Методы и средства определения кофеина

  • Вид работы:
    Реферат
  • Предмет:
    Другое
  • Язык:
    Русский
    ,
    Формат файла:
    MS Word
    84,84 Кб
  • Опубликовано:
    2013-07-19
Вы можете узнать стоимость помощи в написании студенческой работы.
Помощь в написании работы, которую точно примут!

Методы и средства определения кофеина

Министерство образования Республики Беларусь

Учреждение образования

«Могилёвский государственный университет продовольствия»

Кафедра товароведения и организации торговли



Реферат

«Методы и средства определения кофеина»

Специальность 1-25 01 09 Товароведение и экспертиза товаров

Специализация 1-25 01 09 01 Товароведение и экспертиза продовольственных товаров

Выполнили студентки группы ТЭТ-101

А.В. Скачкова

В.В. Соловьева

Руководитель работы ст. преподаватель

М.Л. Микулинич



Могилёв 2012

Кофеин (C8H10N4O2) - важнейший алкалоид кофейных зерен, известный под названием 2,6-диокси-1,3,7-триметилпурин, или 1,3,7-триметилксантин.


Это вещество без цвета и запаха, в одном растворе дает горький привкус. Кофеин кристаллизуется из водных растворов в виде кристаллогидрата, имеющего форму хрупких шелковистых игл. Безводный кофеин плавится при 236,5ºC, при осторожном нагревании может возгоняться. Он легко растворяется хлороформе, метиленхлориде, ди- и трихлорэтилене. Водные растворы кофеина имеют нейтральную реакцию, с кислотами он образует соли. Кофеин в сыром кофе находится в свободном и связанном с хлорогеновокислым калием состояниях.

Определение содержания кофеина в чае

Метод основан на быстром извлечении хлороформом кофеина из предварительно нагретого и обработанного водным аммиаком измельченного чая.

Подготовка образца

,5 г предварительно измельченного чая, взвешенного с погрешностью не более 0,0002 г, помещают в колбу вместимостью 250 см3, прибавляют 6 г кварцевого песка и перемешивают. Одновременно определяют влажность чая в соответствии с требованиями ГОСТ 1936-85.

Проведение испытания

Колбу с навеской измельченного чая ставят в кипящую водяную баню на 2 мин, затем прибавляют 10…15 см3 25 %-ного раствора аммиака до полного смачивания навески чая. Через 5 мин прибавляют 90 см3 хлороформа и кипятят с обратным холодильником в течение 15 мин. По истечении 15 мин колбу охлаждают до комнатной температуры и фильтруют через вату в колбу вместимостью 250 см3, содержащую 0,6 г алюмокалиевых квасцов в порошке и 2 г вазелина. Оставшийся после экстракции материал промывают семь раз, используя для этого 30 см3 хлороформа, после чего хлороформ сливают в колбу, содержащую квасцы и вазелин.

Обесцвеченную жидкость фильтруют через смоченную водой вату в делительную воронку вместимостью 250 см3, колбу промывают три раза водой по 10 см3, которую сливают через одну и ту же вату в общую делительную воронку. К собранной в делительной воронке жидкости добавляют 3 см3 25 %-ного раствора едкого калия, 10…15 капель 2 %-ного раствора марганцовокислого калия, 30 см3 хлороформа и взбалтывают в течение 3 мин (в случае образования эмульсии увеличивают количество хлороформа).

Хлороформ сливают через смоченный этим же раствором фильтр в колбу и взбалтывание жидкости в делительной воронке повторяют еще три раза, добавляя каждый раз по 20 см3 хлороформа. Хлороформ отгоняют, остаток в колбе растворяют в 5 см3 10 %-ного раствора серной кислоты и профильтровывают через маленький бумажный фильтр в мерную колбу вместимостью 50 см3.

Колбу с остатком кофеина промывают еще три раза 5 см3 10 %-ного раствора серной кислоты, сливая раствор через тот же фильтр в одну и ту же колбу. Затем прибавляют в колбу 25 см3 0,1 н. раствора йода, содержимое колбы доливают до метки дистиллированной водой при температуре 20 °С, хорошо перемешивают и оставляют в прохладном месте на 20…30 мин до полного осаждения периодида.

Йодный раствор осторожно фильтруют через небольшой кусочек ваты в сухую колбу вместимостью 100 см3, причем первые порции фильтрата отбрасывают, так как фильтрат должен быть прозрачным.

