О структуре поля упругих колебаний при сейсмоизмерениях

  • Вид работы:
    Реферат
  • Предмет:
    Геология
  • Язык:
    Русский
    ,
    Формат файла:
    MS Word
    44,90 kb
  • Опубликовано:
    2009-01-12
Вы можете узнать стоимость помощи в написании студенческой работы.
Помощь в написании работы, которую точно примут!

О структуре поля упругих колебаний при сейсмоизмерениях

О структуре поля упругих колебаний при сейсмоизмерениях

Гликман А.Г.

НТФ "ГЕОФИЗПРОГНОЗ"

Санкт-Петербург

Изучение поля упругих колебаний в твердых средах с самого начала пошло не по законам методологии. А именно, все фундаментальные положения этой области знаний возникли не в результате экспериментальных наблюдений, как это принято в физике, а на основании математического обеспечения чисто мысленной модели. 

В 1828 году Пуассон объявил о наличии двух типов упругих колебаний - продольных и поперечных. Это было провозглашено в результате решения волнового уравнения при умозрительно заданных граничных условиях. В дальнейшем, так же умозрительно задавая другие граничные условия, математики получали решения волнового уравнения для множества других типов волн. В результате, сформировалось мнение, что при проведении сейсморазведочных работ возникает и распространяется большое количество типов упругих колебаний. 

Не имея технических средств для выявления отдельных типов волн по их базисным параметрам1, с самого начала эры измерений упругие волны различных типов стали различать по скорости их распространения. Так, например, принимая, что продольные волны всегда имеют место, и что скорость их, по определению, наибольшая, первую по времени пачку на сейсмограмме считают именно обусловленной этими самыми продольными волнами. Ну, а вторая пачка - волны поперечные, третья - волны Рэлея и т.д. 

Диапазон значений получающихся по этой логике скоростей оказался очень широким- от 100м/с до 7000м/с. И здесь нашлось место для множества типов волн. Однако в этой логике есть одна неувязка. Дело в том, что инициатор упругих колебаний при сейсмоработах - ударного типа. Удар или взрыв. То есть, короткий импульс. А форма сейсмосигнала имеет вид гармонических затухающих колебаний. 

Из общефизических представлений известно, что если отклик на ударное, импульсное воздействие представляет собой гармонический затухающий процесс, то это значит, что воздействию подверглась какая-то колебательная система. Это важнейший в физике принцип. Так, например, исходя из этой логики, в XIX веке был открыт L-C колебательный контур. 

Таким образом, первое, что необходимо было сделать, обнаружив, что отклик на удар имеет вид затухающего гармонического процесса, это найти ту колебательную систему, которая осуществляет преобразование импульса в гармонический сигнал. Нам это удалось сделать, и, как оказалось, оно осуществляется не одной колебательной системой, а несколькими. 

Как ни странно, но первой и главной из них - это, оказался сам сейсмоприемник. 

По логике вещей, назначение сейсмоприемника - быть неискажающим преобразователем акустического сигнала в акустический. Или, иначе говоря, источником электрического сигнала, по форме и по спектру идентичного сигналу акустическому в точке контакта сейсмоприемника с земной толщей. Самое удивительное, что именно в таком виде свойства сейсмоприемника никогда не оговаривались. И если взять любой из известных сейсмоприемников и нанести по нему короткий удар, то мы увидим, что возникший при этом сигнал будет иметь вид длительного, гармонического, медленно затухающего процесса. Это является экспериментальным доказательством того, что существующие сейсмоприемники являются колебательными системами. Иными словами, электрический сигнал, снимаемый с сейсмоприемника, отражает не свойства сейсмосигнала, а колебательные (резонансные) характеристики сейсмоприемника. 

Следовательно, для того, чтобы делать какие-то выводы о свойствах поля упругих колебаний, необходимо было прежде всего создать сейсмоприемник, не имеющий колебательных свойств или, иначе говоря, лишенный собственных колебаний. 

Разработав такой сейсмоприемник, мы увидели, что гармонический характер сейсмосигнала все равно сохраняется. Только если раньше, при использовании существующих, применяемых в сейсморазведке сейсмоприемников, частота возникающего сейсмосигнала изменялась в очень ограниченных рамках, около значений собственных частот сейсмоприемника, то теперь, при использовании широкополосного, нерезонансного сейсмоприемника сейсмосигнал содержит, как правило, несколько гармонических затухающих сигналов с частотами от долей герца до килогерц. То есть, в принципе, с созданием нерезонансного сейсмоприемника задача не изменилась. Все равно осталась необходимость выяснить источники этих гармонических составляющих. 

