Безопасность технологических процессов и производств

  • Вид работы:
    Контрольная работа
  • Предмет:
    Безопасность жизнедеятельности
  • Язык:
    Русский
    ,
    Формат файла:
    MS Word
    26,78 Кб
  • Опубликовано:
    2013-12-18
Вы можете узнать стоимость помощи в написании студенческой работы.
Помощь в написании работы, которую точно примут!

Безопасность технологических процессов и производств

Содержание

. Меры безопасности при обслуживании установок, работающих под давлением

. Инфразвук, ультразвук - физические характеристики, действие на человека, принцип нормирования, контроль

. Задача №1

. Задача №2

Список литературы


. Меры безопасности при обслуживании установок, работающих под давлением

При осуществлении различных технологических процессов, проведении ремонтных работ, в быту и т.д. широко распространены различные системы повышенного давления, к которым относится следующее оборудование: трубопроводы, баллоны и емкости для хранения или перевозки сжатых, сжиженных и растворенных газов, паровые и водяные котлы, газгольдеры и др. Основной характеристикой этого оборудования является то, что давление газа или жидкости в нем превышает атмосферное. Это оборудование принято называть сосудами, работающими под давлением.

Основное требование к этим сосудам - соблюдение их герметичности на протяжении всего периода эксплуатации. Герметичность - это непроницаемость жидкостями и газами стенок и соединений, ограничивающих внутренние объемы сосудов, работающих под давлением.

Любые сосуды, работающие под давлением, всегда представляют собой потенциальную опасность, которая при определенных условиях может трансформироваться в явную форму и повлечь тяжелые последствия. Разгерметизация (потеря герметичности) сосудов, работающих под давлением, достаточно часто сопровождается возникновением двух групп опасностей.

Первая из них связана с взрывом сосуда или установки, работающей под давлением. Взрывом называют быстропротекающий процесс физических и химических превращений веществ, сопровождающийся освобождением большого количества энергии в ограниченном объеме, в результате которого в окружающем пространстве образуется и распространяется ударная волна, способная создать угрозу жизни и здоровью людей. При взрыве может произойти разрушение здания, в котором расположены сосуды, работающие под давлением, или его частей, а также травмирование персонала разлетающимися осколками оборудования.

Вторая группа опасностей зависит от свойств веществ, находящихся в оборудовании, работающем под давлением. Так, обслуживающий персонал может получить термические ожоги, если в разгерметизировавшейся установке находились вещества с высокой или низкой температурой. Если в сосуде находились агрессивные вещества, то работающие могут получить химические ожоги; кроме того, при этом возникает опасность отравления персонала. Радиационная опасность возникает при разгерметизации установок, содержащих различные радиоактивные вещества. Таким образом, для обеспечения безопасности персонала, обслуживающего сосуды под давлением, весьма важно, чтобы эксплуатируемое оборудование сохраняло герметичность.

Рассмотрим теперь основные причины, приводящие к разгерметизации сосудов, работающих под давлением. Их принято делить на эксплуатационные и технологические.

Первой эксплуатационной причиной разгерметизации является образование взрывоопасных смесей, состоящих из горючих газов, паров или жидкостей и окислителя. Примером таких смесей могут служить ацетилен и кислород, водород и кислород, пары этилового спирта и кислород и др.

Взрывоопасные смеси «горючее-окислитель» могут возгораться и взрываться, если имеется инициатор (источник) зажигания, в качестве которого может выступить электрическая искра (например, возникающая в результате накопления статического электричества), искры от газо- и электросварки, искры, возникающие от удара стальных предметов, нагретые тела и др. Существует также ряд самовоспламеняющихся систем, для которых не требуется инициатор зажигания. Примером таких систем могут служить натрий или калий, которые при нормальной температуре взрываются при соприкоановении с хлороформом.

Для предотвращения взрывов следует исключать возможность образования систем «горючее-окислитель», предотвращать инициирование горения, а также обеспечивать локализацию очага горения.

Исключить образование взрывоопасных смесей в системе «горючее-окислитель» можно следующими путями. Во-первых, максимально ограничивать концентрацию горючего вещества в смеси с окислителем, чтобы в этой системе не образовывалась взрывоопасная смесь. Во-вторых, рекомендуется добавлять к взрывоопасным смесям «горючее-окислитель» инертные компоненты, называемые флегматизаторами. Примером таких веществ могут служить азот и углекислый газ. Эти вещества не участвуют в реакции горения и способны ее тормозить.

