Экономика и управление на энергетическом предприятии

  • Вид работы:
    Курсовая работа (т)
  • Предмет:
    Эктеория
  • Язык:
    Русский
    ,
    Формат файла:
    MS Word
    368,46 Кб
  • Опубликовано:
    2013-05-27
Вы можете узнать стоимость помощи в написании студенческой работы.
Помощь в написании работы, которую точно примут!

Экономика и управление на энергетическом предприятии

МИНИСТЕРСТВО ОБРАЗОВАНИЯ И НАУКИ РОССИЙСКОЙ ФЕДЕРАЦИИ

ФЕДЕРАЛЬНОЕ АГЕНТСТВО ПО ОБРАЗОВАНИЮ

ГОСУДАРСТВЕННОЕОБРАЗОВАТЕЛЬНОЕ УЧРЕЖДЕНИЕ ВЫСШЕГО ПРОФЕССИОНАЛЬНОГО ОБРАЗОВАНИЯ

«НОВОСИБИРСКИЙ ГОСУДАРСТВЕННЫЙ УНИВЕРСИТЕТ»

Кафедра СУЭЭ




Расчетно-графическая работа

по курсу «Организация и планирование производства»

Факультет: Энергетики

Группа: АТЭ-91

Студент: Феоктистов А.Г.

Преподаватель: Путилова Н.Н.






Новосибирск 2013г.

Введение


Знание сущности экономических категорий, понимание основ экономики отрасли, особенностей функционирования и развития энергетической отрасли и тепловых электрических станций как объектов энергетики позволяет на этапе проектирования оценить экономическую составляющую проекта. Это особенно важно в наше время т.к. в ближайшее время в стране будет происходить увеличение генерирующих мощностей, что невозможно без оценки экономической эффективности каждого объекта, который будет возведен. Также данный расчет глубже разобраться с проблемами формирования эффективной системы ценообразования на энергетическую продукцию, что особенно актуально при комбинированном производстве электрической и тепловой энергии на ТЭЦ.

Цели расчетно-графической работы:

1.   Закрепить полученные в процессе обучения знания об особенности ТЭЦ как объекта генерации в энергосистеме и системе показателей, определяющих экономику энергетического производства.

2.      Выполнить расчеты и обобщить полученные результаты.

.        Проявить творческий подход при решении конкретных задач.

1. Энергетическое нормирование. Энергетические балансы


Задание: необходимо составить суточные балансы тепловой и электрической нагрузки ТЭЦ.

Цель работы - освоить методику составления балансов электрической и тепловой энергии ТЭЦ, используя нормативные энергетические характеристики оборудования и критерии экономического распределения нагрузки. На основе составленных балансов определить объемы отпущенной электрической и тепловой энергии и соответствующий им расход условного топлива.

Исходные данные:

Таблица 1. Состав основного оборудования и суточные графики нагрузки


Таблица 2. Нормативные энергетические характеристики турбоагрегатов

№ п/п

Типоразмеры турбин

Уравнения энергетических характеристик

Турбины с двумя регулируемыми отборами пара и конденсацией

6

Т-250-240 Qр = 350 Гкал/ч

Qт = 50+0.88*Nтф+1.7*Nкн+Qотб, Гкал/ч Nтф = 0.765* Qотб - 38, Мвт

7

Т-170-130 Qр = 270 Гкал/ч

Qт = 31+0.88*Nтф+1.84*Nкн+Qотб, Гкал/ч Nтф = 0.614* Qотб - 22, Мвт

8

Р-50-130/13 Qр=216 Гкал/ч

Qт = 0.9+0.87*Nтф+Qотб, Гкал/ч Nтф = 0.275*Qотб - 9.3, Мвт


Составление балансов тепловой и электрической энергии ТЭЦ.

Режим работы ТЭЦ в значительной степени определяет заданный график тепловой нагрузки. В связи с этим в первую очередь составляется баланс тепловой энергии, который является основой составления баланса электрической энергии.

Критерием экономического распределения графиков тепловой нагрузки между отдельными турбоагрегатами является максимум удельной выработки соответствующего отбора (МВт * ч/Гкал).

В соответствии с Таблицей 2 предлагаются три вида турбин. Для покрытия заданного суточного графика нагрузки необходимо взять турбину Т-250-240.

Результаты распределения представлены в Таблице 3.

Таблица 3. Результаты расчета баланса тепловой энергии.

Часы суток

Тепловая нагрузка ТЭЦ, Гкал/ ч

Тепловая нагрузка по агрегатам, Гкал/ ч



Т-250-240

Т-170-130

Р-50-130


пар

Горячая вода

пар

Горячая вода

пар

Горячая вода

пар

Горячая вода

0…6

190

590


350


240

190


6…20

216

620


350


270

216


20…24

200


350


250

200


сутки

4964

14620


8400


6220

4880


месяц

148920

438600


25200


186600

146400



Составим баланс электрической энергии :

1.   В соответствии с выполненным распределением тепловой нагрузки определяется теплофикационная мощность для каждого турбоагрегата.

2.      Определяется суммарная конденсационная мощность ТЭЦ.

.        Определяется вынужденная конденсационная электрическая мощность (3-5% от номинальной мощности турбоагрегата).

.        Рассчитывается дополнительная конденсационная мощность, распределенная между турбоагрегатами с учетом экономичности конденсационного режим - минимум относительного прироста.

Результаты расчета баланса электрической энергии представлены в табличной форме. Теплофикационная и конденсационная мощности рассчитываются для каждого времени суток.

Таблица 4. Результаты расчета баланса электрической энергии.


Расчет таблицы 4 на примере первой строки (для времени суток 1..6):

)        Теплофикационная мощность

Для Т-250-240:

Nтф = 0,765* 350 - 38= 229,75 МВт

Для Т-170-130:

Nтф = 0,614* 240 - 22= 125,36 МВт

Для Р-50-130

Nтф = 0,275* 190 - 9,3= 42,95 МВт

NТЭЦтф = 229,75+125,36+42,95=398,06 МВт

)        Суммарная конденсационная мощность:

Nкн = 440 -398,06 = 41,94 МВт

)        Вынужденная конденсационная мощность

NКНвын1= 250*0.04 = 10 МВт - для Т-250-240

NКНвын2= 170*0.04 =6,8 МВт - для Т-170-130

)        Дополнительная конденсационная мощность суммарная для всех турбоагрегатов

КНдоп = Nкн - NКНвын =41,94 -16,8 = 25,14 МВт

Так как более эффективная турбина Т-250-240, то для этой турбины дополнительная конденсационная мощность равна

КНдоп1 =Nном - NКНвын1 - Nтф = 250 - 10 - 229,75 = 10,25 МВт

А для турбины Т-170-130 дополнительная конденсационная мощность будет равна

КНдоп2 = Nкн - NКНвын - NКНдоп1 = 25,14- 6,8 - 10,25 = 9,08 МВт

Определение годового объема энергии, отпущенной с шин, тепловой энергии, отпущенной с коллекторов и годового расхода топлива.

На основании предыдущих расчетов составим сводную таблицу тепловой и электрической нагрузки за месяц для каждого турбоагрегата и ТЭЦ в целом.

Таблица 5


Определим для каждого блока расход тепла турбинами:

т1 = 50*720+0.88*165420+1,7*14580+252000 = 458355,6 Гкал/мес.

Qт2 = 31*720+0.88*98732,4+1,84*54867,6+186600 = 396760,9 Гкал/мес.

Qт3 =0,9*720+0,87*34257+148920=179371,6 Гкал/мес.

Паропроизводительность котла с учетом КПД теплового потока (97%):

 

 

 

Расходы условного топлива (с учетом КПД котлов = 90%)

 

 

 

Суммарный расход условного топлива:

 

Далее определим электрическую энергию, отпущенную с шин, и тепловую энергию, отпущенную с коллекторов (с учетом коэффициента неравномерности нагрузки - 0.7..0.8)

 

 

Годовые издержки ТЭЦ

Исходные данные:

средняя норма амортизации ТЭЦ - 4.0 … 5.5%;

норма отчислений на ремонт - 7.0… 8.5 %;

средняя заработная плата, руб./чел в год 350 тыс. руб. … 450 тыс. руб.

начисления на заработную плату - 26 %;


Таблица 6. Основные ТЭП ТЭЦ

Куд

Кр_стр

Цт

Кшт

Ксн

р/кВт


руб/тут

чел/МВт

%

26900

1,1

1920

0,79

8


Издержки

·        на топливо

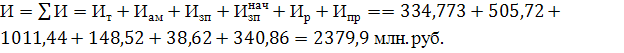
Ит = В*Цт = 174361,5*1920 = 334,773 млн. руб.

·        на амортизацию

 

 

 

·        на ремонт

 

·        на заработную плату

 

·        на начисления на заработную плату

 

·        прочие

 .

Таблица 7. Таблица результатов:

Ит, млн. руб.

334,773

Иам, млн. руб.

Ирем, млн. руб.

Изп, млн. руб.

Инач, млн. руб.

Ипр, млн. руб.

Иобщие, млн. руб.

2379,9


2. Оценка коммерческой эффективности действующих ТЭЦ


Известные приемы распределения издержек ТЭЦ по видам энергии (физический, метод ОРГРЭС и некоторые другие) позволяют формализовать расчеты и использовать нормативные энергетические характеристики основного оборудования станций. Однако, термодинамические ошибки, заложенные в методиках расчетов и заранее заданная приоритетность вида энергии, на который относится экономия (по физическому - на электроэнергию, по методу ОРГРЭС - на тепловую), искажают конкурентоспособность производителей энергии. В результате высокотехнологичные ТЭЦ не могут конкурировать с экономичными котельными на рынке тепловой энергии или другими станциями на рынках электрической энергии. Острота проблемы ценообразования сохраняется до настоящего времени, как и создания системы коммерческого учета электрической и тепловой энергии.

Существует один из подходов к обоснованию цен на продукцию ТЭЦ с позиций математических пропорций. В экономике известна функция полезности двух благ, которой соответствуют различные кривые безразличия. Функцию полезности можно применить для комбинированного производства электрической и тепловой энергии на ТЭЦ (два блага). Функцию полезности U можно записать в следующем виде:

= И + П

где И - сумма общих издержек ТЭЦ (затраты на топливо, амортизацию, материальные затраты, заработная плата и начисления на заработную плату, прочие издержки); П - прибыль ТЭЦ (включает в себя инвестиции на развитие производства, социальное развитие, дивиденды, налоги, уплату процентов по кредитам, плату за превышение загрязнений окружающей среды, отчисления в резервный и другие фонды); Тэ и ТQ - тарифы на электрическую и тепловую энергии; Эош и Qок - отпущенная электрическая и тепловая энергия.

Графически параметры функции полезности U в координатах Тэ и ТQ можно представить в виде треугольника (треугольник Гинтера), где катеты соответствуют предельным значениям тарифов на каждый вид энергии, а на гипотенузе находится множество точек, соответствующих соотношению тарифов на электрическую и тепловую энергию.

 

П - прибыль ТЭЦ.

Прибыль электростанции (с учетом заданного уровня рентабельности Re = 15…17%)

;

 

Функция полезности двух благ для заданной ТЭЦ и величины предельных тарифов по каждому виду энергии, исходя из бесплатного отпуска продукции другого блага.

Функцию полезности U:

= И + П

;

Для построения параметров функции полезности U в координатах Тэ и ТQ необходимо найти предельные (максимальные) значения тарифов Тэ.пр. и ТQ.ПР. При этом условно предельный тариф на электроэнергию вычисляется в случае бесплатного отпуска теплоты (ТQ = 0), а предельный тариф на теплоту - при бесплатном отпуске электроэнергии (Тэ = 0). Таким образом, предельные значения тарифов:

Тэ.пр. = U / Э ош ;

 

ТQ.пр. = U / Qок

 

Графически параметры функции полезности U в координатах Тэ и ТQ можно представить в виде треугольника (треугольник Гинтера), где катеты соответствуют предельным значениям тарифов на каждый вид энергии, а на гипотенузе находится множество точек, соответствующих соотношению тарифов на электрическую и тепловую энергию.

баланс тепловой электрический энергия


Для оценки стоимости энергетической продукции с использованием треугольника Гинтера, построенного для каждой ТЭЦ на основе энергетических характеристик основного оборудования станций и издержек на производство энергии, могут использоваться различные приемы разнесения затрат:

) Использование приема среднеарифметической пропорции (соответствует энергетическому методу), при котором тарифы на электрическую и тепловую энергию определяются следующим образом

Тэ = 0.5 ТЭ ПР .; ТQ = 0.5 ТQ ПР.

ТQ=;

) Использование метода «золотого сечения», при котором можно использовать различные пропорции, например:

экономия топлива от теплофикации относится на производство электрической энергии, т.е. приоритеты отнесены на рынок электрической энергии (ближе к физическому методу разнесения топлива по видам энергии)

Тэ = 0,382 Тэ пр; ТQ = 0.618 ТQ ПР;

Тэ =

ТQ=;

экономия топлива от теплофикации относится на производство тепловой энергии, т.е. приоритеты отнесены на рынок тепловой энергии (ближе к эксергетическому методу)

Тэ = 0.618 Тэ пр.; ТQ = 0.382 Т Q ПР.

Тэ =

ТQ=;

Приведенные числовые значения математических пропорций деления гипотенузы треугольника Гинтера получены на основании совместного решения математических уравнений золотого сечения и подобия треугольников.

Таблица 8


Энергетический метод

Близкий к физическому методу

Близкий к эксергетическому методу

Тэ, коп/кВт*ч

40,6

31

50,1

ТQ, руб/Гкал

261,05

322,7

141,3


1 случай:

) Используя результаты расчетов, произведем оценку коммерческой эффективности действующей ТЭЦ на энергетическом рынке, сопоставив ее с конкурирующими источниками:

раздельной схемой (КЭС) на оптовом рынке ФОРЭМ 100 коп./кВтч;

на региональном рынке теплоты (районные или местные котельные) 250 руб./Гкал;

)        Оценим доход по каждому виду энергии и системный доход:

 

 

 

Для энергетического метода (использование среднеарифметической пропорции):

 

 

 

Для метода «золотого сечения» близкого к физическому методу разнесения топлива по видам энергии:

 

 

 

Для метода «золотого сечения» близкого к эксергетическому методу разнесения топлива по видам энергии:

 

 

 

случай:

) Используя результаты расчетов, произведем оценку коммерческой эффективности действующей ТЭЦ на энергетическом рынке, сопоставив ее с конкурирующими источниками:

раздельной схемой (КЭС) на оптовом рынке ФОРЭМ 50 коп./кВтч;

на региональном рынке теплоты (районные или местные котельные) 400 руб./Гкал;

) Оценим доход по каждому виду энергии и системный доход:

 

 

 

Для энергетического метода (использование среднеарифметической пропорции):

 

 

 

Для метода «золотого сечения» близкого к физическому методу разнесения топлива по видам энергии:

 

 

 

Для метода «золотого сечения» близкого к эксергетическому методу разнесения топлива по видам энергии:

 

 

 

Таблица 9. Результаты расчетов

1 случай ()


Энергетический метод

Близкий к физическому методу

Близкий к эксергетическому методу

Тэ, коп/кВт*ч

40,6

50,1

ТQ, руб/Гкал

522,1

322,7

141,3

DЭ,руб.

DQ,руб.

DΣ,руб.

2 случай ()

Тэ, коп/кВт*ч

40,6

31

50,1

ТQ, руб/Гкал

522,1

322,7

141,3

DЭ,руб.

DQ,руб.

DΣ,руб.



Заключение


В первом разделе расчетно-графической работы были составлены балансы тепловой и электрической энергии ТЭЦ (Nу = 470МВт) на основе исходных данных и соответствующим им нормативным энергетическим характеристикам. На основе составленных балансов определены объемы отпущенной электрической и тепловой энергии за год: Эош =МВт,

Qок =  Гкал; и расход условного топлива: В = 174361,5 тут. А также определены годовые издержки ТЭЦ.

Во втором разделе произведена оценка коммерческой эффективности действующих ТЭЦ. Приводится сравнение величины системного дохода по трем методам разнесения затрат (метод среднеарифметической пропорции, физический метод, эксергетический метод). Результаты расчетов представлены в табл.9:

случай - тариф за электроэнергию больше предельного значения тарифа, а за тепловую энергию меньше предельного тарифа - величины дохода по тепловой и электроэнергии положительны при использовании разных методов.

случай - тариф за электроэнергию меньше предельного значения тарифа, а за тепловую энергию больше предельного тарифа - для метода близкого к эксергетическому величина дохода по электроэнергии отрицательна, т.е. данный тариф не выгоден, но по тепловой энергии положителен. Суммарный же доход, при использовании этого метода сравнивая с другими методами 2-ого случая самый высокий. Но в целом суммарные доходы при использовании каждого из методов во втором случае меньше чем в первом.

Самый высокий суммарный доход наблюдается в первом случае при использовании метода близкого к эксергетическому, что говорит о наиболее выгодном варианте.

Список используемой литературы


1.     Экономика и управление на энергетическом предприятии.; - Методические указания к выполнению курсовой работы/Н.Н. Путилова. - НГТУ, 2008

2.      Самсонов В.С. Экономика предприятий энергетического комплекса: учеб. для вузов / В.С. Самсонов, М.А. Вяткин. - М.: Высш. шк., 2001. - 416 с.

Похожие работы на - Экономика и управление на энергетическом предприятии

 

Не нашли материал для своей работы?
Поможем написать уникальную работу
Без плагиата!
Без нейросетей!