Развитие технологий передачи данных

  • Вид работы:
    Курсовая работа (т)
  • Предмет:
    Информатика, ВТ, телекоммуникации
  • Язык:
    Русский
    ,
    Формат файла:
    MS Word
    1,93 Мб
  • Опубликовано:
    2013-11-15
Вы можете узнать стоимость помощи в написании студенческой работы.
Помощь в написании работы, которую точно примут!

Развитие технологий передачи данных

Исходные данные

. Показатель преломления сердцевины ОВ n1=1,476.

. Показатель преломления оболочки ОВ n2=1,472.

. Длина волны .

. Оконечные пункты г. Курган, г. Омск. (вариант 15).

Введение

Развитие технологий передачи данных требует все большей скорости и защищенности линий передач. В современное время традиционные линии связи уже начинают уступать более новым и качественным, к которым относятся оптоволоконные сети.

Все преимущества, которые имеют оптоволоконные сети, обусловлены особенностями передачи сигнала в оптическом волокне.

Главной особенностью оптоволоконных сетей можно назвать высокую пропускную способность, которая достигает Терабит в секунду. При этом, такие линии связи имеют затухание светового сигнала в волокне на минимальном уровне, что позволяет прокладывать линии связи, протяженностью около 100 км без установки дополнительных ретрансляторов. При стандартном способе передачи сигналов, из-за их затухания сигнала, по всей протяженности линии связи через каждые 40 -80км. следует устанавливать ретрансляторы. При применении оптоволоконных линий промежутки между ретрансляторами увеличиваются в несколько раз, что является экономично выгодным. Также выгодно и использование при регенерации сигнала оптических усилителей, с помощью которых можно избежать двойного преобразования сигнала и уменьшить стоимость развертки сети и передачи данных.

Имеется разные технологии построения оптических сетей: PDH и SDH.

Основным отличием системы SDH от системы PDH является переход на новый принцип мультиплексирования. Система PDH использует принцип плезиохронного (или почти синхронного) мультиплексирования, согласно которому для мультиплексирования, например, четырех потоков Е1 (2048 кбит/с) в один поток Е2 (8448 кбит/с) производится процедура выравнивания тактовых частот приходящих сигналов методом стаффинга. В результате при демультиплексировании необходимо производить пошаговый процесс восстановления исходных каналов. Например, во вторичных сетях цифровой телефонии наиболее распространено использование потока Е1. При передаче этого потока по сети PDH в тракте ЕЗ необходимо сначала провести пошаговое мультиплексирование Е1-Е2-ЕЗ, а затем - пошаговое демультиплексирование ЕЗ-Е2-Е1 в каждом пункте выделения канала Е1.

В системе SDH производится синхронное мультиплексирование/демультиплексирование, которое позволяет организовывать непосредственный доступ к каналам PDH, которые передаются в сети SDH. Это довольно важное и простое нововведение в технологии привело к тому, что в целом технология мультиплексирования в сети SDH намного сложнее, чем технология в сети PDH, усилились требования по синхронизации и параметрам качества среды передачи и системы передачи, а также увеличилось количество параметров, существенных для работы сети. Как следствие, методы эксплуатации и технология измерений SDH намного сложнее аналогичных для PDH.

1. Выбор и обоснование трассы ВОЛП. Схема трассы

Скорости передач иерархии SDH представлены в таблице 1.1.

Таблица 1.1 - Скорости передач иерархии SDH

Уровень SDH.

Скорость передачи, Мбит/с

STM-1

155,520

STM-4

622,080

STM-8

1244,160

STM-16

2487,320

STM-64

9953

STM-256

39810


Типовые используемые топологии: кольцо, плоское кольцо, цепь, ячеистая топология.

Рисунок 1.1 - Пример первичной сети, построенной на технологии SDH

Для заданного региона (участок Курган-Омск) необходимо обеспечить доступную и надежную магистральную связь. Использование технологии SDH и применение оптического волокна позволит обеспечить эти условия.

Проектируемая трасса Курган-Омск находится в Курганской и Омской областях и является магистральной. Рассмотрим подробнее инфраструктуру областей, а также г. Кургана и г. Омска, в которых будут находится оконечные пункты линии.

1.1 Курганская область

Курганская область - субъект Российской Федерации, входит в состав Уральского федерального округа. Население - 911 тыс. (2010).

Рельеф Курганской области в основном равнинный, со слабым наклоном на северо-восток (абсолютные высоты от 120 до 200 м). Понижения от нескольких квадратных метров до десятков га, глубиной от 20-30 см до 10 м и более, большей частью заняты водой, образуя озёра.

Климат резко-континентальный, характерны суровые холодные малоснежные зимы и очень жаркое лето. Средняя температура января составляет −18 °C, средняя температура июля +20 °C. Выпадает примерно 400 мм осадков в год. Среднегодовая скорость ветра составляет 3,2 м/сек, преобладают южное и юго-западное направления ветра.