Для того чтобы предотвратить инициирование процесса горения, необходимо нейтрализовать источники зажигания. Это достигается заземлением оборудования для исключения возможности накапливания статического электричества, применением безискрового (не дающего искр в процессе эксплуатации) инструмента и другими мероприятиями.

Локализацию очага горения применяют, если существует вероятность образования взрывоопасной смеси и имеется инициатор зажигания. В этом случае используют огневзрывопреградители, которые ограничивают очаг горения в пределах определенного аппарата или газопровода, способного выдержать последствия горения. Передача горящей смеси в другие аппараты, таким образом, исключается.

Вторая эксплуатационная причина разгерметизации установок и аппаратов, работающих под давлением, - это так называемые побочные процессы, протекающие в них и приводящие к постепенному изменению и разрушению конструкционных материалов, из которых эти установки изготовлены. Примерами таких процессов могут служить коррозия стенок аппаратов, образование накипи на стенках котлов, уменьшение прочностных свойств материалов установок и др. Для того чтобы исключить влияние побочных процессов, необходимо своевременно и качественно проводить профилактические и ремонтные работы сосудов, работающих по давлением, а также правильно их эксплуатировать.

Для своевременного обнаружения этих дефектов применяют различные методы контроля: внешний осмотр сосудов и аппаратов, работающих под давлением, неразрушающие методы контроля (люминесцентные, ультразвуковые и рентгеновские методы), гидравлические испытания сосудов, механические испытания материалов, из которых изготовлены сосуды, и др.

Меры безопасности при эксплуатации газовых баллонов:

газовые баллоны необходимо хранить в вертикальном положении в проветриваемом помещении или под навесами. Их следует защищать от действия прямых солнечных лучей и осадков. Баллоны не должны храниться на расстоянии менее 1 м от радиаторов отопления и ближе 5 м от открытого огня;

нельзя переносить баллоны на плечах или руками в обхват;

эксплуатировать можно только исправные баллоны. Их надо устанавливать вертикально на месте проведения работ и надежно закреплять для предохранения от падения. Установленный баллон должен быть надежно защищен от воздействия открытого огня, теплового излучения и прямых солнечных лучей.

. Инфразвук, ультразвук - физические характеристики, действие на человека, принцип нормирования, контроль

Ультразвуковая техника широко применяется в различных отраслях народного хозяйства для целей активного воздействия на вещество (пайка, сварка, лужение и т. д.), структурного анализа и контроля физико-механических свойств материалов (дефектоскопия), в медицине - для диагностики и терапии различных заболеваний и т. д. Вредное воздействие ультразвука на организм человека выражается в нарушении деятельности нервной системы, снижении болевой и слуховой чувствительности, изменении сосудистого давления, а также состава и свойств крови.

Ультразвуковой диапазон частот делится на два поддиапазона - низкочастотный (11,2÷100 кГц) и высокочастотный (100 кГц÷1000 МГц).

Низкочастотные ультразвуковые колебания распространяются воздушным и контактным путем, а высокочастотные - только контактным путем. Контактный путь передачи ультразвука наиболее опасен для организма человека.

Гигиенические нормативы ультразвука определены ГОСТ 12.1.001-89 «ССБТ. Ультразвук. Общие требования безопасности» и ГН 2.2.4/2.1.8.582-96 «Гигиенические требования при работах с источниками воздушного и контактного ультразвука промышленного, медицинского и бытового назначения». Гигиенической характеристикой воздушного ультразвука на рабочих местах являются уровни звукового давления (дБ) в третьоктавных полосах со среднегеометрическими частотами 12,5÷100 кГц. Характеристикой контактного ультразвука является пиковое значение виброскорости или его логарифмический уровень. Допустимые уровни ультразвука в зонах контакта рук и других частей тела оператора с рабочими органами приборов и установок не должны превышать 110 дБ. Нормируется и суммарное время воздействия ультразвука на работающих.

Для снижения или исключения вредного воздействия ультразвука рекомендуются следующие мероприятия:

дистанционное управление ультразвуковыми установками и их автоматизация;

размещение установок в специальных помещениях;

использование звукоизолирующих кожухов или экранов;

использование средств индивидуальной защиты (специальный инструмент с изолированными ручками, резиновые перчатки).

Инфразвук - это область акустических колебаний с частотой до 20 Гц. Источниками инфразвука в промышленности являются компрессоры, дизельные двигатели, вентиляторы, реактивные двигатели, все медленно вращающиеся машины и механизмы. При воздействии инфразвука на организм человека могут возникать нарушения в центральной нервной системе, сердечно-сосудистой и дыхательной системах, вестибулярном аппарате. Особенно неблагоприятно воздействие на организм инфразвуковых колебаний с частотой 4÷12 Гц.

