Распространение плоских, гармонических по времени, упругих акустических волн в периодичном волноводе

  • Вид работы:
    Курсовая работа (т)
  • Предмет:
    Физика
  • Язык:
    Русский
    ,
    Формат файла:
    MS Word
    261,74 Кб
  • Опубликовано:
    2015-02-18
Вы можете узнать стоимость помощи в написании студенческой работы.
Помощь в написании работы, которую точно примут!

Распространение плоских, гармонических по времени, упругих акустических волн в периодичном волноводе

Федеральное агентство по образованию Российской Федерации

Государственное образовательное учреждение

высшего профессионального образования

«КУБАНСКИЙ ГОСУДАРСТВЕННЫЙ УНИВЕРСИТЕТ»

Кафедра Вычислительных Технологий

Научный руководитель,

доцент, к.ф.-м.н..

Фоменко С.И.



КУРСОВАЯ РАБОТА

«Распространение плоских, гармонических по времени, упругих акустических волн в периодичном волноводе»

Работу выполнил студент 4-го курса факультета    компьютерных технологий и прикладной математики спец. 010501 -          Прикладная математика и информатика

Король О.И.






Краснодар - 2013

Содержание

Содержание

Введение

Постановка задачи

Теория

Проектирование

Заключение

Источники

Реферат

Курсовая работа содержит 14 страниц, 5 источников, 1 приложение.

Ключевые слова: C#, периодический волновод.

Целью исследования является создание приложения, моделирующее процесс распространения плоских, гармонических по времени, упругих акустических волн в периодическом волноводе.

Введение

Рассматриваются волновые явления в периодических слоистых волноводах. При распространении волн в периодических структурах имеют место запрещенные и разрешенные частотные диапазоны, информация о которых необходима в первую очередь, например, в фотонных и фононных кристаллах.

. Постановка задачи

·        Изучение распространения плоских, гармонических по времени, упругих акустических волн в периодическом волноводе.

·        Моделирование периодического волновода.

·        Реализация алгоритма Т-матриц для периодических волноводов.

·        Анализ результатов.

Для решения задачи, требуется создать приложение. Язык программирования для написания приложения - C#, среда разработки - «Visual C# Express 2010»

. Теория

.1 Распространение волн через периодический волновод

Распространение в слоях плоских, гармонических по времени упругих, акустических волн состоит из N идентичных блоков шириной H и рассматривается между двумя идентичными полуплоскостями.

(рис. 1)

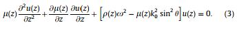
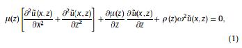
Движение поперечной волны имеет только один ненулевой компонент смещения  и регулируется следующим дифференциальным уравнением:


где µ-модуль сдвига и ρ - массовая плотность материи.

Предполагается, что смещение , имеет следующий вид:

Для плоской волны, распространяющейся в хОz-плоскости с углом падения θ по отношению к оси, как показано на рис. 1. Без ограничения общности, предполагается, что две полуплоскости идентичны и имеют те же свойства материала А. Соответственно k0 - волновое число плоских волн в полуплоскости окружающих слоев. Следующее обыкновенное дифференциальное уравнение получается из (1):


Смещение  непрерывна в стеке периодической слоев.

Из-за периодичности структуры, с периодом H (ширина элементарной ячейки), параметры упругости можно записать в виде:


Кроме того, предполагается, что слои А и В имеют постоянные свойства материала. Таким образом, материал в пределах параметров элементарной ячейки можно записать в виде:

 

В то время как правая и левая полуплоскости имеют те же свойства материала .

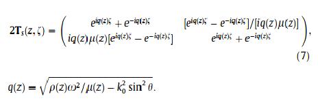
.2 метод Т-Матриц для периодического волновода

волновод периодический акустический гармонический

Поскольку две полуплоскости, прилегающей к стопке слоев, предполагаются одинакового материала, углы распространение падающих, отраженных и прошедших волн совпадают из-за закона Снеллиуса. Соответственно, волновые поля в полуплоскостях представляют собой плоские волны и могут быть выражены в виде:


где , и, А+ и А- - амплитуды прошедших и отраженных плоских волн.

