Система удобрения полевого севооборота хозяйства ЗАО 'Кубань' Каневского района Краснодарского края
ФБГОУ
ВПО «КУБАНСКИЙ ГОСУДАРСТВЕННЫЙ АГРАРНЫЙ УНИВЕРСИТЕТ»
Кафедра
агрохимии
КУРСОВАЯ
РАБОТА
ПО
СИСТЕМЕ ПРИМЕНЕНИЯ УДОБРЕНИЙ
Тема:
«Система удобрения полевого севооборота» хозяйства ЗАО «Кубань» района
Каневского края Краснодарского
Студентки Козловой М. А.
Проверила: Громова Л. И.
Краснодар,
2012 г
СОДЕРЖАНИЕ
ВВЕДЕНИЕ
.
ХАРАКТЕРИСТИКА ОАО «Кубань»
.1
Климатические условия
.2
Агрохимическая характеристика чернозема обыкновенного
.3
Севооборот, обработка почвы и уход за растениями
.
НАКОПЛЕНИЕ, ХРАНЕНИЕ И ПРИМЕНЕНИЕ МИНЕРАЛЬНЫХ И ОРГАНИЧЕСКИХ УДОБРЕНИЙ
.1
Организация и технология накопления, хранения, подготовки и внесения
минеральных удобрений
.2
Организация и технология заготовки, хранения и внесения органических удобрений
.
СИСТЕМА УДОБРЕНИЯ СЕВООБОРОТА
.1
Система удобрения
.2
План размещения удобрений
.3
Агрохимическое обоснование системы удобрения
.4
Общая годовая потребность в органических и минеральных удобрениях для
севооборота
.
БАЛАНС ПИТАТЕЛЬНЫХ ВЕЩЕСТВ И ГУМУСА В ПОЧВЕ
.1
Баланс питательных веществ
.2
Баланс гумуса в почве
.
ЭНЕРГЕТИЧЕСКАЯ ЭФФЕКТИВНОСТЬ ПРИМЕНЕНИЯ УДОБРЕНИЙ
ВЫВОДЫ
СПИСОК
ИСПОЛЬЗОВАННЫХ ИСТОЧНИКОВ
ВВЕДЕНИЕ
Одним из главных средств
повышения урожайности сельскохозяйственных культур в настоящее время является
применение удобрений. Однако, наиболее высокая их эффективность достигается
там, где специалисты строго соблюдают все необходимые рекомендации, вносят
удобрения в соответствии с биологическими требованиями растений, с учетом
обеспеченности почв элементами питания.
Удобрения - это минеральные или
органические вещества, вносимые в почву или на растения для улучшения их
питания с целью увеличения урожая и улучшения его качества.
Удобрения предназначены для
улучшения питания растений и повышения плодородия почв в целях увеличения
урожая сельскохозяйственных растений и улучшения качества получаемой продукции.
Удобрения являются мощным
средством повышения производительности сельского хозяйства, но лишь при условии
правильного их применения в определенной системе под отдельные культуры и при
чередовании в севообороте.
Система удобрения - это
комплекс приемов использования удобрений на сельскохозяйственных угодьях,
направленных на повышение урожайности, плодородие почвы и охрану среды.
Система удобрения в севообороте
- это многолетний план применения: удобрений в севообороте с учетом плодородия
почвы, биологических особенностей растений, состава и свойств удобрений.
Система удобрения в севообороте
включает систему удобрения отдельных культур. На основе системы удобрения в
севообороте составляется годовой план применения удобрений, включающий виды,
дозы, сроки внесения удобрения, комплекс организационно-хозяйственных
мероприятий по организации производства органических удобрений, их хранения,
подготовки и внесения. Системой удобрения решаются следующие задачи:
· увеличение
урожая и улучшение его качества;
· повышение
производительности труда;
· повышение
плодородия почвы.
Цель системы удобрений:
сочетание приемов, направленных на повышение урожая и плодородие почв; разработка
эффективных приемов внесения удобрений (нормы, сроки).
В настоящее время в
Краснодарском крае применяются такие удобрения как: аммофос 100 кг/га,
диаммофос 100 кг/га, диаммофоска 150 кг/га, суперфосфат, аммиачная селитра
50-150 кг/га, мочевина, хлористый калий, сульфат кальция.
При разработке системы
удобрения должны учитываться все знания по питанию растений, свойствам почв и
удобрений.
1. ХАРАКТЕРИСТИКА ЗАО «Кубань»
Хозяйство ЗАО «Кубань» расположено в центральной
части Каневского района Краснодарского края. Правление хозяйства находится в
центральном населенном пункте - станице Стародеревянковской, которая
расположена в 130 км от краевого центра города Краснодара.
Пункты сдачи сельскохозяйственной продукции:
элеватор, базы снабжения, объединение сельхозтехники и сельхозхимии,
железнодорожная станция - находится в станице Стародеревянковской.
На территории хозяйства хорошо развита сеть
внутрихозяйственных дорог. Бригадные станы, тока, машинные дворы и
животноводческие фермы обеспечиваются связью с административно-хозяйственным
центром по дорогам с твердым покрытием; земельные массивы с производственными
центрами осуществляют связь в основном по улучшенным грунтовым дорогам.
Общая площадь хозяйства составляет 10839 га,
пашни - 10569 га, многолетних насаждений 270 га.
Основным направлением хозяйства является
растениеводство. На втором месте располагаются животноводческие направления. На
территории хозяйства располагаются как молочно-товарные, так и свиноводческие
фермы. В настоящее время хозяйство разделено на два отделения. Также на
территории хозяйства имеются центральные ремонтные мастерские,
машинно-тракторные и механизированный отряд. Автогараж и строительная бригада
располагаются в районном центре - станице Стародеревянковской.
Хозяйство стремится повысить урожайность
сельскохозяйственных культур. Для этого проводится защитные мероприятия против
болезней, сорняков и вредителей культур, а также применяют органические и
минеральные удобрения. В хозяйстве имеются агроном, агроном по защите растений,
агрохимик. Материально-техническая база химизации хорошая.
Таблица 1 - Урожайность основных с.-х. культур
за 2007-2011г.г. ц/га.
|
№
п.п.
|
Культура
|
2007
|
2008
|
2009
|
2010
|
2011
|
|
1.
|
Оз.пшеница
|
50.4
|
59,5
|
58,9
|
37,1
|
43,3
|
|
2.
|
Кук.зерно
|
274,7
|
20,3
|
33,3
|
35,6
|
54,1
|
|
3.
|
Сах.свекла
|
376,1
|
296,1
|
429,5
|
253,0
|
573,0
|
|
4.
|
Подсолнечник
|
20,5
|
21,5
|
23,6
|
18,7
|
26,3
|
|
5.
|
Кук.силос
|
174,2
|
120,2
|
179,9
|
177,1
|
|
|
6.
|
Корм.свекла
|
415,5
|
1369,2
|
378,3
|
584,2
|
|
|
7.
|
Овощи
|
214,7
|
161,1
|
118,8
|
123,9
|
|
1.1 Климатические условия
По схеме агроклиматического районирования
территория Каневского района входит в основном в первый агроклиматический район
и лишь южная часть - во второй, характеризуется умеренно- континентальным
климатом.
По количеству выпадающих осадков (532 мм)
основная территория района относится к засушливому с коэффициентом увлажнения
(КУ) 0,25 по теплообеспеченности - к умеренно-жаркому, где сумма температур за
период активной вегетации составляет 33520С.
Безморозный период продолжается 178-190 дней.
Первые заморозки могут наблюдаться во второй декаде октября (14-15.10),
последние - во второй декаде апреля (11-16.04)
Переход температуры воздуха через 50С
весной отмечается в третьей декаде марта, а через 100С- в середине
апреля. Периоды с температурами выше 50 и 100С длится
соответственно 223-228 и 186 дней.
Осадки кратковременные, преимущественно,
ливневые. За период активной вегетации их выпадает 297 мм (около 56%).
Испаряемость за вегетационный период на территории района колеблется от 671 до
854 мм. Наиболее оптимальные условия увлажнения создаются в тех случаях, когда
количество выпадающих осадков приближается к величине испаряемости. Разница
между испаряемостью и количеством выпадающих осадков в данном случае составляет
374-557 мм, что указывает на недостаток влаги.
Зима неустойчивая с частыми оттепелями, высота
снежного покрова не превышает 12-16 см. Условия перезимовки озимых не всегда
благоприятны. Крайняя неустойчивость температурного режима при незначительном
снежном покрове обуславливают изреженность и даже гибель посевов.
После схода снежного покрова верхние слои почвы
обычно находятся в сильно увлажненном состоянии. Подсыхание почвы до
мягкопластичного состояния на черноземах наблюдается с 20 по 30 марта.
Просыхание тяжелых почв в западинах происходит значительно позже и быстро
наступает твердопластичное состояние.
Господствующими являются ветры восточных и
северо-восточных направлений, вызывающие только в отдельные годы (зимой)
вымерзание посевов, а при большой скорости - пыльные бури. Весной и летом эти
ветры носят характер суховеев, которые снижают урожай полевых культур,
губительно действуют на цветущие сады иссушают верхние слои почвы.
Отрицательное влияние суховеев сказывается во время цветения и формирования
початков кукурузы, а также подготовки почвы под озимые культуры. За теплый период
в среднем насчитывается 78 дней с суховеями. Из них 7-2 дня приходится на
интенсивные и очень интенсивные.
Таблица 2 - Климатические условия хозяйства ЗАО
«Кубань» Каневского района (метеостанция ст.Каневской)
|
Месяц
|
Температура
воздуха, С
|
Осадки,
мм
|
Влажность
воздуха, %
|
|
Январь
|
-4,3
|
40
|
88
|
|
Февраль
|
-3,7
|
40
|
86
|
|
Март
|
1,4
|
36
|
80
|
|
Апрель
|
9,5
|
36
|
69
|
|
Май
|
16,4
|
43
|
65
|
|
Июнь
|
20,1
|
66
|
66
|
|
Июль
|
23,1
|
62
|
62
|
|
Август
|
22,3
|
47
|
62
|
|
Сентябрь
|
16,4
|
38
|
67
|
|
Октябрь
|
9,9
|
38
|
76
|
|
Ноябрь
|
3,2
|
41
|
83
|
|
Декабрь
|
-1,8
|
45
|
88
|
|
В
среднем за год и сумма
|
9,4
112,5
|
44
532
|
74
|
|
|
|
|
|
Применение удобрений в хозяйстве затрудняется в
связи с недостаточной влажностью почвы, связанной с малым количеством
выпадающих осадков. Поэтому внесение азотных удобрений осуществляют осенью под
основную обработку почвы с заделкой соответствующими орудиями вразброс или
локально, причем последний способ всегда эффективнее. Основное внесение
органических и фосфорно-калийных удобрений обычно проводят также осенью.
