Формирование и использование собственного капитала предприятия в ОАО 'Новосибирскгражданстрой'
ВВЕДЕНИЕ
В современных экономических условиях
деятельность каждого хозяйствующего субъекта является объектом внимания
обширного круга участников рыночных отношений, заинтересованных в результатах
его функционирования. Конкурентоспособность предприятию может обеспечить только
правильное управление движением финансовых ресурсов и капитала, находящихся на
распоряжении.
Капитал - это экономическая категория, которая
известна давно, но получила новое содержание в условиях рыночных отношений. Как
главная экономическая база создания и развития предприятия, капитал в процессе
своего функционирования обеспечивает интересы государства, собственников и
персонала. Капитал предприятия характеризует общую стоимость средств в
денежной, материальной и нематериальной формах, которые инвестируются в
формирование его активов.
Управление капиталом - относительно новая сфера
функционального управления предприятием. Менеджмент имущества и капитала
представляет собой одну из наиболее комплексных управляющих систем, в которой
интегрируются методологические принципы финансового менеджмента, операционного
менеджмента, инновационного менеджмента, бухгалтерского учета, контроллинга,
логистики и других специальных областей знаний. В управлении капиталом
участвуют менеджеры различных функциональных служб предприятия, а реализацию
принятых управленческих решений в этой области осуществляет практически весь
его персонал.
Таким образом, актуальность исследования
заключается в том, что в условиях рыночной экономики, а также при наличии
жесткой конкуренции на рынке для эффективного развития и поддержания финансовой
устойчивости предприятию необходимо разрабатывать и проводить политику
управления имуществом и капиталом предприятия.
Целью дипломной работы является
совершенствование политики управления собственным капиталом предприятия.
Для достижения поставленной цели в работе
решаются следующие задачи:
исследовать понятие собственного капитала;
рассмотреть особенности управления собственным
капиталом в объекте исследования;
исследовать направления повышения эффективности
управления собственным капиталом
Объектом исследования является
строительно-ремонтное предприятие ОАО «Новосибирскгражданстрой». Предметом
исследования выступает политика управления капиталом предприятия.
Методологической и теоретической основой
исследования являются классические и современные труды российских и зарубежных
экономистов в области исследования капитала, предпринимательской деятельности в
экономике. В работе использованы такие общенаучные методы познания, как исторический
и логический, сравнительный, абстрактно-теоретический, системный. В качестве
инструментария в работе использовались элементы графического моделирования и
статистического анализа.
По своей структуре работа состоит из введения,
трех разделов, заключения, списка использованной литературы и приложений.
1. ТЕОРЕТИЧЕСКИЕ АСПЕКТЫ
ФОРМИРОВАНИЯ И ИСПОЛЬЗОВАНИЯ СОБСТВЕННОГО КАПИТАЛА ПРЕДПРИЯТИЯ
.1 Сущность, состав и особенности
собственного капитала
Особое значение для успешной деятельности
организации имеет наличие определенного запаса ресурсов длительного пользования
- капитала. Капитал является одним из факторов производства наряду с природными
и трудовыми ресурсами. Капитал - стоимость, авансированная в производство с
целью получения прибыли.
Термин «капитал» неоднозначно трактуется в
экономической литературе. С одной стороны, под капиталом подразумевают сумму
акционерного капитала, эмиссионного дохода и нераспределенной прибыли. С другой
стороны, под капиталом подразумевают все долгосрочные источники средств.
В первом случае, капитал - это интерес
собственников организации. При этом величина капитала рассчитывается как
разность между стоимостной оценкой активов организации и ее задолженностью
перед третьими лицами (кредиторы, государство, собственные работники и др.). В
зависимости от того, какие оценки (цены) используются в расчете (учетные или
рыночные), величина капитала может быть исчислена по-разному. Этот подход
широко распространен среди бухгалтеров.
Термин «капитал» часто используют и для
характеристики активов организации, разделяя их на основной (долгосрочные
активы, в том числе незавершенное производство) и оборотный (все оборотные
средства организации) капитал. Этот подход широко распространен среди
экономистов.
Встречается также определение капитала как общей
стоимости средств в денежной, материальной и нематериальной формах,
инвестированных в формирование активов организации. В этом случае капитал
рассматривается как имущественный комплекс, при помощи которого его владелец
предполагает получать доход в будущем, т.е. то, что способно приносить доход в
будущем. При такой трактовке капитал существует в предметно-вещной и
стоимостной формах. Капитал в его предметно-вещной форме именуется фондами.
Стоимостная оценка фондов именуется средствами.
Часто термин «капитал» используется по отношению
как к источникам средств, так и к активам. При этом подходе, характеризуя
источники, говорят о «пассивном капитале», а характеризуя активы, говорят об
«активном капитале», подразделяя его на основной капитал (долгосрочные активы,
включая незавершенное строительство) и оборотный капитал (сюда относят все
оборотные средства).
В западной литературе под капиталом понимают все
источники средств, используемых для финансирования активов и операций, включая
краткосрочную и долгосрочную задолженность, привилегированные и обыкновенные
акции (пассив баланса).
В рамках экономического подхода реализуется так
называемая физическая концепция капитала, который рассматривается в широком
смысле как совокупность ресурсов, являющихся универсальным источником доходов
общества, и подразделяется на: личностный (неотчуждаемый от его носителя, т. е.
человека), частный и публичных союзов, включая государство. Каждый из двух
последних видов капитала, в свою очередь, можно подразделить на реальный и
финансовый. Реальный капитал воплощается в материально-вещественных благах как
факторах производства (здания, машины, транспортные средства, сырье и др.);
финансовый - в ценных бумагах и денежных средствах.
В соответствии с этой концепцией величина капитала
исчисляется как итог бухгалтерского баланса по активу.
В рамках бухгалтерского подхода, реализуемого
прежде всего на уровне хозяйствующего субъекта, капитал трактуется как интерес
собственников этого субъекта в его активах, т. е. термин «капитал» в этом
случае выступает синонимом чистых активов, а его величина рассчитывается как
разность между суммой активов субъекта и величиной его обязательств. Такое
представление известно как финансовая концепция капитала и выражается формально
следующей балансовой моделью:
A=E+L, (1)
где А - активы хозяйствующего
субъекта в стоимостной оценке;
Е - капитал (собственников); -
обязательства перед третьими лицами
Таким образом, капитал предприятия
по своей структуре состоит из собственного и привлеченного капитала. Состав
собственного капитала представлен в бухгалтерском балансе (форма №1) и отчете
об изменениях капитала (форма №3).
Общая сумма собственного капитала
организации отражается итогом первого раздела «Пассива» баланса. Структура
статей этого раздела позволяет четко идентифицировать первоначально
инвестированную его часть, т.е. сумму средств, вложенных собственниками
организации в процессе ее создания и накопленную его часть в процессе
осуществления эффективной хозяйственной деятельности.
Основу первой части собственного
капитала организации составляет его уставной капитал - зафиксированная в
учредительных документах общая стоимость активов, являющихся взносом
собственников (участников) в капитал организации (организации, для которых не
предусмотрена фиксированная сумма уставного капитала, отражают по этой позиции
сумму фактического взноса собственников в ее уставный фонд).
Вторую часть собственного капитала
представляют дополнительно вложенный капитал, резервный капитал,
нераспределенная прибыль и некоторые другие его виды - рис. 1.
Рисунок 1 - Состав собственного
капитала
Уставный капитал - часть
собственного капитала, образуемая за счет средств собственников организации
(акционеров, участников и пр.) для обеспечения ее уставной деятельности.
Уставный капитал определяет минимальный размер имущества предприятия,
гарантирующего интересы его кредиторов. Это сумма объединенных долей участников
для осуществления деятельности, созданного предприятия. Акционерный капитал и уставной
капитал в случае акционерных обществ - тождественны: это номинальная стоимость,
выпущенных простых и привилегированных акций. Уставной капитал акционерных
обществ может увеличиваться посредством эмиссии акций. Открытые акционерные
общества (ОАО) могут распространять свои акции по открытой подписке среди
неограниченного числа акционеров и по закрытой подписке - среди заранее
оговоренного числа акционеров. Закрытые акционерные общества (ЗАО)
распространяют акции только по закрытой подписке. Формирование уставного
капитала регламентируют положения Гражданского кодекса РФ с учетом
особенностей, присущих предприятиям различных организационно-правовых форм.
Добавочный капитал - включает
эмиссионный доход, прирост стоимости имущества в результате переоценки,
стоимость имущества, полученного организацией безвозмездно. Добавочный капитал
может быть использован на увеличение уставного капитала, погашение балансового
убытка за отчетный год, а также распределен между учредителями организации и на
другие цели. При этом порядок использования добавочного капитала определяется
собственниками, как правило, в соответствии с учредительными документами при
рассмотрении результатов отчетного года.
Резервный капитал - создается в
обязательном порядке за счет чистой прибыли и выступает в качестве страхового
фонда для возмещения убытков. По его величине судят о запасе финансовой
прочности организации. Отсутствие или недостаточная величина резервного
капитала рассматривается как элемент дополнительного риска при вложении капитала
в организацию. Главная задача резервного капитала состоит в покрытии возможных
убытков и снижении риска кредиторов в случае ухудшения экономической
конъюнктуры. Он выступает в качестве страхового фонда, создаваемого для
возмещения убытков и защиты интересов третьих лиц в случае недостаточности
прибыли у организации до того, как будет уменьшен уставный капитал. Минимальный
размер резервного капитала не должен быть менее 5% от уставного капитала. В
отличие от резервного капитала, формируемого и соответствии с требованиями
законодательства, резервные фонды, создаваемые добровольно, формируются
исключительно в порядке, установленном учредительными документами или учетной
политикой организации, независимо от организационно-правовой формы его
собственности.
Нераспределенная прибыль - часть
прибыли, полученная в предшествующем периоде и невыплаченная в виде дивидендов,
и предназначенная для реинвестирования в развитие производства. Обычно эти
средства используются на накопление имущества хозяйствующего субъекта или
пополнение его оборотных средств в виде свободных денежных сумм, то есть в
любой момент готовых к новому обороту. Нераспределенная прибыль может из года в
год увеличиваться, представляя рост собственного капитала на основе внутреннего
накопления.
В растущих, развивающихся
акционерных обществах нераспределенная прибыль с годами занимает ведущее место
среди составляющих собственного капитала.
Ее сумма зачастую в несколько раз
превышает размер уставного капитала.
1.2 Источники формирования
собственного капитала
В процессе управления собственным
капиталом источники его формирования классифицируются на внутренние и внешние
(см. рис. 2).
Рисунок 2 - Источники формирования
собственного капитала
К внутренним источникам относятся:
нераспределенная прибыль;
средства, присоединяемые к
собственному капиталу в результате переоценки основных средств;
амортизационные отчисления;
прочие внутренние финансовые
источники (резервные фонды).
Нераспределенная прибыль и может
быть представлена общей суммой или быть распределенной по фондам создаваемым
предприятием. В зависимости от целей формирования фондов различают:
Фонд социальной сферы - средства, за
счет которых осуществляется финансирование объектов социально-бытовой и
культурной сферы (принадлежащие предприятию жилье, детские сады, дворцы
культуры и т.д.).
Фонд потребления - средства, за счет
которых осуществляется дополнительное стимулирование работников предприятия
(премии, не включающиеся в себестоимость продукции, пособия, сверх норм,
обозначенных законодательством, ссуды, субсидии работникам и т.д.).
Фонд накопления - средства, за счет
которых осуществляется расширенное воспроизводство основных средств
предприятия. В отличие от первых двух фондов фонд накопления не уменьшается на
суммы, реально потраченные на приобретение новых основных средств за счет этого
фонда.
Переоценка основных фондов
предприятия производится для отражения рыночной стоимости основных средств в
целях более надежного представления информации об активах предприятия. Особенно
часто производится переоценка в ситуации высоких темпов инфляции в стране.
Увеличение стоимости основных средств увеличивает совокупные активы предприятия
соответственно должен быть увеличен пассив баланса за счет увеличения статьи «добавочный
капитал».
Амортизационные отчисления являются
внутренним источником формирования собственных денежных ресурсов, но величину
собственного капитала они не увеличивают, а только служат способом его
реинвестирования.
Резервный фонд общества предназначен
для покрытия его убытков, а также для погашения облигаций общества и выкупа
акций общества в случае отсутствия иных средств. Резервный фонд не может быть
использован для иных целей.
В состав внешних финансовых
источников включаются:
мобилизация дополнительного паевого
капитала (путем взносов средств учредителей в уставный или складочный капитал);
привлечение дополнительного
акционерного капитала (посредством повторной эмиссии и реализации акций). В
мировой практике известны разные способы выпуска акций. Коротко охарактеризуем
основные.
Наиболее распространенным методом
эмиссии является публичное предложение (Offer for Sale Method), т.е. размещение
акций через брокеров или инвестиционные институты, которые покупают весь
выпуск, а затем продают его по фиксированной цене физическим и юридическим
лицам. Именно этот метод применяется чаще всего, когда происходит приватизация
предприятия.
Продажа инвесторам по подписке
(Offer by Subscription Method, Public Issue by Prospectus Method) отличается от
предыдущего тем, что промежуточная продажа всего выпуска акций инвестиционному
институту не проводится. Компания, распространяющая свои акции, полагается на
собственные силы - готовит хороший проспект, проводит широкую рекламу и т. п.
Считается, что только процветающие компании с хорошей репутацией могут
позволить себе этот метод.
Тендерная продажа (Issue by Tender
Method): один или несколько инвестиционных институтов покупают у заемщика весь
выпуск по фиксированной цене, а затем устраивают торг (аукцион), по результатам
которого устанавливают оптимальную цену акции.
При небольших выпусках, акций
наиболее популярным является метод целевого размещения акций брокером у
небольшого числа своих клиентов (Placing Method). Снижаются расходы заемщика по
размещению акций (например, нет расходов, связанных с подпиской на акции). Как
правило, величина капитала, привлекаемого таким образом, ограничивается. Если
компания намерена выпустить акций на большую сумму, она должна пользоваться
другим методом;
безвозмездная финансовая помощь от
юридических лиц и государства (например, государственным унитарным
предприятиям, ФПГ и др.);
конверсия заемных средств в
собственные (например, обмен корпоративных облигаций на акции);
средства целевого финансирования,
поступившие на инвестиционные цели;
прочие внешние финансовые источники,
например, эмиссионный доход, образуемый при повторной продаже акций.
Эмиссионный доход - разница между
ценой продажи и номинальной стоимостью акций, выпущенных дополнительных акций.
Согласно Российскому законодательству (закон «Об акционерных обществах)
стоимость всех выпущенных обыкновенных акций, не зависимо от времени выпуска,
должна быть одинакова. Со временем, как правило, рыночная стоимость акций
преуспевающих компаний увеличивается и становится значительно больше
номинальной. Дополнительные эмиссии акций продаются при первичном размещении на
фондовом рынке по цене близкой к рыночной, в результате общество получает
эмиссионный доход, который отражается как увеличение собственного капитала.
В мировой практике известны разные
способы выпуска акций. Коротко охарактеризуем основные.
