Расчет цифрового фильтра
Протокол
выполнения
РГР
по
курсу «Теория сигналов»
Работу
выполнил
Соверченко
Д.В.
ст.
гр. ДЕ-81
Задание на расчетно-графическую работу
1. Для периодического сигнала, вид и
параметры которого заданы в таблице 1, выполнить разложение в ряд Фурье.
2. Построить графики амплитудного и
фазового спектров периодического сигнала.
. Восстановить сигнал, используя его
амплитудный и фазовый спектры.
. Рассчитать спектр импульсного сигнала,
совпадающего с одним периодом периодического сигнала.
. Построить график амплитудного спектра
импульсного сигнала и сравнить его со спектром периодического сигнала.
. Определить частоту дискретизации,
необходимую для преобразования сигнала в цифровую форму.
. Вычислить отсчеты сигнала, округлив их
до 8 бит.
. Рассчитать цифровой спектр сигнала с
помощью дискретного преобразования Фурье. Построить график амплитудного спектра
и сравнить его с амплитудным спектром аналогового сигнала.
. Рассчитать рекурсивный цифровой фильтр,
параметры которого заданы в таблице 2. Использовать метод расчета по
аналоговому прототипу с билинейным Z-преобразованием.
. Рассчитать и построить графики АЧХ и
ФЧХ цифрового фильтра, сравнить их с заданными в таблице 2 требованиями.
. С помощью разностного уравнения ЦФ (с
учетом структуры, указанной в таблице) рассчитать численно его импульсную
характеристику и вычислить АЧХ фильтра по импульсной характеристике.
. Сформировать тестовый сигнал, состоящий
из пяти гармоник, частоты которых расположены в центре полосы пропускания, на
границе полосы пропускания, в центре переходной полосы, на границе полосы
подавления, в центре полосы подавления.
. Пропустить тестовый сигнал через ЦФ.
Построить графики амплитудного спектра тестового сигнала и выходного сигнала
ЦФ. Вычислить коэффициенты передачи ЦФ на частотах тестовых гармоник и сравнить
их с коэффициентами передачи, полученными по АЧХ ЦФ.
. Подать на вход ЦФ нормальный белый шум
с нулевым средним и единичной дисперсией. Оценить спектральную плотность
мощности выходного сигнала, используя сглаживание с помощью окон.
Таблица 1. Параметры сигналов
|
Вариант
|
Функция
|
f, Гц
|
φ,
рад
|
τ,
с
|
T,
с
|
|
15
|
|
0,5Т
|
π
|
0.8·
T
|
1
|
Расчет
Часть 1. Преобразование сигнала
. Заданный сигнал имеет вид, показанный
на рис. 1.
Рис. 1.
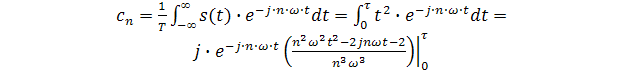
Выполним разложение заданного сигнала в
комплексный ряд Фурье
где коэффициенты
рассчитываются
по формуле
2. Найдем АЧХ и ФЧХ заданного сигнала:
Амплитудно-частотная характеристика -
:
Рис. 2.
Фазово-частотная характеристика -
Рис. 3.
. Восстановим сигнал, представив его
суммой усеченного ряда Фурье (рис.4)
Рис. 4.
Хорошо видно, что график исходного сигнала
и
модуль суммы полученного ряда
практически
совпадают, что свидетельствует о верности разложения.
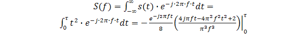
. В случае если сигнал является
импульсным (присутствует только один период), то вычисление спектров сводится к
преобразованию Фурье над данным сигналом
5. Построим график амплитудного спектра
импульсного сигнала и сравним его со спектром периодического сигнала
Рис. 5.
Как видим, спектр импульсного сигнала
непрерывен, а периодического дискретен. Дискретные значения спектра
периодического сигнала совпадают со спектром импульсного сигнала.
. Согласно теореме Котельникова, возможно
восстановить некий аналоговый сигнал с ограниченным спектром однозначно и без
потерь по своим дискретным отсчётам, взятым с частотой строго большей удвоенной
максимальной частоты спектра. То есть должно выполняться неравенство
где
-
частота дискретизации
- максимальная
частота в спектре.
Спектр исходного сигнала неограничен, поэтому
необходимо выбрать частоту дискретизации, исходя из соображений
целесообразности.
Пусть, максимальной будет та частота, затухание
на которой составит 60 дБ. Тогда необходимо найти такую частоту x,
что
Найденное методом перебора значение для
заданного сигнала составляет
. Таким образом,
можно принять частоту дискретизации 
Размах диапазона изменения сигнала по амплитуде
Количество отсчетов квантования, соответствующие
объему информационного носителя в
,
равно
Шаг квантования, определим по формуле
Каждому отсчёту сигнала присваивается код того
интервала, в который попадает значение напряжения этого отсчёта. Таким образом,
аналоговый сигнал представляется последовательностью двоичных чисел,
соответствующих величине сигнала в определённые моменты времени, то есть
цифровым сигналом.
