Проектирование систем автоматизации электрических железных дорог
Федеральное агентство
железнодорожного транспорта
Федеральное государственное бюджетное
образовательное учреждение высшего профессионального образования
Иркутский государственный университет
путей сообщения
Забайкальский институт
железнодорожного транспорта - филиал федерального государственного бюджетного
образовательного учреждения высшего профессионального образования в городе Чите
Иркутский государственный университет
путей сообщения
Факультет «Наземные транспортные
системы»
Кафедра «Электроснабжение»
КУРСОВАЯ РАБОТА
по дисциплине: «Автоматизация систем
электроснабжения»
КР.517120.190401.65.979-2013.ПЗ
Чита 2013 г.
Аннотация
Курсовая работа 30 стр. 36, рис. 2, источников 4, прил. 6.
Полукомплект телеуправления, полукомплект телесигнализации,
функциональная схема, принципиальная схема, мультивибратор, диспетчерский
пункт, контролируемый пункт
Целью курсовой работы является закрепление
теоретических знаний и приобретение навыков проектирования, расчета и выбора
параметров устройств телемеханики электрических железных дорог; закрепление
полученных навыков самостоятельного анализа и синтеза электронных схем;
приобретение практических навыков по составлению схем и их расчету.
В содержании работы отражается решение следующих
вопросов:
¾ выбор оптимального способа
кодирования сообщений;
¾ определение расчетной частоты
мультивибраторов полукомплектов;
¾ составление структурной схемы
проектируемого устройства с предполагаемыми логическими связями между
функциональными блоками;
¾ разработка функциональных схем
полукомплекта для заданного объема ТУ и ТС;
¾ составление временной диаграммы
работы полукомплекта в заданном режиме;
¾ определение наибольшей дальности
действия устройства при отсутствии пунктов ретрансляции сигналов;
¾ выполнение специальной части курсовой
работы;
¾ составление пояснительной записки с
описанием работы полукомплектов по временным диаграммам, с выполнением
необходимых расчетов и полным описанием специальной части.
Содержание
Введение
Исходные данные
. Выбор способа кодирования сообщений
2. Определение числа разрядов счетчика распределителя
. Определение расчетной частоты мультивибратора полукомплектов
. Определение наибольшей дальности действия устройства при
отсутствии пунктов ретрансляции сигналов
. Структурные схемы
5.1 Структурная схема передающего полукомплекта ТУ ДП
5.2 Структурная схема приемного полукомплекта ТС ДП
6. Функциональные схемы
.1 Функциональная схема передающего полукомплекта ТУ ДП
6.2 Функциональная схема приемного полукомплекта ТС ДП
7. Временные диаграммы
.1 Временные диаграммы работы модуля ТУ ДП в режиме передача холостой
серии
7.2 Временные диаграммы работы модуля ТС ДП в режиме сбой во время
приема приказа
Заключение
Список использованных источников
Приложения
Нормативные ссылки
В настоящей работе использованы ссылки на следующие стандарты
(нормативные документы):
¾ ГОСТ 2.105-95 ЕСКД. Общие требования к текстовым документам;
¾ ГОСТ 2.106-96 ЕСКД. Текстовые документы;
¾ ГОСТ 2.109-73 ЕСКД. Основные требования к чертежам;
¾ ГОСТ 2.111-68 ЕСКД. Нормоконтроль;
¾ ГОСТ 3.1116-79 ЕСТД. Нормоконтроль;
¾ ГОСТ
19431-84 <#"669312.files/image001.jpg">
где
- общее число элементов;
- число элементов, отличающихся от других (n-m) своим признаком или местом в общем порядке элементов.
Также необходимо определить вид сочетания положенного в основу кода для
выбора отдельно контролируемых пунктов, групп, объектов и операций.
Решение этого вопроса непосредственно связано с
выбором метода избирания, т.е. с выбором способа избирательного воздействия на
органы управления объектов контролируемых пунктов (КП), и сводится к
определению числа выходов (позиций) распределителя. Причем для приемных
полукомплектов этот выбор производится так же, как и для передающих.
Для обеспечения заданного объема телемеханики
необходимое число выходов распределителя должно быть:
¾ в блоке телеуправления:
где N -
суммарное число выходов;
Nкп - число выходов, необходимых для выбора КП (5 выходов);
Nоб/гр - то же, необходимых для выбора объекта в группе;
Nгр - то же, необходимых для выбора групп;
- число служебных выходов,1-й выход - для приема
первого длинного импульса в кодовой серии; 31-й и 32-й выходы для образования
сверхдлинного фазирующего импульса (СДФИ).
В зависимости от заданного объема телеуправления
отдельные слагаемые в выражении (1.2) находятся, исходя из условий
максимального использования распределителя и сокращения времени передачи
кодовой серии. Так, для выбора КП число выходов распределителя определится из
числа сочетаний Cn
(n - число выходов распределителя, необходимых для выбора КП, m - число
элементов, входящих в сочетание, С = 5, m = 2 длинных импульса из пяти n = 5
импульсов):
Определение остальных слагаемых выражения (1.2)
следует производить с учетом определившегося выражения
и максимального числа объектов из КП
Nоб
Если сумма
, то рациональнее применить метод
прямого избирания объектов (т. е. каждому объекту присваивается отдельный вход
распределителя) и тогда число групп равно Nгр=0. Если же сумма
, то для выбора объектов следует
применить двухступенчатое групповое избирание, при котором объекты одного КП
делятся на группы. При определении числа групп и числа объектов в группах
следует исходить из максимального использования остающихся для этой цели
свободных выходов распределителя при минимальном количестве групп;
¾ в блоке телесигнализации обычно
используют распределительный принцип избирания при временном разделении
элементов сигнала (1,2). В целях существенного сокращения объема аппаратуры
кодирование производится на импульсах и на паузах. Рациональным это становится
в тех случаях, когда число объектов на контролируемых пунктах более 80.
При этом необходимое число выходов распределителя
определится по выражению (1.4):
где
- число объектов на контролируемом пункте;
- число служебных выходов: выходы на импульсах и
паузах (всего два) - свободные (в это время происходит сброс записи, если в
предыдущей серии имела место рассинхронизация полукомплектов, 2 выхода - СДФИ,
1 - выход - контроль командной серии, 1- блокировка команды телеуправления).
Определим число сочетаний из n элементов по m, используя
выражение (1.1):
При выборе числа сочетания из n элементов по m
должно выполняться условие (1.3): 10=10. автоматический телемеханика железный дорога
Определим
необходимое число выходов по формуле (1.2):

