|
Профессия
|
Кол-во рабочих в бригаде, чел.
|
Разряды
|
Группа по оплате
|
Часовая тарифная ставка одного рабоч. руб. коп.
|
Режим работы
|
|
|
По ЕТКС
|
Для оплаты
|
|
|
Прод. раб. смены, час.
|
График работы
|
|
Вальцовчик
|
2
|
7
|
8
|
45,63
|
|
8,0
|
Непрер.
|
|
Сортировщик-сдатчик
|
1
|
6
|
7
|
41,49
|
|
8,0
|
Непрер.
|
|
Стропольщик
|
2
|
5
|
6
|
37,37
|
|
8,0
|
Непрер.
|
|
Всего по бригаде
|
5
|
|
|
|
|
|
|
Оплата труда.
Основная заработная плата каждому
рабочему начисляется индивидуально путем умножения часовой тарифной ставки на
отработанное время в часах за месяц.
Доплата производится при условии
выполнении полного объема работ.
Доплата за недоштат начисляется в
целом на бригаду, определяется как разница между плановым и фактическим
тарифным фондом бригады за месяц.
Плановый тарифный фонд бригады
определяется умножением средней часовой бригадной тарифной ставки на количество
часов работы бригады по графику.
Одному рабочему в бригаде
производится доплата в размере 10% тарифной ставки за работу на погрузчике по
очистке газоосадительной камеры.
Премирование.
Премирование рабочих бригады
производится по показателям:
За производство годной жидкой стали
за месяц (в среднем 4-м сменным бригадам) до 600 тонн за смену - 10% премии, за
каждые 2 тонны свыше 600 тонн - дополнительно 1% премии.
Максимальный размер премии по
данному показателю 50% (680 тонн за смену). Премия по данному показателю
начисляется при условии выполнении плана по производству стали по цеху за
месяц.
За выполнение сменных заданий
старшего мастера - 30% премии.
За состояние культуры производства
на закрепленной территории
· удовлетворительно -
10%
· неудовлетворительно
- 0%
Максимальный размер премии 90% к
тарифу бригады.
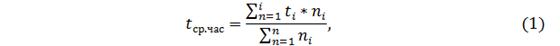
Определяем среднечасовую расчетную
ставку tср.час, руб.;
где tср.час - среднечасовая расчетная ставка, руб.;
ti - часовая тарифная ставка рабочего i - того разряда, руб.;
ni - количество рабочих по i - тому разряду;
Определяем заработную плату по
тарифу Зt, руб.;

где Зt - заработная плата по
тарифу, руб.;
Вг - количество рабочих
часов в год, час;
Определяем доплату за работу в
ночные часы Зн, руб.;
где Зн - доплата за
работу в ночные часы, руб.;
Вн - количество ночных
часов, час;
Вн=634 час
Определяем доплату за переработку
графика Зпер, руб.;

где Зпер -
доплата за переработку графика, руб.;
Вперер -
количество переработанных часов, час;
Определяем доплату за
праздничные дни Зпр, руб.;
где Зпр -
доплата за праздничные дни, руб.;
Впр -
количество праздничных часов, час;
Определяем премию П, руб.;
где α
- максимальный размер премии 90% к тарифу бригады;
П - премия, руб.;
Определяем основную заработную плату
с уральским коэффициентом Зосн, руб.;
где Зосн - основная
заработная плата с уральским коэффициентом;
Определяем дополнительную заработную
плату Здоп, руб.;
Здоп=0,15*Зосн,
(8)
где Здоп - дополнительная
заработная плата, руб.;
Здоп=0,15*193937,702=29090,7
руб.
Определяем ФОТ годовой ФОТгод,
руб.;
где ФОТгод - годовой ФОТ,
руб.;
Определяем среднемесячную заработную
плату Зср.мес, руб.;
где Зср.мес -
среднемесячная заработная плата, руб.;
4. Расчет затрат на
внедрение
Для определения затрат на внедрение
необходимо рассчитать все затраты, связанные с внедрением технического
мероприятия, а именно: затраты на изготовление (или модернизацию), доставку и
монтаж оборудования.
Затраты на внедрение
технологического и подъемно - транспортного оборудования рассчитываются по
формуле:

