Обоснование себестоимости продукции
БИЗНЕС-ПЛАН
Обоснование
себестоимости продукции
Выполнила Рамазанова Г.Ф
Введение
себестоимость прибыль затрата
продукция
Издержки производства или другими словами
себестоимость - это стоимостная оценка используемых в процессе производства различных
ресурсов: трудовых, природных, сырья, материалов, топлива, энергии, основных
фондов.
Проведение анализа затрат на производство
является наиболее эффективным при решении задач, связанных с оптимизацией
прибыли. При проведении анализа затрат наблюдается и отслеживается зависимость
результата от объема производства и издержек.
Система управления себестоимостью является
теоретической базой для анализа затрат. В анализе затрат главным образом
уделяется внимание изучению зависимости затрат от изменения объема
производства, что позволяет грамотно и своевременно принимать решения для
нормализации состояния предприятия.
Перед тем как начать производство, предприятие
или фирма должна запланировать, какую прибыль предприятие рассчитывает
получить.
Важный показатель, который отражает уровень
предприятий и организаций - себестоимость продукции.
Себестоимость отражает затраты предприятия на
производство и сбыт продукции, выраженные в денежном измерении. Кроме этого, в
себестоимости находят свое отражение все стороны деятельности предприятия:
степень технологического оснащения производства и освоения тех. процессов;
уровень организации производства и труда, степень использования
производственных мощностей; экономичность использования материальных и трудовых
ресурсов и другие условия, отражающие производственно-хозяйственную
деятельность.
Себестоимость продукции является основой
ценообразования, с её помощью оценивается эффективность организации
производства.
Целью данной курсовой работы является
определение себестоимости для продукции А и Б на основании которых будут
рассчитаны цены и прибыль предприятия. Также необходимо определить затраты
предприятия на оплату труда, материальные затраты, амортизацию здания и
оборудования, срок окупаемости продукции, и рассчитать объем реализации
продукции.
1. Сущность и содержание планирования издержек
производства и себестоимости продукции
себестоимость прибыль затраты
Производство и реализация продукции требуют
расхода определенных видов ресурсов в натуральном выражении: материальных,
трудовых, информационных. Для оценки эффективности деятельности предприятия
требуется оценка этих затрат в стоимостном выражении, или издержек.
Таким образом, издержки - это денежное выражение
затрат производственных факторов, необходимых для осуществления предприятием
своей коммерческой и производственной деятельности. Они находят свое выражение
в показателях себестоимости продукции, которые характеризуют в денежном
измерении все материальные затраты и затраты на оплату труда и затраты, которые
необходимы для производства и реализации продукции.
Конкретной формой выражения издержек
производства в хозяйственной практике являются стоимостные показатели,
характеризующие в денежном выражении их уровень, - показатели себестоимости.
Себестоимость продукции - один из важнейших
экономических показателей деятельности промышленных предприятий и объединений,
выражающий в денежной форме все затраты предприятия, связанные с производством
и реализацией продукции. Себестоимость показывает, во что обходится выпускаемая
предприятием продукция. В себестоимость включаются перенесенные на продукцию
затраты прошлого труда (амортизация основных фондов, стоимость материалов,
топлива и других материальных ресурсов) и расходы на оплату труда работников.
Себестоимость продукции является не только
важнейшей экономической категорией, но и качественным показателем, так она
характеризует уровень использования всех ресурсов, находящихся в распоряжении
предприятия.
Себестоимость можно определить по всей
продукции, по отдельным её видам, узлам, деталям, производственным процессам,
по работе подразделений, участков, цехов.
Себестоимость продукции характеризуется
показателями, выражающими: общий объем затрат на всю производственную продукцию
и выполненные работы предприятия за плановый период, затраты на единицу
выполненных работ.
Суммарные затраты на производство и реализацию
продукции можно считать как по фактическим расходам, так и по нормативным.
На отечественных предприятиях по объему
учитываемых затрат принято различать следующие виды себестоимости:
. Технологическая себестоимость, включает
в себя только прямые затраты на производство по таким статьям, как: сырье и
материалы, топливо и энергия на технологические цели, заработная плата основных
производственных рабочих.
. Цеховая себестоимость - образуется
путем добавления к технологической себестоимости калькуляционных статей затрат,
формирующихся на уровне цеха.
. Производственная себестоимость - кроме
цеховой себестоимости включает в себя общезаводские расходы и затраты вспомогательного
производства.
. Полная себестоимость - показатель,
объединяющий производственную себестоимость продукции и расходы по ее