Фосфорно-калийные удобрения следует заделывать глубоко, чтобы они размещались в
более влажном слое, так как недостаточное увлажнение и иссушающее действие
господствующих ветров будут снижать их эффективность.
Таким образом, район расположения хозяйства
хорошо обеспечен теплом для выращивания большинства сельскохозяйственных
культур. К неблагоприятным факторам относятся такие как сильные ветры, суховеи,
недостаток влаги, что указывает на необходимость применения мероприятий по
сохранению и накоплению влаги в почве, разработке и внедрению мероприятий по
защите почв от ветровой эрозии.
1.2 Агрохимическая характеристика
чернозема обыкновенного
Наибольшее распространение на территории
хозяйства получили черноземы обыкновенные. Отличительной их особенностью
является вскипание от 10%-ной HCl
с поверхности.
Рассматриваемый севооборот в курсовой работе
расположен на черноземе обыкновенном. Агрохимическая характеристика чернозема
обыкновенного представлена в таблице 3.
Таблица 3 - Агрохимические показатели черноземы
обыкновенного
|
Глубина,
см
|
Показатели
|
Валовое
содержание, %
|
|
Гумус,
%
|
НГSV, %NP2O5K2O
|
|
|
|
|
|
|
|
|
|
мг.-экв./100г
|
|
|
|
|
|
0 - 20
|
3,5-5,5
|
7,0-7,8
|
-
|
34-39
|
100
|
0,29-0,40
|
0,17-0,22
|
1,5-2,1
|
Из таблицы 3 видно, что емкость поглощения 34-39
мг-экв/100 г почвы. Гидролитическая кислотность в черноземе обыкновенном
отсутствует, что объясняется насыщенностью почвы основаниями, которая равна
100%. Характерной для этого чернозема реакция почвенной среды от нейтральной
(рН 7,0) до слабощелочной (рН 7,8).
Запасы гумуса в пахотном слое составляют 105-165
т/га. Содержание нитратного азота составляет - 0,8-1,5 мг/100 г; подвижного
фосфора - 1,5-3,0 мг/100 г; обменного калия - 30-40 мг/100 г. Запас подвижных
элементов питания в пахотном слое чернозема обыкновенного следующие: нитратного
азота - 24-45 кг/га, подвижного фосфора - 45-90 кг/га, обменного калия -
900-1200 кг/га.
На черноземах обыкновенных в первом минимуме
находится фосфор, поэтому предпочтение следует отдавать фосфорным удобрениям.
Рекомендуемое соотношение N:P:K=1:1-1,2:0,4-0,5.
В данном севообороте оно составляет N:P:K=1:1:0,6.
агрохимический почва минеральный удобрение
1.3 Севооборот, обработка почвы и
уход за растениями
Севооборот -
научно-обоснованное чередование культур по годам и на полях. Составляют их с
учетом структуры посевных площадей в целях постоянного поддерживания плодородия
почвы и увеличения урожая сельскохозяйственных культур.
Таблица 4 - Урожайность и
прибавка от применения удобрений в полевом севообороте хозяйства ЗАО «Кубань»
|
Культура
|
Площадь
поля, га
|
Планируемая
урожайность на следующий год, ц/га
|
Планируемая
прибавка от удобрений, ц/га
|
|
Эспарцет
|
80
|
80
|
16
|
|
Озимая
пшеница
|
80
|
50
|
10
|
|
Озимый
ячмень
|
80
|
55
|
11
|
|
Сахарная
свекла
|
80
|
300
|
60
|
|
Озимая
пшеница
|
80
|
45
|
9
|
|
Кукуруза
на зерно
|
80
|
60
|
12
|
|
Озимая
пшеница
|
80
|
45
|
9
|
|
Подсолнечник
|
80
|
25
|
5
|
|
Озимая
пшеница
|
80
|
45
|
9
|
|
Яр.ячм
+ эспарцет
|
80
|
30
|
6
|
Следует отметить, что для создания наиболее
благоприятных условий жизни растений большое значение имеет своевременное и
высококачественное выполнение всех полевых работ (обработка почвы, внесение удобрений,
посев, уход, уборка урожая). Опоздание с проведением этих работ или низкий их
уровень резко снижают урожай и ухудшают качество продукции. Устранить
недостатки, допущенные в агротехнике полевых культур, очень сложно, а иногда
невозможно. Поэтому требуется строгий учет всех условий, определяющих конечный
урожай сельскохозяйственных растений.
Для каждой сельскохозяйственной культуры
характерны свои приемы обработки почвы и комплекс применяемых удобрений.
Поле № 1. Эспарцет
На полях, где эспарцет размещается после
зерновых, вначале проводят лущение стерни, а затем, через 2-4 недели, вспашку
плугом с предплужником на глубину 25-30 см.
Предпосевную обработку почвы при посеве
эспарцета рано весной под покровные зерновые культуры можно ограничить
боронованием в 2 следа. Если покровными культурами служат суданская трава,
просо, то до посева проводят 2-3 культивации с одновременным боронованием. В
степных районах важное значение принадлежит припосевному прикатыванию почвы.
На участках, засоренных многолетними сорняками,
перед вспашкой вычесывают их корневища с удалением за пределы поля.
Поле № 2, 5, 7, 9 . Озимая
пшеница
Потребляет большое количество питательных
веществ в течение всей вегетации. Из этого следует, что еще до посева пшеницы
почва должна содержать необходимый для закладки основ урожая запас доступных
растениям элементов питания. Поэтому для озимой пшеницы эффективно основное
удобрение, вносимое в летне-осеннее время до посева.
Обработка почвы под озимую пшеницу следующая:
подрезание корневых шеек плоскорезом КПШ-9 и одновременным рыхлением почвы на
глубину 10-12 см (июль-август); отвальная вспашка комбинированным агрегатом на
20-22 см с тщательной разделкой почвы дисковыми боронами и прикатывание
кольчатыми катками за одни сутки после освобождения от предшественника;
культивация на 5-7 см; внесение удобрений; дисковое лущение в два следа на 8-10
см. При появлении сорняков - культивация на 6-8 см.
Посев проводят стерневой сеялкой СЗС-2,1.
одновременно с посевом семян она подрезает культиваторными лапами сорняки и
прикатывает почву в засеянных рядках. Норма высева семян 4,5-6 млн. всхожих
семян на 1га, глубина высева 4-6см. ширина междурядий 15 см. Срок посева -
сентябрь- октябрь, при температуре воздуха 15-170С. Минеральные
удобрения (N40-60P60-80K
40-60)
вносят под основную обработку почвы, также проводят весенние подкормки азотными
удобрениями.
Поле №3. Озимый ячмень.
После зерновых культур обработка почвы под
озимый ячмень начинается с лущения, за которым следует вспашка на полную
глубину пахотного слоя с немедленным боронованием.
Перед посевом проводят культивацию на глубину
заделки семян. Озимый ячмень плохо зимует: на его посевах следует проводить
снегозадержание; он плохо переносит застойные воды. Весной на посевах озимого
ячменя проводят раннюю подкормку азотными удобрениями из расчета 35-45 кг/га.
Для разрушения почвенной корки, удаления отмерших частей растений и создания
благоприятных условий для развития растений проводят боронование поперек рядков
или по диагонали.
Дальнейший уход за посевами озимого ячменя
заключается в уничтожении сорняков. Культура отзывчива на удобрение. Хорошие
результаты дает внесение при посеве суперфосфата (Р10), что
способствует лучшей закалке и перезимовке растений. Наибольшая морозостойкость
отмечена при внесении суперфосфата и калийных удобрений (Р40-50 К40-50).
Ранняя подкормка аммиачной селитрой (N30)
повышает урожайность на 4 ц/га.
Поле №6. Кукуруза на зерно
С осени на участках, идущих под кукурузу, в
большинстве случаев проводят лущение и глубокую зяблевую обработку (28-30см).
Весенняя обработка почвы направлена на
сохранение влаги, уничтожение сорняков и состоит из ранневесеннего боронования,
2-3 культиваций с одновременным боронованием. Первую культивацию в ранние сроки
проводят на 10-14 см, после появления сорняков - предпосевную на глубину посева
семян.
Эффективные приемы подготовки почвы под кукурузу
- предпосевное выравнивание и прикатывание почвы. Эти приемы в последующем
значительно уменьшают повреждаемость растений при бороновании по всходам и при
междурядных обработках.
Посев широкорядный, пунктирный с междурядьем 70
см. Глубина заделки семян 6-8 см.
После посева кукурузы при необходимости поле
прикатывают. Для разрушения образующейся корки и уничтожения прорастающих
сорняков на 4-5 - ый день после посева проводят боронование на 1-2 см поперек
направления посева.
Следует своевременно проводить 2-3 междурядные
обработки пунктирных посевов: первую - в фазе 3-5 листьев, вторую - примерно
через 2 недели после первой, третью - при высоте растений 60-70 см. Глубину
культиваций постепенно уменьшают.
Поле №4.Сахарная свёкла.
Основная обработка почвы включает лущение почвы
и глубокую зяблевую вспашку. Весной вспашка не допустима, так как она сильно
(на 35-40 ц/га) снижает урожай сахарной свеклы.
Весенняя обработка почвы включает ранне-весеннее
рыхление, выравнивание и предпосевную обработку. Для рыхления используют
агрегаты из тяжелых или средних зубовых борон и посевных ЗБП-0,6А. Выравнивают
агрегатами из шлейф-борон ШБ-2,5 и борон ЗБП-0,6 или ЗОР-0,7. При рыхлом состоянии
поверхности поля и быстром созревании почвы выравнивание и рыхление проводят
одним агрегатом из шлейфов и зубовых борон за один - два прохода. Агрегаты
движутся по диагонали поля.
Предпосевную обработку проводят на глубину 4-6
см культиваторами УСМК-5,4А и УСМК-5,4Б. Агрегаты движутся под углом 3-4° к
направлению посева со скоростью до 7 км/ч.
Предпосевная обработка почвы и посев свеклы -
это единый технологический процесс, поэтому проводить его необходимо без
разрыва во времени. Практически это означает, что сеялки должны идти вслед за
агрегатами, осуществляющими предпосевную обработку и внесение гербицидов.
Эффективность допосевного внесения гербицидов
зависит от строгого соблюдения доз и равномерности распределения препарата по
площади, что достигается только штанговыми опрыскивателями ПОУ или ОН-400-3.