Так как:

то для выбора
объектов следует применить двухступенчатое групповое избирание, при котором
объекты одного КП делятся на 5 груп с числом объектов 12 на КП.
Необходимое
число выходов распределителя находим по выражению (1.4):

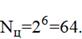
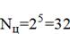
2. Определение числа разрядов счетчика распределителя
При
телеуправлении или телесигнализации должно быть всегда выполнено условие: 
где m - число
выходов распределителя, создаваемое определенным числом разрядов счетчика (p).
Так как
счетчик распределителя составляется из бинарных триггеров (триггеров со счетным
входом), имеющих два устойчивых состояния (0 и 1), т.е. в основу счета
импульсов положена двоичная система, то общее число импульсов, отчитываемых
счетчиком за цикл, можно определить по формуле: 
где 2 -
основная система счисления;
p - число разрядов счетчика (всегда
целое), которое выбирается наименьшим, чтобы выполнялось условие (2.1).
ТУ:

ТС:

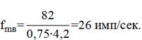
3. Определение расчетной частоты мультивибратора полукомплектов
Расчетное
значение частоты мультивибратора (МВ) fmв зависит от длительности
цикла передачи. В свою очередь длительность цикла передачи Тц
зависит от объема информации, содержащейся в коде. Так, например, в
полукомплектах телеуправления (ТУ ДП и ТУ КП) длительность цикла передачи может
иметь лишь два определенных значения: наименьшее - при передаче тактовой
(холостой) серии, наибольшее - при передаче кодовой серии.
В
полукомплекте телесигнализации (ТСКП) длительность цикла передачи изменяется от
наименьшего значения при максимальном числе включенных объектов до наибольшего
значения при всех отключенных объектах, принимая промежуточные значения при
различных соотношениях включенных и отключенных объектов. Поэтому под
длительностью цикла передачи понимают время, необходимое для однократной
передачи максимального объема информации. В полукомплектах ТУ это будет при передаче
кодовой серии, в полукомплектах ТС - при всех отключенных объектах (случай,
когда погашена тяговая подстанция и пост секционирования). Этой длительности
должна соответствовать расчетная частота тактовых импульсов мультивибратора,
которая находится следующим образом:
общее число
импульсов в кодовой серии определяется по формуле (3.1):

