Трассовый обзорный радиолокатор
Техническое
задание
1. Максимальная дальность действия РЛС: Dмакс =
450км
. Минимальная дальность действия РЛС: Dмин = 5км
. Разрешающая способность по дальности: ΔD = 155м
. Разрешающая способность по азимуту: Δα = 150
5. Разрешающая способность по углу места: Δβ = 20
. Среднеквадратическая погрешность измерения дальности: σD = 10 м
. Эффективная площадь рассеивания: σЭ ≥ 15 м2
. Сектор обзора по азимуту: Фα = 3600
. Сектор обзора по углу места: Фβ = 400
. Вероятность правильного обнаружения: РПО = 0,9
. Вероятность ложной тревоги: РЛТ = 10-4
. Реальная погрешность измерения азимута: σα = 0,10
. Реальная погрешность измерения угла места: σβ = 0,10
Оглавление
Введение
1. Анализ технического задания
2. Расчет основных технических характеристик
2.1 Расчет длительности зондирующего импульса
2.2 Расчет длины волны
2.3 Расчет ширины диаграммы направленности
2.4 Расчет требуемого КНД
2.5 Расчет характеристик антенны
2.6 Расчет отношения сигнал/шум
2.7 Расчет времени облучения
2.8 Расчет периода повторения зондирующих импульсов
2.9 Определение числа импульсов в пачке
2.10 Расчет чувствительности приемника
2.11 Расчет импульсной мощности передатчика
2.12 Расчет характеристик оконечного устройства
2.13 Расчет реальных погрешностей измерения
3. Расчет характеристик обнаружения
4. Особенности построения функциональных узлов РЛС
5. Расчет реальных тактических характеристик РЛС и сравнение их с
требованиями ТЗ
Список литературы
Приложения
Введение
Радиолокация - это область науки и техники, объединяющая
методы и средства обнаружения, измерения координат, а также определение свойств
и характеристик различных объектов, основанных на использовании радиоволн.
В процессе радиолокационного наблюдения мы получаем
радиолокационную информацию с помощью устройств радиолокационного наблюдения.
Которые называют радиолокационными станциями (РЛС) или радарами (англ. radar от RAdio
Detection And Ranging - радиообнаружение и
дальнометрия) - система для обнаружения воздушных, морских и наземных объектов,
а также для определения их дальности, скорости и геометрических параметров.
Объекты радиолокационного наблюдения называются радиолокационными целями или
просто целями. К радиолокационным целям относятся:
· летательные аппараты (самолеты, вертолеты,
метеорологические зонды и др.)
· гидрометеообразования (дождь, снег, град,
облака и т.д.)
· речные и морские суда, наземные объекты
(строения, автомобили, самолеты в аэропортах и др.)
· всевозможные военные объекты и т.п.
Радиолокационный сигнал является основным источником
радиолокационной информации.
Различают активную, полуактивную, активную с пассивным
ответом и пассивную радиолокационные станции. РЛС подразделяются по
используемому диапазону радиоволн, по виду зондирующего сигнала, числу
применяемых каналов, числу и виду измеряемых координат, месту установки.
Выделяют два вида радиолокации:
· Пассивная радиолокация
основана на приёме собственного излучения объекта
· При активной радиолокации
радар излучает свой собственный зондирующий импульс и принимает его отражённым
от цели. В зависимости от параметров принятого сигнала определяются
характеристики цели.
Активная радиолокация бывает двух видов:
· С активным ответом - на
объекте предполагается наличие радиопередатчика (ответчика), который излучает
радиоволны в ответ на принятый сигнал. Активный ответ применяется для
опознавания объектов (свой/чужой), дистанционного управления, а также для
получения от них дополнительной информации (например, количество топлива, тип
объекта и т.д.).
· С пассивным ответом -
запросный сигнал отражается от объекта и воспринимается в пункте приёма как
ответный.
1. Анализ
технического задания
Согласно техническому заданию необходимо рассчитать основные
технические характеристики РЛС и функциональных узлов и разработать
функциональную схему трассового обзорного радиолокатора. Диапазон обзора 5-450
км при разрешающей способности по азимуту. Сектор обзора по азимуту
и по углу места
. Для такого сектора обзора целесообразно
взять сложную антенную систему и многоканальную аппаратуру, что приведет к
увеличению стоимости станции и весогабаритных параметров, исходя из этого,
выберем последовательный обзор. Самым простым способом обзора является
секторный строчный обзор. В этом случае луч быстро передвигается в плоскости
угломестной, с одновременным медленным перемещением в плоскости азимута.