Отбирают пипеткой 25 см3 фильтрата и титруют 0,1 н. раствором тиосульфата натрия.

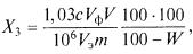
Содержание кофеина (Д, %) устанавливают по формуле

Д =  (1),

где: а - количество 0,1 н. раствора йода, взятое для испытания, см3;

b - количество 0,1 н. раствора тиосульфата натрия, израсходованное на титрование избытка йода, см3;

,00485 - количество кофеина, соответствующее 1 см3 0,1 н. раствора йода, г;

m - масса навески абсолютно сухого чая, г.

За результат анализа принимают среднее арифметическое значение двух параллельных определений, расхождение между которыми не должно превышать 0,5 % при Р = 0,95.

Если результат анализа примерно равен значению нормы содержания кофеина для соответствующего вида чая, то необходимо проведение двух дополнительных определений. В этом случай за результат анализа принимают среднее арифметическое двух параллельных определений, расхождение между которыми не должно превышать 0,7 % при Р = 0,95.

Фотометрический метод определения кофеина

Методика основана на фотометрическом определении массовой доли кофеина в растворе, полученном после экстрагирования кофеина из продукта органическим растворителем с последующим гидролитическим окислением кофеина в тетраметил-пурпуровую кислоту. Метод применим при содержании кофеина в растворе от 10 до 30 мкг/см-5.

Навеску массой 2 г помещают в стакан, заливают 100 см3 кипящей дистиллированной воды и кипятят 5 мин. Полученную суспензию охлаждают до 18-20 °С, количественно переносят в мерную колбу вместимостью 100 см3 и доливают дистиллированной водой до метки. Содержимое колбы взбалтывают и отстаивают 2-3 мин, затем фильтруют. Полученный фильтрат используют для анализа. В делительную воронку вместимостью 25 cм3 последовательно вносят 10-15 см3 хлороформа, 2 см3 фильтрата и 0,5 см3 раствора гидроксида калия. Закрывают воронку притертой пробкой и проводят экстракцию, осторожно многократно переворачивая содержимое воронки в течение 1 мин. После расслаивания системы нижний, хлороформный слой осторожно переносят в выпарительную чашку. Хлороформ отгоняют на водяной бане досуха. К сухому остатку, содержащему кофеин, прибавляют последовательно 1,0 см3 раствора соляной кислоты, смывая остаток на дно чашки, и 0,2 см3 раствора пероксида водорода. Содержимое чашки перемешивают вращательным движением, выдерживают 20 мин при комнатной температуре, затем нагревают на кипящей водяной бане до получения сухого окрашенного остатка ТМПК. Для приготовления водного раствора ТМПК к сухому остатку, охлажденному до комнатной температуры, в чашку приливают 5-10 см3 дистиллированной воды и оставляют до его полного растворения.

Полученный раствор пурпурного цвета количественно переносят в мерную колбу вместимостью 25 см3 и доводят объем раствора до метки.

Оптическую плотность полученного раствора определяют на колориметре, используя кюветы толщиной поглощающего слоя 3 см при длине волны 540 нм. Оптическая плотность исследуемого раствора не изменяется в течение 20 мин. Массовую долю кофеина (в пересчете на сухое вещество) вычисляют по формуле:

 (2),

где: 1,03 - коэффициент, учитывающий полноту извлечения кофеина хлороформом на первом этапе экстракции;

с = 60D - концентрация кофеина в фотометрируемом растворе, мкг/см3 (60 - коэффициент пропорциональной зависимости оптической плотности раствора кофеина от его концентрации в растворе); - оптическая плотность анализируемого раствора ТМПК); ф = 25 - объем фотометрируемого раствора ТМПК, полученный в результате гидролитического окисления кофеина, см ; = 100 - объем раствора кофе для анализа, см3;

 - коэффициент перевода 1 мкг в 1 г; э - объем раствора кофе, используемый для экстракции, см3; - масса навески кофе, г; - массовая доля влаги анализируемой навески кофе, %.

За окончательный результат анализа принимают среднее арифметическое результатов двух параллельных определений, допускаемое абсолютное расхождение между которыми не должно превышать 0,1 % при доверительной вероятности P=0,95. Вычисления проводят до второго десятичного знака с последующим округлением до первого.

