Исследование волнового поля упругой среды
Министерство образования и науки Российской Федерации
Федеральное государственное бюджетное образовательное учреждение
высшего профессионального образования
«КУБАНСКИЙ ГОСУДАРСТВЕННЫЙ УНИВЕРСИТЕТ»
Кафедра математического моделирования
ДИПЛОМНАЯ РАБОТА
Исследование волнового поля упругой
среды
Работу выполнил УдовенкоИ.И.
Студент группы 53
специальность 010501
Прикладная математика и информатика
Нормоконтролер, канд. физ.-мат. наук, доцент
Рубцов С.Е.
Краснодар
2013г.
РЕФЕРАТ
Дипломная работа состоит из оглавления, введения, основной части,
состоящей из 5 разделов, 4 рисунков, заключения, списка литературы и
приложения. Во введении описывается область применения изучаемой задачи и метод
её решения. В основной части описывается постановка задачи, решение задачи для
слоя жидкости, решение задачи для покрытия и построение образов Фурье
напряжений на границе раздела сред. Во всех 4х разделах решения представляются
аналитически. В 5ом решение приводится в математическом пакете Maple 14.
ВВЕДЕНИЕ
Динамические эффекты в различных средах в связи со своей теоретической и
практической значимостью для различных областей деятельности человека стали на
сегодняшний день одним из основных объектов изучения.
В настоящее время в различных областях техники широкое применение
получили композиционные материалы и покрытия. Поэтому динамические задачи
теории упругости для идеальной жидкости с покрытием вызывают особый интерес.
При этом рассматриваются различные модели покрытий в виде накладок, стрингеров,
пластин и т.д.
В этой работе рассматривалась задача о колебаниях жидкого слоя с
покрытием под действием установившихся гармонических колебаний. Считается, что
покрытие является двумерным деформируемым объектом с усреднёнными по толщине
параметрами.
Дипломная работа посвящена изучению состояний идеальной жидкости с
упругим покрытием. При сведении задачи к системе функционально-матричных
уравнений использовалось двумерное преобразование Фурье, а так же обратное
преобразование Фурье.
1.
Постановка задачи
Рассматривается задача об установившихся колебаниях среды, состоящей из
покрытия, недеформируемого полупространства и расположенного между ними слоя
идеальной жидкости.
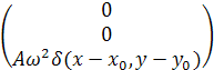
Колебания в упругой системе возбуждаются гармоническим источником,
который расположен на поверхности покрытия и моделируется функцией Дирака: Аδ(х-х0,у-у0)·е-ieω .
Плоскость хoy введённой
декартовой системы координат совпадает с поверхностью полупространства(рисунок
1).
Рисунок 1
Колебание системы сред предполагается установившимся, т.е. зависимость
всех неизвестных функций от времени определяется множителем е-ieω.
Движение точек жидкости описывается потенциалом скоростей s(x,y,z,t) = φ(x,y,t) ·е-ieω, который удовлетворяет волновому
уравнению:
Δs(x,y,z,t) =
stt(x,y,z,t) (1.1)
где
с - скорость звука в жидкости.
На
верхней границе жидкость подвержена воздействию со стороны покрытия
ρ0
=-q(x,y)·е-ieω (1.2)
a на нижней со
стороны недеформируемого полупространства:
ρ0
=0 (1.3)
где
q(x,y) - неизвестные давления на границе раздела сред, а ρ0 - плотность жидкости.
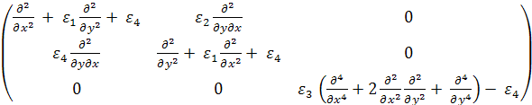
В
качестве покрытия рассматривается двумерная деформируемая пластина с усреднёнными
по толщине параметрами, движение которой описывается дифференциальным
уравнением:

+ 
+ 
q1 = b1 ,

+ 
+ 
ρ
+ 
q2 = b2 ,

4 u3 + 
q3 = b3 ,
где
h - толщина покрытия, 
-
коэффициент Пуассона, Е -модуль Юнга, ρ - плотность материала пластины, u1,2(x,y,t) -
перемещение точек срединной поверхности вдоль координатных линий, u3(x,y,t) -
прогиб срединной поверхности, qi(x,y,t) - компоненты контактных напряжений действующих на
нижнюю границу, со стороны жидкости, i = 1, 2, 3, bi(x,y,t) -
описывает внешнее воздействие.
В
условиях гармонических воздействий:
b1 = b2 =
0, b3 = А
δ(х-х0)δ(у-у0) 
е-ieω ,
ui(x,y,t) = u(x,y)
е-ieω ,
Система
уравнений движения пластины примет вид:
R(
(1.4)= 
·
е33 = -e11 , E = 
,
eij = 0, i ≠ j, e11 = e22 = 
Дифференциальный
R(
имеет
следующие операторные компоненты:
R(
=
E = 
где

, 
= 
, 
= 
, 
ρ
, 
,
Взаимодействие
сред определяется равенством вертикальных состовляющих скоростей точек жидкости
и покрытия в зоне контакта:

│z=h1
= 0. (1.5)
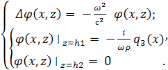
2.
Решение задачи для слоя жидкости
В плоской постановке с учётом установившегося режима колебаний, краевая
задача (1.1) - (1.3) для жидкости может быть записана в виде

(2.1)
Применим
к уравнению двумерное экспоненциальное преобразование Фурье по переменным x и y, и
после ряда преобразований получим:
Φ" = (
+ 
)
Φ. (2.2)
После
применения двумерного экспоненциального преобразования Фурье к граничным
условиям, они принимают следующий вид:

(2.3)
где
= 
dxdy = F
(x,y)
В
результате получим решение задачи (2.2) с граничными условиями (2.3), зависящее
от неизвестной функции 
.
Φ(
= 
(2.4)
где

= 
.
3. Решение задачи для покрытия
Применим к уравнениям движения пластины (1.4) двумерное преобразование
Фурье по переменным х и у, получим:
R(
U 
E
= B, (3.1)
R(
U =
=
,
Где
U(
) = Fu(x,y), 
(
) = Fq(x,y), B(
) = Fb(x,y),
В
=
.
Подставим
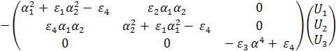
эти выражения в (3.1), получим систему уравнений:
Из
этой системы уравнений выразим 
:

(3.2)
4. Построение образов Фурье напряжений на
границе раздела сред
Для
нахождения образов Фурье 
воспользуемся
условиями (1.5), применяя к ним преобразование Фурье, учитывая гармонический
характер колебаний, получим:
iω
+ 
= 0 (4.1)
Преобразуем
отдельно выражения для Φ(2.4) и 
(3.2)

= 
На
границе раздела сред имеем:

= 
.

=
.
Подставив
полученные выражения в (4.1) получим:
iω
+
= 0
Выразим

.
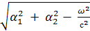
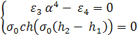
Найдём
нули знаменателя :

= 0

,
Решениями
данной системы будут следующие α

±
; 
±
; 
±
, k 𝜖 Z.
Применим
обратное преобразование Фурье к функции Q:
q(x) = 
, x
< 0.

убывает
при α > 0, поэтому замкнём контур интегралом в верхней
полуплоскости
Рисунок
2.

Найдём
интеграл по контуру (рис.2) с помощью вычетов:

Внутрь
контура попадают особые точки:

Точки

являются
простыми полюсами поэтому для вычисления вычетов в этих точках удобно
использовать следующую формулу:

, где 
.
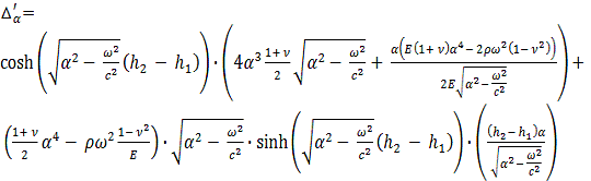
Где
M(α) -числитель, △(α) -
знаменатель функции Q.
Найдём
производную знаменателя Q.