Наиболее распространенным методом
эмиссии является публичное предложение (Offer for Sale Method), т.е. размещение
акций через брокеров или инвестиционные институты, которые покупают весь выпуск,
а затем продают его по фиксированной цене физическим и юридическим лицам.
Именно этот метод применяется чаще всего, когда происходит приватизация
предприятия.
Продажа инвесторам по подписке
(Offer by Subscription Method, Public Issue by Prospectus Method) отличается от
предыдущего тем, что промежуточная продажа всего выпуска акций инвестиционному
институту не проводится. Компания, распространяющая свои акции, полагается на
собственные силы - готовит хороший проспект, проводит широкую рекламу и т. п. Считается,
что только процветающие компании с хорошей репутацией могут позволить себе этот
метод.
Тендерная продажа (Issue by Tender
Method): один или несколько инвестиционных институтов покупают у заемщика весь
выпуск по фиксированной цене, а затем устраивают торг (аукцион), по результатам
которого устанавливают оптимальную цену акции.
При небольших выпусках, акций
наиболее популярным является метод целевого размещения акций брокером у
небольшого числа своих клиентов (Placing Method). Снижаются расходы заемщика по
размещению акций (например, нет расходов, связанных с подпиской на акции). Как
правило, величина капитала, привлекаемого таким образом, ограничивается. Если
компания намерена выпустить акций на большую сумму, она должна пользоваться
другим методом.
1.3 Оценка стоимости собственного
капитала
Оценка стоимости собственного
капитала может осуществляться для различных целей. Так, согласно мнению И.Н.
Богатой, для руководителей, менеджеров получение данных о стоимости капитала
необходимо с точки зрения обеспечения эффективной деятельности организации и
принятия оптимальных управленческих решений.
Собственникам (акционерам,
дольщикам) интересны производные от стоимости собственного капитала, в части
получения дивидендов или приумножения собственности. Для потенциальных
инвесторов наибольший интерес представляют данные об обеспечении эффективной
реализации инвестиционного проекта, то есть прироста вложенных средств. Каждая
цель предусматривает выбор соответствующих методов определения стоимости,
использование каждого из которых обусловлено применением соответствующего
подхода к оценке.
Оценка стоимости собственного
капитала, будучи «альтернативной стоимостью», иначе говоря, доходом, который
ожидают получить инвесторы от альтернативных возможностей вложения капитала при
неизменной величине риска, дает более объективную картину стоимости предприятия
в отличие от оценки активов.
Высокая актуальность определения
стоимости собственного капитала состоит в том, что в процессе
финансово-хозяйственной деятельности любое коммерческое предприятие нуждается в
источниках средств с точки зрения решения задач тактического и стратегического
характера. Это в свою очередь требует привлечения того или иного источника
финансирования, которое всегда связано с определёнными затратами. В таких
условиях организация должна с достаточной степенью точности определить баланс
между возможностью самофинансирования и привлечением заемных средств.
Вся совокупность методов оценки
стоимости собственного капитала в соответствии с российскими стандартами оценки
сосредоточена в рамках трех подходов к определению стоимости капитала:
доходного, сравнительного и затратного.
На наш взгляд, для оценки стоимости
собственного капитала наиболее целесообразно применение доходного подхода, так
как в случае с затратным подходом используются данные бухгалтерского баланса, а
следовательно, можно получить стоимость собственного капитала лишь в первом
приближении, то есть значение величины капитала будет носить необъективный
характер. Кроме того, основным методом, используемым в данном подходе, является
метод ликвидационной стоимости, по объективным причинам не отвечающий
требованиям инвесторов, которые представляются главными «поставщиками капитала»
и, соответственно, основными пользователями информации о стоимости собственного
капитала.
Разработкой методов оценки капитала
в рамках доходного подхода занимались Э.С. Хендриксен, М.Ф. Ван Бреда, Ж.Ришар,
Ч.Т. Хорнгрен, Д.Блейк, А.Г. Грязнова и многие другие выдающиеся ученые и
исследователи. В основе данного подхода лежит понимание стоимости собственного
капитала как будущего дохода, способного приносить прибыль. Предполагается, что
все предприятия производят исключительно один вид продукции - деньги.
Считается, что стоимость капитала организации можно получить исходя из общей
величины чистой прибыли, так как независимо от пропорций ее распределения она
оказывает влияние на рыночную стоимость акций, доходы ее владельца, а
следовательно, и рыночную стоимость всего капитала.
Использование сравнительного подхода
в свою очередь ограничено отсутствием в достаточном количестве и качестве
статистической информации о стоимости собственного капитала и других
показателей на предприятиях-аналогах.
Для оценки стоимости капитала
используются следующие показатели:
рыночная капитализация компании;
стоимость акции;
прибыль на одну акцию;
коэффициенты покрытия и выплаты
дивидендов;
полная и текущая доходности акций и
др.
В отечественной и зарубежной
практике существует достаточное количество моделей и методов определения
стоимости собственного капитала, каждые из которых основываются на
информационной базе, имеющейся в распоряжении того, кто оценивает капитал.
В рамках доходного подхода можно
выделить также ряд методов оценки стоимости собственного капитала, основанных
на данных о дивидендных выплатах.
В основе дивидендных моделей лежит
идея, состоящая в том, что стоимость собственного капитала - это денежный
доход, который хотят получить держатели обыкновенных акций. Соответственно
определяться она должна исходя из прогнозного потока дивидендных платежей.
Следовательно, применимо к дивидендным методам можно преобразовать формулу
дисконтирования денежных потоков следующим образом:
, (2)
где
РV0 - приведенная стоимость собственного
капитала;- поток дивидендов в периоде j;- ставка дисконтирования.
Сложность оценки стоимости собственного капитала
через обыкновенные акции заключается в неопределенности доходов по ним в плане
величины, времени получения и темпах роста.
В случае если стоимость собственного капитала
необходимо определить в условиях постоянного роста дивидендов, может
применяться модель прогнозируемого роста дивидендов:
РV = [Dt /re] + g, (3)
где РV - стоимость собственного
капитала;- величина дивиденда в период t; - норма доходности на акцию (рыночная
цена акции);- прогнозируемый ежегодный темп роста дивидендов.
Помимо расчета стоимости капитала на
основе доходности обыкновенных акций, существует модель определения стоимости
привилегированных акций.
Данная модель является довольно
простой, так как по данному типу акций выплачивается фиксированная величина
дивидендов и сверх этого дивиденда, независимо от размера прибыли, ничего не
выплачивается.
Поэтому доходность по
привилегированным акциям (стоимость привилегированных акций) рассчитывается по
следующей формуле:
Vp = D / rp, (4)
где- стоимость привилегированных
акций;- объявленная величина дивидендных выплат;- требуемая норма доходности
(рыночная цена акции).
Однако, на наш взгляд, применение
данной модели для расчета стоимости собственного капитала не вполне корректно,
так как привилегированную акцию нельзя отнести со всей определенностью к
собственному капиталу. Кроме того, в силу фиксированной нормы доходности
привилегированной акции данная категория не подпадает под принцип денежного потока,
который положен в основу доходного подхода определения стоимости собственного
капитала, так как в данном случае не наблюдается какого-либо темпа роста
величины дивидендов.
Можно предположить, что для более
объективного определения стоимости собственного капитала необходимо объединить
методы расчета цены капитала через обыкновенные и привилегированные акции.
Кроме того, в трудах И.Н. Богатой и
А.Н. Хорина можно встретить еще один вариант расчета стоимости собственного
капитала. В данном случае цена собственного капитала определяется по формуле:
Ce = Ca * [PM / E] + ROE * [E'/E], (5)
при этом
а = Iпр * [Rпр / PM] + Iоб *
[Rоб'/PM],
где- стоимость собственного капитала
предприятия;- средняя цена акционерного капитала;- сумма уставного капитала и
эмиссионного дохода;пр, - рыночная цена привилегированных акций;об - рыночная
цена обыкновенных акций;пр - процентная ставка доходности по привилегированным
акциям;об - процентная ставка доходности по обыкновенным акциям;- величина
собственного капитала предприятия;' - прочие статьи собственного капитала
(резервный, добавочный капитал, нераспределенная прибыль);- показатель
рентабельности собственного капитала».
Ценность данного метода состоит в том, что он
объединил в своей основе показатели рыночной стоимости привилегированных,
обыкновенных акций и, что наиболее интересно, такой показатель эффективности
функционирования предприятия как рентабельность собственного капитала.
При оценке собственности большое значение имеют
такие показатели, как СЧА (стоимость чистых активов) и СЧП (стоимость чистых
пассивов).
Чистые активы, чистая стоимость имущества как
разница между активами предприятия и его обязательствами всегда вызывали
пристальное внимание бухгалтеров, юристов, собственников и партнеров
предприятий. Чистые активы являются основным показателем собственности и
исчисляются на основании инвентаризации, инвентарных счетов главной книги,
бухгалтерского баланса путем вычитания из совокупной стоимости активов
собственных обязательств институциональной единицы.
Стоимость чистых пассивов характеризует величину
активов, оставшуюся в распоряжении предприятия после погашения всех
обязательств, то есть величину собственности (либо обязательств собственников
перед кредиторами), приходящуюся на долю учредителей (участников) при условии
ликвидации предприятия. Чистые пассивы определяются по материалам нулевых,
органических, актуарных, статических, прогнозных, виртуальных, ликвидационных
балансовых отчетов.
Прогнозная дисконтированная стоимость и
виртуальная стоимость чистых пассивов используются для целей прогнозирования в
условиях частичной или полной неопределенности. Критерии финансовых решений
опираются на оценку будущей выгоды владельцев компании. Их главная цель -
увеличение богатства за счет роста рыночной стоимости инвестиции с учетом
определенного риска.
В результате изучения теоретических разработок в
области финансового анализа, оценки, финансового менеджмента, бухгалтерского
учета и практических данных, полученных как зарубежными, так и отечественными
исследователями, в качестве дополнения вышеуказанных индикаторов в целях
получения всесторонней и объективной информации о стоимости собственного
капитала, нами предложен аналитический индикатор тенденций изменений стоимости
собственного капитала - чистые пассивы на акцию. Данный индикатор входит в ряд
объединенных экономических показателей и представляет собой синтез стоимостного
и коэффициентного подхода к оценке стоимости собственного капитала. В основе
данного показателя лежит теория чистых пассивов, разработанная проф. И.Н.
Богатой. Основное уравнение теории формализуется следующим образом: денежные
средства = чистые пассивы.
Представленный показатель близок по своему
содержанию к денежному потоку на акцию. Значимость данного показателя вытекает
из теории максимизации благосостояния акционеров. Использование для оценки
деятельности компании индикаторов прибыли на акцию, денежного потока на акцию
или чистой стоимости активов на акцию не позволяет акционерам получить
релевантную информацию об эффективности функционирования предприятия. В свою
очередь показатель «чистые пассивы на акцию» в наибольшей степени позволяет
оценить отдачу собственного капитала через уровень доходности, а также прирост
собственности в стоимостном выражении и величину средств, подлежащих
распределению среди собственников. Другими словами, ценность данного показателя
состоит в том, что чистые пассивы «характеризуют величину обязательств перед
собственниками, с учетом будущих расходов, а также с учетом погашения всех
обязательств, связанных с использованием собственности». Использование
индикатора «чистые пассивы на акцию» не означает отказа от применения других
индикаторов, а также представленных стоимостных методов оценки стоимости
капитала. Здесь нужно иметь ясное представление о целях использования и границах
применения каждого из них, так как различные направления и задачи оценки
стоимости собственного капитала определяют применение того или иного показателя
или метода. Все приведенные показатели существенны, взаимосвязаны и дополняют
друг друга в комплексной оценке компаний. При этом следует отметить, что
применение системы производных балансовых отчетов значительно повысит их
аналитическую ценность для инвесторов, собственников, менеджеров.
.4 Показатели эффективности
управления собственным капиталом
Управление собственным капиталом базируется на
использовании современных методик анализа и включает в себя следующие важные
этапы:
) формирование собственных финансовых ресурсов
внутренних и внешних источников;
) оптимизация структуры капитала;
) оценка эффективности управления собственным
капиталом.
Управление собственным капиталом связано не
только с обеспечением эффективного использования уже накопленной его части, но
и с формированием собственных финансовых ресурсов, обеспечивающих предстоящее
развитие предприятия. Формирование собственных финансовых ресурсов
осуществляется по следующим этапам.
В первую очередь изучается соотношение внешних
(дополнительно привлеченного акционерного капитала или целевого финансирования)
и внутренних (нераспределенной прибыли и накопленной амортизации) источников
формирования собственных финансовых ресурсов, а также стоимость привлечения
собственного капитала за счет различных источников. В процессе их оценки
необходимо обратить внимание, что на объем внутренних источников, а именно на
нераспределенную прибыль, непосредственно оказывает влияние проводимая в
организации дивидендная политика. Она включает в себя следующие направления:
а) выбор типа дивидендной политики;
б) разработка механизма распределения прибыли в
соответствии с выбранной дивидендной политикой;
в) определение уровня дивидендных выплат на одну
акцию;
г) определение формы выплаты дивидендов.
На объем внешних источников формирования
собственных финансовых ресурсов оказывает влияние проводимая в организации
эмиссионная политика, которая включает в себя следующие задачи:
а) исследование возможностей эффективного
размещения предполагаемой эмиссии акций путем проведения всестороннего
предварительного анализа конъюнктуры фондового рынка и оценка инвестиционной
привлекательности своих акций;
б) определение целей эмиссии;
в) определение объема эмиссии;
г) определение номинала, вида и количества
эмитируемых акций;
д) оценка стоимости привлекаемого акционерного
капитала.
На втором этапе формирования собственных
финансовых ресурсов определяется их общая потребность, величина которой
охватывает необходимую сумму собственных средств, формируемых как за счет
внутренних, так и за счет внешних источников.
На третьем этапе оценивается стоимость
привлечения собственного капитала из различных источников.
Результаты оценки служат основой разработки
управленческих решений относительно выбора альтернативных источников
формирования собственных финансовых ресурсов.
Обеспечение максимального объема привлечения
собственных финансовых ресурсов за счет внутренних источников является
четвертым этапом. В первую очередь, следует предусмотреть возможности роста их
объема за счет различных резервов.
Пятый этап - обеспечение необходимого объема
привлечения собственных ресурсов из внешних источников в случае, если не
удалось сформировать необходимый уровень собственного капитала за счет
внутренних источников финансирования.
На заключительном этапе формирования собственных
финансовых ресурсов оптимизируется соотношение внутренних и внешних источников
формирования. Процесс оптимизации структуры собственного капитала основывается
на следующих условиях:
) обеспечении минимальной совокупной привлечения
собственных финансовых ресурсов;
) обеспечении сохранения управления первоначальными
его учредителями.
В процессе финансового управления капиталом
недостаточно оптимизировать структуру только собственного капитала, необходимо
сформировать показатель целевой структуры всего капитала.
Данный процесс оптимизации основан на трех
критериях.
. Критерий максимизации уровня рентабельности.
Анализ заключается в многовариантных расчетах с использованием финансового
левериджа.
. Критерий минимизации стоимости капитала.
Процесс оптимизации основан на предварительной оценке стоимости собственного и
заемного капитала при разных условиях его привлечения и осуществлении
многовариантных расчетов средневзвешенной стоимости капитала.