Расхождение между результатами определений, выполненных в двух разных лабораториях, не должно превышать 0,2 % при доверительной вероятности P=0,95.

Эталонный метод

Метод заключается в обработке кофе раствором аммиака с целью извлечения кофеина из пробы кофе, очистке кофеина чистым диэтилэфиром на двух колонках (первая - со щелочной средой, вторая - с кислой средой), извлечении кофеина чистым хлороформом из раствора диэтилового эфира и определении его массовой доли спектрофотометрическим методом.

Подготовка анализируемого образца

Рассчитывают массовую долю сухого вещества в анализируемом образце после определения массовой доли влаги - по ГОСТ 15113.4. Навеску натурального растворимого кофе массой (0,500±0,001) г помещают в химический стакан вместимостью 100 см3, добавляют 5 см3 раствора аммиака и помещают в кипящую водяную баню на 2 мин. После охлаждения раствор количественно переносят в мерную колбу вместимостью 100 см3 и дистиллированной водой доводят объем до метки, тщательно перемешивают и охлаждают до комнатной температуры. С помощью пипетки отбирают 2 см3 полученного раствора, помещают в химический стакан вместимостью 100 см3, добавляют 3 г диатомовой земли и тщательно перемешивают.

Навеску декофеинизированного растворимого кофе массой (0,500±0,001) г помещают в химический стакан вместимостью 100 см3, добавляют 5 см3 раствора аммиака и помещают в кипящую водяную баню на 2 мин. Добавляют 6 г диатомовой земли и тщательно перемешивают.

Определение массовой доли кофеина

Заполнение колонок

Колонка 1 (щелочная) (рисунок Б.1)

Тщательно перемешивают 3 г диатомовой земли с 2 см3раствора едкого натра до получения однородной смеси. (Материал для заполнения колонки может быть подготовлен заранее и храниться в закрытых емкостях. Для каждой щелочной колонки требуется 5,16 г смеси). Полученный влажный порошок переносят частями, примерно по 2 г, в хроматографическую колонку диаметром 21 мм, нижняя часть которойзаполнена набивкой их хлопковой ваты или стекловаты. Без особого усилия уплотняют смесь после каждого добавления материала, применяя для этого стеклянную палочку, до образования однородного и плотного слоя.

Переносят в щелочную колонку слой смеси, подготовленной по или. Для исключения потерь кофеина химический стакан дважды очищают порциями диатомовой земли по 1 г и также помещают в щелочную колонку. Поверх кладут слой хлопковой ваты или стекловаты.

Колонка 2 (кислотная) (рисунок Б.1)

Рисунок Б.1 - Колонки для определения массовой доли кофеина

- колонка 1 (щелочная) длиной 250 мм; 2 - хлопковая вата или стекловата; 3 - смесь диатомовой земли и анализируемого образца; 4 - 3 г диатомовой земли и 2 см3 NaOH (5,16 г); 5 - хлопковая вата или стекловата; 6 - кран, предпочтительно из политетрафторэтилена; 7- колонка 2 (кислотная) длиной 250 мм; 8 - стекловата; 9 - 3 г диатомовой земли и 3 см3 H2SO4 (6,36 г)

Тщательно перемешивают 3 г диатомовой земли с 3 см3раствора серной кислоты до получения однородной смеси. (Материал длязаполнения колонки может быть подготовлен заранее и храниться в закрытых емкостях. Для каждой кислотной колонки требуется 6,36 г смеси). Полученный влажный порошок переносят частями, примерно по 3 г, в хроматографическую колонку диаметром 17 мм, нижняя часть которой заполнена набивкой из стекловаты. Без особого усилия уплотняют смесь после каждого добавления материала, применяя для этого стеклянную палочку, до образования однородного и плотного слоя. Поверх кладут слой стекловаты.

Очистка и извлечение кофеина

Устанавливают колонки одну над другой так, чтобы жидкость из щелочной колонки прямо стекала в кислотную колонку. Пропускают постепенно 150 см3 диэтилового эфира через обе колонки.

Кран колонки 2 регулируют так, чтобы на поверхности содержимого в колонке остался тонкий слой жидкости. После этого колонку 1убирают, а через колонку 2 пропускают еще 50 см3 диэтилового эфира. Вытекающую из колонки 2 жидкость сливают в отходы. (Используемый диэтиловый эфир может быть восстановлен взбалтыванием его с сернокислым железом).

