Учет и анализ использования собственного капитала предприятия
Министерство
образования и науки Амурской области
Государственное
профессиональное образовательное автономное учреждение Амурской области
«Амурский
колледж сервиса и торговли»
ВЫПУСКНАЯ
КВАЛИФИКАЦИОННАЯ РАБОТА
Учёт
и анализ использования собственного капитала предприятия
студентки группы Б - 41
Светлана Анатольевна
Жихарева
Благовещенск
2014
ОГЛАВЛЕНИЕ
Введение
. Учёт формирования и использования собственного капитала
.1 Понятие и структура собственного капитала
.2 Уставный капитал: порядок его формирования и изменения
.3 Добавочный капитал, его формирование и учёт
.4 Резервный капитал. Учёт его формирования и использования
.5 Учёт нераспределенной прибыли и непокрытого убытка
. Организационно-экономическая характеристика предприятия
.1 Краткая организационная характеристика ОАО «Амурские
коммунальные системы»
.2 Учетная политика предприятия ОАО «Амурские коммунальные
системы»
.3 Краткая экономическая характеристика предприятия ОАО «Амурские
коммунальные системы»
. Анализ учёта формирования и использования собственного капитала.
Оценка факторов, влияющих на рентабельность предприятия
.1 Значение, задачи, порядок анализа собственного капитала ОАО
«Амурские коммунальные системы»
.2 Анализ собственного капитала предприятия ОАО «Амурские коммунальные
системы»
.3 Анализ рентабельности предприятия ОАО «Амурские коммунальные
системы»
Заключение
Список используемых источников
ВВЕДЕНИЕ
Предметом бухгалтерского учета
является хозяйственная деятельность организации. Объектами или составными
частями предмета являются: имущество (хозяйственные средства, функционирующий
капитал) предприятия; обязательства предприятия (источники формирования его
имущества); хозяйственные операции, вызывающие изменение имущества и источников
их формирования.
В условиях рыночной экономики
главную роль для предприятия играет собственный капитал. Ведь от него зависит
дальнейшая деятельность предприятия, его финансовая устойчивость. Наличие у
организации собственного капитала, величина которого имеет устойчивую тенденцию
к росту, означает для кредиторов дополнительные гарантии в сложившейся рыночной
ситуации.
Информация о величине собственного
капитала в балансе имеет чрезвычайно важное значение для пользователей
бухгалтерской отчетности, которые рассматривают собственный капитал
предприятия, как запас его финансовой прочности. Недостаточная величина
собственного капитала рассматривается как фактор дополнительного риска вложения
средств в предприятие, поскольку свидетельствует о недостаточности прибыли.
В современных условиях структура
капитала является тем фактором, который оказывает непосредственное влияние на
финансовое состояние предприятия. Поэтому анализ наличия, источников
формирования и размещения капитала имеет исключительно большое значение.
Капитал - это средства, которыми
располагает предприятие для осуществления своей деятельности с целью получения
прибыли.
Сведения, которые приводятся в
пассиве бухгалтерского баланса, позволяют определить, какие изменения произошли
в структуре собственного и заёмного капитала, сколько привлечено в оборот
предприятия долгосрочных и краткосрочных заёмных средств, то есть пассив
показывает, откуда взялись средства, кому обязано за них предприятие.
Организация для осуществления своей
деятельности приобретают имущество - оборотные и внеоборотные средства.
Источники их приобретения неоднородны по своей структуре, экономической
сущности, специфики формирования и использования. В качестве наиболее важных
рассматривается собственный капитал. Он представляет собой всю совокупность
собственных средств, полученных из различных источников или созданных в
процессе хозяйственной деятельности. Каждая составная часть собственного
капитала выступает независимым объектом учета. Основу собственного капитала
предприятия составляет уставный капитал, зафиксированный в его уставных
учредительных документах. Точная, достоверная и своевременная информация об
этих источниках чрезвычайно важна не только для внутренних, но и для внешних
пользователей.
В бухгалтерском учете капитал как бы
условно подразделяется на активный капитал, т. е. действующий (функционирующий)
в виде имущества и обязательств, и пассивный капитал, отражающий источники
формирования и оплаты действующего капитала. Несмотря на различный порядок
учета активного и пассивного капитала, они представляют собой единство,
являются различными характеристиками общего капитала, обеспечивающего
хозяйственную деятельность организации. Этим и объясняется актуальность
выбранной темы.
Целью данной работы является
изучение формирования и структуры, а так же использования собственного капитала
предприятия.
Для достижения поставленной цели
необходимо решить следующие задачи:
изучить порядок формирования учёта и
использования собственного капитала предприятия;
изучить организацию и ведение
бухгалтерского учёта на примере предприятия ОАО «Амурские коммунальные
системы»;
определить рентабельность
предприятия;
изучить учетную политику
предприятия.
Объектом исследования является
организация ОАО «Амурские коммунальные системы».
Предметом исследования является
собственный капитал предприятия.
Методы исследования:
конспектирование, абсолютные и относительные величины, количественный,
качественный и факторный анализ.
Источниками для выполнения дипломной
работы являются учебники по бухгалтерскому учёту, АФХД и учебные пособия следующих
авторов: Чечевицына Л.Н. «Анализ финансово-хозяйственной деятельности», «Анализ
финансовой отчетности» О.В. Ефимова, Т.Г. Вакуленко «Анализ бухгалтерской
(финансовой) отчетности для принятия управленческих решений», Гришкина С.Н.
«Бухгалтерский учет», КамышановП.И. «Бухгалтерский финансовый учет», а так же
нормативно-законодательная база и отчетность организации по выбранной теме.
