Проектирование цифрового устройства
Курсовая
работа
Проектирование
цифрового устройства
Содержание
Введение
1. Способы построения процессорных
устройств
.1 ПУ со схемной логикой
.2 ПУ с программируемой логикой
.3
Факторы, влияющие на работоспособность ЦУ
.4 Риски, возникающие в процессе
работы ЦУ. Способы исключения сбоев в работе ЦУ
. Расчетная часть
.1 Разработка структурной схемы
цифрового устройства
2.2 Построение графа
функционирования ЦУ
.3 Кодирование состояний
.4 Состав таблицы функционирования
ЦУ
.5 Определение функций управления
триггерами и функций выходов комбинационного узла
.6 Разработка принципиальной
электрической схемы ЦУ
.7 Расчет периода следования
тактовых импульсов и тактовой частоты
Заключение
Литература
Введение
Цифровое устройство - техническое устройство или
приспособление, предназначенное для получения и обработки информации в цифровой
форме, используя цифровые технологии.
Цифровые устройства делятся на 3 основных вида:
1) По способу ввода и вывода
· последовательные устройства
(последовательно разряд за разрядом);
· параллельные (информация снимается
одновременно по всем разрядам);
· последовательно-паралельные
устройства.
) По принципу действия
· Комбинационные устройства (автоматы
без памяти). В них состояние выходных сигналов однозначно определяется только
действующей в настоящий момент времени комбинацией входных сигналов и не
зависит от значений переменных, действовавших на входах ранее. К таким
устройствам относятся кодеры, декодеры, мультиплексоры, демультиплексоры,
сумматоры, компараторы.
3) Последовательные или автоматы с памятью.
Выходные сигналы определяются не только действующей в настоящий момент времени
комбинацией входных сигналов, но и предыдущим состоянием устройства, зависимым
от входных переменных, действовавших на входах ранее. К ним относятся триггеры
и все устройства, построенные на триггерах: регистры, счетчики, ОЗУ, ПЗУ.
Цифровые (дискретные) автоматы (ЦА) - это
логические устройства, предназначенные для приема, хранения и преобразования
цифровой информации по некоторому алгоритму, способные переходить под действием
входных сигналов из одного состояния в другое и выдавать выходные сигналы.
Теорию автоматов подразделяют на абстрактную и
структурную. Структурная теория ЦА изучает общие приемы построения структурных
схем автоматов на основе элементарных автоматов. Абстрактная теория ЦА -
изучаются наиболее общие законы их поведения без учета конечной структуры (т.е.
способа построения) автомата и физической природы информации.
Значение выходных сигналов такого устройства
зависит не только от аргументов на входе в данный момент времени, но и от
предыдущего состояния автомата, которое фиксируется элементами памяти. В
качестве элементов памяти могут использоваться триггеры. Каждое внутреннее
состояние цифрового автомата определяется исходным состоянием триггеров и
последовательностью входных сигналов, действующих на входе в данный момент
времени, поэтому такие устройства последовательного типа. К последовательным
схемам можно отнести - триггеры, счетчики, регистры.
В общем случае структурная схема цифрового
автомата может быть представлена в виде набора трех узлов - комбинационной
схемы формирования выходных сигналов, комбинационной схемы формирования
сигналов управления триггерами и, собственно, памяти (рис. 1).
Рисунок 1. Структурная схема цифрового автомата
На вход комбинационной схемы управления
триггерами поступает комбинации входных сигналов х1, х2,
…, хk, комбинации сигналов, отражающих состояние элементов памяти Q1,
Q2, …, Qm. С учетом этих множеств комбинационная схема
формирует серии сигналов, управляющих состоянием триггеров. Кодовые комбинации
состояния триггеров образуют внутренние состояние цифрового автомата, которые
принято обозначать буквой а.
Комбинационная схема формирования выходных
сигналов создает сигналы у1, у2, …, ур,
которые могут использоваться для управления некоторыми узлами, для активации
процессов в других схемах. Эти сигналы могут зависеть только от внутренних
состояний: в этом случае устройство принято называть автоматом Мура. А если
выходные сигналы зависят и от входных сигналов х1, х2, …,
хk, то - автоматом Мили. Таким образом. Для задания цифрового автомата
необходимы три множества:
· множество входных сигналов х1,
х2, …, хk ;
· множество выходных сигналов у1,
у2, …, ур ;
· множество внутренних состояний а1,
а2, …, аz .