На первом этапе, было определено чисто эмпирически, что при работе в условиях существенно слоистых осадочных пород каждая из спектральных составляющих f0 оказалась обусловленной породным слоем с толщиной h следующим образом:

f0=k/h (1) 

Физический смысл коэффициента k первоначально был неясен. Размерность его - размерность скорости, но сбивало с толку то, что значение его в различных породах остается весьма постоянным. А именно, 2500м/с. И отклонение от этого значения во всех горных породах не превышает ±10%. Что это за скорость, было совершенно непонятно. Согласно существующим представлениям, ни одна скорость, характеризующая поле упругих колебаний, не остается столь неизменной во всем диапазоне осадочных (а как в дальнейшем оказалось, и кристаллических) пород. 

Для того чтобы попытаться разобраться в этом, были проведены лабораторные исследования. Исследовались пластины из различных материалов2 при облучении их направленным акустическим гармоническим сигналом. Схема эксперимента приведена на рис. 1.

Схема измерений, позволяющих увидеть эффекты монохроматора и акустического резонансного поглощения

Рис.1 Схема измерений, позволяющих увидеть эффекты монохроматора и акустического резонансного поглощения 

На частоте f0(h), соответствующей выражению (1), величина потока I? снижается практически до нуля. При этом величина не изменяется, но на сейсмоприемнике 4 возникает ЭДС, что свидетельствует о том, что на частоте f0(h) возникает упругий процесс, сориентированный перпендикулярно первичному. Этот эффект называется акустическим резонансным поглощением (АРП), и описан в работах [1, 2]. 

На частоте, несколько меньшей, чем f0(h), можно наблюдать другой эффект, когда величина возрастает и достигает значения I0. При этом отражение от пластины (поток ) равен нулю. Этот эффект хорошо известен - это эффект монохроматора. Он является следствием интерференции между тремя потоками - I0, , и . Условие эффекта монохроматора (mh) состоит в том, что на толщине пластины h укладывается целое количество полуволн:

 

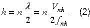
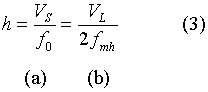
При этом получается, что эта скорость Vmh примерно вдвое больше, чем скорость, обозначенная коэффициентом k, стоящим в числителе выражения (1). Скорость Vmh примерно равна скорости распространения упругих волн поперек пластины, при ее сквозном прозвучивании3. Исходя из этих соотношений, можно предположить, что числитель выражения (2) - это скорость продольных (L) волн, а числитель выражения (1) - это скорость поперечных (S) волн. И тогда эти выражения (при n=1) можно записать в следующем виде:

 

Понятно, что таким образом представленные продольные и поперечные волны - это не совсем то, что до сих пор имели в виду, применяя те же термины. Прежде всего, о самих понятиях.

Продольные волны характеризуются скоростью VL, которая может быть вычислена с помощью выражения (3b) при наблюдении эффекта монохроматора.

Поперечные волны характеризуются скоростью VS, которая может быть вычислена с помощью выражения (3а) при наблюдении эффекта АРП.

Как видим, при таком подходе нет необходимости привлекать такие неопределяемые в эксперименте понятия как направления смещения колеблющихся частиц. И, таким образом, скорости продольных и поперечных волн наконец-то могут быть определены метрологически корректно. 

Эффект резонанса (АРП) - это момент совпадения собственной частоты колебательной системы с частотой внешнего воздействия. Гармоническое внешнее воздействие создавалось излучателем 1. А колебательной системой, стало быть, была сама пластина, и тогда ее собственная частота (по толщине) определяется выражением (3а). То, что это действительно так, проверяется путем воздействия на пластину коротким ударом. При этом от точки удара расходятся упругие колебания, имеющие вид затухающей синусоиды, частота которой равна частоте f0. Следует отметить, что в лабораторных условиях в чистом виде этот момент увидеть довольно трудно. Сказываются незначительные размеры пластины и, стало быть, собственные ее частоты по другим размерам, и почти неизбежные колебания на изгибных волнах. Наиболее удобно и просто наблюдать возникновение собственных колебаний по толщине плоскопараллельной структуры на льду замерзшего озера или пруда. 

