Организация, планирование и управление энергохозяйством предприятия

  • Вид работы:
    Дипломная (ВКР)
  • Предмет:
    Менеджмент
  • Язык:
    Русский
    ,
    Формат файла:
    MS Word
    896,40 kb
  • Опубликовано:
    2011-10-31
Вы можете узнать стоимость помощи в написании студенческой работы.
Помощь в написании работы, которую точно примут!

Организация, планирование и управление энергохозяйством предприятия

МИНИСТЕРСТВО ОБРАЗОВАНИЯ РЕСПУБЛИКИ БЕЛАРУСЬ

УЧРЕЖДЕНИЕ ОБРАЗОВАНИЯ

«ГОМЕЛЬСКИЙ ГОСУДАРСТВЕННЫЙ ТЕХНИЧЕСКИЙ УНИВЕРСИТЕТ ИМЕНИ П.О. СУХОГО»

Факультет энергетический

Кафедра «Экономика в отраслях»






РАСЧЕТНО-ПОЯСНИТЕЛЬНАЯ ЗАПИСКА

к курсовой работе

по дисциплине «Организация и планирование производства. Управление предприятием»

на тему: «Организация, планирование и управление энергохозяйством предприятия

Исполнитель: студент гр. ЭПП-51

Стецов Ю.О.

Руководитель: преподаватель

Полозова О.А.

Гомель 2009

СОДЕРЖАНИЕ

Введение

1.      Краткая характеристика схемы электроснабжения и цехов предприятия

.        Планирование электропотребления и построение суточных графиков нагрузок предприятия

.1 Расчет электропотребления цехов

.2 Определение максимальных нагрузок и построение суточных графиков предприятия

.        Определение балансовой стоимости основных средств и амортизационных отчислений в энергохозяйстве предприятия

.1 Определение балансовой стоимости основных средств электрохозяйства промышленного предприятия

.2 Определение амортизационных отчислений

.        Организация и планирование РЭО энергохозяйства предприятия

.1 Планирование эксплуатационного и ремонтного обслуживания энергохозяйства

.2 Планирование численности ремонтно-эксплуатационного персонала

.3 Смета затрат на РЭО электрохозяйства предприятия

.4 Выбор рациональной формы организации ремонтного обслуживания

.5 Организация труда при ремонтно-эксплуатационном обслуживании

.6 Организация подготовки ремонта

.        Организация управления энергохозяйством предприятия

.        Планирование труда и заработной платы энергоцеха (участка)

.1 Планирование использования рабочего времени

.2 Планирование численности энергетического участка

.3 Планирование фонда заработной платы ремонтно-эксплуатационных рабочих

.4 Сводный план по труду и заработной плате

.        Расчет сметы электроэнергетических затрат предприятия

.        Планирование организационно-технических мероприятий по экономии энергии и оценка их эффективности

.        Технико-экономические показатели

Заключение

Литература

Приложение

ВВЕДЕНИЕ

Энергетическая служба имеет самостоятельное, исключительно ответственное и в то же время специфическое место в структуре предприятия. Она является так называемой вспомогательной службой, призванной обеспечивать выполнение производственной программы предприятия без непосредственного участия в выпуске продукции. В то же время без энергетической службы не может осуществляться производственная деятельность предприятия, невозможен выпуск продукции. Энергетическая служба обязана обеспечивать надежное, бесперебойное и безопасное снабжение производства всеми видами энергии и энергоносителей. В отличие от других видов оборудования (например, станочного) выход из строя и авария энергетического оборудования (трансформатора, котла, компрессора, насоса и др.) или участка энергетической сети имеет не только самостоятельное значение, но может вызвать простои производственных участков, цехов.

Состояние энергетического оборудования и сетей во многом определяет условия труда работающих на предприятиях (степень освещенности, уровень шума, обеспечение микроклимата), следовательно, активно влияет на производительность труда. От исправности энергетического оборудования и сетей зависит экономичность режимов работы энергетического и технологического оборудования. Поэтому должна быть тщательно продумана система профилактического контроля и ремонтов энергетического оборудования и сетей в сочетании с их резервированием.

Цель курсовой работы - систематизация и закрепление теоретических знаний по экономическим и специальным дисциплинам; углубление навыков работы с литературой; приобретение некоторого опыта техники расчетов по основным вопросам экономики, организации планирования и управления энергетического хозяйства; использования средств вычислительной техники при решении технико-экономических вопросов.

1. КРАТКАЯ ХАРАКТЕРИСТИКА СХЕМЫ ЭЛЕКТРОСНАБЖЕНИЯ И ЦЕХОВ ПРЕДПРИЯТИЯ

Генплан предприятия представлен на рис.1.1.

Рис.1.1 Генплан предприятия с сетью электроснабжения

Схема электроснабжения предприятия изображена на рис.1.2.

Рис.1.2 Схема электроснабжения предприятия

На предприятии используются три вида трансформаторов:

ТМЗ-1600/10/0,4; ТМЗ-1000/10/0,4; ТМЗ-630/10/0,4. Технические характеристики трансформаторов, а также электрических сетей предприятия представлены в таблицах 1.1. и 1.2, [2].

Таблица 1.1 - Технические характеристики трансформаторов

Марка трансформатора

Smp, кВА

Pxx, кВт

Pкз, кВт

Ixx, %

Uкз, %

ТМЗ - 630/10

630

1,31

7,6

1,8

5,5

ТМЗ - 1000/10

1000

1,9

10,8

1,2

5,5

ТМЗ - 1600/10

1600

2,65

16,5

1

6


Таблица 1.2 - Характеристики электрических сетей предприятия

№ п/п

Участок

Марка кабеля

Длина, км

Количество

Rо, Ом/км

1

ТП1 - ТП2

ААБ 3*50

0,06

2

0,09

2

ЦРП - ТП1

ААБ 3*70

0,08

2

0,086

3

ТП5 - ТП3

ААБ 3*25

0,1

1

0.099

4

ЦРП - ТП5 (3)

ААБ 3*70

0,09

2

0,086

5

ТП4 - ТП5

ААБ 3*35

0,09

1

0,095

6

ЦРП - ТП5 (4)

ААБ 3*70

0,09

2

0,086

7

ТП6 - ТП7

ААБ 3*70

0,07

2

0,086

8

ЦРП - ТП6

ААБ 3*95

0,20

2

0,083

9

ЦРП - ТП9

ААБ 3*25

0,1

1

0,099

10

ЦРП - ТП8

ААБ 3*70

0

1

0

11

ГПП - ЦРП

ААБ 3*185

3,7

2

0,077


Технико-экономические показатели предприятия представлены в таблице 1.3.

Таблица 1.3 - Технико-экономические показатели цехов предприятия

№ цеха

Наименование цеха

Производствен-ная программа

Действующая норма расхода электроэнергии, кВт*ч/н.-ч

Задание по снижению нормы, %

Сменность работы

cos φ

Коэффициен спроса нагрузки

1

Механосборочный

780,0

6,6

1,0

3,0

0,70

0,40

2

Механический №1

380,0

7,2

2,0

2,0

0,82

0,30

3

Ремонтно-механический

260,0

2,6

1,5

1,0

0,68

0,25

4

Гальванический

810,0

3,5

1,5

2,0

0,85

0,75

5

Механический №2

980,0

6,4

3,0

2,0

0,80

0,30

6

Литейный

665,00

12,6

2,0

3,0

0,88

0,72

7

Кузнечно-пресовый

1170,00

7,3

2,5

3,0

0,70

0,60

9

Инструментальный

380,0

2,9

1,5

1,0

0,65

0,25



2. ПЛАНИРОВАНИЕ ЭЛЕКТРОПОТРЕБЛЕНИЯ И ПОСТРОЕНИЕ СУТОЧНЫХ ГРАФИКОВ НАГРУЗОК ПРЕДПРИЯТИЯ

.1 Расчет электропотребления цехов

Потребность предприятия в электроэнергии определяется суммированием расхода электроэнергии на производственные нужды цехов, на непроизводственные нужды цехов и потери.

Плановый расход электроэнергии на производственные нужды, кВт·ч:

(2.1)

где  - плановая норма удельного расхода электроэнергии с учетом задания по ее снижению, кВт·ч/н-ч.:

(2.2)

где  - плановый выпуск продукции i-м цехом, н-ч.;

n - количество цехов;

 - задание по снижению норм удельного расхода, %.

Расход электроэнергии на непроизводственные нужды осуществляется следующим образом. Расчетная мощность освещения, кВт:

(2.3)

Расход электроэнергии на освещение, кВт·ч:

(2.4)

где  - удельная мощность освещения на 1 м2 площади, Вт/м2.

В курсовом проекте принимаем Рудi = 13..27 Вт/м2.

 - площадь i-го цеха, определяется по масштабу на генплане;

 - коэффициент спроса освещения, принимаемый 0,85-0,9.

 - число часов горения ламп в i-м цеху, час;

,05 - коэффициент, учитывающий расход электроэнергии на дежурное освещение в нерабочее время и выходные дни.

Расход электроэнергии на прочие непроизводственные нужды принимается в размере 5% от расхода электроэнергии на производственные нужды.

Расчет потерь мощности и электроэнергии производиться по следующим формулам. Потери мощности в цеховых сетях, кВт:

 (2.5)

Потери электроэнергии в цеховых сетях, кВт·ч

(2.6)

где  - время максимальных потерь, час.

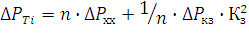
Потери мощности в трансформаторах, кВт:

(2.7)

где  - удельные потери мощности холостого хода, кВт;

 - удельные потери мощности короткого замыкания трансформатора, кВт;

 - число параллельно работающих трансформаторов;

 - коэффициент загрузки трансформаторов.

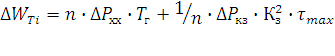
Потери электроэнергии в трансформаторах, кВт·ч:

(2.8)

где  - время работы трансформатора в году, час.

Потери мощности в кабельных линиях, кВт:

(2.9)

где  - активная мощность, передаваемая по i-й линии, кВт;

 - удельное сопротивление кабельной линии, Ом/км;

 - длина кабельной линии, км;

 - номинальное напряжение линии, кВ;

 - коэффициент мощности линии;

Потери электроэнергии в кабельных линиях, кВт·ч:

(2.10)

где  - время максимальных потерь, час.

Необходимые для расчета данные сводим в таблицу 2.1

Таблица 2.1 - Характеристика цехов предприятия

№ цеха

Наименование цеха

Производственная программа

Действующая норма расхода электроэнергии, кВт*ч/н.-ч

Задание по снижению нормы, %

Сменность работы

cos φ

Коэффициент спроса нагрузки

Площадь цеха,м2

Удельная мощность освещения, Вт/м2

Т(max)

Т(max) освещения



кол-во

ед. изм





силовой

освещения





1

Механосборочный

780

тыс.н-ч

6,6

1,0

3,0

0,70

0,40

0,90

7087,5

25

6000

4300

2

Механический №1

380

тыс.н-ч

7,2

2,0

2,0

0,82

0,30

0,90

882,0

25

4000

2000

3

Ремонтно-механический

260

тыс.н-ч

2,6

1,5

1,0

0,68

0,25

0,90

306,0

25

2000

300

4

Гальванический

810

тыс.н-ч

3,5

1,5

2,0

0,85

0,75

0,90

252,0

23

4000

2000

5

Механический №2

980

тыс.н-ч

3,0

2,0

0,80

0,30

0,90

2025,0

22

4000

2000

6

Литейный

665

тыс.т

12,6

2,0

3,0

0,88

0,72

0,90

2304,0

15

6000

4300

7

Кузнечно-пресовый

1170

тыс.шт

7,3

2,5

3,0

0,70

0,60

0,90

891,0

20

6000

4300

9

Инструментальный

380

тыс.н-ч

2,9

1,5

1,0

0,65

0,25

0,90

2227,5

25

2000

300


Расчет электропотребления производим на ПЭВМ с помощью программы ASTRA. Результаты расчета представлены в Приложении.

.2 Определение максимальных нагрузок и построение суточных графиков предприятия

Активная максимальная нагрузка предприятия определяется следующим образом:

, кВт(2.11)

где  - максимальная расчетная нагрузка предприятия с учетом потерь, PΣ=9374,59 кВт (таблица 1.8 приложения);

 - коэффициент участия в максимуме нагрузки. Принимаем= 0,95.

Максимальная реактивная нагрузка рассчитывается по формуле:

, квар(2.12)

где ,


где  - максимальная активная нагрузка i-ого цеха, находится из таблицы 1 приложения,

 - коэффициент мощности i-ого цеха.

Построение суточных графиков нагрузки производится на основе характерных графиков активной и реактивной нагрузок. Вспомогательные расчеты для построения графиков нагрузок оформляем в таблице 2.3.

Таблица 2.2 - Значения активной и реактивной нагрузок по часам суток

Часы

Значения нагрузки


активной

реактивной


%

кВт

%

квар

0-1

100

8905,86

100

7271,76

1-2

90

8015,27

96

6980,89

2-3

98

8727,74

98

7126,33

3-4

74

6590,34

86

6253,71

4-5

48

4274,81

68

4944,80

5-6

48

4274,81

68

4944,80

6-7

68

6055,99

84

6108,28

7-8

72

6412,22

86

6253,71

8-9

76

6768,45

88

6399,15

9-10

68

6055,99

82

5962,84

10-11

70

6234,10

83

6035,56

11-12

62

5521,63

80

5817,41

12-13

56

4987,28

75

5453,82

13-14

54

4809,16

73

5308,39

14-15

68

6055,99

82

5962,84

15-16

75

6679,40

86

6253,71

16-17

77

6857,51

88

6399,15

17-18

73

6501,28

85

6181,00

18-19

72

6412,22

83

6035,56

19-20

69

6145,04

81

5890,13

20-21

60

5343,52

78

5671,97

21-22

62

5521,63

79

5744,69

22-23

66

5877,87

80

5817,41

23-24

100

8905,86

100

7271,76


По результатам таблицы 2.2 построим характерные суточные графики активной и реактивной нагрузок.

Рис.2.1 - Суточный график активной и реактивной мощности

. ОПРЕДЕЛЕНИЕ ОБЪЕМА ИНВЕСТИЦИЙ В ЭНЕРГОХОЗЯЙСТВО ПРЕДПРИЯТИЯ И РАСЧЕТ АМОРТИЗАЦИОННЫХ ОТЧИСЛЕНИЙ

.1 Определение балансовой стоимости основных средств электрохозяйства промышленного предприятия

Составляем сводную смету в ценах 2006 г. Состав балансовой стоимости можно представить как:

, руб(3.1)

где  - затраты на оборудование;

ТЗ - транспортно-заготовительные расходы, принимаем равными 11,2%. СМР - затраты на строительно-монтажные работы.

Цены на оборудование взяты из источника Интернет. Стоимость из текущих цен () в цены 2006 г. () переводиться по формуле:

(3.2)

где  - текущий курс российского рубля, принимаем равным 90,5;

 - курс российского рубля на 01.01.06, равен 74,86.

Например, стоимость трансформатора ТМЗ-630/10 по данным www.localhost.ru <#"527606.files/image050.gif"> рос.руб.

Следовательно, цена в белорусских рублях равна:

 бел.руб.

Транспортно-заготовительные расходы:

 бел.руб.

Стоимость с учетом транспортных расходов:

 бел.руб.

Дальнейшие расчеты производятся аналогично. Результаты сводим в таблицу 3.1.

СМР стоит из:

, руб(3.3)

где ПЗ - прямые затраты, которые в свою очередь, содержат в себе:

, руб(3.4)

где ЗП - заработная плата рабочим;

ЭМ - затраты на эксплуатацию машин и механизмов;

МР - затраты на материальные ресурсы, необходимые для проведения работ.

НР - накладные расходы;

ПН - плановые накопления.

В курсовой работе для упрощения расчётов принимаем прочее неучтённое силовое оборудование в размере 20% от итоговой строки по силовому оборудованию и РУ, стоимость зданий и сооружений в размере 25% от группы 1; предельные нормы НР и ПН для силового оборудования как электромонтажных работ составляют 123% и 96,3%.

Данные по затратам на ЗП, ЭМ и МР при проведении монтажных работ берем из [4]. Данные по стоимости электрооборудования вносим в таблицу 3.1.

Таблица 3.1 - Спецификация на оборудование и материалы

№ п/п

Оборудование

Ед. изм

Кол-во

Курс валюты на 01.01.06

Стоимость за единицу

Транспортные расходы

Примечания






Росс. рубл.

Бел. рубл.



1

ТМЗ 630 кВА

шт.

1

74,86

388568,90

32346153,44

3622769,19

localhost.ru

2

ТМЗ 1000 кВА

шт.

3

74,86

515996,33

42953763,74

4810821,54

localhost.ru

4

ТМЗ 1600 кВА

шт.

8

74,86

885085,08

73678305,87

8251970,26

localhost.ru

4

ТМЗ 2500 кВА

шт.

1

74,86

1055815,51

87890644,49

9843752,18

localhost.ru

5

НТМИ-10-66У3

шт.

2

74,86

15716,46

1308306,37

146530,31

pulscen.ru <#"527606.files/image056.gif">(3.5)

где ,  - установленная мощности элетрооборудования и светильников, кВт;

, ,  - удельные капиталовложения на кВт установленной мощности оборудования, монтажных работ и электроосвещения, руб/кВт;

n - число цехов, n=8.

Установленная мощность определяется по выражению:

(3.6)

(3.7)

где  и  - расчетная силовая и осветительная нагрузка, определяется из таблицы 1.1 и таблицы 1.2 приложения соответственно.

 - коэффициент спроса.

Структуру стоимости строительно-монтажных работ определяем для автомобилестроения и представим в табл.3.4.

Таблица 3.4 - Структура сметной стоимости СМР в ценах 2006 г.

№ п/п

Элементы стоимости работ, оборудования

Стоимость в ценах 2006 года, руб.

Индекс пересчета

Стоимость в текущих ценах, тыс. руб.



Силовое ЭО

Передаточные устройства

Здания и сооружения


Силовое ЭО

Передаточные устройства

Здания и сооружения

1

ЗП рабочих

4339807,03

7732638,56

1084951,76

1,39

6041,01

10763,83

1510,25

2

Эксплуатация машин

5349803,36

35880584,57

1337450,84

1,49

7987,26

53569,71

1996,81

3

Материальные ресурсы

2981822,40

1676765,05

745455,60

1,68

4997,53

2810,26

1249,38

4

Накладные расходы

5276449,71

15806162,41

5816964,07

1,44

7587,53

22729,26

8364,79

5

Плановые накопления

4131074,04

12375068,62

7168249,97

1,27

5258,86

15753,46

9125,18

Итого

73471219,21

16153072,23

31872,19

105626,53

22246,43

Оборудование

1395955455,67

585676209,59

357586,14

241,14

Всего

1418034412,20

659147428,80

16153072,23

389458,33

105867,66

22246,43



.2 Определение амортизационных отчислений

Для определения амортизационных отчислений кроме стоимости оборудования необходимо знать нормы амортизации.

Величины амортизационных отчислений определяются по формуле:

, тыс.руб (3.8)

где  - балансовая стоимость j-й группы основных средств;

 - норма амортизации на полное восстановление j-й группы основных средств [1], %;

m - число групп, видов оборудования.

В курсовом проекте принимаем линейный метод начисления амортизации.

Результаты определения величины амортизационных отчислений представлены в таблице 3.5.

Таблица 3.5 - Определение величины амортизационных отчислений

№ п/п

Виды и группы основных средств

Балансовая стоимость, тыс. руб.

Нормы амортизации, %

Сумма амортизации, тыс.руб.

1

Силовое ЭО

389458,33

4,4

17136,17

2

Передаточные устройства

105867,66

2,0

2117,35

3

Здания и сооружения

22246,43

1,2

266,96

4

Цеховое ЭО

1394625,91

6,5

90650,68

Всего

1912198,34

110171,16



. ОРГАНИЗАЦИЯ И ПЛАНИРОВАНИЕ ЭКСПЛУАТАЦИОННОГО И РЕМОНТНОГО ОБСЛУЖИВАНИЯ ЭНЕРГОХОЗЯЙСТВА ПРЕДПРИЯТИЯ

.1 Планирование эксплуатационного и ремонтного обслуживания энергохозяйства

В данном разделе необходимо произвести расчёт годовой трудоемкости эксплуатационного и ремонтного обслуживания общезаводского электрохозяйства, пользуясь нормативами системы планово-предупредительного ремонта оборудования и сетей промышленной энергетики, и производственных цехов.

Для элементов схемы электроснабжения значения ремонтного цикла и межремонтного периода принимаем по [3].

Расчет трудоемкости приведем на примере планирования ремонта и эксплуатационного обслуживания трансформаторов ТМЗ-630.

Нормативы:

ремонтный цикл: ;

межремонтный период:  мес.;

норма трудоемкости капитального ремонта: чел-ч;

норма трудоемкости текущего ремонта:  чел-ч;

коэффициент сложности технического обслуживания: .

Плановая трудоемкость капитального ремонта всех трансформаторов ТМЗ-630 в году:

(4.1)

где  - количество капитальных ремонтов в год

;

 - число трансформаторов ТМЗ-630, .

Плановая трудоемкость текущего ремонта:

(4.2)

где  - количество капитальных ремонтов в год

;

.

Плановая трудоемкость технического обслуживания:

(4.3)

где , - коэффициент сложности технического обслуживания;

, - коэффициент сменности работы оборудования,.

.

Суммарная трудоемкость ремонтных работ:

(4.4)

.

Общая трудоемкость:

(4.5)

.

Расчет для другого оборудования аналогичен. Результаты расчета сводим в таблицу 4.1. Расчётное значение трудоёмкости по всем элементам схемы электроснабжения увеличиваем на 70 % для учёта трудоёмкости неучтенного на схеме оборудования и пусконаладочных работ.

Общая годовая трудоемкость эксплуатационного и ремонтного обслуживания электрооборудования и сетей всех производственных цехов:

(4.6)

где  - суммарная годовая трудоемкость капитальных ремонтов по схеме электроснабжения с учетом поправочного коэффициента;-номер варианта, равен 4;

М - константа, значение которой задается консультантом, равная 50.

.

Для последующих расчётов эту трудоемкость производственных цехов условно распределяем между отдельными цехами, пропорционально их установленной мощности, и видам работ КР, ТР, ТО в соотношении 15:25:60%. Результаты сводим в таблицу 4.2.

Таблица 4.1 - Расчет годовой трудоемкости эксплуатационного и ремонтного обслуживания общезаводского электрооборудования и сетей

№ п/п

Наименование оборудования, его тип, характеристика

Единица измерения

Количество единиц

Капитальный ремонт

Текущий ремонт

Суммарная трудоемкость ремонтных работ

Техническое обслуживание

Общая трудоемкость, чел-час.





Ремонтный цикл, лет

Число ремонтов в году

Норма трудоёмкости 1 кап.рем., чел-час.

Годовая трудоёмкость на группу оборудования, чел-час.

Межремонтный период, мес.

Число ремонтов в году

Норма трудоёмкости 1 текущ.рем., чел-час.

Годовая трудоёмкость на группу оборудования, чел-час.


Коэффициент сложности

Коэффициент сменности

Годовая трудоёмкость на группу оборудования, чел-час.


1

Трансформаторы и высоковольтные аппараты


ТМЗ 630

шт

1

12

0,08

250

20,83

36

0,33

50

16,67

37,50

0,1

3

180

217,50


ТМЗ 1000

шт

3

12

0,08

300

75,00

36

0,33

60

60,00

135,00

0,1

3

648

783


ТМЗ 1600

шт

8

12

0,08

380

253,33

36

0,33

75

200,00

453,33

0,1

3

2160

2613,33


ТМЗ 2500

шт

1

12

0,08

460

38,33

36

0,33

90

30,00

68,33

0,1

3

324

392,33


Выключатели вакуумные типа ВВЭ-10

шт

10

3

0,33

24

80

12

1

7

70

150,00

0,1

3

252

402


Выключатели ВНП

шт

13

3

0,33

12

52

12

1

3,6

46,80

98,80

0,1

3

168,48

267,28


Итого






519,50




423,47

942,97



3732,48

4675,45

2

Низковольтные аппараты


Выключатели Э25В

шт

13

6

0,17

60

130

12

1

20

260

390

0,1

3

936

1326


Выключатели Э16В

шт

5

6

0,17

60

50

12

1

20

100

150

0,1

3

360

510


Итого






180




360

540



1296

1836

3

Электроизмерительные приборы


НТМИ-10

шт

2

12

0,08

25

4,17

36

0,33

7

4,67

8,83

0,1

3

50,4

59,23


Итого






4,17




4,67

8,83



50,4

59,23


















4

Электрические сети


ААБ 3х25

1000 м

0,204

20

0,05

50

0,51

12

1

15

3,06

3,57

0,1


3,67

7,24


ААБ 3х35

1000 м

0,0918

20

0,05

50

0,23

12

1

15

1,38

1,61

0,1


1,65

3,26


ААБ 3х50

1000 м

0,1224

20

0,05

75

0,46

12

1

15

1,84

2,30

0,1


2,20

4,50


ААБ 3х70

1000 м

0,4896

20

0,05

75

1,84

12

1

23

11,26

13,10

0,1

26,61


ААБ 3х95

1000 м

0,408

20

0,05

90

1,84

12

1

27

11,02

12,85

0,1


13,22

26,07


ААБ 3х185

1000 м

7,548

20

0,05

120

45,29

12

1

36

271,73

317,02

0,1


326,07

643,09


Итого






50,16




300,28

350,44



360,33

710,77

Всего с неучтенным оборудованием






1281,50




1850,30

1842,24



9246,66

7281,45


Таблица 4.2 - Распределение трудоемкости по цехам и видам работ

№ п/п

Наименование цеха

Установленная мощность, кВт

Число смен

Расчетная трудоемкость чел-час

Трудоемкость






КР

ТР

ТО

Всего

1

Механосборочный

2313,01

3

11060,46

1659,07

2765,11

19908,82

24333,01

2

Механический 1

2262,70

2

10819,90

1622,99

2704,98

12983,89

17311,85

3

Ремонтно-механический

1338,96

1

6402,73

960,41

1600,68

3841,64

6402,73

4

Гальванический

936,62

2

4478,76

671,81

1119,69

5374,51

7166,02

5

Механический 2

5116,52

2

24466,47

3669,97

6116,62

29359,76

39146,35

6

Литейный

1956,77

3

9356,99

1403,55

2339,25

16842,58

20585,37

7

Кузнечно-пресовый

2334,33

3

11162,42

1674,36

2790,60

20092,35

24557,32

8

Инструментальный

2232,60

1

10675,96

1601,39

2668,99

6405,58

10675,96

Итого

18491,50

-

88423,69

13263,55

22105,92

114809,13

150178,61



Причем общая годовая трудоёмкость эксплуатационного и ремонтного обслуживания по электрохозяйству предприятия в целом определяем по формуле:

(4.7)

Суммарная трудоемкость эксплуатационного и ремонтного обслуживания всего энергохозяйства (с учетом теплотехнического, сантехнического и вентиляционного оборудования) определяется из условия, что на долю энергохозяйства предприятия приходится 50% общей трудоемкости, т.е.:

(4.8)

.

.

.2 Планирование численности эксплуатационно-ремонтного персонала

Плановая численность рабочих рассчитывается по формуле:

 (4.9)

где  - трудоемкость эксплуатационного и ремонтного обслуживания электрохозяйства предприятия, чел-ч.;

 - полезный плановый фонд времени одного рабочего за год, час (методика расчета приведена в разделе 6.1);

 - коэффициент выполнения норм (принять = 1.05 -1,1).

Общая численность  распределяется по видам ремонтов и технического обслуживания пропорционально их трудоемкостям.

Численность дежурного персонала зависит от принятой на предприятии системы межремонтного (технического) обслуживания энергооборудования и определяется исходя из условий:

оперативный дежурный персонал работает аналогично режиму работы производственных цехов;

- дежурный персонал на двухтрансформаторных подстанциях и высоковольтном оборудовании, в соответствии с правилами техники эксплуатации и безопасности, работает по два человека.

В результате получим:

численность КР:

(4.10)

принимаем Чкр=8 человек;

численность персонала, осуществляющего ТР:

(4.11)

принимаем Чтр=12 человек;

численность персонала, осуществляющего ТО:

(4.12)

принимаем Что=60 человек; численность персонала, осуществляющего ТО: высоковольтного оборудования:

(4.13)

принимаем =8 человек (с учетом работы обслуживающего персонала в три смены и работы в выходные и праздничные дни).

Тогда общая численность рабочих составит 88 чел., в т.ч. ремонтного персонала 20 чел; обслуживающего персонала 68 чел.

.3 Смета затрат на ремонтно-эксплуатационное обслуживание электрохозяйства предприятия

Расчет затрат на ремонтно-эксплуатационное обслуживание ведется по статьям расхода, перечень которых и формулы для их расчета представлены ниже:

.Основная заработная плата производственных рабочих.

Определяется в соответствии с численностью ремонтных () и эксплуатационных () рабочих, годовым плановым полезным фондом рабочего времени () и тарифными ставками среднего разряда (). Средняя квалификация персонала в электрохозяйстве промышленных предприятий достигает, как правило, на ремонтных работах 4 - 4.5 разряда, на техническом обслуживании. -3,75 - 4 разряда.

(4.14)

где  - коэффициент, учитывающий премиальные начисления и доплаты до часового фонда ().

. Дополнительная заработная плата:

(4.15)

3. Отчисления на социальные нужды:

(4.16)

где  - отчисления на социальные нужды (в т.ч. 34% в ФСЗН, 1,7% отчисления на страхование от несчастных случаев).

. Расходы по содержанию и эксплуатации оборудования:

(4.17)

. Расходы на материалы:

(4.18)

. Пусковые расходы по подготовке к включению и освоению нового электрооборудования и сетевых устройств:

(4.19)

. Цеховые накладные расходы:

(4.20)

. Общезаводские расходы (включаются только в смету капитальных ремонтов энергетического оборудования и сетей):

(4.21)

(4.22)

Нормы накладных расходов (Ннцех=150%, Нноз=100%) приняли по согласованию с консультантом.

Результаты расчетов сводим в таблицу 4.3

Таблица 4.3 - Смета затрат на ремонтно-эксплуатационное обслуживание электрохозяйства предприятия

№ п/п

Статьи расхода

Порядок расчета

Сумма, тыс.руб

Структура себестоимости, %

1

Основная ЗП

Изп.осн=Кчд*Фп*ТIс(час)*(1.1*Кср.т.кр*Чкр+1.1*Кср.т.тр*Чтр+Кср.т.то*Что)

467457,95

18,40



1,5*1742,4*1181,33*(1,1*1,66*8+1,1*1,62*12+1,81*68)



2

Дополнительная ЗП

Изп.доп=(0.08…0.12)*Иозп

46745,79

1,84



467457,95*0,1



3

Отчисления на социальные нужды

Исоц.стр.=Нсн*(Изп.осн+Изп.доп)

183570,74

7,23



(0,34+0,017)*(467457,95+46745,79)



4

Расходы по содержанию и эксплуатации оборудования

Исод.об=0.85*Изп.осн

397339,26

15,64



0,85*467457,95



5

Расходы на материалы

Имат=(0.8…1.2)*Изп.осн

560949,54

22,08



1,2*467457,95



6

Пусковые расходы

Ипуск=0.3*Изп.осн

140237,38

5,52



0,3*467457,95



7

Цеховые накладные расходы

Ицех=150*Иозп/100

701186,92

27,60



1,5*467457,95



8

Общезаводские расходы

Иоб.з.=Нноб*Изп.осн.к.р.

42783,07

1,68



1*1,5*1742,4*1181,33*1,1*1,66*8



Итого


2540270,66

100,00


.4 Выбор рациональной формы организации ремонтного обслуживания

Уход или эксплуатация и все виды ремонтов общей заводской части энергохозяйства предприятия осуществляется персоналом энергетических цехов, находящихся в ведении главного энергетика. Ремонтно-эксплуатационное обслуживание производственных цехов осуществляется по одной из трех форм: централизованной, децентрализованной, смешанной.

При централизованной форме уход и все виды ремонтов оборудования возлагаются на персонал специализированных цехов, подчиняется главному энергетику. При децентрализованной форме - как правило, капитальный ремонт выполняется персоналом специализированных цехов, а все остальные виды работ выполняются энергетическим персоналом этих производственных цехов.

При смешанной форме часть цехов имеет свои энергетические службы, а остальные находятся в ведении главного энергетика.

Централизованная форма и ее достоинства:

обеспечивает соединения принципа единоначалия;

позволяет обеспечить более грамотную эксплуатацию и проведение высококачественного ремонта за счет возможности концентрации в специальном цехе высокопроизводительного ремонтного оборудования, высококачественного ремонтного персонала и более свободного маневрирования ими;

снижение затрат на ремонтно-эксплуатационное обслуживание.

Децентрализованная форма обеспечивает:

оперативность;

ответственность за состояние оборудования;

хорошее знание оборудования;

Недостатки децентрализованной формы:

двойное подчинение;

неравномерная загрузка персонала и нерациональное использование ремонтных средств;

В данной курсовой работе была выбрана централизованная форма организации ремонтного обслуживания.

.5 Организация труда при ремонтно-эксплуатационном обслуживании

В соответствии с установленными объемами ремонтных работ и технического обслуживания отдельных видов общезаводского электрооборудования и производственных цехов для ремонтно-эксплуатационного обслуживания распределяем найденное ранее значение численности рабочих ( = 88 чел.) между намеченными бригадами и участками. Считаем, что бригада может состоять из 6-13 человек, участок из 20-60 человек. Цех создается при численности рабочих свыше 100 человек.

В данной курсовой работе при численности 88 чел. получили 8 бригад.

Распределение работников по бригадам и определение среднего разряда представлено в таблице 4.5.

Таблица 4.4 - Расчет численности персонала осуществляющего техническое обслуживание

№ п/п

Название цеха

Число смен

Численность, чел

1

Механосборочный

3

11

2

Механический 1

2

7

3

Ремонтно-механический

1

2

4

Гальванический

2

3

5

Механический 2

2

15

6

Литейный

3

9

7

Кузнечно-пресовый

3

10

8

Инструментальный

1

3

Итого по цехам

60

Общезаводское эл/х

8

Всего

68

Таблица 4.5 - Распределение работников по бригадам и определение среднего разряда

Номер бригады

Вид работ

Зона обслуживания

Численность, чел.

Средний тарифный разряд

Средний тарифный коэфф.




Всего

В т.ч. по разрядам







1

2

3

4

5

6



Ремонтный персонал

Бригада 1

КР

Общезавод. и цеховое оборуд-е

8



2

1

3

2

4,63

1,66

Бригада 2

ТР

Общезавод. и цеховое оборуд-е

12



3

3

4

2

4,42

1,62

Обслуживающий персонал

Бригада 3

ТО

Ремонтно-механический, инструментальный

5


2


1

1

3,80

1,50

Бригада 4

ТО

Механический 1, Гальванический

10


2

3

2

2

1

3,70

1,49

Бригада 5

ТО

Механический 2

15


2

4

4

4

1

3,87

1,52

Бригада 6

ТО

Механосборочный

11


2

3

3

2

1

3,73

1,49

Бригада 7

ТО

Кузнечно-пресовый, Литейный

19


3

4

6

5

1

3,84

1,52

Бригада 8

ТО

Высоковольтное оборудование

8


1

2

2

2

1

4,00

1,55

Итого



88

0

12

21

22

23

10





.6 Организация подготовки ремонта

Технологическая подготовка должна начинаться с организации рабочего места, которое должно быть тщательно продумано и отвечать требованиям санитарных норм, эстетики и эргономики. Ремонтный и эксплуатационный персонал должен иметь приспособленные рабочие помещения, особенно специалисты таких профессий, как слесари-сантехники, жестянщики и слесари по вентиляции, оперирующие громоздкими заготовками и в первую очередь нуждающиеся в максимальной механизации ручного труда.

Вопросы, связанные с размещением и оснащением ремонтно-эксплуатационных служб, следует внимательно прорабатывать как при проектировании новых предприятий, так и при технологических перепланировках действующих.

Должны быть продуманы наборы инструментов как для постоянного хранения на рабочем месте, так и для переносных (перевозных) комплектов. Расположение инструмента на инструментальных досках, в ложементах, в инструментальных сумках и ящиках должно быть удобным и мнемонически наглядным.

Сказанное относится и к обеспечению каждого эксплуатационного и ремонтного участка комплектами приспособлений, оснастки и нестандартизированного оборудования. Комплект должен разрабатываться применительно к характеру и технологии работ каждого участка при сохранении возможного уровня унификации. Увеличение трудоемкости изготовления оснастки, если оно ведет к снижению трудоемкости эксплуатационных и ремонтных работ, быстро окупается.

К началу ремонта на рабочее место должны быть доставлены необходимые подъемно-транспортные средства, специальный инструмент, вся необходимая оснастка и приспособления.

Руководители ремонтных и эксплуатационных участков, энергоремонтных цехов, инженерный персонал ОГЭ должны непосредственно на рабочих местах проверять достаточность принятия мер по механизации и совершенствованию технологии ремонтных работ, изыскивать пути облегчения труда и пути повышения его производительности. На все повторяющиеся работы должны быть разработаны технологические процессы.

Должны быть также продуманы оптимальные для данного предприятия степень и этапы оснащения отдельных .видов оборудования и сетей средствами технической диагностики.

Как показывает практика, инженерный труд, потраченный на отработку проектно-конструкторской и технологической документации, многократно окупается снижением трудовых затрат и сокращением простоя оборудования из-за ремонта.

Руководитель цеха или другого подразделения обязан предоставить оборудование или участок сети для ремонта в срок, определенный месячным планом ППР. По согласованию с начальником ремонтного или ремонтно-эксплуатационного участка он может перенести срок ремонта в пределах, обеспечивающих производство ремонта в течение планируемого месяца, о чем вносится соответствующая запись за обеими подписями в месячный план-отчёт ППР. Перенос срока ремонта за пределы данного месяца может быть произведен по заключению эксплуатационного участка и инспектуры ОГЭ лишь с разрешения главного энергетика, а для основного энергооборудования - главного инженера предприятия.

За выполнение месячных планов ремонта энергетического оборудования и сетей руководители ремонтных цехов и участков несут полную ответственность наравне с ответственностью за выполнение производственного плана по выпуску основной продукции.

Перед сдачей в ремонт оборудование или участок сети с соответствующими каналами или траншеями должны быть тщательно очищены от масла, пыли, мусора и грязи. Подходы к оборудованию, к участку сети или сетевому устройству, а также рабочее место для их ремонта или демонтажа должны быть освобождены от деталей, материалов, инвентаря, оснастки и тщательно убраны. Ответственность за подготовку объектов к передаче в ремонт возлагается на администрацию производственного цеха - владельца оборудования.

Приемка оборудования или участка сети из ремонта осуществляется контрольно-приемным аппаратом (КПА) отдела технического контроля (ОТК) предприятия совместно с начальником (мастером) соответствующего эксплуатационного или ремонтно-эксплуатационного участка и. с мастером производственного цеха (подразделения) - владельца оборудования.

Испытание электрической части технологического оборудования производится одновременно с испытанием самого технологического оборудования. Это необходимо не только для правильной оценки качества ремонта той или иной установки в целом, но и для обеспечения наиболее экономичных режимов его работы.-

Оформление приемки из ремонта производится предусмотренными подписями в карте ремонта и в плане-отчете ППР. В необходимых случаях для особо ответственного оборудования, когда это предусмотрено соответствующими правилами и инструкциями, составляется акт приемки оборудования или сети из ремонта. Данный акт вместе с протоколами испытаний хранится в конверте соответствующей единицы оборудования.

В паспорт оборудования, подвергшегося одновременно с ремонтом также модернизации, вносятся соответствующие изменения с указанием даты. На оборудовании ниже заводской паспортной таблички устанавливается дополнительно ремонтная табличка с указанием новых параметров, организации, выполнившей модернизацию, и даты.

Для контроля качества ремонта, проведения межоперационных и профилактических испытаний энергоремонтные цеха и лаборатории ОГЭ должны быть оснащены соответствующей аппаратурой и испытательными стендами. Приемка из ремонта электрооборудования или участка сети высокого напряжения, а также электрооборудования со сложными схемами управления по списку, утверждаемому главным энергетиком предприятия, производится высоковольтной или электротехнической лабораторией предприятия (ОГЭ).

Оценка качества технического обслуживания энергетического оборудования и сетей производится ежемесячно инспектором ОГЭ совместно с администрацией подразделений, обслуживаемых каждым эксплуатационным и ремонтно-эксплуатационным участком. При оценке принимается во внимание общее техническое состояние энергооборудования и сетей, наличие и общая продолжительность внеплановых простоев, аварий и брака в работе, состояние, техники безопасности на участке, оперативность явки по вызовам, качество осмотров обслуживаемого оборудования и сетей. Оценку качества технического обслуживания полезно производить по пятибалльной системе или в процентах.

Система ППР полнее учитывает условия эксплуатации оборудования. Оборудование, работающее в нормальных условиях, ремонтируется реже. Оборудование, работающее в тяжелых условиях эксплуатации, ремонтируется значительно чаще.

Система ППР придает первостепенное значение профилактическим мероприятиям - текущему ремонту и техническому обслуживанию, которые составляют 70 - 93 % общих годовых трудозатрат на содержание и ремонт оборудования. Снижение удельного веса тяжелых видов ремонта значительно сокращает простои оборудования из-за ремонта.

Сокращение трудовых затрат позволяет за счет сокращения планового количества ремонтно-эксплуатационного персонала производить планомерное усиление основных бюро ОГЭ, что в свою очередь даст возможность улучшать инженерный уровень службы и обеспечить выполнение возложенных на нее задач с наименьшими затратами, [3]

. ОРГАНИЗАЦИЯ УПРАВЛЕНИЯ ЭНЕРГОХОЗЯЙСТВОМ ПРЕДПРИЯТИЯ

Руководство производственной эксплуатацией, техническим обслуживанием и ремонтом энергетического оборудования предприятия главный энергетик осуществляет лично и через отдел главного энергетика. Вне зависимости от формы собственности и подчиненности предприятия, его масштабов, вида выпускаемой продукции и оказываемых услуг ОГЭ предприятия осуществляет единую техническую политику по всем вопросам производственной эксплуатации, технического обслуживания и ремонта энергетического оборудования предприятия.

В ведении ОГЭ и подчиненных ему подразделений находятся:

а) все общезаводские и межцеховые энергоустройства:

трансформаторные подстанции, электрические преобразовательные станции и установки, котельные и бойлерные установки, водонасосные станции и станции перекачки фекальных и ливневых вод, очистные сооружения, компрессорные, вакуумные и холодильные установки, ацетиленовые, водородные и кислородные станции, газовое оборудование, вентиляционные, сантехнические и светотехнические устройства, телефонные станции; радиоузлы, устройства связи и сигнализации;

б) все магистральные и распределительные сети и коммуникации:

электросети всех напряжений, частот и токов, трубопроводы пара, горячей воды и сжатого воздуха, газопроводы, системы водоснабжения и канализации, отопления и вентиляции, а также сети всех видов связи и сигнализации.

Структуры управления энергетическими службами предприятия приведены на рис. 5.1.

Рис.5.1 - Схема организационной структуры ОГЭ (в скобках указанна рекомендуемая численность и численность не электротехнического персонала)

В соответствии с полученным ранее значением трудоемкости энергохозяйства предприятия выбираем категорию предприятия.

При трудоемкости энергохозяйства предприятия равной  получаем седьмой категорию энергохозяйства. [3]

В таблице 5.1 представлена структура штата ОГЭ.

Таблица 5.1 - Штат отдела главного энергетика

№ п/п

Должность

Рекомендуемая численность, чел.

Принятая численность электротехнического персонала, чел.

1

Гл.энергетик

1

1

2

Зам. гл. энергетика

2

1

3

Бюро планирования, экономики,ППР

7

3

4

Проектно-конструкторское бюро

12

4

5

Электропечное бюро

2

1

6

Теплосиловое бюро

4

1

7

Вентиляционное бюро

6

2

8

Группа режима и учета

2

1

Штат ИТР лабораторий ОГЭ

9

Электротехническая лаборатория

7

7

Итого ИТР

37

21

Количество служащих

2

0

Общий штат

39

21


Расчет годового фонда заработной платы электротехнического персонала ОГЭ представлен в таблице 5.2

Таблица 5.2 - Расчет годового фонда заработной платы отдела главного энергетика

Структурное подразделение, должность

Количество человек

Разряд

Тарифный коэф-т

Должностной оклад, тыс.руб/мес

% надбавки

Сумма надбавок, тыс.руб

Годовой фонд ЗП, млн.руб

Главный энергетик

1

18

4,26

809,40

25

202,35

12,14

Зам.гл. энергетик

1

17

3,98

756,20

25

189,05

11,34

Бюро планирования, экономики и ППР

Специалист

1

13

3,04

577,60

10

57,76

7,62

Специалист

2

12

2,84

539,60

5

26,98

13,60

Проектно-конструкторское электробюро

Ведущий специалист

1

15

3,48

661,20

15

99,18

9,12

Специалист

1

13

3,04

577,60

10

57,76

7,62

Специалист

1

12

2,84

539,60

5

26,98

6,80

Электропечное бюро

Специалист

1

12

2,84

539,60

5

26,98

6,80

Теплосиловое бюро

Специалист

1

12

2,84

539,60

5

26,98

6,80

Вентиляционное бюро

Ведущий специалист

1

15

3,48

661,20

15

99,18

9,12

Специалист

1

13

3,04

577,60

10

57,76

7,62

Группа режима и учёта

Ведущий специалист

1

15

3,48

661,20

15

99,18

9,12

Электротехническая лаборатория

Ведущий специалист

1

15

3,48

661,20

15

99,18

9,12

Специалист

3

13

3,04

577,60

10

57,76

22,87

Специалист

3

12

2,84

539,60

5

26,98

20,40

Итого

20

-

-

-

-

799,33

160,12

Всего с учетом премий

-

-

-

-

-

-

208,16



Расчетные формулы для определения годового фонда заработной платы ОГЭ (на примере главного энергетика).

Должностной оклад:

(5.1)

где  - тарифный коэффициент, равный 4,26;

 - тарифная ставка 1-го разряда, .

Годовой фонд заработной платы:

(5.2)

где  - процент надбавки, .

6. ПЛАНИРОВАНИЕ ТРУДА И ЗАРАБОТНОЙ ПЛАТЫ ЭНЕРГОЦЕХА

.1 Планирование использования рабочего времени (составление баланса рабочего времени)

Обязательным элементом при составлении плана по труду является планирование использования рабочего времени, которое заключается в планировании режимов работы и составлении балансов рабочего времени по категориям персонала, имеющим одинаковый график работы.

При составлении баланса рабочего времени различают следующие фонды рабочего времени:

календарный фонд (определяется календарной продолжительностью планового периода в днях);

номинальный фонд, который рабочий может отработать в течение планового периода; он меньше календарного на величину праздничных и выходных дней (число праздничных и выходных дней определяется по календарю);

полезный фонд, представляющий собой время, который рабочий действительно отрабатывает; он меньше номинального:

а) на величину целодневных невыходов на работу (отпуска всех видов, болезни, выполнение государственных обязанностей);

б) на величину времени, уменьшающей продолжительность рабочего дня (сокращенный день для подростков и кормящих матерей).

Продолжительность отпусков (очередного и дополнительного) планируется для каждой группы рабочих в соответствии с трудовым законодательством и с коллективными договорами.

Невыходы, связанные с выполнением государственных обязанностей, планируются на основе анализа отчетных данных, в курсовой работе приняты (0.5 - 1)% от номинального фонда рабочего времени.

Невыходы вследствие болезней в плановом балансе рабочего времени определяются также на основе отчетных данных с учетом возможностей снижения потерь рабочего времени за счет улучшения санитарно-гигиенических условий труда и медицинского обслуживания работающих, проведение мероприятий по технике безопасности и охране труда, а также улучшения культурно-бытовых и жилищных условий. Величина невыходов, связанных с болезнью, принята (3 - 3.5)% от номинального фонда рабочего времени.

Баланс рабочего времени представлен в таблице 6.1,[6].

Таблица 6.1 - Баланс рабочего времени одного рабочего на 2009 год

№ п/п

Элементы баланса рабочего времени

Значения элементов



абсолютные

в % к Фн





1

Календарный фонд, дни

365

-


Нерабочие дни:

110

-


- праздничные дни

9

-


- выходные дни

101

-

2

Номинальный фонд рабочего времени, дни

255

100


Невыходы на работу, дни:

37,20


- очередные отпуска

24,00

9,41


- дополнительные отпуска

3,00

1,18


- невыходы по болезни

8,42

3,30


- выполнение государственных обязанностей

1,79

0,70

3

Полезный фонд рабочего времени, дни

217,80

85,41


Номинальная продолжительность рабочего дня, час

8

-

4

Полезный фонд времени одного рабочего, час

1742,40

-

5

Коэффициент использования рабочего времени

0,854

-



6.2 Планирование численности энергетического участка

Персонал цехового энергохозяйства состоит из рабочих, ИТР, служащих, МОП.

При определении списочного состава ИТР необходимо учитывать сменную работу (мастера, начальники смен). Численность ИТР, работающих по несменному графику, должна соответствовать числу штатных единиц и резерва не имеет (обязанности отсутствующих временно возлагаются на других работников).

Численность служащих и МОП планируют по штатному расписанию (без резерва). Общая численность ИТР, служащих и МОП в соответствии с составляет (9 - 12)% от общей численности рабочих.

В таблице 6.2 представлен годовой фонд ЗП руководителей и специалистов энергетического цеха.

Таблица 6.2 - Годовой фонд ЗП руководителей и специалистов энергетического цеха

Структурное подразделение, должность

Количество человек

Разряд

Тарифный коэф-т

Должностной оклад, тыс.руб/мес

% надбавки

Сумма надбавок, тыс.руб

Годовой фонд ЗП, млн.руб

Начальник участка

1

16

3,72

706800

20

141360

10,18

Начальник смены

1

15

3,48

661200

15

99180

9,12

Старший мастер

1

14

3,25

617500

15

92625

8,52

Мастер

3

13

3,04

577600

10

57760

22,87

Специалист (учет и планирование)

2

13

3,04

577600

5

28880

14,56

Итого

8

-

-

-

-

419805

65,25

Всего с учетом премий

-

-

-

-

-

-

84,83



6.3 Планирование фонда заработной платы ремонтно-эксплуатационных рабочих

Планирование заработной платы заключается в определении фондов заработной платы и ее средней величины по категориям работников.

Различают тарифный, часовой, дневной и годовой (месячный) фонды заработной платы. Они составляются в расчете на одни и те же периоды (месяц, квартал, год), но поскольку включают в себя различные элементы заработной платы, то они не равны между собой.

Основная заработная плата выплачивается за отработанное время и включает в себя все виды оплат, входящие в часовой фонд: дополнительная - прочие виды оплат и компенсаций, не связанных с рабочим временем.

Расчет фондов и средней заработной платы сведен в таблицу 6.3.

Для определения дополнительной заработной платы были приняты:

премии в размере до 30% тарифного заработка рабочих;

доплату за руководство бригадой для сдельщиков при численности бригады до 10 человек - 10%, больше 10 человек - 15% тарифной ставки;

доплату за работу в ночное время рабочим согласно действующего законодательства.

Выплаты премий из фонда накопления составили 30% от часовой фонда заработной платы (ОЗП).

Таблица 6.3 - Расчет фонда и средней заработной платы ремонтно-эксплуатационных рабочих

№ п/п

Показатели

Единицы измерения

Значение

1

Количество рабочих

чел.

88

2

Часовая (средняя) тарифная ставка

руб./час

2032,45

3

Полезный фонд времени 1-го рабочего

час

1742,4

4

Тарифный фонд заработной платы

тыс.руб.

311638,63

5

Доплата до часового фонда, в т.ч.

тыс.руб.

120992,92


- премии

тыс.руб.

93491,59


- за руководство бригадой

тыс.руб.

3789,64


- за работу в ночное время

тыс.руб.

23711,69

6

Часовой фонд заработной платы (основная заработная плата)

тыс.руб.

432631,55

7

Дополнительная заработная плата

тыс.руб.

57177,68

8

Годовой фонд заработной платы

тыс.руб.

489809,24

9

Средняя заработная плата одного рабочего в месяц

тыс.руб/чел.мес.

463,83

10

Выплаты премий из фонда накопления

тыс.руб.

146942,77

11

Средняя заработная плата одного рабочего в месяц с учетом премий

тыс.руб/чел.мес.

602,98


.4 Сводный план по труду и заработной плате

Сводный план по труду и заработной плате представлен в таблице 6.4.

Таблица 6.4 - Сводный план по труду и заработной плате электрического цеха

№ п/п

Показатели

Единицы измерения

Значение

1

Объем ремонтно-эксплуатационных работ

н-час

157460,06



тыс.руб.

2540270,66

2

Среднесписочная численность ЭТП, в т.ч.

чел.

96


рабочих

чел.

88


руководителей

чел.

6


специалистов

чел.

2

3

Выработка на одного работающего

н-час/чел.

1640,21



тыс.руб/чел

26461,15

4

Фонд заработной платы всего: в т.ч.

тыс.руб.

574637,44


рабочих

тыс.руб.

489809,24


руководителей

тыс.руб.

65906,02


специалистов

тыс.руб.

18922,18

5

Фонд заработной платы с учетом премий из прибыли

тыс.руб.

721580,21

6

Средняя заработная плата одного работающего без учета выплат из прибыли

тыс.руб/чел. мес.

498,82

7

Средняя заработная плата одного работающего с учетом выплат из прибыли

тыс.руб./чел.мес.

626,37



7. РАСЧЕТ СМЕТЫ ЭЛЕКТРОЭНЕРГЕТИЧЕСКИХ ЗАТРАТ ПРЕДПРИЯТИЯ

К электроэнергетическим эксплуатационным расходам относятся стоимость электроэнергии, а также материальные затраты, связанные с ремонтом и эксплуатацией электрооборудования и сетей и управлением энергохозяйством. Расчет схемы ведется в разрезе экономических элементов. Электроэнергетические затраты  на промышленном предприятии определяются по формуле:

 (7.1)

где  - заработная плата основная и дополнительная всех категорий электротехнического персонала;

 - отчисления и налоги на фонд оплаты труда;

 - стоимость материалов для ремонтно-эксплуатационного обслуживания;

 - годовые амортизационные отчисления основных фондов по электрохозяйству;

 - стоимость электрической энергии;

 - прочие расходы, принимаем равными 150% от основной заработной платы рабочих.

Размер платы за электрическую энергию потребителями с присоединенной мощностью 750 кВА и выше определяется по двухставочным тарифам по формуле:

(7.2)

где  - основная ставка за 1 кВт договорной (заявленной) потребителем мощности, участвующей в суточном максимуме нагрузки энергосистемы, руб./ кВт в мес., a=22482,8 руб./ кВт;

 - дополнительная ставка за 1 кВт ч электроэнергии учитываемой счетчиком, руб./ кВтч; b=208,9 руб./ кВтч;

 - договорная (заявленная) мощность потребителя, кВт. Принимаем на 10% выше максимальной нагрузки предприятия в часы максимума энергосистемы;

 - годовое потребление электроэнергии, кВтч.

При определении стоимости электроэнергии, в соответствии с Постановлением Министерства экономики РБ от 28.08.1998г. № 66, следует производить индексацию тарифов в связи с изменением курса доллара США по сравнению с курсом, предусмотренным при установлении тарифов на энергию, согласно формуле:

 (7.3)

где  - тариф на энергию, проиндексированный на изменение курса доллара, на день оформления платежного документа;

 - установленный (базовый) тариф на энергию;

,  - значение курса белорусского рубля по отношению к доллару США на день оплаты и при установлении тарифов, соответственно.

Электроэнергетические затраты  на промышленном предприятии составят:

Удельные энергозатраты (стоимость полезно потребленного кВтч энергии) рассчитываются по формуле:

(7.4)

где  - полезно потребленная электроэнергия.

. ПЛАНИРОВАНИЕ ОРГАНИЗАЦИОННО-ТЕХНИЧЕСКИХ МЕРОПРИЯТИЙ ПО ЭКОНОМИИ ЭНЕРГИИ И ОЦЕНКА ИХ ЭФФЕКТИВНОСТИ

План организационно-технических мероприятий (ОТМ) в энергохозяйстве является составной частью плана технического развития предприятия. Разработка плана начинается в цехах. Ответственность за его выполнение несут энергетики и начальники энергоцехов. В план технического развития включаются наиболее важные мероприятия в области рационализации энергохозяйства всего предприятия (например, перевод системы электроснабжения с напряжения 6кВ на напряжение10кВ). За их выполнение несет ответственность, наряду с соответствующими начальниками цехов и служб, главный энергетик (механик).

План ОТМ должен содержать:

перечень мероприятий, намечаемых к внедрению в планируемом периоде;

место и сроки внедрения;

- лиц, ответственных за выполнение мероприятий;

- затраты, необходимые для их осуществления, и источники финансирования;

эффективность этих мероприятий.

По каждому мероприятию, включаемому в план ОТМ, необходимо произвести определение его экономической эффективности.

Оценка эффективности может производиться по индивидуальному или альтернативным вариантам ОТМ на основе сопоставления ожидаемых финансовых результатов (Р) и затрат (К) от внедрения ОТМ без и с учетом срока его действия (от 3-х до 10 лет) но системе показателей:

§  срок окупаемости -  (статический и динамический);

§  чистая дисконтированная стоимость - ЧДС;

§  среднегодовой экономический эффект и др.

По каждому мероприятию, включаемому в план ОТМ, необходимо производим определение его экономической эффективности. Выбираем в качестве мероприятия по экономии электроэнергии отключение силовых трансформаторов от сети в нерабочие сутки и смены.

В результате проведения данного мероприятия произойдет уменьшение количества часов работы трансформаторов: ТМЗ-630 с  до .

В итоге произойдет снижение потерь электроэнергии в трансформаторах на холостом ходу.

Отключение трансформаторов будем производить в инструментальном и ремонтно-механическом цехах. Режим работы цехов - односменный в ремонтно-механическом цехе ТМЗ-630.

Снижение времени работы трансформатора определяем по формуле:

 (8.1)

.

Экономию электроэнергии определяем по следующему выражению:

 (8.2)

где  - количество трансформаторов;

 - потери холостого хода в трансформаторе, кВт.

.

Экономия электроэнергии в денежном эквиваленте:

 (8.3)

где  - дополнительная ставка за 1 кВт ч электроэнергии учитываемой счетчиком, руб./ кВтч; b=208,9 руб./ кВтч.

.

Определим затраты на организационно-технические мероприятия. Для этого составим смету.

Таблица 8.1 - Смета на проведение СМР

№ п/п

Обоснование

Наименование видов работ и ресурсов

Ед. изм/кол-во

Стоимость ед.изм/всего, руб.

Общая стоимость





ЗП рабочих

Эксплуат. машин и мех-в

Материальные ресурсы







Всего

в т.ч. ЗП

Всего

в т.ч. тр-т


1

Ц8-141-1

Прокладка кабеля в гот. траншею без покрытия до 1-х кг для РМЦ

100 м

36765,00

93978,00

9668,00

18917,00

59,00

152653,20




1,02

37500,30

95857,56

9861,36

19295,34

60,18


2

Ц8-142-2

Уст-во постели для каждого посл-го кабеля прокл-го в траншее

100 м

7117,00

14489,00

3085,00



22038,12




1,02

7259,34

14778,78

3146,70




3

Ц8-143-4

Покрытие плитами каждого посл-го кабеля, пролож. в траншее

100 м

9915,00

109136,00

17415,00



121432,02




1,02

10113,30

111318,72

17763,30




Итого


54872,94

221955,06

30771,36

19295,34

60,18

296123,34

Накладные расходы

105342,49

Плановые накопления

82475,46

Всего по группе

483941,29



Переведем стоимость электромонтажных работ в цены 1.01.2009 г.

Таблица 8.2 - Определение стоимости СМР в текущих ценах

№ п/п

Элементы стоимости работ, оборудования

Индекс пересчета

Стоим. в ценах 2009, тыс.руб






1

ЗП рабочих

54872,94

1,39

76,38

2

Эксплуатация машин

221955,06

1,49

331,38

3

Материальные ресурсы

19295,34

1,68

32,34

4

Накладные расходы

105342,49

1,44

151,48

5

Плановые накопления

82475,46

1,27

104,99

Итого

483941,29

696,57


Стоимость кабеля:

(8.4)

где  - стоимость кабеля АПВ  в российских рублях, 43,1 руб.;

 - текущий курс российского рубля, принимаем равным 90,5;  - длина кабеля, м;

 - коэффициент, учитывающий запас кабеля при прокладке.

.

Рассчитаем прочие затраты на ремонт и обслуживание кабельной линии, расчет трудоемкости приведены в таблице 8.3

Таблица 8.3 - Трудоемкость на ремонт и обслуживание

Ремонт

Длина

Ремонтный цикл, лет

Число рем-в в году

Норма тр-ти

Коэфф. сложн.