Гигиеническая регламентация инфразвука производится по санитарным нормам СН 2.2.4/2.1.8.583-96 «Инфразвук на рабочих местах, в жилых и общественных помещениях и на территории жилой застройки», которые задают предельно допустимые уровни звукового давления на рабочих местах для различных видов работ, а также в жилых и в общественных помещениях и на территории жилой застройки. В соответствии с этим документом уровни звукового давления в октавных полосах со среднегеометрическими частотами 2, 4, 8 и 16 Гц должны быть не более 105 дБ, а для полос с частотой 32 Гц - не более 102 дБ. Наиболее эффективным способом защиты от инфразвука является борьба с инфразвуком в источнике его возникновения. К этому способу защиты относятся:

увеличение частот вращения валов до 20 Гц и более;

повышение жесткости колеблющихся конструкций больших размеров;

устранение низкочастотных вибраций;



3. Задача № 1

Скорость вращения ротора воздуходувной машины n = 480 об/мин., измеренный размах вибрации основания машины К = 0,02 мм. Определите фактические значения виброскорости (v, мм/с) и уровня виброскорости (L, дБ). Пороговое значение виброскорости v0 = 5∙10-5 мм/с. Сравните полученные данные с допустимыми vдоп = 2,2 мм/с и Lдоп = 93 дБ. По полученным результатам сделайте вывод о необходимости применения виброизоляции.

Ответ:

Для определения значения виброскорости определим частоту возмущающей силы f по формуле:

= n / 60 = 480 / 60 = 8 Гц

Виброскорость v рассчитываем по выражению:

= 2 ∙ π ∙ f ∙ A = 2 ∙ 3,14 ∙ 8 ∙ 0,01 = 0,5 мм/с < vдоп = 2,2 мм/с

где    А - амплитуда вибрации, которая равна половине размаха К:

А = К / 2 = 0,02 / 2 = 0,01 мм.

Уровень виброскорости L рассчитывается по формуле:

= 20 ∙ lg(v/v0) = 20 ∙ lg(0,5/(5∙10-5)) = 80 дБ < Lдоп = 93 дБ

где    v0 - пороговое значение виброскорости v0 = 5∙10-5 мм/с.

Ответ: полученные значения виброскорости и уровня виброскорости не превышают допустимые, следовательно, применение виброизоляции не требуется.

. Задача № 2

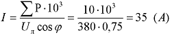
На основе расчетов проведите анализ возможного возникновения пожара в электросети, если сечение провода рассчитано на силу тока I = 30А, а общая потребляемая мощность ΣΡ = 10 кВт, cosφ = 0,75, линейное напряжение Uл = 380 В.

Решение:

Силу тока в электрической сети рассчитываем по формуле:


где    ΣΡ - общая потребляемая мощность, кВт;л - линейное напряжение, В;

cosφ - КПД потребляемой электроэнергии;

Ответ: так как сечение провода рассчитано на силу тока 30А, а полученное значение выше (35А), следовательно, в электросети возможно возникновение пожара.

Список литературы:

безопасность давление ультразвук виброскорость

Атаманюк, В.Г. Гражданская оборона / В.Г. Атаманюк, Л.Г. Ширшев, Н.И. Акимов: учебник. - М.: Высшая школа, 1989.

Безопасность жизнедеятельности: учебник / под общ. ред. С.В. Белова. - М.: Высшая школа, 1999. - 448 с.

Калинина, В.М. Техническое оснащение и охрана труда в общественном питании / В.М. Калинина. - М.: Академия, 2002. - 430 с.

Безопасность жизнедеятельности. Безопасность технологических процессов и производств : учебное пособие / П.П. Кукин, В.Л. Лапин, Е.А. Подгорных и др.- М. : Высшая школа, 1999. - 318 с.

Мартынова, А.П. Гигиена труда в пищевой промышленности: справочник / А.П. Мартынова - М. : Во «Агропромиздат», 1988. - 200 с.

Никитин, В.С. Охрана труда на предприятиях пищевой промышленности : учебник / В.С. Никитин, Ю.М. Бурашников. - М.: Во «Агропромиздат», 1996. - 256 с.

Похожие работы на - Безопасность технологических процессов и производств

 

Не нашли материал для своей работы?
Поможем написать уникальную работу
Без плагиата!
Без нейросетей!