На базе эвакуированных в годы Великой Отечественной войны 16 предприятий из западных областей страны стала формироваться местная промышленность. Затем появились завод деревообрабатывающих станков, дорожных машин, «Курганский завод колёсных тягачей им. Д. М. Карбышева» (ныне Концерн «Русич»), Катайский насосный завод, Шадринские предприятия - автоагрегатный завод и «ШЗТМ», телефонный завод и другие. После войны в области были построены крупные предприятия - Курганский машиностроительный завод, объединение «АК Корвет», заводы «Химмаш» и автобусный завод «КАВЗ» и комбинат медицинских препаратов «Синтез».

1.2 Курган

Курган - город в России, имеет статус городского округа, административный центр Курганской области, культурный, промышленный, транспортный, торговый и деловой центр Урала. Город расположен на реке Тобол, в 1973 км от Москвы.

Численность населения Кургана (по оперативным данным о числе заполненных в ходе Всероссийской переписи населения переписных анкет) 333 640 чел. (2010) в границах города. Курган и его пригороды формируют Курганскую городскую агломерацию с населением около 400 тыс. чел. (2010). Город занимает площадь 390 км².

Наибольшую долю ВРП, прибыли, налоговых поступлений Курганской области обеспечивают промышленные предприятия: машиностроения и металлообработки, электроэнергетики, сельского хозяйства и пищевой промышленности. Их удельный вес в объеме промышленного производства составляет - 85,4%.

Многие ныне действующие заводу Кургана были эвакуированы во время ВОВ, в то время в Курган эвакуировали 15 промышленных предприятий. Так во вновь созданный завод «Уралсельмаш» (ныне «Кургансельмаш») вошли предприятия из Гомеля, Кировограда, Москвы. Возобновила свою работу в Кургане, Трикотажная фабрика (Одесса), Черкесский машиностроительный завод (впоследствии «КЗДС»), Кременчугский завод Главстройдормаша (позднее «Кургандормаш»).

1.3 Омская область

Омская область - субъект Российской Федерации на юго-западе Сибири. Площадь - 141 100 км². Население - 1 977 450 человек. Плотность населения - 14,3 чел/км². Удельный вес городского населения - 69,3 %. Находится на 25-м месте по численности населения среди всех субъектов Российской Федерации.

В области развита промышленность. В 2009 году объём производства в обрабатывающих отраслях Омской области составлял 343 млрд рублей, в добыче полезных ископаемых - 964 млн рублей, в производстве и распределении электроэнергии, газа и воды - 30 млрд рублей. По объёму производства в обрабатывающих отраслях область занимает 2-е место среди регионов СФО и 13-е место среди субъектов РФ. За 2000-2009 годы индекс промышленного производства в области вырос в 2,3 раза.

Важнейшей транспортной магистралью является Транссибирская магистраль, которая соединяется с Средне-Сибирской железной дорогой.

1.4 Омск

Омск - крупный город в России, административный центр Омской области. Население - 1,154 млн человек по переписи 2010 в границах муниципального образования (2-е место в Сибири, 7-е место в РФ).

Крупный транспортный узел. Крупный промышленный центр: металлургия, лёгкая, пищевая, полиграфическая, химическая, нефтехимическая и авиакосмическая промышленность.

1.5 Выбор трассы ВОЛП

Трассу для прокладки оптического кабеля (ОК) выбирают исходя из условий:

минимальной длины между оконечными пунктами;

выполнения наименьшего объема работ при строительстве;

возможности максимального применения наиболее эффективных средств индустриализации и механизации строительных работ;

удобства эксплуатации сооружений и надежности их работ.

В зависимости от конкретных условий, трасса ОК вне населенных пунктов выбирается на всех земельных участках, в том числе, в полосах отвода автомобильных и железных дорог, охранных и запретных зонах, а также на автодорожных и железнодорожных мостах, в коллекторах и тоннелях автомобильных и железных дорог.

Трассы магистральных и внутризоновых ОК проектируется, как правило, вдоль автомобильных дорог общегосударственного и республиканского значения, а при их отсутствии - вдоль автомобильных дорог областного и местного значения или, в отдельных случаях, вдоль железных дорог и продуктопроводов.

Выбор трассы прокладки магистрального или внутризонового ОК на загородном участке следует проводить в такой последовательности:

по географическим картам для заданного территориального района или атласу автомобильных дорог необходимо наметить возможные варианты трасс;

сравнить варианты по таким показателям: длина, удаление от дорог, количество переходов через препятствия, удобства строительства и эксплуатации;

выбор вариантов трассы с указанием масштаба, наиболее крупных и важных коммуникаций (автодороги, железные дороги), населенных пунктов, через которые проходит трасса.

выполнить чертеж прокладки ОК без масштаба. На чертеже указать удаление от важных коммуникаций, общую длину трассы и кабеля по участкам;

При выборе трасс для прокладки ОК необходимо учитывать:

минимальное количество промежуточных пунктов, требующих дистанционное питание или питающихся от автономных источников тока;

для внутризоновых сетей - максимальное использование существующих предприятий связи, имеющих гарантированные источники электропитания, для размещения оборудования промежуточных пунктов.

При расчете потребного количества прокладываемого ОК в проекте следует предусмотреть запас с учетом неровности местности, укладки кабелей в грунт, выкладки в котловане, колодцах и т.д.