Годвая труд-ть








КР

0,1

20

0,05

50

-

0,25

ТР


1

1

15

-

1,5

ТО


-

-

-

0,1

1,8






Всего

3,55


Тогда затраты на ремонт и обслуживание определим:

(8.5)

где  - затраты на ремонтно-эксплуатационное обслуживание электрохозяйства предприятия (таблица 4.5),тыс.руб.;

 - годовая трудоёмкость эксплуатационного и ремонтного обслуживания по электрохозяйству предприятия, чел-час.;

 - трудоемкость на ремонт и обслуживание кабеля, чел-час.

Суммарные затраты составят:

.

Таблица 8.4 - План ОТМ на 2009 год

Наименование мероприятия

Место внедрения

Ответственный

Срок внедрения, лет Источник финансирования

Капитальные затраты, тыс.руб

Ожидаемая годовая экономия






В натур. выражении

В стоимм выражен.






кВт*ч

млн.руб

Отключение силовых трансформаторов

Ремонтно-механический

Главный энергетик

5

1151,70

8122

1,70









Статический срок окупаемости:

 (8.8)

где  -сэкономленная энергия.

.

Таблица 8.5 - Определение экономического эффекта от внедрения ОТМ

Месяц

Кап.вложения, тыс.руб

Прибыль, тыс.руб

Поток наличности, тыс.руб

Дисконтный множитель

Дисконтированный поток наличности

Накопленная ЧДС, тыс.руб

0

1151,70

0

-1151,70

1

-1151,70

-1151,70

1

0

1696,69

1696,69

0,862069

1462,66

310,96

2

0

1696,69

1696,69

0,7431629

1260,91

1571,87

3

0

1696,69

1696,69

0,6406577

1086,99

2658,87

4

0

1696,69

1696,69

0,5522911

937,06

3595,93

5

0

1696,69

1696,69

0,476113

807,81

4403,75


Динамический срок окупаемости:

(8.9)

Среднегодовой экономический эффект:

(8.10)

.

Рентабельность или индекс внутренней доходности определим по формуле:

(8.11)

где  - финансовый результат реализации инвестиционного проекта в году t;

 - капитальные вложения в году t;

 - дисконтный множитель года t.

В результате проведенных расчетов было установлено, что данное мероприятие целесообразно применять, так как очевидна экономия электроэнергии, а срок динамический окупаемости проекта составляет 1,32 года.

Норма внутренней доходности определим по формуле:

 (8.12)

Графически норма внутренней доходности на рис 8.1:

Рис.8.1 - Норма внутренней доходности.

9. ТЕХНИКО-ЭКОНОМИЧЕСКИЕ ПОКАЗАТЕЛИ

электроснабжение балансовый амортизационный отчисление

Технико-экономические показатели, характеризующие электрохозяйство предприятия представлены в таблице 9.1.

Таблица 9.1 - Технико-экономические показатели энергохозяйства промышленного предприятия

№ п/п

Наименование показателей

Обозначение

Единицы измерения

Количество

1

Установленная мощность предприятия

Ру

кВт

18491,50

2

Коэффициент спроса (средневзвешенный)

Кс

-

0,41

3

Максимальная потребляемая мощность предприятия

Рм

кВт

8905,86

4

Число часов использования максимальной нагрузки предприятия

Тм

час

4568,94

5

Годовое потребление электроэнергии

W

тыс.кВт∙ч

40690,32

6

Потери электроэнергии

∆W

тыс.кВт∙ч, %

2091,85 / 5,023

7

Потери мощности

∆Р

кВт, %

553,39 / 6,205

8

Стоимость электрической энергии (оплата энергосистеме)

Иw

тыс.руб.

14025057,66

9

Стоимость основных средств электрохозяйства

К.о.ф.

тыс.руб.

1912198,34

10

Удельные капиталовложения на кВт установленной мощности

Куд

тыс.руб./кВт

103,41

11

Форма организации ремонтного обслуживания


централизованная

12

Объем ремонтно-эксплуатационных работ

TΣэл.х.

чел-час

157460,06

13

Затраты на ремонтно-эксплуатационное обслуживание

Ир.э.о.

тыс.руб.

2540270,66

14

Численность электротехнического персонала всего,

Чэтп

чел.

96


в т.ч.: ремонтного,

Чрп


20


эксплуатационного

Чэп


68


административно-управленческого

Чау


8

15

Производительность труда на ремонтно-экстплуатационных работах

Птр

н-час/чел

1640,21




тыс.руб/чел

26461,15

16

Число бригад всего

n

шт.

8

17

Средняя заработная плата с учетом выплат из прибыли:


тыс.руб./чел.мес.



1 рабочего

Зпл.р


602,98


1 работника

Зпл.ЭТП


626,37

18

Электроэнергетические затраты предриятия

Зээ

тыс.руб.

16659017,03

19

Удельные элекроэнергетические затраты

Зээ

руб/кВт∙ч

424,09

20

Средняя стоимость 1 кВт∙ч, оплачиваемого энергосистеме

Сээ

руб/кВт∙ч

344,68

21

Ожидаемый результат от внедрения ОТМ:





- экономия электроэнергии;

W

кВт∙ч

8122


- срок окупаемости простой/динамический

Ток

лет

0,55/ 0,64


- чистая дисконтированная стоимость

ЧДС

тыс.руб.

4403,75


- среднегодовой экономический эффект

ЧДС год

тыс.руб.

1344,95


- норма внутренней доходности

rвн

%

180,19


- индекс доходности

R


4,82



ЗАКЛЮЧЕНИЕ

Целью данной курсовой работы было закрепление теоретических знаний по экономическим и специальным дисциплинам, углубление навыков работы с литературой, приобретение опыта техники расчетов по основным вопросам экономики, организации, планирования и управления энергетического хозяйства. Все намеченные цели были достигнуты.

Были изучены методика определения балансовой стоимости основных средств энергохозяйства промышленного предприятия; организация и планирование численности эксплуатационно-ремонтного персонала, а также состав и численность ОГЭ, планирование труда и заработной платы; расчет сметы электроэнергетических затрат промышленного предприятия планирование организационно-технических мероприятий по экономии энергии и оценка их эффективности.

Технико-экономические показатели были представлены в табличной форме.

ЛИТЕРАТУРА

1.      Практическое руководство к курсовой работе по курсу: «Организация и планирование производства. Управление предприятием», Гомель:ГГТУ,1999.

2.      Радкевич В.Н, Проектирование систем электроснабжения: Учеб. Пособие. - Мн.: НПООО «ПИОН», 2001. - 292 с.

3.      Система планово-предупредительного ремонта оборудования и сетей промышленной энергетики / Н.Н.Синягин, Н.А.Афанасьев, С.А.Новиков - М: Энергоатомиздат,1984

4.      Сборник расценок на монтаж оборудования. Сборник№8 «Электрические установки», Мн.:2006

5.      Консультант Экспресс , №1(1)/2009

6.      «Об установлении расчетной нормы рабочего времени на 2009 год», постановление Мин.Труда и соц.защиты РБ от 202.10.08 г. №141.

7.      Инструкция о порядке применения Единой тарифной сетки работников РБ в производственных отраслях экономики, постановление Мин.Труда и соц.защиты РБ от 23.03.09, №40

ПРИЛОЖЕНИЕ

ТАБЛИЦА 1.1 - РАСЧЕТ СИЛОВЫХ НАГРУЗОК И РАСХОДА ЭЛЕКТРОЭНЕРГИИ НА ПРОИЗВОДСТВЕННЫЕ НУЖДЫ


ТАБЛИЦА 1.2 - РАСЧЕТ РАСХОДА ЭЛЕКТРОЭНЕРГИИ НА ОСВЕЩЕНИЕ



ТАБЛИЦА 1.3 - ПОТЕРИ В ЦЕХОВЫХ СЕТЯХ И УСТАНОВКАХ


ТАБЛИЦА 1.4 - ПОТЕРИ МОЩНОСТИ И ЭНЕРГИИ В ТРАНСФОРМАТОРАХ


ТАБЛИЦА 1.5 - ПОТЕРИ МОЩНОСТИ И ЭЛЕКТРОЭНЕРГИИ В ТРАНСФОРМАТГОРАХ (ПРОДОЛЖЕНИЕ)



ТАБЛИЦА 1.6 - ПОТЕРИ МОЩНОСТИ И ЭНЕРГИИ В КАБЕЛЬНЫХ ЛИНИЯХ


ТАБЛИЦА 1.7 - ЭНЕРГЕТИЧЕСКИЙ БАЛАНС ПРОМЫШЛЕННОГО ПРЕДПРИЯТИЯ



ТАБЛИЦА 1.8 - БАЛАНС МОЩНОСТИ ПРОМЫШЛЕННОГО ПРЕДПРИЯТИЯ

Похожие работы на - Организация, планирование и управление энергохозяйством предприятия

 

Не нашли материал для своей работы?
Поможем написать уникальную работу
Без плагиата!
Без нейросетей!