Рис.6. Полученный цифровой сигнал (
)
Для сравнения преобразуем исходный сигнал в
цифровой, используя частоту дискретизации
Рис.7. Цифровой сигнал при пониженной частоте
дискретизации (
)
. Рассчитать цифровой спектр сигнала с
помощью дискретного преобразования Фурье
количество значений
сигнала, измеренных за период
,
-
измеренные значения сигнала (в дискретных временных точках с номерами
Амплитудные спектры
Рис. 8. Амплитудные спектры:
- спектр цифрового
сигнала
- спектр
аналогового сигнала
Часть 2. Расчет цифрового фильтра
. Требования к фильтру
Расчет цифрового фильтра по аналоговому
прототипу требует предварительный перевод требований к цифровому фильтру в
частоты аналогового прототипа
Рассчитаем коэффициенты для передаточной функции
фильтра-прототипа:
АЧХ фильтра прототипа определяется по формуле
Требования к фильтру в линейном масштабе
График АЧХ аналогового фильтра прототипа
Прототип фильтра удовлетворяет требованиям.
Выполняем переход к цифровому фильтру. Для этого
рассчитываем коэффициенты
Таблица рассчитанных параметров:
|
параметр
|
1
|
2
|
3
|
4
|
5
|
6
|
|
|
0,231
|
0,183
|
0,152
|
0,133
|
0,121
|
0,114
|
|
|
1,294
|
1,024
|
0,853
|
0,744
|
0,676
|
0,64
|
|

|
0,791
|
0,492
|
0,301
|
0,183
|
0,119
|
Выражение для передаточной
характеристики фильтра
. АЧХ в логарифмическом масштабе
рассчитывается следующим образом
.
АЧХ рассчитанного фильтра
ФЧХ рассчитанного фильтра:
Как видно, АЧХ и ФЧХ удовлетворяют условиям.
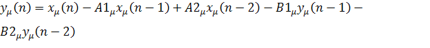
. Численная модель фильтра представляет
собой уравнение, входными параметрами которого являются текущее значение
входного сигнала (в данный момент) и матрицы предыдущих значений входного и
выходного сигналов. Но предыдущие значения входного и выходного сигналов в
самом начале не определены. Поэтому, они принимаются равными нулю.
Фильтр фактически состоит из звеньев - фильтров
малого порядка (в данном случае, все звенья имеют порядок
).
На вход первого звена подается входной сигнал, а выходной сигнал этого звена является,
в свою очередь, входным для следующего звена и т.д. Выходной сигнал снимается с
последнего звена. Таким образом, описание фильтра упрощается, если отдельно
рассмотреть составляющие его звенья. Каждое звено описывается разностным
уравнением, связывающим его вход и выход
где
-
индекс, указывающий номер звена.
Следует отметить, что
Общее количество звеньев, определяется их
порядком и порядком результирующего фильтра. В данной задаче, выбран порядок
для всех звеньев равный
. А результирующий
фильтр должен иметь порядок
. Таким образом,
количество звеньев равно 4.
Реализовывать расчет лучше всего программными
средствами с использованием циклов и функций. И представить в виде функции
где
-
матрицы соответственно входного и выходного сигналов.
Для получения АЧХ необходимо пропустить через
фильтр единичный цифровой импульс
,
а затем выполнить дискретное преобразование Фурье над выходным сигналом.
Рассчитанная АЧХ приведена на рисунке. При
расчете было принято, что
.
Расчет был сделан в программе MathCad 14.
сигнал цифровой фильтр спектральный
13. Сформируем тестовый сигнал, состоящий из
пяти гармоник, частоты которых расположены в центре полосы пропускания, на
границе полосы пропускания, в центре переходной полосы, на границе полосы
подавления, в центре полосы подавления
Этим относительным частотам, соответствуют
индексы
.
Примем
.
Такой сигнал можно задать следующим образом
где
-
ранее заданные частоты спектральных составляющих.
14. Амплитудные спектры тестового сигнала и
сигнала на выходе фильтра в линейном масштабе
В таблице приведены коэффициенты передачи
фильтра, рассчитанные двумя способами: из передаточной характеристики -
;
из амплитудного спектра входного и выходного сигналов -
,
при подаче на вход фильтра вышеуказанного сигнала
|
|
0,05
|
0,1
|
0,15
|
0,2
|
0,25
|
|
|
|
|
0,034
|
|
|
|
|
|
|
0,032
|
|
|
. Сформируем 1024 отсчета белого шума с
единичной дисперсией и нулевым математическим ожиданием. Для этого
воспользуемся встроенной функцией rnorm
системы MathCad.
Первые 256 отсчетов полученного белого шума
Пропустив заданный белый шум X
через фильтр, получили некую его реакцию Y.
Для получения спектральной плотности мощности
(СПМ) выходного сигнала воспользуемся теоремой Винера-Хинчина-Колмогорова,
которая гласит, что СПМ стационарного в широком смысле случайного процесса
можно получить преобразованием Фурье соответствующей автокорреляционной
функции.
Практически, используя MathCad,
СПМ можно получить следующим образом
где
-
функция быстрого преобразования Фурье,
- комплексное
сопряженное
.
Полученный спектр плотности мощности после
сглаживания окном Гаусса
Для сравнения, пунктирной линией обозначен
график квадрата передаточной функции фильтра - как видно они почти совпадают.
Это объясняется с помощью теории следующим образом.
Белый шум является аналогом реального сигнала, а
его спектральные составляющие равномерно распределены по всему диапазону
задействованных частот. Таким образом, при подаче на вход фильтра белого шума,
на выходе получим его АЧХ. Соответственно СПМ выходного сигнала будет равна
квадрату значения функции АЧХ.