Проблема решения конфликтов (политических, социальных, национальных, психологических)

  • Вид работы:
    Курсовая работа (т)
  • Предмет:
    Менеджмент
  • Язык:
    Русский
    ,
    Формат файла:
    MS Word
    368,72 Кб
  • Опубликовано:
    2013-10-07
Вы можете узнать стоимость помощи в написании студенческой работы.
Помощь в написании работы, которую точно примут!

Проблема решения конфликтов (политических, социальных, национальных, психологических)

Оглавление

Введение

1. Конфликты: их сущность и пути разрешения

1.1 Понятие и сущность конфликта

1.2 Виды конфликтов

1.3 Конфликты в организации

2. Системный анализ конфликтов в организации

2.1 Построение дерева целей

2.2 Расчет коэффициентов относительной важности

2.3 Построение дерева мероприятий

2.4 Построение сетевого графика

Заключение

Список литературы

Введение


Конфликты - неотъемлемая часть нашей жизни. Когда две стороны находятся в контакте, то независимо от причины их взаимодействия всегда существует вероятность возникновения конфликта: они могут согласовывать свои противоречивые позиции при достижении совместной цели; иметь разногласия по поводу самих целей, к которым им следует вместе стремиться; или оказаться в разладе из-за каких-то личностных противоречий, агрессивных нападок друг на друга, предшествующего негативного опыта и т.п. Большинство людей рассматривают конфликт преимущественно как дисфункциональное (негативное) явление, в то время как конфликт может содержать и конструктивные элементы, которые следует вводить и использовать для эффективного разрешения или урегулирования конфликта.

Целью курсовой работы является изучение проблемы разрешения конфликтов.

Объектом исследования являются конфликты.

Предметом исследования являются конфликты в деятельности организации.

Цель курсового проекта - изучение проблемы решения конфликта в деятельности организации.

Методы, использовавшиеся в работе:

метод системного анализа;

метод сравнения.

дерево цель конфликт системный

1. Конфликты: их сущность и пути разрешения


1.1 Понятие и сущность конфликта


Под конфликтами в психологии трудовых отношений принято понимать различие интересов людей, противоборство взглядов, столкновение принципов и стремлений личностей.

В процессе производственной деятельности персонала конфликты по своему содержанию могут быть самыми различными, но в своем конечном выражении они всегда выступают как отношения взаимного противодействия отдельных людей, как возникшие столкновения личностей [3, с.266].

Конфликт - это столкновение сторон, мнений, сил, интересов одного или нескольких участников, у которых имеются свои различные пути и методы достижений целей, частных или общих [8, с.356; 2, с.719].

Движущей силой в конфликте является любопытство или стремление человека или победить, или сохранить, или улучшить свое положение, безопасность, устойчивость в коллективе или надежда на достижение поставленной в явном или не явном виде цели [14, с.65].

В основе всякого влияния человека на человека как с управленческих, так и с психологических позиций лежит их взаимная зависимость друг от друга. На производстве люди могут быть связаны между собой как работники одного подразделения или различных служб, как руководитель и подчиненные сотрудники или, наоборот, как работники и руководитель. Во всех указанных ситуациях, характеризующихся разными структурами управленческих взаимоотношений, существуют и некоторые общие взаимосвязи: взаимозависимость поведения участников, взаимовлияние действий одного на действия и психологическое состояние других. Как установили психологи, при взаимодействии двух человек выявляется шесть возможных типов влияния:

взаимное облегчение, характеризующееся тем, что индивиды, выполняя некие действия в присутствии друг друга, осуществляют их значительно успешнее, чем в отсутствие одного или другого;

взаимное затруднение, возникающее в тех случаях, когда участникам взаимодействия предстоит порознь, но в присутствии друг друга решать сложные задачи, что приводит к увеличению ошибок;

одностороннее облегчение, состоящее в том, что более сильный и опытный человек помогает более слабому, который может оказаться в психологической зависимости, что ведет к возникновению неуверенности и может превратиться в черту личности;

одностороннее затруднение, наблюдающееся при работе в присутствии постороннего человека, который становится своего рода помехой в выполнении действий и приводит к раздражению работающего;

асимметричное облегчение, возникающее тогда, когда один из партнеров, облегчая положение другого, оказывается вследствие этого сам в затруднительном положении;

полная независимость, состоящая в том, что действия одного человека никак не влияют на достижения другого, что практически наблюдается крайне редко [1].

