|
Наименование
|
Размер, мм.
|
|
По ширине паза
|
По высоте паза
|
|
Стержни обмотки - неизолированная медь
|
3,28
|
16,8 2 = 33,6
|
|
Пазовая изоляция и допуск на укладку
|
1,7
|
4
|
|
Всего на поз без клина
|
4,98
|
37,6
|
Уточняем плотность паза в обмотке
ротора:
J2
= 
Где: J2 - плотность тока, А/м2
J2
= 
= 4,7 
106
Высоту клиновой части паза при
расчете расположения не рассчитывают.
Принимаем: hk=2,5мм, hш=1мм.
Высота паза:
hn2 = hк + hш + hоб
Где: hn2 - высота паза ротора, мм
hоб - высота обмотки, из
таб.2.2.2 мм
hn2 = 2,5 + 1 + 37,6 = 41,1
Рисунок 2.2.2-паз ротора
После предварительных
расчетов необходимо уточнить размер зубца ротора в наиболее узком и наиболее
широком сечении:
bzmin
= 
где: bzmin
- размер зубца в наиболее узком месте, м
D2 - диаметр ротора, м
Z2 - число пазов ротора.
bzmin
= 
Наибольшее расстояние:
bzmax
= 
- 
где: bzmax
- размер зубца в наиболее широком месте, м
bzmax
= 
- 0,008 =0,007
Сердечник ротора выполняем с непосредственной
посадкой на вал. Для улучшения охлаждения ротора и снижения его массы и момента
инерции выполняют 12 аксиальных каналов в один ряд диаметром 30мм.
Диаметр вала:
DB = KB 
Da
Где:
DB-диаметр вала, м
КВ-коэффициент, находится
по таблице 9.19 и равен 0.13
Da- внешний диаметр сердечника статора, м
DB = 0,23 
0,59 = 0,132
Рисунок 2.2.3.-ротор
двигателя в разрезе:
2.3 Расчет магнитной
цепи
Магнитопровод двигателя выполняем из
стали марки 2312. Расчет магнитного напряжения воздушного зазора проводят на
два полюса.
Предварительно находим:
1
= 
Где: bш1 - ширина шлица паза статора, м
д - воздушный зазор, м
= 
= 4,074
Коэффициент воздушного
зазора статора:
Где: Кд1 - коэффициент
воздушного зазора статора.
Tz1 - зубцовое деление
статора.
Кб1 = 
Для ротора:
1
= 
где: bш2 - ширина шлица паза ротора, м
д - воздушный зазор, м
= 
= 2,031
Коэффициент воздушного зазора
статора:
Кб2 = 
Где: Кд2 - коэффициент
воздушного зазора ротора.
tz2 - зубцовое деление
ротора.
Кб2 = 
Коэффициент воздушного зазора.
Кб = Кб1

Кб2
Где: Кб - коэффициент
воздушного зазора.
Кб = 0,847
0,896 = 0,82
Магнитное напряжение воздушного
зазора:
Fб
= 
Где: Fб - магнитное напряжение воздушного зазора, А
µ0 -
магнитное напряжение 4Ч10-7Гн/м
Вб - индукция
в воздушном зазоре,Гн
Fб
= 
3186,3
Магнитная напряженность зубцовой
зоны статора.
Расчётная ширина зубца, минимальное
расстояние:
bz1min = 
где: bz1min - минимальная ширина зубца ротора, м
D - внутренний диаметр статора, м
hш - высота паза над
клином, м
hк - высота клина, м
Z1 - число зубцов статора,
м
Bn - ширина зубцов паза, м
bz1min = 
0,009
Максимальное расстояние:
bz1max = 
где: bz1max - максимальная ширина зубца ротора, м
hn - высота паза, м
bz1max = 
0,01192
Индукция в зубце:
Bz1min =
Где: Вz1min - индукция в наименьшей ширине зубца статора, Тл
ℓб - длина
магнитопровода, м
ℓст - длина
статора, м
Кс1 - коэффициент
заполнения сердечника статора стального, по таблице 9,13 равен 0,95
Bz1min =
1,12
Bz1max =
Где: Вz1max - индукция в наибольшей ширине зубца статора, Тл
Bz1max =
1,96
Находим среднее:
Bz1ср
=
Где: Bz1ср - средняя индукция в зубце статора, Тл
Bz1ср
=
1,54
По расчетным индукциям в зубце
находим, по таблице П1.10.,соответствующюу напряженность поля в сечении зубца.