В данной дипломной работе все
расчеты произведены на основании форм бухгалтерской отчетности ОАО «Амурские
коммунальные системы»: форма №1 «Бухгалтерский баланс» за 3 года и «Отчет о
финансовых результатах» за 3 года, а также данные внутреннего управленческого
учета.
1. УЧЁТ ФОРМИРОВАНИЯ И ИСПОЛЬЗОВАНИЯ
СОБСТВЕННОГО КАПИТАЛА
.1 Понятие и структура собственного
капитала
Всякая организация, работающая
обособленно от других, ведущая производственную или иную коммерческую
деятельность, должна обладать определенным капиталом. [14, с. 157]
Капитал представляет собой
собственные средства организации и определяется как разность между её активами
и обязательствами (чистые активы компании). Капитал организации соответствует
инвестированным финансовым средствам собственников и прибыли, накопленной за
время деятельности организации. Иначе капитал можно представить как средства,
принадлежащие собственникам. Данные средства формируются при первоначальных и
последующих взносах собственников в уставный (складочный) капитал (фонд) и в
процессе деятельности организации (резервный капитал, добавочный капитал,
нераспределенная прибыль (непокрытый убыток)).
В течение отчетного периода в
собственном капитале компании происходят изменения, выражающиеся в увеличении
или уменьшении чистых активов. Общее изменение в собственных средствах
предприятия может происходить в результате:
операций с акционерами (внесение
капитала, выплаты дивидендов). Это операции капитального характера с
владельцами компании и операции, связанные с распределением части прибыли в
пользу владельцев;
получения прибылей (убытков). Это
операции, результат которых непосредственно отражается в отчете о прибылях и
убытках, а так же часть прибылей (убытков) предприятия, признаваемого только в
качестве изменений в капитале (например, увеличение добавочного капитала в
результате переоценки объектов основных средств). [18, с.333]
Уставом общества может быть
предусмотрено формирование из чистой прибыли специального фонда акционирования
работников общества. Его средства расходуются исключительно на приобретение
акций общества, продаваемых акционерами этого общества, для последующего размещения
его работникам.[8]
Согласно «Положению по ведению
бухгалтерского учёта и бухгалтерской отчётности в Российской Федерации» (Приказ
Минфина РФ от 29.07.1998 N 34н (ред. от 24.12.2010)), в составе собственного
капитала организации учитываются уставный (складочный), добавочный и резервный
капитал, нераспределенная прибыль и прочие резервы.[3]
Первая составляющая капитала
определяется организационно-правовой формой компании. ГК РФ предусматривает
следующие формы деятельности коммерческих организаций: хозяйственные
товарищества (полное товарищество и товарищество на вере), хозяйственные
общества (общества с ограниченной ответственностью, общество с дополнительной
ответственностью и акционерное общество - открытое либо закрытое),
производственные кооперативы, а также специфическая форма коммерческой
деятельности, применимая лишь в государственном секторе экономики -
государственные и муниципальные унитарные предприятия (унитарные предприятия,
основанные на праве полного хозяйственного ведения, в том числе дочерние
предприятия, а также федеральные казенные предприятия).[18, с.333]
Согласно ГК РФ,
организационно-правовая форма предприятий определяет порядок и особенности
формирования уставного капитала, который может принимать форму:
складочного капитала - в хозяйственных
товариществах (полное товарищество и товарищество на вере);
уставного капитала - в хозяйственных
обществах (акционерные общества, общества с ограниченной и дополнительно
ответственностью);
паевого фонда - в производственных
кооперативах.
Величина уставного капитала
организации должна соответствовать её учредительным документам. Взносы в
уставный капитал могут быть представлены стоимостью различных видов основных
средств, нематериальных активов, материально-производственных запасов и
денежными средствами.
После государственной регистрации
организации, созданной на средства учредителей, уставный капитал в сумме,
предусмотренной учредительными документами, отражают по кредиту пассивного
счета 80 «Уставный капитал» в корреспонденции со счетом 75 «Расчеты с
учредителями». Последующее увеличение уставного капитала записывается по
кредиту счета 80 «Уставный капитал», уменьшение - по дебету данного счёта.[7]
Кредитовое сальдо счёта 80 отражает
величину уставного (складочного) капитала, зарегистрированного в учредительных
документах, как совокупности вкладов (долей, акций по номинальной стоимости,
паевых взносов) учредителей (участников) организации.
Аналитический учет ведется в разрезе
учредителей (участников) организации, по стадиям формирования капитала и видам
акций. [18, с.334]
.2 Уставный капитал: порядок его
формирования и изменения
Уставный капитал акционерного
общества в настоящее время формируется путем создания новых акционерных обществ
за счёт средств учредителей либо путем преобразования государственных и
муниципальных организаций в акционерные. [27, с. 552]
Сумма уставного капитала фиксируется
в учредительных документах, а в балансе отражается в разделе IIIпассива. [36,
с. 440]
Счет 80 «Уставный капитал»
предназначен для обобщения информации о состоянии и движении уставного капитала
(складочного капитала, уставного фонда) организации.
Сальдо по счету 80 «Уставный
капитал» должно соответствовать размеру уставного капитала, зафиксированному в
учредительных документах организации. Записи по счету 80 «Уставный капитал»
производятся при формировании уставного капитала, а также в случаях увеличения
и уменьшения капитала лишь после внесения соответствующих изменений в
учредительные документы организации.
После государственной регистрации
организации ее уставный капитал в сумме вкладов учредителей (участников),
предусмотренных учредительными документами, отражается по кредиту счета 80
«Уставный капитал» в корреспонденции со счетом 75 «Расчеты с учредителями».