Основными способами прокладки кабеля при создании ВОЛС являются:

Прокладка кабеля в земле (в траншею; без траншеи, при помощи ножевых кабелеукладчиков; в полиэтиленовых трубах);

Прокладка в кабельной канализации (в канале; по защитным трубам, проложенным в канале);

Подвеска оптического кабеля (на опорах ЛЭП; на опорах освещения, электротранспорта и т.д.).

Прокладка внутри зданий;

Прокладка через водные препятствия.

Для выбора более оптимального кабеля произведем сравнение нескольких трасс:

Вдоль автомобильной дороги между Курганом и г. Ишимом, затем вдоль железной дороги между Ишимом и Омском. Прокладка кабеля в грунт

Вдоль автомобильной дороги между Курганом и Омском через Казахстан. Прокладка кабеля в грунт

Вдоль автомобильной дороги между Курганом и Ишимом, затем вдоль автодороги между Ишимом и Омском. Прокладка кабеля в грунт.

Таблица 1.2 - Характеристика вариантов трассы

Характеристика трассы

Ед. изм.

Кол-во ед. по вариантам.



1 вариант

2 вариант

3 вариант

Общая протяжённость трассы: - вдоль автомобильной дороги. - вдоль грунтовых дорог - вдоль железнодорожных дорог

км

580 310 0 270

510 510 0 0

620 620 0 0

Способы прокладки кабеля: - кабелеукладчиком - вручную - подвеска на ЛЭП - в канализации

км

572 0 0 8

502 0 0 8

612 0 0 8

Количество переходов: - через судоходные реки; - через несудоходные реки; - через железные дороги; - через автомобильные дороги.

1перех.

27 0 18 1 8

21 0 15 1 5

29 0 19 1 9


Рис. 1.2

Самым оптимальным вариантом из представленных является первый. Во втором варианте прокладка кабеля частично происходит на территории зарубежья, что существенно осложнит строительство линии. В третьем случае длина линии получается существенно больше, чем в первом. Поэтому, несмотря на то, что необходимо дополнительное согласование с ОАО «РЖД» (что является недостатком данного варианта) выбран именно первый вариант строительства оптической линии связи.

2. Расчет необходимого числа каналов

Число каналов, связывающих заданные оконечные пункты, в основном зависит от численности населения в этих пунктах и от степени заинтересованности отдельных групп населения во взаимосвязи.

Численность населения в любом областном центре и в области целом может быть определена на основании статистических данных последней переписи населения. Количество населения в заданном пункте с учетом среднего прироста населения определяется по формуле:



где  - народонаселение в период проведения переписи, чел.

 - средний годовой прирост населения в данной местности, % (принимается по данным переписи 2-3%). Возьмем прирост равным 2,5%, т.к. в последнее время в данном регионе наблюдается незначительный прирост населения,  - период, определяемый как разность между назначенным годом перспективного проектирования и годом проведения переписи населения. Год перспективного проектирования в данном курсовом проекте принимается на 5 лет вперёд по сравнению с текущим временем.

Следовательно,



где  - год составления проекта,

 - год, к которому относятся данные.


Для Курганской области:

Население Курганской области на 2010 год приблизительно равно 911 тыс. человек.


Для Омской области:

Население в Омской области на 2010 год равно 1 977 450 человек.


Степень заинтересованности отдельных групп населения во взаимосвязи, вообще говоря, зависит от политических, экономических, культурных и социально-бытовых отношений между группами населения, районами и областями. Практически эти взаимосвязи выражаются через коэффициент тяготения f1, который, как показывают исследования, колеблется в широких пределах (от 0,1 до 12%). Примем f1 = 5%.

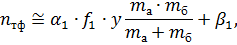
Для расчёта телефонных каналов используем приближенную формулу:



где  и  - постоянные коэффициенты, соответствующие фиксированной доступности и заданным потерям, обычно потери задают в 5%, тогда , ,

- коэффициент тяготения,   (5%),

 - удельная нагрузка, т.е. средняя нагрузка, создаваемая одним абонентом,   Эрл,

 - количество абонентов, обслуживаемых оконечными станциями АМТС соответственно в пунктах А (Курган) и Б (Омск).

Количество абонентов, обслуживаемых той или иной оконечной АМТС, определяется в зависимости от численности населения, проживающего в зоне обслуживания. Принимая средний коэффициент оснащенности населения телефонными аппаратами равным 0,38 количество абонентов в зоне АМТС можно определить по формуле:



Для Курганской области (АМТС А):


Для Омской области (АМТС Б):


Общее число каналов:


Таким образом, число каналов телефонных, необходимых для обеспечения телефонной связи в направлении Курган-Омск:



где  - число двухсторонних каналов для телефонной связи;

 - для телеграфной связи;

 - для передачи проводного вещания;

 - для передачи данных;

 - для передачи газет;

 - транзитные каналы.

Поскольку число каналов для организации связи различного назначения может быть выражено через число телефонных каналов, т.е. каналов ТЧ, например 1 ТГ кан. = 1\24 ТФ кан.; 1 ПВ кан. = 3 ТФ кан. и т.д., целесообразно общее число каналов между заданными пунктами выразить через телефонные каналы. Для курсового проекта можно принять


Тогда общее число каналов рассчитывают по упрощенной формуле



где  - число двухсторонних телефонных каналов.