Практическое использование рассмотренных типов влияния в системе управления персоналом будет способствовать достижению психологической совместимости работников на производстве, поможет руководителю выяснить, где и когда возникает психологическая напряженность в трудовом коллективе и каким образом ее можно предупредить или ослабить. Любая конфликтная ситуация, помимо самого конфликта, включает в себя всю совокупность причин и условий, предшествующих возникновению разногласий и вызвавших противостояние сил. Именно поэтому в известном смысле под конфликтной ситуацией следует понимать стечение психологических предпосылок, социальных условий и производственных причин еще не наступившего потенциального конфликта, угрожающих разрядиться реальным трудовым конфликтом, который возникает тогда, когда сознательное поведение одной из сторон вступает в неразрешимое противоречие с интересами другой стороны. Всякий конфликт - это борьба за определенные ценности, власть, ресурсы и иные экономические блага, которые являются жизненно важными для той и другой конфликтующей стороны [3, с.268].

Конфликты и конфликтные ситуации, возникающие в трудовом коллективе, можно подразделить на различные виды по многим классификационным основаниям.

По служебно-коммуникативной направленности конфликты возникают между иерархическими уровнями управления - вертикальные, а также между равными по служебному положению работниками - горизонтальные.

Конфликты могут возникать на деловой или личной основе - функциональные и личностные.

Конфликты могут быть конструктивные, или созидательные, и деструктивные, или разрушительные. Первые стимулируют развитие трудового коллектива и его работников, вторые тормозят это развитие. Конструктивные конфликты находят свое выражение в принципиальных спорах, творческих дискуссиях, деструктивные - в мелких жалобах и дрязгах, в крупных доносах и склоках.

В зависимости от причин возникновения различают три типа трудовых конфликтов на предприятии:

конфликт целей, когда субъекты управления по-разному видят состояние своего объекта в настоящем и будущем;

конфликт расхождения взглядов, когда работники различаются своими подходами к решению производственных задач как по способам действия, так и по срокам их осуществления;

эмоциональный конфликт, когда у различных категорий персонала во взаимоотношениях друг с другом возникают противоположные чувства и эмоции [3, с.268].

Кроме рассмотренных видов и типов трудовых конфликтов, могут быть использованы и другие признаки классификации возникающих на предприятиях конфликтных ситуаций:

по степени выраженности - скрытые, потенциальные, открытые;

по количеству участников - личностные, межличностные, внутригрупповые, межгрупповые, внутрикорпоративные, межкорпоративные;

по природе возникновения - психологические, социальные, экономические, организационные, национальные, этнические;

по способу разрешения - антагонистические, компромиссные [3, 269].

Скрытые конфликты характеризуются отсутствием внешних сил взаимодействия между конфликтующими сторонами, открытые - ярко выраженным столкновением противостоящих сторон, использованием прямых способов воздействия на своего оппонента.

Личностный, или внутренний, конфликт возникает внутри индивида и по своей природе отражает несоответствие целей, потребностей, интересов, мотивов человека и организации в процессе их общей производственной деятельности.

Межличностные и межгрупповые конфликты характеризуются наличием несогласованных действий между отдельными работниками или их группами. В трудовых взаимоотношениях работников различных категорий такие конфликты встречаются наиболее часто.

Психологические конфликты обычно возникают при отсутствии психологической совместимости между людьми. Психологи выделяют два вида совместимости: психофизиологическую и социально-психологическую. Первый вид совместимости означает сходство в направленности психофизиологических реакций людей, синхронизацию темпа психической деятельности персонала. Второй вид совместимости является следствием оптимального сочетания типов поведения людей и основывается на единстве интересов, потребностей и ценностей персонала.

Социальные конфликты считаются высшей стадией развития противоречий в трудовых отношениях отдельных работников, профессиональных групп, целых подразделений, возникающих при отсутствии объективной, справедливой оценки результатов их производственной деятельности.

Организационные конфликты являются следствием отсутствия у работников необходимой степени адаптации к трудовой деятельности в условиях регламентированного производства, требующего строгого соблюдения принципов рациональной организации труда персонала.