Для расчета РЛС трассового обзора будем использовать
импульсный метод. Этот метод по сравнению с другими (частотный, фазовый)
обладает рядом достоинств:
· сравнительная простота измерения
дальности.
· сравнительная легкость измерения дальности
многих целей, расположенных не слишком близко друг от друга.
· возможность использования одной антенны
для излучения и приема, что особенно важно для бортового радиооборудования.
Импульсному методу свойственны и определенные недостатки:
· Так как прием отраженных сигналов возможен
только после излучения, то невозможно измерять расстояние до целей, находящихся
ближе, чем Dмин = 0,5×с×tи.
· Для получения достаточной энергии сигнала мощность
излучения в импульсе должна быть весьма большой.
· Большая импульсная мощность в свою очередь
требует применения сравнительно громоздкого модулятора. Кроме того, она может
вызвать пробой в антенно-фидерной системе станции, особенно на больших высотах.
трассовый обзорный радиолокатор радиолокация
2. Расчет
основных технических характеристик
2.1 Расчет
длительности зондирующего импульса
Длительность зондирующего импульса определяется разрешающей
способностью по дальности:
где kсж - коэффициент сжатия сигнала (kсж=1-при
простом сигнале).
По техническому заданию ∆D= (10-3D + 150м). Приняв D=Dmax=450км, получаем ∆D=600м.
Таким образом длительность зондирующего импульса равна 1 мкс.
2.2 Расчет
длины волны
К выбору и обоснованию частоты излучения f0 или
диапазона используемых частот нужно подходить особенно внимательно, так как
этот технический показатель РЛС связан почти со всеми тактическими и
техническими характеристиками. Так как трассовый обзорный радиолокатор служит
для обнаружения и измерения координат (азимут-дальность) воздушных судов во
внеаэродромной зоне (на трассах и вне трасс) с последующей выдачей информации о
воздушной обстановке. То в соответствии с американским стандартом IEEE он относится к диапазону
L (от англ. Long, в этом диапазоне
осуществляется наблюдение и контроль над воздушным движением) и длина волны
должна быть равна 15-30 см.
Отсюда частота излучения:
2.3 Расчет
ширины диаграммы направленности
По найденной длине волны определим геометрические размеры
раскрыва антенны по формуле (10) [1]. Будем иметь:
где
- коэффициент ухудшения разрешающей
способности, приблизительно равен 1…3 и зависящий в основном от разрешающей
способности оконечного устройства. Выберем
=1,2 и
. Тогда геометрические размеры раскрыва в
азимутальной и угломестной плоскостях будут равны:
Следовательно, будем иметь прямоугольный раскрыв.
Определим ширину ДН в двух плоскостях по формуле (54) из [1]:
В дальнейшем при вычислениях потребуются значения θ. α и θ. β в радианах, они равны 0.0218 для θ. α и 0.0291 для θ. β.
2.4 Расчет
требуемого КНД
Для расчета КНД воспользуемся формулой (46) из [1]:
где θα и θβ выражены в радианах.
2.5 Расчет
характеристик антенны
Геометрическая площадь раскрыва антенны по формуле (53) из
[1] равна:
где ks = 0,4…0,7 - коэффициент использования
раскрыва антенны.
Приняв коэффициент использования раскрыва антенны равным 0.7,
получим:
Тогда эффективная площадь раскрыва антенны будет равна:
2.6 Расчет
отношения сигнал/шум
Ширина диаграммы направленности связана с погрешностью
измерения соотношением (формула (18) из [1]):
,
где q - отношение сигнал/шум на входе
измерителя, γ2 =1.1.2.5 - коэффициент ухудшения
потенциальной точности азимута.
Принимаем γ2=1.5 По техническому заданию
°.
Следовательно, отношение сигнал/шум:
2.7 Расчет
времени облучения
При круговом обзоре плоским лучом диаграмма направленности
антенны имеет веерообразный характер (θβ=Фβ) и равномерно вращается в азимутальной плоскости. При этом koбз=1, а время обзора по
формуле (33) из [1] равно:
Рассчитаем время облучения через время обзора, которое нам дано по
ТЗ и равно 20с.:
Найдем ΩА - угловую скорость перемещения ДН по формуле (39) из [1],
при коэффициенте обзора равном 1:
2.8 Расчет
периода повторения зондирующих импульсов
Учитывая время, необходимое для завершения переходных
процессов в оконечном устройстве к моменту излучения очередного зондирующего
импульса, рекомендуется выбирать (формула (26) из [1]):
где kзап = 1,2 … 2,0 - коэффициент запаса.
Принимаем коэффициент запаса kзап =1.2, тогда по формуле (26)
из [1] получим:
Отсюда период повторения зондирующих импульсов Тповт =
3.6 мс.
2.9
Определение числа импульсов в пачке
Количество импульсов в пачке определяется по формуле:
Примем N=20.
Для лучшего выделения отраженного сигнала, необходимо, чтобы число
импульсов в пачке было как можно больше, но не менее 10. В нашем случае это
условие соблюдается, что является результатом правильного решения при выборе
времени обзора
=20 с.
Для нахождения отношения сигнал/шум при обнаружении пачки
импульсов воспользуемся формулой, где используются данные в ТЗ вероятности
ложной тревоги и правильного обнаружения, а так же количество импульсов в
пачке.
Отношение сигнал/шум определим из выражения:

Сужение ДН при сохранении Tобз приводит к уменьшению
времени облучения цели и тем самым к уменьшению энергии принимаемого сигнала,
что сокращает дальность действия и увеличивает вероятность пропуска целей.
Минимальное значение ширины ДН в плоскости быстрого
сканирования, необходимое для получения не менее N импульсов в пачке,
определяется по формуле:
при kзап≈ 1.2, kобз=1, N=20 получаем:
θ мин
θα, что означает правильность выбора Tповт и Tобл.
2.10 Расчет
чувствительности приемника
Чувствительность приемника определяется наименьшим уровнем
сигнала на входе приемника, который приемник может обнаружить. Реальной
чувствительностью Рпр. мин, входящей в уравнение дальности,
называется минимальная мощность сигнала на входе приемника, при которой на
выходе его линейной части обеспечивается необходимое ОСШ по мощности qпор. Рассчитаем
чувствительность приёмника по формуле (70) из [1]:
где k = 1,38·10-23 (Дж / К) -
постоянная Больцмана;
Т0 = 290 (К) - абсолютная температура в Кельвинах;
Δfш - эффективная шумовая полоса приемника;
kш -
коэффициент шума приемника;
kр = qпор/2N - коэффициент
различимости.
Эффективная шумовая полоса приемника связана с полосой пропускания приемника Dfпр приближенным соотношением (71) из [1]:
Входящая в формулу (71) из [1] полоса пропускания
приемника определяется формулой (72) из [1]:
где Δfи - эффективная ширина спектра полезного сигнала;
Δfд - максимально возможное доплеровское смещение частоты;
Δfнс - нестабильность частоты.
Эффективная ширина спектра определяется формулой:
где kф - коэффициент формы.
Для прямоугольного импульса коэффициент формы равен 1,37, тогда:
Нестабильность частоты определяется формулой:
где δfи и δfг - нестабильности несущей частоты сигнала fи и
частоты гетеродина fг;
δfн и δfупч - неточность настроек частоты гетеродина и УПЧ.
Для выбранной длины волны обычно применяют транзисторные
многокаскадные генераторы с умножением частоты и кварцевой стабилизацией. По таблице
2 из [1] относительная нестабильность частоты генератора и
гетеродина:
Промежуточную частоту выбираем из соображения воспроизведения
отраженного импульса на промежуточной частоте. Необходимо чтобы за время,
равное tи=1 мкс было не менее 20-30 периодов промежуточной частоты. Решим
уравнение
относительно fПЧ.
Получилось значение fПЧ=30 МГц. Частота излученного сигнала равна fИ=2 ГГц.
Относительные нестабильности
и
имеют порядок соответственно (0,003.0,01)
и (0,0003.0,003).