. Критерий минимизации финансовых рисков. Этот
метод оптимизации структуры капитала связан с процессом дифференцированного
выбора источников финансирования различных составных частей активов
предприятия, в зависимости от отношения собственников или менеджеров к
финансовым рискам.
Оценка эффективности управления собственным
капиталом проводится на основе анализа его рентабельности. Данный показатель
представляет собой соотношение величины чистой прибыли к среднегодовой
стоимости собственного капитала.
Рассмотрим такие методики анализа рентабельности
собственного капитала, как факторная модель, основанная на формуле «Du Pont», и
методика анализа рентабельности собственного капитала с использованием эффекта
финансового левериджа.
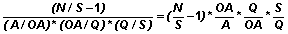
Формула «Du Pont» устанавливает взаимосвязь
между рентабельностью собственного капитала и тремя основными финансовыми
показателями предприятия: прибыльностью продаж, оборачиваемостью всех активов и
финансовым рычагом. Ее можно представить в следующем виде
. (6)
Углубить анализ рентабельности
собственного капитала можно за счет детального изучения причин изменения каждого
факторного показателя исследуемой модели.
Согласно методике анализа доходности
собственного капитала с использованием эффекта финансового левериджа
рентабельность может быть представлена в следующем виде
. (7)
Здесь доходность собственного
капитала выражается через влияние трех факторов: налоговый фактор (l - н), где
н - ставка налога на прибыль, экономическая рентабельность (Ркапитала) как
результат инвестиционных решений и эффект финансового рычага (ЭФР) как результат
принятия финансовых решений.
Данная методика отображает
возможность влияния на доходность собственного капитала и на размер чистой
прибыли через привлечение заемного капитала. Эффект финансового левериджа
(рычага), возникающий за счет разницы между рентабельностью активов и
стоимостью заемных средств, показывает уровень дополнительно генерируемой
прибыли на собственный капитал при различной доле использования заемных средств
. (8)
Приведенная формула расчета эффекта
финансового левериджа позволяет выделить в ней три основные составляющие:
) налоговый корректор финансового
левериджа (1 - н), который показывает, в какой степени проявляется эффект
финансового левериджа в связи с различным уровнем налогообложения прибыли;
) дифференциал финансового левериджа
(РАКТ-i), который характеризует разницу между коэффициентом валовой
рентабельности активов и средним размером процента за кредит;
) коэффициент финансового левериджа
(ЗК/СК), который характеризует сумму заемного капитала, используемого
предприятием, в расчете на единицу собственного капитала.
Коэффициент финансового левериджа
является тем рычагом, который вызывает положительный или отрицательный эффект,
получаемый за счет соответствующего его дифференциала. При положительном
значении дифференциала любой прирост коэффициента финансового левериджа будет
вызывать еще больший прирост коэффициента рентабельности собственного капитала,
а при отрицательном значении дифференциала прирост коэффициента финансового
левериджа будет приводить к еще большему темпу снижения коэффициента
рентабельности собственного капитала.
Следовательно, финансовый рычаг
становится главной причиной как повышения суммы и уровня прибыли на собственный
капитал, так и появления финансового риска потери этой прибыли.
Применение данных методик оценки
эффективности использования собственного капитала способствует пониманию причин
тех или иных изменений его рентабельности и принятию более взвешенных решений в
процессе управления собственным капиталом организации.
2. АНАЛИЗ ФИНАНСОВО-ХОЗЯЙСТВЕННОЙ
ДЕЯТЕЛЬНОСТИ ОАО «НОВОСИБИРСКГРАЖДАНСТРОЙ»
.1 Общая характеристика предприятия
ОАО «Новосибирскгражданстрой» зарегистрировано
по адресу Новосибирск, ул. Шорная, 21. Основным видом деятельности предприятия
является выполнение ремонтно-строительных работ. ОАО «Новосибирскгражданстрой»
предлагает услуги от проектирования до проведения полного комплекса отделочных
работ. Клиент предприятия может заказать не только строительство коттеджа, но и
сопутствующие услуги (строительство сауны или бани, ландшафтное проектирование,
озеленение и т.п.)
ОАО «Новосибирскгражданстрой» имеет большой опыт
производства строительных работ в Новсибирске, которые ведутся соблюдением
технологий и всех строительных норм (СНиПов и ГОСТов). Все
ремонтно-строительные услуги осуществляют высококвалифицированные специалисты,
чей опыт колеблется от 8-ми до 25-ти лет. Их профессионализм позволяет
выполнять сложные комплексные работы, качественно и в срок. Производство
строительных работ включает в себя общестроительные работы, реконструкцию и
ремонт квартир офисов, производственных помещений (отделочные работы,
евроремонт, создание и воплощение эксклюзивных интерьеров), строительство
коттеджей, а также их отделка.
ОАО «Новосибирскгражданстрой» предлагает широкий
спектр ремонтно-строительных услуг - от составления сметной документации до
выполнения чистовых отделочных работ «под ключ». Все работы, будь-то коттеджное
строительство или же общестроительные работы, проводятся с комплектацией
объектов высококачественными материалами по оптовым ценам.
Ремонтно-строительные услуги включают в себя:
Подготовительные работы;
Комплекс работ нулевого цикла;
Фасадные работы;
Кровельные работы (устройство жесткой и мягкой
кровли);
Внутренние общестроительные работы;
Монтаж инженерных систем.
Отделочные работы:
весь комплекс эскизных и проектных работ,
дизайн-проект интерьера квартиры, офиса, коттеджа. Авторский надзор.
высококачественный ремонт и любые виды
отделочных работ квартир, офисов, коттеджей - от косметического до элитного или
VIP евроремонта.
отделочные работы в виде реконструкции квартир,
офисов и любых других, в том числе нежилых помещений.
Все виды сантехнических и электромонтажных
работ.
Комплектацию мебелью и бытовой техникой.
При производстве строительных работ ОАО
«Новосибирскгражданстрой» руководствуется следующими основными принципами:
индивидуальный подход к клиенту;
неизменная цена после заключения договора;
фиксируемый срок сдачи объекта;
поэтапная оплата;
надежная договорная база;
использование экологически чистых и
высококачественных материалов;
гарантия и послегарантийное обслуживание на все
виды работ;
бесплатные консультации и выезд специалистов к
Заказчику на объект;
опыт лучших специалистов.
Результатом работы ОАО «Новосибирскгражданстрой»
является хорошая репутация компании и положительные рекомендации заказчиков.
ОАО «Новосибирскгражданстрой» - компания с
двухуровневой вертикальной структурой управления, которую компания успешно
использует с 2005 года. Во главе компании стоит генеральный директор,
избираемый собранием учредителей согласно Уставу компании. Генеральный директор
действует без доверенности от имени ОАО «Новосибирскгражданстрой», в том числе,
с учетом ограничений, предусмотренных законодательством Российской Федерации,
Уставом и решениями общего собрания учредителей ОАО «Новосибирскгражданстрой»:
обеспечивает выполнение планов деятельности
Общества, необходимых для решения его задач;
организует ведение бухгалтерского учета и
отчетности в ОАО «Новосибирскгражданстрой»;
распоряжается имуществом ОАО
«Новосибирскгражданстрой», совершает сделки от имени Общества, выдает
доверенности, открывает в банках, иных кредитных организациях (а также в
предусмотренных законом случаях - в организациях - профессиональных участниках
рынка ценных бумаг) расчетные и иные счета ОАО «Новосибирскгражданстрой»;
издает приказы, утверждает (принимает)
инструкции, локальные нормативные акты и иные внутренние документы Общества по
вопросам его компетенции, дает указания, обязательные для исполнения всеми работниками
ОАО «Новосибирскгражданстрой»;
утверждает Положения о филиалах и
представительствах ОАО «Новосибирскгражданстрой»;
утверждает организационную структуру ОАО
«Новосибирскгражданстрой», штатное расписание и должностные оклады работников
ОАО «Новосибирскгражданстрой»;
осуществляет в отношении работников Общества
права и обязанности работодателя, предусмотренные трудовым законодательством;
распределяет обязанности между заместителями
Генерального директора;
разрабатывает и утверждает (корректирует) целевые
значения ключевых показателей эффективности (КПЭ) для подразделений
(должностных лиц) ОАО «Новосибирскгражданстрой» и несет ответственность за их
выполнение;
Генеральному директору подчиняются заместитель
директора по строительству, который в свою очередь руководит отделом
материально-технического снабжения и имеет в прямом подчинении главного
инженера, осуществляющего руководство строительным процессом на предприятии.
Также генеральному директору подчиняется главный бухгалтер и начальник отдела
кадров.
Организационная структура ОАО
«Новосибирскгражданстрой» представлена на рис. Рисунок 3.
Из рисунка Рисунок 3 видно, что
структура управления ОАО «Новосибирскгражданстрой» - линейно-функциональная,
которая основана на тесном сочетании линейных и функциональных связей в
аппарате управления. Она обеспечивает такое разделение труда, при котором
линейные звенья принимают решения и управляют, а функциональные -
консультируют, информируют, координируют и планируют хозяйственную
деятельность. Руководитель функционального отдела является одновременно
линейным руководителем непосредственно подчиненных ему работников.
Деятельность каждого подразделения
регулируется Положением о подразделении. Положение о подразделении - это
локальный нормативный документ, устанавливающий статус, функции, права,
обязанности и ответственность структурных подразделений.
Рисунок 3 - Организационная
структура управления ОАО «Новосибирскгражданстрой»
Цель компании - максимизация прибыли
с ежегодным приростом в размере 35%. Для достижения поставленной цели компания
решает следующие стратегические задачи:
постоянное расширение не менее чем
на 1 новый крупный проект в месяц;
повышение узнаваемости компании
среди представителей непрофильного бизнес-сообщества - до 60%, среди
бизнес-сообщества сферы недвижимости - до 75%, среди бизнес-сообщества сферы
недвижимости коттеджного строительства - до 90%.
увеличение капитализации компании.
.2 Анализ финансового состояния
предприятия за 2011-2012 гг.
Динамика финансовых результатов ОАО
«Новосибирскгражданстрой» представлена на рис. 4.
Рисунок 4 - Финансовые результаты
ОАО «Новосибирскгражданстрой»
Согласно рис. Рисунок 4 на
предприятии в 2012 г. наблюдается снижение выручки и рост себестоимости, что
привело к снижению прибыли предприятия в 2012 г. по сравнению с 2008 г. в 2
раза. Отрицательной тенденцией является то, что темпы роста себестоимости
опережают темпы снижения выручки. Выявленная тенденция негативна и говорит о
снижении эффективности деятельности предприятия.
Снижение финансовых результатов
привело к ухудшению всех показателей рентабельности (табл.Таблица 1 и
рис.Рисунок 5).
Таблица 1 - Показатели
рентабельности ОАО «Новосибирскгражданстрой»
|
Наименование
показателя
|
2008,
декабрь
|
2011,
декабрь
|
2012,
декабрь
|
|
Общая
рентабельность, %
|
52,62%
|
37,56%
|
30,90%
|
|
Рентабельность
собственного капитала, %
|
|
20,91%
|
14,45%
|
|
Рентабельность
акционерного капитала, %
|
100487,88%
|
59033,33%
|
48493,94%
|
|
Рентабельность
оборотных активов, %
|
195,39%
|
103,47%
|
60,69%
|
|
Общая
рентабельность производственных фондов, %
|
-
|
24,24%
|
16,45%
|
|
Рентабельность
всех активов, %
|
30,72%
|
15,13%
|
10,11%
|
|
Рентабельность
финансовых вложений, %
|
0,00%
|
55,91%
|
6,83%
|
|
Рентабельность
основной деятельности
|
58,19%
|
42,64%
|
36,79%
|
|
Рентабельность
производства, %
|
139,16%
|
74,34%
|
58,20%
|
Рисунок 5 - Показатели
рентабельности ОАО «Новосибирскгражданстрой»
Согласно рис. 5 наблюдается снижение
всех показателей деятельности предприятия. Далее рассмотрим деловую активность
предприятия (табл. 2).
Таблица 2 - Показатели
оборачиваемости ОАО «Новосибирскгражданстрой»
|
Наименование
показателя
|
2011,
декабрь
|
2012,
декабрь
|
|
Отдача
активов, об
|
0,55
|
0,45
|
|
Отдача
основных средств (фондоотдача), об
|
0,66
|
0,54
|
|
Оборачиваемость
оборотных активов, об
|
3,63
|
2,86
|
|
Коэффициент
оборачиваемости запасов и затрат, об
|
14,23
|
15,08
|
|
Коэффициент
оборачиваемости текущих активов, об
|
3,63
|
2,86
|
|
Коэффициент
оборачиваемости дебиторской задолженности, об
|
6,89
|
5,15
|
|
Коэффициент
оборачиваемости кредиторской задолженности, об
|
11,95
|
12,71
|
|
Отдача
собственного капитала, об
|
0,70
|
0,58
|
Согласно табл. 2 снижение финансовых
результатов ОАО «Новосибирскгражданстрой» оказали отрицательное влияния на
деловую активность предприятия, т.к. основные показатели оборачиваемости
снизились. Исключение составляют коэффициент оборачиваемости запасов и затрат и
коэффициент оборачиваемости кредиторской задолженности ввиду сокращения их
абсолютной величины. Таким образом, в ОАО «Новосибирскгражданстрой» наблюдается
замедление оборачиваемости всех оборотных средств, что было вызвано снижением
эффективности сбытовой деятельности предприятия.
Таблица 3 - Структура баланса
предприятия
|
СТАТЬЯ
БАЛАНСА
|
Код
строки
|
2008,
декабрь
|
2011,
декабрь
|
2012,
декабрь
|
|
АКТИВ
|
|
|
|
|
|
I.
ВНЕОБОРОТНЫЕ АКТИВЫ
|
|
|
|
|
|
Основные
средства
|
120
|
82,0%
|
83,6%
|
81,9%
|
|
Незавершенное
строительство
|
130
|
2,3%
|
1,7%
|
1,4%
|
|
Итого
по разделу I
|
190
|
84,3%
|
85,4%
|
83,3%
|
|
II
ОБОРОТНЫЕ АКТИВЫ
|
|
|
|
|
|
Запасы
|
210
|
0,5%
|
3,6%
|
0,4%
|
|
Дебиторская
задолженность (платежи по которой ожидаются в течение 12 месяцев после
отчетной даты)
|
240
|
8,3%
|
7,7%
|
9,6%
|
|
Краткосрочные
финансовые вложения
|
250
|
0,9%
|
1,0%
|
5,6%
|
|
Денежные
средства
|
260
|
6,0%
|
2,1%
|
1,1%
|
|
Прочие
оборотные активы
|
270
|
0,1%
|
0,0%
|
|
Итого
по разделу П
|
290
|
15,7%
|
14,6%
|
16,7%
|
|
БАЛАНС
(сумма строк 190+290)
|
300
|
100,0%
|
100,0%
|
100,0%
|
|
ПАССИВ
|
|
|
|
|
|
III.
КАПИТАЛ И РЕЗЕРВЫ
|
|
|
|
|
|
Добавочный
капитал
|
420
|
29,7%
|
24,9%
|
20,2%
|
|
Нераспределенная
прибыль (непокрытый убыток)
|
470
|
47,7%
|
54,9%
|
54,8%
|
|
Итого
по разделу III
|
490
|
77,4%
|
79,8%
|
75,1%
|
|
IV.
ДОЛГОСРОЧНЫЕ ОБЯЗАТЕЛЬСТВА
|
|
|
|
|
|
Займы
и кредиты
|
510
|
14,8%
|
10,9%
|
14,4%
|
|
Итого
по разделу IV
|
590
|
14,8%
|
10,9%
|
14,4%
|
|
V.
КРАТКОСРОЧНЫЕ ОБЯЗАТЕЛЬСТВА
|
|
|
|
|
|
Займы
и кредиты
|
610
|
2,3%
|
5,4%
|
7,2%
|
|
Кредиторская
задолженность
|
620
|
5,5%
|
3,8%
|
3,3%
|
|
Итого
по разделу V
|
690
|
7,8%
|
9,3%
|
10,5%
|
|
БАЛАНС
(сумма строк 490+590+690)
|
700
|
100,0%
|
100,0%
|
100,0%
|
Абсолютные значения основных статей
баланса на рис. 6.
Рисунок 6 - Структура имущества ОАО
«Новосибирскгражданстрой»
Согласно табл. 3 и рис. 6 можно
сделать вывод о том, что активы ОАО «Новосибирскгражданстрой» в основном
представлены внеоборотными активами и их доля в валюте баланса сократилась с
84,3% в 2008 г. до 83,3% в 2012 г. Структура пассивов ОАО
«Новосибирскгражданстрой» за исследуемый период также существенно не
изменилась. В пассиве баланса преобладает собственный капитал, но его доля в
валюте баланса сократилась с 77,4% в 2008 г. до 75,1% в 2012 г. Данная
тенденция связана с тем, что в последнее время предприятие стремится
финансировать свою деятельность за счет привлечения долгосрочных заемных
средств.
Структура запасов предприятия
представлена на рис. 7.
Согласно рис. Рисунок 7 структура
запасов ОАО «Новосибирскгражданстрой» за исследуемый период изменилась. Если в
2008 году в запасах предприятия преобладали сырье и материалы, то в 2011 г. это
готовая продукция и товары для перепродажи, что говорит о снижении эффективности
сбытовой деятельности предприятия. В 2012 г. структура запасов предприятия
существенно изменилась - готовая продукция предприятия составляет 0%, а
основную доля в запасах занимают как и в 2008 г. сырье и материалы. Выявленная
тенденция указывает на рост сбытовой деятельности предприятия в 2012 г. или
значительного сокращения производства продукции.
Рисунок 7 - Структура запасов ОАО
«Новосибирскгражданстрой»
В структуре оборотных активов второй
по величине статьей является дебиторская задолженность - 9,6% в 2012 г.
Динамика дебиторской задолженности показана на рис. 8.
Рисунок 8 - Анализ состояния
дебиторской задолженности ОАО «Новосибирскгражданстрой»
Согласно рис. 8 объем дебиторской
задолженности ОАО «Новосибирскгражданстрой» вырос с 8916 тыс. руб., что
составляет 8,3% к валюте баланса до 15128 тыс.руб. или 9,6% в 2012 г. При этом
на фоне роста общего размера дебиторской задолженности растет и величина
просроченной дебиторской задолженности. Выявленная тенденция негативна и
требует необходимости повышения эффективности расчетов с дебиторами, т.к.
задолженность партнеров приводит к сокращению собственного капитала предприятия
и приводит к использованию кредитов для финансирования его деятельности.
Состояние кредиторской задолженности
показано на рис. 9.
Рисунок 9 - Состояние кредиторской
задолженности ОАО «Новосибирскгражданстрой»
Согласно рис. Рисунок 9 кредиторская
задолженность ОАО «Новосибирскгражданстрой» имеет тенденцию к росту. Весь объем
кредиторской задолженности является не просроченным. Можно сделать вывод, что
предприятие старается вовремя выполнять свои обязательства поддерживая тем
самым доверительные отношения со всеми своими партнерами, но рост дебиторской
задолженности мешает этому.
Проведем анализ ликвидности баланса
ОАО «Новосибирскгражданстрой» с помощью относительных показателей (табл.Таблица
4).
Таблица 4 - Коэффициенты ликвидности
ОАО «Новосибирскгражданстрой»
|
Наименование
коэффициента
|
Значение
коэффициента
|
|
2008,
декабрь
|
2011,
декабрь
|
2012,
декабрь
|
|
Коэффициент
абсолютной ликвидности
|
0,90
|
0,34
|
0,63
|
|
Коэффициент
промежуточной (быстрой) ликвидности
|
1,96
|
1,17
|
1,54
|
|
Коэффициент
текущей ликвидности
|
2,02
|
1,58
|
1,58
|
|
Коэффициент
покрытия оборотных средств собственными источниками формирования
|
0,51
|
0,37
|
0,37
|
|
Коэффициент
восстановления (утраты) платежеспособности
|
-
|
0,68
|
0,79
|
Данные таблицы Таблица 4 наглядно
представлены на рис. 10.
Рисунок 10 - Показатели ликвидности
баланса ОАО «Новосибирскгражданстрой»
Согласно табл. Таблица 4 и рис.
Рисунок 10 структура баланса ОАО «Новосибирскгражданстрой» на протяжении
исследуемого периода является неудовлетворительной. У предприятия не хватает
собственных средств для покрытия своих обязательств. Прирост собственных
средств помог бы исправить ситуацию для того чтобы предприятие смогло покрывать
долгосрочные и постоянные пассивы. Проведем анализ финансовой устойчивости ОАО
«Новосибирскгражданстрой» по абсолютным показателям.
Таблица 5 - Абсолютные показатели
финансовой устойчивости ОАО «Новосибирскгражданстрой»
|
Показатели
|
Абсолютные
величины (тыс.руб.)
|
|
2008,
декабрь
|
2011,
декабрь
|
2012,
декабрь
|
|
1.
Источники собственных средств
|
83590,0
|
102774,0
|
118777,0
|
|
2.
Внеоборотные активы
|
90991,0
|
109947,0
|
131884,0
|
|
3.
Источники собственных оборотных средств для формирования запасов и затрат
|
-7401,0
|
-7173,0
|
-13107,0
|
|
4.
Долгосрочные кредиты и займы
|
15972,0
|
14058,0
|
22827,0
|
|
5.
Источники собственных средств, скорректированные на величину долгосрочных
заемных средств
|
8571,0
|
6885,0
|
9720,0
|
|
6.
Краткосрочные кредитные и заемные средства
|
2460,0
|
7000,0
|
11420,0
|
|
7.
Общая величина источников средств с учетом долгосрочных и краткосрочных
заемных средств
|
11031,0
|
13885,0
|
21140,0
|
|
8.
Величина запасов и затрат, обращающихся в активе баланса
|
533,0
|
4706,0
|
710,0
|
|
9.
Излишек источников собственных оборотных средств
|
-7934,0
|
-11879,0
|
-13817,0
|
|
10.
Излишек источников собственных средств и долгосрочных заемных источников
|
8038,0
|
2179,0
|
9010,0
|
|
11.
Излишек общей величины всех источников для формирования запасов и затрат
|
10498,0
|
9179,0
|
20430,0
|
|
12.1.
З-х комплексный показатель (S) финансовой ситуации
|
0
|
0
|
0
|
|
12.2.
|
1
|
1
|
1
|
|
12.3.
|
1
|
1
|
1
|
|
финансовая
устойчивость предприятия
|
|
|
|
|
|
Нормальная
финансовая устойчивость
|
Нормальная
финансовая устойчивость
|
Нормальная
финансовая устойчивость
|
Согласно табл. 5 на протяжении всего
исследуемого периода финансовое состояние ОАО «Новосибирскгражданстрой» было
устойчивым.
Рассмотрим относительные показатели
финансовой устойчивости ОАО «Новосибирскгражданстрой» (табл. 6).
Таблица 6 - Относительные показатели
финансовой устойчивости ОАО «Новосибирскгражданстрой»
|
Наименование
финансового коэффициента
|
Значение
коэффициента
|
|
2008,
декабрь
|
2011,
декабрь
|
2012,
декабрь
|
|
Коэффициент
автономии
|
0,77
|
0,80
|
0,75
|
|
Коэффициент
отношения заемных и собственных средств (финансовый рычаг)
|
0,29
|
0,25
|
0,33
|
|
Коэффициент
соотношения мобильных и иммобилизованных средств.
|
0,19
|
0,17
|
0,20
|
|
Коэффициент
отношения собственных и заемных средств
|
3,43
|
3,95
|
3,01
|
|
Коэффициент
маневренности
|
-0,07
|
-0,06
|
-0,09
|
|
Коэффициент
обеспеченности запасов и затрат собственными средствами
|
16,08
|
1,46
|
13,69
|
|
Коэффициент
имущества производственного назначения
|
0,85
|
0,89
|
0,84
|
|
Коэффициент
долгосрочно привлеченных заемных средств
|
0,16
|
0,12
|
0,16
|
|
Коэффициент
краткосрочной задолженности
|
10,09%
|
26,92%
|
28,93%
|
|
Коэффициент
кредиторской задолженности
|
24,38%
|
19,01%
|
13,24%
|
На протяжении исследуемого периода в
ОАО «Новосибирскгражданстрой» не соответствовали норме коэффициенты указывающие
на эффективность использование собственных средств - коэффициент маневренности
и коэффициент обеспеченности запасов и затрат собственными средствами. В 2012
г. снижение размера собственного капитала привело к еще большему ухудшению
значения указанных показателей. Общую оценку финансового состояния предприятия
проведем с помощью рейтинговой экспресс-оценки, табл. 7.
Таблица 7 - Рейтинговая экспресс
оценка финансового состояния предприятия
|
Наименование
показателя
|
Значение
коэффициента
|
|
2008,
декабрь
|
2011,
декабрь
|
2012,
декабрь
|
|
1.
Коэффициент обеспеченности
|
0,51
|
0,37
|
0,37
|
|
2.
Коэффициент текущей ликвидности
|
2,02
|
1,58
|
1,58
|
|
3.
Коэффициент интенсивности
|
Х
|
0,56
|
0,46
|
|
4.
Коэффициент рентабельности реализованной продукции.
|
53,25%
|
36,00%
|
30,21%
|
|
5.
Коэффициент прибыльности
|
Х
|
0,27
|
0,18
|
|
6.
Рейтинговое число
|
Х
|
1,36
|
1,25
|
Согласно табл. Таблица 7 рейтинговое
число за исследуемый период снизилось с 1,36 до 1,25, следовательно, финансовое
состояние предприятия ухудшается. Выявленная тенденция наметилась ввиду того,
что предприятие переносит приоритет в финансировании своей деятельности на
заемные средства.
Рейтинговая оценка
кредитоспособности ОАО «Новосибирскгражданстрой» приведена в таблице 8.
Таблица 8 - Оценка
кредитоспособности ООО «Метркис Европа»
|
РЕЙТИНГОВАЯ
ОЦЕНКА
|
2008,
декабрь
|
2011,
декабрь
|
2012,
декабрь
|
|
Класс
коэффициента абсолютной ликвидности
|
1
|
1
|
1
|
|
Класс
коэффициента (быстрой) ликвидности
|
1
|
1
|
1
|
|
Класс
коэффициента текущей ликвидности
|
1
|
2
|
2
|
|
Класс
коэффициента автономии
|
1
|
1
|
1
|
|
Рейтинг
предприятия (баллов)
|
100
|
130
|
130
|
|
Класс
предприятия
|
1
|
1
|
1
|
Согласно таблице Таблица 8 класс
предприятия на протяжении исследуемого периода соответствовал 1, т.е.
предприятие являлось кредитоспособным. Предоставление кредитов клиентам первого
класса связанно для банка с минимальным риском. Первоклассным по
кредитоспособности заемщикам коммерческие банки могут открывать кредитную
линию, выдавать в разовом порядке бланковые (без обеспечения) ссуды с
установлением более низкой процентной ставки, чем для остальных заемщиков.
Таким образом, снижение использования собственных источников финансирования в
деятельности ОАО «Новосибирскгражданстрой» приводит к некоторому ухудшению его
финансового состояния. Если выявленная тенденция сохранится, то предприятие уже
в ближайшей перспективе сможет быстро утратить свою платежеспособность и
вывести финансовое состояние предприятия на неустойчивый уровень.
2.3 Расчёт эффекта финансового
левериджа и сопряжённого эффекта финансового и операционного рычагов
Финансовый леверидж характеризует
использование предприятием заемных средств, которое влияет на изменение
коэффициента рентабельности собственного капитала. По-другому можно сказать,
что финансовый леверидж (в некоторых источниках встречается и название
«финансовый рычаг») представляет собой объективный фактор, возникающий с
появлением заемных средств в объеме используемого предприятием капитала,
позволяющий ему получить дополнительную прибыль на собственный капитал.
Рассмотрим механизм формирования эффекта финансового левериджа в ОАО
«Новосибирскгражданстрой» (табл. 9).
Таблица 9 - Расчет эффекта
финансового рычага для ОАО «Новосибирскгражданстрой» в 2008 - 2012 гг. (тыс.
руб.)
|
Показатели
|
2008
г.
|
2011
г.
|
2012
г.
|
Изменение
|
|
|
|
|
2011
г. к 2008 г.
|
2012
г. к 2011 г.
|
|
1.
Собственный капитал
|
83590
|
102774
|
118777
|
19184
|
16003
|
|
2.
Заемный капитал
|
24373
|
26001
|
39474
|
1628
|
13473
|
|
3.
Проценты за пользование заемными средствами
|
2413
|
26001
|
39474
|
23588
|
13473
|
|
4.
Чистая прибыль
|
33161
|
19481
|
16003
|
-13680
|
-3478
|
|
5.
Операционная прибыль с учетом налогообложения = чистая прибыль + проценты
уплаченные *(1-Сн)
|
35091
|
40282
|
47582
|
5190
|
7300
|
|
6.
Рентабельность инвестиций, % (стр.5/(стр.1+ стр.2)х100%
|
33
|
31
|
30
|
-1
|
-1
|
|
7.
Прибыль, полученная от использования заемного капитала (стр.6 х стр.2) / 100%
|
7922
|
8133
|
11869
|
211
|
3736
|
|
8.
Наращивание (сокращение) рентабельности собственного капитала за счет
привлечения заемных средств (стр.7 - стр.3 х(1-Сн))/стр.1х 100%
|
7
|
-12
|
-17
|
-19
|
-4
|
|
9.
Рентабельность собственного капитала с учетом использования заемного капитала
(стр.6 + стр.8)
|
40
|
13
|
-21
|
-5
|
|
10.
Проверочный расчет рентабельности собственного капитала (стр.4 / стр.1 х
100%)
|
40
|
19
|
13
|
-21
|
-5
|
|
11.
Эффект привлечения заемных средств (стр.9 - стр. 6)
|
7
|
-12
|
-17
|
-19
|
-4
|
Согласно таблице Таблица 9 в ОАО
«Новосибирскгражданстрой» эффект финансового рычага на протяжении всего
исследуемого периода имел значение выше нуля только в 2008 г., в 2011-2012 гг.
