення про умови кредитування "2/10 повна сума 30", що означає обов'язкову оплату відвантаженої продукції протягом 30 днів, а зі знижкою 2% у разі оплати рахунків протягом перших 10 днів. Використання знижок для прискорення платежів дебіторів є дешевим способом одержання коштів.

Отриманий результат порівнюється з банківським відсотком: якщо ціна знижки нижче ставки банківського відсотка, то для підприємства дешевше буде залучити засоби, надавши знижку дебіторам, ніж одержати кредит у банку. Слід зазначити, яка частина покупців буде користуватися знижками за дострокову оплату.

Оскільки основними нормативами формування кредитної політики під час побудови модуля "Управління кредитною політикою" є тривалість терміну кредиту і розмір знижки, що надається покупцям залежно від терміну оплати, необхідно обґрунтувати такі оптимальні умови кредитування, що забезпечили б підприємству прибуток і зменшили ризик неповернення кредиту. Для цього необхідно враховувати такі обмежуючі умови: прибуток, отриманий від прискорення інкасації, повинен бути більше, ніж можливі витрати від збільшення розміру знижок.

Іншим важливим чинником формування кредитної політики є термін кредиту. У результаті впливу цього чинника дебіторська заборгованість зросте і буде складатися із заборгованості, утвореної за рахунок розширення реалізації, і заборгованості від зміни інкасової політики щодо попереднього продажу.

На підставі аналізу динаміки дебіторської заборгованості підприємства і складеного прогнозу її стану керівники приймають рішення щодо стратегії кредитної політики підприємства, використовуючи такі складові: період кредитування; розмір наданого кредиту; вартість надання кредиту; система штрафних санкцій за прострочення виконання зобов'язань покупцями; стандарти кредитоспроможності; політика інкасації; знижки. Модель також дозволяє визначити рейтинг покупців, згрупувавши їх за трьома класами. Шляхом цього можна оцінити їх кредитоспроможність, що зрештою дає змогу виявити рівень їх кредитування. [24]

РОЗДІЛ 2. Аналіз стану та динаміки дебіторської заборгованості на підприємствах України, а також удосконалення управління дебіторською заборгованістю у процесі виконання зобов’язань підприємствами

2.1    Стан та динаміка дебіторської заборгованості на підприємствах України

При проведенні аналізу стану дебіторської заборгованості на підприємствах України прослідковується динаміка зростання загального показника дебіторської заборгованості. Аналіз стану поточної та довгострокової дебіторської заборгованості станом на 1 січня 2006 р. та 1 січня 2007 р. для українських підприємств, крім малих та бюджетних установ наведено у таблиці 2.1.

У 2007 році відбулося зростання довгострокової дебіторської заборгованості у порівнянні з 2006 роком на 9235,6 млн грн.

При чому збільшення даного показника відбулося як за рахунок зростання дебіторської заборгованості між підприємствами та установами України, так і за рахунок збільшення суми дебіторської заборгованості із суб’єктами господарської діяльності інших країн.

Заслуговує на увагу довгострокова дебіторська заборгованість із внутрішніх розрахунків, яка в аналізованому періоді зросла у 108 разів, що в абсолютному значенні складає 5298,3 млн грн.

Проте, довгострокова дебіторська заборгованість за товари, роботи і послуги зросла незначно, а саме на 108,8%, що в абсолютному значенні складає 710,3 млн грн у 2007 році в порівнянні з 2006.

Дебіторська заборгованість з оплати праці відсутня у аналізованих роках, тобто в 2006-2007рр.

Варто зазаначити, що відбулося зменшення дебіторської заборгованості за векселями на 772,1 млн грн (на 19,3%) у 2007 році порівняно з 2006.

Поточна дебіторська заборгованість станом на 1 січня 2007 р. первищувала аналогічний показник станом на 1 січня 2006 р. на 116740,4 млн грн. З одного боку це свідчить про поглиблення кризи неплатежів, а з іншого - про існуючу довіру між підприємствами України.

Поточна дебіторська заборгованість за товари, роботи, послуги за аналізований період зросла на 58099,3 млн грн (на 131,5%). Даний вид дебіторської заборгованості є основним у загальній сумі збільшення поточної дебіторської заборгованості, що зросла на 116740,4 млн грн (130,3%).

Таблиця 2.1.Поточна та довгострокова дебіторська заборгованість на підприємствах України за 2006 та 2007рр.


На наш погляд детальнішого аналізу потребує дебіторська заборгованість із внутрішніх розрахунків. Даний вид заборгованості, на відміну від перважної більшості, знизився на 4037,0 млн грн та у 2007 році склав лише 84,7 % вартості 2006 року.