Для хорошей заделки гербицидов в почву и исключения двойного или неполного
внесения необходимо совмещать применение гербицидов и предпосевную обработку
почвы, оборудуя комбинированные агрегаты маркерами. На сильно засоренных
посевах сахарной свеклы часто одной допосевной обработки гербицидами
недостаточно. В таком случае рекомендуется обработка посевов свеклы в фазе
одной - двух пар настоящих листьев бетанолом (0,95-1,3 кг/га д.в.), который
хорошо подавляет однолетние двудольные сорняки.
Внесение органических удобрений в виде
полуперепревшего навоза под свеклу в дозе до 30 т/га обеспечивает прибавки
урожая корнеплодов в расчете на 1 т навоза до 1,5-2,1 ц.
Для эффективного использования минеральных удобрений
под сахарную свеклу их следует вносить на различную глубину пахотного горизонта
в разные сроки. Осуществляется это внесением основного удобрения с осени под
глубокую вспашку, рядкового удобрения - при посеве и подкормкой во время
вегетации растений.
Глубина посева семян 3-4 см. Междурядье 45 см.
По мере появления сорняков проводят междурядную обработку.
Поле № 11. Яровой ячмень
Яровой ячмень хорошо реагирует на глубокую
зяблевую обработку почвы. Следует задерживать снег и талые воды на участках
отведенных под яровой ячмень. Весенняя обработка почвы включает боронование или
шлейфование зяби и культивацию на глубину 5-7 см с одновременным боронованием.
Хорошо отзывается на внесение удобрений. В
период всходы - кущение он потребляет около половины фосфора и азота и почти
три четверти калия от всего их количества, используемого в течение вегетации.
Фосфор и калий лучше вносить под зяблевую вспашку, а азот - под предпосевную
культивацию и при подкормке. Фосфорные и калийные удобрения улучшают
пивоваренные качества ячменя. Примерные дозы минеральных удобрений следующие: N20-30P45-60K25-40.
Поле №8. Подсолнечник
В основных районах возделывания
наиболее распространенным предшественником подсолнечника является озимая
пшеница. Она создает наилучшие условия для питания и водного режима растений
подсолнечника. Однако эти условия заметно ухудшаются при посеве интенсивных
сортов озимой пшеницы.
В зяблевой обработке почвы под
подсолнечник важное значение имеют глубина вспашки, способы и сроки ее
проведения.
В южно - предгорной зоне на
окультуренных, чистых от многолетних сорняков почвах глубокая отвальная вспашка
дает хорошие результаты лишь при благоприятном сочетании метеорологических
факторов в период цветения подсолнечника. Если цветение и налив семян
подсолнечника совпадают с суховейным периодом, то растения по глубокой вспашке
страдают от засухи и снижают урожайность. Взамен вспашки на этих почвах часто
проводят глубокую безотвальную обработку и лущение.
При сильном и среднем засорении
полей, предназначенных под подсолнечник, глубокая вспашка способствует очищению
их от сорняков, что несколько уменьшает зависимость подсолнечника от погодных
условий и положительно сказывается на его урожайности.
Глубокую вспашку в южных
районах сочетают с послойными лущениями или заменяют ее двойной послойной
вспашкой. Зяблевая обработка почвы в этих районах включает два лущения
(дисковое на 6-8 см и лемешное на 8-12 см) и вспашку на глубину 30-32 см.
При обработке почвы, засоренной
корнеотпрысковыми сорняками, хорошие результаты дает применение вместо одной
глубокой вспашки двух послойных вспашек на глубину 16-18 см и 30-32 см. Такая
послойная обработка снижает засоренность посевов сорняками на 70-80% и более.
Глубина высева семян 6-8 см,
ширина междурядий 70 см. При появлении сорняков проводят культивацию.
2.
НАКОПЛЕНИЕ, ХРАНЕНИЕ И ПРИМЕНЕНИЕ МИНЕРАЛЬНЫХ И ОРГАНИЧЕСКИХ УДОБРЕНИЙ
.1 Организация и технология
накопления, хранения, подготовки и внесения минеральных удобрений
Современная технология хранения, подготовки,
транспортировки и внесения незатаренных удобрений базируется на сохранении
высокой сыпучести их на всех этапах движения с завода-поставщика до поля и
беспрепятственной гравитационной разгрузки из транспортных средств, хранилищ,
дозирующих устройств смесительных установок, машин и сеялок для внесения в
почву. Важнейшую роль при этом играют физико-химические и механические свойства
минеральных удобрений, требования к которым регламентируются
нормативно-техническими документами, ГОСТом и ОСТом стандартами и ТУ,
указанными в сертификатах.
С заводов-поставщиков удобрения доставляют в
склады вместимостью от 1,6 до 20 тыс. т, для пылевидных, удобрений
(известковая, доломитовая, фосфоритная мука и др.) - в склады силосного типа от
0,5 до 3 тыс. т, а для жидких удобрений - в специальные склады (металлические
резервуары) объемом 0,6-2,0 тыс. м3. Отсюда удобрения направляют в хозяйства,
где имеется склад от 500 до 5000 тонн. Для расчета емкости склада требуется
знать потребность хозяйства в удобрениях по видам и срокам внесения. По объему
склады должны быть рассчитаны на хранение не менее 50% годового потребления
удобрений. Склады обычно оборудуют погрузочно-разгрузочными машинами и
механизмами, агрегатами для дробления, растаривания и смешивания твердых
минеральных удобрений.
Аммиачную селитру как гигроскопичный, пожаро- и
взрывоопасный материал транспортируют только в таре (мешки и мягкие контейнеры)
и хранят в отдельных складах вместимостью 1,2 - 3,5 тыс. т. Неправильное
хранение удобрений ухудшают свойства почвы, теряется значительная часть
веществ, поэтому нужно стремиться к тому чтобы снизить потери питательных
веществ и сохранить механические и физико-химические свойства удобрений до
внесения в почву. В каждом хозяйстве для хранения минеральных удобрений
необходимо иметь типовые склады с непротекающей крышей и плотными стенами. Пол
в складах бетонируют. Имеются санитарно бытовые комнаты для работников,
душевые, шкафы для специальной одежды.
Требование к складам:
удобрения должны хранить по видам отдельно
иметь этикетку с названием
затаренные удобрения в мешках укладывают
штабелями, крест на крест. Незатаренные удобрения хранят насыпом.
Жидкие удобрения хранят в резервуарах емкостью
200-600 тонн. Давление-1,5атм. Нитрофоску можно хранить в кирпичных или
деревянных помещениях. Мешки не бросать. При правильном хранении хранится 10-12
месяцев.
Применение удобрений должно быть обоснованным и
рациональным с обязательной заделкой в почву. При бесхозном отношении может
произойти загрязнение удобрениями рек, водоемов, куда они попадают со сточными
водами. Значительное загрязнение происходит при производстве удобрений.
Внесение минеральных удобрений проводят тремя
способами:
вразброс поверхностно по всей площади поля;
местно при посеве (посадке);
в подкормку.
Минеральные удобрения - это действующие
удобрения, и питательные вещества используются из них с момента внесения.
Использование только одних минеральных удобрений ухудшают некоторые свойства
почвы, особенно кислых почв. Увеличивается их кислотность, содержание подвижных
свойств алюминия, железа, что приводит к связыванию фосфатов, труднодоступные
соединения.
Вывоз и внесение минеральных удобрений
организовывают по следующим схемам:
прямоточная - при небольших радиусах перевозок
от склада к полю и поверхностном внесении удобрений по схеме: склад -
разбрасыватель (1РМГ-4, РУМ-5, РУМ-8, КСА-3) - поле; при радиусе 3-5 км
используют тракторные, а при 5-8 км и более автомобильные разбрасыватели или
авиацию - оптимальный радиус действия сельскохозяйственной авиации 10-12 км от
аэродрома, а доза удобрений 100-200 кг/га;
перегрузочная - при внесении удобрений туковыми
сеялками, культиваторами-растениепитателями и другими машинами для
внутрипочвенного (локального) внесения, а также любыми центробежными
разбрасывателями по схеме: склад - транспортные машины - перегрузчики - поле;
перевалочная - в отсутствие складов и
специальных транспортно-погрузочных средств удобрения доставляют в поле
транспортом общего назначения и сгружают на специально подготовленные площадки
или по схеме: прирельсовый (портовый) склад - хозяйственный (межхозяйственный)
склад или площадка в поле. Далее по первой (перевалочно-прямоточной) или по
второй (перевалочно-перегрузочной) схеме. Наименее эффективный вариант из-за
возможных потерь, ухудшения качества удобрений и максимальных затрат труда и
средств.
Качество внесения удобрений определяется
отклонениями фактической дозы от заданной и неравномерностью поверхностного.
При локальном внесении качество работ определяется наряду с дозой точностью
размещения удобрений на определенной глубине и ориентацией рядов (лент, очагов)
их относительно посевных рядков и корневой системы растений.
Центробежные разбрасыватели наряду с
достоинствами (высокая производительность, грузоподъемность, надежность,
маневренность, простота конструкции и др.) имеют серьезные недостатки: сильную
неравномерность по ширине захвата, неустойчивость показателей рассева и
разделение разных фракций удобрений в пределах ширины захвата, что делает эти
машины непригодными (или малопригодными) для внесения тукосмесей. Предельно
допустимая неравномерность в соответствии с агротехническими требованиями
составляет:
до 25 % у разбрасывателей центробежного типа
(КСА-3, 1РМГ-4, РУМ-3, РУМ-5, РУМ-8, НРУ-0,5, РМС-6);
до 15 % у прицепных туковых сеялок;
до 8 % у комбинированных сеялок, посадочных
машин и культиваторов-растениепитателей;
до 10-15 % у машин по внесению жидких
минеральных удобрений (ПОУ, АБА-0,5М, АША-2 и др.);
до 30 % у машин для пневматического рассева
пылящих мелиорантов и фосфоритной муки (АРУП-8 и РУП-8).
Неравномерность распределения разбросного
внесения удобрений при возделывании культур по современным технологиям не
должна превышать 15 %.
Неравномерность распределения удобрений
проявляется в неодновременном развитии и созревании возделываемых культур,
пестроте урожая, ухудшении качества получаемой продукции и снижении прибавок от
удобрений, величина которых зависит от биологических особенностей культуры,
уровня и пестроты почвенного плодородия, доз, видов и способов внесения
удобрений и других условий.
2.2 Организация и технология
заготовки, хранения и внесение органических удобрений
Органические удобрения - это дополнительный
источник макро- и микроэлементов гумуса и его солей. Гумус увеличивает
буферность почвы, снижает подвижность алюминия, марганца и железа (на кислых
почвах). Органические удобрения - энергетический материал для развития
микрофлоры. Улучшает механический состав и ее водоудерживающую способность.
Являются хорошим источником СО2, улучшают корневое питание растений,
поглотительную способность и буферность почвы, активизирует микробиологическую
активность.