На указанных трех множествах задают две функции
- функцию переходов f, определяющую состояние автомата а(t+1) в момент t+1 в
зависимости от состояния автомата а(t) и значения входного сигнала х(t) в момент
времени t: а(t+1) = f (a(t), x(t)) и функцию выходов φ,
которая
определяет зависимость выходного сигнала автомата у(t) от состояния автомата
а(t) и значения входного сигнала х(t): y(t) = φ(a(t),
x(t)).
Для автомата Мили эти функции имеют вид:
а(t+1) = f (a(t),
x(t)) ; y(t) = φ(a(t),
x(t)) ;
где а(t+1) - новое состояние цифрового
автомата,(t) - предыдущее состояние автомата,(t) - выходные сигналы текущего
времени,(t) - сигналы на входе в данный момент времени.
Для автомата Мура:
а(t+1)
= f (a(t),
x(t))
; y(t)
= φ(a(t)).
Одно из состояний автомата является начальным
(состояние а0), и перед началом работы автомат всегда
устанавливается в данное состояние.
Обычно последующие действия автомата задаются с
помощью алгоритма. Функции автоматов Мили и Мура используют 2 способа:
табличный и графический. В отличие от табличного способа, графический в виде
графа функционирования, обеспечивает хорошую наглядность.
1. Способы
построения процессорных устройств
Процессорное устройство (как и всякое сложное цифровое
устройство) синтезируется в виде соединения двух устройств: операционного и
управляющего (рис.2).
Рисунок 2. Структурная схема процессорного
устройства
Операционное устройство - устройство, в котором
выполняются операции. Оно включает в себя регистры, сумматор, каналы передачи
информации, мультиплексоры для коммутации каналов, шифраторы, дешифраторы и
т.д. Управляющее устройство координирует действия узлов операционного
устройства; оно вырабатывает в оперативной временной последовательности
управляющие сигналы, под действием которых в узлах операционного устройства
выполняются требуемые действия.
Процесс функционирования операционного
устройства распадается на определенную последовательность элементарных действий
в его узлах.
Каждое такое элементарное действие, выполняемое
в одном из узлов операционного устройства в течение одного тактового периода,
называется микрооперацией.
В определенные тактовые периоды одновременно
могут выполняться несколько микроопераций, например, R2←0; Сч←(Сч)+1.
Такая совокупность одновременно выполняемых операций называется микрокомандой,
а весь набор микрокоманд, предназначенный для решения определенной задачи, -
микропрограммой.
Существуют два принципиально различных подхода в
проектировании микропрограммного автомата (управляющего устройства):
использование принципа схемной логики или принципа программируемой логики.
1.1
Процессорное устройство со схемной логикой
При использовании принципа схемной логики, в
процессе проектирования подбирается некоторый набор цифровых микросхем (обычно
малой и средней степени интеграции) и определяется такая схема соединений их
выводов, которая обеспечивает требуемое функционирование (т.е. функционирование
процессорного устройства определяется тем, какие выбраны микросхемы и по какой
схеме выполнено соединение их выводов).
Устройства, построенные по такому принципу,
способны обеспечивать наивысшее быстродействие при заданном типе технологии
элементов. Недостаток этого принципа построения процессорных устройств состоит
в трудности использования интегральных микросхем большой и сверхбольшой степени
интеграции (БИС и СБИС). Это связано с тем, что для разных процессорных
устройств потребуются различные БИС. Такие БИС окажутся
узкоспециализированными. Число типов БИС будет большим, а потребность в каждом
типе БИС окажется низкой. Это приведет к экономической нецелесообразности
выпуска их промышленностью.
1.2
Процессорные устройства с программируемой логикой
Указанные выше недостатки процессорных устройств
со схемной логикой, заставляют обратиться к другому подходу в проектировании
цифровых устройств, основанному на использовании принципа программируемой
логики.