Відбулося також зниження дебіторської заборгованості за векселями у 2007 році в порівнянні з 2006 р. на 3428,4 млн грн, що призвело до зменшення показника на 21,4%.

Для кращого наочного сприйняття динаміка росту довгострокової та поточної дебіторської заборгованості на підприємствах України за 2006 та 2007 р. подані у рисунку 2.1.

Рисунок 2.1. Аналіз стану поточної та довгострокової дебіторської заборгованість на підприємствах України в 2006 та 2007 р.

На рисунку 2.1. яскраво простежуються тенденції зростання як поточної, так і довгострокової дебіторської заборгованості у аналізованих роках.

На вищезазначеному рисунку чітко простежується значна перевага поточної дебіторської заборгованості над довгостроковою у загальній сумі дебіторської заборгованості як у 2006, так і 2007 роках.

Виходячи з вищенаведеного аналізу стану дебіторської заборгованості необхідно значну увагу приділяти управлінню портфелем дебіторської заборгованості для досягнення результатів її зменшення, проте цей процес є досить складним і трудомістким.

У сучасних умовах господарювання основна мета аналізу полягає в розробці класифікації дебіторської заборгованості, що дозволить ефективніше управляти нею на рівні підприємства, та відповідно в перспективі призведе до покращення фінансового стану підприємства.

Проаналізувавши стан дебіторської заборгованості у 2006 та 2007 р. автори дійшли висновку про зростаючу кризу неплатежів на підприємствах.

Аналіз поточної та довгострокової і дебіторської заборгованості на підприємствах України за 2006 та 2007 р., сприятиме зверненню уваги для вирішення питань по зростанню дебіторської заборгованості та здійсненню подальшого, більш глибокого аналізу не лише на рівні держави, а й на самих підприємствах. [24]

2.2 Сучасні альтернативні методи управління дебіторською заборгованістю

Згідно з П(С)БО 10 «Дебіторська заборгованість», дебіторська заборгованість - сума заборгованості дебіторів підприємству на певну дату. А, відповідно, дебітори - юридичні та фізичні особи, які внаслідок минулих подій заборгували підприємству певні суми грошових коштів, їх еквівалентів або інших активів. [8]

Виникнення дебіторської заборгованості - це об’єктивний процес, який зумовлений існуванням ризиків при проведенні взаєморозрахунків між контрагентами за результатами господарської операції. Проте на її розмір та структуру впливає ряд факторів, які можна поділити на три основні групи:

1)       загальноекономічні (зовнішні) фактори (стан економіки в країні, ефективність грошово-кредитної політики НБУ, рівень інфляції, стан розрахунків тощо);

2)      галузеві фактори (стан галузі, до якої належить господарська діяльність компанії; динаміка виробництва виду продукції, яку виготовляє компанія, та попит на неї);

)        внутрішні фактори (організаційно-правова структура та форма власності компанії, фінансовий менеджмент компанії тощо). [23]

Врахування даних факторів дозволить покращити управління дебіторською заборгованістю.

На нашу думку, управління дебіторською заборгованістю слід розглядати як процес планування, організації, координації, мотивації та контролю стану дебіторської заборгованості, який необхідний для досягнення цілей підприємства, іншими словами, як розробка відповідних управлінських рішень, що приймаються на різних стадіях формування та погашення дебіторської заборгованості.

Сучасна практика фінансового менеджменту пропонує два способи управління дебіторською заборгованістю на підприємстві: самостійне управління та управління на основі аутсорсингу. При самостійному управлінні дебіторською заборгованістю використовуються виключно ресурси компанії (трудові, фінансові, технічні). Для цього можуть створюватися спеціалізовані служби: кредитні контролери, служби безпеки і т.п. [21]

Для управління дебіторською заборгованістю та зниження ризику її виникнення в рамках самостійного управління можливе використання таких заходів:

1.      контроль за станом розрахунків з дебіторами для зменшення/ліквідації відстроченої/простроченої заборгованості;

.        орієнтація на більшу кількість дебіторів для зменшення ризику несплати одним або кількома великими дебіторами;

.        відстеження співвідношення дебіторської та кредиторської заборгованості (значне перевищення дебіторської заборгованості створює загрозу фінансовій стійкості підприємства);

.        використання методу надання знижок за умови дострокового погашення заборгованості. Як свідчить практика ведення бізнесу в країнах з розвинутою ринковою економікою надання знижок широко застосовується підприємницькими структурами (оскільки така політика забезпечить прибуток на одержані достроково кошти, і його розмір буде більшим, аніж розмір наданої знижки). Якщо компанії не використовують знижку за умови дострокового погашення заборгованості, то вони втрачають частину прибутку. [22]

.        оцінка платоспроможності та ділової репутації дебіторів; в цьому контексті важливою буде інформація про нових ділових партнерів;

.        робота тільки за умови 100% передоплати, якщо є невпевненість в погашенні дебіторської заборгованості; робота за 100% передоплатою при перших поставках товару, виконанні робіт, наданні послуг, тобто перевірка сумлінності і платіжної дисципліни нового контрагента.