Основные органические удобрения - это навоз,
навозная жижа, птичий помет, торф, сидераты, солома.
Укладку органических удобрений в хранилища и
погрузку их в транспортное средство, для разбрасывания производят погрузчиками
периодического действия ПЭ-0,8Б; ЭО-2624;ПБ-35. Для доставки навоза от
животноводческих ферм в хранилища используют транспортные и стационарные
средства. Для доставки органических удобрений в поле используют тракторные
прицепы 2ПТС-4М; 2ПТС-6; 1ПТС-9; 3ПТС-1 с грузоподъемностью 4,6,3,12 тонн.
Автомобили самосвалы ГАЗ-93Б; ГАЗ-53Б; ЗИЛ-ММЗ-585М.
Навоз - это смесь твердых и жидких выделений
различных животных с подстилкой или без нее. Навоз вносится 20-25 т/га под
зерновые, под овощные, сахарную свеклу и подсолнечник - 40-50 т/га. Доза навоза
зависит от естественного плодородия почвы на бедных, слабо окультуренных почвах
и кислых почвах, на легких почвах доза выше и применяется с целью повышения
плодородия. При недостатке навоза в хозяйстве, его в первую очередь вносят под
культуры с длинным вегетативным периодом.
Сроки внесения навоза зависят от степени его
разложения, от температуры почвы. Вносят под вспашку на глубину 25 -30 см, или
под любую обработку почвы после вспашки.
Полуперепревший навоз - это однородная темная
масса, содержащая 50% исходной массы и органического вещества. При влажности
75% содержит: азота-5кг, P2O5-2,5кг, СаО-7кг, К2О-6кг.
Вносят весной под зябь или под основную обработку. При орошении и под рис
вносят свежий навоз. Дозы органических удобрений от 10 до 50 т/га вносят под
бобовые культуры для стимуляции азотфиксации клубеньковых бактерий.
Бесподстилочный навоз - содержит 92% воды и
называется жидким. В нем 50-70% азота находится в аммиачной форме и 30-40% в
органической. Хранят до 6 месяцев, доставляют в поле по трубам или цистерной.
На тяжелых почвах вносится весной, летом и осенью. На легких только весной.
В зависимости от способов накопления и хранения
до внесения навоза в почву процессы минерализации значительно различаются.
Существует три способа хранения навоза:
Плотное (холодное) хранение - это укладка навоза
в навозохранилище или в полевые штабеля послойно с немедленным уплотнением. С
верху штабель укрывается торфом, резанной соломой или почвой. Потери органического
вещества и азота, а также количество стекающей навозной жижи при таком способе
минимальны. Полуперепревший навоз зимой образуется через 4-6 мес, перепревший -
через 7-8 мес после закладки.
Рыхлоплотное (горячепрессованное) хранение.
Применяется с целью биометрического уничтожения семян сорняков и возбудителей
желудочно-кишечных заболеваний. Свежий навоз укладывают рыхлым слоем и зимой
прикрывают соломой для сохранения тепла. При таком способе получается
значительной количество жижи, полуперепревший навоз образуется через 1,5- 2
мес, а перепревший - через 4-5 мес.
Рыхлое (горячее) хранение. Наблюдаются большие
потери азота и органического вещества, плохое качество получаемого навоза,
максимальные потери жижи из навоза.
Следовательно, плотные способы хранения навоза -
основные приемы максимально снижения потерь органического вещества, жижи и
азота из этого удобрения.
Птичий помет - это ценное, наиболее
концентрированное и быстродействующее среди других органических удобрений.
Содержание в бесподстилочном виде 30 - 50%, а в подстилочном - 10% аммиачного
азота.
Сидераты или зеленые растения запахивают в
почву. В качестве сидерата заделывают бобовые культуры. Недостаток сидератов -
низкое содержание фосфора и калия. Различают три формы сидератов: полное зеленое
удобрение (запахивают все в почву), укосное (заделывают только надземную
массу), отавное (запахивают стержневые и корневые остатки растений).
Солома в качестве удобрения обогащает почву и
возделываемые на ней культуры органическим веществом и питательными элементами.
Химический состав: 0,5%-N;
0,25%-P2O5;
0,8%-К2О.При систематическом внесении соломы эффективность ее
возрастает, а недостаток азота проявляется только а первые годы. В последующие
годы азота высвобождается больше, чем закрепляется, поэтому последействие
соломы наблюдается и без дополнительного внесения азота других удобрений.
Солома улучшает физико-химические свойства
почвы, предотвращает вымывание водорастворимых форм азота и других элементов,
повышает биологическую активность почвы, доступность растениям питательных
элементов почвы и удобрений.
В отличие от минеральных удобрений, органические
менее концентрированные. В связи с этим нормы измеряются в ц/га, а органические
в т/га. Поэтому органические удобрения не перевозят на дальние расстояния, а
применяют на ближайших полях.
Совместное применение органических и минеральных
удобрений создает благоприятные условия для выращивания устойчивых и высоких
урожаев. Питательные вещества органических удобрений становится доступным
растениям после минерализации. Поэтому применение только одним органическим
удобрением трудно обеспечивает потребность растений в элементах питания.
Бактериальные удобрения - это препараты, способствующие улучшению питания
растений. Питательных веществ они не содержат; препараты, в которых содержатся
полезные для сельскохозяйственных растений почвенные микроорганизмы. При
внесении этих удобрений в почве усиливаются биохимические процессы и улучшается
корневое питание растений.
Виды бактериальных удобрений:
Нитрагин - удобрение для бобовых растений.
Готовят из активной специфической для каждого вида растений этого семейства
расы клубеньковых бактерий, размножаемых на стерилизованном и богатом
органическим веществом субстрате. Впервые препарат получен в 1896 в Германии.
Бактерии, проникая в корневые волоски, образуют на корнях бобовых культур
клубеньки. Усиленно размножаясь в ткани клубенька, они связывают атмосферный
азот, значительная часть которого усваивается растением. Нитрагин наиболее
эффективен при сочетании препарата с органическими и минеральными удобрениями.
Азотобактерин (азотоген) готовят из активных
культур микроорганизма - азотобактера. Различают азотобактерин почвенный (или
торфяной) и агаровый. По стандарту в 1 г почвенного азотобактерина должно быть
не менее 50 млн клеток азотобактера. Азотобактер активно развивается лишь в
плодородных, содержащих много органических веществ почвах; улучшает азотное
питание и рост растений.
Фосфоробактерин - порошок белого, светло-серого
или желтоватого цвета, в котором содержатся в большом количестве (8,5-16 млрд в
1 г) споры микроорганизмов, обладающих повышенной способностью переводить
фосфорорганические соединения в удобоусвояемую для растений форму. Наиболее
эффективен на фоне органических и минеральных удобрений.
Обычно бактериальные удобрения вносят в почву
вместе с семенами или посадочным материалом, руководствуясь при этом
специальной инструкцией. Данный вид удобрений не выдерживают длительного
хранения, поэтому готовят их в количестве, необходимом лишь для одного сезона.
Хранят в заводской таре в сухом помещении при температуре от 0 до 10 °C; нельзя
хранить на складе, где находятся летучие ядохимикаты.
Таблица 5 - Накопление навоза и птичьего помета.
|
Вид
животных
|
количество
голов, шт
|
выход
полуперепревшего навоза, т
|
выход
навозной жижи, т
|
|
|
от
1 головы за год
|
от
всех голов за год
|
от
1 головы за год
|
от
всех голов за год
|
|
КРС
|
|
|
|
|
|
|
Взрослые
|
1700
|
5
|
8500
|
1,5
|
|
Молодняк
|
500
|
2,5
|
1250
|
1,5
|
750
|
|
Лошади
|
|
|
|
|
|
|
Взрослые
|
50
|
3
|
150
|
0,6
|
30
|
|
Свиньи
|
3000
|
1,0
|
3000
|
0,6
|
1800
|
|
Овцы
|
800
|
0,5
|
400
|
0,13
|
104
|
|
Всего
навоза
|
|
|
13300
|
|
5234
|
|
Куры
|
1500
|
6
|
9000
|
|
|
Из таблицы видно, что общий выход навоза равен
13300 за год.
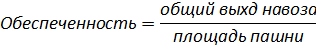
Рассчитаем уровень обеспеченности хозяйства
органическими удобрениями в тоннах на гектар по формуле:
Обеспеченность=13300/10569=1,3т/га
Из расчета видно, что уровень обеспеченности
хозяйства полуперепревшим навозом низкая и равен 1,3т/га, тогда как
обеспеченность органическими удобрениями должна составлять 8-12т/га.
Из этого следует, что в хозяйстве необходимо
проводить мероприятия по увеличению накопления органических удобрений путем
приготовления компостов из соломы, при этом количество органического удобрения
увеличивается в два раза, и применения зеленого удобрения. Также необходимо
применять навозную жижу.
В качестве сидератов следует использовать озимый
горох, вику, донник, чину, рапс и другие культуры. На один гектар образуется до
30т зеленой массы, которую используют в виде зеленого удобрения, когда
запахивают стерню и корни, а надземную часть применяют в виде корма для
животных. По содержанию минеральных элементов питания 1т зеленого удобрения
равно тонне навоза. Еще одно положительное свойство сидератов в том, что они
усваивают недоступный фосфор и обогащают им почву.
3. СИСТЕМА УДОБРЕНИЯ СЕВООБОРОТА
3.1 Система удобрения
Система удобрения севооборотов хозяйства - это
организационно - хозяйственный, агрохимический, агротехнический, экономический
и экологический комплекс мероприятий, направленных на выполнение
научно-обоснованного плана применения удобрений, в котором предусматриваются
виды и нормы удобрений, сроки их внесения и способы заделки под
сельскохозяйственные культуры, с целью увеличения не только урожая, и качества
продукции, но и сохранения плодородия почв.
Система удобрения севооборота предусматривает:
а) размещение навоза и других органических
удобрений;
б) распределение минеральных удобрений;
в) определение общей потребности в удобрениях
для севооборота;
г) обоснование разработанной системы удобрения,
в том числе доз, сроков, приемов их использования.
Система удобрений
разрабатывается с учетом целого ряда условий, влияющих на эффективность
удобрений: биологических особенностей питания растений, почвенно-климатических
ресурсов, агрохимических свойств удобрений, совместного внесения органических и
минеральных удобрений, агротехнических условий, влияния севооборота на
эффективность удобрений, материально-технических и экономических условий.
При недостаточном и
неустойчивом увлажнении предпочтение отдается основному и припосевному
удобрению. Подкормки могут быть не эффективными при недостатке влаги.