реализации.
Обособление издержек в форме себестоимости дает
возможность сопоставить полученную от реализации продукции выручку и
производственные затраты.
Себестоимость определяет возможности и границы
реализации функций цены. Различают плановую и фактическую себестоимость.
Плановая себестоимость определяется в начале
планируемого года исходя из плановых норм расходов и иных плановых показателей
на этот период. Фактическая себестоимость определяется в конце отчетного
периода на основании данных бухгалтерского учета о фактических затратах на
производство. Плановая себестоимость и фактическая себестоимость определяются
по одной методике и по одним и тем же калькуляционным статьям, что необходимо
для сравнения и анализа показателей себестоимости.
Планирование себестоимости является одной из
основных составляющих технико-экономического планирования предприятия.
Целью планирования издержек (себестоимости)
является оптимизация текущих затрат предприятия, обеспечивающая необходимые
темпы роста прибыли и рентабельности на основе рационального использования
денежных, трудовых и материальных ресурсов.
При планировании издержек особое внимание
необходимо обратить на выявление резервов снижения себестоимости, а также
величины и причин возникновения затрат, не обусловленных нормальной
организацией производственного процесса: сверхнормативного расхода сырья и
материалов, топлива и энергии, потерь рабочего времени и доплат за отступление
от нормальных условий труда и сверхурочной работы, потерь от простоев машин и
оборудования, аварий, брака, излишних расходов, вызванных нерациональными
хозяйственными связями по поставкам сырья и материалов, нарушением
технологической и трудовой дисциплины, изменением объема работ по подготовке
производства, освоению и внедрению новой техники и технологии и другие факторы.
При планировании себестоимости продукции
используются различные методы, дополняющие друг друга, и решающих ряд
взаимосвязанных задач планирования издержек.
2. Расчетная часть
.1 Составление сметы затрат на производство и
реализацию продукции
Стоимость материальных затрат определяется на
основе цен приобретения материальных ресурсов без учета НДС и количества
израсходованных материальных ресурсов.
Таблица 1- Смета затрат
|
Экономические
элементы затрат
|
Цена
Приобретения
|
Цена
без НДС
|
Израсходовано
|
Сумма
|
|
1
|
2
|
3
|
4
|
5
= 3-4
|
|
Металл
А
|
1440
|
1880,0
|
1210
|
1428770
|
|
Металл
Б
|
1440
|
1180,8
|
440
|
519552
|
|
Топливо
|
1200
|
984
|
110
|
108240
|
|
Электроэнергия
|
1,91
|
1,57
|
4400000
|
6908000
|
|
Заработная
плата
|
|
|
|
14520000
|
|
Отчисления
во внебюджетные фонды
|
|
|
|
4356000
|
|
Амортизация:
здания
|
|
|
|
88000
|
|
Машины
|
|
|
|
792000
|
|
Прочие
расходы
|
|
|
|
201000
|
|
ИТОГО
затрат
|
|
|
|
28921562
|
Из таблицы видно, что итог суммы затрат
составила- 28921562 рублей, из них амортизация здания 88000 рублей, машин -
792000 рублей, прочие расходы - 201000 рублей.
.2 Составление калькуляции изготовления
продукции
Стоимость материальных затрат на технологические
нужды определяется на основе норм расхода материалов, топлива, энергии и цен на
них без учета НДС.
Величина накладных (условно-постоянных) расходов
рассчитывается как разность между общей суммой затрат по смете и величиной
условно-переменных расходов. Накладные расходы по изделиям рекомендуется
распределять в соответствии с трудоемкостью изготовления изделий по
коэффициенту заработной платы. Последний представляет отношение заработной
платы производственных рабочих на весь выпуск изделия к общей сумме заработной
платы производственных рабочих на выпуск всех изделий.
Заработная плата производственных рабочих
(сдельщиков) определяется на основе сдельных расценок.
Таблица 2 - калькуляция себестоимости изделий А
и Б изделий
|
Калькуляционные
статьи расходов
|
Изделие
А - 2200 шт.
|
Изделие
Б - 4400 шт.
|
Сумма
А + Б
|
|
Норма
расходов
|
Цена
без НДС
|
Затраты
на ед. продукции
|
Затраты
на весь выпуск
|
Норма
расходов
|
Цена
без НДС
|
Затраты
на ед. продукции
|
Затраты
на весь выпуск
|
|
|
Металл
на технологические нужды
|
0,44
|
1180,8
|
519,56
|
1143014,4
|
0,33
|
1180,8
|
389,67
|
1714521,6
|
2857536
|
|
Топливо
|
0,022
|
984
|
21,65
|
47625,6
|
0,017
|
984
|
16,73
|
73603,2
|
121228,8
|
|
Электроэнергия
|
1760
|
1,57
|
2763,2
|
6079040
|
1100
|
1,57
|
1727
|
7598800
|
13677840
|
|
Заработная
плата всех производственных рабочих (сдельщиков)
|
|
|
544,5
|
1197900
|
|
|
552,75
|
2432100
|
3630000
|
|
Отчисления
от заработной платы производственных рабочих
|
|
|
163,35
|
359370
|
|
|
165,83
|
729630
|
1089000
|
|
Итого
переменные затраты
|
|
|
4012,25
|
8826950
|
|
|
2851,97
|
12548654,8
|
21375604,8
|
|
Накладные
(условно-постоянные расходы)
|
|
|
33
|
72600
|
|
|
33,5
|
147400
|
220000
|
|
Полная
себестоимость
|
|
|
4045,25
|
8899550
|
|
|
2885,48
|
12696054,8
|
21595604,8
|
Найдем отношение заработной платы
производственных рабочих на весь выпуск изделий к общей сумме заработной платы
производственных рабочих на весь выпуск по изделиям А и Б.

1197900/3630000 = 0,33 = 33%

2432100/3630000 = 0,67 = 67%
.3 Ценообразование и прибыль
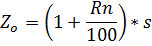
Найдем оптовую цену предприятия по
формуле:
где Rn -
рентабельность изделия, % ;
S -
себестоимость единицы продукции, руб./шт.
А= (1 + 30/100)*4045,25 = 5258,83
руб.
Б= (1 + 25/100)*2885,48 = 3606,85
руб.
Рассчитаем отпускные цены изделий А
и Б по формуле:
где Ст.НДС - ставка налога на
добавленную стоимость;
А= (1 + 18/100)*5258,83 = 6205,42
руб.
Б= (1+ 18/100)*3606,85 = 4256,09
руб.
Найдем объем реализации продукции А
и Б в оптовых ценах:
где 

объем реализации в натуральном
выражении

5258,83*2200+3606,85*4400=11569426+15870140=27439566
руб.

продукции по формуле:

объем реализации продукции (изделий
А и Б), руб.;

себестоимость реализованной
продукции, руб.

27439566 - 21595604,8= 5843961,20
руб.
Ценообразование и прибыль
|
Показатель
|
Изд.
А
|
Изд.
Б
|
Всего
|
|
Оптовая
цена предприятия, руб.
|
5258,83
|
3606,85
|
х
|
|
Отпускная
цена, руб.
|
6205,42
|
4256,09
|
х
|
|
Объем
реализации, руб.
|
11569426
|
15870140
|
27439566
|
|
Прибыль
реализации, руб.
|
2669876
|
3174085,2
|
5843961,20
|
Из таблицы видно, что прибыль от реализации -
5843961,2
.4 Реализация металла
Найдем цену покупки металла с учетом НДС по
формуле
Найдем цену продажи металла с учетом НДС по
формуле
где 

цена продажи.
Рассчитаем операционные доходы
предприятия по формуле
где 
цена продажи металла с учетом НДС,
руб.
n -
Количество металла (в данном случае 600т)

руб.
Рассчитаем операционные расходы по
формуле

=1053966 руб.
где 
операционные доходы, руб.

операционные расходы, руб.

1053966=131400 руб.
Таблица 4 - Прочая реализация
металла в количестве 600т
|
Показатель
|
Сумма,
в рублях
|
|
Цена
покупки
|
1140
|
|
Цена
продажи
|
1620
|
|
Цена
покупки с учетом НДС
|
1756,1
|
|
Цена
продажи с учетом НДС
|
1975,61
|
|
Операционные
доходы
|
1185366
|
|
Операционные
расходы
|
1053966
|
|
Прибыль
операционная
|
131400
|
Из таблицы видно, что операционная прибыль
составила 131400 руб.
.5 Прочая деятельность
Рассчитаем прибыль от сдачи имущества в аренду
по формуле


- прибыль от сдачи имущества в
аренду, руб.;

− доход от сдачи помещений в
аренду (ежемесячно) руб.
Дивиденды по ценным бумагам =176000
руб.
Рассчитаем прибыль от
внереализационной деятельности по формуле
Найдем балансовую прибыль предприятия по формуле
БП=ОП+ППП+
БП=131400+343796,63+5843961,20
=6319157,83 руб.
Полученные результаты запишем в
таблицу 5.
Таблица 5 - Прибыль до
налогообложения
|
Показатель
|
Сумма,
в рублях
|
|
Прибыль
от сдачи имущества в аренду
|
167796,6
|
|
Дивиденды
по ценным бумагам
|
176000
|
|
Прибыль
от внереализационной деятельности
|
343796,6
|
|
Прибыль
от прочей деятельности
|
5843961,20
|
|
Балансовая
прибыль
|
6319157,83
|
Из таблицы видно, что балансовая прибыль
составляет - 6319157,83 руб.
.6 Распределение прибыли
Найдем налогооблагаемую прибыль по формуле

налоги выплачиваемые из прибыли,
руб.;

6319157,83 - 158000 = 6161157,83
руб.

налог по ценным бумагам по формуле
где, став - это ставка налога на доход по ценным
бумагам и банковским
депозитам;
Див - дивиденды по ценным бумагам и банковский
депозит (ежеквартально), руб.

176000 - 9/100= 175999,91 руб.
где 
налогооблагаемая прибыль, руб.
Ст.налог - ставка налога на прибыль.

(6161157,83 - 176000)*0,2 =
1197031,57 руб.
Найдем чистую прибыль по формуле

=
ЧП=6161157,83 - 175999,91 -
1197031,57 = 4788126,35 руб.
Найдем прибыль остающуюся в
распоряжении предприятия по формуле

4788126,35 - 40000 = 4748126,35 руб.
Таблица 6 - Распределение прибыли
|
Показатель
|
Сумма,
в рублях
|
|
Налогооблагаемая
прибыль
|
6161157,83
|
|
Налог
на доходы по ценным бумагам
|
175999,91
|
|
Налог
на прибыль
|
1197031,57
|
|
Чистая
прибыль
|
4788126,35
|
|
Прибыль
остающаяся в распоряжении предприятия
|
4748126,35
|
Из таблицы видно, что прибыль, остающаяся в
распоряжении предприятия составит - 4748126,35 рублей.
2.7 Капиталовложения в развитие производства
Найдем часть чистой прибыли идущей на развитие
производства по формуле

,

доля чистой прибыли, направленной
на развитие производства, руб.

4748126,35 *0,4 = 1899250,54 руб.
Получим 
количество капиталовложений в
развитие производства по
формуле

,

сумма амортизационных отчислений
зданий, руб.;

сумма амортизационных отчислений
машин, руб.

88000+792000+1899250,54 =
2779250,54 руб.
2.8 Экономия от снижения себестоимости
Рассчитаем показатели снижения себестоимости по
изделию А. Найдем экономию по металлу

затраты на единицу продукции, руб.

полная себестоимость единицы
продукции, руб.

(1 - 1,05*0,92)*4012,25/4045,25 =
0,03 =3%
Найдем экономию по заработной плате(с
отчислениями от заработной платы) производственных рабочих

0,11*(544,5+163,35)/4045,25*100 =
1,93%
Найдем экономию по
условно-постоянным расходам

0,14*33/4045,25 *100= 0,14%
Итого экономия по изделию


3%+1,93%+0,14%= 5,07%
Найдем снижение себестоимости по
изделию А

4045,25*5,07/100= 205,1 руб.
Рассчитаем показатели снижения
себестоимости по изделию Б. Найдем экономию по металлу

0,03*0,99*100= 2,97%
Найдем экономию по заработной плате
(с отчислениями от заработной платы) производственных рабочих

0,11*718,58/2885,48*100= 24,9%
Найдем экономию по
условно-постоянным расходам

0,14*33.5/2885,48*100= 0,17%
Итого экономия по изделию

2,97%+24,9%+0,17%=28%
Найдем снижение себестоимости по
изделию Б

2885,48*28/100 = 807,94 руб.
Найдем экономию за полугодие по
изделию А и Б

205,1*2 = 410,2 руб.

807,94*2 = 1615,88 руб.
Найдем годовую экономию по изделию А
и Б
А = 410,2*2 = 820,4 руб.
Б = 1615,88*2 = 3231,76 руб.
Рассчитаем годовой экономический
эффект по формуле
ГЭ = (ЭА+ЭБ)-(0,15*КВ)
ГЭ = 1804880+14219744 - 416887,58 =
15607736,42 руб.
Полученные результаты сведем в
Таблицу 7
Таблица 7 - Расчет экономии в рублях
|
Показатели
|
Продукция
А
|
Продукция
Б
|
|
Экономия
по с/ст за квартал
|
451220
|
3554936
|
|
Экономия
по с/ст за полугодие
|
902440
|
7109872
|
|
Экономия
по с/ст за год
|
1804880
|
14219744
|
|
Годовой
экономический эффект
|
15607736,42
|
Из таблицы видно, что годовой
экономический эффект 
15607736,42 р.
Таблица 8 - результаты экономической
деятельности предприятия
|
Показатели
|
Продукция
А
|
Продукция
Б
|
|
Объем
производства (продажи),шт.
|
2200
|
4400
|
|
Полная
себестоимость, руб. в том числе
|
8899550
|
12696054,8
|
|
-
материальные затраты
|
7269680
|
9386924
|
|
-затраты
на оплату труда, руб.
|
1197900
|
2432100
|
|
-РСЭО,
руб.
|
880000
|
|
-Страховые
взносы, руб.
|
359370
|
729630
|
|
Годовая
экономия по с/ ст, руб.
|
1804880
|
14219744
|
|
Годовой
экономический эффект, руб.
|
15607736,42
|
|
Срок
окупаемости проекта, мес.
|
3
|
5
|
После внедрения мероприятий по экономии ресурсов
годовой экономический эффект составил 15607736,42 рублей.
.9 Определение безубыточности объема продаж
Большую роль в обосновании управленческих решений
в бизнесе играет маржинальный анализ, который называют еще анализом
безубыточности или содействия доходу; его методика базируется на изучении
соотношения между тремя группами важнейших экономических показателей:
издержками, объемом производства (реализации) продукции и прибыль, - и
прогнозировании величины каждого из этих показателей при заданном значении
других. Маржинальный доход предприятия - это выручка минус переменные издержки.
Маржинальный доход на единицу продукции представляет собой разность между ценой
этой единицы и переменными затратами на нее. Маржинальный доход включает в себя
постоянные затраты и прибыль. Безубыточность - такое состояние, когда бизнес не
приносит ни прибыли, ни убытков. Это выручка, необходимая для того, чтобы
предприятие начало получать прибыль. Ее можно выразить и в количестве единиц
продукции, которую необходимо продать, чтобы покрыть затраты, после чего каждая
дополнительная единица проданной продукции будет приносить прибыль предприятию.
Безубыточный объем продаж и зона безопасности предприятия - основополагающие
показатели при разработке бизнес-планов, обосновании управленческих решений,
оценке деятельности предприятий. Для определения их уровня можно использовать
аналитический и графический способы.
Таблица 9 - Данные для определения безубыточного
объема продаж и зоны безопасности предприятия
|
Показатель
|
Значение
показателя
|
|
Изделие
А
|
Изделие
Б
|
|
Производственная
мощность предприятия
|
2200
|
4400
|
|
Средняя
цена изделия (р)
|
6205,42
|
4256,09
|
|
Выручка
(нетто) (В)
|
11569426
|
15870140
|
|
Постоянные
затраты (А)
|
72600
|
147400
|
|
Переменные
расходы на единицу продукции (b)
|
4012,25
|
2851,97
|
|
Переменные
расходы на весь выпуск продукции ( 882695012548654,8
|
|
|
|
Прибыль
от реализации продукции (П)
|
2669876
|
3174085,2
|
|
Маржинальный
доход (МД= В -  )27424763321485,2
|
|
|
|
Доля
маржинального дохода в выручке ( 0,240,21
|
|
|
Для определения безубыточного объема продаж в
стоимостном выражении необходимо сумму постоянных затрат разделить на долю
маржинального дохода в выручке:


- постоянные затраты, тыс. руб.

доля маржинального дохода

72600/0,24 = 302500 тыс. руб.

147400/0,21 = 701904,76 тыс. руб.
А =1- 8826950/11569426=0,24
Б = 1- 12548654,8/15870140=0,21
Для расчета точки критического
объема реализации в процентах к максимальному объему, который принимается за
100
может быть использована формула:
Т = А: МД*100
А = 72600:2742476*100= 2,7
Б=147400:3321485,2*100=4,5
Для определения зоны безопасности
аналитическим методом по стоимостным показателям используется следующая
формула:

, 
А =(11569426 - 302500)/11569426=0,97
Б =(15870140 -
701904,76)/15870140=0,96
Критическая величина объема:
А =2776662,24/(6205,42 - 4012,25)=
1266,05 ед.
Б = 3332729,4/(4256,09 - 2851,97)=
2373,54 ед.
Критический уровень постоянных
затрат при заданном уровне маржинального дохода и объема продаж рассчитывается
следующим образом:

А =11569426*0,24=2776662,24 руб.
Б =15870140*0,21= 3332729,4 руб.
Построим график безубыточности
(страница 21).
Для того, чтобы определить срок
окупаемости (t) постоянных
затрат отчетного периода, необходимо сделать следующий расчет:

А=12*302500/11569426 = 0,3 =3,6 мес.
Б=12*701904,76/15870140 = 0,5 = 6
мес.
Срок окупаемости постоянных затрат
для изделия А- 3,6 месяца.
Срок окупаемости постоянных затрат
для изделия Б - 6 месяцев.
Остальные месяцы предприятие будет
получать прибыль.
Критический уровень переменных
затрат на единицу продукции (b) для получения некоторой суммы
целевой прибыли (П) при заданном объеме продаж (VPП), по цене
(р) и сумме постоянных затрат (Б) определяется следующим образом:
А=6205,42 -
(2776662,24+2669876)/1266,05=1903,43 руб.
Б= 4256,09 - (3332729,4
+3174085,2)/2373,54=1514,69 руб.
Критический уровень цены (
из заданного объема реализации и
уровня постоянных и переменных затрат для изделия А и Б определяется по
формуле:
А =2776662,24/1266,05+1903,43=4096,6 руб.
Б =3332729,4/2373,54+ 1514,69=2918,81 руб.
При таком уровне цена будет больше
себестоимости, что говорит о наличии прибыли и рентабельности.
Основываясь на функциональной взаимосвязи
затрат, объема продаж и прибыли, можно рассчитать объем реализации продукции,
который дает одинаковую прибыль по различным вариантам управленческих решений.
Сумму прибыли представим в виде формулы:
П = VРП
(р-b)-А,
А =1266,05(6205,42 - 1903,43) -
2776662,24=2669872,2 руб.
Б =2373,54(4256,09 - 1514,69) - 3332729,4 =
3174093,16 руб.
Сумма А +Б =2669872,2+3174093,16=5843965,36 руб.
Вывод: Сумма прибыли по А и по Б составляет
5843965,36 рублей.
Заключение
Себестоимость продукции является качественным
показателем, характеризующим производственно-хозяйственную деятельность
предприятия.
Себестоимость отражает затраты предприятия на
производство и сбыт продукции, выраженные в денежном измерении. Кроме этого, в
себестоимости находят свое отражение все стороны деятельности предприятия:
степень технологического оснащения производства и освоения тех. процессов;
уровень организации производства и труда, степень использования
производственных мощностей; экономичность использования материальных и трудовых
ресурсов и другие условия, отражающие производственно-хозяйственную
деятельность.
В ходе выполнения курсовой работы была
определена себестоимость продукции А и Б на основании которых были рассчитаны
цены и прибыль предприятия. ри выпуске продукции А и Б в количестве 6600,
полная себестоимость продукции составляет 21595604,8 рублей.
Затраты предприятия на оплату труда по продукции