Одним из трудно воспринимаемых моментов является удивительное постоянство скорости поперечных волн практически во всех горных породах. Особенно учитывая давно установившееся мнение о том, что значение VS меняется в крайне широких пределах. Трудно привыкнуть к осознанию того, что мнение это было ошибочным. Но ведь действительно, никакой метрологической корректности при определении этой скорости раньше не исполнялось. 

Как эффект АРП, так и эффект монохроматора наблюдаются фактически в режиме стоячих волн. Скорость, определяемая в режиме стоячих волн, не является скоростью распространения поля, так как в режиме стоячих волн оно никуда не распространяется. Это так называемая фазовая скорость. Понятие фазовой скорости возникло в 30-х годах ХХ века, когда оказалось, что скорость в электромагнитных волноводах, определяемая по расстоянию между узлами и пучностями, превышает скорость света в вакууме в свободном пространстве. Тогда, чтобы отличить скорость, характеризующую режим стоячих волн от режима распространения, и был введен этот термин4

Однако, как оказалось, скорость VS может характеризовать также и распространение волнового процесса в пространстве. 

Изменим условия рассмотренного выше эксперимента. Будем теперь воздействовать на пластину не гармоническим направленным акустическим излучением, а точечным ударом. То есть, так, как происходит воздействие при сейсмоработах. Перемещая вдоль пластины точечный пьезоприемник п, выясним, с какой скоростью распространяется фронт сигнала (то есть по моменту первого вступления) при удалении от точки воздействия, от источника и. Схема эксперимента приведена на рис.2а.

Схема измерений (а) и результаты определения скорости распространения колебательного упругого процесса вдоль слоя-резонатора (б).

Рис.2 Схема измерений (а) и результаты определения скорости распространения колебательного упругого процесса вдоль слоя-резонатора (б). 

Максимальное значение скорости наблюдается при сквозном прозвучивании пластины, то есть когда регистрация идет в точке п. Для стекла, керамики а также большинства металлов величина этой скорости V - примерно 6000м/с. При регистрации сигнала в точках с индексом "=" скорость распространения V= существенно ниже. Но самое главное, что эта скорость зависит от расстояния до точки ударного воздействия l. Минимальное значение скорости - при самых малых расстояниях. Минимальное расстояние l0 определяется допустимой погрешностью при определении расстояния. В лабораторных условиях толщина пластины вряд ли будет больше чем 10 мм, и при этом расстояние l0 (тоже примерно 10мм) оказывается примерно равным h. При l0h величина скорости V= примерно равна 1000м/с. Затем, с увеличением l, скорость V= увеличивается, и приближается асимптотически к значению, примерно вдвое меньшему, чем V. С приближением к точке удара график зависимости V=(l) увеличивает свою толщину, что соответствует увеличению погрешности ее определения. 

Величина, к которой стремится скорость распространения собственных колебаний пластины-резонатора (или слоя-резонатора) вдоль ее поверхности, равна скорости VS. Снижение скорости распространения этого процесса вдоль пластины-резонатора происходит вблизи точки ударного воздействия, а также вблизи границ и в зонах любых нарушений плоскопараллельности слоя-резонатора. 

О малых значениях скорости распространения упругих колебаний вблизи точки ударного воздействия при сейсмоработах известно. Но объяснять это принято приповерхностной зоной малых скоростей, якобы возникшей вследствие повышенной нарушенности и выветрелости приповерхностных горных пород. На самом деле, нарушенность приповерхностного слоя здесь не при чем. Спектральное преобразование импульсного сигнала в синусоидальный происходит не мгновенно, и рассматривать скорость распространения упругого процесса без учета его спектрального преобразования нельзя. Там, где идет преобразование спектра сейсмосигнала, происходит снижение скорости распространения V=. Наибольшее изменение спектра происходит в зоне ударного воздействия. Поэтому и снижение скорости там наибольшее. Там, где изменяется плоскопараллельность слоя (изменение толщины его, выклинивание, раздвоение и т.п.) преобразование спектра менее значительно, и снижение скорости там может быть меньшим. 