= 2920 А/м

= 1240 А/м

=663 А/м
Расчетная напряженность всего поля:
Hz1
= 
Где: Hz1 - напряженность поля в сечении зубца статора, А/м
Hz1
= 
1423
Магнитное напряжение зубцовой зоны
статора:
Fz1
= 2
Где: Fz1 - магнитная напряженность зубцов статора, А
hz1 - высота зубца, равная
высоте паза, м
Fz1
= 2
= 126
Магнитная напряженность зубцовой
зоны ротора:
Ширина зубца:
минимальная - bzmin = 0,00648 м
максимальная - bzmax = 0,009515 м
Индукция в зубце:
Bz2min =
Где: Вz2min - индукция в наибольшей ширине зубца ротора, Тл
Bz2min =
1,42
Bz2max =
Где: Вz2max - индукция в наименьшей ширине зубца ротора, Тл
Bz2max =
2,18
Находим среднее:
Bz2ср
= 
Где: Вz2ср - средняя индукция в зубце ротора, Тл
Bz2ср
= 
1,8
По расчетным индукциям в зубце
находим, по таблице П1.10., соответствующую напряженность поля в сечении зубца.
Расчетная напряженность всего поля:

=9000 А/м

=2070 А/м

= 879 А/м
Hz2
= 
Где: Нz2 - напряженность поля в сечении зубца ротора, А/м
Hz2
= 
Магнитное напряжение зубцовой зоны
ротора:
Fz2
= 2
Где: Fz2 - магнитная напряженность зубцов ротора, А
hz2 - высота зубца, равная
высоте паза, м
Fz1
= 2
= 251,4
Далее находим коэффициент насыщения
зубцовой зоны:
КZ = 1 + 
Где: Кz - коэффициент насыщения зубцовой зоны
КZ = 1 + 
= 1,11
Магнитная напряженность ярма статора
Высота ярма:
ha
=
где: ha- высота ярма
статора, м
Da - внешний диаметр
статора, м
D - внутренний диаметр статора, м
hn1 - высота паза статора, м
ha
=
= 0,039
Длина средней магнитной силовой
линии в ярме статора:
La
= 
Где: La - длина средней магнитной силовой линии в ярме статора, м
Zр - число пар полюсов
La
= 
0,43
Индукция ярма статора:
Ва = 
Где: Ва - индукция ярма
статора, Тл
Ф - магнитный поток, Вб
Ва =
2,14
По таблице П1.10 находим
соответствующую напряженность:
На=857/A
Магнитное напряжение ярма статора:
Fa
= La
Ha
Где:Fa-магнитное
напряжение ярма статора, А
Fa
= 0,43 
857 = 415,23
Магнитная напряженность ярма ротора
Высота ярма ротора:
hj
= 
где: hj - высота ярма ротора, м
D2 - диаметр ротора, м
Dj - внутренний диаметр
ротора, равен диаметру вала, м
hn2 - высота паза ротора, м
hj
= 
Длина средней магнитной силовой
линии в ярме ротора:
Lj
= 
Где: Lj - длина средней магнитной силовой линии в ярме ротора, м
р - число пар полюсов
Lj
= 
0,0112
Индукция ярма ротора:
Bj
= 
Где: Вj - индукция ярма ротора, Тл
Ф - магнитный поток, Вб
Bj
= 
0,95
По таблице П1.10 находим
соответствующую напряженность: Hj=282А/м. Магнитное напряжение ротора:
Fj
= Lj
Hj
Где: Fj - магнитное напряжение ярма ротора, А
Fj
= 0,0112
282
= 3,15
Суммарное магнитное напряжение цепи
на два полюса:
Fц = Fб + Fz1 + Fz2 + Fа + Fj
Где: Fц - суммарное магнитное напряжение цепи, А
Fц =
3187,12+126+251,4+415,23+3,15=3982,9
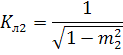
Коэффициент насыщения магнитной
цепи:
Км = 
Где: Кµ - коэффициент
насыщения магнитной цепи
Км =
1,24
Намагничивающий ток:

=

Где: Iµ - намагничивающий ток, А
Р - число полюсов m1 - число фаз статора
W1 - число витков обмотки
статора

=

86,7
Величина
намагничивающего тока в долях от номинального тока двигателя:

= 
Где:
- намагничивающий ток в
долях от номинального.

1ном
- номинальный ток двигателя, А.

= 
= 0,29
2.4 Расчет параметров
рабочих режимов
Параметры асинхронной машины
называют активные и индуктивные сопротивления обмоток статора, ротора или
приведенное к числу витков обмотки статора сопротивления ротора, сопротивления
взаимной индукции и расчётное сопротивление, введением которого влияние потерь
в стали статора на характеристики двигателя.
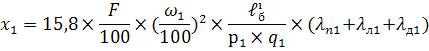
Активное сопротивление обмотки
статора.
Предварительно находим:
где:b - ширина меди катушки в лобовой
части, равная 2Чbэл=2Ч0,00325=0,0065 м
Коэффициент лобовой части обмотки:
Где: Кл1 - коэффициент
лобовой части обмотки
Средняя ширина катушки:
где: bкт - средняя ширина катушки, м
D - внешний диаметр статора, м
hn1 - высота паза статора, м
р- число пар полюсов,
В-ускорение шага обмотки статора
Длина лобовой части обмотки статора:
где: ℓл1 - длина
лобовой части обмотки, м В-вылет прямолинейной части катушек из паза,по таблице
9,24 равно 0,025 м
Средняя длина витка:
где: ℓср1 - средняя
длина витка, м
Общая длина проводимой фазы:
Где: L1 - общая длина проводимой обмотки статора, м
W1 = число витков обмотки
статора
По найденным параметрам находим
активное сопротивление обмотки статора:
где: r1 - активное сопротивление обмотки статора, Ом
Kr - коэффициент увеличения
активного сопротивления обмотки фазы статора от действия эффекта вытеснения
тока, равен 1 для асинхронных двигателей.
Р115-удельное
сопротивление материала обмотки при заданной температуре, Ом/v
qэф- площадь поперечного
сечения элементарного проводника
а1-число параллельных
ветвей

0,03
Вылет лобовых частей обмотки
статора:
Предварительно находим:
Где: Квыл - коэффициент
вылета обмотки статора
По данным расчета находим:
где: ℓвыл1 - вылет
лобовой части обмотки статора, м
Активное сопротивление обмотки
ротора:
Предварительно находим:
где: b2 - ширина меди катушки в лобовой части, равная 3.28 или
S2 - допустимое расстояние
между медью проводников соседних катушек по таблице 9,25 равно 1,7Ч10-3м
Tz2 - зубцовое деление
ротора, м
Коэффициент лобовой части обмотки:
Где: Кл2 - коэффициент
лобовой части обмотки
Средняя ширина катушки:
где: bкт - средняя ширина катушки, м
D2 - диаметр ротора, м
hn2 - высота паза ротора, м
р - число
пар полюсов
Длина лобовой части обмотки статора:
где: ℓл2 - длина
лобовой части обмотки, м В - вылет прямолинейной части катушек из паза, по
таблице 9.24 равно 0.05 м
Средняя длина витка:
где: ℓср2 - средняя
длина витка:
Общая длина проводников фазы:
Где: L2 - общая длина проводников обмотки ротора, м
w2 - число витков обмотки
ротора
По найденным параметрам находим
активное сопротивление обмотки статора:
где: r2 - активное сопротивление обмотки ротора, Ом
KR - коэффициент увеличения
активного сопротивления обмотки фазы ротора от действия эффекта вытеснения
тока, равен 1 для асинхронных двигателей

2 -
удельное сопротивление материала обмотки при заданной температуре, Ом/м
qэф2
- площадь поперечного сечения элементарного проводника, м2
а2 - число
параллельных ветвей

0,01
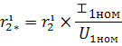
Приводим активное
сопротивление ротора к числу витков первичной обмотки.
Для этого предварительно
рассчитываем:
Где:
- коэффициент
приведения сопротивлений обмотки ротора.