Кт - коэффициент,
учитывающий транспортно - заготовительные расходы (принимается 0,03-0,8);
Кс - коэффициент
учитывающий затраты на монтаж и освоение (принимается 0,06-0,15);
Кф - коэффициент
учитывающий затраты на сооружение фундамента (принимается 0,03-0,15);
При внедрений сложного оборудования
рассчитывается смета затрат на сооружение фундаментов, монтаж и освоение.
Объем освоенных капвложений по
данным завода составил 18724,38:
- на приобретение
комплекса оборудования непрерывной 4-х клетевой группы 320х600 с элементами
приводов 
, 16718,2 тыс. руб.;
на строительно-монтажные
работы:
с привлечением подрядных
организаций, 1241,4 тыс. руб.;
хоз. способом, 1817 тыс.
руб.;
на проектные работы,
688,4 тыс. руб.;
прочие затраты, 61,4
тыс. руб.;
проектирование
электроприводов и СУРС, 2700 тыс. руб.;
поставка электроприводов
клетей (3 шт.), 14720 тыс. руб.;
поставка датчиков петли
(5 шт.). Поставка НКУ, 1000 тыс. руб.;
поставка СУРС и САР
(шкаф с контроллером, пульт, АРМ), 1450 тыс. руб.;
поставка сопряженного
электрооборудования на клети №№1-3 и запчастей;
электромонтажные работы
на приводе клетей №№1-3, 800 тыс. руб.;
пуско-наладочные работы
по установке клетей №№1-3, 100 тыс. руб.;
накладка приводов клетей,
СУРС и САР, 3000 тыс. руб.;
электромонтажные работы
по внешнему электроснабжению подстанции №3, 900 тыс. руб.;
пожарная сигнализация и
пожаротушение, 150 тыс. руб.;
выполнение работ по
ревизии оборудования клетей №№1-3, 150 тыс. руб.;
Итого: 47396,4 тыс. руб.
5. Определение годовой
экономии
а) путем сравнения
калькуляции себестоимости единицы продукции до и после внедрения новой техники
или модернизации действующего оборудования;
б) в результате
сравнения отдельных статей калькуляции себестоимости, которые изменились в
связи с внедрением технического мероприятия.
При этом следует
учитывать и повышение и понижение затрат в перспективе по сравнению с
существующим положением.
а) экономия на снижения
потерь металла в обрезь, при увеличении длины (и массы) заготовки (экономия
расходов на переделы при повторной обработке):
где 127200 - годовой
объем производства стана, т/год;
,0195 - снижение
технологически установленной обрези, т/т;
,22 - переменные расходы
на передел мартеновского цеха, руб./т;
,18 - переменные расходы
на передел крупносортного цеха, руб./т;
,89 - переменные расходы
на передел стана 320 сортопрокатного цеха, руб./т:
,166 - расходный
коэффициент мартена, т/т;
,19 - расходный
коэффициент в крупносортном цехе, т/т.
Дополнительная выручка
от реализации проката, не теряемого в обрезь на переделах при повторной
обработке:
где 12826 - цена проката со стана
320, руб./т;
1,1045 - расходный коэффициент стана
320 сортопрокатного цеха, руб./т.
Дополнительная выручка от перевода
части заказов со стана 850 на стан 320 (в части марганцовистых марок стали без
учета обточенного проката внутреннего рынка и экспортного металла с высоким
содержанием марганца):
где 13554 цена арматурного проката
со стана 320, руб./т;
- переменная часть себестоимости
арматурного проката со стана 320, руб./т;
- цена марганцовистого проката со
стана 850, руб./т;
- переменная часть себестоимости
марганцовистого проката со стана 850, руб./т;
6815 - объем переводимого количества
заказов со стана 850, т/год;
Общая годовая экономия составляет
6. Расчет
эксплуатационных расходов
Эксплуатационные расходы
рассчитываются только по оборудованию, которое относится к основным фондам. Они
определяются следующим образом:
а) амортизационные отчисления на
вновь вводимые основные фонды. Размер годовых амортизационных отчислений
выраженный в% от первоначальной стоимости основных фондов, называется нормой
амортизации. Размер годовых амортизационных отчислений определяется по формуле:
где А - размер годовых отчислений,
руб.;
Ко - затраты на внедрение
новой технике или на модернизацию
действующего оборудования
Но - норма
амортизационных отчислений - (10%);
б) налог на имущество