Для Internet требуются отдельные потоки. Примем количество потоков Е1, выделяемых для сети Internet, равным 100. Для телевидения - 5 потоков Е3. Для сотовых операторов выделим 100 потоков Е1. Для аренды органами государственного управления, аренды различными федеральными службами и другими лицами выделим 40 потоков E1. Для транзита на населенные пункты в связи с федеральной программой по социализации сел выделим 40 потоков E1

В итоге имеем:

5Е3 + 60Е1 +100Е1 + 100Е1 + 40Е1 + 40Е1 = 5*34368 кбит/с + 340*2048 кбит/с= 868,16 Мбит/с.

Следовательно, нам необходимо использовать приемо-передающую аппаратуру SDH иерархии STM-16.

3. Расчет параметров оптического кабеля

3.1 Расчет апертуры и числа мод

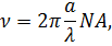
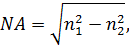
Зная значения показателей преломления сердцевины и оболочки ОВ, найдем числовую апертуру:


где  - показатель преломления сердцевины ОВ;

 - показатель преломления оболочки ОВ.


Отсюда найдем значение апертурного угла:


Значение нормированной частоты рассчитывается по формуле:


где  - радиус сердцевины ОВ, мкм;

 - длинна волны, мкм.

Приведем далее расчет для одномодового ступенчатого оптического волокна: Для одномодовых волокон


Следовательно, волокно работает в многомодовом режиме при данных условиях.

3.2 Расчет затухания

Собственное затухание оптоволокна зависит от ,  и  , и рассчитывается по формулам:



где  затухание поглощения, зависит от чистоты материала и обуславливается потерями на диэлектрическую поляризацию.



где - тангенс диэлектрических потерь ОВ, принимающий значения в диапазоне . В расчетах примем, что  - длина волны, км.


 - затухание рассеивания, обусловленное неоднородностями материала и тепловыми флуктуациями показателя преломления;


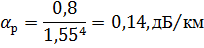
де  - коэффициент рассеяния. Возьмем в расчетах что


 - затухание примеси, возникает за счет наличия в кварце ионов различных металлов и гидроксильных групп. В окне прозрачности . Следовательно,



Кабельное затухание - обусловлено условиями прокладки и эксплуатации оптических кабелей.

Кабельное затухание рассчитывается как сумма 7 составляющих:



где  - затухание вследствие термомеханических воздействий на волокно в процессе изготовления кабеля;

 - затухание вследствие температурной зависимости коэффициента преломления ОВ;

 - затухание на микроизгибах ОВ, на одном микроизгибе

 - затухание вследствие нарушения прямолинейности ОВ;

 - затухание вследствие кручения ОВ вокруг оси;

 - затухание из-за неравномерности покрытия ОВ;

 - затухание вследствие потерь в защитной оболочке.

Для 15-го варианта

Расчетное суммарное затухание будет:



Для меньших длин волн затухание в волокне будет больше, так как и затухание на поглощение и затухание на рассеяние прямо-пропорциональны длине излучаемой волны.

3.3 Расчет дисперсии

Дисперсия - рассеивание во времени спектральных или модовых составляющих оптического сигнала.

Полная дисперсия рассчитывается как сумма модовой и хроматической дисперсии.



Где - модовая дисперсия, учитывается только для многомодовых волокон.

 - хроматическая дисперсия, которая в свою очередь состоит из материальной, волноводной и профильной дисперсии.



где  - материальная составляющая хроматической дисперсии.

Материальная дисперсия обусловлена тем, что показатель преломления сердцевины изменяется с длинной волны.



где  - удельная дисперсия материала, ,

 - ширина спектра источника излучения, нм:

ППЛ

СИД


Для  удельная дисперсия материала


 - волноводная составляющая хроматической дисперсии.

Волноводная дисперсия - обусловлена процессами внутри моды и характеризуется зависимостью коэффициента распространения моды от длинны волны:



где  - удельная волноводная дисперсия, ,

Для  удельная волноводная дисперсия


 - профильная составляющая хроматической дисперсии.

Профильная дисперсия проявляется в реальных ОК и обусловлена отклонением продольных и поперечных геометрических размеров и форм реального ОВ от номинала.



где  - удельная профильная дисперсия, ,

Для  удельная профильная дисперсия


Хроматическая дисперсия будет:


Для одномодовых оптических волокон результирующая дисперсия будет равна:


Отрицательное значение дисперсии означает, что будет наблюдаться сужение импульса.

У многомодовых волокон появляется модовая составляющая дисперсии. Для градиентных оптических волокон:



где  - относительная разность показателей преломления.



Для многомодовых оптических волокон получаем:


4. Выбор системы передачи

Для обеспечения связи в выбранном регионе необходимо оборудование SDH уровня STM-16. В настоящее время существует множество фирм, производящих оптические мультиплексоры. Рассмотрим некоторые из них.STM16 - Оптический мультиплексор высотой 5U уровня STM-1/4/16 для передачи до 190 потоков Е1 + Ethernet (10/100/1000-Base-T)

Производитель - ОАО «Микролинк-связь»

Мультиплексор SDH уровня STM-1/4/16: 1655AMU

Производитель Alcatel-Lucent

Модульный мультиплексор с поддержкой Gigabit Ethernet over SDH и защитой матрицы кроссконнектов.

Магистральные мультиплексоры серии OMS 1600 Ericsson

Производитель «Marconi». Система OMS 1600 представляет собой компактную мультисервисную транспортную платформу, предназначенную для предоставления широкого спектра услуг TDM и передачи данных. Высокая плотность портов, расширенные возможности коммутации и модульная архитектура позволяют операторам удовлетворять все возрастающие потребности заказчиков. Отдельный буфер данных устраняет зависимость от SDH-коммутатора и позволяет устанавливать в OMS 1600 модули расширения оптимизированные исключительно для передачи данных. Благодаря этому OMS 1600 можно использовать и как мультиплексор ввода-вывода сети SDH, и как коммутатор Ethernet.2500, STM-1/4/16

В данном проекте будет использовано оборудование компании «NetRing». Существует представительство компании в городе Омске, что существенно облегчит перевозку оборудования на места проектирования.

Компанией «NetRing» производится мультиплексорное оборудование серий NetRing 2500, STM-1/4/16.

Рисунок 4.1 - NetRing 2500, STM-1/4/16

Оптический мультисервисный узел NG SDH NetRing 2500 служит для построения и развития корпоративных сетей и сетей MAN уровней STM-1/STM-4/STM-16. Являясь бюджетным решением, устройство реализует доставку услуг SDH и передачу данных нового поколения - включая ATM, Fast Ethernet и Gigabit Ethernet, и демонстрирует быстроту и эффективность работы. Мультисервисный узел NetRing 2500, исполненный в виде корзины, совмещает в себе функции мультиплексора ввода-вывода (ADM), системы кросс-коннекта (DCS), коммутации и взаимодействия с сетями Ethernet и ATM с поддержкой технологии надежной кольцевой передачи пакетов (RPR). Подобная многофункциональная интеграция разнообразных функций в одном устройстве значительно упрощает вопрос построения сети и ее последующего технического обслуживания.2500 использует распределенную архитектуру кросс-коннекта, которая обеспечивает выгодное соотношение функциональности и стоимости оборудования. Благодаря широким возможностям применения, NetRingTM 2500 подходит для сетей LAN, MAN, сетей доступа и опорных сетей. Распределенная архитектура кросс-коннекта мультисервисного узла позволяет расширять сеть по мере роста в зависимости от количества требуемых оптических интерфейсов и скоростей.2500 поддерживает непрерывную и виртуальную конкатенацию на уровне VC-12/VC-4/VC-3. Устройство имеет встроенную поддержку услуг Ethernet, использует GFP протокол для преобразования услуг Fast Ethernet/Gigabit Ethernet в NxVC-12/VC-4/VC-3, обеспечивает Layer 2 коммутацию, механизмы выравнивание трафика (traffic shaping) и LCAS. Мультисервисная платформа NetRing 2500 также обеспечивает передачу услуг ATM, предоставляя интерфейсы STM-1 и инверсного мультиплексирования IMA.

Мультиплексор обеспечивает разнообразные механизмы защиты и резервирования: SDH 1+1 MSP, 1:N MSP, 2/4F Unidirectional MS-SPRing, SONET 1+1 APS, UPSR, 2xFiber BLSR и VC-12/VT1.5 Path Protection. Система реализует горячее резервирование модулей управления и синхронизации по схеме 1+1.

Таблица 4.1 - Характеристики NetRing 2500



Параметры оптического интерфейса STM-16

Оптические интерфейсы используются в СЦИ для внутристанционной (внутриобъектовой) и межстанционной связи. Определены 3 категории применения:- внутристанционные, с длинами менее 2 км,- короткие межстанционные с длинами примерно до 15 км,- длинные межстанционные, около 40 км в окне 1310 нм и около 60 км в окне 1550 нм.

В аппаратуре категорий I, S минимизируется стоимость, аппаратура категории L имеет более высокую стоимость, но обеспечивает максимальные длины регенерационных секций.

Параметры различных категорий применения для интерфейса STM-16 приведены в таблице 4.2.

В курсовом проекте будем использовать интерфейс L-16.2, потому что он обеспечивает максимальные длины регенерационных секций, предназначен для работы в третьем окне прозрачности (1550 нм), что удовлетворяет содержанию задания проекта.

Таблица 4.2 - Параметры STM-16

Цифровой сигнал

СТМ-16 в соответствии с рекомендациями G.707, G.958 Номинальная скорость передачи 2488.320 Мбит/с

Код применения

I-16

S-16.1

S-16.2

L-16.1

L-16.2

L-16.3

Рабочий диапазон длин волн, нм

1265-1360

1260-1360

1430-1580

1280-1335

1480-1580

1480-1580

Передатчик в эталонной точке S

Тип применения

MLM

SLM

SLM

SLM

SLM

SLM

Спектральные характеристики

Макс. среднеквадр. ширина спектра, нм

4

-

-

-

-

-

Макс. ширина спектра -20 дБ, нм

-

1

 1

1

 1

 1

Мин. подавление соседних мод, дБ

-

30

30

30

30

30

Средняя излуч. мощность, дБм максимальная минимальная

 3  10

0  5

0  5

0  5

 1  4

0  5

Коэффициент гашения, дБ

8,2

8,2

8,2

10

8,2

10

Оптический тракт между S и R

Затухание, дБ

0-7

0-12

0-12

10-20

10-20

10-20

Макс. дисперсия, пс/нм

12

нзд

-

нзд

1220

-

Мин. возвратные потери в т. S, дБ

24

24

24

24

24

24

Макс. отражение между S и R, дБ

 27

 27

 27

 27

 27

Приемник в эталонной точке R

Мин. чувствит, дБ

 18

 18

 18

 26

 26

 26

Мин. перегрузка, дБм

 3

0

0

 10

 9

 10

Макс. дополнительные потери ОТ, дБ

1

1

1

1

2

1

Макс. отражение приемника в т.R, дБ

 27

 27

 27

 27

 27

 27


Выбор оптического кабеля

Проектируемая трасса Курган-Омск проходит вдоль автодороги и железной дороги. При этом кабель прокладывается в грунт. Поэтому необходимо выбрать оптический кабель, предназначенный специально для прокладки в грунт.

На сегодняшний день существует множество фирм-производителей оптических кабелей. Среди них такие, как ОАО «Интегра кабель», ОАО «Электропровод», ООО «Еврокабель I», ЗАО «Москабель-Фуджикура» и другие.

В данном проекте будем использовать кабель компании «Интегра-Каблель». ИНТЕГРА-КАБЕЛЬ - известная марка волоконно-оптических кабелей связи. Производство и продажа кабелей под этой маркой были организованы в России в 2002г. Сегодня продукция поставляется по всей России, в Белоруссию и Казахстан, планируется выход на европейский рынок. В течение истории марки совершенствовалось производство, разрабатывались новые технические решения, развивались сервисные услуги. Это позволило занять нам лидирующие позиции на российском рынке. Сотни компаний доверяют нам, наш волоконно-оптический кабель в сетях всех крупных операторов связи РФ.

Существует официальный представитель в городе Новосибирске, что позволит уменьшить расходы на доставку кабеля к местам монтажа.

Для прокладки в грунт применяется кабель типа ИКБ...М.

Оптические кабели типа ИКБ... предназначены для прокладки в грунтах всех категорий.

Кабели этой группы можно использовать для прокладки по дну рек и водных преград, а также в кабельной канализации, на мостах и эстакадах. Линейка оптических кабелей связи для прокладки в грунт типа ИКБ... изготавливается по ТУ № 3587-004-95485862-2009 декларации о соответствии требованиям Минсвязи РФ кабеля ИКБ - №Д-КБ-1585 и ИКБЗ - №Д-КБ-1586. Ниже приведены технические характеристики кабеля ИКБ:

Таблица 4.3 - Технические характеристики кабеля ИКБ


1) Возможно увеличение волоконности кабеля до 864 за счет применения многоповивного сердечника, до 288 на основе конструкции с центральной трубкой,

) Кабели с растягивающим усилием более 20 кН изготавливаются с двойным повивом проволочной брони (стальных проволок), маркировка ИКБ2,

) 20 Дж для кабелей, прокладываемых в скальных грунтах,

) Возможно расширение рабочего диапазона температур от -60°С до +70°С.

Рисунок 4.2 - Структура кабеля ИКБ

Маркировка кабеля - ИКБ-М6П-Н36-8.0.

ИК - оптический кабель марки «Интегра-Кабель».

Б - тип защитного бронепокрова (повив из круглых стальных оцинкованных проволок).

М - тип сердечника (повив модулей).

- количество элементов повива сердечника.

П - тип осевого элемента сердечника кабеля (стеклопластиковый пруток).

Н - тип оптического волокна (одномодовое, ITU-T G.655).

- количество оптических волокон в кабеле.

.0 - максимально допустимое растягивающее усилие кабеля, в кН.

Таблица 4.4 - Характеристики оптических волокон


5. Расчет длины участка регенерации ВОЛП

При проектировании высокоскоростных ВОСП должны рассчитываться отдельно длина участка регенерации по затуханию () и длина участка регенерации по широкополосности (), так как причины, ограничивающие предельные значения  и , независимы.

В общем случае необходимо рассчитывать две величины длины участка регенерации по затуханию:

 - максимальная проектная длина участка регенерации;

 - минимальная проектная длина участка регенерации.

Для оценки величины длин участка регенерации могут быть использованы следующие выражения:





где  и - максимальное и минимальное значения перекрываемого затухания аппаратуры ВОСП, обеспечивающее к концу срока службы значение коэффициента ошибок не более ;

 - километрическое затухание в оптических волокнах кабеля, ;

 - среднее значение затухания мощности оптического излучения неразъемного оптического соединителя на стыке между строительными длинами кабеля на участке регенерации, ;

 - среднее значение строительной длины кабеля на участке регенерации,;

 - затухание мощности оптического излучения разъемного оптического соединителя, ;

 - число разъемных оптических соединителей на участке регенерации;

 - результирующая дисперсия одномодового оптического волокна, ;

 - ширина спектра источника излучения, ;

 - широкополосность цифровых сигналов, передаваемых по оптическому тракту, ;

 - системный запас ВОСП по кабелю на участке регенерации, .

