Расчет полевого транзистора с изолированным затвором
Расчет полевого транзистора с
изолированным затвором
Исходные данные:
Расчет транзистора предполагает определение
порогового напряжения Uпор, емкости затвор-канал Cзк; построение статической
передаточной характеристики и определение ее крутизны в области насыщения;
построение семейства статических выходных характеристик; определение
максимальной рабочей частоты fmax.
Решение:
Удельная емкость между затвором и подложкой
определяется по формуле:
Определим равновесный удельный поверхностный
заряд:
Напряжение спрямления энергетических зон:
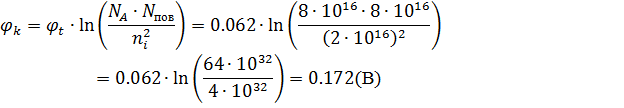
Потенциал уровня Ферми:
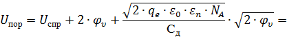
Пороговое напряжение равно:

Рассчитаем емкость затвор-канала:
затвор подложка энергетический заряд
Рисунок 1 - Передаточная
характеристика МДП-транзистора с индуцированным каналом р-типа
Крутизна МДП-транзистора в области
насыщения определяем по формуле:
Рисунок 2 - Семейство выходных
характеристик МДП-транзистора с индуцированным каналом р-типа
Максимальная рабочая частота определяется по
формуле: