Разработка инновационного проекта на примере ООО 'Объединенная торговая компания'

  • Вид работы:
    Курсовая работа (т)
  • Предмет:
    Менеджмент
  • Язык:
    Русский
    ,
    Формат файла:
    MS Word
    163,62 Кб
  • Опубликовано:
    2015-04-02
Вы можете узнать стоимость помощи в написании студенческой работы.
Помощь в написании работы, которую точно примут!

Разработка инновационного проекта на примере ООО 'Объединенная торговая компания'















Курсовая работа

Разработка инновационного проекта на примере ООО «Объединенная торговая компания»

Введение

инновационный экономический проект

В настоящее время инвестиционные проекты быстро проникают в сферу уникальных новаторских технологий и принципиально новых производств. При этом, безусловно, увеличиваются проектные и финансовые риски, возрастает необходимость в более точной экспертной оценке проектов. Сложно найти не только кредитора, но и независимых консультантов, способных оценить пригодность и риск устаревания продукции. Не менее сложно подобрать проектную команду из надежных учредителей, инвесторов, гарантов, подрядчиков и операторов. Тем не менее, именно финансирование инноваций на сегодня вызывает наибольший интерес.

Инновационные проекты характеризуются высокой неопределенностью на всех стадиях инновационного цикла: и на первичной стадии проработки идеи, и при отборе проекта, и при реализации инновации. Более того, новшества, успешно прошедшие стадию испытания и внедрения в производство, могут быть не приняты рынком, и их производство должно быть остановлено. Многие проекты дают обнадеживающие результаты на первой стадии - при разработке, затем при неясной ресурсной или технико-технологической перспективе должны быть прекращены.

Необходимость инновационного развития любой организации предъявляет новые требования к содержанию и методам управленческой деятельности в этой организации. Целенаправленное осуществление инновационной деятельности дает предприятию существенные преимущества по сравнению с конкурентами и увеличивает, в конечном счете, прибыльность его деятельности

В современной экономике роль инноваций значительно возросла. Без применения инноваций практически невозможно создать конкурентоспособную продукцию, имеющую высокую степень наукоемкости и новизны. Таким образом, в рыночной экономике инновации представляют собой эффективное средство конкурентной борьбы, так как ведут к созданию новых потребностей, к снижению себестоимости продукции, к притоку инвестиций, к повышению имиджа (рейтинга) производителя новых продуктов, к открытию и захвату новых рынков, в том числе и внешних.

Цель курсовой работы - разработать инновационный проект на примере объекта исследования.

Объект исследования - ООО «Объединенная торговая компания».

Задачи курсовой работы:

рассмотреть теоретические положения разработки инновационного проекта;

обозначить условия функционирования предприятия- объекта исследования и сформировать инновационный проект в рамках его развития;

определить экономическую эффективность реализации проекта.

Предмет исследования - производственно-экономическая деятельность предприятия и направления его развития.

Совершенствование управления инновационной деятельностью предприятия изложено в работах Беляевой Е.С., Гунина В. И., Ильдеменова С. В., Мазур И.И., Шапиро В.Д.

В работах Бухалкова М.И., Гительмана Л.Д., Бовина А. В., Ягудина С.Ю. рассмотрены вопросы разработки и реализации инновационных проектов.

Периодом исследования и анализа показателей деятельности предприятия является 2011-2013 гг.

1. Теоретические положения разработки инновационного проекта

.1 Понятие и содержание инновационного проекта

Инновационный проект представляет собой сложную систему взаимообусловленных и взаимоувязанных по ресурсам, срокам и исполнителям мероприятий, направленных на достижение конкретных целей и задач на приоритетных направлениях развития науки и техники [17, с. 34].

Понятие инновационного проекта употребляется в следующих значениях:

-       деятельность, нацеленная на управление инновациями;

-       процесс разработки инноваций;

-       комплект правовых и финансовых документов.

Как деятельность, нацеленная на управление инновациями, инновационный проект - это совокупность взаимосвязанных по ресурсам и срокам мероприятий, ориентированных на решение конкретных задач [12, с. 108].

Понятие «инновационный проект» может рассматриваться как: форма целевого управления инновационной деятельностью; процесс осуществления инноваций; комплект документов.

К основным элементам инновационного проекта относятся:

сформулированные цели и задачи, отражающие основное назначение проекта;

комплекс проектных мероприятий по решению инновационной проблемы и реализации поставленных целей;

организация выполнения проектных мероприятий, то есть увязка их по ресурсам и исполнителям для достижения целей проекта в ограниченный период времени и в рамках заданных стоимости и качества;

основные показатели проекта (от целевых - по проекту в целом до частных - по отдельным заданиям, темам, этапам, мероприятиям, исполнителям), в том числе показатели, характеризующие его эффективность [17, с 160].

В основе инновационного проекта лежат инновации.

Инновация - это не просто объект, внедренный в производство, а объект, успешно внедренный и приносящий прибыль в результате проведенного научного исследования или сделанного открытия, качественно отличный от предшествующего аналога [22, с. 48].

При этом инновация есть результат взаимодействия сфер НИОКР, маркетинга, производства и управления - рисунок 1.

Рисунок 1 - Инновация как результат взаимодействия сфер НИОКР, маркетинга, производства и управления

Инновационная деятельность - это деятельность по разработке и освоению результатов исследований, повышающих эффективность способов и средств осуществления конкретных процессов, в том числе освоение производства новой продукции и технологий [16, с. 21].

Инновации требуют соответствующего обеспечения - рисунок 2.

Рисунок 2 - Направления обеспечения инновационной деятельности на предприятии

Рассмотрим эти направления.

Информационное обеспечение инноваций представляет собой сложный, противоречивый процесс. С одной стороны, необходима как можно более полная информация о состоянии дел в данном направлении науки и техники, а с другой - требуется максимально сократить объем информации по собственным разработкам.

Для информационного обеспечения инноваций в организации необходимо иметь группу специалистов, которые на основании изучения изделий конкурентов могли бы обеспечить руководство следующей информацией:

• качество продукции конкурентов, возможности модернизации и ориентировочное увеличение цены;

• анализ собственной продукции, возможности ее модернизации, ориентировочные издержки;

• сопоставление продукции компании с продукцией конкурентов для принятия решения о модернизации или об отказе от нее [6, с. 72].

Техническое обеспечение инноваций подразумевает соответствующую техническую базу для проведения работ по конструированию, изготовлению опытных образцов и отладке технологий [6, с. 73].