значение ЭФР отрицательно и сократилось с -12 до - 17, что говорит об отрицательном
воздействии финансового рычага на рентабельность собственного капитала
(рис.11).
Рисунок 11 - Динамика показателя ЭФР
в ОАО «Новосибирскгражданстрой»в 2008-2012 гг.
Однако чем больше заемных средств
использует ОАО «Новосибирскгражданстрой» тем ниже значение эффекта финансового
рычага (в 2011 г. - (-13), а в 2012 г. - (-20)), т.е. политика управления
заемными средствами на предприятии не совершенна (рис. 12).
Рисунок 12 - Зависимость динамики
ЭФР от динамики привлечения заемного капитала в ОАО «Новосибирскгражданстрой»в
2008-2012 гг.
Далее проведем оценку силы влияния
операционного рычага. Расчет силы воздействия оперативного рычага представлен в
таблице 10.
Таблица 10 - Расчет силы воздействия
оперативного рычага в 2008-2012 гг.
|
Показатели
|
2008
г.
|
2011
г.
|
2012
г.
|
Изменение
|
|
|
|
|
2011
к 2008
|
2012
к 2011
|
|
1
|
2
|
3
|
4
|
5
|
6
|
|
1.
Выручка, тыс. руб.
|
83217
|
65008
|
64614
|
-18209
|
-394
|
|
2.
Средняя цена реализации единицы продукции, тыс. руб.
|
78
|
81
|
79
|
3
|
-2
|
|
3.
Объем продаж, шт. (стр. 1 / стр. 2)
|
1066,88
|
802,57
|
817,90
|
-264,32
|
15,33
|
|
4.
Переменные затраты, тыс. руб.
|
23155,06
|
25114,18
|
27691,35
|
1959,12
|
2577,17
|
|
5.
Переменные затраты на единицу продукции, тыс. руб. (стр. 4 / стр. 3)
|
21,70
|
31,29
|
33,86
|
9,59
|
2,56
|
|
6.
Постоянные затраты, тыс. руб.
|
11639,94
|
12172,82
|
13152,65
|
532,88
|
979,83
|
|
7.
Валовая маржа (стр. 1 - стр. 4), тыс. руб.
|
60061,94
|
39893,82
|
36922,65
|
-20168,1
|
-2971,17
|
|
8.
Коэффициент валовой маржи (стр. 7 / стр. 1*100%), %
|
72,18
|
61,37
|
57,14
|
-10,8075
|
-4,22413
|
|
9.
Порог рентабельности (стр. 6 / стр. 8 *100%), тыс. руб.
|
16127,37
|
19835,92
|
23016,91
|
3708,55
|
3180,993
|
|
10.
Порог рентабельности (стр. 9 / стр. 2), шт.
|
206,76
|
244,89
|
291,35
|
38,12675
|
46,46543
|
|
11.
Запас финансовой прочности (стр. 1 - стр. 9), тыс. руб.
|
67089,63
|
45172,08
|
41597,09
|
-21917,6
|
-3574,99
|
|
12.
Запас финансовой прочности (стр. 11 / стр. 9*100%), %
|
416,00
|
227,73
|
180,72
|
-188,27
|
-47,0047
|
|
13.
Прибыль (стр. 8* стр. 11 / 100%), тыс. руб.
|
48422
|
27721
|
23770
|
-20701
|
-3951
|
|
14.
Сила воздействия операционного рычага (стр. 7 / стр. 13)
|
1,24
|
1,44
|
1,55
|
0,199
|
0,114
|
Таким образом, расчет показывает, что по мере
удаления выручки от порогового значения сила воздействия операционного рычага
растет, а запас прочности сокращается. Это связано с относительным уменьшением
постоянных издержек в рассматриваемом диапазоне. На анализируемом предприятии
резервы увеличения прибыли существенны. В 2012 г. увеличение объема реализации
на 1% влечет увеличение прибыли на 1,55%. Такая ситуация характерна для предприятия
с высоким уровнем постоянных издержек (уровень постоянных издержек на
предприятии в 2012 г. составляет 32,2%). Высокий уровень постоянных издержек
как показали расчеты не оказывает негативного влияния на рентабельность продаж
и запас безубыточности, т.к. их величины находятся на удовлетворительном
уровне.
.4 Анализ средневзвешенной цены
капитала
Далее необходимо провести анализ
средневзвешенной цены капитала ОАО «Новосибирскгражданстрой», который позволит
установить рациональность вложений средств в исследуемое предприятие. То есть
на основании данного анализа можно будет установить инвестиционную
привлекательность предприятия. Результаты анализа средневзвешенной цены
капитала будут необходимы предприятию в том случае, если в качестве источников
финансирования дальнейшего развития предприятия руководство выберет внешнее
финансирование.
Рассчитаем средневзвешенную цену капитала ОАО
«Новосибирскгражданстрой» по формуле (5). Проводим расчет промежуточных
показателей:
. Безрисковая ставка доходности (R) представляет
собой ставку по срочным депозитам (Ron), скорректированную на уровень инфляции
(I), которая по данным Росстата с мая 2012 г. по май 2011 г. составила 9,7%:
= (Ron - I) / (1 + I) = (5.0 - 9.7) / (1 + 0.1)
= -4.28%
Уровень номинальной безрисковой ставки оказался
ниже уровня инфляции. В условиях современной России значение номинальной
безрисковой ставки, основанной на доходности правительственных облигаций, не
может использоваться в методе дисконтированных денежных потоков. Однако в
расчете средневзвешенной стоимости капитала отрицательное значение безрисковой
ставки допустимо.
. Рыночная премия за риск составляет Rr = 4.16%.
Отсюда определим среднюю доходность акций на фондовом рынке:
= Rr - R = 4.16 - (-4.28) = 8.44%
Таким образом, вложение средств в акции
российских предприятий внутри страны очень рискованно, так как премия за риск
превышает доходность акций на фондовом рынке.
. Оценка риска вложений в предприятие
(коэффициента «бета» для фирм, чьи акции не обращаются на фондовом рынке)
определяем на основе методики рейтинговой оценки финансового состояния
заемщика.
Во-первых необходимо произвести
оценку результатов расчетов шести коэффициентов, которая заключается в
присвоении заемщику категории по каждому из этих показателей на основе
сравнения полученных значений с установленными достаточными используя расчет по
методике определения кредитоспособности заемщика на основе методологических
разработок Сбербанка РФ (таблица 11).
Таблица 11 - Анализ
кредитоспособности ОАО «Новосибирскгражданстрой» по методике Сбербанка России в
2012 гг.
|
Показатель
|
Вес
показателя
|
2012
г.
|
|
|
факт.
значение
|
категория
|
взвешенное
значение ст.2*ст.3
|
|
Коэффициент
абсолютной ликвидности
|
0,05
|
0,632486
|
1
|
0,03
|
|
Коэффициент
быстрой ликвидности
|
0,1
|
1,541239
|
1
|
0,15
|
|
Коэффициент
текущей ликвидности
|
0,4
|
1,583889
|
1
|
0,63
|
|
Коэффициент
наличия собственных средств
|
0,2
|
0,84
|
1
|
0,17
|
|
Рентабельность
продаж
|
0,15
|
36,79%
|
2
|
0,06
|
|
Рентабельность
деятельности предприятия
|
0,1
|
0,58197
|
1
|
0,06
|
|
Итого
|
1
|
|
|
1,10
|
|
Категория
|
|
|
|
|
Согласно таблице Таблица 11
исследуемое предприятие относится к заемщикам третьего класса (общий балл
превышает 1,1). Таким образом, риск вложения средств в предприятие выше
среднерыночного, исходя из суммы набранных баллов можно присвоить показателю
«бета» значение равное bt=0.35.
Полученное расчетное значение
показателя «бета» необходимо скорректировать на коэффициент, характеризующий
амплитуду колебаний общей доходности акций компаний данной отрасли по сравнению
с общей доходностью фондового рынка в целом. Исходя из статистических данных
амплитуда колебаний общей доходности акций компаний отрасли «сама отрасль» по
сравнению с общей доходностью фондового рынка в целом за 2012 год составило
0,6469. Итоговое значение показателя «бета» по ОАО «Новосибирскгражданстрой» в
2012 году составляет 0,35.
. Оценим риск вложений средств в
предприятие. Для этого рассчитаем стоимость реализации активов организации, а
также текущие обязательства по кредитам и расчетам (табл. 12).
Таблица 12 - Оценка риска вложений
средств в ОАО «Новосибирскгражданстрой»
|
Наименование
показателя
|
Код
строки
|
Балансовое
значение
|
Переоцененное
значение
|
|
Запасы
|
210
|
690
|
688
|
|
НДС
по приобретенным ценностям
|
220
|
20
|
20
|
|
Дебиторская
задолженность
|
230+240
|
15128
|
12101
|
|
Краткосрочные
финансовые вложения
|
250
|
8851
|
8851
|
|
Денежные
средства
|
260
|
1678
|
1678
|
|
Прочие
оборотные активы
|
270
|
0
|
0
|
|
ИТОГО
оборотные активы
|
|
26367
|
23338
|
|
Краткосрочные
кредиты и займы
|
610
|
11420
|
11420
|
|
Кредиторская
задолженность
|
620
|
5227
|
5227
|
|
Задолженность
перед участниками по выплате доходов
|
630
|
0
|
0
|
|
Прочие
краткосрочные обязательства
|
660
|
0
|
0
|
|
ИТОГО
текущие обязательства по кредитам и расчетам
|
|
16647
|
16647
|
|
Скорректированный
коэффициент текущей ликвидности
|
|
|
1
|
Таким образом, на основе проведенного анализа
можно сделать вывод о том, что риск вложения средств в ОАО «Новосибирскгражданстрой»
можно оценить как средний, и присвоить ему значение x=0.7
. Премия за закрытость компании составляет 75%
от безрисковой ставки и равна y=-3.21 %.
. Рассчитаем стоимость собственного капитала
предприятия по формуле:
PCK =
R+bt*(Rm-R)+x+y+f (9)
PCK =
-4.28+0.35*(8.44-4.28)+0.7-3.21+2.4 = 0.06%
Стоимость собственного капитала ОАО
«Новосибирскгражданстрой» меньше, чем средняя доходность акций на фондовом
рынке, то есть владельцам данного предприятия выгоднее заниматься финансовыми
инвестициями, а не реальными.
. Следующим шагом определим
стоимость заемного капитала предприятия:
ЗK = r*(1-T) = 8.25*(1-0.20) = 6.6%,
где r - ставка дисконтирования,
равная ставке рефинансирования ЦБ РФ (8,25% на 3 мая 2011 г.); Т - ставка
налога на прибыль (20%).
Стоимость заемного капитала
значительно превышает стоимость собственного капитала. То есть привлечение
кредитов в данное предприятие не является рациональным шагом. В данном случае
предприятие для развития своей деятельности может использовать собственные
источники финансирования или привлечь спонсоров.
. Средневзвешенная стоимость
капитала:
= PЗK*dЗK+PCK*dCK =
6.6*0.11+0.06*0.89 = 0,78%.
Значение показателя WACC довольно
низкое, что может свидетельствовать о повышении стоимости данного предприятия
во времени.
Таким образом, проведенный анализ
деятельности ОАО «Новосибирскгражданстрой» позволил выделить как положительные,
так и отрицательные стороны.
К положительным тенденциям можно
отнести: устойчивое финансовое состояние и ликвидность баланса предприятия.
Отрицательными моментами является: снижение выручки от реализации и прибыли
предприятия, снижение рентабельности деятельности предприятия, снижение
рыночной активности предприятия, рост финансовой зависимости предприятия,
состояние предприятия зависит от случайных денежных поступлений, средства
предприятия способны покрывать только краткосрочные обязательства.
Также необходимо отметить, что чем
больше предприятие использует заемных средств тем меньше его положительный
эффект на рентабельность капитала и на безубыточность деятельности. Ввиду этого
руководству ОАО «Новосибирскгражданстрой» необходимо повысить эффективность
политики управления собственными средствами и проводить выбор источников
финансирования своей деятельности с точки максимального эффекта от их
использования на финансовое положение предприятия.
3. НАПРАВЛЕНИЯ УЛУЧШЕНИЯ
ФОРМИРОВАНИЯ И ИСПОЛЬЗОВАНИЯ КАПИТАЛА В ОАО «НОВОСИБИРСКГРАЖДАНСТРОЙ»
Для повышения эффективности
управления собственным капиталом ОАО «Новосибирскгражданстрой» должно проводить
экономический анализ планирования своей деятельности на основе модели Дюпона.
Модель Дюпона положила начало развитию многофакторных моделей для оценки
финансового состояния и финансовых результатов как компаний, так и отдельных
бизнесов. Из наиболее известных можно назвать модель «Z-score» Эдварда Олтмана,
профессора финансов Школы бизнеса Стерна Нью-Йоркского университета. Эта модель
была разработана в 1968 году для диагностики вероятности банкротства
американских компаний на основе величины результирующего показателя от пяти
входных финансовых коэффициентов.
В 1992 году появилась «карта
сбалансированных показателей» (Balanced Scorecard, BSC) профессора Гарвардской
школы бизнеса Роберта Каплана и бизнес-консультанта Дэйвида Нортона. Явившись
мощным инструментом стратегического управления компанией, который было бы
неверно свести к методике работы многофакторной модели, тем не менее эта
система внесла серьезный вклад в развитие финансового анализа. Начиная с
середины 1990-х годов бурное развитие и применение в управлении результатами, в
особенности в США и Германии, получают различные виды сбалансированных карт,
включающих в себя не только финансовые, но и нефинансовые показатели.
Результаты недавних исследований Института управленческих бухгалтеров США (IMA)
отмечают сегодня резкий рост популярности сбалансированных карт в ЮАР, Южной и
Центральной Америке. На сегодняшний день применяемые на практике модели оценки
и управления результатами включают в себя самые разнообразные методы, системы и
подходы - от сложных моделей с агрегированием различных техник количественного
и качественного анализа, до механистического набора нескольких дирекциональных
индикаторов в одной панели управления. Заметим, что попытки классифицировать
все известные на сегодня модели пока не приносят результата.
Рассматривая модель Дюпона, можно
сказать, что на рентабельность активов организации оказывают влияние
рентабельность продаж, оборачиваемость собственного капитала и доля
собственного капитала в общей массе активов организации.
А теперь рассмотрим следующую модель
рентабельности активов:
=
; (10)
где
- доля выручки, приходящейся на 1
руб. полной себестоимости продукции,
- доля оборотных активов в
формировании активов,
- доля запасов в формировании
оборотных активов,
- оборачиваемость запасов.
Первый фактор этой модели говорит о
ценовой политике организации, он показывает ту базовую наценку, которая
заложена непосредственно в цене реализуемой продукции.
Второй и третий факторы показывают
структуру активов и оборотных активов, оптимальная величина которых дает возможность
экономить оборотный капитал.
Четвертый фактор обусловлен
величиной выпуска и реализации продукции и говорит о эффективности
использования производственных запасов, физически он выражает количество
оборотов, которое запасы совершают за отчетный год.