Фактическое поступление вкладов учредителей проводится по кредиту счета 75
«Расчеты с учредителями» в корреспонденции со счетами по учету денежных средств
и других ценностей.
Аналитический учет по счету 80
«Уставный капитал» организуется таким образом, чтобы обеспечивать формирование
информации по учредителям организации, стадиям формирования капитала и видам
акций.
Счет 80 также применяется для
обобщения информации о состоянии и движении вкладов в общее имущество по
договору простого товарищества. В этом случае счет 80 именуется «Вклады
товарищей».
Имущество, внесенное товарищами в
простое товарищество в счет их вкладов, приходуется по дебету счетов учета
имущества (51 «Расчетные счета», 01 «Основные средства», 41 «Товары» и др.) и
кредиту счета 80 «Вклады товарищей». При возврате имущества товарищам при
прекращении договора простого товарищества в бухгалтерском учете производятся
обратные записи.
Аналитический учет по счету 80
«Вклады товарищей» ведется по каждому договору простого товарищества и каждому
участнику договора.
Уставный капитал - совокупность
учредителей (участников) организации, зарегистрированная в учредительных
документах. Увеличения или уменьшение уставного капитала осуществляется после
внесения изменений в учредительный документ организации и перерегистрации в
установленном порядке.
Учет уставного капитала акционерного
общества должен отразить движение и состав акций организации. Среди акций,
прежде всего, выделяют два их вида: обыкновенные и привилегированные.
Обыкновенные акции дают возможность принимать участие в управлении компанией,
но не гарантируют выплату дивидендов.
Для учета движения акций по счету 80
«Уставный капитал» используются субсчета.[18, с. 334]
Учет уставного капитала акционерного
общества должен отразить движение и состав акций организации. Среди акций,
прежде всего, выделяют два их вида: обыкновенные и привилегированные.
Обыкновенные акции дают возможность принимать участие в управлении компанией,
но не гарантируют выплату дивидендов.[9,с. 103]
Объявленный капитал отражается по
кредиту счета 80 «Уставный капитал», субсчет 1 «Объявленный капитал», по мере
подписки на акции кредитуется счет 80 «Уставный капитал», субсчет 2 «Подписной
капитал» и дебетуется субсчет 80 «Уставный капитал», субсчет 1 «Объявленный
капитал». Процесс погашения задолженности акции (денежными средствами или иным
имуществом) одновременно отражается и качестве поступления в компанию активов,
и в качестве преобразования уставного капитала из подписного в оплаченный, что
регистрируется бухгалтерской проводкой по субсчетам:
Дебет 80 «Уставный капитал», субсчет
2 «Подписной капитал»;
Кредит 80 «Уставный капитал»,
субсчет 3 «Оплаченный капитал».
В случае выкупа собственных акций
наряду с проводкой, отражающей движение денежных средств, делается
бухгалтерская проводка, фиксирующая состояние акций как не оплаченных в
настоящее время:
Дебет 80 «Уставный капитал», субсчет
3 «Оплаченный капитал»;
Кредит 80 «Уставный капитал»,
субсчет 4 «Изъятый капитал».
Задолженность учредителей по взносам
в уставный капитал после государственной регистрации ОАО отражается бухгалтерской
проводкой:
Дебет 75 «Расчеты с учредителями»,
субсчет «Расчеты по вкладам в уставный капитал»;
Кредит 80 «Уставный капитал».
При погашении учредителями
задолженности денежными средствами производится запись:
Дебет 50 «Касса», 51 «Расчетный
счет»;
Кредит 75 «Расчеты с учредителями»,
субсчет «Расчеты по вкладам в уставный капитал».
Если вклад в уставный капитал
вносится учредителем - нерезидентном в иностранной валюте, то рублевая оценка
вклада для целей отражения задолженности учредителя должна быть сделана по
курсу ЦБ РФ на дату формирования уставного капитала организации организацией
статуса. Вклад в уставный капитал в иностранной валюте учредителя-нерезидента,
зачисляется на валютный счет организации, что отражается проводкой:
Дебет 52 «Валютные счета»
Кредит 75 «Расчеты с учредителями»,
субсчет «Расчеты по вкладу в уставный капитал».[18, с. 335]
Учет по валютным счетам организации
и операциям в иностранной валюте ведется в рублях на основании пересчета
иностранной валюты по курсу ЦБ РФ на дату совершения операции. Из-за разницы в
курсах иностранной валюты на дату отражения задолженности учредителя и
фактического поступления средств на валютный счет образуются курсовые разницы,
связанные с формированием уставного капитала организации. Существуют такие
проводки:
в случае положительной курсовой
разницы:
Дебет 75 «Расчеты с учредителями»,
субсчет «Расчеты по вкладам уставный капитал»;
Кредит 83 «Добавочный капитал».
в случае отрицательной курсовой
разницы:
Дебет 83«Добавочный капитал»;
Кредит 75 «Расчеты с учредителями»,
субсчет «Расчеты по вкладам уставный капитал».[10, с. 77]
Величина уставного капитала может
изменяться в процессе функционирования компании. Увеличение уставного капитала
происходит либо путем выпуска новых акций, либо увеличением их номинальной
стоимости.
Уставный капитал уменьшается:
при снижении номинальной стоимости;
при выкупе обществом у акционеров
части акций с их последующим аннулированием (т.е. сокращение числа акций путем
их приобретения погашения в соответствии с Федеральным законом от 26 декабря
1995 № 208-ФЗ «Об акционерных обществах»;
в случае, когда произведенная
подписка на акции не соответствует объявленному капиталу.[18, с. 337]
Если уставный капитал уменьшается в
связи с выбытием одного из учредителей, необходимо сделать следующие проводки:
) на величину уменьшения
уставного капитала:
Дебет 80 «Уставный капитал», субсчет
«Оплаченный капитал»;
Кредит 75 «Расчеты с учредителями»,
субсчет «Расчеты по вкладам уставный капитал».