На черноземах обыкновенных в
первом минимуме находится фосфор. Поэтому предпочтение следует отдавать
фосфорным удобрениям. Рекомендуемое соотношение N:P:К
= 1:1-1,2:0,4-0,5.
Составление системы применения
удобрений начинают с размещения органических удобрений. При планировании
размещения органических удобрений следует учитывать их общее количество в
хозяйстве и степень насыщенности полей севооборота. Навоз следует вносить,
прежде всего, под пропашные культуры. Последующее его внесение должно быть не
ранее, чем через 3 года.
При распределении общей нормы
минеральных удобрений по приемам внесения практически весь калий вносится
осенью под основную обработку почвы. Из общей нормы фосфорных удобрений
выделяется примерно Р20 на припосевное внесение, а оставшийся фосфор
вносится осенью. Азотные удобрения вносятся дробно. Под озимые и культуры
раннего посева основное удобрение лучше вносить осенью. Под поздние пропашные
культуры азотные удобрения лучше вносить как предпосевное. Во избежание потерь.
Подкормки проводят с учетом биологических особенностей культур.
При разработке системы
удобрения используют нормы, рекомендованные научными учреждениями.
Научно-исследовательскими институтами, которые были разработаны по результатам
многолетних полевых опытов.
При недостатке минеральных
удобрений в хозяйстве планировать внесение удобрений следует в первую очередь
под ведущие культуры севооборота: зерновые, овощные культуры, сахарную свеклу.
Под второстепенные культуры можно ограничится последействием удобрений и
припосевным удобрением. Эффективным приемом является и подкормка, особенно в
зоне достаточного увлажнения.
Таблица 6 - Система удобрения в
полевом севообороте ЗАО «Кубань» Каневского района
|
№поля
|
Культура
|
Дозы
удобрения по приемам использования, кг/га д.в.
|
Всего
д.в., кг/га
|
Итого,
кг/га
|
|
|
основное
|
припосевное
|
подкормка
|
|
|
|
|
|
|
1
|
2
|
3
|
N
|
P
|
K
|
|
|
1
|
Эспарцет
|
-
|
-
|
N30 Р30К30
|
-
|
-
|
30
|
30
|
30
|
90
|
|
2
|
Оз.
пшеница
|
N40 Р40К60
|
Р20
|
N30
|
-
|
N30
|
100
|
60
|
60
|
250
|
|
3
|
Оз.
ячмень
|
N40P60K60
|
Р20
|
N30
|
-
|
-
|
70
|
80
|
60
|
210
|
|
4
|
Сах.
свекла
|
Навоз
60т N80P60K80
|
Р20
|
-
|
-
|
-
|
80
|
80
|
80
|
240
|
|
5
|
Оз.
пшеница
|
N40P60K60
|
Р20
|
N30
|
-
|
N30
|
100
|
80
|
60
|
240
|
|
6
|
Кук.
зерно
|
N40P40K40
|
Р20
|
N30
|
-
|
-
|
70
|
60
|
40
|
170
|
|
7
|
Оз.пшеница
|
N40P40K40
|
Р20
|
N30
|
-
|
N30
|
100
|
60
|
40
|
200
|
|
8
|
Подсолнечник
|
Навоз
40т
|
Р20
|
-
|
-
|
-
|
-
|
20
|
-
|
20
|
|
9
|
Оз.пшеница
|
N40P60K60
|
Р20
|
N30
|
-
|
N30
|
100
|
80
|
60
|
240
|
|
10
|
Яр.ячм
+ эспарцет
|
N60P60K60
|
-
|
-
|
-
|
-
|
60
|
60
|
60
|
120
|
|
Всего: навоза
|
100
т
|
|
|
|
|
|
|
|
|
|
д.в.
|
N380P420K460
|
Р160
|
N330Р30К30
|
710
|
610
|
490
|
1810
|
|
в
среднем кг/га
|
навоза
10т
|
|
|
71
|
61
|
49
|
181
|
|
%
|
69,7
|
8,8
|
21,5
|
|
|
|
|
|
соотношение
N:Р:К=1:1:0,7
|
|
|
|
|
|
|
|
|
|
|
|
|
|
|
Количество действующего
вещества на гектар N=710, P2O5=610, K2O=490.
Количество действующего вещества по приемам использования понадобится: для
основной обработки N=380, P2O5=670, K2O=460; в
припосевной прием потребуется P2O5=160; в первую
подкормку потребуется N=210, P2O5=30, K2O=30;
в третьей подкормке потребуется N=120. Всего потребуется NPK=1810.
Рассчитаем соотношение N: P: K
за единицу примем суммарное количество азота для всего севооборота (710 кг).
Составляем пропорцию для
расчета соотношения:
для фосфора:
710 - 1 х= 0,86
- x
для калия:
- 1 х=0,69
- x
Таким образом, соотношение N: P:
K=1:1:0,69.
Распределим удобрения по приемам
использования в д.в. и в %.
Под основную обработку (д.в.)380
P420 K460, всего NPK - 1260.
Чтобы рассчитать % применение
удобрений под основную обработку необходимо, общее количество кг/га (1810
кг/га) принять за 100%, а сумму NPK под основную обработку (1260кг) за x.
Составим пропорцию:
- 100%
- x%
х=69,6% удобрений вносится под
основную обработку почвы.
Аналогично подсчитывается доля (в %)
от общего количества удобрений, применяемых в другие приемы, причем все
подкормки необходимо объединить.
При посеве Р160:
- 100%
- x%
х=8,8% удобрений вносится при
посеве.
Подкормки: N+P+K
+30+30=390
В среднем на гектар пашни
планируется:- 710:10=71 кг/га2O5- 610:10=61 кг/га2O
- 490:10=49 кг/га
Навоз 100:10=10 т/га.
3.2 План размещения удобрений
На основе системы удобрения в
севообороте составляется годовой план применения удобрений, в котором подробно
разрабатываются мероприятия по правильному использованию удобрений. По
содержанию в почве подвижных форм питательных веществ, определяют
обеспеченность ими культур севооборота, находят поправочные коэффициенты и
корректируют дозы основного удобрения, умножая рекомендованную дозу на
поправочный коэффициент. Дозы припосевного удобрения и подкормок оставляют без
изменения. В производстве доза подкормок корректируется по результатам
почвенной и растительной диагностики.
Таблица 7 - Годовой план
внесения минеральных и органических удобрений в полевом севообороте ЗАО
«Кубань» Каневского района на 2012 год
|
№
поля 1
|
Культура
|
Степень
обеспеченности почвы подвижными формами и поправочные коэффициенты
|
Норма
удобрений в д. в., кг/га
|
Вид
удобрения, химический состав, % д.в.
|
Приемы
использования удобрений , дозы д. в., кг/га
|
Итого
NPK, кг/га
|
Физическая
масса,ц/га
|
|
|
N
|
P2O5
|
K2O
|
Рекомендованная
НИИ
|
Откорректированная
|
|
основное
|
припосевное
|
подкормки
|
|
|
|
|
|
|
|
|
|
|
|
|
1
|
2
|
3
|
|
|
|
1
|
Эспарцет
|
24
П 0,4
|
25
С 1
|
320
П 0,66
|
+N30
+P30 +K30
|
+N30
+P30 +K30
|
НАФК,
NPK, 16:16:16
|
-
|
-
|
+N30
+P30 +K30
|
-
|
-
|
N30P30K30
|
1,9
|
|
2
|
Оз.
пшеница
|
21
С 1
|
25
Н 1,1
|
308
Н 1
|
N40 P40 K60
+P20 +N30
+N30
|
N40 P44 K60
+P20 +N30
+N30
|
НАФК
16:16:16, KCl 60% ПС
21% NH4NO3
34,6%
|
N40P44K40
K20
|
+P20
|
+N30
|
|
+N30
|
N100P64K60
|
2,5
0,7 1 0,9 0,9
|
|
3
|
Оз.
ячмень
|
25
С 1
|
42
С 1
|
125
ОН 1,3
|
N40 P60
K60
+P20 +N30
|
N40 P60
K78 +P20
+N30
|
НАФК
16:16:16 ПС
21% KCl 60% ПС
21% NH4NO3 34,6%
|
N40P40K40
P20
K38
|
+P20
|
+N30
|
|
|
N70P80K78
|
2,5
0,9 0,6 0,9 0,7
|
|
4
|
Сах.
свекла
|
18
С 1
|
30
Н 1
|
210
Н 1
|
Навоз60
N80
P60
К80
+P20
|
Навоз60
N80
P60
K80
+P20
|
НАФК
16:16:16 NH4NO3 34,6% KCl 60% ПС
21%
|
N60P60K60
N20
K20
|
+P20
|
|
|
|
N80P80K80
|
3,8
0,6 0,3 0,9
|
|
5
|
Оз.
пшеница
|
12
Н 1
|
33
С 1
|
350
С 1
|
N40 P60
K60
+P20 +N30
+N30
|
N40 P60
K60
+P20 +N30
+N30
|
НАФК
16:16:16 ПС
21% KCl 60% ПС
21% NH4NO3 34,6% NH4NO3
34,6%
|
N40P40K40
Р20
K20
|
+P20
|
+N30
|
-
|
+N30
|
N100P80K80
|
2,5
0,9 0,3 0,9 0,9 0,9
|
|
6
|
Кук.н/зерно
|
33
В 0
|
16
С 1
|
380
П 0,5
|
N40 P40 K40
+P20
+N30
|
-
P40
K40
+P20
+N30
|
ПС
21% KCl 60% ПС
21% NH4NO3 34,6%
|
P40 K40
|
+P20
|
+N30
|
-
|
-
|
N30P60K40
|
1,9
0,3 0,9 0,9
|
|
7
|
Оз.
пшеница
|
28
С 1
|
48
П 1
|
410
П 0,5
|
N40 P40 K40
+P20
+N30
+N30
|
N40 P40 K20
+P20
+N30
+N30
|
НАФК
16:16:16 ПС
21% NH4NO3 34,6% ПС21% NH4NO3
34,6% NH4NO3 34,6%
|
N20P20K20
P20 N20
|
+P20
|
+N30
|
-
|
+N30
|
N100P60K20
|
1,3
1,9 1,2 0,9 0,9 0,9
|
|
8
|
Подсолн.
|
31
В 0
|
38
П 0,5
|
Навоз
40 +P20
|
Навоз
40 +P20
|
ПС
21%
|
-
|
+P20
|
-
|
-
|
-
|
P20
|
0,9
|
|
9
|
Оз.