.        лімітування дебіторської заборгованості, тобто встановлення максимальних сум кредитування контрагентів, наприклад, при продажу товарів в кредит. Встановлення термінів надання кредиту.

.        ретельний юридичний аналіз договірної документації. Використання в договорі пункту про санкції за порушення умов співпраці та інших способів забезпечення зобов'язань.

.        страхування ризиків (найпоширеніший спосіб).

.        самострахування ризиків, пов’язаних з дебіторською заборгованістю, зокрема шляхом створення резерву сумнівних боргів. [21]

Згідно П(С)БО 10 «Дебіторська заборгованість», визначення суми резерву сумнівних боргів можливе різними методами:

ü  виходячи з платоспроможності окремих дебіторів;

ü  виходячи з періодизації дебіторської заборгованості;

ü  виходячи з питомої ваги безнадійних боргів у чистому доході від реалізації товарів, робіт, послуг. [18, С. 370-372]

Перший метод заснований на результатах аналітичного обліку дебіторської заборгованості за кожним дебітором. Цей метод є найпростішим та ґрунтується на тому, що величина резерву сумнівних боргів визначається виходячи з фактичних даних про наявність сумнівних боргів конкретних дебіторів.

Якщо резерв нараховується виходячи з платоспроможності конкретного дебітора, перед складанням звітності (квартальної або річної) всю дебіторську заборгованість підприємства необхідно аналізувати на предмет виявлення сумнівної та безнадійної заборгованості. У випадку її виявлення створюється резерв сумнівних боргів на суму такої заборгованості. Незважаючи на те, що такий метод неприпустимий, при здійсненні компанією достатньо великої кількості операцій доцільніше використовувати другий метод формування резерву сумнівних боргів.

Другий метод є базовим і заснований на класифікації дебіторської заборгованості за терміном виникнення. Для того, щоб скористатися цим методом, підприємству необхідно проаналізувати інформацію за декілька попередніх звітних періодів щодо виникнення безнадійної заборгованості. При цьому слід враховувати, коли саме кожна конкретна сума заборгованості була переведена в категорію безнадійної - до настання термінів оплати за договором або після того, як вона стала простроченою.

Класифікація дебіторської заборгованості здійснюється групуванням дебіторської заборгованості за строками її непогашення з встановленням коефіцієнта сумнівності для кожної групи. Кількість груп і строки, протягом яких не була вчасно погашена (період прострочення) дебіторська заборгованість, визначається компанією самостійно.

При використанні методу виходячи з питомої ваги безнадійних боргів у чистому доході від реалізації товарів, робіт, послуг основою для визначення суми резерву є Звіти про фінансові результати діяльності підприємства за попередні періоди. При використанні цього методу необхідно сумувати нарахований резерв та його невикористаний залишок на початок звітного періоду.

Отже, компанії повинні створювати резерв сумнівних боргів у певному розмірі, причому величина сумнівних боргів на дату балансу має відповідати залишку резерву сумнівних боргів на ту саму дату. Водночас залишок резерву сумнівних боргів на дату балансу не має перевищувати суму дебіторської заборгованості на ту саму дату. [23]

Інший спосіб управління дебіторською заборгованістю має назву «аутсорсинг». Термін «аутсорсинг» запозичений з англійської мови (від англ. «outsourcing») та дослівно перекладається як використання чужих ресурсів. Іншими словами, аутсорсинг - це передача на договірній основі непрофільних функцій іншим організаціям, що спеціалізуються на виробництві конкретної продукції, виконанні робіт, наданні послуг і мають відповідний досвід, знання, персонал і технічні засоби. [26]

Переваги аутсорсингу в тому, що він дає можливість підприємству ефективно вирішувати ті задачі, які вирішувати самостійно недоцільно або неможливо через високу вартість або нестачу (відсутність) необхідних ресурсів. Це особливо актуально для малого та середнього бізнесу, оскільки створювати та забезпечувати роботу спецпідрозділів здатні лише великі компанії. Крім того, аутсорсингові компанії гарантують професійніше вирішення покладених на них задач. Сьогодні ринкова інфраструктура пропонує компаніям, які потребують зовнішнього управління дебіторською заборгованістю, різні пакети послуг. Це можуть бути і вузькоспеціалізовані послуги (наприклад, зі збору інформації про контрагента або зі стягнення боргів на підставі винесених судових рішень), а також і комплекс послуг (юридичних або факторингових) [21].