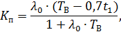
 определяется как разность между минимальным уровнем мощности оптического излучения на передаче и уровнем чувствительности приемника для ВОСП. Для интерфейса L-16.2 оборудования NetRing 2500:


Тогда:


 определяется как разность между максимальным уровнем мощности оптического излучения на передаче и уровнем перегрузки приемника для ВОСП.

,

, (для средних условий эксплуатации),

 (для третьего окна прозрачности - 1550 нм),

 (для 15 варианта),

 (для 15 варианта),

 (для узкополосного лазера, применяемого при передаче на скорости 2.5 Гбит/с, ширина спектра излучения не превышает 0,1 нм. В данном проекте пример ее равной 0,1 нм),


 (по заданию),

, (для третьего окна прозрачности).

По формуле рассчитаем максимальную длину РУ для интерфейса L-16.2:


Минимальную длину РУ рассчитаем по формуле:


Длину участка регенерации по широкополосности рассчитаем по формуле при использовании интерфейса L-16.2:


Условие  выполнено, значит можно пользоваться выбранной аппаратурой.

Схема организации связи на основе выбранной СП

Общая протяженность трассы Курган-Омск составляет 580 км, следовательно необходимо устанавливать регенерационные пункты.

В соответствии с выбранным оборудованием и выбранным кабелем, получили минимальную длину регенерационного участка Lαmin=43,01 км, максимальная длина регенерационного участка Lαmax=76,56 км.

Для поддержания оптимального уровня сигнала и выделения потоков населенным пунктам устанавливаем 2 ОРП в следующих населенных пунктах:

ОРП-1 с. Макушино.

ОРП-2 с. Октябревка.

И один НРП между ОРП-1 и ОРП-2.

На всей трассе прокладывается оптический кабель марки ИКБ-М6П-Н36-8.0.

На рисунке 5.1 входы мультиплексоров предназначены для:

) Е1:

..60 - для телефонной связи;

..160 - для интернета;

..260 - для сотовых операторов;

..300 - для аренды;

..340 - для выделения каналов населенным пунктам.

) Е3: 1-5 - для ТВ.

Рисунок 5.1

6. Расчет параметров надежности ВОЛП

Требуемая быстрота и точность передачи информации средствами электросвязи обеспечиваются высоким качеством работы всех звеньев сети электросвязи: предприятий, линий связи, технических средств. Обобщающим показателем работы средств связи является надежность.

Надежность - комплексное свойство, которое в зависимости от условий строительства и эксплуатации, может включать долговечность, ремонтопригодность и сохраняемость, либо определенное сочетание этих параметров. Надежность ОК - свойство сохранять во времени в установленных пределах значения всех параметров, характеризующих способность выполнять требуемые функции в заданных режимах и условиях применения.

При проектировании должна быть произведена оценка показателей надежности. В курсовом проекте необходимо рассчитать коэффициент готовности () и время наработки на отказ ( ).

Коэффициент готовности кабеля (ВОЛП) - вероятность того, что кабель (ВОЛП) окажется в работоспособном состоянии в произвольный момент времени, кроме планируемых периодов, в течение которых он подвергается профилактическому контролю.

Наработка на отказ - среднее значение времени наработки между двумя последовательными отказами.

Время восстановления ОК - продолжительность восстановления работоспособного состояния двух или нескольких ОВ.

Требуемые показатели надежности для магистральной первичной сети (СМП):

Коэффициент готовности >0,982;

Среднее время между отказами >230 часов;

Время восстановления <4,24 часов.

Для оборудования линейных трактов на ВзПС и СМП должно быть:

время восстановления необслуживаемых регенерационных пунктов (НРП)-  < 2,5 час (в том числе время подъезда-2 часа);

время восстановления обслуживаемых регенерационных пунктов (ОРП, ОП) - < 0,5 час;

время восстановления оптического кабеля ОК- < 10 час (в том числе время подъезда 3,5 часа)

Расчет параметров надежности в курсовом проекте будем производить для канала ОЦК на перспективной цифровой сети.

Среднее число (плотность) отказов ОК за счет внешних повреждений на 100 км. кабеля в год:


Тогда интенсивность отказов ОК за 1 час на длине трассы ВОЛП () определится как:



где  - длина проектируемой магистрали;

 - количество часов в году.


При существующей на эксплуатации стратегии восстановления, начинающегося с момента обнаружения отказа (аварии) коэффициент простоя (неготовности) определяется по формуле:



где  - время восстановления. Для СМП время восстановления <4,24 часов.


А коэффициент готовности:



При длине канала (магистрали)  не равной среднее время между отказами определяется как:



где  - длина проектируемой ВОЛП, км;


Для случаев эксплуатации ВОЛП на основе оптимальной стратегии восстановления, начинающегося с обнаружения предотказного состояния объектов технической эксплуатации (ОТЭ), т.е. повреждения, необходимо для инженерных расчетов показателей надежности использовать выражение:



где  - время подъезда.