Отсюда нестабильность частот:
Нестабильность частоты:
Максимально возможное доплеровское смещение частоты fд достигается при движении цели со скоростью 800 м/с (используя данные ТЗ):
.
Найдём полосу пропускания приемника:
Эффективная шумовая полоса:
Коэффициент шума определяется собственными шумами приемника (первых каскадов) и
внешними шумами (шумовая температура антенны), определяемыми формулой:
где Тф - действительная температура фидера, принимается
равной 290 К;
Кф - коэффициент потерь в атмосфере, принимается равным
2;
Татм, Ткосм - эквивалентная шумовая
температура атмосферного и космического шумов (по рисунку 15 из [1] определяем
Татм ≈ 57 К, Ткосм ≈ 30 К.);
Кф - коэффициент передачи антенного фидера.
Коэффициент передачи антенного фидера определяется следующей
формулой:
где δф - погонное затухание,
выраженное в дБ / м; lф - длина фидера.
Для фидерного тракта используем прямоугольный посеребренный
медный волновод, у которого затухание 0,02 дБ / м. Длина фидерного тракта
необходима около 20 м. Отсюда коэффициент передачи:
Шумовая температура антенны:
Определив шумовую температуру, находим коэффициент шума приемника:
Основной уровень шумов, вносимых в приемный тракт, обусловлен
входным высокочастотным усилителем. Выбирая в качестве усилитель на туннельном
диоде, по рисунку 16 из [2] находим:
Т.к. kш урч > kш. пр, то общий коэффициент шума системы равен:
Коэффициент различимости определяется требуемыми вероятностями ложной тревоги Рлт
и правильного обнаружения Рпо и зависит от качества обработки
сигнала в приемном тракте (коэффициент потерь апот). Определим его
по формуле (80) из [1]:
где qпор - пороговое ОСШ, определяется значениями Рлт и
Рпо;
N - число импульсов в пачке.
Коэффициент потерь равен:
где ai - коэффициент потерь в i-м функциональном узле приемного тракта.
Наиболее часто встречающиеся коэффициенты потерь ai, которыми могут характеризоваться узлы в приемнике РЛС, следующие:
aа ≈ 1,5 - потери,
возникающие вследствие изменения амплитуды принимаемых сигналов при
сканировании ДН;
aвч ≈ 1,6 - потери в
высокочастотном тракте, вызываемые затуханием энергии сигналов в фидерах и
антенных коммутаторах;
aдет ≈ 2,5 - потери в
детекторе, среднее значение которых может быть определено по рисунку 19 из [1];
aко ≈ 1,11 - потери,
вызванные заменой оптимального фильтра в приемнике с квазиоптимальным фильтром,
согласованным со спектром сигнала только по полосе пропускания;
aву ≈
1,2 - потери в видеоусилителе, которые могут быть определены по таблице 4 из
[1] вычислением произведения удвоенной полосы пропускания ФНЧ ΔFф на длительность 
;
aнес ≈
1,1 - потери, возникающие вследствие несогласованности УПЧ с сигналом по полосе
пропускания;
aас ≈
2 - потери при автоматическом съеме данных, возникающие вследствие того, что
отсчет выходного напряжения производится не в тот момент, когда сигнальная
составляющая достигает максимума.
Отсюда коэффициент различимости:
И чувствительность приемника равна:
2.11 Расчет
импульсной мощности передатчика
Максимальная мощность излучения определяется из уравнения
дальности:
Кроме того в уравнении дальности необходимо использовать не
среднее значение ЭПР, а некоторое расчетное, найдем его по формуле (8) из
[1]:
где p - вероятность того, что мгновенное
значение ЭПР будет не меньше расчетного в момент облучения цели зондирующим
сигналом.
Величину p необходимо
принимать достаточно большой, т.е. равной 0,6…0,95. Выберем р=0,75. Тогда:
Средняя мощность излучений равна:
Найдем энергетический потенциал РЛС. Он определяется по
формуле (94) в [1]
ЭП = Ри / Рпр мин;
.
Проверим допустимость полученной пиковой мощности. Она
определяется соотношением
Ри £ Ри доп×Sсеч;
Ри доп » (0,2.0,3) ×Рпред.