Рисунок 3. Структурная схема процессорного
устройства с программируемой логикой
Рисунок 4. Формат микрокоманд
Этот подход предполагает построение с
использование модной или нескольких БИС некоторого универсального устройства,
требуемое функционирование которого обеспечивается заключением в память
устройства всех микрокоманд определенной программы. Исполнение операций в
операционном устройстве обеспечивается путем последовательной выборки
микрокоманд из запоминающего устройства (рис.3), т.е. форматируется адрес
каждой следующей микрокоманды. В зависимости от введенной программы такое
универсальное управляющее устройство способно выполнить самые разнообразные
функции. Число типов БИС в этом случае оказывается небольшим, а потребность в
БИС каждого типа высокой. Это обеспечивает целесообразность их выпуска
промышленностью. Набор типов БИС, обеспечивающих построение таких универсальных
устройств, образует микропроцессорный комплект (МПК). Устройства, реализуемые
МПК, - микропроцессорные устройства (МПУ).
Если в устройстве, построенном по принципу
схемной логики, всякое изменение или расширение выполняемых функций влечет за
собой демонтаж устройства и монтаж устройства по новой схеме, то при
использовании МПУ благодаря использованию принципа программируемой логики,
такое изменение функционирования достигается заменой хранящейся в памяти
программы новой программой, соответствующей новым выполняемым устройством
функции. Такая гибкость применений, наряду с другими, связанными с
использованием БИС достоинствами, заключающимися в низкой стоимости, малых
габаритных размерах, высокой точности и помехозащищенности, характерных для
цифровых методов, обусловили широкое внедрение МПУ в разнообразные сферы
производства, аппаратуру для научных исследований и бытовые устройства.
1.3 Факторы, влияющие на работоспособность
цифрового устройства
Факторы, воздействующие на работоспособность
ЭВМ, разделяют на климатические, механические и радиационные.
К механическим факторам относят: воздействие
вибрации, ударов, линейного ускорения, акустического удара; наличие
невесомости.
К радиационным факторам относят: космическую радиацию;
ядерную радиацию от реакторов, атомных двигателей; облучение потоком
гамма-фотонов, быстрыми нейтронами, бета-частицами, альфа-частицами, протонами,
дейтронами.
1.4 Риски, возникающие в процессе работы
цифрового устройства. Способы исключения сбоев в работе цифрового устройства
процессорный цифровой
прибор триггер
Риск - это возможность появления на выходе ЦУ
сигнала, не предусмотренного алгоритма его работы и могущего привести к
сложному срабатыванию.
В цифровом устройстве всегда функционирует комбинационный
узел (КУ) совместно с последовательностными узлами автоматов с памятью (АП) на
которые существенное влияние могут оказывать не предусмотренные временные
сигналы появляющиеся на выходах КУ во время переходных процессов.
Со временем риски исчезают и выходы КУ
приобретают заданное значение. Однако риски могут быть восприняты элементами
памяти АП не обратимое изменение состояния которых может радикально изменить
работу ЦУ.
Риски различают статические и динамические:
Статические риски - это кратковременное
изменение сигнала, который должен был оставаться неизменным. Сигнал должен быть
единичным или нулевым в этом случае говорят один риск или нулевой риск.
Динамические риски возникают многократно, то
есть место первого перехода АП происходят многократные переходы .
Способы исключения сбоев в работе цифрового
устройства делятся на два типа:
) Синтез схемы свободный от рисков этот путь
требует сложного анализа.
) Предусматривает запрещение восприятия КУ
элементами памяти на время переходных процессов.
Для определения временного интервала, на котором
происходят переходные процессы нужно оценить задержки распространений
переходных сигналов от входов КУ к его выходам. Обычно рассчитываются пути с
минимальными и максимальными задержками. Для задержки сигнала на самом верхнем
пути нужно сложить задержки всех элементов на этом пути и по истечению времени
переходные процессы завершаться.
Последствие гонок можно устранить временным
стробированием, когда на элемент кроме информационных сигналов передается
тактирующее (синхронизирующие) импульсы (стробы) к моменту прихода которых
информационные сигналы заведомо успевает установиться на выходах КУ и на
входных элементов памяти.
2.