- число фаз обмотки
статора.

- число фаз обмотки
статора.

- число витков обмотки
статора.

- число витков обмотки
статора.

- обмоточный коэффициент
статора.

- обмоточный коэффициент
статора.
Активное сопротивление
ротора, приведенное к числу витков первичной обмотки:
Где: 
- сопротивление обмотки
ротора приведенное к числу витков статора, Ом.
Сопротивление обмотки
ротора:
Где: 
- сопротивление ротора,
Ом.
Вылет лобовых частей обмотки
статора:
Предварительно находим:
Где: Квыл - коэффициент
вылета обмотки ротора
По данным расчета находим:
где: ℓвыл1 - вылет
лобовой части обмотки ротора, м
Индуктивное сопротивление статора
Предварительно находим следующие
параметры коэффициент магнитной проводимости пазового рассеяния:
Где: 
- коэффициент магнитной
проводимости пазового рассеяния
h0
- расстояние между витками, равно 0,0014 м
hk - высота клина, м
h1
- расстояние от витка до клина, равно 0,0007 м
h2
- высота паза, равна 0,0416 м
hш
- высота паза над клином, равна 0,0008 м
bш
- ширина проема паза, м
bn - ширина паза, м
Кв -
коэффициент равный 0,906
К’в -
коэффициент равный 0,875
Коэффициент магнитной проводимости
лобового рассеяния:
Где: 
- Коэффициент магнитной
проводимости лобового рассеяния
q1
- число пазов на полюс и фазу, равно 4
ℓ’б
- длина статора, м.
Коэффициент магнитной проводимости
дифференциального рассеяния:
Рассчитываем коэффициент.
Где: Е - коэффициент магнитной
проводимости дифференциального рассеяния.
К’’- коэффициент по рис.
9.51 равный 0,0035
ДZ - коэффициент по рис. 9.51 равный
0.125
Коэффициент магнитной проводимости
дифференциального рассеяния:
Где: 
-
коэффициент магнитной проводимости диф. рассеяния
д - воздушный зазор, м
Индуктивное сопротивление обмотки
статора:
Где: X1 - индуктивное сопротивление статора.
f - частота питающей силы, Гц.
р1-число полюсов.
Индуктивное сопротивление обмотки
статора приведённое к числу обмотки витков:
Где: Х1
- индуктивное
сопротивление обмотки статора приведённое к числу витков обмотки.
I1ном
- номинальный ток статора, А
U1ном
- номинальное напряжение статора, В
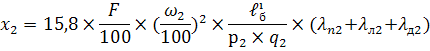
Индуктивное сопротивление ротора:
Предварительно находим следующие
параметры:
Коэффициент магнитной проводимости
пазового рассеяния:
Где:
Лл2- коэффициент
магнитной проводимости пазового рассеяния
h0-расстояние между
витками, равно 0,0016 м
hk- высота клина, м
h1- расстояние от витка до
клина, равно 0,0012 м
h2-высота паза, равна
0,0411 м
hш- высота паза над
клином, равна 0,001 м
bш- ширина проёма паза, м
bn- ширина паза, м
Кв- коэффициент равный 1
К’в -коэффициент равный 1
Коэффициент магнитной проводимости
лобового рассеяния:
Где: 
- коэффициент магнитной
проводимости лобового рассеяния:
q2
- число пазов на полюс и фазу, равное 5
ℓ’б -
длина ротора, м
Коэффициент магнитной проводимости
дифференциального рассеяния:
Рассчитываем коэффициенты:
Где: Е - коэффициент
ДZ - коэффициент на рис. 9.51 равен
0.12