Избыточное количество диэтилового эфира удаляют с помощью вакуум-насоса или резиновой груши до тех пор, пока не прекратится стекание капель диэтилового эфира из колонки, и выходящий из крана воздух не будет нести лишь слабый запах диэтилового эфира.

Для извлечения кофеина через колонку 2 пропускают 45-50 см3 хлороформа, который собирают в мерную колбу вместимостью 50 см3 с одной меткой, и доводят объем до метки хлороформом. Полученную смесь тщательно перемешивают.

Краны колонок регулируют так, чтобы скорость жидкости (хлороформа и диэтилового эфира) не превышала 3 см3/мин и обеспечивала равномерное прохождение жидкости через все содержимое колонок.

Во избежание вдыхания паров растворов диэтилового эфира и хлороформа и возможности взрыва их добавление должно проводиться в хорошовентилируемом вытяжном шкафу.

Спектрометрические измерения

На спектрофотометре измеряют оптическую плотность полученного раствора в кварцевой кювете по отношению к чистому насыщенному водой хлороформу при длине волны 276 нм, соответствующей максимуму спектра поглощения кофеина, и при длинах волн на 30 нм выше и ниже этого значения - для подтверждения чистоты полученного кофеина.

Если максимальная оптическая плотность превышает предел измерений используемого прибора, необходимо повторить измерение на разбавленном растворе кофеина в хлороформе. Проведенное разбавление необходимо учитывать при расчете содержания кофеина. Если максимальная измеренная оптическая плотность менее 0,2, следует повторить анализ, используя большую навеску анализируемого образца натурального растворимого кофе.

Подготовка и спектрометрическое измерение контрольного раствора

Навеску чистого кофеина массой (0,100±0,001) г помещают в мерную колбу с одной меткой вместимостью 1000 см3, растворяют в хлороформе и доводят до метки. Пипеткой отбирают 5,0 см3 полученного раствора, помещают в мерную колбу с одной меткой вместимостью 50 см3 и доводят хлороформом до метки.

Измеряют оптическую плотность полученного раствора согласно. Скорректированная оптическая плотность контрольного раствора должна быть около 0,4.

Контрольный анализ

Контрольный анализ проводят на реактивах, используя описанную выше процедуру, но без анализируемого образца.

Перед использованием повторно очищенных хроматографическим способом реактивов повторяют контрольный анализ для оценки их чистоты.

Правила обработки результатов анализа

Массовую долю кофеина X, %, в пересчете на сухое вещество вычисляют по формуле

(Б.1)

Для декофеинизированного растворимого кофе формула Б.1 имеет вид:

,

где c - массовая концентрация кофеина в контрольном растворе (рассчитывают по Б.7.2.2.2), г/дм3;- скорректированная оптическая плотность очищенного экстракта:

(Б.2)

лямбда - длина волны, соответствующая максимуму спектра поглощения кофеина, (276 нм);- скорректированная оптическая плотность контрольного раствора кофеина:

(Б.3)

- масса анализируемого образца натурального растворимого кофе, г;- массовая доля сухого вещества, %.

Требования к точности результатов измерений

За окончательный результат анализа принимают среднеарифметическое значение результатов двух параллельных определений, допускаемое абсолютное расхождение между которыми при Р=0,95 не должно превышать:

0,17% для натурального растворимого кофе массовой долей кофеина (4,0±0,4)%;

0,12% для натурального растворимого кофе массовой долей кофеина (2,0±0,2)%;

0,01% для декофеинизированного растворимого кофе массовой долей кофеина не более 0,3%.

Допускаемое абсолютное расхождение между результатами двух параллельных определений для натурального растворимого кофе массовой долей кофеина в интервалах от 0,3% до 1,8% и от 2,2% до 3,6% определяют методом линейной интерполяции.

Абсолютное расхождение между результатами двух измерений (проведенных в двух различных лабораториях) при= 0,95 не должно превышать:

0,39% для натурального растворимого кофе массовой долей кофеина (4,0±0,4)%;

0,2% для натурального растворимого кофе массовой долей кофеина (2,0±0,2)%;

0,01% для декофеинизированного растворимого кофе массовой долей кофеина не более 0,3%.

Абсолютное расхождение между результатами двух измерений (проведенных в двух различных лабораториях) для натурального растворимого кофе массовой долей кофеина в интервалах от 0,3% до 1,8% и от 2,2% до 3,6% определяют методом линейной интерполяции.