пшеница
|
20
С 1
|
50
П 1
|
450
П 0,5
|
N40 P60
K60
+P20 +N30
+N30
|
N40 P60
K30
+P20
+N30
+N30
|
НАФК
16:16:16 ПС
21% NH4NO3 34,6% ПС 21% NH4NO3
34,6 NH4NO3 34,6%
|
N30P30K30
P30 N10
|
+P20
|
+N30
|
-
|
+N30
|
N100P80K30
|
1,9
1,4 0,3 0,9 0,9 0,9
|
|
10
|
Яр.ячм
+ эспарцет
|
24
П 0,5
|
14
Н 1
|
310
В 0
|
N60
P60
K60
|
N30
P60
-
|
NH4NO3 34,6% ПС
21%
|
N30
P60
|
-
|
-
|
-
|
-
|
N30P60
|
0,9
2,9
|
3.3 Агрохимическое обоснование
системы удобрения
В данном севообороте под каждую
культуру будут вноситься разные удобрения, характерные для данной культуры
сроки и в индивидуальных для этой культуры дозах.
1. ЭСПАРЦЕТ - главная кормовая культура на
Кубани. Она хорошо растет на нейтральных и слабощелочных почвах. Для
формирования 1т сена потребляет 26 кг азота, 7 кг фосфора, 15 кг калия.
Эспарцет не переносит сильной кислотности почвы. Хорошо растет при рН=6,5-7.
Растения отличаются солеустойчивостью, которая зависит от их возраста.
Эспарцет потребляет из почвы много фосфора,
калия, кальция и магния. Он хорошо отзывается на внесение органических
удобрений под покровную культуру.
Эспарцет особенно чувствителен к питанию
фосфором в ранний период своего развития. Если он хорошо обеспечен этим
элементом в первый месяц жизни, то это положительно сказывается на развитии
растений в последующие годы. На черноземных почвах необходимо вносить 2-3 ц/га
суперфосфата, 1 ц/га калийных удобрений. Кроме того, при посеве рекомендуется
давать вместе с семенами 50 кг/га гранулированного суперфосфата.
В течении года за счет клубеньковых бактерий
может накапливаться до 150-300 кг азота. Эспарцет хороший предшественник для
зерновых культур.
Так как эспарцет выращивается как
самостоятельная культура, то в данном севообороте осенью под основную культуру
целесообразно внести N30Р30К30.
Азот следует вносить под предпосевную культивацию.
. ОЗИМАЯ ПШЕНИЦА - довольно
засухоустойчивая культура. Корневая система располагается преимущественно в
пахотном слое почвы. К почвам озимая пшеница довольно требовательна. Лучше
всего она растет при pH=6,3-7,6.
Наиболее высокие и устойчивые урожаи дает на плодородных, связных, достаточно
влажных, окультуренных черноземах и темно-каштановых почвах. Потребляет большое
количество элементов питания. Она выносит на 1 т зерна вместе с соломой в
среднем 35 кг азота, 12 кг фосфора, 26 кг калия.
Озимая пшеница потребляет питательные вещества
почти в течение всей вегетации. В период от всходов до полного кущения, которое
обычно заканчивается осенью, в теплые зимы - в зимние месяцы, а иногда и рано
весной, растения потребляют 32-40% азота, фосфора и калия от всего
накапливаемого в них количества названных элементов. Из этого следует, что до
посева пшеницы почва должна содержать необходимые для закладки основ урожая
запас доступных растению элементов питания.
Под основную обработку вносим весь калий и почти
весь фосфор. Внесение больших доз этого удобрения обусловлено тем, что они
поглощаются почвой и не вымываются. Рекомендованная доза фосфора и калия
соответственно 60-40 и 60-40 кг действующего вещества. Данная норма может
корректироваться при помощи поправочных коэффициентов, которые в свою очередь
зависят от обеспеченности почвы подвижными формами элементов питания. В
качестве фосфорного удобрения применяют двойной суперфосфат. Это обусловлено
тем что фосфор в данном удобрении находится в хорошо растворенной форме и его
содержание достаточно высоко.
Доза азота под основную обработку зависит от
предшественника и почвенно-климатических условий. После люцерны в почве
накапливается до 120 кг азота на 1 га, в связи с этим дозу азота под основную
обработку уменьшают и она равна 30 кг азота на гектар.
Начальный период развития критический в
отношении фосфора. Фосфор способствует равномерному появлению всходов,
активирует рост корневой системы. Нехватка фосфора в данные период может
существенно снизить урожайность. При посеве рекомендуют вносить вместе с
семенами пшеницы в рядки фосфор в дозе 20 кг/га. Данный прием необходим на
черноземах.
Рано весной вегетация озимой пшеницы
возобновляется при средне дневных температурах 2-50С. Почва в это
время бедная азотом, так как он вымывается, микробиологические процессы
подавлены низкими температурами. Поэтому рано весной проводят азотную
подкормку. Эта подкормка увеличивает густоту стояния, высоту и продуктивность
растения и очень слабо влияет на качество зерна. Необходимость и доза подкормки
устанавливается по результатам почвенной диагностики. При поздней весне сокращается
период кущения, поэтому дозу азота увеличивают на 10-30%, чтобы обеспечить
интенсивность кущения
В первую очередь необходимо подкармливать слабые
посевы, так как эта подкормка дает более высокую прибавку именно на таких
посевах.
Следующую подкормку озимой пшеницы проводят в
фазу выхода в трубку. Эта подкормка увеличивает количество зерен в колосе и
повышает урожайность. Но это экономически не выгодно.
Последнюю проводят в период налива зерна. В это
время потребление азота из почвы замедляется и идет отток его из листьев в
зерновку. Необходимость данной подкормки определяют при помощи листовой
диагностики. Она является некорневой, проводится раствором мочевины.
. КУКУРУЗА - одна из важнейших зерновых и
кормовых культур. Урожайность кукурузы на зерно 50-60 ц/га.
Очень требовательна к плодородию почвы, и очень
отзывчива на его повышение. При урожае зеленой массы 40 т/га вынос питательных
элементов составляет азота 95, фосфора 28, калия 110 кг.
Под кукурузу целесообразно внесение удобрений
под основную обработку N40 P40 K40 кг.д.в./га.
. САХАРНАЯ СВЁКЛА- важнейшая техническая
культура, дающая сырьё для сахарной промышленности. Количество сахара в плодах
зависит от числа солнечных дней в августе - октябре. Особенно хороший урожай
собирают на чернозёмах. Высокая эффективность удобрений на культуре сахарной
свёклы может быть достигнута при внесении их в оптимальных нормах, с учётом
почвенно - климатических условий и уровня планируемого урожая. На всех почвах
наивысшая продуктивность сахарной свёклы обеспечивается при внесении
минеральных удобрений в соотношении N:P:K равном 1,0:1,0:1,2:1,0. О недостатке
отдельных элементов питания свёклы можно судить визуально по внешне заметным
симптомам.
На 1т биомассы сахарная свёкла потребляет: 5-7
кг азота, 2,0-3,5 кг фосфора и 6-8 кг калия. Для удовлетворения потребности
растений в микроэлементах их вносят одним из следующих способов: в почву, при
обработке семян, некорневыми подкормками. Главная роль в обеспечении свёклы
питательными веществами принадлежит основному удобрению, внесённому под
вспашку. В качестве основного применяют как органические, так и минеральные
удобрения, особенно большой эффект на повышение урожая оказывает совместное их
внесение. Максимальную продуктивность сахарная свёкла обеспечивает при слабощелочной
и нейтральной реакции почвенного раствора - pH=6,5-7,0.
. ЯРОВОЙ ЯЧМЕНЬ - ценная фуражная
культура. В настоящее время ячмень является основной кормовой культурой.
В его зерне содержится 11,8% протеина, 2,3%
жира, 2,8% золы и 65-72% безазотитых экстрактивных веществ.
Эта высокоурожайная культура сравнительно
неприхотлива и при надлежащем уходе экономически эффективна. Подкорки на яровом
ячмене эффективны только в начальный период роста и развития до начала кущения.
Яровой ячмень в начальные фазы развития очень нуждается в питательных
веществах. В период всходы - кущение он потребляет около половины фосфора и
азота и почти три четверти калия от всего их количества, используемого в
течении вегетации.
Примерные дозы минеральных удобрений(в кг
действующего вещества на 1 га) следующие: 45-60 фосфорных, 25-40 калийных и
20-30 азотных. На почвах бедных органическим веществом, доза азота должна быть
увеличена. На формирование 1 ц зерна яровой ячмень расходует в среднем 2,6 кг
азота, 1,1 кг фосфора и 2,8 кг калия. В данном севообороте под ячмень доза
основного удобрения составляет N60P60K60.
ПОДСОЛНЕЧНИК - основная масличная культура в
нашей стране. На его долю приходится 75% площади посева всех масличных культур.
Он отличается повышенными требованиями к
пищевому режиму почвы. На формирование 10 ц семян и соответствующего количества
вегетативной массы подсолнечник расходует в среднем 56 кг азота, 24-фосфора и
138 кг калия. Из общего выноса с урожаем в семенах подсолнечника содержится 44%
азота, 77% фосфора и только 12% калия.
Максимум усвоения питательных веществ приходится
на фазы цветения: 92% азота, 54-фосфора и 88% калия от общего количества
потребляемого растением.
Навоз вносят в дозе 20-40 т/га. Действие его
продолжается 2-3 года. Наибольшее увеличение урожая дает азотно-фосфорное
удобрение. На черноземах без орошения эффективно внесение под вспашку N60P90.
Локально-ленточным способом при посеве удобрения
вносят на глубину 10-12см в сторону от рядка в дозе N20P30.
Подкормку
проводят в ранние фазы при первой междурядной обработке локально-ленточным
способом на глубину 10-12см в дозе N20P30
при
содержании в 10-12-дневных растениях до 0,8% общего фосфора.
Используемые удобрения:
Аммиачная селитра NH4NO3.
Содержит действующего вещества (N)
34,5%. Выпускается в виде гранул размером 2-3 мм белого или желтоватого цвета.
Аммиачную селитру получают путем нейтрализации газообразным аммиаком 45-58%
раствора азотной кислоты с последующим выпариванием:
NH3+HNO3=NH4NO3.
Удобрение упаковывают во
влагонепроницаемые бумажные или полиэтиленовые мешки. Оно очень гигроскопично и
огнеопасно, поэтому хранить его необходимо в отдельном складе, оберегая от
сырости. При хранении селитра быстро слеживается, что вызывает необходимость ее
дробления перед посевом.
В аммиачной селитре половина
азота содержится в аммонийной форме и половина - в нитратной. Эти различия
обуславливают взаимодействие удобрения с почвой.
Аммиачная селитра при внесении
в почву быстро и полностью растворяется почвенной влагой. Аммонийный азот
поглощается почвой обменно и аммоний остается доступным растениям. Часть
аммонийного азота поглощается почвой необменно.