Где: 
- коэффициент магнитной
проводимости дифференциального рассеяния.
д - воздушный зазор, м.
Индуктивное сопротивление обмотки
ротора:
Где: Х2 - индуктивное
сопротивление ротора
f - частота питающей сети, Гц
р2 - число полюсов
Индуктивное сопротивление обмотки
статора, приведенное к числу витков обмотки:
Где: Х’2 -
индуктивное сопротивление обмотки ротора
Приводим к числу витков:
Где: Х’2
-
индуктивное сопротивление обмотки статора приведённое к числу витков обмотки.
2.5 Расчет потерь
Потери в асинхронных машинах
подразделяются на потери в стали, (основные и добавочные), электрические,
вентиляционные, механические и добавочные при нагрузке.
Основные потери в стали рассчитывают
только в сердечнике статора, так как частота перемагничивания ротора в режимах
близких к номинальному, очень мала и потери в стали ротора даже при больших
индукциях не значительны.
Наибольшими потерями в пусковых
режимах являются электрические потери в обмотках. Они во много раз превышают
потери номинального режима, поэтому пренебрежение потерями в стали ротора при
больших скольжениях не вносит сколько - нибудь заметной погрешности в расчетах.
Основные потери в стали статора.
Предварительно находим:
ma
=
Где: ma - масса стали ярма, кг.

- внешний диаметр
сердечника, м.

- высота зубца статора,
м.

- длина статора, м.

- коэффициент
заполнения сердечника статора сталью по таблице 9.13 равен 0,95.

- удельная масса стали,
равная7,8 
103 кг/м3.
ma
=
=120
Средняя ширина зубца
статора:
Где: 
- средняя ширина зубца,
м.

- максимальная ширина
зубца, м.

- минимальная ширина
зубца, м.
Масса стали зубцов
статора:
Где: 
- масса стали зубцов,
кг.

- число зубцов статора

- высота зубца статора,
м.

5
Потери в стали статора:
Где: 
- основные потери в
стали статора, Вт.

- удельные потери при
индукции 1Тл и частоте перемагничивания 50 Гц, для стали 2312 равны 1,75 Вт/кг.

- коэффициент влияния
на потери в стали неравномерности распределения потока, равен 1,6.

- коэффициент влияния
на потери в стали технологических факторов, равен 1,8.

- индукция в ярме
статора, Тл.

- средняя индукция в
зубцах статора, Тл.
Добавочные потери в
стали.
Полные поверхностные
потери ротора.
Предварительно находим:
Где: 
- амплитуда пульсаций
индукции в воздушном зазоре над коронками зубцов ротора, Тл.

- коэффициент,
находится по рис. 9.53 равен 0,36.

- коэффициент
воздушного зазора.

- индукция в воздушном
зазоре, Тл.
Удельные поверхностные
потери, приходятся на 1м2 поверхности головок зубцов ротора:
Где: 
- удельные поверхностные
потери ротора, Вт.

- коэффициент
учитывающий влияние обработки поверхности головок зубцов ротора на удельные
потери, принимаем равным 1,8.

- число зубцов ротора.

- частота вращения ротора,
об/мин.

- зубцовое деление
ротора.
Полные поверхностные
потери:
Где: 
- полные поверхностные
потери ротор, Вт.

- ширина шлица паза, м.

- длина статора, м.
Пульсационные потери в
зубцах ротора:
Предварительно находим:
Где: 
- средняя ширина зубца
ротора, м.

- максимальная ширина
зубца, м.

- минимальная ширина
зубца, м.
Масса зубцов ротора:
Где: 
- масса стали зубцов
ротора, кг.

- высота зубца ротора,
м.
Амплитуда пульсации
индукции в среднем сечении зубцов:
Где: 
Потери от пульсаций в
зубцах ротора:
Где: Рпул2 -
потери от пульсаций в зубцах ротора, Вт.
Добавочные потери в
статоре:
Где: Рст.доб.
- суммарные добавочные потери в статоре, Вт.
Потери в статоре:
Где: Рст -
потери в статоре, Вт.
Механические и
вентиляционные потери:
Где: Рмех -
механические потери в двигателе, Вт.