Средства измерений и оборудование

Обычное лабораторное оборудование, в частности:

Хроматограф для ВЭЖХ, снабженный ультрафиолетовым детектором, позволяющим проводить измерения в диапазоне от 254 до 280 нм, и самописцем. Предпочтительна длина волны ближе к 280 нм, поскольку максимальна абсорбция кофеина происходит при длине волны 272 нм.

Хроматографическая колонка для ВЭЖХ, типа С, предпочтительно со сферическими частичками и с эффективностью не менее 5000 теоретических пластин.

Очистительная колонка для обращенно-фазовой хроматографии вместимостью 3 см, заполненная силикагелем, модифицированным фенильными группами, частички которого имеют средний размер около 40 мкм.

Кофейная мельница, пригодная для размалывания зерен жареного кофе.

Кофейная мельница с зубчатым колесом и с охлаждающей рубашкой или лабораторная кофейная мельница с лопастями и охлаждающей рубашкой, или любая другая кофейная мельница, пригодная для размалывания зерен зеленого кофе.

Хроматографы жидкостные микроколоночные Милихром

Хроматографы жидкостные микроколоночные серии «Милихром» предназначены для разделения анализируемой смеси на компоненты, их детектирования, идентификации и количественного анализа методом высокоэффективной жидкостной хроматографии (ВЖЭХ).

Хроматограф жидкостный микроколоночный "Милихром-6"

Эффективная жидкостная система:

автоматическое устройство ввода пробы на 30 образцов;

высокоточное дозирование в диапазоне от 1 до 99 мкл;

два микрошприцевых насоса, объёмом по 2500 мкл;

максимальное давление 8+1,0 МПа;

расход - 2-999 мкл/мм;

нестабильность расхода, не более - 0,8%;

кювета из химически инертного материала с регулируемым клапаном противодавления исключает образование воздуха в магистралях;

гидродинамический смеситель обеспечивает воспроизводимость смешиваемых жидкостей при скорости потока до 200 мкл/мин;

коррозийная стойкость материалов позволяет работать с концентрированными кислотами;

изократический и градиентный (любой формы) режим работы;

микроколонки с эффективностью не ниже 5000-6000 т.т. объёмом 250-300 мкл с расходом элюента 1300-1600 мкл на один анализ;

термостат колонки с диапазоном устанавливаемых температур 35÷850оС, с погрешностью термостатирования 10оС.

Малогабаритный электронный блок из импортных компонентов высокой надёжности.

Система управления прибором и обработки хроматографической информации на базе современного компьютера и удобной для Пользователя программой UniChrom, функционирующей в среде Windows.

Превосходство хроматографа Милихром-6 заложено в уникальной совокупности его функциональных возможностей и позволяет экономично проводить анализ любой сложности одновременно для нескольких соединений с высокой точностью и воспроизводимостью, используя ранее сформированные библиотеки спектров и спектральных отношений веществ.

Хроматограф жидкостный микроколоночный "Милихром-5-3"

Отличия “Милихром-6” от “Милихром-5”

Хроматограф “Милихром-6” является новой разработкой, в которой за счёт изменения конструкции кюветы, изготовленной из химически инертного материала (РЕЕК), введения в жидкостную систему смесителя, клапана противодавления, а также за счёт применения в электронике импортных компонентов, в том числе дейтериевой лампы и фотоэлектронного умножителя HAMAMATSU (Япония) повышена селективность разделения, увеличена разрешающая способность, повышены надёжность и срок службы хроматографа.

Превосходство хроматографа “Милихром-6” заложено в уникальной совокупности его функциональных возможностей и позволяет экономично проводить анализ любой сложности одновременно для нескольких соединений с высокой точностью и воспроизводимостью, используя ранее сформированные библиотеки спектров и спектральных отношений веществ.

Хроматограф жидкостный микроколоночный "Милихром-5-7"

Список использованных источников

кофеин чай фотометрический хроматографический

1. ГОСТ Р 52613-2006 (ИСО 10095:1992) Кофе. Определение массовой доли кофеина. Метод высокоэффективной жидкостной хроматографии.

2.      <http://www.chromatogramma.ru/>

Похожие работы на - Методы и средства определения кофеина

 

Не нашли материал для своей работы?
Поможем написать уникальную работу
Без плагиата!
Без нейросетей!