Для определения поперечного сечения волновода воспользуемся
следующими соотношениями
а = l/1,4; b = (0,4.0,5) ×а;
а = 10/1,4 = 7,143 см; b = 0,5×7,143 = 3,571 см;
Sсеч = а×b; Sсеч = 7,143×3,571 = 25,607 см.
Выбирая из таблицы 5 приведенной в [1] значение
Рпред для волны типа Н10, получаем
Рпред = 406 кВт/см2; Ри доп
= 0,3×406 = 81,2 кВт/см2;
Ри £ 81,2×25,607 = 4553 кВт; 3580
кВт £ 4553 кВт.
Таким образом рассчитанная пиковая мощность удовлетворяет
условию допустимости. В качестве генераторного прибора для получения
необходимой пиковой мощности может быть использован магнетрон.
2.12 Расчет характеристик
оконечного устройства
В качестве оконечного устройства будем использовать ИКО со
смещенным центром (визуальный съем). Рассчитаем его параметры, приняв диаметр
индикатора 500 мм, коэффициент использования экрана при круговом обзоре Кэ=0,4.
При этом качество фокусировки примем равным 600. Зная разрешающую способность
по дальности ΔD=600 м и ΔDП определим необходимую разрешающую способность ОУ:
\
Определим реальную разрешающую способность индикатора по
дальности:
Реальная разрешающая способность индикатора по азимуту
определяется как:
,
где D - расстояние до цели.
Так как равенство
=
не обеспечивает приемлемого значения
, следует разбить всю дальность на
поддиапазоны, на которых
<
. Число поддиапазонов зависит от
и тактических соображений.
Рассчитаем значение
, при котором будет выполняться требуемое разрешение по дальности:
Таким образом, разобьем всю дальность на 4 поддиапазона.
При этом разрешающая способность по дальности при D=450 (км) будет определяться:
, а при D=5 (км)
2.13 Расчет
реальных погрешностей измерения
Реальная погрешность измерения дальности:
,
где γ4 = 1…15 - коэффициент
ухудшения точности измерения дальности, γ4 = 4.
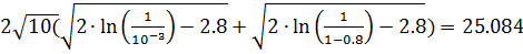
Потенциальная погрешность σDп определяется как:
;
Погрешность индикации σDинд определяется как:
где σD1 ≈ 15 м - погрешность совмещения
временного положения зондирующего импульса с началом развертки индикатора;
σD2 » (10-4.10-5)
×D - погрешность из-за нестабильности
частоты эталонного кварцевого генератора, формирующего метки дальности; примем:
σD2 = 10-6·Dмакс = 10-6·450·103 =
0.45 м
σD2 = 225+0.25 = 225.25 = 226 м
Прочие погрешности σDΣ:
σD3 » (10-5.10-6)
×D - погрешность, связанная с условиями
распространения радиоволн; примем σD3 = 10-5:
σD3 = 10-5·Dмакс = 10-5·450·103 =
4,5м
, σD2 =226
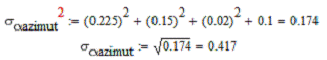
Реальная погрешность измерения азимута:
,
где
- коэффициент ухудшения потенциальной
точности.
Потенциальная погрешность:
;
Суммарная погрешность индикации σαинд и прочих погрешностей σαΣ:
σα1 - погрешность определения центра отметки
цели на экране индикатора:
где Δαинд - разрешающая способность индикатора по
угловой координате.
σα2 ≈ 0.15·Δαшк - погрешность интерполяции при использовании только
неподвижных меток азимута или "механической" шкалы;
Δαшк - цена интервала между метками азимута; Δαшк =1 0
σα2 ≈ 0.15·1 = 0.15 (град)
σα5 ≈ 0.1 0 - погрешность, связанная
с неточностью установки датчика отметки опорного направления и погрешности
люфтов в устройствах согласования положения антенны и развертки по азимуту.
Подставим все полученные погрешности в суммарную формулу
определения погрешности измерения азимута σα:
3. Расчет
характеристик обнаружения
Характеристикой обнаружения называется зависимость вероятности
правильного обнаружения сигнала, отраженного от цели, от отношения сигнал/шум
при фиксированном значении ложной тревоги.