- полюсное деление.
nк
- число радиальных вентиляционных каналов, равно 68,2.
Потери на трение щеток о
контактные кольца.
Предварительно выбираем
и проверяем щетки:
По таблице п4.2.
выбираем щетки тип МГ с параметрами:
· давление на контактной
поверхности щеток 
щ
= 20 
103 Па.
· коэффициент трения щеток
о контактные кольца Ктр= 0,16.
· допустимая плотность
тока Jщ.доп. = 20А/см2.
· падение напряжения 
Uщ
= 0,2 В.
· Линейная скорость
поверхности контактных колец Vк.доп.
= 20м/с.
Площадь щеток необходимая на 1
кольцо:
Где: 
- площадь щеток на одно
кольцо, см.

-
ток ротора, А.
По таблице п4.1 выбираем
размеры щеток: ℓщ = 25мм; bщ
= 20мм.
Необходимое количество
щеток:
nщ
= 
Где: nщ - количество щеток на одно кольцо.
nщ
= 
Уточняем плотность тока
под щеткой:
Где: 
- плотность тока, А/см2
Принимаем диаметр кольца
Dк=0,2м, тогда:
Где: VК - линейная скорость поверхности контактных колец, м/с.
Потери на трение щеток о
контактные кольца:
Где: Ртр.щ. -
потери на трение щеток о контактные кольца, Вт.
Находим общую сумму
потерь:
Где: Рn - полные потери, Вт.
Добавочные потери при
нагрузке асинхронных двигателей возникают за счет действия потоков рассеяния,
пульсаций индукции в воздушном зазоре, ступенчатых кривых распределения МДС
обмоток статора и ротора и ряда других причин.
Рассчитываем следующие
параметры:


эм
Где: Рэ1хх -
электрические потери в статоре при холостом ходе, Вт.
m
- число фаз обмотки.

эм
- намагничивающий ток, А.
r1
- сопротивление обмотки статора, Ом.


Активное составляющая
тока холостого хода:

ХХА
Где: 
ХХА
- активное составляющая тока холостого хода, А.
U1ном
- номинальное напряжение статора, В.

ХХА
Ток холостого хода:
Где: 
ХХ
- ток холостого хода, А. 
ХХР
- реактивная составляющая тока статора, равна намагничивающему току 
ХХР
= 
м
= 105,9
Коэффициент мощности для
холостого хода:
Где: 
хх
- коэффициент мощности.
Активное сопротивление:
Где: r12 - активное сопротивление, Ом.
Индуктивное
сопротивление:
Где: Х12 -
индуктивное сопротивление.
Х1 -
индуктивное сопротивление ротора.
Индуктивное
сопротивление, приведенное к числу витков обмотки.
Где: 
- индуктивное
сопротивление, приведенное к числу витков обмотки.
2.6 Расчет рабочих
характеристик
Предварительно находим:
С1 = 
Где: С1 -
комплексный коэффициент.
Х12 -
индуктивное сопротивление.
Х1 -
индуктивное сопротивление ротора.
С1 = 
Ток синхронного
холостого хода:
Где: 
- ток синхронного
холостого хода, А.

- основные потери в
статоре, Вт.