В зависимости от типа почвы при
внесении аммиачной селитр изменяется реакция почвенного раствора. В кислых
почвах в результате обменного поглощения аммония наблюдается подкисление
почвенного раствора:
Физиологически кислое удобрение. Это
хорошее удобрение на нейтральных и щелочных почвах. На кислых применяют с
добавлением извести, в соотношении 1:1,3. подкисление временное, с поглощением
нитратов оно исчезает. Ее можно применять на всех культурах, на всех почвах,
кроме затопляемых. Применяют под основную обработку как предпосевное и
припосевное и в подкормку.
Хлористый калий KCl содержит
58-60% К2О. По внешнему виду кристаллическое вещество или
розово-красного или белого с сероватым оттенком цвета с размером частиц около 1
мм. Поставляется в незатаренном виде. Вырабатывается из сильвинита двумя
способами. При флотационном способе хлористый калий отделяется из
мелкоизмельченного сильвинита с помощью флотреагента. Удобрение имеет
розово-красный и буровато-красный цвет, слабо слеживается. При галургическом
способе разделение основано на различной растворимости KCl и NaCl в
зависимости от температуры. Удобрение получается белого с сероватым оттенком
цвета, сильно слеживается. Удобрения могут выпускаться в гранулированном виде.
Удобрение хорошо растворимо в воде.
При внесении в почву основная часть калия поглощается почвой обменно. При этом
на кислых почвах происходит увеличение актуальной кислотности:
На нейтральных и слабощелочных
почвах изменения реакции почвенного раствора не происходит.
В связи с обменным поглощением,
миграция калия внесенных удобрений невелика и частичное вымывание возможно лишь
на супесчаных и песчаных почвах.
Частично калий поглощается почвой
необменно, особенно на глинистых почвах богатых минералами монтмориллонитовой
группы и гидрослюд. Попеременное высушивание и увлажнение в слое внесения
хлористого калия усиливают необменное поглощение (фиксацию) калия, что
нежелательно.
Хлористый калий пригоден для
внесения в качестве основного, припосевного удобрения и подкормок. При внесении
основного удобрения хлористый калий нужно вносить под вспашку - при глубокой
заделке он более доступен корням растений и меньше подвергается фиксации. Как
припосевное удобрение и подкормка хлористый калий применяется редко. При всех
приемах использования хлористый калий может оказывать отрицательное влияние на
культуры, чувствительные к хлору.
Нитроаммофоска Гранулированное,
выпускается в мешках. В состав входит аммиачная селитра, аммофос, диаммофос и
хлористый калий. Содержит NPK по 16%. Используется в
качестве основного и припосевного удобрения на всех почвах, под все культуры и
в подкормку в междурядье.
Простой суперфосфат- содержит
19,5-20,5% P2O5.
Применяется в качестве основного удобрения на разных почвах. Можно использовать
в качестве припосевного удобрения и подкормок. Гранулация улучшает
потребительские свойства удобрения, что особенно важно при использовании
суперфосфата на кислых почвах. Он применяется под все культуры и на всех
почвах. Особенно эффективен при внесении в рядки. Суперфосфат нетоксичен,
пожаро- и взрывобезопасен.
Навоз - содержит все
необходимые растениям питательные элементы, но в различным количествах и
формах, а так как растения потребляют минеральные формы, то степень доступности
их из навоза зависит от исходных количеств минеральных форм, а также содержания
и скорости минерализации органических форм элементов в нем.
3.4 Общая годовая
потребность в органических и минеральных удобрениях для севооборота
Определим общую годовую
потребность по видам удобрений для всего севооборота на всю площадь.
Таблица 8 - Общая потребность в
органических и минеральных удобрениях для полевого севооборота
|
№
поля
|
Культура
|
Площадь
|
|
требуется
удобрений, т
|
|
|
|
Органич.
|
Азотные
|
Фосфорные
|
калийные
|
комплексные
|
|
|
|
Навоз
|
NH4NO3
|
NH4NO3*
NH4H2PO4*KCl
|
KCl
|
НАФК
|
|
1
|
Эспарцет
|
80
|
-
|
-
|
-
|
-
|
15,2
|
|
2
|
Оз.пш
|
80
|
-
|
14,4
|
8,0
|
5,6
|
20,0
|
|
3
|
Оз.ячм
|
80
|
-
|
5,6
|
14,4
|
4,8
|
20,0
|
|
4
|
Сах.св
|
80
|
60
|
4,8
|
7,2
|
2,4
|
30,4
|
|
5
|
Оз.пш
|
80
|
-
|
14,4
|
14,4
|
2,4
|
20,0
|
|
6
|
Кук.н/зер
|
80
|
-
|
7,2
|
22,4
|
2,4
|
-
|
|
7
|
Оз.пш
|
80
|
-
|
24,0
|
22,4
|
-
|
10,4
|
|
8
|
Подсол.
|
80
|
40
|
-
|
7,2
|
-
|
-
|
|
9
|
Оз.пш
|
80
|
-
|
16,8
|
18,4
|
-
|
15,2
|
|
10
|
Яр.яч+эсп
|
80
|
-
|
7,2
|
23,2
|
-
|
-
|
|
Всего
|
800
|
100
|
94,4
|
137,6
|
17,6
|
131,2
|
4. БАЛАНС ПИТАТЕЛЬНЫХ ВЕЩЕСТВ И
ГУМУСА В ПОЧВЕ
Система удобрения должна обеспечить получение
высоких урожаев, сохранение и воспроизводство почвенного плодородия. Для оценки
изменения почвенного плодородия при разработанной системе удобрения, рассчитывается
баланс питательных веществ и гумуса в почве.
Баланс - это сопоставление статей поступления
элементов питания и гумуса в почву с расходом их на формирование урожая и
потерь из почвы.
Балансовый расчет дает представление о
происходящем истощении или обогащении почвы питательными веществами и гумусом
при разработанной системе удобрения. Баланс может складываться положительный,
отрицательный и нулевой. Если внесение удобрений превышает вынос их с урожаем,
то баланс положительный, значит почва пополняется питательными веществами. При
отрицательном - запас питательных веществ и гумуса в почве уменьшается, т.е.
снижается почвенное плодородие. При нулевом или бездефицитном балансе
поступление и потери равны и мы имеем сохранение почвенного плодородия При разработке
системы удобрения полевого севооборота необходимо добиваться бездефицитного
баланса элементов питания. Различают биологический и хозяйственный баланс
питательных веществ. Рассчитаем хозяйственный баланс.
.1 Баланс питательных веществ
Следует учитывать, что дополнительно вносится в
почву органический азот бобовыми культурами за счет фиксации клубеньковыми
бактериями. Бобовые культуры поглощают из почвы лишь 1/3 от общего выноса
азота, а 2/3 из воздуха. Поступление N,
P, K
с органическими удобрениями рассчитывают исходя из среднего содержания их в
навозе: N-5кг, Р-2,5кг,К-6
кг в 1 тонне.
Таблица 9 - Баланс питательных веществ в полевом
севообороте ЗАО «Кубань» Каневского района
|
№
поля
|
культура
|
Урож-сть,
т/га
|
Вынос
урожаем, кг/т
|
внесение
с удобрениями, кг/га
|
Баланс
(+,-) питательных веществ, кг/га
|
возмещение
выноса внесением, %
|
|
|
|
|
органическими
|
минеральными
|
всего
|
|
|
|
|
|
N
|
P
|
K
|
N
|
P
|
K
|
N
|
P
|
K
|
N
|
P
|
K
|
N
|
P
|
K
|
N
|
P
|
K
|
|
1
|
Эспарцет
|
8,0
|
70
|
50
|
162
|
-
|
-
|
-
|
30
|
30
|
30
|
30
|
30
|
30
|
-40
|
-20
|
-132
|
43
|
60
|
19
|
|
2
|
Оз.пш
|
5,0
|
165
|
52
|
109
|
-
|
-
|
-
|
100
|
60
|
60
|
100
|
60
|
60
|
-65
|
-8
|
-49
|
61
|
115
|
55
|
|
3
|
Оз.ячм
|
5,5
|
150
|
57
|
130
|
-
|
-
|
-
|
70
|
80
|
60
|
70
|
80
|
60
|
-80
|
23
|
-70
|
47
|
140
|
46
|
|
4
|
Сах.св.
|
30,0
|
147
|
48
|
189
|
300
|
150
|
360
|
80
|
80
|
80
|
380
|
230
|
440
|
233
|
182
|
251
|
259
|
479
|
233
|
|
5
|
Оз.пш
|
4,5
|
149
|
47
|
98
|
-
|
-
|
-
|
100
|
80
|
60
|
100
|
80
|
60
|
-49
|
33
|
-38
|
67
|
170
|
61
|
|
6
|
Кук.зер.
|
6,0
|
169
|
55
|
142
|
-
|
-
|
-
|
70
|
60
|
40
|
70
|
60
|
40
|
-99
|
5
|
41
|
109
|
28
|
|
7
|
Оз.пш.
|
4,5
|
149
|
47
|
98
|
-
|
-
|
-
|
100
|
60
|
40
|
100
|
60
|
40
|
-49
|
33
|
-38
|
67
|
128
|
41
|
|
8
|
Подсолн
|
2,5
|
132
|
49
|
252
|
200
|
100
|
240
|
-
|
20
|
-
|
200
|
120
|
240
|
68
|
71
|
-12
|
152
|
245
|
95
|
|
9
|
Оз.пш.
|
4,5
|
149
|
47
|
98
|
-
|
-
|
-
|
100
|
80
|
60
|
100
|
80
|
60
|
-49
|
33
|
-38
|
67
|
170
|
61
|
|
10
|
Яр.ячм+эспарц.
|
3,0
|
82
|
31
|
71
|
-
|
-
|
-
|
60
|
60
|
60
|
60
|
60
|
60
|
-22
|
29
|
-11
|
73
|
194
|
85
|
|
в
среднем по севообороту
|
-15
|
38
|
-239
|
88
|
181
|
72
|
Из таблицы 9 видно, что отрицательный баланс
складывается по азоту(-15кг/га) и по калию(-239кг/га), соответственно 88% и
72%, но учитывая, что чернозем обыкновенный содержит достаточное количество
калия, то на данном этапе снижение калия в почве можно допустить. По фосфору
наблюдается положительный баланс веществ, что составляет 181%.
Для того чтобы компенсировать вынос азота
необходимо увеличивать дозы внесения азотных и органических удобрений.
4.2 Баланс гумуса в почве
Система удобрения севооборота должна
предусматривать не только бездефицитный баланс гумуса, но и расширенное его
воспроизводство в почве. Ежегодно потери гумуса от его минерализации могут
достигать 0,4-4,0 т/га. Их восполнение осуществляется за счет гумификации
органических веществ пожнивных и корневых остатков, но главным образом за счет
внесения органических удобрений.