Число длинных
импульсов в кодовой серии определяется как сумма чисел элементов во всех
сочетаниях, используемых при образовании кода (в том числе и при кодировании на
паузах) с увеличением этой суммы в полукомплектах: ТУ - на 3 импульса
(служебные); ТС - на 3 импульса;
число
коротких импульсов в кодовой серии определяется как:

где
- число длинных импульсов в серии;
- число
тактовых импульсов мультивибратора, необходимых для образования кодовой серии,
определяется по формуле (3.3):

где 3 -
коэффициент перевода числа длинных импульсов в число тактовых импульсов
мультивибратора;
по найденному
числу тактовых импульсов Nтакт, необходимому для образования кодовой
серии и длительности цикла передачи Тц, определяется расчетное
значение частоты мультивибратора, имп/сек:

где к -
коэффициент, учитывающий отношение периода колебаний мультивибратора
передающего полукомплекта к периоду колебаний мультивибратора приемного полукомплекта
(для приемного полукомплекта к = 0,53-0,75, для передающих комплектов - 1).
При расчете
мультивибратора, работающего совместно с триггером-делителем частоты, расчетное
значение его частоты удваивается.
Общее число
импульсов в кодовой серии определяется по формуле (3.1):
ТУ:
.
ТС:

Число длинных
импульсов в кодовой серии:
ТУ:

ТС:

Число
коротких импульсов в кодовой серии определим по формуле (3.2):
ТУ:

ТС:

Число
тактовых импульсов мультивибратора, необходимых для образования кодовой серии
определяется по формуле (3.3):
ТУ:

ТС:

Расчетное
значение частоты мультивибратора определяется по формуле (3.4):
ТУ:

ТС:

4. Определение наибольшей дальности действия устройства при отсутствии
пунктов ретрансляции сигналов
Определение
возможной наибольшей удаленности пункта приема сообщений при отсутствии
устройств для ретрансляции сигналов сводится к определению дальности действия
передатчика телемеханического устройства по проводным линиям связи. Эта
дальность действия определяется наибольшим перекрываемым затуханием (bдоп), при котором уровень сигнала в
месте приема превышает уровень помех (Pпом) на
некоторую величину (Pсп).
Дальность
действия передатчика определяется по формуле:

где bдоп - наибольшее перекрываемое затухание
линии, допустимое при данной мощности передатчика и данном уровне помех, Нп;
a - киллометрический коэффициент
затухания, Нп/км;
n’ - приведенное число промежуточных
пунктов на 1 км линии;
bп - затухание, вносимое одним промежуточным пунктом,
Нп/км.
Наибольшее
перекрываемое затухание линии, допустимое при данной мощности передатчика (Рдп)
и данном уровне помех (Рсп) определяется:

где Pдл - абсолютный уровень мощности
передатчика, ограничиваемый допустимым влиянием на соседние каналы и зависящий
от числа передатчиков, Нп (для кабельных линий Pдл=2Нп);
Pпом - абсолютный уровень помех, Нп;
Pсп - превышение абсолютного уровня
поленого сигнала над абсолютным уровнем возможной помехи, Нп (для временной
модуляции Pсп>2,5 Нп).
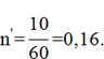
Приведенное
число промежуточных пунктов на 1 км линии определяется по формуле:

где Lср - среднее расстояние между
подстанциями (Lср=60 км).
Определим
наибольшее перекрываемое затухание линии по формуле (4.2):

Приведенное
число промежуточных пунктов на 1 км линии определим по формуле (4.3):

Дальность
действия передатчика определяется по формуле (4.1):