) и на величину выдаваемого
вклада:
Дебет 75 «Расчеты с учредителями»,
субсчет «Расчеты по вкладам уставный капитал»;
Кредит счетов денежных средств (50
«Касса», 51 «Расчетный счет», 52 «Валютные счета»).
При выдаче вклада имуществом
используется счет 90 «Продажи» или счет 91 «Прочие доходы и расходы».[18, с.
339]
Следует обратить внимание на
требования к величине уставного капитала. Данное требование связано с понятием
чистых активов компании. Размер чистых активов организации должен быть равен
величине уставного капитала или превышать ее. Если же чистые активы меньше
уставного капитала, собственникам необходимо выполнить одно из следующих
действий:
довести активы до размера уставного
капитала;
уменьшить размер уставного капитала
до величины чистых активов;
объявить компанию банкротом. [11, с.
198]
.3 Добавочный капитал, его
формирование и учёт
Добавочный капитал представляет
собой прирост капитала организации образовавшийся в результате переоценки
внеоборотных активов, получения эмиссионного дохода в результате размещения
акций в процессе формирования уставного капитала акционерного общества. [15, с.
612]
Счет 83 «Добавочный капитал»
предназначен для обобщения информации о добавочном капитале организации.
По кредиту счета 83 «Добавочный
капитал» отражаются:
прирост стоимости внеоборотных
активов, выявляемый по результатам переоценки их, - в корреспонденции со
счетами учета активов, по которым определился прирост стоимости;
сумма разницы между продажной и
номинальной стоимостью акций, вырученной в процессе формирования уставного
капитала акционерного общества (при учреждении общества, при последующем
увеличении уставного капитала) за счет продажи акций по цене, превышающей
номинальную стоимость, - в корреспонденции со счетом 75 «Расчеты с
учредителями».
Суммы, отнесенные в кредит счета 83
«Добавочный капитал», как правило, не списываются. Дебетовые записи по нему
могут иметь место лишь в случаях:
погашения сумм снижения стоимости
внеоборотных активов, выявившихся по результатам его переоценки, - в
корреспонденции со счетами учета активов, по которым определилось снижение
стоимости;
направления средств на увеличение
уставного капитала - в корреспонденции со счетом 75 «Расчеты с учредителями»
либо счетом 80 «Уставный капитал»;
распределения сумм между
учредителями организации - в корреспонденции со счетом 75 «Расчеты с
учредителями» и т.п.
Аналитический учет по счету 83
«Добавочный капитал» организуется таким образом, чтобы обеспечить формирование
информации по источникам образования и направлениям использования средств.
Добавочный капитал возникает в связи
с увеличением стоимости внеоборотных активов организации, образованием курсовых
разниц при внесении учредителями вкладов в уставный капитал организации в
иностранной валюте, продажей акций по цене выше номинала и в ряде других
случаев. Появление и увеличение добавочного капитала отражается по кредиту
пассива счета «Добавочный капитал». Использование добавочного капитала, которое
производится согласно учетной политике организации, регистрируется по дебету
счета 83 «Добавочный капитал».[18, с. 341]
Формирование или увеличение
добавочного капитала при увеличении стоимости основных средств в результате их
первичной переоценки отражается двумя бухгалтерскими проводками, сделанными
одновременно:
Дебет 01 «Основные средства»;
Кредит 83 «Добавочный капитал»,
субсчет «Прирост имущества по переоценке - на сумму дооценки»;
Дебет 83 «Добавочный капитал»,
субсчет «Прирост имущества по переоценке»;
Кредит 02 «Амортизация основных
средств» - на разницу в суммах начисленной амортизации.
Продажа акций по цене, не
превышающей их номинальную стоимость, приводит к образованию эмиссионного
дохода, представляющей собой разницу между продажной и номинальной стоимостью
акций. Возникновение эмиссионного дохода и увеличение отражаются записью:
Дебет 75 «Расчеты с учредителями»;
Кредит 83 «Добавочный капитал».[18,
с. 342]
В качестве регистров синтетического
и аналитического учета операций, связанных с движением капитала, используются
ведомости. Аналитический учет по счету 83 «Добавочный капитал» должен
обеспечить получение информации по источникам образования и направлениям
использования средств. [12, с. 478]
.4 Резервный капитал. Учёт его
формирования и использования
Счет 82 «Резервный капитал»
предназначен для обобщения информации о состоянии и движении резервного
капитала.
Отчисления в резервный капитал из
прибыли отражаются по кредиту счета 82 «Резервный капитал»в корреспонденции со
счетом 84 «Нераспределенная прибыль (непокрытый убыток)».
Использование средств резервного
капитала учитывается по дебету счета 82 «Резервный капитал» в корреспонденции
со счетами: 84 «Нераспределенная прибыль (непокрытый убыток)» - в части сумм
резервного фонда, направляемых на покрытие убытка организации за отчетный год.
Счет 66 «Расчеты по краткосрочным кредитам и займам» или счет 67 «Расчеты по
долгосрочным кредитам и займам» - в части сумм, направляемых на погашение
облигаций акционерного обществ. [2]
Акционерные общества, согласно
действующему законодательству, создают резервный капитал (Резервный фонд) в
обязательном порядке. По своему усмотрению его могут создавать и другие
организации. Резервный капитал акционерного общества предназначен для покрытия
убытков, погашения облигаций общества, а также выкупа акций общества при
отсутствии других средств. Резервный капитал не может быть использован для других
целей.