Если собственные колебания слоя-резонатора достигают его границы (возможно, обусловленной тектоническим нарушением), то они отражаются от этой границы. Этот эхо-сигнал может быть зарегистрирован, и принцип локации может быть использован, чтобы определить расстояние до нарушения. Скорость при этом зависит от этого самого расстояния. Чем меньше расстояние, тем меньше скорость - за счет замедления в зоне отражения. Более или менее приемлемая погрешность при проведении таких измерений получается, если принять V==2000м. 

Сейчас, когда мы стали искать механизмы преобразования импульсного воздействия в затухающий гармонический процесс, стало понятно, что вот эта история о распространении зондирующего импульса во все стороны является ошибочной гипотезой. Распространяется не зондирующий импульс, а гармонический затухающий процесс, причем не во все стороны, а только в пределах сформировавшей его геологической структуры. 

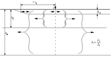
Ударное воздействие преобразуется в находящихся в зоне удара породных слоях в совокупность гармонических затухающих сигналов, частоты которых соответствуют мощностям этих слоев, в соответствии с выражением (3а). Возникшие при этом гармонические колебания расходятся от точки удара концентрическими кругами в границах соответствующих породных слоев-резонаторов так, как это показано на схеме рис.3.

Схематическое изображение слоистой среды и распространения в ней поля упругих колебаний.

Рис.3 Схематическое изображение слоистой среды и распространения в ней поля упругих колебаний. 

В случае многослойной среды (как это всегда и бывает) мощности hi следует отсчитывать от дневной поверхности. На рис.3 показано выклинивание породного слоя h1 на расстоянии -l1 от источника и, и отражение сигнала от этого нарушения. Таким образом, выделяя участок спектра сейсмосигнала около собственной частоты этого слоя, можно выявить зону его нарушения. 

Описанную здесь модель распространения поля упругих колебаний при сейсморазведочных работах подтвердили, сами того не желая, ученые Института геофизики СО РАН. Их эксперимент заключается в следующем. Мощный, 100-тонный генератор гармонического поля упругих колебаний (вибросейс) находится под Новосибирском, и излучаемое им поле может изменяться плавно и как угодно медленно по частоте от 1,5 Гц и до 12 Гц. Сейсмоприемники, регистрирующие это поле, могут находиться на расстоянии нескольких сотен километров. Задача этого эксперимента заключается в том, чтобы доказать, что излученное поле уходит на огромные (десятки км) глубины и отражается от залегающей там поверхности. В их отчетах так и приводится, что вибросейс может использоваться как альтернатива взрывной сейсмике, для сейсморазведочных региональных работ, для выявления границ, находящихся на больших глубинах. 

Однако в процессе нашего с ними обсуждения результатов этих экспериментов, вдруг выяснилось, что в ходе описанного вибросейс-эксперимента бывают такие частоты, на которых сигнал от источника не регистрируется в точке приема. Это происходит следующим образом. Оператор в точке приема получает по радиоканалу постоянную информацию о частоте излучаемого поля. И вот, когда частота достигает некоторого значения, сигнал пропадает. А далее, с дальнейшим изменением частоты, появлялся опять. Повторяемость этого эффекта очень устойчива. А поскольку никакими интерференционными процессами это не объяснялось, то и в отчет оно не попало. 

Но здесь ведь, по-моему, все очень просто. Диапазон от 1,5 до 12 Гц, согласно выражению (3а), соответствует диапазону глубин от 1,66 км до 210 м. Если бы в этом диапазоне глубин было множество равномерно распределенных границ, то, по-видимому, проходили бы все частоты диапазона. Но вот если в некотором диапазоне мощностей границ не было (шел однородный материал), то в соответствующем диапазоне частот сигнал не проходил. То есть, причина отсутствия сигнала на некоторых частотах заключается в том, что просто не было соответствующих этим частотам слоев-резонаторов. 

Осуществляя вибросейс по такой схеме, сейсморазведчики, по сути, провели сеанс спектральной сейсморазведки. Разница лишь в том, что при обычном спектрально-сейсморазведочном профилировании (ССП) применяется спектральный анализ с помощью машинного преобразования Фурье, а в случае вибросейса - последовательный спектральный анализ путем изменения частоты излучения. 

Роль продольных волн при сейсморазведочных работах пока что непонятна, а все сейсмосигналы формируются только поперечными волнами, что доказывается их гармоническим характером. 