В процессе разработки инновационного проекта можно выделить ряд последовательных по времени этапов, различающихся по видам деятельности, обеспечивающих его осуществление:

формирование инновационной идеи (замысла). Это процесс зарождения инновационной идеи и формулирования генеральной (конечной) цели проекта. На этом этапе определяются конечные цели проекта (количественная оценка по объемам, срокам, размерам прибыли) и пути их достижения, субъекты и объекты инвестиций, их формы и источники;

разработка проекта. Это процесс поиска решений по достижению конечной цели проекта и формированию взаимоувязанного по времени, ресурсам и исполнителям комплекса заданий и мероприятий реализации цели проекта. На этом этапе осуществляются сравнительный анализ различных вариантов достижения целей проекта и выбор наиболее жизнеспособного (эффективного) для реализации; разрабатывается план реализации инновационного проекта; решаются вопросы специальной организации для работы над проектом (команды проекта); производится комплексный отбор потенциальных исполнителей проекта и оформляется контрактная документация;

реализация проекта. На этом этапе осуществляются контроль исполнения календарных планов и расходования ресурсов, корректировка возникших отклонений и оперативное регулирование хода реализации проекта;

завершение проекта. Это процесс сдачи результатов проекта заказчику и закрытия контрактов (договоров) [21, с. 121].

Таким образом, инновационный проект - это система взаимоувязанных целей и программ их достижения, представляющих собой комплекс научно-исследовательских, опытно-конструкторских, производственных, организационных, финансовых, коммерческих и других мероприятий, соответствующим образом организованных, оформленных комплектом проектной документации и обеспечивающих эффективное решение конкретной научно-технической задачи (проблемы), выраженной в количественных показателях и приводящей к инновации.

В основе инновационного проекта лежат инновации. Инновация - это развивающийся комплексный процесс создания, распространения и использования новой идеи, которая способствует повышению эффективности работы предприятия.

.2 Управление реализацией инновационных проектов на предприятии

Управление проектом или программой является сложной задачей. Рабочая группа, созданная для реализации проекта, решает новые задачи, отличающиеся от задач, решаемых существующими функциональными подразделениями.

Существуют следующие приемы и методы, которыми может пользоваться менеджер при осуществлении изменений:

.        Управление изменениями. Менеджеру надо не только спланировать изменение, но и убедить исполнителей в целесообразности нововведения, в том, что оно принесет пользу, а также нейтрализовать действия противников изменения.

При этом следует выделять факторы, вызывающие те или иные изменения, вызывающие или сдерживающие изменения. Для этого, прежде всего, полезно выявить потенциал для изменения, то есть потенциальные ресурсы, особенности их использования, которые способны изменяться под действием различных факторов, но в настоящее время еще остаются на прежнем уровне [32, с. 124].

.        Разработка плана управления влияющими факторами. У менеджера всегда должен быть разработан «план экстренного реагирования», то есть комплекс мероприятий по управлению непредвиденными ситуациями. Один из наиболее естественных способов - владение информацией, которая будет способствовать выявлению негативных предпосылок в будущем;

.        Вовлечение сотрудников в проектирование и осуществление инновации. В этом случае необходимо определить только основные позиции, направления деятельности, оставляя детали сотрудникам. Люди, которые принимают участие в проектировании инновации, будут испытывать чувство ответственности за осуществление изменения. Важной задачей при этом является донесение до сотрудников инновационных намерений менеджера [32, с. 126].

Содержание основных работ по управлению проектами отражено в таблице 1.

Таблица 1 - Основные работы по управлению проектами [28, с. 109]

Инициация

Планирование

Выполнение

Контроль

Закрытие

1)Инициация проекта или его фаза

1)Планирование предметной области

1)Организация и координация выполнения плана

1)Представление отчетов о ходе выполнения

1)Административное завершение проекта






2)Разработка концепции проекта

2)Структурная декомпозиция проекта






2)Развитие команды проекта

2)Управление изменениями


3)Технико-экономическое обоснование

3)Определение работ и их взаимосвязей



2)Закрытие контрактов



3)Распределение информации

3)Контроль качества



4)Планирование ресурсов



 

4)Оценка и утверждение проекта

5)Оценка продолжительности работ

4)Подтверждение предметной области

4)Контроль выполнения



Состояние проекта от идеи до завершения характеризуется изменением ряда показателей, которые определяют его сущность и на основе которых устанавливается успешность проекта. Управление предметной областью заключается в управлении этими изменениями на протяжении жизненно цикла проекта и осуществляется через процессы:

-       инициации работ;

-       планирования предметной области;

-       определения предметной области;

-       уточнения и подтверждения предметной области;

-       контроля изменения предметной области [32, с. 129].

Управление инновационным проектом реализуется через следующие функции:

функция управления качеством проекта пронизывает весь жизненный цикл и включает: проектные, организационные и управленческие решения; используемые материалы, оборудование, сырье; и др.

функция управления временем тесно связана с функцией управления предметной областью и включает определение работ и их продолжительности, сроков начала и завершения проекта, его частей, важнейших событий и каждой из выполняемых работ и др.

функция управления временем реализуется посредством процессов временного анализа проекта и его частей, календарного планирования работ, контроля графиков выполнения работ, их актуализации и корректировки.

функция управления стоимостью включает планирование ресурсов, предварительную оценку расходов, связанных с проектом, определение сметы расходов, денежных потоков, прогнозирование доходов и прибылей, контроль расходования и поступления денежных средств и принятие решений в случае превышения расходов и других отклонений от финансовых планов [13, с. 68].

Осуществление проектов происходит на контрактной основе, используемой для привлечения отдельных специалистов, различных подрядных и субподрядных организаций и фирм как для выполнения работ и услуг, так и для закупок и поставок необходимого оборудования и материально-технических ресурсов.

Функции управления контрактами и поставками включают процессы выбора стратегии контрактной деятельности: определение состава, номенклатуры и сроков работы привлекаемы по контракту субъектов; подготовку контрактных предложений: выбор контрагентов и поставщиков путем торгов конкурсов, тендеров и др.; подготовку документации на заключение контрактов; контроль за ходом их выполнения закрытие и расчет по завершенным контрактам [13, с. 69].

К настоящему времени накоплен значительный опыт по различным методам управления проектами (таблица 2). Из формальных методов чаше всего используется известный метол «дерева целей» с описанием, фиксацией целей и их структурной декомпозицией. Для нечетких целей используют технику творческого процесса типа «мозговой атаки», «записи идей», «творческой конфронтации», «систематического структурирования»

Таблица 2 - Методы управления проектами

Методы

Управление

Методы сетевого планирования и управления

 В усовершенствованном виде с разнообразным современным программным обеспечением эти методы являются центральным звеном в цепи методов управления проектами, где с их помощью выполняются следующие функции: - моделирование проекта; - Временной анализ проекта; - Ресурсный анализ проекта; - Распределение ресурсов. Мониторинг проекта - совокупность методов и процедур контроля за ходом выполнения работ проекта. На основе графика работ и отчетов исполнителей осуществляются актуализация данных модели и новые расчеты плана части проекта, оставшейся еще не выполненной. При этом с помощью компьютера ведется учет выполненных объемов, определяется расход ресурсов и затрат, формируются данные для отчетов, анализируется состояние проекта, прогнозируется ход дальнейших работ.

Методы планирования затрат

Эта важнейшая область управления проектом в рыночной экономике тесно связана с ценообразованием и сметным делом. Различают два подхода к планированию затрат: пассивный и активный. Пассивный основан на расчете стоимости: по проектам-аналогам (фаза 1): по объемам работ и нормативам (фаза 1-2); на основе расчетной потребности ресурсов и нормативной базы (фаза 2-3).

Контроль затрат

Эта часть мониторинга проекта выделяется в самостоятельный метод, имеющий развитую информационную поддержку. Суть метода в том, что по ряду проектных показателей формируются наглядные графики, позволяющие вести непрерывный учет затрат и оценивать развитие проекта, соблюдение бюджета и эффективность фактических затрат.

Методы управления риском

Совокупность методов позволяет определить и оценить риск на разных фазах развития проекта, найти пути его снижения и влияния на основные параметры проекта. В инструментарий методов управления риском входят вероятностные и альтернативные сетевые модели, имитационное моделирование, экспертные системы, теория вероятностей и надежности, робастная технология и др.

Методы управления изменениями

В проекте в процессе его подготовки и реализации вносятся многочисленные изменения. Разработаны методы прогнозирования. оценки и зашиты проекта от изменений; процедуры и организационные формы для внесения нений; способы фиксации изменений, организации документооборота и его корректировки в связи с изменениями.

 Методы управления контрактами

Данные методы направлены на упорядочение и систематизацию подготовки, согласования, оформления контрактов, контроль их выполнения и закрытие контрактов. Сюда примыкают методы маркетинга, организация торгов, тендеров, конкурсов и аукционов.

 Методы организации и управления проектами

Это один из важнейших разделов управления проектами. Он определяет правила построения рациональных организационных форм и структур, ориентированных на выполнение проектов. Устанавливает регламент и взаимоотношения между участниками проекта и командой проекта.


Рассмотренные в таблице методы помогают сформировать необходимый состав команды проекта, организовать его эффективную работу, обеспечить управление персоналом и наладить необходимые коммуникации между участниками проекта.

Таким образом, управление проектами есть процесс определения цели деятельности и организации людей и техники так, чтобы эта цель была достигнута при завершении деятельности.

2. Разработка инновационного проекта на примере ООО «Объединенная торговая компания»

.1 Краткая характеристика предприятия

Объектом исследования в курсовой работе является Общество с ограниченной ответственностью - ООО «Объединенная торговая компания».

Юридический адрес предприятия: г. Сочи, ул. Гагарина, д. 72

ОГРН: 1032311075895  ИНН: 2319007660

Основной вид деятельности компании - специализированная розничная торговля непродовольственными товарами, не включенными в другие группировки.

Кроме основного вида деятельности в Уставе ООО «Объединенная торговая компания» зарегистрированы следующие:

- оптовая торговля эксплуатационными материалами и санитарно технической арматурой: трубами, трубками, фитингами, кранами, тройниками, соединительными элементами, резиновыми шлангами;

- розничная торговля, кроме торговли автотранспортными средствами и мотоциклами; ремонт бытовых изделий и предметов личного пользования;

прочая розничная торговля в специализированных магазинах;

прочая розничная торговля в специализированных магазинах.

Рисунок 3 - Структура выручки ООО «Объединенная торговая компания» за 2013 год

По данным рисунка 3 видно, что наибольший приток денежных средств обеспечивает продажа комплектующих к системам водо- и теплоснабжения, их удельный вес в структуре выручки предприятия составляет 27%. Наименьшую долю в структуре продаж занимает реализация теплоэнергетического оборудования - 8%.

ООО «Объединенная торговая компания» обязано вести бухгалтерский учет и предоставлять финансовую отчетность по правилам, установленных законодательством и нормативно - методическими рекомендациями, в соответствии с Положениями по бухгалтерскому учету. Ответственность за соблюдение этих правил лежит на Генеральном директоре.

ООО «Объединенная торговая компания» является юридическим лицом, имеет самостоятельный баланс, обладает обособленным имуществом, может от своего имени приобретать имущественные и личные неимущественные права, нести обязательства. Общество может являться истцом и ответчиком в суде.

Общество не может иметь дочерние предприятия и зависимые хозяйственные общества с правами юридического лица. Предприятие имеет расчетный счет в банке; имеет печать.

В соответствии с Гражданским и Налоговым кодексами общество имеет право:

1)      приобретать права и принимать на себя обязанности путем совершения сделок и иных юридических актов с юридическими и физическими лицами, а также другими способами, не запрещенными законом;

2)      приобретать лицензии;

3)      образовывать в установленном порядке свои филиалы, отделения, представительства, дочерние и совместные предприятия, в том числе с участием иностранных партнеров, участвовать в хозяйственных товариществах и обществах, входить в состав объединений (ассоциаций и союзов) юридических лиц;

)        совершать иные действия, не запрещенные российским законодательством.

Общество вносит платежи и налоги в федеральный, областной и местный бюджеты в соответствии с российским и областным законодательством и решениями органов местного самоуправления.

В соответствии с современным законодательством, участники общества не отвечают по его обязательствам и несут ответственность (риск убытков), связанную с деятельностью предприятия в пределах стоимости внесенного ими вклада. Так, уставный капитал общества состоит из номинальной стоимости долей участников и составляет восемнадцать тысяч рублей.

Исполнительным органом ООО «Объединенная торговая компания», осуществляющим руководство текущей деятельности предприятия, является Генеральный директор - единоличный орган.

Условия договора с Генеральным директором утверждается на общем собрании участников.

Генеральный директор предприятия:

1)      решает вопросы функционирования предприятия, без доверенности действует от имени ООО «Объединенная торговая компания», в том числе представляет его интересы и совершает сделки;

2)      выдает доверенности на право представительства от лица ООО «Объединенная торговая компания»;

)        издает приказы о назначении работников на должности, решает вопросы об их переводе, увольнении;

)        применяет меры по поощрению работников предприятия и налагает дисциплинарные взыскания;

)        открывает в банках расчетные и другие счета;

)        решает вопросы, связанные с подготовкой, созывом и проведением общего собрания участников ООО «Объединенная торговая компания».

Контроль за деятельностью Генерального директора осуществляется непосредственно посредствам общего собрания участников либо через ревизионную комиссию, назначенную общим собранием участников. Ревизионная комиссия вправе осуществлять в любое время проводить проверки финансово - хозяйственной деятельности предприятия и иметь доступ ко всей информации и документации, касающейся деятельности предприятия.

Если говорить о социально-трудовых показателях предприятия, то необходимо рассмотреть структуру кадров, которую можно охарактеризовать по таким признакам, как возраст, пол, уровень образования и квалификации.

Таблица 3 - Структура персонала ООО «Объединенная торговая компания»

Категории работников

2011г.

2012 г.

2013г.

Темп роста, %


Чел.

%

Чел.

%

Чел.

%

К 2011г.

К 2012г.

Рабочие

69

88,46

70

84,34

68

91,89

101,45

97,14

Специалисты

6

7,69

9

10,84

9

12,16

150,00

100,00

Руководители

3

3,85

4

4,82

3

4,05

133,33

75,00

Всего

78

100,00

83

100,00

74

100,00

106,41

89,16


В структуре персонала ООО «Объединенная торговая компания» по категориям, что на протяжении анализируемого периода численность административно-управленческого персонала составляет чуть более 10% от среднесписочной численности предприятия. К 2013г. численность предприятия сокращается на 11%. Численность производственного персонала увеличивается и на 01.01.2014 год составляет 92%.

Общей оценкой эффективности работы предприятия в рыночных условиях хозяйствования служат показатели рентабельности и показатели интенсивности использования производственных ресурсов предприятия.

Эффективность хозяйственной деятельности предприятия и экономическая целесообразность его функционирования напрямую связаны с его рентабельностью, о которой можно судить по прибыльности или доходности капитала, ресурсов или продукции предпринимательской фирмы.

Таблица 4 - Расчет и динамика показателей рентабельности ООО «Объединенная торговая компания»

Показатели

2011г.

2012г.

2013г.

Темп роста, %

Темп роста, %

Выручка (нетто) от продажи товаров, продукции, работ, услуг, тыс. руб.

14217

15917

14439

111,96

90,71

Себестоимость проданных товаров, продукции, работ, услуг (включая коммерческие и управленческие расходы), тыс. руб.

8761

11606

9777

132,47

84,24

Прибыль от реализации, тыс. руб.

5456

4311

4662

79,01

108,14

Налог на прибыль и иные аналогичные обязательные платежи, тыс. руб.

562,7

775,98

839,16

137,90

108,14

Чистая прибыль, тыс. руб.

4893,3

3535,02

3822,84

72,24

108,14

Стоимость активов, тыс. руб.

6221

7987

4430

128,39

55,47

Стоимость оборотных активов, тыс. руб.

2816

4199

1270

149,11

30,25

Собственный капитал, тыс. руб.

4365

4693

4196

107,5

89,4

Рентабельность оборотных активов, %

31

29,5

29

95,16

98,31

Прибыльность продукции, % (рентабельность реализованной продукции)

34,4

22,21

26,48

64,56

119,21

Анализируя таблицу 4 можно сделать выводы:

выручка от оказания услуг сократилась на 9,3% в 2013г.;

себестоимость продукции и услуг сократилась на 15,8%;

чистая прибыль сократилась к 2012 году и увеличилась к 2013 году на 8,14%;

прибыльность продукции увеличилась на 19,21% к 2013 году.

Рисунок 4 - Динамика показателей эффективности производственно- хозяйственной деятельности ООО «Объединенная торговая компания»

Условные обозначения:

      - общий коэффициент платежеспособности;

     - коэффициент покрытия;

      - коэффициент текущей ликвидности;

     - коэффициент абсолютной ликвидности.

Рисунок 5 - Динамика коэффициентов ликвидности ООО «Объединенная торговая компания»

Коэффициент текущей ликвидности показывает, что предприятие имеет хорошие платёжные возможности при условии своевременного проведения расчётов с дебиторами (К = 1,129 при норме К ≥ 1), но на следующие даты анализа ситуация ухудшается и коэффициент не достигает нормального значения (0,709; 0,766; 0,710), что говорит о невысокой платежеспособности организации на период, равный средней продолжительности одного оборота дебиторской задолженности.

Коэффициент общей платежеспособности свидетельствует о возможности предприятия покрыть все обязательства всеми своими активами. Он превышает нормативное значение (К ≥ 2) на протяжении всего анализируемого периода.

Проведенный анализ показал, что финансовое состояние предприятия недостаточно стабильно. Для стабилизации финансовой ситуации в первую очередь руководству предприятия необходимо разработать систему финансового планирования. Эффективное управление финансами предприятия возможно лишь при планировании всех финансовых ресурсов, их источников отношений хозяйствующего субъекта.

Таким образом, показатели рентабельности повысились, что является положительной тенденцией и свидетельствует об эффективном использовании ресурсов. В результате анализа показателей ликвидности можно сделать вывод, что уровень платежеспособности организации ООО «Объединенная торговая компания» очень высокий и имеет тенденцию к дальнейшему увеличению.

.2 Теоретическое обоснование инновационного проекта

На протяжении ряда последних лет в Краснодарском крае наметилось стабильное повышение спроса на строительные материалы. С развитием ипотечного кредитования и в связи с наличием региональных программ строительства «социального» жилья увеличился спрос на строительную продукцию. Особую роль в данном направлении сыграла реализация на территории Краснодарского края Олимпийских зимних игр.

На основании проведенного анализа была дана оценка привлекательности отрасли, которая представлена в таблице 5.

Анализируя данные проведенного исследования, видно, что на современном этапе развития отрасли производства и реализации строительных материалов Краснодарского края для качественного, интенсивного и стабильного развития необходимыми условиями являются повышение инвестиционной активности, увеличение объемов капитальных вложений в реструктуризацию устаревших производств и создания новых производственных мощностей выпуска строительных материалов.

Таблица 5 - Оценка привлекательности отрасли

Критерии оценки

Удельный вес, %

Качественная оценка

Бальная оценка 0-100

Итоговая оценка

1. Рост рынка

30

Ежегодный темп роста рынка составляют 10-30%

70

21

2. Диапазон для ценовой политики

16

Цена меняется в зависимости от требуемых качеств и х-к продукта, так же на основании составляющих себестоимости.

80

12,8

3. Уровень удовлетворения спросом

11

В 2011 году спрос составил около 95%

90

9,9

4. Сложность входных барьеров

10

Высокие входные барьеры

95

9,5

5. Власть потребителей

7

Присутствует, сильная

70

4,9

6. Уровень рентабельности

8

49-60%

70

5,6

7. Количество конкурентов и их структура

11

Увеличивается доля крупных предприятий, реализующих государственный заказ, участвующих в тендерах на строительство спец объектов

65

7,15

8. Размер инвестиций

9

Около 5 % от чистой прибыли

65

5,85

Итого

100



76,7


Одним из важных показателей отрасли - средний период обеспеченности заказами предприятий - в Краснодарском крае составляет 6 месяцев.

Как показал проведенный в работе анализ, наибольший приток денежных средств ООО «Объеденная торговая компания» обеспечивает продажа комплектующих к системам водо- и теплоснабжения, их удельный вес в структуре выручки предприятия составляет 27%.

С экономической точки зрения, развитие электронной торговли обусловлено так называемым «сетевым эффектом», при котором расширение сети потребителей определённого вида продукции увеличивает её ценность для всех без исключения участников сети, как новых, так и старых. Именно эта особенность телекоммуникационных сетей, прежде всего Интернета, предопределила широкое использование последнего для проведения в электронной форме операций по купле-продаже всё большего количества товаров и услуг [19, с.24].

В различных областях экономики существуют разные способы продвижения и сбыта продукции. Самыми эффективными способами сбыта продукции в сфере В2В являются прямые продажи и продажи посредством Интернет. Такая ситуация обусловлена тем, что покупателем выступает деловой человек, у которого, как правило, слишком мало времени на поиск информации о поставщиках и необходимой ему продукции. Поэтому, при возникновении определенной потребности в товаре или услуге, люди данного типа все чаще прибегают к поиску информации в сети Интернет, что значительно сокращает время поиска и сравнения поставщиков, соответствующих первоначальным требованиям покупателя к данному типу продукции. Прямые продажи также эффективны, но в меньшей степени. Объясняется это тем, что при отсутствии потребности в каком-либо товаре, очень сложно навязать его покупку.

В настоящее время участники рынка электронной торговли (структура представлена на рисунке 6) и эксперты прогнозируют уверенный рост российского сегмента B2B в ближайшие несколько лет на уровне 40-50%. [24, с.32]

Рисунок 6 - Предприятия, участники рынка электронной коммерции

Качественный скачок в развитии рынка В2В в России произошел в 2011-2012 годах. В исследовании Boston Consulting Group, опубликованном в начале 2001 года, констатировалось, что российский сектор В2В находится в начальной стадии развития. [10,с.42]

Услуги, которые предоставляются компаниям сектором В2В, представлены в форме использования электронных торговых площадок (ЭТП), или B2B-площадок (Business to business marketplace) [21, с. 54].

В функции ЭТП может выступать любой Интернет-ресурс, посредством которого заключаются сделки купли-продажи между предприятиями - покупателями и продавцами. Электронные торговые площадки создаются для того, чтобы упростить взаимодействие между предприятиями, поставщиками и покупателями, независимо от их размеров, географического положения и отраслевой принадлежности.

В связи с этим проект формирования, разработки сайта - магазина предприятия является актуальным.

На основе исследования предметной области можно выделить следующие основные функции для разрабатываемой информационной маркетинговой системы подготовки и ведения документации, сопровождающей процесс реализации оборудования и услуг:

ведение базы данных клиентов;

подготовка и оформление договоров, их регистрация и учет;

произведение необходимых расчетов и формирование соответствующего справочника;

− подготовка документации на оказание услуг: счет-фактура, договор, счет, а также ведение их учета;

ведение учета поступлений денежных средств от клиентов за услуги, включая предоплату;

формирование списка клиентов - должников и суммы дебиторской задолженности на текущую дату;

ведение учета поступающих перспективных заказов от потенциальных клиентов компании.

Благодаря автоматизации оформления некоторой документации, которая на данный момент оформляется вручную, у работников отдела увеличится оперативность: так, сократится время на выполнение операций и функций, а систематизация документации сократит время на поиск необходимой информации.

.3 Концептуальная разработка информационного сайта

На современном этапе развития ООО «Объединенная торговая компания» имеет существенное распространение информации о компании и продукции, ее характеристиках и условиях поставок, в различных информационных ресурсах Internet. Данные ресурсы содержат информацию о продукции объекта исследования, координаты руководителей предприятия и новинках. Однако, следует отметить, что в современных условиях развития рынка В2В этого недостаточно - необходим собственный Интернет - ресурс - собственный сайт.

Интернет-сайт компании разрабатывается для реализации возможностей электронной коммерции и способствует расширению рынка сбыта продукции для этой организации, а так же, частично автоматизирует работу менеджера по продажам, повышает имидж организации.

Посредством интернет-сайта возможно будет произвести обзор товаров и услуг, предоставляемых ООО «Объединенная торговая компания».

Для осуществления поставленных задач необходимо выполнить следующие этапы проектирования сайта:

1.      Разработка концепции сайта, информационное проектирование, оформление Технического задания;

2.      Разработка эскиза базового дизайна;

.        Создание работающего шаблона сайта, включая полную разработку «визуала», ссылки, интерактивные элементы;

.        Подключение и настройка администраторского модуля;

.        Подготовка, редактирование, вёрстка и настройка контента сайта под поисковые системы,

6.      Публикация сайта на сервере, тестирование [21, с.74].

На рисунке 7 представлены схема формирования информационного сайта с учетом функций персонала ООО «Объединенная торговая компания» и с учетом требований целевой аудитории - потенциальными клиентами.

Рисунок 7 - Схема поэтапного формирования информационного сайта ООО «Объединенная торговая компания»

При проектировании важно знать, какие типы пользователей будут работать с разрабатываемой системой. Классифицируя пользователей и изучая их требования, можно определить сведения, которые покажут, как надо строить базу данных, какие ограничения обеспечить, как сгруппировать страницы, как организовать обучение и помощь, какая специфическая информация должна быть на сайте.

Язык UML позволяет строить диаграмму «исполнитель-роль», которая описывает пользователей работающих с web - приложением, и их роли при этой работе. Пример диаграммы на рисунка 8.

Рисунок 8 - Диаграмма исполнитель-роль

При выборе инструментов и технологий проектирования наиболее популярным решением оказалась комбинация Apache + PHP + MySQL, поскольку недорогих хостингов с этой комбинацией достаточно много.

Схема проектируемого Интернет - сайта:

·        Главная страница:

o   Фотогалерея

o   Каталог

o   Договор предварительного соглашения

o   Контакты

o   Отзывы

o   Специальные предложения / Акции и скидки

o   Окно регистрации/авторизации

·        Разделы главного меню (Основная деятельность компании):

o   Оборудование теплоснабжения

o   Оборудование водоснабжения

o   Оборудование для канализации и очистные системы

o   Комплектующие материалы

o   Услуги

Монтаж оборудования (включая испытания)

Доставка оборудования

o   Подписка на рассылку новостей

На главной странице будет располагаться так же статистика посещаемости, которая будет отражать, какое количество гостей сейчас находится на сайте.

Главная страница содержит графическую часть, основную навигацию (2 меню: справа и слева), а также контентную область для того, чтобы посетитель сайта с первой страницы мог получить вводную информацию о компании, а также ознакомиться с последними новостями компании.

Внизу страницы отображается контактный e-mail.

Подробная схема работы разрабатываемого информационного сайта представлена на рисунке 9.

Таким образом, определяется хранящаяся информация в конкретной сущности и в конкретном атрибуте, что обеспечивает полную информационную поддержку для выполнения всех функций, заложенных в web-приложение.

При создании сайта с помощью CMS Joomla автоматически генерирует базу данных в формате MySQL. Таблицы этой БД содержат информацию не только об услугах, клиентах, но и о компонентах, модулях, шаблонах сайта [21, с.132]

Основные источники экономической эффективности, получаемые в результате создания продукта информационного обеспечения маркетинга - информационной системы:

·        сокращение объема бумажной документации;

·        увеличение скорости поиска информации и подготовки отчётов;

·        повышение производительности труда;

·        повышение мотивации к приобретении услуги через формирование визуального образа желаемого;

·        улучшение качества обслуживания клиентов.