Ринок аутсорсингових послуг з управління дебіторською заборгованістю складають: послуги кредитних бюро (збір та аналіз інформації, формування єдиної бази даних про контрагентів), страхові послуги (страхові компанії здійснюють страхування ризиків кредиторів), кредитні послуги (банки й інші фінансові організації надають кредиторам необхідні фінансові ресурси), юридичні послуги (правовий супровід операцій з контрагентами), факторинг (комплекс послуг з управління дебіторською заборгованістю, до складу якого входять оцінка платоспроможності дебітора, управління своєчасністю сплати боргу, покриття кредитних ризиків, фінансування кредитора, консультування), колекторство (робота зі стягнення великого обсягу однотипної, переважно безперечної, заборгованості).

На нашу думку, доцільно більш детально розглянути співпрацю з колекторськими агенствами через стрімке збільшення їх кількості в Україні та активне використання їх послуг.

Основна діяльність колекторських агенств складається з кількох етапів: 1) «soft collection» - коли за допомогою листування та телефонних розмов працівники намагаються переконати боржника добровільно сплатити борг; 2) «hard collection» - коли безпосередньо з боржником ведуться переговори щодо таких шляхів вирішення проблем, як відстрочення або реструктуризація боргу; 3) «legal collection» - включає в себе подачу позовної заяви до суду, отримання судового рішення, а потім виконання його в добровільному порядку або за допомогою виконавчої служби. Усі ці методи націлені на результат - повернення грошей в стислі терміни з мінімальними витратами.

Існує два варіанти співпраці: безпосередній викуп колекторською компанією заборгованості клієнта з метою подальшої самостійної роботи та діяльність колекторського агентства від імені кредитора на підставі договору доручення за певну винагороду. Розмір цієї винагороди коливатиметься від 10 до 50% залежно від ризикованості боргу. [10, С. 203-209]

Безумовною перевагою аутсорсингових компаній є комплексність роботи, тобто наявність системного підходу в роботі команди фахівців. На відміну від звичних компаній, де служба безпеки та юридична служба є окремими структурами, в колекторських компаніях фахівці однієї команди націлені на одну мету та результат.

Недоліком використання агентств є те, що вони можуть поводитися з клієнтами настільки агресивно, що ті назавжди відмовляться мати справу з компанією [21].

Факторинг - це продаж дебіторської заборгованості на користь факторингової компанії чи банку. На підставі договору про проведення розрахункових операцій через факторинг банк, наприклад, може придбати в підприємства-продавця право вимоги відповідних сум за поставлені товари, виконані роботи, надані послуги, строки сплати за які минули (прострочена дебіторська заборгованість), або за поточними розрахунками. Компанії поступаються правом на отримання грошових сум за платіжними документами за поставлену продукцію в обмін на негайне отримання основної суми дебіторської заборгованості (за вирахуванням комісійної винагороди факторинговій компанії, величина якої залежить від ризикованості операції, діючої відсоткової ставки та термінів настання платежу) . [18, С. 370-372].

У нашій країні факторинг як один з інструментів управління дебіторською заборгованістю та страхування угод наразі не набув широкого поширення. Тому основними методами впливу на дебіторів є переговори з боржниками, припинення відвантаження продукції, зміна раніше обумовлених у договорі умов оплати за продукцію, роботи, послуги, застосування штрафних санкцій у вигляді нарахування пені або звернення до суду [27].

Аналіз нормативно-правового поля України в сфері факторингу виявив значну кількість суперечностей і відсутність однозначного трактування в законодавстві сутності факторингової діяльності. У зв’язку з цим користувачам таких послуг загрожують юридичні ризики, пов’язані з розкриттям конфіденційної інформації, контролем грошових потоків по рахунках та нерівноправністю сторін у договорах про надання факторингових послуг [27].

Ринок факторингу України є досить молодим і знаходиться на стадії формування. Із зареєстрованих в реєстрі Держфінпослуг сімдесяти факторингових компаній фактично здійснюють діяльність лише близько чверті з них. У зв’язку з тим, що характерною рисою факторингу є те, що фінансування є беззаставним та необмеженим за часом дії договору, проведення таких операцій спричинило масові невиплати боргів [27].