Предлагаемая модель позволит ОАО
«Новосибирскгражданстрой» рассчитать несколько вариантов развития бизнеса (в
зависимости от выбранной стратегии, цены, кредитной политики и пр. факторов),
оценить последствия принимаемого решения (рентабельность, потребность в заемных
средствах, прибыль) и выбрать наиболее оптимальный сценарий. Схематично
использование модели Дюпона для планирования деятельности предприятия приведена
на рис. 13.
Рисунок 13 - Модель Дюпона
Приведем пример планирования
деятельности предприятия на основе использования модели Дюпона. Допустим ОАО
«Новосибирскгражданстрой» планирует выпуск новых вагонов-домов на 4 человека с
удобствами. Затраты на производство новых вагонов-домов приведены в таблице
Таблица 13.
Таким образом, переменные издержки
для производства одного вагона-дома составляют 450 тыс.руб. Далее рассчитаем
постоянные затраты, необходимые для организации производства вагона-дома (табл.
14).
Таблица 13 - Калькуляция переменных
затрат на производство вагонов-домов на 4 чел. с удобствами
|
Статья
|
Затраты
на одно изделие, тыс.руб.
|
|
1.
Материалы и комплектующие
|
318
|
|
2.
Заработная плата
|
102
|
|
3.
Социальные отчисления от ФОТ
|
31
|
|
Итого
переменные издержки
|
450
|
Таблица 14 - Постоянные затраты на
производство вагонов-домов на 4 чел. с удобствами
|
Статья
|
Затраты,
тыс.руб.
|
|
1.
Топливо и энергия
|
150
|
|
2.
Связь
|
142
|
|
3.
Транспорт
|
408
|
|
4.
Реклама
|
92
|
|
5.
Амортизация
|
104
|
|
6.
Общепроизводственные издержки
|
220
|
|
Итого
постоянные издержки
|
1115
|
Чем больше объем продаж, тем меньше размер
постоянных затрат, относимых на себестоимость производства одного вагона-дома,
т.е. чем выше у предприятия будет объем продаж тем ниже предприятие сможет
установить цену на продукцию. Однако объем продаж не может быть ниже точки
безубыточности.
Проведем анализ безубыточности производства.
Точку безубыточности находим из условия, что выручка от реализации равна
суммарным издержкам производства:
,
где К - количество продукции; Цр -
цена реализации продукции; Ипост - постоянные затраты, Ипер - переменные
затраты на единицу продукции.
Откуда
Руководство ОАО
«Новосибирскгражданстрой» на этапе организации производства провело
исследование рынка и установило, что у него есть возможность продать около 100
вагонов-домов на 4 чел. с удобствами по цене 467 тыс.руб., 50 единиц продукции
по цене 496 тыс.руб. и 10 единиц продукции по цене 525 тыс.руб. Проведем анализ
безубыточности производства для трех сценариев продаж (табл. 15).
Таблица 15 - Расчет безубыточности
производства
|
1
сценарий
|
2
сценарий
|
3
сценарий
|
|
Объем
продаж, шт.
|
100
|
50
|
10
|
|
Цена
за единицу продукции
|
467
|
496
|
525
|
|
Объем
продаж, руб.
|
46
700
|
24
800
|
5
250
|
|
Переменные
затраты
|
450
|
450
|
450
|
|
Постоянные
затраты
|
11,15
|
22,31
|
111,55
|
|
Себестоимость
|
461
|
472
|
562
|
|
Норма
прибыли 20%
|
92
|
94
|
112
|
|
Итого:
|
554
|
567
|
674
|
|
НДС,
18%
|
84
|
86
|
103
|
|
Цена
реализации
|
467
|
496
|
525
|
|
К
|
66
|
24
|
15
|
Таблица 16 - Планируемые
финансово-экономические показатели ЗАО «Техпромимпэкс» при реализации
вагонов-домов на 4 чел. с удобствами
|
Финансово-экономические
показатели
|
1
сценарий
|
2
сценарий
|
3
сценарий
|
|
Объем
продаж, шт.
|
1
|
100
|
50
|
10
|
|
Цена
за единицу продукции, тыс.руб.
|
2
|
467
|
496
|
525
|
|
Объем
продаж, тыс.руб.
|
3=1x2
|
46
700
|
24
800
|
5
250
|
|
Переменные
затраты на единицу продукции, тыс.руб.
|
4
|
350
|
350
|
350
|
|
Переменные
затраты - всего, тыс.руб.
|
5=1x4
|
35
000
|
17
500
|
3
500
|
|
Постоянные
затраты, тыс.руб.
|
6
|
112
|
112
|
112
|
|
Затраты
- всего, тыс.руб.
|
7=5+6
|
35
112
|
17
612
|
3
612
|
|
Прибыль,
тыс.руб.
|
8=3-7
|
11
588
|
7
188
|
1
638
|
|
Рентабельность
продаж, %
|
9=8/7
|
33%
|
41%
|
45%
|
|
Рентабельность
активов, %
|
10=8/13
|
67%
|
17%
|
12%
|
|
Оборачиваемость
активов, раз
|
11=5/13
|
2,69
|
0,58
|
0,38
|
|
Рентабельность
собственного капитала, %
|
Затраты
на одно изделие, тыс.руб.
|
2%
|
1%
|
0%
|
Согласно расчетам проведенным в
табл. Таблица 15 для всех сценариев обеспечивается безубыточность производства.
Далее с помощью модели Дюпона оценим эффективность развития бизнеса для трех
сценариев.
Рассчитанные данные приведены в
табл. Таблица 16.
Согласно рассчитанным данным, чем
ниже цена реализации вагонов-домов и соответственно выше спрос на них тем выше
получаемая прибыль предприятия (рис. 14).
Рисунок 14 - Прогнозируемые
финансовые результаты ОАО «Новосибирскгражданстрой», тыс.руб.
При этом для первого сценария, когда
предприятие получает наибольшую прибыль характерен самый высокий уровень
рентабельности активов (67%) и самый низкий уровень рентабельности продаж
(33%). В случае с третьим сценарием рентабельность активов снижается до
минимального уровня (12%), а рентабельность продаж вырастает до 45% (рис.
Рисунок 15). Таким образом, ОАО «Новосибирскгражданстрой» планируя производство
продукции, используя модель Дюпона сможет выбирать, что он ждет от планируемого
бизнеса, либо это улучшение финансовых показателей, либо улучшение
оборачиваемости активов.
Рисунок 15 - Показатели
рентабельности ОАО «Новосибирскгражданстрой»
Так для первого сценария развития
бизнеса оборачиваемость активов составит 2,69 раз, а для 3-го сценария - 0,38
раз (рис. 16).
Рисунок 16 - Оборачиваемость активов
ОАО «Новосибирскгражданстрой»
Также с помощью модели Дюпона ОАО
«Новосибирскгражданстрой» сможет повысить эффективность управления своим
капиталом. Как показали расчеты, рентабельность собственного капитала
предприятия максимальна в случае первого сценария (рис. 17).
Рисунок 17 - Рентабельность
собственного капитала ОАО «Новосибирскгражданстрой»
Проведенные расчеты показали, что
для организации производства ОАО «Новосибирскгражданстрой» потребуется
приобрести производственное оборудование на общую сумму 4 977 тыс.руб. Запасы
предприятия будут расти в зависимости от объема продаж, т.к. на предприятии
норма запасов составляет 20% от месячного объема производства (рис. 18).
Дебиторская задолженность также
будет зависеть от развития бизнеса. Так например, в случае с первым сценарием
предприятие будет продавать продукцию по ценам ниже рыночных и в данном случае
не предполагается предоставление коммерческого кредитам покупателям. В случае
со вторым сценарием развития, когда цены буду на уровне аналогичных конкурентам
для стимулирования объемов продаж предполагаются следующие объемы продаж:
предоплата 70% и оплата остатка в 30% с рассрочкой на месяц. в таком случае
образуется дебиторская задолженность в размере 30% от объема продаж.
Рисунок 18 - Запасы ОАО
«Новосибирскгражданстрой»
При развитии 3-го сценария, когда цены на
продукцию буду выше рыночных предприятие будет вынуждено сделать условия продаж
еще более привлекательными: предоплата 50% и оставшаяся сумма в течении месяца,
т.е. дебиторская задолженность составит 50% от объема продаж (рис. 19).
Рисунок 19 - Дебиторская
задолженность
У предприятия на конец 2011 г.
имеется нераспределенная прибыль в размере 491 млн. руб. из которой 2% идет в
фонд развития бизнеса, т.е. 9,8 млн.руб. Ввиду этого финансирование проекта
будет проводится за счет собственных средств. Учитывая вышесказанное определим
финансовый рычаг для каждого сценария (см. табл. 17, рис. 20).
собственный капитал
финансовый леверидж
Таблица 17 - Анализ финансовой
деятельности при организации производства вагонов-домов на 4 чел. с удобствами
|
Баланс
|
Формула
|
1
сценарий
|
2
сценарий
|
3
сценарий
|
|
Активы,
тыс.руб.
|
13=14+15+16+17
|
17
343
|
42
662
|
13
759
|
|
Основные
фонды, тыс.руб.
|
14
|
4
977
|
4
977
|
4
977
|
|
Дебиторская
задолженность, тыс.руб.
|
15
|
0
|
32240
|
7875
|
|
Запасы,
тыс.руб.
|
16
|
778
|
413
|
88
|
|
Касса,
расчетный счет и КФВ, тыс.руб.
|
17
|
11
588
|
5
032
|
819
|
|
Пассивы,
тыс.руб.
|
18=13
|
17
343
|
42
662
|
13
759
|
|
Собственные
средства, тыс.руб.
|
19
|
9
835
|
9
835
|
9
835
|
|
Заемные
средства (расчет необходимой суммы), тыс.руб.
|
20=13-19
|
7
508
|
32
827
|
3
924
|
|
Финансовый
рычаг
|
21=18/19
|
1,8
|
4,3
|
1,4
|
|
Финансовый
рычаг (рекомендуемое значение)
|
2,5
|
2,5
|
2,5
|
Рисунок 20 - Финансовый рычаг
Согласно рис. 20 эффект финансового
рычага масимален при развитии бизнеса по сценарию №2. Таким образом, если для
ОАО «Новосибирскгражданстрой» важным аспектом планирования деятельности является
наращивание эффекта финансового рычага, то для развития бизнеса необходимо
выбрать данный сценарий.
Проведенные расчеты показали, что
использование модели Дюпона позволит предприятию планировать свой бизнес
согласно установленным целям:
. Если необходимо увеличить
оборачиваемость активов предприятия, то это сценарий номер 1 - большой объем
продаж по низкой цене.
. Если необходимо увеличить
ренатебльность продаж, то это сценарий номер 3 - небольшой объем продаж при
максимально возможной цене, но с наращиванием уровня дебитосркой задолженности.
. Если предприятию важно обеспечить
выской уровень эффекта от вложенных средств, то необходимо развиваться по
сценарию номер 2 - средний уровень продаж по ценам, аналогичным ценам
конкурентов, но с предсотавлением покупателям небольшого коммерчесокго кредита.
Использование модели Дюпона в
деятельности ОАО «Новосибирскгражданстрой» позволит предприятию решить
следующие вопросы:
. Измерять результативность по
определенным ключевым показателям эффективности за отчетный период.
. Делать это одним агрегированным
показателем.
. Позволит сравнивать между собой
как частные, так и агрегированные показатели, как между дилерами, так и со
средними значениями по региону и с целевыми (эталонными) значениями.
. Анализировать динамику
показателей.
. Сигнализировать об улучшении или
ухудшении частных и агрегированных показателей, то есть выполнять
дирекциональную функцию.
. Решать «проблему
однонаправленности» входных показателей.
. Служить инструментом мотивации для
высшего руководства компаний.
У ОАО «Новосибирскгражданстрой» есть
большой резерв по наращиванию собственного капитала за счет повышения
эффективности управления дебиторской задолженностью. В связи с этим решение
проблемы взыскания платежей с дебиторов являются одними из необходимых условий
повышения эффективности функционирования предприятий и способом адаптации
последних к изменяющимся условиям внешней среды.
Бесспорным является тот факт, что
большое количество предприятий, находящихся в кризисном положении, могут избежать
банкротства, взыскав долги недобросовестных дебиторов и договорившись с
кредиторами об изменении условий погашения собственной задолженности.
Недостаточное внимание к управлению структурой дебиторской и кредиторской
задолженностей, как правило, приводит вполне благополучное предприятие к
банкротству, поэтому реструктуризацию задолженности целесообразно рассматривать
как способ финансового оздоровления предприятия.
Реструктуризацию задолженности
целесообразно рассматривать как процесс, направленный на максимизацию стоимости
собственного капитала предприятия посредством совершенствования управления
структурой дебиторской задолженностей. С учетом содержания и принципов политики
финансового оздоровления предприятия определяются цели и задачи реструктуризации
его задолженности. Среди целей данного процесса необходимо выделить
стратегическую и тактическую. Стратегической целью реструктуризации
задолженности становится рост стоимости бизнеса за счет ускорения
оборачиваемости дебиторской задолженности (чему способствует ужесточение
кредитной политики); тактической целью является обеспечение достаточным объемом
финансовых ресурсов текущей деятельности предприятия.
Таким образом, основными задачами
реструктуризации задолженности предприятия являются следующие:
)анализ дебиторской задолженности по
каждому контрагенту, краткосрочных и долгосрочных обязательств предприятия,
показателей эффективности управления его задолженностью, что позволит выявить
тренды возникновения и погашения задолженности;
)разработка и обоснование
мероприятий, направленных на повышение эффективности использования
задолженности предприятия на всех стадиях его финансового цикла.
Подобное разделение целей и задач
реструктуризации задолженности позволяет учесть тесную связь политики
финансового оздоровления с процессом управления стоимостью предприятия. Одним
из основных способов финансового оздоровления предприятия является реализация
методов предотвращения неоправданного роста его дебиторской задолженности,
обеспечения возврата долгов и снижения потерь при их невозврате. Для этого
необходимо:
продавать долги дебиторов банку,
осуществляющему факторинговые операции;
гасить задолженность путем зачета,
новации, отступного, то есть за счет предоставления встречного однородного
требования;
периодически пересматривать
предельную сумму отпуска товаров (услуг) в долг и избегать дебиторов с высоким
риском неоплаты;
при продаже большого количества
товаров немедленно выставлять счета покупателям;
определять срок просроченных
платежей на счетах дебиторов;
обменивать дебиторскую задолженность
на акции или доли участия в уставном капитале предприятия-должника с целью
усиления своего влияния в его бизнесе.
Как правило, для принятия
управленческих решений в отношении осуществления перечисленных операций
необходима оценка рыночной стоимости дебиторской задолженности как актива
предприятия. Более того, при оценке стоимости предприятия затратным подходом,
который является наиболее распространенным в российской оценочной практике,
дебиторская задолженность существенно влияет на формирование его рыночной
стоимости. Таким образом, оценка рыночной стоимости дебиторской задолженности
как одного из активов бизнеса приобретает особое значение. Однако она имеет
существенные особенности, выделяющие ее среди процессов оценки других
материальных активов предприятия и проявляющиеся в следующем:
необходимо учитывать «юридический
статус» задолженности по конкретному контрагенту;
оценке должны подвергаться как сама
величина долга, так и право требования этой задолженности дебитором;
необходимость анализа юридической
обоснованности прав на дебиторскую задолженность, графика ее погашения и риска
ее невозврата;
возможное изменение «положения»
должника, например, факт возбуждения дела в арбитражном суде о его
несостоятельности.