Рисунок 9 - Схема работы проектируемого сайта

Таким образом, стоит отметить, что, реализуя свои возможности на рынке В2В, ООО «Объединенная торговая компания» обеспечит себе необходимый уровень притока денежных средств, необходимый уровень развития, а также положительную репутацию и имидж инновационной организации.

3. Экономическое обоснование реализации инновационного проекта

.1 Экономическое обоснование проекта

В качестве инвестиционных затрат будем рассматривать затраты, связанные с концептуальной и физической разработкой сайта; а также затраты, связанные с его внедрением. С учетом рыночной цены услуг компаний - разработчиков площадок электронной коммерции данная сумма инвестиционных затрат составит 24 тыс. руб.

В качестве ежемесячных затрат на эксплуатацию информационного сайта будем рассматривать затраты, связанные с оплатой хостинга - 2007 руб., оплата функций администрирования сайта - 2400 руб., обновление дизайна - 8200 руб. и затраты, связанные с обеспечение информационной безопасности компании.

Затраты на организацию защиты конфиденциальной информации принимают пропорционально размеру потенциального ущерба или упущенной выгоды предприятия от ее использования. Данный вид затрат определяется по формуле:

И = kL,

где И - Затраты на организацию защиты конфиденциальной информации, руб.;- Размер потенциального ущерба или упущенной выгоды, руб.;- коэффициент, учитывающий допустимую величину затрат на организацию защиты конфиденциальной информации в долях от величины потенциального ущерба или упущенной выгоды (от 0,05 до 0,2) [11, с. 162]

По мнению экспертов, если затраты на организацию защиты от информационных угроз на предприятии составили менее 5% величины упущенной выгоды или прибыли за счет использования своей конфиденциальной информации, то оно рискует собственной экономической безопасностью.

Определим допустимые издержки на безопасность информационной системы ООО «Объединенная торговая компания», принимая размер упущенной выгоды как 5% от величины прибыли 2013 года - 3822,8 тыс. руб.

И = (3822,8 *0,05) * 0,2 = 38,22 тыс. руб.

Таким образом, суммарные годовые эксплуатационные затраты составляют 458,74 тыс. руб.

В качестве притока денежных средств рассмотрим долю увеличения выручки ООО «Объединенная торговая компания» за счет привлечения новых потребителей услуг посредствам формирования и реализации информационного корпоративного сайта.

По данным специалистов для торговых компаний (осуществляющих не только розничную, но и оптовую торговлю) увеличение притока денежных средств может составлять до 22% [21, с. 267]

Поскольку доля оптовой торговли ООО «Объединенная торговая компания» незначительна, то определим увеличение притока денежных средств на уровне 6 %:

В прогноз = 14439 *1,06 = 15305,3 тыс. руб.

Увеличение выручки от реализации составит 866,3 тыс. руб.

Для определения экономической целесообразности эксплуатации информационного сайта компании определим период окупаемости инвестиционных затрат, связанных с разработкой, с учетом эксплуатационных затрат. В этих целях используем метод дисконтирования.

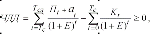
Чистый дисконтированный доход представляет собой сумму дисконтированных ежегодных разностей между оттоками и притоками реальных (за вычетом налогов, выплат процентов за кредит и т. д.) денег за весь период жизни проекта. Моментом приведения будущих затрат и результатов к их текущей стоимости является предполагаемое начало осуществления проекта.

Чистый дисконтированный доход определяется как сумма текущих эффектов за весь расчетный период, приведенная к начальному шагу, или как превышение интегральных результатов над интегральными затратами и вычисляется по формуле:


где, Пt и аt - годовая чистая прибыль и амортизация в году t;

Кt - cумма инвестиций;

Е - норма дисконта;

Тс и Тсл - сроки строительства и эксплуатации (службы) объекта, лет.

Таблица 6 - Расчет прогноза окупаемости инвестиционных затрат

Показатель

2014г.

2015 год


 I полугодие

II полугодие

I полугодие

II полугодие

Инвестиции

24




Приток денежных средств, тыс. руб. (за счет эксплуатации сайта)

433,2

433,2

433,2

433,2

Эксплуатационные затраты, тыс. руб.

229,4

229,4

229,4

229,4

Прибыль, тыс. руб.

203,8

203,8

203,8

203,8

Налог на прибыль, тыс. руб.

40,76

40,76

40,76

40,76

cashflow от предпринимательской деятельности, тыс. руб.

163,04

163,04

163,04

163,04

Ставка дисконтирования, %

22

22

22

22

Коэффициент дисконтирования

1

0,82

0,76

0,64

ЧДД, тыс. руб.

163,04

133,69

123,91

104,35

ЧДД с учетом окупаемости инвестиций, тыс. руб.

139,04

133,69

123,91

104,35

 

Чистый дисконтируемый доход больше нуля, корпоративный информационный сайт окупается в первом полугодии 2014 года.

Внутренняя норма доходности проекта представляет собой ту норму дисконта (Евн), при которой величина приведенных эффектов равна приведенным капиталовложениям. По данным таблицы 9 получаем:

Евн = 104,35 / 24 = 2,98

Таким образом, доходность, экономическая эффективность показывает, что каждый вложенный в проект рубль обеспечит практически 3 рубля в ходе предпринимательской деятельности ООО «Объединенная торговая компания» в качестве выручки от реализации оборудования и оказания услуг.

.2 Оценка рисков по проекту

Постадийная оценка рисков основана на том, что они определяются для каждой стадии проекта отдельно, а затем находится суммарный риск по всему проекту. Обычно в каждом проекте выделяются, следующие стадии: подготовительная - выполнение всего комплекса работ, необходимых для начала реализации проекта; строительная - возведение необходимых зданий и сооружений, закупка и монтаж оборудования; функционирования - вывод проекта на полную мощность и получение прибыли.

Решение поставленных задач рассмотрим на примере ООО «Объединенная торговая компания», а в дальнейшем полученные результаты обобщим.

Характер инвестиционного проекта как чего-то совершаемого в индивидуальном порядке, по существу, оставляет единственную возможность для оценки значений рисков - использование мнений экспертов.

Каждому эксперту, работающему отдельно, предоставляется перечень первичных рисков по всем стадиям проекта, предлагается оценить вероятность их наступления, руководствуясь следующей системой оценок:

00 - риск рассматривается как несущественный;

25 - риск скорее всего не реализуется;

50 - о наступлении события ничего определенного сказать нельзя;

75 - риск скорее всего проявится;

100 - риск наверняка реализуется [29, с. 168].

Руководство ООО «Объединенная торговая компания» пригласило трех экспертов А, В и С, которые дали следующие оценки проекту, в котором выделены четыре риска: А (100; 75; 50; 25); В (75; 75; 75; 75); С (25; 50; 75; 100). В этом случае попарные сравнения векторов по правилу 2 дают:

АВ=(|100-75|+|75-75|+|50-75|+|25-75|):4=25.