Размер резервного капитала
определяется уставом организации. Однако для акционерных обществ установлен его
минимальный размер, составляющий 15% от уставного капитала (для совместных
предприятий - 25% от уставного капитала). Резервный капитал формируется в
пределах установленного лимита за счет уменьшения налогооблагаемой прибыли
(сумма отчислений в резервный капитал и другие, аналогичные по значению фонды
не должна превышать 50% налогооблагаемой прибыли организации).
Образование и движение резервного
капитала отражается по кредиту пассивного счета 82 «Резервный капитал». Для
увеличения резервного капитала делается бухгалтерская проводка:
Дебет 84 «Нераспределенная прибыль
(непокрытый убыток)»;
Кредит 82 «Резервный капитал».
Использование резервного капитала на
покрытие убытков регистрируется бухгалтерской записью:
Дебет 82 «Резервный капитал»;
Кредит 84 «Нераспределенная прибыль
(непокрытый убыток)».
Увеличение уставного капитала за
счет резервного капитала оформляется бухгалтерской записью;
Дебет 82 «Резервный капитал»;
Кредит 80 «Уставный капитал».[18, с.
343]
1.5 Учёт нераспределенной прибыли и
непокрытого убытка
Счет 84 «Нераспределенная прибыль
(непокрытый убыток)» предназначен для обобщения информации о наличии и движении
сумм нераспределенной прибыли или непокрытого убытка организации.
Сумма чистой прибыли отчетного года
списывается заключительными оборотами декабря в кредит счета 84
Нераспределенная прибыль (непокрытый убыток) в корреспонденции со счетом 99
Прибыли и убытки. Сумма чистого убытка отчетного года списывается
заключительными оборотами декабря в дебет счета 84 «Нераспределенная прибыль
(непокрытый убыток)» в корреспонденции со счетом 99 «Прибыли и убытки». [3]
Направление части прибыли отчетного
года на выплату доходов учредителям (участникам) организации по итогам
утверждения годовой бухгалтерской отчетности отражается по дебету счета 84
«Нераспределенная прибыль (непокрытый убыток)» и кредиту счетов 75 «Расчеты с
учредителями» и 70 «Расчеты с персоналом по оплате труда». Аналогичная запись
делается при выплате промежуточных доходов.
Списание с бухгалтерского баланса
убытка отчетного года отражается по кредиту счета 84 Нераспределенная прибыль
(непокрытый убыток) в корреспонденции со счетами: 80 «Уставный капитал» - при
доведении величины уставного капитала до величины чистых активов организации;
82 «Резервный капитал» - при направлении на погашение убытка средств резервного
капитала; 75 «Расчеты с учредителями» - при погашении убытка простого
товарищества за счет целевых взносов его участников и др.
Аналитический учет по счету 84
«Нераспределенная прибыль (непокрытый убыток)» организуется таким образом,
чтобы обеспечить формирование информации по направлениям использования средств.
При этом в аналитическом учете средства нераспределенной прибыли,
использованные в качестве финансового обеспечения производственного развития
организации и иных аналогичных мероприятий по приобретению (созданию) нового
имущества и еще не использованные, могут разделяться.
Чистая прибыль (убыток) автотранспортной
организации формируется на счете 99 «Прибыли и убытки». Выявленный результат от
обычной деятельности автотранспортной организации ежемесячно списывается со
счета 90 на счет 99 проводками:
прибыль:
Дебет 90 «Продажа»;
Кредит 99 «Прибыли и убытки»
убыток:
Дебет 99 «Прибыли и убытки»;
Кредит 90 «Продажа».
Результаты от операций, связанных с
получением прочих доходов и расходов, относятся ежемесячно на счет 99 Прибыли и
убытки и оформляются бухгалтерскими записями:
прибыль:
Дебет 91 «Прочие доходы и расходы»;
Кредит 99 «Прибыли и убытки».
убыток:
Дебет 99 «Прибыли и убытки»;
Кредит 91 «Прочие доходы и расходы».
Прибыль, полученная организацией,
подлежит налогообложению налогом на прибыль. Начисление текущего налога на
прибыль отражается проводкой:
Дебет 99 «Прибыли и убытки»;
Кредит 68 «Расчеты по налогам и
сборам».[18, с.343]
Согласно ПБУ 18/02 «Учет расчетов по
налогу на прибыль», организация должна отразить также отложенные налоговые
обязательства (активы) проводками:
отложенные налоговые активы:
Дебет 09 «Отложенные налоговые
активы»;
Кредит 99 «Прибыли и убытки».
отложенные налоговые обязательства:
Дебет 99 «Прибыли и убытки»;
Кредит 77 «Отложенные налоговые
обязательства».
После начисления всех текущих и
отложенных налогов разница между дебетом и кредитом счета 99 «Прибыли и убытки»
представляет собой чистую прибыль (убыток) автотранспортного предприятия,
которая переносится заключительными оборотами декабря на активно - пассивный
счет 84 «Нераспределенная прибыль (непокрытый убыток)», предназначенный для
обобщения информации о наличии и движении сумм нераспределенной прибыли или
непокрытого убытка организации. Первоначальный перенос осуществляется на
субсчет счета 84 «Чистая прибыль (убыток)» отчетного года. Чистая прибыль
отчетного года относится на счет 84 проводкой:
Дебет 99 «Прибыли убытки»;
Кредит 84 «Нераспределенная прибыль
(непокрытый убыток)», субсчет «Чистая прибыль (убыток) отчетного года».
