Разработка инновационного проекта (строительство спортивной светодиодной площадки)
Министерство
образования и науки РФ
ФГБОУ
ВПО «Саратовский государственный технический университет имени Гагарина
Ю.А.»
Кафедра
«Прикладная экономика и управление инновациями»
КУРСОВАЯ
РАБОТА
по
дисциплине: «Управление инновационными проектами»
на
тему: «Разработка инновационного проекта (строительство спортивной светодиодной
площадки)»
Выполнил:
студент
ФЭМ гр. ИНВТ-41
очной
формы обучения
Ануфриев
А.С
Проверил:
К.э.н.
Киселева
О.Н.
САРАТОВ
2013
Министерство
образования и науки РФ
ФГБОУ
ВПО «Саратовский государственный технический университет
имени
Гагарина Ю. А.»
Кафедра
«Прикладная экономика и управление инновациями»
ЗАДАНИЕ
на
выполнение курсовой работы
по
дисциплине «Управление инновационными проектами»
студенту
факультета экономики и менеджмента
группы
ИНВТ-41 Ануфриеву А.С.
В курсовой работе необходимо:
. определить понятие инновационного проекта и
изучить основные его характеристики.
2. изучить понятие и основную классификацию
ресурсов инновационного проекта
. разработать инновационный проект,
изучить его организационную структуру, сетевой график и т.д.
. определить эффективность данного
инновационного проекта и выявить основные риски, которые могут возникнуть при
его реализации.
Дата выдачи: 1 сентября 2013 г.
Срок выполнения: 27 мая 2013 г.
Руководитель:_________Киселева О.Н.
Студент:_____________ Ануфриев А.С
Содержание
Введение
Глава 1. Теоретические исследования
.1 Определение понятия
«инновационный проект»
.2 Понятие и классификация ресурсов
инновационного проекта
Глава 2. Практические исследования
Заключение
Список литературы
Введение
В мировой практике разработка проектов,
основанная на научных методах, поставлена на поток.
Понятия проект и управление проектами связаны с
необходимостью управления изменениями. Управление проектами является
неотъемлемой частью повседневной деятельности руководителей разного уровня.
Многие руководители необходимость использования формализованных методов
управления проектами связывают с крупными проектами. Однако, даже в
организациях, ориентированных на серийное производство, реализация проектов
составляет значительную часть деятельности.
Применение формализованных методов управления
проектами позволяет более обоснованно определять цели инвестиций и оптимально
планировать инвестиционную деятельность, более полно учитывать проектные риски,
оптимизировать использование имеющихся ресурсов и избегать конфликтных
ситуаций, контролировать исполнение составленного плана, анализировать
фактические показатели и вносить своевременную коррекцию в ход работ,
накапливать, анализировать и использовать в дальнейшем опыт реализованных
проектов. Таким образом, система управления проектами является одним из
важнейших компонентов всей системы управления организацией. Все это и
обуславливает актуальность данной курсовой работы. Целью курсовой работы
является разработка инновационного проекта, представляющего собой строительство
спортивной светодиодной площадки. Реализация этой цели обусловила решение
комплекса взаимосвязанных задач:
)определить понятие инновационного проекта и
изучить основные его характеристики.
)изучить понятие и основную классификацию
ресурсов инновационного проекта
)разработать инновационный проект, изучить его
организационную структуру, сетевой график и т.д.
) определить эффективность данного инновационного
проекта и выявить основные риски, которые могут возникнуть при его реализации.
Предметом исследования курсовой работы является
спортивная светодиодная площадка. Объектом исследования является эффективность
данного инновационного проекта.
Глава 1. Теоретические исследования
.1 Определение понятия
«инновационный проект»
Инновационный проект - проект, содержащий
технико-экономическое, правовое и организационное обоснование конечной
инновационной деятельности.
Итогом разработки инновационного проекта служит
документ, включающий в себя подробное описание инновационного продукта,
обоснование его жизнеспособности, необходимость, возможность и формы
привлечения инвестиций, сведения о сроках исполнения, исполнителях и
учитывающий организационно-правовые моменты его продвижения.
Реализация инновационного проекта - процесс по
созданию и выведению на рынок инновационного продукта.
Цель инновационного проекта - создание новой или
изменение существующей систем - технической, технологической, информационной,
социальной, экономической, организационной и достижение в результате снижения
затрат ресурсов (производственных, финансовых, человеческих) коренного
улучшения качества продукции, услуги и высокого коммерческого эффекта.
Управлением инновационными проектами
занимается инновационный менеджмент
<#"665318.files/image001.gif">
|
1)Поиск
персонала
|
1)Поиск помещения
|
1)Изучение
рынка оборудования (материалов)
|
1)Согласование
макета
|
1)Очистка
помещения
|
|
2)Подбор персонала
|
2)Изучение
условий помещения
|
2)Выбор
поставщика
|
2)Печать
листовок
|
2)Установка
металлической рамы
|
|
3)Обучение персонала
|
3)Подготовка
договора
|
3)Выбор
оборудования (материалов)
|
3)Распространение
листовок
|
3)Установка
светодиодов
|
|
4)Подписание
договора
|
4)Заключение
договора
|
|
4)Установка
керамического стеклянного покрытия
|
|
|
5)Заказ
оборудования (материалов)
|
|
5)Проведение
пуско-наладачных работ
|
|
|
6)Оплата
счета
|
|
|
|
|
7)Получение
оборудования (материалов)
|
|
|
|
|
8)Проверка
оборудования (материалов)
|
|
|
Техническое задание
Проект:Строительство спортивной светодиодной
площадки
Начало проекта "1" июня2014 г..
1. Цели
и задачи проекта
2. Основной
состав работ по проекту
3. Требования
к управлению проектом
4. Требования
к отчетной информации по проекту
1.Цель и задачи проекта
.1 Основной целью проекта.
Уменьшить время при подготовке спортивных мероприятий на 80 процентов.
1.2 Задачами проекта являются:
1.1.1. Подбор персонала.
1.1.2. Покупка площади
.1.3. Приобретение оборудования
.1.4. Рекламные мероприятия
.1.5. Установка площадки
2. Основной состав работ по проекту
2.1.Для решения задачи 1.1.1 необходимо
выполнить следующие работы, в том числе:
2.1.1. Поиск персонала
2.1.2. Подбор персонала
.1.3. Обучение персонала
2.2. Для решения задачи 1.1.2 необходимо
выполнить следующие работы, в том числе:
.2.1. Поиск помещения
.2.2. Изучение условий помещения
.2.3. Подготовка договора
.2.4. Подписание договора
.3. Для решения задачи 1.1.3 необходимо
выполнить следующие работы, в том числе:
.3.1. Изучение рынка оборудования
2.3.2. Выбор поставщика
.3.3 Выбор оборудования
.3.4 Заключение договора
.3.5 Заказ оборудования
.3.6 Оплата счета
.3.7 Получение оборудования
.3.8 Проверка оборудования
2.4. Для решения задачи 1.1.4 необходимо
выполнить следующие работы, в том числе:
2.4.1. Согласование макета
.4.2. Печать листовок
.4.3. Распространение листовок
2.5. Для решения задачи 1.1.5 необходимо
выполнить следующие работы, в том числе:
.5.1. Очистка помещения
.5.2 Установка металлической рамы
.5.3 Установка светодиодов
.5.4 Установка керамического стеклянного
покрытия
.5.5 Проведение пуско-наладочных работ
3.Требования к управлению проектом
Команда проекта: Директор, Подрядчик, Главный
инженер, Обслуживающий сотрудник, Снабженец,Маркетолог,Промоутер.
Организационная структура проекта
(команда проекта):
Матрица распределения
ответственности
|
Работы
|
Директор
|
Главный
инженер
|
Обслуживающий
сотрудник
|
Снабженец
|
Маркетолог
|
Промоутер
|
Подрядчик
|
|
1.Поиск
персонала
|
ОИ
|
|
|
|
|
|
|
|
2.Найм
|
ОИ
|
|
|
|
|
|
|
|
3.Обучение
|
ОИ
|
|
|
|
|
|
|
|
4.Поиск
помещения
|
У
|
|
|
|
|
|
ОИ
|
|
5.Изучение
условий аренды помещения
|
|
|
|
|
|
|
ОИ
|
|
6.Подготовка
договора
|
|
|
|
|
|
|
ОИ
|
|
7.Подписание
договора
|
У
|
|
|
|
|
|
ОИ
|
|
8.Изучение
рынка оборудования
|
У
|
|
|
ОИ
|
|
|
|
|
9.Выбор
поставщика
|
У
|
|
|
ОИ
|
|
|
|
|
10.Выбор
оборудования
|
У
|
|
|
ОИ
|
|
|
|
|
11.Заключение
договора
|
У
|
|
|
ОИ
|
|
|
|
|
12.Заказ
оборудования
|
У
|
|
|
ОИ
|
|
|
|
|
13.Оплата
счета
|
У
|
|
|
ОИ
|
|
|
|
|
14.Получение
оборудования
|
У
|
|
|
ОИ
|
|
|
|
|
15.Проверка
оборудования
|
У
|
О
|
И
|
|
|
|
|
|
16.Согласование
макета
|
|
|
|
|
ОУ
|
И
|
|
|
17.Печать
листовок
|
|
|
|
|
|
И
|
|
|
18.Распространение
листовок
|
|
|
|
|
|
И
|
|
|
19.Очистка
помещения
|
|
|
|
УО
|
|
|
И
|
|
20.Установление
металлической рамы
|
|
У
|
О
|
|
|
|
И
|
|
21.Установка
светодиодов
|
|
У
|
О
|
|
|
|
И
|
|
22.Установка керамического
стеклянного покрытия
|
|
У
|
О
|
|
|
|
И
|
|
23.Пуск
и наладка оборудования
|
|
У
|
О
|
И
|
|
|
|
Построение сетевого графика
инновационного проекта
|
№п/п
|
Название
работы
|
Продолжительность,
дн.
|
Предшественники
|
Обозначение
|
|
1
|
Поиск
|
5
|
G
|
A
|
|
2
|
Найм
|
5
|
A
|
B
|
|
3
|
Обучение
|
5
|
B
|
C
|
|
4
|
Поиск
помещения
|
3
|
-
|
D
|
|
5
|
Изучение
условий аренды помещения
|
4
|
D
|
E
|
|
6
|
Подготовка
договора
|
1
|
E
|
F
|
|
7
|
Подписание
договора
|
1
|
F
|
G
|
|
8
|
Изучение
рынка оборудования
|
6
|
-
|
K
|
|
9
|
Выбор
поставщика
|
2
|
K
|
L
|
|
10
|
Выбор
оборудования
|
5
|
L
|
M
|
|
11
|
Заключение
договора
|
2
|
M
|
N
|
|
12
|
Заказ
оборудования
|
3
|
N
|
O
|
|
13
|
Оплата
счета
|
1
|
O
|
P
|
|
14
|
Получение
оборудования
|
5
|
C,P
|
Q
|
|
15
|
Проверка
оборудования
|
5
|
C,P
|
R
|
|
16
|
Согласование
макета
|
5
|
R
|
S
|
|
17
|
Печать
листовок
|
1
|
S
|
T
|
|
18
|
Распространение
листовок
|
10
|
T
|
U
|
|
19
|
Очистка
помещения
|
1
|
Q
|
W
|
|
20
|
Установление
металлической рамы
|
7
|
W
|
X
|
|
21
|
Установка
светодиодов
|
5
|
X
|
Y
|
|
22
|
Установка
керамического стеклянного покрытия
|
7
|
Y
|
Z
|
|
23
|
Пуск
и наладка оборудования
|
2
|
Z
|
ZZ
|
Определение раннего и позднего
времени работ, резерва времени
|
Обозначение
работы
|
Продолжительность
|
Трн
|
Тро
|
Тпо
|
Тпн
|
Ткр
|
Резерв
времени
|
|
D
|
3
|
0
|
3
|
3
|
0
|
51
|
0
|
|
E
|
4
|
3
|
7
|
7
|
3
|
|
0
|
|
F
|
1
|
8
|
8
|
7
|
|
0
|
|
G
|
1
|
8
|
9
|
9
|
8
|
|
0
|
|
A
|
5
|
9
|
14
|
14
|
9
|
|
0
|
|
B
|
5
|
14
|
19
|
19
|
14
|
|
0
|
|
C
|
5
|
19
|
24
|
24
|
19
|
|
5
|
|
K
|
6
|
0
|
6
|
11
|
5
|
|
5
|
|
L
|
2
|
6
|
8
|
13
|
11
|
|
5
|
|
M
|
5
|
8
|
13
|
18
|
13
|
|
5
|
|
N
|
2
|
13
|
15
|
20
|
18
|
|
5
|
|
O
|
3
|
15
|
18
|
23
|
20
|
|
5
|
|
P
|
1
|
18
|
19
|
24
|
23
|
|
5
|
|
Q
|
5
|
24
|
29
|
29
|
24
|
|
0
|
|
R
|
5
|
24
|
29
|
36
|
31
|
|
7
|
|
S
|
5
|
29
|
34
|
41
|
36
|
|
7
|
|
T
|
1
|
34
|
35
|
42
|
41
|
|
7
|
|
U
|
7
|
35
|
42
|
49
|
42
|
|
7
|
|
W
|
1
|
29
|
30
|
30
|
29
|
|
0
|
|
X
|
7
|
30
|
37
|
37
|
30
|
|
0
|
|
Y
|
5
|
37
|
42
|
42
|
37
|
|
0
|
|
Z
|
7
|
42
|
49
|
49
|
42
|
|
0
|
|
ZZ
|
2
|
49
|
51
|
51
|
49
|
|
0
|
Сетевой график инновационного
проекта
График реализации проекта
|
№
п/п
|
Наименование
проектных мероприятий
|
Период
реализации проекта, дн
|
|
|
1
|
2
|
3
|
4
|
5
|
6
|
7
|
8
|
9
|
10
|
11
|
12
|
13
|
14
|
15
|
16
|
17
|
18
|
19
|
20
|
21
|
22
|
23
|
24
|
25
|
26
|
27
|
28
|
29
|
30
|
313233343536373839404142434445464748495051
|
| 1 |
Поиск
помещения
|
|
|
|
|
|
|
|
|
|
|
|
|
|
|
|
|
|
|
|
|
|
|
|
|
|
|
|
|
|
|
|
|
2
|
Изучение
условий аренды помещения помещения
|
|
|
|
|
|
|
|
|
|
|
|
|
|
|
|
|
|
|
|
|
|
|
|
|
|
|
|
|
|
|
|
|
3
|
Подготовка
договора
|
|
|
|
|
|
|
|
|
|
|
|
|
|
|
|
|
|
|
|
|
|
|
|
|
|
|
|
|
|
|
|
|
4
|
Подписание
договора об аренде
|
|
|
|
|
|
|
|
|
|
|
|
|
|
|
|
|
|
|
|
|
|
|
|
|
|
|
|
|
|
|
|
|
5
|
Поиск
|
|
|
|
|
|
|
|
|
|
|
|
|
|
|
|
|
|
|
|
|
|
|
|
|
|
|
|
|
|
|
|
|
6
|
Найм
|
|
|
|
|
|
|
|
|
|
|
|
|
|
|
|
|
|
|
|
|
|
|
|
|
|
|
|
|
|
|
|
|
7
|
Обучение
|
|
|
|
|
|
|
|
|
|
|
|
|
|
|
|
|
|
|
|
|
|
|
|
|
|
|
|
|
|
|
|
|
8
|
Изучение
рынка оборудования
|
|
|
|
|
|
|
|
|
|
|
|
|
|
|
|
|
|
|
|
|
|
|
|
|
|
|
|
|
|
|
|
|
9
|
Выбор
поставщика
|
|
|
|
|
|
|
|
|
|
|
|
|
|
|
|
|
|
|
|
|
|
|
|
|
|
|
|
|
|
|
|
|
10
|
Выбор
оборудования
|
|
|
|
|
|
|
|
|
|
|
|
|
|
|
|
|
|
|
|
|
|
|
|
|
|
|
|
|
|
|
|
|
11
|
Заключение
договора
|
|
|
|
|
|
|
|
|
|
|
|
|
|
|
|
|
|
|
|
|
|
|
|
|
|
|
|
|
|
|
|
|
12
|
Заказ
оборудования
|
|
|
|
|
|
|
|
|
|
|
|
|
|
|
|
|
|
|
|
|
|
|
|
|
|
|
|
|
|
|
|
|
13
|
Оплата
счета
|
|
|
|
|
|
|
|
|
|
|
|
|
|
|
|
|
|
|
|
|
|
|
|
|
|
|
|
|
|
|
|
|
14
|
Получение
оборудования
|
|
|
|
|
|
|
|
|
|
|
|
|
|
|
|
|
|
|
|
|
|
|
|
|
|
|
|
|
|
|
|
|
15
|
Проверка
оборудования
|
|
|
|
|
|
|
|
|
|
|
|
|
|
|
|
|
|
|
|
|
|
|
|
|
|
|
|
|
|
|
|
|
16
|
Согласование
макета
|
|
|
|
|
|
|
|
|
|
|
|
|
|
|
|
|
|
|
|
|
|
|
|
|
|
|
|
|
|
|
|
|
17
|
Печать
листовок
|
|
|
|
|
|
|
|
|
|
|
|
|
|
|
|
|
|
|
|
|
|
|
|
|
|
|
|
|
|
|
|
|
18
|
Распространение
листовок
|
|
|
|
|
|
|
|
|
|
|
|
|
|
|
|
|
|
|
|
|
|
|
|
|
|
|
|
|
|
|
|
|
19
|
Очистка
помещения
|
|
|
|
|
|
|
|
|
|
|
|
|
|
|
|
|
|
|
|
|
|
|
|
|
|
|
|
|
|
|
|
|
20
|
Установка
металлической рамы
|
|
|
|
|
|
|
|
|
|
|
|
|
|
|
|
|
|
|
|
|
|
|
|
|
|
|
|
|
|
|
|
|
21
|
Установка
светодиодов
|
|
|
|
|
|
|
|
|
|
|
|
|
|
|
|
|
|
|
|
|
|
|
|
|
|
|
|
|
|
|
|
|
22
|
Установка
керамического стеклянного покрытия
|
|
|
|
|
|
|
|
|
|
|
|
|
|
|
|
|
|
|
|
|
|
|
|
|
|
|
|
|
|
|
|
|
23
|
Пуск
и наладка площадки
|
|
|
|
|
|
|
|
|
|
|
|
|
|
|
|
|
|
|
|
|
|
|
|
|
|
|
|
|
|
|
|
Распределение ресурсов по проекту
|
№п/п
|
Работа
|
Продолжительность,
дн.
|
Ресурсы
|
|
|
|
Человеческие
ресурсы
|
Материальные
ресурсы
|
|
|
|
Исполнители
|
Стоимость
|
Наименование
|
Стоимость
|
|
1
|
Поиск
помещения
|
3
|
Подрядчик
|
9000
|
|
|
|
2
|
Изучение
условий покупки помещения помещения
|
4
|
Подрядчик
|
5328
|
|
|
|
3
|
Подготовка
договора
|
1
|
Подрядчик
|
1332
|
|
|
|
4
|
Подписание
договора об покупке
|
1
|
Подрядчик
|
1332
|
|
1000000
|
|
5
|
Поиск
|
5
|
Директор
|
16670
|
|
|
|
6
|
Найм
|
5
|
Директор
|
16670
|
|
|
|
7
|
Обучение
|
5
|
Директор
|
16670
|
|
|
|
8
|
Изучение
рынка оборудования
|
6
|
Снабженец
|
17992
|
|
|
|
9
|
Выбор
поставщика
|
2
|
Снабженец
|
5996
|
|
|
|
10
|
Выбор
оборудования
|
5
|
Снабженец
|
14990
|
|
|
|
11
|
Заключение
договора
|
2
|
Снабженец
|
5996
|
|
|
|
12
|
Заказ
оборудования
|
3
|
Снабженец
|
8994
|
|
|
|
13
|
Оплата
счета
|
1
|
Снабженец
|
2999
|
|
|
|
14
|
Получение
оборудования
|
5
|
Снабженец
|
14990
|
Металлическая
рама, светодиоды, керамическое покрытие и другие комплектующие, включая
доставку
|
620000
|
|
15
|
Проверка
оборудования
|
5
|
Обслуживающий
сотрудник
|
15830
|
|
|
|
16
|
Согласование
макета
|
5
|
Промоутер
|
8332
|
|
|
|
17
|
Печать
листовок
|
1
|
Промоутер
|
333
|
|
|
|
18
|
Распространение
листовок
|
5
|
Промоутер
|
1665
|
|
|
|
19
|
Очистка
помещения
|
1
|
Подрядчик
|
1666
|
|
|
|
20
|
Установка
металлической рамы
|
7
|
Подрядчик
|
18666
|
|
|
|
21
|
Установка
светодиодов
|
5
|
Подрядчик
|
13330
|
|
|
|
22
|
Установка
керамического стеклянного покрытия
|
7
|
Подрядчик
|
18666
|
Пуск
и наладка площадки
|
2
|
Снабженец
|
4666
|
|
|
|
Итого
|
218813
|
|
1620000
|
|
1838813
|
Финансовый план инновационного
проекта
|
Работы
в рамках инновационного проекта
|
Период
реализации проекта
|
Прибыль
в год
|
|
|
8
|
11
|
16
|
9
|
9
|
11
|
13
|
14
|
|
|
ПРЕДПРОЕКТНАЯ
СТАДИЯ
|
1838813
|
|
|
|
|
|
|
|
|
|
|
|
15660
|
1034552
|
40658
|
29980
|
653118
|
10330
|
20332
|
23332
|
|
|
ПРОЕКТНАЯ
СТАДИЯ
|
|
|
|
|
|
|
|
|
|
|
|
|
|
|
|
|
|
|
|
|
|
|
ПОСЛЕПРОЕТКНАЯ
СТАДИЯ
|
|
|
|
|
|
|
|
|
|
900000
|
Выплата заработной платы.
Заработная плата - денежная компенсация, которую
работник получает в обмен за свой труд.
В таблице 1 представлены все работники и затраты
на их оплату труда.
Таблица 1 - Затраты на заработную плату
|
№
п/п
|
Должность
|
Кол-во
чел.
|
Оклад
|
Фонд
оплаты труда
|
|
|
|
|
месяц,
руб.
|
|
1
|
Генеральный
директор
|
1
|
50
000
|
50
000
|
|
2
|
Гл.
инженер
|
1
|
30
000
|
30
000
|
|
3
|
Обслуживающий
сотрудник
|
1
|
15
000
|
15
000
|
|
4
|
Маркетолог
|
1
|
20
000
|
20
000
|
|
5
|
Промоутер
|
1
|
10
000
|
10
000
|
|
6
|
Снабженец
|
1
|
20
000
|
20
000
|
|
7
|
Подрядчик
|
1
|
20
000
|
20
000
|
|
Итого
|
7
|
|
165000
|
|
Итого
с отчислениями
|
7
|
|
214500
|
Процент отчислений из фонда оплаты труда состоит
из процентов отчисления в пенсионный фонд (24%), в фонд медицинского
страхования (3%) оплаты труда, в фонд социального страхования (3%). В сумме
процент составляет 30%. Отчисления из ФОТ равны:
Отчисления =165000* 30%=49500
Итого суммарные затраты на реализацию проекта
составят 1838813 руб.
Расчёт ставки дисконтирования.
В нашем проекте за безрисковую ставку возьмём
ставку рефинансирования Центрального Банка РФ. На данный момент ставка
рефинансирования ЦБ РФ = 8,25%. Для определения дополнительных премии за риск
инвестирования в определенную компанию учитываются различные риски. Расчёт этих
рисков представлен в таблице 2. При этом премия за каждый вид риска
определяется в интервале от 0% до 5%.
Таблица 2 - Расчет показателя риска инвестирования
средств
|
Вид
риска
|
Уровень
риска
|
Определение
максимального риска
|
|
0
|
1
|
2
|
3
|
4
|
5
|
(уровень
риска 5)
|
|
Риск
инвестирования
|
|
Государственная
гарантия возврата инвестиций
|
|
|
|
1
|
|
|
Отсутствует
правовое поле
|
|
Объём
инвестиций
|
|
|
|
|
1
|
|
Значительные
финансовые вложения
|
|
Кредитная
политика банков
|
|
1
|
|
|
|
|
Отсутствие
долгосрочных кредитов
|
|
Количество
наблюдений
|
0
|
1
|
0
|
1
|
1
|
0
|
|
|
Взвешенная
сумма
|
0
|
1
|
0
|
3
|
4
|
0
|
|
|
Средневзвешенная
величина
|
2,7
|
|
|
Размер
компании
|
|
Монополии
|
|
1
|
|
|
|
|
Сильная
конкуренция
|
|
Доли
рынка
|
|
|
|
1
|
|
|
Малая
доля рынка
|
|
Количество
наблюдений
|
0
|
1
|
0
|
1
|
0
|
0
|
|
|
Взвешенная
сумма
|
0
|
1
|
0
|
3
|
0
|
|
|
|
Средневзвешенная
величина
|
2
|
|
|
Производственная
и территориальная диверсификация
|
|
Филиалы,
представительства
|
|
|
|
|
|
1
|
Отсутствие
|
|
Гибкие
технологически линии
|
|
1
|
|
|
|
|
Отсутствие
|
|
Работа
на разных сегментах рынка
|
|
|
|
|
1
|
|
Единственный
сегмент
|
|
Ассортимент
продукции, услуг
|
|
|
|
|
1
|
|
Единственный
продукт
|
|
Количество
наблюдений
|
0
|
1
|
0
|
0
|
2
|
1
|
|
|
Взвешенная
сумма
|
0
|
1
|
0
|
0
|
8
|
5
|
|
|
Средневзвешенная
величина
|
3,5
|
|
|
Диверсификация
клиентуры
|
|
Число
потребителей продукции
|
|
|
1
|
|
|
|
Единственный
потребитель
|
|
География
поставок
|
|
|
|
|
1
|
|
Работа
в пределах одного региона
|
|
Удельные
веса продаж различным потребителям
|
|
|
|
1
|
|
|
Значительное
различие в весах
|
|
Количество
наблюдений
|
0
|
0
|
1
|
1
|
1
|
0
|
|
|
Взвешенная
сумма
|
0
|
0
|
2
|
3
|
4
|
0
|
|
|
Средневзвешенная
величина
|
3
|
|
|
Качество
управления
|
|
Ключевая
фигура
|
|
|
1
|
|
|
|
Зависимость
от ключевой фигуры
|
|
Стратегия
маркетинга
|
|
1
|
|
|
|
|
Отсутствие
плана маркетинга
|
|
Финансовая
структура
|
|
|
1
|
|
|
|
Неудовлетворительная
|
|
Мотивация
|
|
|
1
|
|
|
|
Низкая
|
|
Количество
наблюдений
|
0
|
1
|
3
|
0
|
0
|
0
|
|
|
Взвешенная
сумма
|
0
|
1
|
6
|
0
|
0
|
0
|
|
|
Средневзвешенная
величина
|
1,75
|
|
|
ИТОГО
РИСК
|
11,75
|
|
Таким образом, ставка дисконтирования равна:
i = 8,25 + 11,75 =
20%
Таблица 3 - Поток реальных денег от операционной
деятельности
|
№
п/п
|
Наименование
показателей
|
Значения
показателей по годам, тыс. руб.
|
|
|
0
|
1
|
2
|
3
|
4
|
5
|
|
1
|
Инвестиционные
затраты
|
-
1838
|
|
|
|
|
|
|
2
|
Выручка
от сдачи в аренду спортивной площадки
|
|
900
|
910
|
920
|
910
|
915
|
|
3
|
Амортизация
|
|
18
|
17,4
|
16,8
|
16,3
|
16
|
Налог
на прибыль (20%)
|
|
180
|
182
|
184
|
182
|
183
|
|
7
|
Чистая
прибыль
|
|
720
|
728
|
736
|
728
|
732
|
|
8
|
Чистый
приток от операционной деятельности (экономический результат, денежный поток:
|
|
738
|
745
|
753
|
744
|
748
|
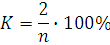
Рассчитаем ставку амортизации нелинейным
методом. Нелинейный метод - метод начисления сумм амортизации. При применении
нелинейного метода норма амортизации объекта амортизируемого имущества
определяется по формуле:
где K - норма амортизации в процентах к
остаточной стоимости, применяемая к данному объекту амортизируемого имущества;
n - срок полезного использования данного объекта амортизируемого имущества,
выраженный в месяцах. Предполагается, что данная площадка будет использоваться
в течение 15 лет.
Для расчета чистого дисконтированного дохода
составляется таблица 2.
Таблица 4 - Расчет чистого дисконтированного
дохода
|
Период
|
Денежный
поток, тыс. руб.
|
Коэффициент
дисконтирования (при =20% или
0,2)Дисконтированный денежный поток, тыс. руб.
|
|
|
0
|
-
1838
|
1
|
-1838
|
|
1
|
738
|
0,83
|
613
|
|
2
|
745
|
0,70
|
522
|
|
3
|
753
|
0,58
|
437
|
|
4
|
744
|
0,50
|
372
|
|
5
|
748
|
0,42
|
315
|
|
Итого
--421
|
|
|
|
Расчеты показывают, что величина
чистого дисконтированного дохода составляет 421 тыс. руб., это свидетельствует
о том, что проект может быть принят к реализации (
> 0).
Интегральные показатели
эффективности инновационного проекта.
.Период окупаемости PP.
Где
- первоначальные инвестиции
- среднегодовая стоимость денежных
поступлений от реализации инвестиционного проекта.
. Дисконтированный период
окупаемости DPP
=3 года + (1-(1944-1838)/372=3, 72
года
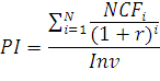
3. Чистый приведенный доход NPV
Где 
- чистый денежный поток для i-го
периода;

- начальные инвестиции;

- ставка дисконтирования.
Для данного проекта проекта: NPV
больше нуля, проект принимается;
4.
Индекс прибыльности PI
Где 
- чистый денежный поток для i-го
периода;

- начальные инвестиции;

- ставка дисконтирования.
Так как PI > 1, то данное
вложение капитала является эффективным.
5. Внутренняя норма рентабельности IRR
IRR=29%
Так как ставка дисконтирования ниже
внутренней нормы рентабельности IRR, то вложенный в проект капитал принесет
положительное значение NPV, следовательно проект можно принять.
6. Средняя норма рентабельности
ARR
Где 
- чистый денежный поток проекта

- длительность проекта в годах

- начальные инвестиции
Получили небольшую норму рентабельности равную
127 %. Этот показатель определяет норму дохода на каждый вложенный рубль. Как
видим по нашему проекту инвестор получает 27% доходности от вложений в проект.
Анализ рисков инновационного проекта
|
№
|
Риск
|
Возможные
последствия
|
Вероятность
возникновения
|
Потенциальные
действия по реагированию
|
|
1
|
Срыв
сроков поставки оборудования;
|
Задержка
проекта
|
Средняя
|
Полное
согласование работы службы материально-технического снабжения с рабочим
циклом строительства площадки (резервирование средств)
|
|
2
|
Дефекты
в оборудовании;
|
На
разных этапах: задержка проекта, порча ресурсов, потеря клиентов.
|
Средняя
|
Акт
по браку поставщику, замена оборудования.
|
|
3
|
Повышение
цен на ресурсы;
|
Увеличение
затрат, задержка проекта.
|
Высокая
|
Поиски
возможностей смены поставщика, урегулирование путем предварительного
заключения договора.
|
|
4
|
Дефекты
ресурсов;
|
Порча
оборудования, потеря клиентов, задержка проекта
|
Высокая
|
Акт
по браку поставщику, замена ресурсов.
|
|
5
|
Неэффективность
рекламы.
|
Уменьшение
прибыли. Увеличение затрат при необходимости повторного проведения рекламных
мероприятий.
|
Высокая
|
Резервирование
средств на дополнительный маркетинг
|
|
6
|
Недостаточный
для удержания персонала уровень оплаты труда
|
Потеря
персонала
|
Средняя
|
Резервирование
средств на оплату труда
|
|
7
|
Усиление
конкуренции
|
Невостребованность
в аренде площадки
|
Низкая
|
Резервирование
средств на дополнительный маркетинг
|
Заключение
В результате написания курсовой
работы поставленная цель и задачи выполнены. Был разработан инновационный
проект - строительство спортивной
светодиодной площадки. Была построена сетевая модель, которая позволяет увидеть
наглядную и понятную картину всех необходимых операций в технологической
взаимосвязи. Эта модель стала организационным инструментом управления проектом
по осуществлению календарного планирования работ, а так же по оперативному
управлению и контролю в ходе реализации данного проекта. Рассмотрена
организационная структура данного инновационного проекта. Также были рассчитаны
основные затраты на выполнение проекта. Затраты на реализацию проекта составили
1838813 руб. Таким образом, ограничения по проекту соблюдены и по срокам и по
финансовым ресурсам. В курсовом проекте был проведён экономический анализ
инновационного проекта, который показал, что проект эффективен. Временной
горизонт проекта 15 лет. Его ставка дисконтирования составляет 20%. На
основании экономической оценки эффективности проекта можно сделать следующие
выводы. Рентабельность проекта составила 127%, что говорит о его
платёжеспособности и привлекательности для инвестора. Дисконтированный срок
окупаемости 3,72 года. Так как PI > 1, то данное вложение капитала является
эффективным. Величина чистого дисконтированного дохода составляет 421 тыс.
руб., это свидетельствует о том, что проект может быть принят к реализации (
> 0).
В заключение необходимо отметить, что проект был
всесторонне раскрыт с экономической стороны для инвестора, чтоб он мог принять
решение в пользу этого проекта.
Список литературы
инновационный проект ресурс риск
1. Верзух Э. Управление проектами:
Ускоренный курс по программе MBA / Э. Верзух; пер. с англ. - 2-е изд. - М.:
Диалектика, 2010. - 480 с.
2. Вертакова Ю.В. Управление
инновациями. Теория и практика: учебное пособие / Ю.В. Вертакова, Е.С.
Симоненко. - М.: ЭКСМО, 2008. - 432 с.
. ДеМарко Т. Deadline. Роман
об управлении проектами / Т. ДеМарко; пер. с англ. - М.: Манн, Иванов и Фербер,
2010. - 352 с.
. Егорова В. Н. Управление
проектами / В. Н. Егорова. - М.: Рипол Классик, 2008. - 112 с.
. Ивасенко А. Г. Управление
проектами / А. Г. Ивасенко, Я. И. Никонова, М. В. Каркавин. - Ростов н/Д:
Феникс, 2009. - 336 с.
. Куперштейн В. И. Microsoft
Project 2010 в управлении проектами / В. И. Куперштейн. - СПб.: БХВ-Петербург,
2010. - 416 с.
. Просветов Г. И. Управление
проектами: задачи и решения: учеб.-практ. пособие / Г. И. Просветов. - М.:
Альфа-пресс, 2008. - 200 с.
. Руководство к своду знаний
по управлению проектами (Руководство PMBoK) / Project Management Institute. -
3-е изд. - Newtown Square, 2008. - 463 c.
. Управление инновационными
проектами : учеб. пособие / под ред. В. Л. Попова. М.: ИНФРА-М, 2009. −
336 с.
. Управление проектами:
основы профессиональных знаний. Национальные требования к компетенции
специалистов. - М.: ЗАО «Проектная практика», 2010. - 256 с.
. Управление проектами:
справочник для профессионалов / А. В. Цветков и др.; под ред. А. В. Цветкова,
В. Д. Шапиро. - 2-е изд., перераб. и доп. - М.: Омега-Л, 2010. - 1276 с.
. Управление проектами: учеб.
пособие для вузов / И. И. Мазур и др.; под общ. ред. И. И. Мазура, В. Д.
Шапиро. - 5-е изд., перераб. - М.: Омега-Л, 2009. - 960 с.
. Управление проектами:
учебник / Л. Г. Матвеева и др. - Ростов н/Д: Феникс, 2009. - 432 с.
. Фунтов В. Н. Основы
управления проектами в компании / В. Н. Фунтов. - 2-е изд., доп. - СПб.: Питер,
2008. - 336 с.
. Ципес Г. Л. Проекты и
управление проектами в современной компании: учеб. пособие / Г. Л. Ципес, А. С.
Товб. - М.: Олимп-бизнес, 2009. - 480 с.