В том случае, если между мнениями экспертов будут обнаружены противоречия (не выполняется хотя бы одно из правил 1 и 2), они обсуждаются на совещаниях с экспертами. Проиллюстрируем применение изложенных выше подходов применимо к инвестиционному проекту ООО «Объединенная торговая компания».

В таблице 8 содержатся первоначальные оценки экспертами рисков для такого проекта. В тех случаях, когда мнения экспертов не удовлетворяют изложенным выше правилам, в квадратных скобках приведены уточненные значения вероятностей.

Таблица 8 - Постадийная оценка рисков инновационного проекта

Простые риски

Эксперты

Средняя Vt

Приоритет Рt


1

2

3



Подготовительная стадия

1. Удаленность от инженерных сетей 2. Отношение местных властей 3. Доступность подрядчиков и поставщиков на месте

25 25 0

0 0 0

25 50 0

17 25 0

3 1 3

Строительство

1. Платежеспособность заказчика 2. Непредвиденные затраты, в том числе из-за инфляции 3. Недостатки проектных и организационных работ 4. Несвоевременная поставка комплектующих 5. Несвоевременная подготовка рабочих 6. Недобросовестность подрядчика

0  75  50  50 0 75

25  75  75  50 0 25

50  100  75  50 0 50

25  83  67  50 0 50

1  1  3  3 2 3

Функционирование

Финансово- экономические 1. Неустойчивость спроса 2. Появление альтернативного продукта (конкурента) 3. Снижение цен конкурентами 4. Увеличение производства у конкурентов 5. Рост налогов 6. Неплатежеспособность потребителей 7. Рост цен на сырье, материалы, перевозки 8. Зависимость от поставщиков 9. Недостаток оборотных средств Социальные 1. Трудности с набором квалифицированной рабочей силы 2. Угроза забастовки 3. Отношение местных властей 4. Недостаточный для удержания персонала уровень оплаты труда 5. Недостаточная квалификация кадров Технические 1. Нестабильность качества сырья и материалов 2. Новизна технологии 3. Недостаточная надежность технологии 4. Отсутствие резерва мощности Экологические 1. Вредность производства

 25 75 75 50 25  25 25 100  25 100   0  100 50 100 25  25 50 75 25 50

 25 25 [50] 50 0  25 0 75  0 100   0  75 25  50 50  25 25 50 0 75

 50 50 25 0 50  0 100 25  25 100   25  75 100 75 50  25 50 75 0 50

 33 58 42 8 33  8 90 17  12 100   8  83 67 75 33  17 41 67 8 58

 3 3 3 3 3  1 3 3  3 1   3  1 3 2 3  3 3 2 3 3


Итак, на стадии функционирования, велики опасения руководства относительно того, что такая идея придет в голову руководителям других обществ, ибо эффективность проекта может оказаться проблематичной. Общий итог анализа по данному пункту состоит в повышении оценки вторым экспертом до 50.

Все эксперты мрачно смотрят на недостаток оборотных средств, которые быстро съедаются инфляцией. Отсюда вытекает следующая причина для беспокойства - рост цен на ресурсы для будущего производства.

В оценке технических рисков между экспертами не наблюдается большого различия во мнениях.

В рассматриваемой ситуации использованы три приоритета. Они определяют значения весов по следующим соображениям. Первый и последний ранг определяют соответственно максимальное и минимальное значения весов. Веса, соответствующие другим приоритетам (в рассматриваемой ситуации он только один - второй), являются средними между ними. В связи с этим веса, соответствующие промежуточным приоритетам, следует рассматривать как средние, а потому они зависят от формы выбранной средней.

Расчет весов для групп простых рисков (по средней арифметической) проведем, пользуясь данными таблицы 9.

Таблица 9 - Постадийный расчет рисков

Простые риски

Средняя Vi

Приоритет

Wi

Рi

Подготовительная стадия

1. Удаленность от инженерных сетей 2. Отношение местных властей 3. Доступность подрядчиков и поставщиков на месте

17 25 0

3 1 3

0,11 0,10 0,11

0,2 2,5 0

Средняя вероятность 2,67

Функционирование

Финансово- экономические 1. Неустойчивость спроса 2. Появление альтернативного продукта (конкурента) 3. Снижение цен конкурентами

 33  58 42

 3  3 3

 0,11  0,11 0,11

 0,3  0,6 0,4

4. Увеличение производства у конкурентов 5. Рост налогов 6. Неплатежеспособность потребителей 7. Рост цен на сырье, материалы, перевозки 8. Зависимость от поставщиков 9. Недостаток оборотных средств

8 33 8 90 17 100

3 3 1 3 3 1

0,11 0,11 0,10 0,11 0,11 0.1

0,1 0,3 0,8 0,9 0,2 10

Средняя вероятность 13,6

Социальные 1. Трудности с набором квалифицированной рабочей силы 2. Угроза забастовок 3. Отношение местных властей 4. Недостаточный для удержания персонала уровень оплаты труда 5. Недостаточная квалификация кадров

  8 83 67  75 33

  3 1 3  2 3

  0,11 0,10 0,11  0,055 0,11

  0,1 8,3 0,7  4,1 0,3

Средняя вероятность 13,5

Технические 1. Нестабильность качества сырья и материалов 2. Новизна технологии 3. Недостаточная надёжность технологии 4. Отсутствие резерва мощности

  17 41 67 8

  3 3 2 3

  0,11 0,11 0.055 0,11

  0,2 0.4 3,7 0,1

Средняя вероятность 4,4


Из приведенных данных следует, что вероятность риска для подготовительной стадии равна 2,7%, что вполне объяснимо, так как кроме нее существуют и другие стадии.

Из результатов расчета финансово-экономических рисков следует, что средняя вероятность составляет примерно 14%, причем главной (доминирующей) причиной этого являются опасения нехватки оборотных средств. Опасность коренится в том, что цены на продукцию «упираются» в кошелек потребителя, а цены на ресурсы для производства с этим барьером напрямую не сталкиваются. Соответственно инфляция издержек быстро съедает оборотные средства.

Вероятность социальных рисков составляет 14%, причем их подавляющая часть обусловлена угрозой забастовки. Второй по значимости опасностью является недостаточно высокий уровень заработной платы, который сложился в хозяйстве.

Сведем теперь риски по всем стадиям в одну таблицу (таблица 10).

Таблица 10 - Риски по стадиям проекта

Стадия

Риск

Подготовительная Функционирования (эксплуатации)

2,7 32,2

Всего

34,9


Таким образом, сумма риска по проекту составляет 34,9%.

Заключение

Инновационный проект представляет собой систему взаимоувязанных целей и программ их достижения, представляющих собой комплекс научно-исследовательских, опытно-конструкторских, производственных, организационных, финансовых, коммерческих и других мероприятий, соответствующим образом организованных, оформленных комплектом проектной документации и обеспечивающих эффективное решение конкретной научно-технической задачи (проблемы), выраженной в количественных показателях и приводящей к инновации.