В рассчитываемом проекте происходит обнаружение некогерентной
пачки импульсов с прямоугольной огибающей.
Условная вероятность ложного обнаружения [8, с.13] в этом
случае определяется по формуле:
гдеy0 = u0/σ2 - относительный порог
обнаружения на выходе накопителя; σ2 - дисперсия шума на
входе квадратичного детектора; N - число импульсов в пачке (N = 20).
Приведем график условной вероятности ложного обнаружения:
Рис. 1 График условной вероятности ложного обнаружения
Моделью объекта является совокупность независимых
отражателей, среди которых один отражатель значительно превышает другие по
значению ЭПР, а ЭПР остальных независимых отражателей примерно равны между
собой:
Где q - отношение сигнал-шум по напряжению по одиночному
импульсу в пачке на входе квадратичного детектора;
y0 = u0/σ2 - относительный порог
обнаружения на выходе накопителя;
σ2 - дисперсия шума на входе
квадратичного детектора.
Построим характеристики обнаружения для трех значений
вероятности ложной тревоги, заданных в техническом задании:
FЛТ = 10-2, FЛТ = 10-3, FЛТ = 10-4
Соотношение сигнал/шум тем больше, чем больше вероятность
ложной тревоги, а чем больше соотношение сигнал/шум, тем больше вероятность
правильного обнаружения.
На рисунке приведены характеристики обнаружения D (q).
Рис. 2 ХО для трёх вероятностей ложной тревоги
4. Особенности
построения функциональных узлов РЛС
Передатчик:
Передающее устройство включает в себя модулятор и
магнетронный генератор. Мощность передающего устройства в импульсе должна быть 8.674·106 Вт. Длительность
радиоимпульса 1 мкс. Период повторения зондирующих импульсов 3.6 мс. Несущая
частота 2 ГГц.
Антенно-фидерный тракт:
Он включает в себя зеркальную параболическую антенну с
площадью раскрыва равной 5.0668 (м2) и геометрическими размерами 7.2x5.4 (м). Также используем
прямоугольный посеребренный медный волновод, у которого затухание 0,02 дБ / м.
Длина фидерного тракта 20м.
Коэффициент направленного действия составляет 1981.
Оконечное устройство:
Оконечное устройство служит связующим звеном между РТС и
потребителем информации. Оно преобразует сигналы с выхода приемника РТС в
форму, удобную для восприятия потребителем. В качестве ОУ выбрано использование
ИКО с разбиением на 4 поддиапазона.
5. Расчет
реальных тактических характеристик РЛС и сравнение их с требованиями ТЗ
Расчет максимальной дальности действия РЛС (1) из [1]:
Минимальная дальность действия РЛС:
при tВ≈10-7 с, γ3=4.
Разрешающая способность по дальности:
, где:
Примем частоту эталонной последовательности импульсов
измерителя равной 2Мгц.
Таблица сравнения тактических характеристик аэродромной обзорной
РЛС с требованиями ТЗ
Таблица 1
|
Характеристика
|
Обозначение
|
Техническое
задание
|
Результаты
Расчета
|
|
Максимальная
дальность действия, км
|
Dмакс
|
450
|
614.4
|
|
Минимальная
дальность действия, м
|
Dмин
|
5000
|
660
|
|
Разрешающая
способность по дальности, м
|
ΔD
|
600
|
600
|
|
Погрешность
измерения дальности, м
|
σD
|
40
|
21,6
|
|
Погрешность
измерения по азимуту, ˚
|
σα
|
0,1
|
0,417
|
Список
литературы
1. Алехин
В.А. Проектирование радиолокационных систем: Учебное пособие-№427; Таганрог
1990 г. - 94 с.
2. Васин
В.В., Степанов Б.М. Справочник по радиолокации; Сов. Радио 1977 г.
. Сазонов
Д.М. Антенны и устройства СВЧ: Учеб для радиотехнических спец. вузов. - М.:
Высшая школа, 1988. - 432 с.: ил.
5. https: // ru. wikipedia/org/wiki/Радиолокационная_станция.
. Давыдов
П. С, Сосновский А. А, Хаймович И.А. Авиационная радиолокация: Справочник. -
Москва: Транспорт, 1984,223 с.
Приложения
Приложение 1
Приложение 2