Антагонистические конфликты представляют собой наиболее сложную систему противоречий в трудовой деятельности персонала, причем разрешение этих конфликтов предполагает выход одной из сторон из состояния непримиримости.

Компромиссные конфликты допускают несколько возможных вариантов своего устранения за счет совместных уступок своих прежних позиций или примирения сторон.

В системе управления персоналом важную роль призвана играть психологическая совместимость работников как основное средство создания благоприятной обстановки в процессе труда и предупреждения трудовых конфликтов. В разных условиях каждый человек обычно выполняет разнообразные роли. В ролевом поведении людей существуют две детерминанты: социальная роль и психологические особенности личности (одна отвечает за изменчивость поведения, вторая обеспечивает преемственность поведения). В процессе трудовой деятельности личность каждого человека не только проявляется, но и формируется. Самооценка человека также в значительной степени определяется выполняемой социальной ролью, занимаемым местом в трудовом коллективе. Индивид смотрит на себя глазами своей группы, оценивает свое поведение с точки зрения общепринятых норм. Именно поэтому представление человека о самом себе, даже о собственных своих психологических свойствах и качествах, далеко не всегда объективно. Как установили психологи, мотивы, которые человек выдвигает, обосновывая перед другими людьми и перед самим собой свое поведение, даже и тогда, когда он стремится правильно осознать свои побуждения и субъективно вполне искренен, далеко не всегда объективно отражают его побуждения, реально определяющие его действия. Важнейшей характеристикой личности человека с психологических позиций выступает известная формула: самоуважение определяется соотношением успеха к притязаниям. Чем выше притязания человека, тем больше должны быть его достижения для того, чтобы он мог себя уважать.

В трудовом коллективе и успехи, и притязания человека определяются им самим через сравнение себя с другими людьми. Для того чтобы определить степень своих трудовых успехов, индивид отмечает, как выполняют работу другие люди. Для того чтобы заслужить уважение окружающих и уважать себя самому, он стремится делом доказать, что может исполнять свою роль не хуже других работников. Однако на производстве бывают и такие случаи, когда человек вынужден выполнять роль, назначение которой не соответствует его представлению о самом себе, о своем месте в трудовом коллективе: так возникает внутриличностный конфликт.

Конфликт между исполняемой человеком ролью, занимаемым, на предприятии положением и его внутренними желаниями вызывает сильные эмоциональные напряжения, которые у людей проявляются по-разному, в зависимости от особенностей характера. Разрешение внутреннего конфликта может принять рациональную форму, если не удовлетворенный своей профессией или должностью работник начинает учиться и своими профессиональными достижениями доказывает свои притязания на новую должность. Другой распространенный случай разрешения внутренних конфликтов состоит в том, что человек, не имеющий возможности изменить сложившуюся ситуацию, устраняется от дальнейшего исполнения противоречащей его внутренним желаниям работы (в большинстве конфликтов это приводит к увольнению работника по собственному желанию).

Следовательно, нормальные психологические отношения в трудовом коллективе зависят не только от внутренних, но и от многих внешних переменных факторов. Прежде всего это внешние относительно любого предприятия рыночные факторы, исходящие от состояния всей национальной экономики в целом. Влияние рынка конкретизируются на предприятии через систему управленческих воздействий, оказываемых менеджерами на данный трудовой коллектив. Именно поэтому было бы неоправданной уступкой психологизму недооценивать влияние экономических факторов на возникновение сложных конфликтных ситуаций на многих предприятиях, вызванных нестабильностью новых рыночных отношений. Естественно, что неоправданное ухудшение экономического положения российских предприятий, сокращение численности персонала и снижение личных доходов работников порождают их неуверенность, раздражительность и другие негативные эмоции. На психологическое состояние персонала новые рыночные факторы влияют как непосредственно, так и опосредованно, когда многие работники сравнивают свои условия труда и заработную плату с теми, которые они имели до рыночных отношений или которые существуют на передовых предприятиях.

В современном производстве можно выделить три группы общих причин, вызывающих конфликтные ситуации в трудовых коллективах. Первая связана с недостатками в организации производства, нормировании и оплате труда персонала; вторая - с недостатками в управлении производством, неправильной расстановкой работников по рабочим местам, не учитывающей их квалификацию и психологические особенности; третья - с межличностными отношениями внутри производственного коллектива [3, с.271-272].