Сравнивая полученные значения параметров надежности с нормативными показателями можно сделать вывод о надежности работы средств связи данного проекта.

7. Составление сметы на строительство и монтаж проектируемой ВОЛП

Смета на строительство является основным документом, по которому осуществляется планирование капитальных вложений, финансирование строительства и расчета между подрядчиком и заказчиком за выполнение работы. Пересчет сметной стоимости в цены текущего года осуществляется по коэффициентам пересчета, которые являются постоянно меняющимися и согласовываются между заказчиком и подрядчиком.

оптоволоконный сеть дисперсия надежность

Таблица 7.1 - Локальная смета на прокладку и монтаж оптического кабеля

Наименование работ и материалов

Един. изм.

Количество на всю линию

Стоимость материалов и работ, руб

Зарплата, руб.




На ед. изм.

На всю линию

На ед. изм.

На всю линию

1

2

3

4

5

6

7

Кабель

Км

602,88

750

452 160

-

-

Прокладка кабеля кабелеукладчиком (100%)

км

572

66

37 752

17,01

9 729,72

Прокладка кабеля вручную (0%)

км

0

630

0

580

0

Протягивание кабеля в канализации

км

8

137

1 096

74,2

593,6

Устройство переходов через шоссейные и железные дороги

Один переход

9

275

2 475

139

1 251

Устройство переходов через реки шириной: До 100 м До 200 м

Один переход

18 0

80,6 105

1 450,8 0

21 36

378 0

Монтаж, измерение и герметизация муфт

Шт.

151

288

43 488

102

15 402

Итого

538 421,8


27 354,32

Заработная плата

27 354,32

Накладные расходы на заработную плату 87% от S2

23 798,26

Итого (S1+1,87S2)

589 574,38

Плановое накопление 8% от S3

47 165,95

Всего по смете (1+0,08) S3

636 740,33


Необходимо также учитывать стоимость мультиплексорного оборудования. Так например, Модуль интерфейса NetRing 2500 L-16.2 будет стоить порядка 78000 руб.

Для расчета локальной сметы необходимо определить длину кабеля с учетом эксплуатационного запаса(g).

В курсовом проекте примем g=4%, тогда длина кабеля определится следующим образом:



Рекомендуемое процентное соотношение в способах производства работ по прокладке кабеля:

бестраншейная прокладка - 90%;

прокладка в траншею, разрабатываемую вручную -10%;

прокладка в канализации - 2 ¸ 4 км на город.

В городах Кургане и Омске на прокладку в канализации отводится по 4 км.


Таблица 7.2 - Объектная смета на строительство линейных сооружений на участке ОП - ОП.

Наименование работ и затрат

Сметная стоимость, руб

1

Прокладка и монтаж ОК

636 740,33

2

Временные здания и сооружения, 3.2%

20 375,69

3

Зимнее удорожание, 4.5%

28 653,31

4

Непредвиденные расходы, 1.5%

9 551,1

Итого по смете

695 320,44


Общее число муфт:



где  - количество муфт по трассе,



где  - протяженность ВОЛП на загородном участке,

 - строительная длина ОК, прокладываемая на заданном участке.


где  - количество муфт в канализации,



где  - протяженность кабельной канализации в каждом населенном пункте на загородном участке


Найдем стоимость каналокилометра:



Стоимость 1 километра трассы:



Заключение

В данном курсовом проекте в соответствии с заданием спроектирована магистральная волконно-оптическая линия передачи на участке Курган-Омск длиной 270 км.

В соответствии с картой региона проектирования была проложена трасса ВОЛП.

На основе данных о демографическом состоянии в регионе было рассчитано необходимое число каналов, выбрано подходящее мультиплексорное оборудование, рассчитаны параметры оптического кабеля. По рассчитанным параметрам, а также исходя из требований и рекомендаций МСЭ-Т был выбран тип оптического кабеля.

Построена схема организации связи с указанием расположения регенерационных пунктов. На схеме указаны назначения различных цифровых потоков, передаваемых по ВОЛП.

В заключение курсового проекта была рассчитана смета на строительство и монтаж ВОЛП.

Список источников

1.   Н.И. Горлов, А.В. Микиденко, Е.А. Минина. Оптические линии связи и пассивные компоненты ВОСП: Учебное пособие / СибГУТИ: Новосибирск, 2003 г.

2.      Н.И. Горлов, Ж.А. Михайловская, Л.В. Первушина. Проектирование магистральных и внутризоновых ВОЛП: Методические указания по курсовому проектированию / СибГУТИ: Новосибирск, 2002 г.

.        Конспект лекций по дисциплине «Направляющие сети электросвязи» .

.        http://maps.yandex.ru/ - географические карты.

.        http://www.ofssvs1.ru/- сайт ЗАО «ОФС Связьстрой-1 ВОКК».

.        http://www.olencom.ru/- сайт фирмы «Оленком», поставщика оборудования NetRing 2500.

.        http://ru.wikipedia.org/ - информация о Курганской и Омской областях и городах Кургане и Омске.

Похожие работы на - Развитие технологий передачи данных

 

Не нашли материал для своей работы?
Поможем написать уникальную работу
Без плагиата!
Без нейросетей!