К наиболее распространенным
вариантам реструктуризации задолженности предприятий в рамках обеспечения их
финансовой устойчивости относятся изменение условий погашения обязательств и
изменение формы обязательств (конверсия в другой вид обязательств):
) изменение условий возврата долга
(сроков, начисляемой пени и других штрафных санкций);
) конверсия в принципиально иной вид
задолженностей, например, обращение долга на имущество должника (получил
широкое распространение при решении проблемы недоимки бюджету), перевод долга в
ценные бумаги, обмен дебиторской задолженности на акции или доли участия в
уставном капитале предприятия-должника.
В противном случае, если расчет
коэффициентов чувствительности показывает, что наибольшее значение имеют другие
факторы (ставка дисконта, длительность финансового и производственного циклов),
целесообразно метод реструктуризации задолженности использовать как
вспомогательный метод финансового оздоровления предприятия и большее внимание
уделять достижению тактических целей.
Рисунок 21 - Алгоритм выбора
направления политики финансового оздоровления предприятия
Выбор приоритетного объекта и
направления реструктуризации осуществляется аналогично реализации
стратегической цели, поскольку всегда можно определить максимальное значение
среди четырех показателей: период оборота и денежного потока, дебиторской и
кредиторской задолженностей. Однако важность процесса реструктуризации в данном
случае будет ниже, чем при реализации ее стратегической цели.
Алгоритм формирования политики
финансового оздоровления предприятия на основе оценки чувствительности
стоимости предприятия к вышеуказанным факторам представлен на рисунке 21.
После определения приоритетного
объекта и варианта реструктуризации задолженности предприятия целесообразно
предложить соответствующие мероприятия по воздействию на дебиторскую
задолженность. Совокупность данных мероприятий формализована в виде матрицы
финансовых решений, которая представляет собой два блока, позволяющих
согласовать стратегическую важность политики реструктуризации задолженности с
ее вариантами - изменением условий платежа или изменением формы обязательств
(рис. 22).
Рисунок 22 - Матрица финансовых
решений в области реструктуризации задолженности предприятия
Предложенная матрица финансовых
решений позволяет выбрать и обосновать приоритетные мероприятия финансового
оздоровления предприятия исходя. Разделение всех мероприятий на два блока носит
условный характер. Например, влияние на величину денежного потока предполагает
изменение не только формы обязательства, но и времени притока и оттока денежных
средств, то есть периода оборачиваемости.
На практике, как правило, не
представляется возможным комплексно осуществлять мероприятия по финансовому
оздоровлению в силу различных объективных и субъективных причин. Поэтому
предложенные критерии эффективности реструктуризации задолженности, алгоритм
выбора направления политики финансового оздоровления, матрица финансовых
решений представляют собой простые, но эффективные инструменты принятия
финансовых решений для менеджера при осуществлении финансового оздоровления
предприятия и повышении эффективности управления дебиторской задолженностью.
В целях моделирования процесса
управления дебиторской задолженностью ОАО «Новосибирскгражданстрой» разработана
имитационная модель управления дебиторской задолженностью для решения
практических задач управления дебиторской задолженностью предприятия. Цели
построения предлагаемой модели заключаются в экспериментальной обработке
существующих методов управления задолженностью, проверке гипотезы о реальном
изменении дебиторской задолженности предприятия, оперативном управлении
производственными процессами, выработке управленческих решений в реальном
времени.
Процесс управления дебиторской
задолженностью можно разбить на пять этапов.
. Этап предварительных расчетов и
анализа дебиторской задолженности.
. Этап выявления целей и задач
управления дебиторской задолженностью.
. Этап определения метода управления
дебиторской задолженностью.
. Этап корректировки.
. Этап контроля и оценки достижения
цели.
Эти этапы управления учтены при
построении модели и отражены в структуре.
Первым этапом управления дебиторской
задолженностью является анализ задолженности и прогнозирование ее возврата.
Производится сверка расчетов с контрагентами, устраняются разногласия, и
выявляется фактическая величина задолженности. Также на данном этапе возможно
спрогнозировать изменение прибыли в результате уменьшения дебиторской
задолженности. В общем виде зависимость между прибылью и дебиторской
задолженностью имеет вид, представленный на рисунке 23.
Рисунок 23 - Зависимость прибыли от
величины дебиторской задолженности
При низком значении дебиторской
задолженности деятельность не поддерживается должным образом, контрагенты
отказываются покупать товар у данной организации без отсрочки платежа,
соответственно прибыль низкая (уровень дебиторской задолженности 1). При
некотором оптимальном значении дебиторской задолженности (уровень 2) прибыль
становится максимальной и любое отклонение от него в принципе не желательно.
Неоправданное увеличение дебиторской задолженности (уровень 3) влечет за собой
отвлечение средств из оборота и соответственно снижение прибыли. Таким образом,
политика управления дебиторской задолженностью должна обеспечить поиск
компромисса между эффективностью работы и риском неоправданного увеличение
дебиторской задолженности.
Последующее ранжирование дебиторов
по дате образования и величине позволит наметить очередность проводимой работы
с дебиторами. Кроме того проводятся экспертные опросы. Ранжирование дебиторов
возможно произвести в соответствии с таблицей
Таблица 18, где дебитор 1 имеет
максимальную задолженность, дебитор 2 меньшую и далее в убывающей
последовательности. Таблица 17 построена на примере трех основных
неплательщиков ОАО «Новосибирскгражданстрой».
Таблица 18 - Ранжирования дебиторов
по сумме задолженности
|
Наименование
|
Сальдо
на начало года
|
Обороты
по дебету
|
Обороты
по кредиту
|
Сальдо
на отчетную дату
|
Дата
образования
|
Количество
дней просрочки платежа
|
|
Дебитор
1
|
4525
|
2519
|
-
|
2006
|
11.11.2011
|
19
|
|
Дебитор
2
|
9864
|
7396
|
1548
|
920
|
30.10.2011
|
31
|
|
Дебитор
3
|
3265
|
2459
|
-
|
806
|
05.06.2011
|
175
|
Способ ранжирования позволит выявить дебиторов,
задолженность которых может считаться просроченной. Также, приведенный способ
ранжирования дебиторской задолженности позволяет отразить динамику
задолженности за отчетный период, выявить задолженность, по которой происходит
неоправданный рост. Данный способ удобен для применения в крупных организациях,
так как позволяет выявлять крупнейших дебиторов и проводить комплекс
мероприятий по погашению их задолженности.
Также можно проранжировать
контрагентов по значению кредитных рейтингов, в соответствии с таблицей 19.
Таблица 19 - Значение кредитных
рейтингов
|
Платежная
дисциплина
|
Объем
поставок
|
|
Просрочка
оплаты, дней
|
Рейтинг
|
Сумма
реализации за год, руб.
|
Рейтинг
|
|
Больше
90
|
E
|
Больше
1 млн.
|
E
|
|
Меньше
90
|
D
|
Больше
7 млн.
|
D
|
|
Меньше
60
|
C
|
Больше
10 млн.
|
C
|
|
Меньше
30
|
B
|
Больше
50 млн.
|
B
|
|
0
|
A
|
Больше
100 млн.
|
A
|
В качестве двух наиболее важных характеристик
кредитоспособности покупателя выделяют платежную дисциплину и объем продаж (в
денежном выражении) в предшествующие периоды. Данные характеристики
контрагентов наиболее полно отражают складывающие деловые отношения, позволяют
определить финансовую дисциплинированность партнера, его важность с точки
зрения объема поставок продукции.
Ранжирование основных клиентов ОАО
«Новосибирскгражданстрой» согласно предложенных критериев представлено в табл.
20.
Таблица 20 - Присвоение кредитных
рейтингов основным неплательщикам ОАО «Новосибирскгражданстрой»
|
Наименование
|
Платежная
дисциплина
|
Объем
поставок
|
|
Дебитор
1
|
В
|
Е
|
|
Дебитор
2
|
С
|
D
|
|
Дебитор
3
|
Е
|
-
|
Сначала клиенты ранжируются по платежной
дисциплине. Получившие рейтинг «D» или «Е» к ранжированию по объему продаж не
допускаются, договора с ними заключаются на условиях, рассматриваемых
руководством организации индивидуально для каждого контрагента. Для компаний,
получивших рейтинги «А», «В» и «С», рекомендованы следующие условия работы:
рейтинг «С»: работа с такой компанией только при
условии наличия залога;
рейтинг «В»: обязательное описание в договорах
системы штрафов и пеней и их строгое исполнение;
рейтинг «А»: предоставление отсрочки платежа без
использования санкций со стороны компании.
Таким образом, дебитор №3 по объему продаж уже
не ранжируется и договора с ними должны заключаются на условиях,
рассматриваемых руководством ОАО «Новосибирскгражданстрой» индивидуально исходя
из прошлого опыта работы с данным контрагентом и установленных доверительных
отношений.
Дебиторы 1 и 2 были проранжированы по критерию
«объем поставок». По результатам данного ранжирования данные дебиторы не
являются проблемными и работа с ними может быть продолжена по используемой
схеме.
Подобное ранжирование удобно в повседневной
деятельности для принятия оперативных решений.
Кроме приведенных способов на предприятии должны
использоваться иные способы ранжирования дебиторской задолженности, например,
по срокам ее возникновения. Классификация предусматривает следующую группировку
(в днях): 0-30; 31-60; 61-90; 91-120; свыше 120. Преимуществом данного способа
ранжирования является то, что он позволяет выявлять дебиторов, задолженность
которых просрочена или будет считаться просроченной в ближайшем будущем.
С целью недопущения роста просроченной
дебиторской задолженности в договоры с контрагентами целесообразно включать
пункты, предусматривающие возложение на должника дополнительных обременений в
виде штрафных санкций в случае нарушения условий договоров (просрочка платежа,
невыполнение работ в срок по перечисленному авансу).
В настоящее время наиболее применимыми являются
следующие виды неустоек: договорная, штрафная, альтернативная. Договорная
неустойка устанавливается в тексте договора соглашением сторон. При штрафной
неустойке кредитор вправе требовать возмещения в полном объеме причиненных
убытков и, сверх того, уплаты неустойки. Наконец, альтернативная неустойка
предусматривает право потерпевшей стороны взыскать либо неустойку, либо убытки.
На этапе применения штрафов и
неустоек для предприятия имеет большое значение разработка шкалы штрафных
санкций, регламентирующей возможность их применения в каждом конкретном случае.
Например, предлагается установить определенный размер штрафов для организаций,
проранжированных в соответствии со значением кредитных рейтингов. Величина
штрафов для каждой группы будет зависеть от количества дней, на которую
производится задержка платежа, в соответствии со следующей шкалой штрафных санкций,
приведенной в таблице 21. Приведенная шкала штрафных санкций устанавливает
фиксированную величину штрафов для каждого контрагента в зависимости от
просрочки платежа.
Таблица 21 - Шкала штрафных санкций,
%
|
0
дн.
|
0-30
дн.
|
30-60
дн.
|
60-90
дн.
|
Свыше
90 дн.
|
|
A
|
0
|
0
|
0
|
0
|
0
|
|
B
|
0
|
0,01
|
0,02
|
0,03
|
0,04
|
|
C
|
0
|
0,02
|
0,03
|
0,04
|
0,05
|
|
D
|
0
|
0,03
|
0,04
|
0,05
|
0,06
|
|
E
|
индивидуально
|
индивидуально
|
индивидуально
|
индивидуально
|
индивидуально
|
Неустойка начисляется в процентах от
просроченной суммы за каждый день просрочки платежа (таким образом, по условиям
договора, если контрагент, отнесенный к группе «C», производит задержку платежа
на срок от 30 до 60 дней, он обязан уплатить неустойку в сумме 0,03% от
просроченной суммы). После проведения ранжирования дебиторской задолженности по
дате образования и величине целесообразно в соответствии методикой начисления
штрафных санкций произвести начисление штрафов на задолженность контрагентов по
тем договорам, по которым произведена задержка выполнения работ или оплаты.
Согласно таблице Таблица 21 на
основных дебиторов компании может быть наложен штраф: дебитор 1 (ранг «В», 0-30
дней просрочки) - 0,01%, дебитор 2 (ранг «С», 31-60 дней просрочки) - 0,02%,
дебитор 3 (ранг «Е», свыше 90 дней просрочки) - индивидуально.
В целях оптимизации применения
штрафов на предприятии предлагается методика применения штрафных санкций,
регламентирующая порядок шагов, при работе с контрагентами.
Шаг 1. На этапе заключения договора
с контрагентом предприятие проводит комплекс мероприятий, необходимых для установления
надежности и платежеспособности потенциального контрагента.
Шаг 2. На основании данных о
надежности контрагента предприятию присваивается кредитный рейтинг от А до Е
(рейтинг А присваивается наиболее надежным, Е - наименее надежным).
Шаг 3. В зависимости от присвоенного
контрагенту кредитного рейтинга, в текст договора включается пункт о применении
штрафных санкций в случае задержки выполнения работ, поставки товаров. Размер
штрафов определяется в соответствии со шкалой штрафных санкций, приведенной в
таблице Таблица 21. Таким образом, например, для организации с кредитным
рейтингом С, в тексте договора предусматриваются штрафы при задержке платежа
или выполнении работ, поставки товаров следующим образом:
при задержке от 0 до 30 дней - 0,02%
от просроченной суммы за каждый день просрочки;
при задержке от 30 до 60 дней -
0,03% от просроченной суммы за каждый день просрочки;
при задержке от 60 до 90 дней -
0,04% от просроченной суммы за каждый день просрочки;
при задержке свыше 90 дней - 0,05%
от просроченной суммы за каждый день просрочки.
Шаг 4. В процессе текущей работы с
контрагентами постоянно проводится мониторинг существующей дебиторской
задолженности на предмет нарушения сроков исполнения обязательств.
Шаг 5. В случае выявления случаев
задержки платежа, выполнения работ или поставки товаров на просроченную сумму
производится расчет штрафных санкций. Так, например, в случае если контрагент с
кредитным рейтингом С производит задержку поставки предоплаченного товара,
суммой 1000000 рублей на срок 30 дней, размер штрафов рассчитывается следующим
образом:
* 0,02% * 30 = 6.000 рублей.
Шаг 6. Производится уведомление
контрагента о начислении штрафных санкций. В случае дальнейшего нарушения
условий договора по истечении 60 дней производится пересчет штрафов, в
соответствии со шкалой штрафных санкций. Так, например, в случае если тот же
контрагент с кредитным рейтингом С производит задержку поставки предоплаченного
товара, суммой 1000000 рублей на срок 60 дней, размер штрафов пересчитывается
следующим образом:
* 0,03% * 60 = 18000 рублей.
Шаг 7. Производится повторное
уведомление контрагента о начислении штрафных санкций. В случае дальнейшего
нарушения условий договора по истечении 90 дней производится пересчет штрафов,
в соответствии со шкалой штрафных санкций. Так, например, в случае если тот же
контрагент с кредитным рейтингом С производит задержку поставки предоплаченного
товара, суммой 1000000 рублей на срок 90 дней, размер штрафов пересчитывается
следующим образом:
* 0,04% * 90 = 36000 рублей.