Начисления доходов учредителям
отражается бухгалтерской проводкой:
Дебет 84 «Нераспределенная прибыль
(непокрытый убыток)»;
Кредит 70 «Расчеты с персоналом по
оплате труда (работникам организации)», счета 75 «Расчеты с учредителями
(сторонним организациям)».
Направление чистой прибыли на
увеличение резервного капитала регистрируется бухгалтерской проводкой:
Дебет 84 «Нераспределенная прибыль
(непокрытый убыток)»;
Кредит 82 «Резервный капитал». [18,
с.344]
Покрытие убытка предыдущего года
чистой прибылью отчетного года отражается проводкой:
Дебет 84 «Нераспределенная прибыль
(непокрытый убыток)», субсчет «Чистая прибыль отчетного года»;
Кредит 84 «Нераспределенная прибыль
(непокрытый убыток)», субсчет «Нераспределенная прибыль прошлых лет».
Заключительными оборотами декабря
сумма чистого убытка отчетного года списывается на счет 84 Нераспределенная
прибыль (непокрытый убыток) бухгалтерской записью:
Дебет 84 «Нераспределенная прибыль
(непокрытый убыток)»;
Кредит 99 «Прибыли и убытки».
Убытки отчетного года списываются с
кредита счета 84 «Нераспределенная прибыль (непокрытый убыток)» в дебет счетов
82 «Резервный капитал» - при списании за счет средств резервного капитала, 75
«Расчеты с учредителями» - при погашении убытка за счет целевых взносов
учредителей организации, 80 «Уставный капитал» - при доведении величины
уставного капитала до величины чистых активов организации, и других счетов.
Аналитический учет по счету 84
«Нераспределенная прибыль (непокрытый убыток)» должен обеспечить формирование
информации по направлениям использования средств. При этом средства
нераспределенной прибыли, использование в качестве финансового обеспечения
производственного развития организации или иных аналогичных мероприятий по
созданию или приобретению нового имущества и еще не использованные,
аналитическом учете могут разделяться. [16, с.546]
У организаций, получивших в предшествующем
году убыток от реализации, освобождаются от уплаты налога на прибыль часть
прибыли, которая направлена на покрытие этого убытка, в течении последующих
пяти лет. Такая льгота применяется только для покрытия убытков от реализации
продукции, работ и услуг. [40, с. 286]
2. ОГРАНИЗАЦИОННО-ЭКОНОМИЧЕСКАЯ
ХАРАКТЕРИСТИКА ПРЕДПРИЯТИЯ
.1 Краткая организационная
характеристика ОАО «Амурские коммунальные системы»
Открытое акционерное общество
«Амурские коммунальные системы» (далее - ОАО «АКС») учреждено в соответствии с
Гражданским кодексом Российской Федерации, Федеральным законом «Об акционерных
обществах» от 26.12.1995 г. № 208-ФЗ (далее - Федеральный закон «Об акционерных
обществах») и иными нормативными правовыми актами Российской Федерации,
регулирующими деятельность хозяйственных обществ.
Место нахождения ОАО «АКС»: 675000,
Российская Федерация, Амурская область, г. Благовещенск, ул. Амурская, д. 296.
ОАО «АКС» учреждено 22 августа 2003
года решением единственного учредителя - ОАО «Российские коммунальные системы»
(далее - ОАО «РКС»). Свидетельство о государственной регистрации юридического
лица выдано Межрайонной инспекцией МНС России № 1 по Амурской области 28
августа 2003 года.
Органами управления ОАО «АКС»
являются Общее собрание акционеров, Совет директоров, Единоличный
исполнительный орган - управляющая организация - ОАО «РКС», действующая на
основании Договора оказания услуг по осуществлению полномочий единоличного
исполнительного органа ОАО «АКС» от 20 октября 2004 г. № 1-13-327-04.
Уставный капитал предприятия оплачен
полностью и составляет 10 000 тыс. руб. и поделен на 100 000 обыкновенных
именных бездокументарных акций номинальной стоимостью 100 руб. каждая.
ОАО «Амурские коммунальные системы»
- это предприятие, основной задачей которого является удовлетворение конкретных
потребностей г. Благовещенска по эксплуатации и развитию коммунальной
инфраструктуры, в том числе качественное обеспечение работоспособности
электрических сетей, передачи и распределения электроэнергии.
Основной целью деятельности ОАО
«АКС» является получение прибыли.
Для достижения цели ОАО «АКС» вправе
осуществлять любые виды деятельности, не запрещенные законом, в том числе:
Производство пара и горячей воды
(тепловой энергии);
Передача пара и горячей воды
(тепловой энергии);
Распределение пара и горячей воды
(тепловой энергии);
Передача электроэнергии;
Распределение электроэнергии;
Деятельность по обеспечению
работоспособности электрических сетей;
Деятельность по обеспечению
работоспособности котельных;
Деятельность по обеспечению
работоспособности тепловых сетей;
Удаление сточных вод, отходов и
аналогичная деятельность;
Сбор и очистка вод;
Распределение воды;
Производство общестроительных работ
по прокладке местных трубопроводов, линий связи и линий электропередачи,
включая взаимосвязанные вспомогательные работы;
Инженерные изыскания для
строительства;
Деятельность в области архитектуры,
инженерно-техническое проектирование в промышленности и строительстве;
Строительство зданий и сооружений;
Деятельность в области электросвязи;
Хранение и складирование нефти и
продуктов ее переработки;
Проведение расследований и
обеспечение безопасности;
Деятельность по управлению
холдинг-компаниями;
Деятельность в области права,
бухгалтерского учета и аудита; консультирование по вопросам коммерческой
деятельности и управления предприятием;
Монтаж инженерного оборудования
зданий и сооружений;
Производство электромонтажных работ;
Капиталовложения в ценные бумаги;
Капиталовложения в собственность;
Оптовая торговля;
Другие виды деятельности, не запрещенные
действующим законодательством.