Для расчета баланса гумуса определяется его
ежегодная минерализация и восполнение за счет пожнивных и корневых остатков по
каждому полю севооборота и в среднем по севообороту (табл. 10).
Таблица 10 - Баланс гумуса в почве севооборота
ЗАО «Кубань» Каневского района
|
№
поля
|
Культура
|
Минерализация
гумуса, т/га
|
Восполнение
гумуса за счет пожнивных и корневых остатков, т/га
|
|
1
|
Эспарцет
|
0
|
0,6
|
|
2
|
Оз.пшеница
|
1
|
0,7
|
|
3
|
Оз.
ячмень
|
1
|
0,7
|
|
4
|
Сах.
свекла
|
2,5
|
0,1
|
|
5
|
Оз.
пшеница
|
1
|
0,7
|
|
6
|
Кук.на
зерно
|
2,5
|
0,1
|
|
7
|
Оз.
пшеница
|
1
|
0,7
|
|
8
|
Подсолнечник
|
2,5
|
0,1
|
|
9
|
Оз.
пшеница
|
1
|
0,7
|
|
10
|
Яр.ячм.+эспарцет
|
0,5
|
0,7
|
|
Итого:
|
13
|
5,1
|
|
Среднее
|
1,3
|
0,51
|
Дефицит гумуса - 1,3-0,51= 0,79 т/га=790 кг/га
Содержание сухого вещества в органических
удобрениях - 30% или 300 кг/т. Коэффициент гумификации органических удобрений -
25% от сухого вещества. Количество гумуса, образующегося от 1 т органических
удобрений:
Насыщенность севооборота
органическими удобрениями 10 т/га.
Восполнение потерь гумуса за счет вносимых
органических удобрений - 10 т/га ·75 кг = 750 кг/га
Баланс гумуса равен - 750-790= -40
кг/га.
Баланс гумуса:
- 100%
- х
Для бездефицитного баланса гумуса
необходимо вносить в среднем на 1 га пашни органических удобрений -790:75=10,5
т/га.
Для ликвидации дефицита необходимо
навоза -40: 75 = 0,5 т/га или
- 10,5 т/га = -0,5 т/га.
Из расчетов видно, что плодородие
почвы снижается. Для повышения плодородия почв необходимы мероприятия:
внесение органического удобрений в
дозе 8-10 т/га и минеральных удобрений в зависимости от с.-х. культуры;
сохранение и сбережение влаги путем
почвозащитного севооборота и снегозадержание.
5. ЭНЕРГЕТИЧЕСКАЯ
ЭФФЕКТИВНОСТЬ ПРИМЕНЕНИЯ УДОБРЕНИЙ
Разработанная система применения удобрений в
севообороте должна быть агрономически и экономически обоснована.
Агрономическая эффективность выражается
прибавкой урожайности. Выражают ее в зерновых или кормовых единицах.
Экономическая эффективность применения удобрений
определяется тремя показателями: условно чистый доход (стоимость прибавки
продукции за вычетом дополнительных затрат, связанных с применением удобрений и
уборкой), уровень рентабельности (отношение чистого дохода от удобрений к
затратам на их применение в процентах) и доход на один затраченный рубль
(окупаемость).
Учитывая нестабильность и диспаритет цен на
удобрения и сельскохозяйственную продукцию, расчет экономической эффективности
затруднен и поэтому предлагается рассчитать энергетическую эффективность
применения удобрений.
Энергетическая эффективность определяется
отношением энергии, накопленной в продукции, полученной за счет применения
удобрений, к энергетическим затратам на производство и применение вносимых
удобрений.
Таблица 11 - Энергетическая эффективность
применения удобрений в севообороте ЗАО «Кубань» Каневского района
|
№
поля
|
Культура
|
Прибавка
урожая от удобрений (Yn), ц/га
|
Энергия
накопления в с.-х. продукции (Vfo), МДж/га
|
Энегрозатраты
на применение удобрений (А0), МДж/га
|
Энергетическая
эффективность (n)
|
|
1
|
Эспарцет
|
16
|
5127
|
3231
|
1,6
|
|
2
|
Оз.
пш.
|
10
|
16451,8
|
9934
|
1,66
|
|
3
|
Оз.ячм.
|
11
|
18096,98
|
7582
|
2,39
|
|
4
|
Сах.св.
|
60
|
27390
|
33816
|
0,8
|
|
5
|
Оз.
пш
|
9
|
14806,62
|
10352
|
1,43
|
|
6
|
Кук.зерн
|
12
|
18163,2
|
7164
|
2,54
|
|
7
|
Оз.пш.
|
9
|
14806,62
|
9768
|
1,52
|
|
8
|
Подсолнечн.
|
5
|
8914,8
|
17050
|
0,52
|
|
9
|
Оз.пш
|
9
|
14806,62
|
10186
|
1,45
|
|
10
|
Я.ячм+эспарц
|
6
|
9871,08
|
6462
|
1,53
|
|
В
среднем по севообороту
|
|
|
1,57
|
Рассмотрим на примере
эспарцета:
Для определения энергетической
эффективности системы удобрения полевого севооборота необходимо рассчитать
энергию, накопленную в с/х продукции, которая оценивается миллионах джоулей
(МДж). Она рассчитывается по формуле
Vfo
=
Yn
·
Ri
·
l · 100,
где: Vfo
- содержание энергии в прибавке урожая, МДж/га;
Yn
- прибавка урожая основной продукции от удобрений, ц/га;
Ri
- коэффициент перевода единицы урожая в сухое вещество;
l
- содержание общей энергии в 1 кг сухого вещества основной продукции, МДж;
- коэффициент перевода ц в кг.
После этого определяются
затраты энергии на производство и применение минеральных и органических
удобрений и в зависимости от вносимых доз рассчитываются энергетические затраты
на их применение по формуле:
AO = (HN
· aN)+(HP · aP)+(HK · aK)+(HO
· aO),
где: AO
-
энергетические затраты на применение удобрений, МДж;
HN,
HP, HK
,
HO
-
соответственно фактические дозы внесения азотных, фосфорных, калийных (кг/га
д.в) и органических(кг/га) удобрений;
aN,
aP, aK,
aO - энергетические
затраты в расчёте на 1 кг д.в. азотных, фосфорных, калийных и на 1 кг
органических удобрений.
Расчёт энергетической
эффективности (энергоотдача или биоэнергетический КПД) применения удобрений (n,
ед.) производится по формуле:
Все расчёты записываются в таблицу
11. Полученные данные анализируются.
Для начала берём из таблицы 4
прибавку урожайности для эспарцета 17 ц/га. Умножая содержание общей энергии в
1 кг урожая на прибавку, накопленную в прибавке урожая, полученной за счёт
внесения минеральных и органических удобрений.
Vfo = 14 · 0,2
· 18,31 · 100 = 5127 МДж/га
Количество внесённых под культуру
удобрений берём из таблицы 6. Это N30 P30 K30.
Энергозатраты на производство и
применение удобрений рассчитывается умножением доз удобрений по д.в. и навоза в
килограммах на энергозатраты на 1 единицу.
АО = (30 · 36,8)+(30 ·
12,6)+(30 · 8,3) = 3231МДж.
Энергетическая эффективность
применения удобрения равна:
Так как средняя энергетическая
эффективность по севообороту больше единицы (1,57 > 1), то применение
удобрений эффективно и обосновано.
ВЫВОДЫ
1. Район
расположения хозяйства ЗАО «Кубань» хорошо обеспечен теплом для выращивания
большинства сельскохозяйственных культур. К неблагоприятным факторам относятся
такие как сильные ветры, суховеи, недостаток влаги, что указывает на
необходимость применения мероприятий по сохранению и накоплению влаги в почве,
разработке и внедрению мероприятий по защите почв от ветровой эрозии.
2. На
черноземах обыкновенных в первом минимуме находится фосфор. Поэтому
предпочтение следует отдавать фосфорным удобрениям.
3. Система
удобрений разрабатывается с учетом целого ряда условий, влияющих на
эффективность удобрений: биологических особенностей питания растений,
почвенно-климатических ресурсов, агрохимических свойств удобрений, совместного
внесения органических и минеральных удобрений, агротехнических условий, влияния
севооборота на эффективность удобрений, материально-технических и экономических
условий. В севообороте используются органические и минеральные удобрения в
соотношении N:Р:К=1:1:0,7.
4. Вносятся
удобрения под основную, припосевную обработку и подкормки. Поэтому предпочтение
следует отдавать фосфорным удобрениям. В среднем на 1 га пашни севооборота
планируется: N-71 кг/га; Р2О5-61кг/га;
К2О-49 кг/га, навоза 10т.
5. Из
таблицы 9 видно, что отрицательный баланс складывается по азоту(-15кг/га) и по
калию(-239кг/га), соответственно 88% и 72%, но учитывая, что чернозем
обыкновенный содержит достаточное количество калия, то на данном этапе снижение
калия в почве можно допустить. По фосфору наблюдается положительный баланс
веществ, что составляет 181%.
6. Для
повышения плодородия почв необходимы мероприятия:
правильная агротехника в зависимости от с.-х.
культуры;
внесение органического удобрений в дозе 8-10
т/га и минеральных удобрений в зависимости от с.-х. культуры;
сохранение и сбережение влаги путем почвозащитного
севооборота и снегозадержание.
7. Так
как средняя энергетическая эффективность по севообороту больше единицы (1,57
> 1), то применение удобрений эффективно и обосновано.
СПИСОК ИСПОЛЬЗУЕМЫХ
ИСТОЧНИКОВ
1. Куркаев В.Т., Шеуджен А.Х. Агрохимия.
Майкоп, 2000.
. Методические указания кафедры.
. Практикум по агрохимии. Под ред.
Ягодина Б.А. М.: 1987.
. Симакин А.И. Плодородие почв, удобрение
и урожай. Краснодар, 1988.
. Система земледелия в Краснодарском крае
на 1990-1995 годы и на период до 2000 года. Рекомендации. - Краснодар, 1990.
. Система удобрения основных полевых
культур. Краснодар, 2001.
. Справочник агрохимика Кубани / Под ред.
Э.К. Эйсерта. - Краснодар: Кн. Изд-во, 1987.
. Шеуджен А.Х. и др. Питание и удобрение
зерновых, зернобобовых и технических культур. Майкоп, 2004.
. Шеуджен А.Х., Куркаев А.Т., Котляров
Н.С. Агрохимия. Майкоп. 2006.
. Ягодин Б.А., Жуков Ю.П., Кобзаренко
В.И. Агрохимия, М.: 2002.