Шаг 8. Контрагенту направляется
претензия, проводится комплекс мероприятий, направленных на предарбитражное
урегулирование ситуации. В случае отказа дебитора погасить образовавшуюся
задолженность направляется иск в Арбитражный суд о взыскании суммы основного
долга и начисленных штрафных санкций.
Таблица 22 - Регламент управления
дебиторской задолженностью организации
|
Этапы
управления дебиторской задолженностью
|
Процедура
|
Ответственное
лицо (подразделение)
|
|
Критический
срок оплаты не наступил
|
Заключение
договора
|
Менеджер
|
|
Контроль
отгрузки
|
Коммерческий
директор
|
|
Выставление
счета
|
Финансовая
служба
|
|
|
Уведомление
о сумме и расчетных сроках погашения дебиторской задолженности
|
|
|
За
2-3 дня до наступления критического срока оплаты - звонок с напоминанием
|
|
|
Просрочка
до 7 дней
|
При
неоплате в срок - звонок с выяснением причин, формирование графика платежей
|
Менеджер
|
|
Прекращение
поставок
|
Коммерческий
директор
|
|
Направление
предупредительного письма о начислении штрафа
|
Финансовая
служба
|
|
Просрочка
от 7 до 30 дней
|
Начисление
штрафа
|
Финансовая
служба
|
|
Предарбитражное
предупреждение
|
Юридический
отдел
|
|
Ежедневные
звонки с напоминанием
|
Менеджер
|
|
Переговоры
с ответственными лицами
|
|
|
Просрочка
от 30 до 90 дней
|
Командировка
ответственного менеджера, принятие всех возможных мер по досудебному
взысканию
|
Менеджер
|
|
Официальная
претензия (заказным письмом)
|
Юридический
отдел
|
|
Просрочка
более 90 дне
|
Подача
в арбитражный суд
|
Юридический
отдел
|
Кроме вышеуказанных штрафных санкций приказом
руководителя предприятия целесообразно ввести персональную ответственность
должностных лиц, инициировавших заключение договора с «ненадежными»
контрагентами, повлекшее возникновение просроченной или безнадежной для
взыскания задолженности. Для этого необходимо закрепить ответственность
сотрудников организации в регламенте управления дебиторской задолженностью. В
упрощенном виде указанный регламент приведен в таблице 22.
Кроме того, на данном этапе необходимо
исследовать задолженность на предмет возможности ее расшивки с помощью
наработанных, стандартных схем. Проведение мониторинга дебиторской и
кредиторской задолженности на предмет возможности погашения с помощью
стандартных схем на этапе предварительных расчетов и анализа позволяет
упростить и ускорить расшивку задолженности.
Вторым этапом управления дебиторской
задолженности является выявление целей и задач управления дебиторской
задолженностью. На основании анализа дебиторской задолженности, проведенного на
первом этапе, задолженность конкретных дебиторов можно разделить на
непросроченную, просроченную и отсроченную в зависимости от даты образования
(для целей расчетов просроченной считается задолженность, числящаяся более 3
месяцев от даты образования, отсроченной задолженностью считается
реструктуризированные долги и долги, на которые наложен мораторий). Для
просроченной задолженности, в соответствии с установленной шкалой штрафных
санкций рассчитывается размер штрафа и определяется окончательная сумма
задолженности.
Рисунок 24 - Стратегии взыскания
дебиторской задолженности
Далее, в зависимости от того, в какую категорию
попала задолженность конкретного дебитора, к разработке, в соответствии с
рисунком
Рисунок 24, принимается одна из трех
стратегий - стратегия учета, стратегия взыскания или стратегия наблюдения за
возможностью взыскания.
Стратегия учета проводится по
отношению к непросроченной задолженности и не требует активных действий по
взысканию. На данной стадии задолженность является нормальным следствием
рыночных отношений. В этой ситуации величина задолженности с учетом просрочки
платежа не отличается от первоначальной задолженности.
Стратегия взыскания проводится по
отношению к просроченной дебиторской задолженности и требует более активных
действий по ее взысканию. На данной стадии первоочередная задача заключается в
сведении к минимуму разницы между величиной дебиторской задолженности с учетом
просрочки платежа и первоначальной величиной задолженности, то есть сокращения срока
просрочки платежа.
Стратегия наблюдения за возможностью
взыскания проводится по отношению к отсроченной дебиторской задолженности и не
требует иных действий, помимо наблюдения за финансовым состоянием партнера с
целью взыскания суммы долга.
Третий этап составляет определение
метода управления дебиторской задолженностью на основании выбранной на втором
этапе стратегии. В том случае, если к разработке принята стратегия учета,
целесообразно использовать самые удобные для предприятия способы расчетов, а именно
взыскание задолженности денежными средствами.
Разработанная модель управления
дебиторской задолженностью предприятия охватывает все этапы процесса управления
и отвечает условиям, предъявляемым к данному процессу. В данной модели
выделяется этап выбора экономического решения и подходы к анализу дебиторской
задолженности. Использование разработанной модели управления дебиторской
задолженностью предприятия позволит ОАО «Новосибирскгражданстрой» снизить ее
уровень и всегда поддерживать в таком состоянии, которое не будет отрицательно
отражаться на его финансовом состоянии.
ЗАКЛЮЧЕНИЕ
Таким образом, капитал - это
экономическая категория, которая известна давно, но получила новое содержание в
условиях рыночных отношений. Как главная экономическая база создания и развития
предприятия, капитал в процессе своего функционирования обеспечивает интересы
государства, собственников и персонала. Капитал предприятия характеризует общую
стоимость средств в денежной, материальной и нематериальной формах, которые
инвестируются в формирование его активов. Капитал - главная сумма средств,
необходимых для учреждения и осуществления производства (деятельности).
Предприятие создается для
осуществления предпринимательской деятельности и в процессе этой деятельности
использует как собственный капитал, так и заемные средства. Собственными
денежными средствами являются средства, которые постоянно находятся в обороте и
время использования которых не установлено. Формируются они за счет
собственного капитала, то есть части капитала в активах предприятия, остающейся
после отчисления всех его обязательств.
Управление капиталом представляет
собой систему принципов и методов разработки и реализации управленческих
решений, связанных с оптимальным его формированием из различных источников, а
также обеспечением его эффективного использования в различных видах
хозяйственной деятельности предприятия. Одной из важных предпосылок
эффективного управления капиталом предприятия является оценка его стоимости.
Стоимость капитала - это цена, которую предприятие платит за его привлечение из
разных источников. Концепция такой оценки исходит из того, что капитал имеет
соответствующую стоимость, которая формирует уровень операционных и
инвестиционных расходов предприятия. Эта концепция является одной из базовых в
системе управления финансовой деятельностью предприятия. При этом она не
сводится только к определению цены капитала, привлекаемого, а определяется
целый ряд направлений хозяйственной деятельности предприятия в целом.
Анализ эффективности использования
собственного капитала в ОАО «Новосибирскгражданстрой» показал, что действия
руководства не рациональны, что привело к неблагополучной ситуации; снижение
выручки от реализации и прибыли предприятия, снижение рентабельности
деятельности предприятия, снижение рыночной активности предприятия, рост
финансовой зависимости предприятия, состояние предприятия зависит от случайных
денежных поступлений, средства предприятия способны покрывать только
краткосрочные обязательства.
Также необходимо отметить, что чем больше
предприятие использует заемных средств тем меньше его положительный эффект на
рентабельность капитала и на безубыточность деятельности. Ввиду этого
руководству ОАО «Новосибирскгражданстрой» необходимо повысить эффективность
политики управления собственными средствами и проводить выбор источников
финансирования своей деятельности с точки максимального эффекта от их
использования на финансовое положение предприятия.
Для повышения эффективности
управления собственным капиталом ОАО «Новосибирскгражданстрой» должно проводить
экономический анализ планирования своей деятельности на основе модели Дюпона,
которая позволит предприятию развивать бизнеса по одному из трех сценариев:
. Если необходимо увеличить
оборачиваемость активов предприятия, то это сценарий номер 1 - большой объем
продаж по низкой цене.
. Если необходимо увеличить
рентабельность продаж, то это сценарий номер 3 - небольшой объем продаж при
максимально возможной цене, но с наращиванием уровня дебитосркой задолженности.
. Если предприятию важно обеспечить
высокий уровень эффекта от вложенных средств, то необходимо развиваться по
сценарию номер 2 - средний уровень продаж по ценам, аналогичным ценам
конкурентов, но с предоставлением покупателям небольшого коммерческого кредита.
Удовлетворение потребителей или рост
доли рынка является лишь одной из задач для достижения основной цели бизнеса -
эффективного размещения капитала с целью получения прибыли. Таким образом, цель
компании - ее эффективность, то есть отношение между получаемым результатом и затратами,
или, попросту говоря, превышение доходов над расходами. Все что мы делаем в
бизнесе, должно принести денег больше, чем в это мероприятие вложено. Деньги
должны работать эффективно.
Вторым направлением повышения
эффективности управления собственным капиталом предприятия является политика по
работе с дебиторами. Для решения выявленной проблемы ООО «Форэвер» предлагается
провести реструктуризацию своей дебиторской задолженности. Для этой целее в
работе разработана модель по снижению имеющейся дебиторской задолженности.
Разработанная модель управления дебиторской задолженностью предприятия
охватывает все этапы процесса управления и отвечает условиям, предъявляемым к
данному процессу. В данной модели выделяется этап выбора экономического решения
и подходы к анализу дебиторской задолженности. Использование разработанной
модели управления дебиторской задолженностью предприятия позволит ООО «Форэвер»
снизить ее уровень и всегда поддерживать в таком состоянии, которое не будет
отрицательно отражаться на его финансовом состоянии.
СПИСОК ЛИТЕРАТУРЫ
1. Гражданский
кодекс Российской Федерации, часть первая от 30 ноября 1994 г. № 51-ФЗ (в ред.
Федерального закона от 19.07.2011 № 248-ФЗ).
. Налоговый
кодекс Российской Федерации (Ч. I - принят ГД ФС РФ 16.07.1998 г. в ред.
Федерального закона от 29.11.2012 №324-ФЗ.Ч. II - принят ГД ФС РФ 19.07.2000 г.
в ред. Федерального закона от 07.03.2011 №25-ФЗ).
. Федеральный
закон «О бухгалтерском учете» от 21 ноября 1996 г. №129-ФЗ (в ред. Федерального
закона от 28.09.2012 №243-ФЗ).
. Федеральный
закон Российской Федерации “О несостоятельности (банкротстве)” от 26 октября
2002 г. № 127-ФЗ (в ред. Федерального закона от 03.05.2011 № 91-ФЗ).
. Приказ
Минфина Российской Федерации “О формах бухгалтерской отчетности организаций” от
2 июля 2012 г. № 66н.
. Положение
по бухгалтерскому учету “Доходы организации” ПБУ 9/99 // Утв. приказом Минфина
Российской Федерации от 6 мая 1999 г. № 32н (в ред. приказа Минфина РФ от
08.11.2012 № 144н).
. Положение
по бухгалтерскому учету “Расходы организации” ПБУ 10/99 // Утв. приказом
Минфина Российской Федерации от 6 мая 1999 г. № 32н (в ред. приказа Минфина РФ
от 08.11.2012 № 144н).
. Алексеева
М.М. Планирование деятельности фирмы. - М.: Финансы и статистика, 2012. - 248
с.
. Артеменко
В.Г. Финансовый анализ: Учеб. пособие / В.Г. Артеменко, М. В. Беллендир. - М.:
Изд-во "ДиС", НГАЭиУ, 2007.
. Бабич
А. М., Павлова Л. Н. Финансы: Учебник. - М.: ИД ФБК-ПРЕСС, 2008. - 426 с.
. Балашов
В.Г., Ирикова В.А. Технологии повышения финансового результата: практика и
методы. - М.: МЦФЭР, 2011. - 672 с.
. Барышникова
Н.С. Финансовый механизм управления оборотными средствами организации. Курс
лекций для студентов. - Новосибирск, СибУПК, 2005. - 80 с.
. Батурина
Н.А. Анализ инвестиционной привлекательности оборотных активов хозяйствующего
субъекта // Экономический анализ. Теория и практика, N 3, февраль 2008 г. - с.
11-12.
. Бердникова
Т.Б. Анализ и диагностика финансово-хозяйственной деятельности предприятия:
Учебное пособие. - М.: ИНФРА-М, 2008. - 210 с.
. Бочаров
В.В. Корпоративные финансы. - СПб: Питер, 2011. - 314 с.
. Булава
И.В. и др. Теория и методология разработки стратегии развития предприятия. -
РИО МАОК, 2011. - 328 с.
. Галицкая
С.В. Финансовый менеджмент. Финансовый анализ. Финансы предприятий. - М.: Эксмо,
2011. - 652 с.
. Долгосрочная
и краткосрочная финансовая политика предприятия: Учеб. пособие / Под ред. И.Я.
Лукасевича. - М.: Вузовский учебник, 2012. - 372 с.
. Дыбаль
С.В. Финансовый анализ: теория и практика: Учебное пособие.- Изд.3-е доп. и
перераб. - СПб: Бизнес-пресса. 2011. - 336 с.
. Ермасова
Н.Б., Ермасов С.В. Финансовый менеджмент. - М.: Юрайт, 2012. - 621 с.
. Ковалева
A.M., Лапуста М.Г., Скамай Л.Г. Финансы фирмы: Учебник. - М.: ИНФРА-М, 2008.
. Комплексный
экономический анализ хозяйственной деятельности. - М.: Вузовский учебник, 2011.
- 463 с.
. Лихачева
О.Н. Финансовое планирование на предприятии. - М.: Проспект, 2008. - 144 с.
. Любушин
Н.П., Лещева В.Б., Дьякова В.Г. Анализ финансово-экономической деятельности
предприятия. - М.: Юнити-Дана, 2011. - 471 с.
. Мицек
С.А. Краткосрочная финансовая политика на предприятии.- М.: Кнорус, 2011. - 248
с.
. Орехов
В.И., Балдин К.В., Гапоненко Н.П. Антикризисное управление. - М.: Инфра - М.,
2011. - 544 с.
. Основы
антикризисного управления предприятием. - М.: Издательский центр «Академия»,
2011. - 496 с.
. Перекрестова
Л.В., Романенко Н.М.. Финансы и кредит. - М.: Издательский центр «Академия»,
2012.- 288 с.
. Пласкова
Н.С. Экономический анализ. - М.: Эксмо, 2011. - 542 с.
. Радионов
А.Р., Радионов Р.А. Менеджмент. Нормирование и управление производственными
запасами и оборотными средствами предприятия. - М: Экономика, 2011. - 614 с.
. Селезнева
Н.Н., Ионова А.В. Анализ финансовой отчетности организации. - М.: Юнити-Дана,
2011. - 584 с.
. Хорев
А.И., Морозов Л.Н., Сухоруков Е.В. Формирование стратегии предприятия //
Экономический анализ. Теория и практика, N 16, август 2008 г. - С. 17-20.
. Экономика
предприятия / Под общей ред. В.М.Семенова. - СПб.: Питер, 2011. - 383 с.