По-видимому, общие причины трудовых конфликтов зависят от таких социально-психологических факторов, как личность руководителя, компетентность исполнителей, психологическая совместимость работников при выполнении общей работы. Понятие "психологическая совместимость" используется для обозначения оптимального сочетания в едином коллективе личностных качеств работников. На производстве в конфликтных ситуациях чаще применяется негативное определение "психологическая несовместимость", которая означает не просто различие ценностных установок, отсутствие внепроизводственных связей, неуважение или неприязнь людей друг другу - это неспособность в критических ситуациях понять друг друга, несинхронность психомоторных реакций, различия во внимании, мышлении и другие врожденные и приобретенные свойства личности, которые препятствуют совместной трудовой деятельности людей.

Помимо общих психологических причин конфликтов, на предприятии существует множество других производственных факторов, вызывающих у работников внутреннюю неудовлетворенность социально-экономическими условиями и результатами своего труда:

однообразный характер выполняемой работы;

нарушение ритмичности производства;

сменный режим работы;

частые сверхурочные работы;

вредные условия труда;

недостатки в нормировании труда;

изношенность оборудования;

неудовлетворенность оплатой труда;

неудовлетворенность отношениями с руководством;

сложность взаимоотношений в коллективе.

Таким образом, основными причинами большинства производственных конфликтов можно считать внутреннюю неудовлетворенность работников как психофизиологическими условиями труда, так и социально-экономическими результатами работы. Чем выше уровень социально-психологической культуры членов трудового коллектива, и в первую очередь его руководителя, тем большее место в его жизни будут иметь деловые, конструктивные конфликты. И наоборот, чем ниже этот уровень, тем большее распространение получают личные конфликты, играющие деструктивную роль. В хорошо управляемых производственных подразделениях сфера деловых конфликтов, как правило, отделена от сферы личных конфликтов. В таких условиях заметно повышается и общий уровень управляемости конфликтами на данном предприятии. Деловая конфликтность обычно носит конструктивный и мобильный характер: конфликтная ситуация исчезает, как только решается производственная проблема. Способ разрешения конфликта предполагает активные действия руководителей и всего персонала в достижении позитивного исхода возникшей конфликтной ситуации. Исходы конфликтов могут быть самыми различными: полное уничтожение путем примирения сторон, исчезновение на основе признания победителя, ослабление путем взаимных уступок, перерастание в новое состояние, постепенное самостоятельное затухание, механическое уничтожение путем реформирования коллектива и т.д.

Прыткин выделяет следующие причины конфликтов в организации:

распределение ресурсов - стремление распределить ресурсы наиболее эффективно и стремление получить их в большем количестве;

взаимозависимость задач - взаимосвязанность задач в структуре организации и неадекватность реакции личностей на принципы их решения;

различия в целях - разграничение целей по подразделениям приводит к их игнорированию;

различия в представлениях и ценностях - объективная оценка ситуации заменяется личностными и групповыми интересами;

различия в манере поведения и жизненно опыте - характер и темперамент, уровень авторитарности и догматичности, уровень самоуважения и жизненного опыта;

неудовлетворительные коммуникации - неадекватное понимание, различные критерии оценки, недостаточная и неполная информация [8, с.356].

Полное разрешение конфликта предполагает выявление и устранение основных причин, породивших конфликтную ситуацию, а также изменение главной цели или отношения участников конфликта к производственной деятельности. Неразрешенные конфликты впоследствии могут привести к новым трудовым спорам, которые должны рассматриваться в порядке, установленном действующим законодательством.

1.2 Виды конфликтов


Виды конфликтов - варианты конфликтного взаимодействия. Конфликты различают:

по способам их разрешения на антагонистические и компромиссные;

по природе возникновения на социально-организационные и эмоциональные;

по направленности воздействия на вертикальные и горизонтальные;

по степени выраженности на открытые, скрытые и потенциальные;

по количеству участников, задействованных в конфликте, на внутриличностные, межличностные и межгрупповые и др.