- намагничивающий ток,
А.
r1
- активное сопротивление обмотки статора, Ом.
U1ном
- номинальное напряжение, В.
Расчет рабочих
характеристик производим аналитическим методом. Находим следующие величины:
аэ = с21
= 1,0522 = 1,1 Ом.
bэ
= 0 Ом.
а = с1 
r1
= 1,052 
0,0298 = 0,0312 Ом.
b
= с1 
(х1+с1
с1 
хэ2)
= 1,052 
(0,154 + 1,052 
0,126)
= 0,3 Ом.
Выписываем данные
необходимые для расчета характеристик:
1. Рном = 160кВ
номинальная мощность 35кВ.
2. 2р = 8 число пар полюсов.
3. U1ном = 380 В номинальное
напряжение питания.
4. 
= 292,78 А номинальный
ток статора.
5. r1
= 0,0298 Ом активное сопротивление обмотки статора.
6. r2
= 0,045 Ом активное сопротивление обмотки статора, приведенное к
числу витков обмотки.
. Р = 3332,3 Вт
полные потери.
. 
= 3,6 А активная
составляющая тока синхронного холостого хода.
. 
= 105,9 А реактивная
составляющая тока синхронного холостого хода.
. С1 =
1,052 комплексный коэффициент.
. аэ =
1,1 Ом.
12. bэ
= 0 Ом.
. а = 0,0312 Ом.
14. b
= 0,296 Ом.
Таблица: 3 Рабочие характеристики
|
№
|
Расчетная формула
|
Размерность
|
Скольжение
|
|
|
|
0,005
|
0,01
|
0,015
|
0,02
|
0,025
|
0,03
|
0,035
|
0,04
|
0,035
|
|
1
|
|
Ом
|
5,06
|
2,53
|
1,68
|
1,26
|
1,012
|
0,84
|
0,72
|
0,63
|
0,72
|
|
2
|
|
Ом
|
5,08
|
2,55
|
1,71
|
1,29
|
1,04
|
0,867
|
0,74
|
0,65
|
0,74
|
|
3
|
|
Ом
|
0,248
|
0,248
|
0,248
|
0,248
|
0,248
|
0,248
|
0,248
|
0,248
|
0,248
|
|
4
|
|
Ом
|
5,09
|
2,57
|
1,73
|
1,31
|
1,06
|
0,9
|
0,79
|
0,7
|
0,79
|
|
5
|
|
А
|
43,22
|
85,75
|
127,3
|
167,65
|
206,59
|
243,98
|
279,69
|
313,65
|
279,69
|
|
6
|
|
_
|
0,998
|
0,995
|
0,989
|
0,981
|
0,973
|
0,961
|
0,95
|
0,93
|
0,95
|
|
7
|
|
_
|
0,049
|
0,966
|
0,144
|
0,188
|
0,23
|
0,275
|
0,315
|
0,354
|
0,315
|
|
8
|
|
А
|
46,22
|
88,39
|
129,04
|
167,68
|
203,96
|
237,6
|
268,5
|
296,45
|
268,5
|
|
9
|
|
А
|
108
|
114,2
|
124,2
|
137,6
|
154,01
|
173
|
194,08
|
216,8
|
194,08
|
|
10
|
|
А
|
117,5
|
144,4
|
179
|
216
|
255,5
|
293,9
|
331,3
|
367,3
|
331,3
|
|
11
|

|
45,5
|
90,2
|
133,9
|
176,4
|
217,3
|
256,7
|
294,2
|
329,9
|
294,2
|
|
12
|
|
кВт
|
30,5
|
58,3
|
85,16
|
110,7
|
134,6
|
156,8
|
177,2
|
195,6
|
177,20
|
|
13
|
|
кВт
|
0,93
|
1,4
|
2,15
|
3,16
|
4,4
|
5,8
|
7,4
|
9,1
|
7,4
|
|
14
|
|
кВт
|
0,14
|
0,56
|
1,24
|
2,15
|
3,26
|
4,5
|
5,9
|
7,5
|
5,9
|
|
15
|
|
кВт
|
0,027
|
0,054
|
0,08
|
0,1
|
0,13
|
0,154
|
0,176
|
0,198
|
0,176
|
|
16
|
|
кВт
|
0,15
|
0,29
|
0,43
|
0,55
|
0,67
|
0,78
|
0,88
|
0,98
|
0,88
|
|
17
|
|
кВт
|
4,14
|
5,06
|
6,52
|
8,46
|
10,82
|
13,55
|
16,57
|
19,8
|
16,57
|
|
18
|
|
кВт
|
26,37
|
53,28
|
78,65
|
102,2
|
123,8
|
143,3
|
160,6
|
175,8
|
160,6
|
|
19
|
|
_
|
0,86
|
0,91
|
0,92
|
0,92
|
0,92
|
0,91
|
0,91
|
0,9
|
0,91
|
|
20
|
|
_
|
0,31
|
0,61
|
0,72
|
0,77
|
0,8
|
0,8
|
0,81
|
0,81
|
0,81
|
По графику определяем номинальное
скольжение S = 0,035 и производим расчет параметров в таблице 2.6.1.
Данные спроектированного
асинхронного электродвигателя с фазным ротором:
1. Номинальная мощность Р2
= 35 кВт.
2. Номинальное напряжение
127/380 В.
. Число пар полюсов 2р=4.
. Коэффициент полезного
действия ŋ = 0,91.
5. Коэффициент
мощности 
= 0,81.
Рисунок 2.6.1. Рабочие
характеристики
Для расчета
максимального момента определяем критическое скольжение:
Где: 
- критическое
скольжение.