Управление инновационным проектом в целом зависит от успешной организации взаимодействия всех участников проекта и обеспечения их потребности в информации для осуществления инновационного проекта.

Объектом исследования в курсовой работе является Общество с ограниченной ответственностью - ООО «Объединенная торговая компания».

Анализ предпринимательской деятельности ООО «Объединенная торговая компания» позволил сделать следующие выводы:

выручка от оказания услуг сократилась на 9,3% в 2013г.;

себестоимость продукции и услуг сократилась на 15,8%;

чистая прибыль сократилась к 2012 году и увеличилась к 2013 году на 8,14%;

прибыльность продукции увеличилась на 19,21% к 2013 году.

В различных областях экономики существуют разные способы продвижения и сбыта продукции. Самыми эффективными способами сбыта продукции в сфере В2В являются прямые продажи и продажи посредством Интернет.

На современном этапе развития ООО «Объединенная торговая компания» имеет существенное распространение информации о компании и продукции, ее характеристиках и условиях поставок, в различных информационных ресурсах Internet. Данные ресурсы содержат информацию о продукции объекта исследования, координаты руководителей предприятия и новинках. Однако, следует отметить, что в современных условиях развития рынка В2В этого недостаточно - необходим собственный Интернет - ресурс - собственный сайт.

Цель инновационного проекта - разработать интернет магазин компании.

Посредством интернет-сайта возможно будет произвести обзор товаров и услуг, предоставляемых ООО «Объединенная торговая компания».

В курсовой работе разработаны и представлены:

схема поэтапного формирования информационного сайта;

схема проектируемого Интернет - сайта.

Экономическая эффективность показывает, что каждый вложенный в проект рубль обеспечит практически 3 рубля в ходе предпринимательской деятельности ООО «Объединенная торговая компания» в качестве выручки от реализации оборудования и оказания услуг.

Сумма риска по проекту составляет 34,9%.

Благодаря автоматизации оформления некоторой документации, которая на данный момент оформляется вручную, у работников отдела увеличится оперативность, а систематизация документации сократит время на поиск необходимой информации.

Таким образом, реализуя свои возможности на рынке В2В, ООО «Объединенная торговая компания» обеспечит себе необходимый уровень притока денежных средств, необходимый уровень развития, а также положительную репутацию и имидж инновационной организации

Список использованных источников и литературы

1.  Акулов В.Б., Рудаков М.Н. Теория организации: уч.пособие. - СПб.: Дело. - 2010. - 298с.

2.      Беляева Е.С. Совершенствование управления инновационной деятельностью промышленного предприятия на основе оценки инновационного потенциала: Автореферат.- Барнаул.- 2009

.        Большаков А.С. Менеджмент: практические модели и рекомендации. - М.: Литера. - 2010. - 256с.

.        Бусыгин А.В. Эффективный менеджмент. - М.: Финпресс. - 2010.- 217с.

.        Бухалков М.И.Инновационный менеджмент. - М.: ИНФРА-М.- 2010. - 378с.

6.  Гительман Л.Д. Инновационный менеджмент. М.: Дело. - 2009. 462с.

7.  Глущенко В.В., Глущенко И.И. Разработка управленческого решения. Прогнозирование - планирование. Теория проектирования экспертов: Учебник для ВУЗов. - М.:ЮНИТИ-ДАНА, - 2011. - 866с.

.    Гольдштейн Г.Я., Стратегический инновационный менеджмент: Учебное пособие. - Таганрог: Изд-во ТРТУ. - 2010

.    Гунин В.И. и др. Управление инновациями: 17-модульная программа для менеджеров Г 93 «Управление развитием организации». Модуль 7. - М.: ИНФРА-М.- 2009. -514с.

10.    Информационные системы в экономике: учебн.пос./ В.Б. Уткин, К.В. Балдин.- М: Академия.- 2012. - 622с.

11.    Информационные технологии. Учебник. В.П. Мельник. - М.: Издательский центр «Академия». - 2012. - 481с.

.        Инькова Н.А. Современные интернет-технологии в коммерческой деятельности. М: Омега-Л. - 2010. - 566с.

13.    Как открыть интернет-магазин. Алена Салбер <http://www.advertology.ru/index.php?name=Book&aid=5114>. Серия: Как заработать <http://www.advertology.ru/index.php?name=Book&serid=56>. Издательство: SmartBook СмартБук <http://www.advertology.ru/index.php?name=Book&pid=593> .- 2009 - 502с.

14.    Карданская Н.Л. Принятие управленческого решения: Учебник для вузов. - М.: ЮНИТИ. - 2009

.    Ковалев В.В., Волкова О.Н. Анализ хозяйственной деятельности предприятия: Учебник.- М.: Проспект.- 2010. - 412с.

16.    Кофман А. Методы и модели исследования менеджмента. - М.: Мир. - 2010 - 301с.

.        Литвак Б.Г. Разработка управленческого решения: Учебник для вузов. - М.: Дело. - 2010. - 402с.

.        Мазур И.И., Шапиро В.Д. Управление проектами: Учеб. пособие /под ред. И.И. Мазура. - 2-е изд.-М.: Омега-Л.- 2011. - 288с.

.        Новикова Т.С. Анализ инвестиционных проектов. Новосибирск: Изд-во НГУ. - 2011. - 219с.

.        Орлова Е.Р. Инвестиции: курс лукций - уч.пос., М.: ОМЕГА Л. - 2003. - 664с.

21.    Разработка веб-сайта. Взаимодействие с заказчиком, дизайнером и программистом. Д. Браун <http://www.advertology.ru/index.php?name=Book&aid=5757>. Серия: Библиотека программиста <http://www.advertology.ru/index.php?name=Book&serid=771>. Издательство: Питер <http://www.advertology.ru/index.php?name=Book&pid=32>. - 2012. - 892с.

.        Разу М.Л., Воропаев В.И., Якутин Ю.В. и др. Управление программами и проектами: 17 модульная программа для менеджеров «Управление развитием организации». Модуль 8.- М.: ИНФРА-М.- 2010. - 298с.

23.    Риск-анализ инновационного проекта под.ред. Грачевой, М.: ЮНИТИ.- 2009. - 359с.

24.    Управление инновациями в организации: учеб. Пособие по специальности «Менеджмент организации» / А. Бовин и др. - 2-е изд., стер. - М.: Омега-Л.- 2008.- 196с.

25.    Ягудин С.Ю. Инновационный менеджмент: учебник для ВУЗов.- М.: Изд-во «ЮНИТИ». - 2009. - 540с.

Похожие работы на - Разработка инновационного проекта на примере ООО 'Объединенная торговая компания'

 

Не нашли материал для своей работы?
Поможем написать уникальную работу
Без плагиата!
Без нейросетей!