Активність фінансових компаній на ринку факторингових послуг України зросла у другому кварталі 2010 р. Так, обсяги укладених угод такими компаніями став рекордним, починаючи з 2008р., і склав 2,1 млрд. грн. (більше тисячі укладених договорів). При цьому фінансування здійснювалось майже на три чверті за рахунок позикових коштів юридичних осіб, на 13,6% - за рахунок коштів банків та на 14,0% - за рахунок власних коштів (табл. 2.2, рис. 2.2). Клієнтами факторингових компаній стали переважно торговельні фірми [27].

Таблиця 2.2 Структура джерел фінансування укладених факторингових операцій

Джерела фінансування

2008 р., %

2009 р., %

2010 р., %

Банківські кредити

34,4

89,8

13,6

Власні кошти

6,6

0,7

14

Позикові кошти юридичних осіб

35,8

5

72

Інші джерела

23,2

4,5

0,4

Всього

100

100

100


Рис. 2.2. Структура джерел фінансування укладених факторингових операцій за 2010р.

Крім підприємства-постачальника, який використовує факторинг у своїй господарській діяльності, деякі вигоди отримує і підприємство-покупець (чи дебітор). До них можна віднести: відстрочення платежу на такий термін, який справді необхідний для покупця; можливість збільшення обсягу закупівель без залучення додаткового капіталу; зниження витрат на фінансування поставок [27].

Факторинг є оптимальним рішенням для підприємств малого бізнесу в Україні за таких умов: традиційні джерела фінансування (банківський кредит і овердрафт) вже вичерпали свої можливості; компанії не мають достатнього обсягу активів для надання застави; сезонні коливання попиту спричиняють брак коштів; кошти компанії «заморожені» в дебіторській заборгованості; стрімкий ріст бізнесу потребує накопичення додаткового капіталу; внаслідок великого попиту [27].

На сьогодні через обслуговування проблемної заборгованості немає можливості нарощування портфелів під факторингові операції. Велика частина проектів з міжнародного факторингу була призупинена. Також зменшились ліміти та частка авансування, а процентна ставка виросла, незважаючи на те, що сумарна дебіторська заборгованість у 2009 р. зменшилась на 20% порівняно з минулим аналогічним періодом [27].

Основною аудиторією користування факторинговими послугами залишається середній бізнес, який характеризується найвищою динамікою розвитку, тобто найбільше потребує постійного поповнення оборотних коштів.

Зміст обліку або дисконту векселів полягає в тому, що банк, придбавши вексель за іменним індосаментом, терміново його оплачує пред’явнику, а платіж отримує тільки з настанням зазначеного у векселі терміну погашення. [18, С. 370-372].

Економічною суттю операції дисконтування є дострокова реалізація векселя його держателем банку та переведення комерційного кредиту в банківський. За достроковий платіж банк утримує з номінальної суми векселя певну винагороду на свою користь, тобто оплачує вексель за мінусом знижки. Різниця між сумою, яку банк сплатив, придбавши вексель, і сумою, яку він отримає на цей вексель в день настання платежу, також називається дисконтом.

Форфейтинг полягає у трансформації комерційного кредиту в банківський кредит. У цьому випадку продаж боргу, оформленого обіговими документами (перевідним векселем або перевідним акредитивом), здійснюється на умовах відмови (або форфейтингу) банку від регресу вимог на кредитора (продавця продукції) у разі, якщо боржник (покупець) виявився неплатоспроможним. Але для того, щоб зменшити ризик можливих втрат при неповерненні частини боргу, банк вимагає значну знижку з ціни (дисконт).

Величина цього дисконту виступає ціною рефінансування дебіторської заборгованості за допомогою форфейтингу. Найчастіше форфейтинг використовується при експортних операціях. [18, С. 370-372].

2.3   
Основні напрямки вдосконалення управління дебіторською заборгованістю на вітчизняних підприємствах

У процесі здійснення виробничої та комерційної діяльності в підприємства виникає дебіторська заборгованість за розрахунками з покупцями продукції, акціонерами, персоналом, бюджетом і позабюджетними фондами тощо. Господарська практика промислових та торгівельних підприємств свідчить, що на розрахунки з покупцями за відвантажену продукцію, виконані роботи чи надані послуги припадає більше ніж 80% загального обсягу дебіторської заборгованості, що робить її одним з основних об'єктів фінансового управління підприємства. [8]

Вирішити актуальні проблеми в галузі економіки не можна без удосконалення бухгалтерського обліку. Чітко налагоджений бухгалтерський облік своєчасно забезпечує управлінські потреби необхідною та вірогідною інформацією для виконання всебічного аналізу господарської діяльності та обґрунтування відповідних управлінських рішень.