Расчетная часть
2.1 Разработка структурной схемы цифрового
устройства
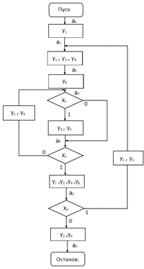
Блок-схема алгоритма
Рисунок 5. Блок-схема алгоритма цифрового
устройства
На основании заданного алгоритма приведенного на
рисунке 5 и соображений изложенных в разделе 1.2 составим структурную схему ЦУ
(см. рисунок 6). На блок-схеме алгоритма проставляем устойчивое состояние от а0
до а5, которое он принимает после исполнения каждой микрокоманды со
своими микрооперациями от y1
до y6.
Символы x1,
x2,
x3
обозначают характеристики автомата после исполнения условных переходов. Таким образом,
строим структурную схему ЦУ который имеет вид:
Рисунок 6. Структурная схема цифрового
устройства
На структурной схеме КУ формируются сигналы D1,
D2,
D3
для регистра состояний триггеров Т1, Т2, Т3.
Этот регистр фиксирует состояние цифрового устройства после исполнения каждой
микрокоманды, также он формирует сигналы исполнения микроопераций от y1
до y6
поступающих в арифметическо-логическое устройство (АЛУ). Дешифратор состояний
со своих выходов: с 1 по 6 поступает в комбинационное устройство (КУ), который
с учетом признаков Х1, Х2, Х3 формируемых в
операционном узле образует следующую микрокоманду.
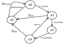
2.2 Построение графа функционирования цифрового
устройства
Для удобства анализа работы проектируемого
цифрового устройства по заданному алгоритму функционирования строим граф,
который обеспечивает хорошую наглядность в отличие от блок-схемы алгоритма.
Граф представляет собой многоугольник с количеством узлов (вершин) изображенных
в виде окружностей равным количеству возможных состояний автомата. Состояние
устройства в графе будет соответствовать вершинам, то есть узлам графа. Узлы
или вершины соединяются дугами показывающими направление перехода. На дугах в
соответствии с блок-схемой алгоритма (рисунок 5) записываются условия перехода:
если переход безусловный, то ставится черточка. В случае условного перехода над
буквой Х (условия) ставится "да" (1) без инверсии и "нет"
(0) с инверсией. Затем, через точку с запятой указываются микрооперации выполняемые
при этом переходе, то есть микрокоманды . Читать граф следует так: автомат
всегда находится в исходном состоянии а0, затем, под воздействием под
воздействием внешних сигналов, он изменяет свое состояние на а1, при
этом должны быть сформулированы схемой цифрового устройства сигналы исполнения
микроопераций. Для операционного узла, а также, сигналы для регистра состояний
поступающие на входы D1,
D2,
D3
то есть из состояния а1 переходим безусловно или по условию xк
в следующее состояние в соответствии с блок-схемой алгоритма и так далее.
Рисунок 6. Граф функционирования ЦУ
.3 Кодирование состояний
Каждому текущему устойчивому ЦУ
присваивается соответствующая двоичная кодовая комбинация. Число разрядов этой
комбинации определяется из соотношения,
где М- количество состояний
цифрового автомата, n - минимальное число разрядов
двоичного кода, необходимо для обеспечения М кодовых комбинаций.
Так как М=6 отсюда следует, что n=3. Таким
образом, состояния ЦА будут отображаться трехразрядными кодовыми комбинациями.
Соответствие состояний ЦУ кодовым
комбинациям указывается в таблице кодов состояний (таб. 1).
Таблица 1
|
Состояния
ЦУ
|
Кодовая
комбинация
|
|
|
|
|
|
а0
|
0
|
0
|
0
|
|
а1
|
0
|
0
|
1
|
|
а2
|
0
|
1
|
0
|
|
а3
|
0
|
1
|
1
|
|
а4
|
1
|
0
|
0
|
|
а5
|
1
|
0
|
1
|
Q1, Q2,
Q3 выходы D-
триггеров T1, T2,
T3 образующих
регистр состояний. Для обеспечения требуемого типа переходов схема управления
(комбинационный узел) должна обеспечивать подачу на входы D,
до прихода синхросигналов на входы С, соответствующие уровни сигналов
задаваемые таблицей переходов для D-триггеров
(табл.2).