5. Структурные схемы
Передающее устройство телеуправления состоит из генератора тактовых
импульсов (ГТИ); логического блока (ЛБ); распределителя; блока кодирования
(БК); шифраторов выбора пункта, операции, группы и объекта; блока управления
передачей (БУП); ключей управления (КУ); передатчика (ЧМП).
Блок управления передачи состоит из триггера начала передачи (ТНП),
триггера ограничения передачи (ТОП), усиления общего сброса (УОС).
Функции элементов структурной схемы: ГТИ создает прямоугольные импульсы
заданной частоты; ЛБ осуществляет совмещение импульсов тактовой частоты - серии
импульсов ГТИ и импульсов, поступающих с блока кодирования, а также служит для
образования сверхдлинного импульса; БК служит для формирования в сериях данных
импульсов. В холостой серии блок кодирования формирует длинный импульс только в
конце серии. Шифратор выбора контролируемого пункта и операции зашифровывает
сигналы с кнопок управления.
Рисунок
1 - Структурная схема полукомплекта ТУ ДП
5.2 Структурная схема приемного полукомплекта ТС ДП
В приемном устройстве телесигнализации частотные
импульсы из линии связи поступают на ЧМ приемник (ЧМПр), где преобразуются в
серию прямоугольных импульсов и пауз. Из частотного приемника серия через
линейный триггер ЛТ и блок синхронизации поступает на распределитель.
Одновременно с линейного триггера импульсы поступают на блок контроля и защиты.
Распределитель переключается в соответствии с тактовой
серией импульсов. Выходные цепи распределителя открываются только при приеме
длинных импульсов (или пауз). Импульсы с распределителя поступают в
запоминающее устройство. Блок контроля и защиты в течение всего цикла передачи
осуществляет контроль получаемой тактовой серии. Если при передаче не возникало
искажений, в конце цикла производится считывание информации с запоминающего
устройства, которая и поступает на сигнальные элементы. Управление запоминающим
устройством и сигнальными элементами осуществляется исполнительным блоком,
который в свою очередь получает командные импульсы после проверки правильности
передачи блоком контроля и защиты.
В выходных цепях распределителя вместо
контактов-датчиков включены обмотки записи магнитных элементов с прямоугольной
петлей гистерезиса, выполняющих роль запоминающего устройства.
Блок синхронизации и приема длинных импульсов и пауз
состоит из триггера задержки ТЗД, элемента И-НЕ и датчика времени ДВ. Датчик
времени представляет собой трехразрядный двоичный счетчик на триггерах Т1 - ТЗ
со схемой сброса, выполненной на транзисторных каскадах задержки Тз1, Тз2 и
усилителе УС. Счетчик приводится в действие мультивибратором MB.
Рисунок
2 - Структурная схема полукомплекта ТС ДП
Заключение
В результате
выполнения курсовой работы выбран способ кодирования сообщений. Для выбора
объектов применено двухступенчатое групповое избирание, при котором объекты
одного КП делятся на группы. Выбор контролируемого пункта осуществляется двумя
длинными импульсами из пяти, выбор операции - одним длинным импульсом из двух,
выбор объекта - одним длинным импульсом из шестнадцати; выбор группы - одним
длинным импульсом из пяти. Рассчитано необходимое число выходов распределителей
полукомплектов для ТУ ДП-27, для ТС ДП-57, определено общее число импульсов,
отсчитываемых счетчиком за цикл, которое составляет для ТУ ДП и 5для ТС ДП.
Определена расчетная частота мультивибратора для ТУ ДП-1211 имп/сек, для ТС
ДП-26 имп/сек. Определена возможная наибольшая удаленность пункта приема
сообщений при отсутствии устройств для ретрансляции сигналов при среднем
расстоянии между подстанциями 60 км, которая составила 116 км.
Разработаны
структурные функциональные и принципиальные схемы устройств телеуправления и
телесигнализации с описанием работы этих схем. Составлены временные диаграммы
работы полукомплекта ТУ ДП при передачи холостой серии и полукомплекта ТС ДП
при сбое во время приёма приказа.
Выполнена
специальная часть курсовой работы
Список
использованных источников
1. Автоматизация систем
электроснабжения: Учебник для вузов ж.-д. Трансп. / Ю.И. Жарков, В.Я. Овласюк,
Н.Г. Сергеев, Н.Д. Сухопрудский А.С. Шилов; Под. ред. Н.Д. Сухопрудского. - М.:
Транспорт, 1990. - 359 с.
2. Дмитриевский Г.В., Овласюк
В.Я., Сухопрудский Н.Д. Автоматика и телемеханика электроснабжающих устройств.
- М.: Транспорт, 1982. - 232 с.
. Емельянов А.Г. Автоматизация
систем электроснабжения: методические указания по выполнению курсовой работы по
дисциплине «Автоматизация систем электроснабжения» для студентов очной и
заочной форм обучения специальности 190401.65 «Электроснабжение железных
дорог»/ А.Г. Емельянов - ЗабИЖТ. - Чита, 2007. - 49 с.
. Почаевец В.С.
Автоматизированные системы управления устройствами электроснабжения железных
дорог: Учебник для техникумов и колледжей ж.-д. Транспорта. - М.: Маршрут,
2003. - 318 с.