в) расходы на текущие
ремонты и содержание основных средств, дополнительные расходы электроэнергии,
смазки и др. - от 2,5% до 10% от стоимости оборудования, т.е.
Сумма всех
эксплуатационных расходов определяется следующим образом:

(16)
где Рэкспл -
эксплуатационные расходы, руб.;
Н - налог на имущество,
руб.;
А - амортизационные
отчисления, руб.;
7. Расчет экономической
эффективности
Экономическая эффективность
определяется путём сопоставления годовой экономии и затрат на содержание
оборудования. Экономическая эффективность определяется следующим образом:
окупаемость модернизация
экономический затрата

(17)
где Ээф -
экономическая эффективность, руб.;

, руб.;
Рэкспл -
сумма всех эксплуатационных расходов, руб.;
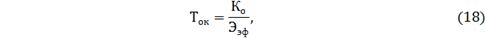
8. Расчет срока
окупаемости
Если затраты на
внедрение не связаны с увеличением стоимости основных производственных фондов,
срок окупаемости не рассчитывается. В этом случае затраты на внедрение, как
правило, невелики; эффект, получаемый от внедрения этих мероприятий,
значительно превышает величину затрат на внедрение, поэтому необходимость в
расчёте срока окупаемости отпадает.
Срок окупаемости затрат
определяется, если затраты на внедрение увеличивают стоимость основных
производственных фондов.
Срок окупаемости
определяется по формуле:
где Ток -
срок окупаемости, число лет или месяцев;
Ко - затраты
на внедрение;
Эг - годовая
экономия за минусом эксплуатационных расходов.
Для чёрной металлургии
принято, что нормативный срок окупаемости не должен превышать 7 лет, т.е.
затраты на внедрение должны быть возмещены за счёт экономии за 7 лет.
9. Расчёт коэффициента
экономической эффективности
Как величина обратная сроку
окупаемости определяется коэффициент эффективности:
где Е - коэффициент экономической
эффективности
Ээф - экономическая
эффективность
Ко - затраты на
внедрение, руб.;
Коэффициент эффективности не должен
быть ниже нормативного, установленного для предприятий чёрной металлургии, а
именно: на каждый рубль вложений необходимо получить не меньше 15 копеек
экономии.
Срок окупаемости и коэффициент
эффективности являются также важными показателями, применяемыми для оценки
разных вариантов мероприятий с различной суммой затрат на их внедрение. Расчёт
экономической эффективности должен обеспечить выбор наиболее рационального
решения из всех возможных.
Выводы
Чем выше коэффициент эффективности и
ниже срок окупаемости, тем эффективнее внедряемое мероприятие.
По приведенным расчетам срок
окупаемости ниже нормативного (2,7<7), а коэффициент эффективности выше
нормативного (0,37>0,15), значит предлагаемые мероприятия экономически
эффективно.
Список литературы
1. Бельгольский Б.П., Бень Т.Г., Зайцев Е.П. и др. «Экономика,
организация и планирование производства на предприятиях черной металлургии» -
М.: Металлургия, 1982 - 416 с.
2. Банный Н.Т., Банный Д.Н. Технико-экономические расчеты в
черной металлургии - М.: Металлургия, 1979 - 390 с.
. Методические указания по выполнению курсовой работы.