Приведенный выше анализ можно свести к следующим шести пунктам:

При ударном воздействии на земную толщу сам зондирующий импульс отсутствует уже непосредственно в зоне удара, поскольку преобразуется в совокупность гармонических затухающих процессов.

Преобразование ударного воздействия в гармонические затухающие процессы происходит в находящихся в зоне удара породных слоях, которые, кроме того, что являются резонаторами, преобразующими исходное поле в поперечные волны, выполняют роль направляющих структур.

Упругие колебания распространяются не вниз, перпендикулярно дневной поверхности, как было принято считать до сих пор, а в направлениях, соответствующих характеру залегания направляющих породных структур-резонаторов. В большинстве случаев, залегание направляющих структур субгоризонтально, и поэтому вертикальная составляющая вектора направления распространения поля упругих колебаний обычно отсутствует;

Сейсмосигналы гармонического характера формируются поперечными волнами. Вопрос, существуют ли другие типы волн, может возникнуть, если обнаружится негармонический сейсмосигнал;

Скорость распространения упругих колебаний V вдоль направляющих структур имеет значение несколько меньшее, чем Vs. Значение V тем ближе к Vs, чем протяженнее направляющая структура, так как в зоне ударного воздействия, а также вблизи границ структуры величина скорости распространения V уменьшается. Это обусловлено процессами, связанными с преобразованием спектра в этих зонах;

Дойдя до границы направляющей структуры (наличие которой может быть обусловлено тектоническим нарушением), упругие колебания отражаются от этой границы и возвращаются в зону ударного воздействия виде эхо-сигнала. 

Перечисленные выше свойства поля упругих колебаний были выявлены не умозрительно, а строго экспериментально, и поэтому учет их при создании метода спектрально-сейсморазведочного профилирования сделал этот метод столь высокоэффективным. Многочисленные проверки показали, что информация, получаемая с помощью метода ССП, достоверна и метрологически корректна. Высокая надежность метода ССП при инженерно-геофизических изысканиях и прогнозировании процессов разрушения инженерных сооружений позволила взять этот метод на вооружение рядом организаций и, в частности, Отделом прогнозирования техногенных катастроф УрАН РФ, в Екатеринбурге. 

Метод ССП оказался единственным геофизическим методом, позволяющим надежно картировать зоны тектонических нарушений, и, как следствие, оконтуривать рудопроявления и месторождения полезных ископаемых. 

Что касается глубинности метода ССП, то можно сказать, что выполнив большой объем исследований на небольших глубинах (до сотен м), и снизив частотный диапазон до 1 Гц, мы уже получаем информацию о глубинах до 2,5 км. Это дает возможность применять метод ССП при разведке и оконтуривании нефте-газоносных структур. Такие работы уже проведены в Оренбургской области. 

Технических средств (датчиков) для регистрации, а тем более, для измерений базисных параметров поля упругих колебаний в твердых средах (это звуковое давление и параметры смещения колеблющихся частиц) не существует и сегодня.

Пластина может быть из стекла, металла, керамики или из горной породы. Применять оргстекло для моделирования акустических процессов нельзя. Об этом - в работе [3]

Более подробно описанные измерения приводятся в работе [3].

В акустике понятие фазовой скорости не формализовано. От заявления, что фазовая скорость - это скорость распространения фазы, и до утверждения, что любая скорость, которая может быть измерена - есть скорость фазовая.

Список литературы

Гликман А.Г. Особенности метрологического обеспечения сейсмоприемников // Преобразователи акустической эмиссии к системам контроля горного давления / М. : ИПКОН АН СССР, 1990. 66-76.

Гликман А.Г. Эффект акустического резонансного поглощения (АРП) как основа новой парадигмы теории поля упругих колебаний. Доклад на Пятых ежегодных геофизических чтений имени В.В. Федынского 27 февраля - 01 марта 2003 года.

Гликман А.Г. "Физика и практика спектральной сейсморазведки" на веб-сайте www.newgeophys.spb.ru

Список литературы

Для подготовки данной работы были использованы материалы с сайта http://www.newgeophys.spb.ru/


Похожие работы на - О структуре поля упругих колебаний при сейсмоизмерениях

 

Не нашли материал для своей работы?
Поможем написать уникальную работу
Без плагиата!
Без нейросетей!