Таблица 2. Таблица переходов JK-триггера
|
Тип
перехода
|
J
|
K
|
|
0 00*
|
|
|
|
0 11*
|
|
|
|
1 0*1
|
|
|
.4 Составление таблицы функционирования
состояния цифрового устройства
После построения графа (рис. 7),построения
таблицы кодов состояний (табл.1) и таблицы переходов (табл.2) составляю таблицу
функционирования цифрового устройства.
Таблица 3. Таблица функционирования ЦУ
|
Переход
|
Состояние
ЦА
|
Условие
перехода
|
Сигналы
установки триггеров
|
Выходные
сигналы для операционного узла
|
|
исходное
|
новое
|
|
|
|
|
                      
|
|
|
|
|
|
|
|
|
|
|
|
|
|
|
|
|
|
|
|
|
|
|
|
|
а0→а1
|
0
|
0
|
0
|
0
|
0
|
1
|
0
|
0
|
0
|
0
|
0
|
0
|
0
|
*
|
0
|
*
|
1
|
*
|
0
|
0
|
1
|
1
|
0
|
0
|
|
а1→а2
|
0
|
0
|
1
|
0
|
1
|
0
|
0
|
0
|
0
|
0
|
0
|
1
|
0
|
*
|
1
|
*
|
*
|
1
|
0
|
1
|
0
|
1
|
0
|
0
|
|
а2→а3
|
0
|
1
|
0
|
0
|
1
|
1
|
0
|
0
|
0
|
0
|
0
|
0
|
*
|
*
|
0
|
1
|
*
|
1
|
0
|
0
|
0
|
1
|
1
|
|
а3→а4
|
0
|
1
|
1
|
1
|
0
|
0
|
0
|
0
|
1
|
0
|
0
|
0
|
1
|
*
|
*
|
1
|
*
|
1
|
0
|
1
|
0
|
0
|
0
|
0
|
|
а4→а0
|
1
|
0
|
0
|
0
|
0
|
0
|
0
|
1
|
0
|
0
|
0
|
0
|
*
|
1
|
0
|
*
|
0
|
*
|
0
|
1
|
1
|
0
|
0
|
1
|
|
а1→а4
|
0
|
0
|
1
|
1
|
0
|
0
|
0
|
0
|
0
|
1
|
0
|
1
|
*
|
0
|
*
|
*
|
1
|
0
|
0
|
0
|
1
|
0
|
0
|
|
а3→а1
|
0
|
1
|
1
|
0
|
0
|
1
|
0
|
0
|
0
|
1
|
0
|
0
|
0
|
*
|
*
|
1
|
*
|
0
|
0
|
0
|
0
|
0
|
0
|
0
|
|
а4→а0
|
1
|
0
|
0
|
0
|
0
|
0
|
1
|
0
|
0
|
0
|
0
|
0
|
*
|
1
|
0
|
*
|
0
|
*
|
1
|
0
|
0
|
0
|
1
|
0
|
|
|
|
|
|
|
|
|
|
|
|
|
|
|
|
|
|
|
|
|
|
|
|
|
|
|
2.5 Определение функций управления триггерами и
функций выходов комбинационного узла
При составлении логических уравнений
для всех выходов КУ необходимо попытаться упростить полученные выражения,
используя законы алгебры-логики, в частности закон склеивания, имеющий вид
типа:
.
Для составления уравнения использую
дизъюнктивную нормальную форму (СДНФ) по единицам функции.
Для JK:
J1=
K1=
J2=
K2=
J3=
K3=
Для Y:
=
=
=
=
=
=
Согласно задания для построения
принципиальной электрической схемы ЦУ требуется базис И-НЕ, поэтому полученные
выражения необходимо преобразовать под этот базис. Для этого я использую закон
двойной инверсии и формулу Де Моргана для каждого из девяти выражений.
Таким образом, согласно уравнений потребуется
реализовать прямые значения состояний, это потребует введение в схему
инверторов в количестве равному числу состояний.
Для уменьшения количества линий связи используют
шинную организацию на основе, которой проставляются номера проводов кроме
нулевого, начиная с первого.
На сходы С триггеров Т1,Т2,Т3
подаются синхроимпульса от внешнего генератора которые определяют моменты
перехода ЦУ из одного состояния в другое. На входы S через
сопротивление R подаётся
уровень логической единицы от источника питания +5В. Величина R=1-3 КОм.