А составляет 1197900 рублей, по продукции Б - 2432100 рублей.
Материальные затраты на топливо и энергию по
продукции А составляет 6126665,6 руб., по продукции Б - 7672403,2 рублей.
Расходы на содержание и эксплуатацию
оборудования составили 880000 рублей. Срок окупаемости по производству
продукции А составит 3,6 месяца, по продукции Б - 6 месяцев.
Таким образом, данный проект можно принять к
выполнению, т.к. при
планировании себестоимости продукции были
определены все виды затрат и величина прибыли.
Список используемых источников
1. Гражданский кодекс Российской
Федерации (часть первая)" от 30.11.1994 № 51-ФЗ (принят ГД ФС РФ
21.10.1994)(ред. от 27.07.2010)
2. Налоговый кодекс Российской
Федерации от 31.07.1998 № 146-ФЗ (принят ГД ФС РФ 16.07.1998) (ред. от
28.12.2010)
. Трудовой кодекс Российской
Федерации от 30.12.2001 № 197-ФЗ (принят ГД ФС РФ 21.12.2001) (ред. от
29.12.2010) (с изм. и доп., вступающими в силу с 07.01.2011)
. Федеральный закон от
24.07.2009 № 212-ФЗ (ред. от 13.12.2011) «О страховых взносах в Пенсионный фонд
Российской Федерации, Фонд социального страхования Российской Федерации,
Федеральный фонд обязательного медицинского страхования и территориальные фонды
обязательного медицинского страхования» (принят ГД ФС РФ 17.07.2009) (с изм. и
доп., вступающими в силу с 07.01.2011)
5. Федеральный закон от 15.12.2001
№ 200-ФЗ (ред. от 13.12.2011) «Об обязательном пенсионном страховании в
Российской Федерации» (принят ГД ФС РФ 30.11.2001)
6. Федеральный закон от
29.12.2006 № 255-ФЗ (ред. от 13.12.2011) «Об обязательном социальном
страховании на случай временной нетрудоспособности и в связи с материнством»
(принят ГД ФС РФ 20.12.2006)
. Федеральный закон от
15.12.2001 № 167-ФЗ (ред. от 13.12.2011) «Об обязательном пенсионном
страховании в Российской Федерации» (принят ГД ФС РФ 30.11.2001)
. Постановление Правительства
РФ от 01.01.2002 N 1 (13.12.2011) «О Классификации основных средств, включаемых
в амортизационные группы»
9. Приложение № 9 к Порядку
регистрации страхователей в исполнительных органах Фонда социального
страхования Российской Федерации
10. Инструкция по планированию,
учету и калькулированию себестоимости продукции на нефтеперерабатывающих и
нефтехимических предприятиях. Приказ Минтопэнерго РФ. От 17.11.1998 №371 (ред.
12.10.1999)
11. Положение о составе
затрат по производству и реализации продукции (работ, услуг), и о порядке
формирования финансовых результатов, учитываемых при налогообложении прибыли
Утвержденное постановлением Правительства РФ. От 5.08.92. №552.
12. Волков О.И., Скляренко В. К.
Экономика предприятия: Курс лекций. - М.:ИНФРА,2009.-280с - (Серия «Высшее
образование»)
. Горфинкель В.Я., Швандар
В.А. Экономика предприятия: Учебник для вузов. 2-е изд., перераб. и доп. - М.:
Издательство «Экзамен», 2008.-718с.
. Сергеев И. В. Экономика
предприятия Учебное пособие. - М. : Финансы и статистика, 2009
. Сафронов Н.А.. Экономика
организации. Учебник для ср. спец. учеб. заведений. -М. Экономист, 2007.
-251с.Сафронов Н.А. Экономика предприятия: Учебное пособие. - М.: «Юрист»,
2009.-584с.
. Указ Президента РБ от
09.11.2010 N УП-641 "О минимальной заработной плате в Республике
Башкортостан"
. Соглашение между Федерацией
профсоюзов Республики Башкортостан, объединениями работодателей Республики
Башкортостан и Правительством Республики Башкортостан от 24.11.2010 N 12
"О минимальной заработной плате в Республике Башкортостан"