Затем
посчитаем значения интеграла по контуру Cдля

, и
найдём значение функции q(x).
5. Применение прикладных пакетов
Для проведения аналитических преобразований полученных уравнений,
построения графиков, построения графиков, а также нахождения нулей уравнения
была составлена программа в среде символьной математики Maple.
Для
знаменателя функции Qграфик был построен с условиями, что α{10..10}, ω {10..10}, ρ=1,ν=0.3,Е=2030,
=0.01,
=1,k=1,c=1000.
График строится поточечно, исходя из зависимости α от ω.
Результат
приведен на рисунке 3.
Рисунок 3.
Для
функции q(x) график был построен для 
и ω=10, ρ=1,ν=0.3,Е=2030,
=0.01,
=1,k=1,c=1000.
График строится поточечно, исходя из зависимости q от x.
Результат
приведен на рисунке 4.
Рисунок 4
Заключение
В дипломной работе рассмотрена задача об установившихся колебаниях
системы сред, состоящей из жидкого слоя с покрытием. Поставленная задача для
уравнений в частных производных, путём применения двумерного экспоненциального
преобразования Фурье, была сведена к ряду краевых задач для обыкновенных
дифференциальных уравнений. Они были решены аналитически и с помощью
прикладного пакета Maple 14, что
позволило получить искомый образ Фурье искомой функции напряжения Q на границах раздела сред. Были также
найдены нули знаменателя данной функции Q.
колебание
среда жидкость гармонический
Список используемой литературы
1. Матвеев
Н.М. Методы интегрирования обыкновенных дифференциальных уравнений. - М.: Высшая
школа. 1963.545с.
2. Снеддон
И. Преобразование Фурье. - М.: Иностранной литературы. 1955.688с.
. Глушков
Е.В. Интегральное преобразования в задачах теории упругости: КубГУ. 1990.72с.
. Бабешко
В.А. Динамика неоднородных линейно-упругих сред/В.А.Бабешко, Н.В.Глушков,
Ж.Ф.Зинченко.М:Наука.1989.344с.
. Вольмир
А.С. Нелинейная динамика пластинок и оболочек. М.: Наука, 1972.432с.
. Диткин
В.А. Интегральные преобразования и операционное исчисление/В.А.
Диткин,А.П.Прудников.М.:Наука.1974.323с.
Приложение
Листинг программы на Maple
>restart;
> eps3 := (1/12)*h^2;
> eps4 := rho*omega*(1-nu^2)/E;
> rho1 := sqrt(a^2-omega^2/c^2);
> f := proc (a) options operator, arrow;
(eps3*a^4-eps4)*rho1*ch(rho(h2-h)) end proc;
> solve(f(a), a);
> rho := 1;
> nu := .3;
> E := 2030;
> h := 0.1e-1;
> h2 := 1;
> k := -1;
> c := 1000;
> plot(sqrt(12*rho*omega^2*(1-nu^2)/(h^2*E)), omega = 0 ..
5, a = 0 .. 5, color = magenta);
> plot(-sqrt(12*rho*omega^2*(1-nu^2)/(h^2*E)), omega = -5
.. 5, a = -5 .. 5, color = green);
> plot(sqrt(Pi^2*(1+2*k)^2/(2*(h2-h))+omega^2/c^2), omega
= -5 .. 5, a = -50 .. 50, color = magenta);
> plot(-sqrt(pi^2*(1+2*k)^2/(2*(h2-h))+omega^2/c^2), omega
= -50 .. 50, a = -50 .. 50, color =green );:=
sqrt(ro*omega^2*(1-nu^2)/((1/12)*E*h^2)):= i*sqrt(ro*omega^2*(1-nu^2)/((1/12)*E*h^2)):=
sqrt(-9*3.14^2/(2*(h2-h))+omega^2/c^2):= 1;:=10;:=
omega^2*ro*sinh(sqrt(a^2-omega^2/c^2)*(h-h2))*(-aa*e^(x*a)+(1-nu^2)*e^(x*a)/(E*h))/(cosh(sqrt(a^2-omega^2/c^2)*(h2-h))*((4*a^3*(1+nu)*(1/2))*sqrt(a^2-omega^2/c^2)+a*(E*(1+nu)*a^4-2*ro*omega^2*(1-nu^2))/(2*E*sqrt(a^2-omega^2/c^2)))+(((1+nu)*(1/2))*a^4-ro*omega^2*(1-nu^2)/E)*sqrt(a^2-omega^2/c^2)*sinh(sqrt(a^2-omega^2/c^2)*(h2-h))*((h2-h)*a/sqrt(a^2-omega^2/c^2)))(tt,x=0..5,q=0..50);