ОАО «АКС» имеет в собственности
обособленное имущество, учитываемое на его самостоятельном балансе, может от
своего имени приобретать и осуществлять имущественные и личные неимущественные
права, нести обязанности, быть истцом и ответчиком в суде.
ОАО «АКС» несет ответственность по
своим обязательствам всем принадлежащим ему имуществом.
Органы исполнительной власти
Муниципального образования г. Благовещенска определили качественные параметры
коммунальных услуг, а также их объем. Эти показатели закреплены в Соглашении
между муниципальным образованием и ОАО «АКС». В соответствии с этим Соглашением
ОАО «АКС» осуществляет деятельность по эксплуатации и развитию коммунальной
инфраструктуры на основе долгосрочной аренды с правами модернизации и внесения
улучшений в существующие арендуемые инженерные коммуникации города.
.2 Учетная политика предприятия ОАО
«Амурские коммунальные системы»
На предприятии действует учетная
политика для целей бухгалтерского учёта, в которой закреплено:
Бухгалтерский учет в ОАО «АКС»
организуется в соответствии с действующими в Российской Федерации правилами
бухгалтерского учета и отчетности, в частности Федерального закона от
21.11.1996г. №129-ФЗ «О бухгалтерском учете», Положения по бухгалтерскому учету
«Учетная политика организации» 1/2008, утвержденного приказом Министерства
Финансов Российской Федерации от 6 октября 2008 года № 106н,, Положения по
ведению бухгалтерского учета и бухгалтерской отчетности в Российской Федерации,
утвержденного приказом Министерства финансов от 29 июля 1998г. №34н (с
изменениями), Плана счетов и инструкцией по его применению от 31.10.2000г. №94н
с изменениями от 07.05.03г.№ 38н., в соответствии с учетной политикой,
утвержденной приказом от 31.12.2010г. № 511 с дополнениями и изменениями к ней,
утвержденными приказом от 31.05.11г. № 203/1, от 21.07.11 № 294, от 18.10.11
№418.
В соответствии с законодательством и
в целях прозрачности ведения учета и составления отчетности в бухгалтерском
учете ОАО «АКС» обеспечивается внутреннее разделение учета затрат по видам
деятельности.
Бухгалтерский учет в ОАО «АКС»
ведется автоматизировано с применением программы 1С: Бухгалтерия, версии 8.2 (с
01.01.2012).
Организационно-технические и
методические аспекты учетной политики изложены в приложениях к приказу об
учетной политике:
основные нормативные документы,
регулирующие ведение бухгалтерского учета и бухгалтерской отчетности в ОАО
«АКС»;
рабочий план счетов бухгалтерского
учета финансово-хозяйственной деятельности ОАО «АКС»;
правила документооборота и
технология обработки учетной информации в ОАО «АКС;
инструкция по проведению
инвентаризации имущества и обязательств в ОАО «АКС»;
методы оценки отдельных видов
имущества и обязательств в ОАО «АКС».[5]
Амортизация объектов основных
средств начисляется линейным методом исходя из установленного срока полезного
использования, начиная с месяца, следующего за месяцем ввода их в эксплуатацию.
Амортизация не начисляется по:
земельным участкам;
объектам жилищного фонда, введенным
в эксплуатацию до 01.01.2006;
полностью самортизированным
объектам, не списанным с баланса.
Инвентаризация имущества и
финансовых обязательств осуществляется в соответствии с действующими[4].
Так же на предприятии действует
учётная политика в целях налогового учета, в которой закреплено:
ОАО «АКС» исчисляет и уплачивает
налоги, сборы в соответствии с законодательством Российской Федерации о налогах
и сборах, законодательством субъектов Российской Федерации о налогах и сборах,
нормативными правовыми актами органов местного самоуправления о налогах и
сборах.
Организация налогового учета на
предприятии.
Функции исчисления налогов (сборов),
формирования налоговых расчетов и налоговых деклараций и их подача в налоговые
органы возложены на уполномоченных сотрудников отдела бухгалтерского учета
предприятия. [6]
В соответствии с нормами первой
главы НК РФ предприятие исчисляет и уплачивает:
Федеральные налоги и сборы
налог на добавленную стоимость;
налог на доходы с физических лиц;
налог на прибыль организаций;
водный налог;
государственная пошлина;
Региональные налоги
налог на имущество организаций:
транспортный налог.
С 01.01.2008 года зачет излишне
уплаченных сумм (налогов, сборов, пеней, штрафов) проводится по видам налогов,
а не по уровням бюджетов [1].
С 01.01.2008 года предприятие входит
в категорию крупнейших налогоплательщиков и обязано представлять по принципу
одного окна по телекоммуникационным каналам связи все налоговые декларации
(расчеты) в налоговый орган по месту его учета в качестве крупнейшего
налогоплательщика.
Порядок составления налоговой
отчетности, формы регистров налогового учета и порядок их ведения, порядок
формирования налоговой базы, расчет и уплата налогов и сборов регулируется
Положением об учетной политике, а также внутренними документами ОАО «АКС» о порядке
исчисления и уплаты отдельных налогов и сборов.
Для целей налогообложения
предприятие признает выручку от продажи по мере отгрузки продукции (услуг).
Ежеквартально проводится
инвентаризация обязательств, связанных с расчетами по налогам и сборам, и
сверка задолженности с налоговыми органами.
В бухгалтерском учете обеспечивается
требования к раздельному учету в соответствии с положениями НК РФ.