Установка триггеров регистра в исходное состояние
осуществляется
через разъём
(контакт
№5) либо посредством нажатия кнопки SB. С помощью
разъёмов X1,X2 происходит
электрическое соединение с ОУ (АЛУ). Через контакты 1,2,3 из ОЗУ (АЛУ)
поступают сигналы
и через
разъёмы X2 контакта с
1 по 6-ой поступают сигналы исполнения микроопераций в АЛУ
2.6 Разработка принципиальной
электрической схемы цифрового устройства
Согласно заданию используя
справочный материал, подбираем необходимые микросхемы из серии К155, т.е.
микросхемы для построения КУ. Регистр состояний строю на ИМС К155ТМ2 в
количестве двух штук
Таким образом, для реализации
регистра состояний потребуется 2 микросхемы D-триггеров.
В качестве дешифратора состояний
использую микросхему К155ИД6, которая имеет инверсные выходы
Таким образом, согласно уравнений потребуется
реализовать прямые значения состояний, это потребует введение в схему
инверторов в количестве равному числу состояний. Для уменьшения количества
линий связи используют шинную организацию на основе, которой проставляются
номера проводов кроме нулевого, начиная с первого.
На входы С триггеров Т1,Т2,Т3
подаются синхроимпульса от внешнего генератора которые определяют моменты
перехода ЦУ из одного состояния в другое. На входы S через
сопротивление R подаётся
уровень логической единицы от источника питания +5В. Величина R=1-3 КОм.
Установка триггеров регистра в исходное состояние
осуществляется
через разъём
(контакт
№5) либо посредством нажатия кнопки SB. С помощью
разъёмов X1,X2 происходит
электрическое соединение с ОУ (АЛУ). Через контакты 1,2,3 из ОЗУ (АЛУ)
поступают сигналы
и через
разъёмы X2 контакта с
1 по 6-ой поступают сигналы исполнения микроопераций в АЛУ
2.7 Расчёт
периода следования тактовых импульсов и тактовой частоты
Для проверки работоспособности схемы
необходимо для заданного перехода (смотри пункт 4.3.) из
в
при
=0 .При этом
необходимо следить за тем, чтобы не было эффекта гонок. Чтобы определить
задержку необходимо воспользоваться формулой
=
.Поскольку
=40 нс,
=32 нс,
=22 нс,
получаем: 40+32+4(22)=160 нс.Таким образом, пользуясь формулой периода
следования, получаем:
=
/160=1000/160=6.25 нс
f=1/T=1/6.25=0.16
МГц
Заключение
По характеру отсчёта
дискретного времени автоматы делятся на синхронные и асинхронные.
В синхронных конечных автоматах
моменты времени, в которые автомат считывает входные сигналы, определяются
принудительно синхронизирующими сигналами. После очередного синхронизирующего
сигнала с учётом "считанного" и в соответствии с соотношениями для
функционирования автомата происходит переход в новое состояние и выдача сигнала
на выходе, после чего автомат может воспринимать следующее значение входного
сигнала.
Асинхронный конечный автомат
считывает входной сигнал непрерывно, и поэтому, реагируя на достаточно длинный
входной сигнал постоянной величины x, он может, как следует из соотношений для
функционирования автомата, несколько раз изменять состояние, выдавая
соответствующее число выходных сигналов, пока не перейдёт в устойчивое
состояние, которое уже не может быть изменено данным входным сигналом.
Литература
1. ГОСТ 2.105-95 ЕСКД. Общие
требования к требуемым документам
2. ГОСТ 2.106-68 ЕСКД. Форма и
правила выполнения текстовых документов
. ГОСТ 2.743-91 ЕСКД.
Обозначения условные графические в схемах. Элементы цифровой техники
. ГОСТ 19.701-90 ЕСПД. Схема
алгоритмов, программ, данных и систем
. Интегральные микросхемы.
Справочник под ред. Тарабрина В.В.М., Радио и связь, 2008
. Калабеков Б.А., Мамзелев
И.А. Цифровые устройства и микропроцессорные системы. - М.: Радио и связь,
2007.
. Конспект-справочник