- активное
сопротивление обмотки ротора.

- индуктивное
сопротивление обмотки статора.

- комплексный
коэффициент.

- индуктивное
сопротивление обмотки ротора.
Находим следующие
параметры для критического скольжения:
Где: 
- активное
сопротивление при критическом скольжении, Ом.
Индуктивное
сопротивление:
Где: 
- индуктивное
сопротивление при критическом скольжении.
Ток статора:
Где: 
- ток статора при
критическом скольжении, А.
Находим максимальный
момент:
Где: 
- максимальный момент
двигателя, Н/м.
3. Конструктивная часть
двигатель
зубцовый электрический обмотка
Особенности работы двигателя при
отключениях, обусловленных нарушением условий эксплуатации.
Электродвигатель не развивает
номинальной частоты вращения:
нарушение контакта в двух или трех
фазах пускового реостата;
нарушение электрической цепи между
пусковым реостатом и обмоткой ротора.
У электродвигателя медленно
увеличивается частота вращения:
замыкания части обмотки ротора на
заземленный корпус.
Ротор двигателя сильно греется даже
при малой нагрузке:
нарушение изоляции между контактными
кольцами и валом ротора.
Двигатель не развивает частоты
вращения под нагрузкой, гудит, ток статора «пульсирующий».
нарушение контакта в местах пайки
обмоток ротора, соединяющая её с контактными кольцами или в соединительных
проводах.
Повышенное искрение между щетками и
контактными кольцами:
плохая притёртость или повышенная
загрязненность щеток в обоймах щеткодержателей.
биение контактных колец.
Конструкцию асинхронных двигателей с
фазным ротором разрабатывают, начиная с вращающей части, а точнее с якоря
современного электропривода.
Расчеты машины проведены в
определенной последовательности. В начале, выбраны главные размеры и выполнен
электромагнитный расчет, в процессе которого определяются обмоточные данные и
размеры машины. Электромагнитные расчеты заканчиваются построением основных
характеристик.
После окончания электромагнитные
расчета должны быть выполнены в тонких линиях чертежи машины. В процессе
конструирования проверяются выбранные ранее размерные соотношения деталей и
узлов.
При проектировании отдельные части
машины должны быть так конструированы и рассчитаны, чтобы при изготовлении
машины трудоемкости и расход материалов были наименьшими, а при эксплуатации
машина обладала наилучшими энергетическими показателями. При этом
электромагнитная машина должна соответствовать условиям применения её в
электроприводе.
При разработке конструкции машины
следует обратиться к заводским чертежам аналогичных машин, близких по габаритам
к заданной в проектном задании, каталогам на электрические машины. Помимо этого
следует познакомиться с технологией изготовления основных деталей и сборки.
На базе машин общего назначения
проектируют и изготовляют без значительного изменения конструкции модификации
машин, обладающие несколько измененными характеристиками, которые рассчитаны,
на удовлетворение требований отдельных видов электропривода. Например, у
рассчитанного мной асинхронного двигателя модификациями могут двигатели с
повышенным скольжением, многоскоростные двигатели с переключениями полюсов и
т.п.
Заключение
Совершенствование двигателя может
быть выполнено за счет использования современных материалов, типа пластмасс,
которые уменьшают стоимость машины и ее вес. Асинхронные машины получили
наиболее широкое применение в современных электрических установках и являются
самым распространенным видом бесколлекторных электрических машин переменного
тока. Как и любая электрическая машина обратима и может работать как в
генераторном так и двигательном режиме.