Методологія обліку та порядок розкриття інформації про дебіторську заборгованість у фінансовій звітності визначається П(С)БО 10 "Дебіторська заборгованість". Норми цього П(С)БО застосовується підприємствами та іншими юридичними особами незалежно від форм власності (крім бюджетних).

Питання щодо напрямків удосконалення процесу управління дебіторською заборгованістю розглядали такі вчені: як М.Д. Білик, Т.М. Браславська, Т.В. Момут, Ф.Ф. Бутинець.

На сьогоднішній час, в період фінансової кризи, підприємствам необхідно сформувати політику управління дебіторської заборгованості. Це може привести до зменшення безнадійної дебіторської заборгованості, збільшення дохідності і прибутковості підприємства.

Серед головних проблем, що стосуються дебіторської заборгованості, варто відмітити те, що наявність простроченої та безнадійної дебіторської заборгованості негативно впливає на фінансовий стан підприємства та його платоспроможність. Відволікання з обігу значних сум коштів за рахунок збільшення дебіторської заборгованості змушує підприємство підвищувати власну кредиторську заборгованість, що веде до зростання витрат підприємства, а відповідно і до зниження його прибутків (або до збільшення збитків). Саме удосконалення процесу управління дебіторською заборгованістю дасть можливість вирішити ряд проблем, що викликані наявністю дебіторської заборгованості та неконтрольованим її зростанням.

Виникнення дебіторської заборгованості - це об'єктивний процес, який зумовлений існуванням ризиків при проведенні взаєморозрахунків між контрагентами за результатами господарської операції. [11, С. 24-36]

Головна мета управління дебіторською заборгованістю в умовах фінансово-економічної кризи полягає в мінімізації її обсягу та строків інкасації боргу. Крім того, якщо існує дебіторська заборгованість в іноземній валюті, через нестабільність курсу валюти ризик ЇЇ несплати значно збільшується. Політикою управління дебіторською заборгованістю є частина загальної політики управління оборотними активами і маркетингової політики підприємства, направленої на розширення обсягу реалізації продукції.

Таким чином, основними пріоритетними напрямами управління дебіторською заборгованістю підприємства є:

. Організація повного та достовірного обліку дебіторської заборгованості підприємства і перенесення облікових даних до його звітності.

. Аналіз структури та динаміки дебіторської заборгованості підприємства в попередніх періодах.

. Оптимізація структури дебіторської заборгованості підприємства.

. Визначення кола потенційних дебіторів та суворе планування дебіторської заборгованості підприємства на майбутні періоди.

. Постійний моніторинг дебіторської заборгованості.

. Визначення можливості застосування кредитної політики щодо окремих покупців продукції та формування її принципів і умов.

. Прискорення процесу погашення дебіторської заборгованості за допомогою сучасних форм її рефінансування.

. Здійснення ефективного контролю за формуванням та погашенням дебіторської заборгованості підприємства та розрахунок розміру резерву сумнівних боргів.

Аналізуючи дебіторську заборгованість підприємств необхідно звернути увагу на розмір сумнівних боргів. В практиці західних країн розмір резерву складає від 1% до 6% від розміру дебіторської заборгованості за товари, роботи, послуги. Також потрібно розглядати фактори, які на сучасному етапі розвитку підприємств дають змогу покращити механізм формування та використання оборотних активів.

Тому для ефективного управління дебіторською заборгованістю слід, перш за все, розробити стандарти кредитування, які дають змогу, за допомогою аналізу платоспроможності потенційних дебіторів, визначити строки кредитування. [20, С. 201-211]

А також для вирішення поставленої проблеми необхідно враховувати міжнародний досвід і застосовувати його на підприємствах України.

Виходячи з вищенаведеного можна зробити висновок, що управління дебіторською заборгованістю безпосередньо впливає на прибутковість підприємства і визначає дисконтну і кредитну політику для покупців, шляхи прискорення повернення боргів і зменшення безнадійної заборгованості, а також вибір умов продажу, що забезпечують гарантоване надходження коштів і є однією з проблем підприємства.

ВИСНОВКИ

Підводячи підсумки курсової роботи я можу зробити наступні висновки: Дебіторська заборгованість визначається як сума заборгованості дебіторів підприємству на певну дату.