1.3 Конфликты в организации


Большинство работников имеют личные или связанные с работой проблемы, часто перерастающие в конфликты, которые могут повлиять на выполнение ими работы. На малом предприятии руководитель имеет более тесные рабочие отношения с персоналом, что дает возможность выявить трудности и проблемы на ранней стадии. Работник должен чувствовать, что может обратиться к руководителю за помощью и советом. Руководителю следует создать неофициальную, дружескую обстановку для разрешения проблем своего работника, высказать свое мнение о сложившейся ситуации и убедить работника принять решение самостоятельно, если это его личные проблемы.

Важным аспектом во взаимодействии с персоналом выступает умение управлять конфликтами на предприятии. Они возникают в процессе взаимодействия, общения людей между собой.

Конфликт - это столкновение противоположно направленных целей, интересов, позиций, мнений и взглядов двух или нескольких людей, а также это вид противоречия, который может привести или к развитию деятельности организации, или к ее угасанию. В конфликтах человек может вести себя как агрессивное существо.

Современная точка зрения на конфликты состоит в том, что многие из них не только допустимы, но и желательны, поскольку дают информацию о проблемах предприятия и разнообразных точках зрения на те или иные события.

Позитивными последствиями конфликта считаются: решение проблемы способом, приемлемым для всех сторон; укрепление взаимопонимания, сплоченности, сотрудничества. Конфликты способствуют повышению активности и мотивации в работе, росту квалификации, стимулируют споры и любознательность, появление новых идей в развитии предприятия, рост способности к изменениям. Совершенно без конфликтов, проблем, переживаний человек может остановиться в своем развитии. Все это способствует процессу управления, а потому конфликты в зависимости от ситуации следует не подавлять, а регулировать.

В то же время конфликты могут иметь дисфункциональные (негативные) последствия: неудовлетворенность, ухудшение морально-психологического климата, сворачивание сотрудничества, рост текучести кадров, снижение производительности, нарастание враждебности.

Любой руководитель предприятия заинтересован в том, чтобы конфликт был как можно быстрее преодолен (исчерпан, пресечен или прекращен), так как его последствия могут принести немалый моральный или материальный ущерб.

В науке менеджмента различают виды конфликтов:

. внутриличностный;

. межличностный;

. конфликт между личностью и группой;

. конфликт между группами людей, или межгрупповой конфликт.

2. Системный анализ конфликтов в организации


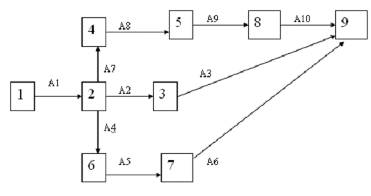
2.1 Построение дерева целей



2.2 Расчет коэффициентов относительной важности



2.3 Построение дерева мероприятий










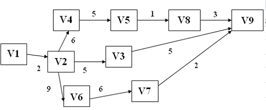
2.4 Построение сетевого графика


Номер семейства

Коды вершин

1

0 1.1 1.2 1.3

2

1.1 2.1 2.2

3

1.2 2.3 2.4

4

1.3 2.5 2.6

5

2.1 3.1 3.2

6

2.2 3.3 3.4

7

2.3 3.5 3.6

8

2.4 3.7 3.8

9

2.5 3.9 3.10

10

2.6 3.11 3.12


Виды работ:

.        Поиск конструктивного решения конфликта

2.      Создание нового, интересного задания

.        Предложение решения проблемы

.        Направление энергии конфликта в другое русло

.        Подбор нового интересного задания

.        Создание нового направления деятельности

.        Стратегическое решение проблемы

.        Тактическое направление энергии в нужное русло

.        Стратегическое направление энергии в нужное русло

Работа

Прод-ть

Время начала

Время окончания

Резервы

Начальное

Конечное



Es

Ls

Ef

Lf

П

Св

Незав

E

L

E

L

1

2

3

4

5

6

7

8

9

10

11

12

13

V1-V2

2

0

0

2

2

0

0

0

0

0

2

2

V2-V4

6

2

2

8

8

0

0

0

2

2

8

8

V2-V3

5

2

2

7

7

0

0

0

2

7

7

V2-V6

9

2

2

11

11

0

0

0

2

2

11

11

V3-V9

5

7

7

12

12

0

0

0

7

7

12

12

V4-V5

5

8

8

13

13

0

0

0

8

8

13

13

V5-V8

1

13

13

14

14

0

0

0

13

13

14

14

V6-V7

6

11

11

17

17

0

0

0

11

11

17

17

V7-V9

2

17

19

19

0

0

0

17

17

19

19

V8-V9

3

14

14

17

17

0

0

0

14

14

17

17




Заключение


Конфликты являются неотъемлемой частью современной жизни. Это утверждение особенно актуально для бизнес-контекста. Бизнес сам по себе является конфликтом. Конфликты происходят как внутри компании, между ее сотрудниками. Так и между сотрудниками компаний: переговоры, продажи - все это формы конфликтных взаимодействий.

Конфликты существуют в любой организации. Они - движущая сила ее развития и повышения эффективности.

В работе был проведен системный анализ конфликтов в организации, были определены коэффициенты относительной важности, построено дерево мероприятий для каждого из возможных выходов из конфликта. Составлен сетевой график.

Список литературы


1.      Баринов В.А., Баринов Н.В. Организационный подход к управлению конфликтом в кризисной ситуации [Электронная версия] // Менеджмент в России и за рубежом. - 1999. - №5.

2.      Бусыгин А.В. Эффективный менеджмент: Учеб. для вузов по эконом. спец. [Текст]. - М.: Финпресс, 2000. - 1056с.

.        Бухалков М.И. Управление персоналом [Текст]: Учебник. - М.: ИНФРА-М, 2005. - 368с.

.        Веснин В.Р. Управление персоналом [Текст]: учеб. пособие. - М.: ТК Велби, Изд-во Проспект, 2006. - 240с.

.        Горемыкин В.А., Нестерова Н.В. Стратегия развития предприятия [Текст]: Учебное пособие. - 2-е изд., испр. - М.: Издательско-торговая организация "Дашков и Ко", 2004. - 594с.

.        Давлетчина C.Б. Конфликтология [Текст]. Учебное пособие по элективному курсу для студентов заочной формы обучения. - Улан-Удэ: Изд-во ВСГТУ, 2005. - 174с.

.        Мескон М.Х., Альберт М., Хедоури Ф. Основы менеджмента Пер. с англ. [Текст]. - М.: Дело, 1998. - 800с.

.        Общий курс менеджмента в таблицах и графиках [Текст]: Учебник для вузов / Б.В. Прыкин, Л.В. Прыкина, Н.Д. Эриашвили, З.А. Усман; Под ред. проф. Б.В. Прыкина. - М.: Банки и биржи, ЮНИТИ, 1998. - 415с.

.        Переверзев М.П., Шайденко Н.А., Басовский Л.Е. Менеджмент [Текст]: Учебник / Под общей ред. проф. М.П. Переверзева. - М.: Инфра-М, 2006. - 288с.

.        Смирнов Э.А. Разработка управленческих решений [Текст]: Учебник для вузов. - М.: ЮНИТИ-ДАНА, 2002. - 271с.

.        Соловьев А.В. Конфликт в организации: увольнение за участие в ложной забастовке или за прогул // Менеджмент в России и за рубежом. - 2000. - №4. - С.78-81.

.        Соловьев А.В. Политико-административное управление процессами разрешения коллективных конфликтов [Текст] // Менеджмент в России и за рубежом. - 1999. - №5. - С.85-97.

.        Фатхутдинов Р.А. Управленческие решения [Текст]: Учебник. - 6-е изд., перераб. и доп. - М.: ИНФРА-М, 2006. - 344с.

.        Фомин Г.П. Модели конфликтов [Текст] // Менеджмент в России и за рубежом. - 2001. - №6. - С.64-71.

.        Шипилов А. И Конфликты можно предупредить [Текст] // Кадры предприятия. - 2002. - №1. - С.50-55.

.        Шипилов А.И. Быть неконфликтным - выгодно! [Текст] // Кадры предприятия. - 2002. - №2. - С.34-41.

.        Шипилов А.И. Искусство конструктивно разрешать конфликты [Текст] // Кадры предприятия. - 2002. - №3. - С.47-53.

Похожие работы на - Проблема решения конфликтов (политических, социальных, национальных, психологических)

 

Не нашли материал для своей работы?
Поможем написать уникальную работу
Без плагиата!
Без нейросетей!