Угол распространения отраженной волны совпадает с падающей и прошедшей волн, они имеют разные направления распространения, которые характеризуются противоположными знаками в экспоненциальной функции (5).

Обобщенным вектором состояния, содержащего перемещения и компоненты напряжений в пределах подслоя ограниченной z=ai и z=bi можно записать как V={U,τ}, который может быть выражен через Т-матрицы как:

Где  - это входящее волновое поле, первый аргумент zi матрицы перехода  является фиксированной глобальной координатой свойств материала (4), а второй аргумент ξ является локальной координатой области подслоя волны

Амплитуды прошедшей и отраженной волн плоскости А+ и А- через стек слоев (5) получаются из закона сохранения энергии, как

 

 

При использовании условий непрерывности на границах раздела между соседними слоями, элементы общей матрицы перехода Tij могут быть получены в терминах Т-матриц для каждого подслоя как:

 

TS для однородного подслоя (А или В) задается следующим уравнением:


Коэффициент прохождения  является критерием прохождения волн и помогает найти запрещенные зоны. Если он равен 0, то при заданных условиях волна не прошла, и, наоборот в противном случае.

. Проектирование

.1 Описание программы



На вход программы подается значения диапазона частот волн, шаг рассмотрения частот, угла и свойства материалов. Результатом работы программы является два графика.

На первом показывается зависимость коэффициента  от частоты, благодаря чему можно видеть значения коэффициента прохождения для любой частоты из заданного диапазона.

На втором графике осями являются угол наклона и частота волн. Если при некоторой частоте волны и при некотором угле, волна прошла по волноводу(то есть коэффициент прохождения не равен нулю), то на графике отмечается соответствующая точка, и не отмечается в противном случае.

.2 Состав программы

Исходный код программы включает в себя 10 классов:

.        класс CompleNubers.cs - реализует множество комплексных чисел и некоторые операции над ними, а именно умножение, сложение, вычитание, деление, возведение числа е в степень комплексного числа и взятие модуля.

.        класс Fun_and_BC.cs содержит 2 метода, реализующих считающих q(z) и Ts(z,ξ) в формуле (7).

.        класс OPT.cs - включает в себя методы, считающие значения матрицы Т и возвращающие координаты значений коэффициента прохождения для построения каждого из графика.

.        класс Matrix9.cs содержит методы умножения и возведения в натуральную степень(с помощью бинарного алгоритме возведения в степень) комплексных матриц.

.        класс sloy.cs - задает модель подслоев.

.        класс Paint_Graf.cs - реализует вывод результата работы программы в виде графиков.

-9. классы zoom.cs, index.cs и info.cs отвечают за пользовательский интерфейс.

. класс program.cs - главный класс программы.

.3 Полученные результаты

При начальных данных:

диапазон частоты: 1-100

шаг просмотра частот: 0.1

плотность слоев А и В: 2.25 и 3.33

модуль сдвига А и В: 16,3354 и 101

угол: 0.2

на 1ом графике:

(ось Y - µ+, Ось X -ω)

легко видеть значения коэффициента прохождения и участки запрещенных зон.

на 2ом графике:

(ось Y - θ, Ось X -ω)

видны зоны прохождения, в зависимости от угла наклона и частоты волн.

. Заключение

Результатом работы стала программа, моделирующая процесс распространения плоских, гармонических по времени, упругих акустических волн в периодическом волноводе, определяющая запретные зоны, при помощи работы которой можно строить дальнейшие исследования.

. Источники

.        M.V. Golub, S.I. Fomenko, T.Q. Bui, Ch. Zhang , Y.-S. Wang - «Transmission and band gaps of elastic SH waves in functionally gradedperiodic laminates»

.        MSDN Library.://msdn.microsoft.com/ru-ru/library/ms123401

3.      Флёнов М.Е. -“ Библия C#”

.        Бен Ватсон -“ С# 4.0 на примерах”

.        “Интерактивный учебник по Visual C#”://msdn.microsoft.com/ru-ru/library/bb383962(v=vs.90).aspx

Похожие работы на - Распространение плоских, гармонических по времени, упругих акустических волн в периодичном волноводе

 

Не нашли материал для своей работы?
Поможем написать уникальную работу
Без плагиата!
Без нейросетей!