Дебітори - юридичні та фізичні особи, які внаслідок минулих подій заборгували підприємству певні суми грошових коштів, їх еквівалентів або інших активів. За даними бухгалтерського обліку можна визначити суму заборгованості на будь-яку дату, але звичайно така сума визначається на дату балансу. Оскільки відповідно до вимог національних стандартів бухгалтерського обліку підприємства подають також проміжну (квартальну) звітність, то суму дебіторської заборгованості підприємства слід визначати щоквартально.

У сучасній практиці в Україні управління дебіторською заборгованістю є одним із найважливіших і водночас складних елементів управління оборотними активами. Порушення нормального циклічного процесу її утворення та погашення може бути не тільки причиною виникнення проблем для підприємства (зниження рентабельності активів, втрата їхньої ліквідності), а й спричинити розвиток глобальної кризи неплатежів.

Більшість вітчизняних підприємств приймають рішення щодо утворення і погашення дебіторської заборгованості на інтуїтивній основі. Часто з цього питання відсутня навіть більш-менш обґрунтована і постійна політика. Це може призвести до прямих фінансових втрат або до недоотримання частини прибутку. Все це робить дуже актуальною проблему управління дебіторською заборгованістю.

Досягнення більших прибутків за рахунок регулювання товарообороту визначається не тільки політикою ціноутворення, а й політикою реалізації товарів у кредит. При цьому оборотність товарних запасів підвищується, але збільшується обсяг інвестицій у дебіторську заборгованість, що затримує повернення коштів. Тому обґрунтоване управлінське рішення щодо доцільності надання товарного кредиту та його розміру повинно базуватися на визначенні оптимальної дебіторської заборгованості (в абсолютному вимірі та як частки продажу в кредит у загальному товарообороті).

Систему управління найзначнішими чинниками впливу звичайно відносять до категорії "кредитна політика". У цілому політика управління дебіторською заборгованістю являє собою частину загальної політики управління оборотними активами і маркетингової політики підприємства. Вона спрямована на розширення обсягу реалізації продукції та цієї заборгованості та полягає в оптимізації загального розміру й забезпеченні своєчасної її інкасації. При проведенні аналізу стану дебіторської заборгованості на підприємствах України прослідковується динаміка зростання загального показника дебіторської заборгованості.

Виходячи з вищенаведеного аналізу стану дебіторської заборгованості необхідно значну увагу приділяти управлінню портфелем дебіторської заборгованості для досягнення результатів її зменшення, проте цей процес є досить складним і трудомістким.

Проаналізувавши стан дебіторської заборгованості у 2006 та 2007 р. автори дійшли висновку про зростаючу кризу неплатежів на підприємствах.

Аналіз поточної та довгострокової і дебіторської заборгованості на підприємствах України за 2006 та 2007 р., сприятиме зверненню уваги для вирішення питань по зростанню дебіторської заборгованості та здійсненню подальшого, більш глибокого аналізу не лише на рівні держави, а й на самих підприємствах.

Список використаної літератури

1.      Конституція України, прийнята на п’ятій сесії Верховної Ради України 28 червня 1996 року із змінами, внесеними згідно із Законом № 2952-VI від 01.02.2011 р.

.        Закон України „Про бухгалтерський облік і фінансову звітність” від 16 липня 1999 р.

.        Положення (стандарт) бухгалтерського обліку 1. „Загальні вимоги до фінансової звітності”: Затв. наказом Міністерства фінансів України від 31 березня 1999 р. №87 // Галицькі контракти. - 1999. - № 32

.        Положення (стандарт) бухгалтерського обліку 2. „Баланс”: Затв. наказом Міністерства фінансів України від 31 березня 1999 р. №87 // Галицькі контракти. - 1999. - № 32

.        Положення (стандарт) бухгалтерського обліку 3. „Звіт про фінансові результати”: Затв. наказом Міністерства фінансів України від 31 березня 1999 р. №87 // Галицькі контракти. - 1999. - № 32

.        Положення (стандарт) бухгалтерського обліку 4. „Звіт про рух грошових коштів”: Затв. наказом Міністерства фінансів України від 31 березня 1999 р. №87 // Галицькі контракти. - 1999. - № 32

.        Положення (стандарт) бухгалтерського обліку 5. „Звіт про власний капітал”: Затв. наказом Міністерства фінансів України від 31 березня 1999 р. №87 // Галицькі контракти. - 1999. - № 32

8.      Положення (стандарт) бухгалтерського обліку 10. „Дебіторська заборгованість”. Затверджено наказом Мінфіну України від 08.10.99 р. № 237

.        Положення (стандарт) бухгалтерського обліку 11. „Зобов’язання”. Затверджено наказом Мінфіну України від 31.01.2000 р. № 20

10.    Бабаев В.Ю. Управление дебиторской задолженностью предприятий / В.Ю. Бабаев, И.А. Гальченко // Теория и практика государственного управления. - 2011. - №2(33). - С. 203-209.

11.    Білик М. Д. Управління дебіторською заборгованістю підприємств / М.А. Білик // Фінанси України. - 2003. - №12.-С. 24 - 36.

.        Бондаренко, О. Методика управління портфелем дебіторської заборгованості / О. Бондаренко // Фінанси та кредит. Податки. - 2006. - № 4 (58). - С. 17-23.

13.    Глінкіна Д.В. Регулювання розрахункових відносин через управління дебіторською заборгованістю // Вісник Східноєвропейського університету економіки та менеджменту. - 2007. - №1 - 2. - С. 80-87.

.        Городянська, Л. Особливості організації обліку дебіторської заборгованості на підприємстві / Л. Городянська // Бухгалтерський облік та аудит. - 2007. - № 6. - С. 9-16.

15.    Дубровська Є.В. Формування підходів щодо класифікації дебіторської заборгованості // Формування ринкових відносин в Україні. - 2009. - №5. - С. 18 - 23.

16.    Іванчук Р.М., Іванчук О.А. Деякі міркування щодо методологічних засад формування інформації про дебіторську заборгованість // Економічний вісник Донбасу. - 2005. -№1. - С. 11 - 22.

17.    Коваленко Л.А. Финансовый менеджмент: Учебное пособие / Л.А. Коваленко, Л.М. Ремнева. - К.: Знание, 2005. - 485 с.

18.    Курта Н.В. Современные проблемы управления дебиторской задолженностью / Н.В. Курта // Государство и регионы. - 2008. - № 6. - С. 370-373.

.        Матицина, Н. Основні засади регулювання розрахункових відносин через управління дебіторською заборгованістю / Н. Матицина // Бухгалтерський облік і аудит. - 2006. - № 12. - С. 38-42.

20.    Момот Т.В., Сучасні моделі управління дебіторською заборгованістю підприємства / Т.В. Момот, Г.М. Бреславська // Науково-технічний збірник «Комунальне господарство міст». - 2008. - №85.- С. 201-211. (2.3)

21.    Прус Л.Р. Управление дебиторской задолженностью субъектов хозяйствования / Л.Р. Прус // Вестник Хмельницкого национального университета. - 2010. - №1. - Т.2. - С.126-131.

22.    Василюк М.М. Механизм управления дебиторской задолженностью в современных условиях хозяйствования // М.М. Василюк. - Вестник Прикарпатского университета. -[Електронний ресурс]. - Режим доступу:

<http://www.nbuv.gov.ua/portal/Soc_Gum/Vpu/ Ekon/2009_7/56. pdf >

23.    Єдинак Т.С. Проблемы управления дебиторской задолженностью предприятий в условиях финансово-экономического кризиса // Т.С. Єдинак. - Государство и регионы. - [Електронний ресурс]. - Режим доступу:

<www.nbuv.gov.ua/portal/Soc_Gum/Dtr_ep/2009_3/files/ECON_03_2009_Edinak_T.pdf>

.        Топоркова О.В., Янчев А.В. Особливості формування кредитної політики управління дебіторською заборгованістю // Бухгалтерський облік, аналіз та аудит. - [Електронний ресурс]. - Режим доступу:

<http://www.nbuv.gov.ua/portal/Soc_Gum/Es/2008_1/08_1_1.htm>

.        Топоркова О.В., Євлаш Т.О. Аналіз стану та динаміки дебіторської заборгованості на підприємствах України // Бухгалтерський облік, аналіз та аудит. - [Електронний ресурс]. - Режим доступу:

<http://www.nbuv.gov.ua/portal/Soc_Gum/Es/2008_1/08_1_1.htm >

26.    Юрчук Д.Д. Аутсорсинг как инструмент повышения эффективности антикризисного управление // Д.Д. Юрчук, Б.В. Федінчук. - [Електронний ресурс]. - Режим доступу:

<http://www.rusnauka.com/13_NMN_2011/Economics/3_83009.doc.htm>

27.    Официальный сайт Государственной комиссии по регулированию рынков финансовых услуг. . - [Електронний ресурс]. - Режим доступу:

<http://www.dfp.gov.ua>

Похожие работы на - Управління дебіторською заборгованістю підприємства

 

Не нашли материал для своей работы?
Поможем написать уникальную работу
Без плагиата!
Без нейросетей!