Налог на добавленную стоимость
Для целей налогообложения моментом
определения налоговой базы в 2011г. является наиболее ранняя из дат:
день отгрузки (передачи) товаров
(работ, услуг), имущественных прав;
день оплаты, частичной оплаты в счет
предстоящих поставок товаров (выполнения работ, оказания услуг), передачи
имущественных прав.
Страховые взносы на обязательное
пенсионное страхование в ПФР
Предприятием производилось
исчисление страховых взносов на обязательное пенсионное страхование в ПФР и
страховых взносов на обязательное медицинское страхование в ФОМС, ТОМС и
налоговый учет в отношении выплачиваемых доходов и страховых взносов на
обязательное пенсионное страхование в ПФР. При расчете страховых взносов на
обязательное пенсионное страхование в ПФР в 2011 году применялись регрессивные
ставки налога.[26, с.65]
Налог на доходы физических лиц
Порядок уплаты налога на доходы
физических лиц предприятием и его филиалами.
По обособленным подразделениям,
входящим в состав предприятий:
сумма налога, подлежащая уплате в
бюджет по месту нахождения обособленного подразделения, определяется исходя из
суммы дохода, подлежащего налогообложению, начисляемого и выплачиваемого
работникам этих обособленных подразделений.
Головная организация исчисляет и
уплачивает налог на доходы физических лиц как по месту своего нахождения, так и
по месту нахождения обособленных подразделений, при этом сумма налога,
исчисленная с доходов, полученных работниками обособленных подразделений
перечисляется в бюджет по месту нахождения обособленных подразделений.
Сведения о доходах физических лиц,
как работников головной организации, так и работников обособленных
подразделений, представляются головной организацией по месту своего учета с
указанием ОКАТО местности, в бюджет которой перечислен налог.[19, с. 301]
При реорганизации юридических лиц в
форме присоединения начисление и уплата НДФЛ производятся у организации
правопреемника с учетом выплат с начала года по присоединенному предприятию.
Водный налог
Водный налог Предприятие
рассчитывает и уплачивает в соответствии с требованиями Главы 25.2 «Водный
налог» НК РФ.
С 01.01.2007 года не признаются налогоплательщиками
Предприятия, осуществляющие водопользование на основании договоров
водопользования или решений о предоставлении водных объектов в пользование,
соответственно заключенных и принятых после введения в действие Водного кодекса
РФ.
Декларация по водному налогу
предоставляется Предприятием по месту нахождения объекта налогообложения в
срок, установленный для уплаты налога. Налоговым периодом для исчисления и
уплаты водного налога является квартал.[29, с. 365]
Согласно п.1 ст.333.14 Гл.25-2 НК РФ
водный налог уплачивается по местонахождению объекта налогообложения.
Для целей исчисления налога на
прибыль сумма водного налога учитывается в составе прочих расходов, связанных с
производством и реализацией, согласно п.п. 1 п. 1 ст. 264 НК РФ. При признании
расходов методом начисления датой осуществления расходов в виде налогов
признается дата начисления налогов [1].
Учет налога на прибыль
В соответствии с внесением в п.1 ст.
284 НК РФ (Федеральные законы от 26.11.2008г. № 224-ФЗ, от 30.12.2008 №
305-ФЗ), вступившими в силу с 01.01.2009г., налоговая ставка по налогу на
прибыль организаций устанавливается в размере 20 процентов:
сумма налога, исчисленная по
налоговой ставке в размере 2 процентов, зачисляется в федеральный бюджет;
сумма налога, исчисленная по
налоговой ставке в размере 18 процентов, зачисляется в бюджеты субъектов
Российской Федерации. [34, с. 112]
Для целей налогообложения прибыли
ОАО «АКС» применяет единую систему организации, способы и формы ведения
налогового учета на основании главы 25 НК РФ и учетной политики.
ОАО «АКС» в 2012 году производило
исчисление и уплату ежемесячных авансовых платежей по налогу на прибыль, исходя
из фактически полученной прибыли.
Налог на имущество организаций
Налог на имущество предприятие
рассчитывает и уплачивает в соответствии с требованиями Главы 30 «Налог на
имущество организаций» НК РФ.
Налоговым периодом по налогу на
имущество Предприятия признается календарный год (период с 01 января по 31
декабря календарного года включительно). При этом правила подсчета средней
стоимости имущества, которую используют при расчете авансов по итогам 1
квартала, полугодия и 9 месяцев календарного года остались прежними, т.е.
изменился только порядок среднегодовой стоимости имущества.
Налог на имущество по имуществу,
полученному (созданному) по концессионному соглашению исчисляется и
уплачивается концессионером [1].
Исчисление и уплата налога
(авансовых платежей по налогу) на имущество, а также представление деклараций
по налогу на имущество производится отдельно в отношении:
имущества, подлежащего
налогообложению по месту нахождения предприятий;
имущества каждого обособленного
подразделения предприятий, выделенного на отдельный баланс (то есть налог на
имущество уплачивается в отношении имущества, находящегося на отдельном балансе
каждого из обособленных подразделений).
Сумма налога, подлежащая уплате,
определяется как произведение налоговой ставки, действующей на территории
соответствующего субъекта РФ, на которой расположены указанные обособленные
подразделения, и налоговой базы (одной четвертой средней стоимости имущества),
определенной за налоговый (отчетный) период в соответствии со статьей 376 НК
РФ, в отношении каждого обособленного подразделения.
каждого объекта недвижимого
имущества, находящегося вне места нахождения предприятий и их обособленных
подразделений, выделенных на отдельный баланс.
В случае если на балансе предприятий
учитываются объекты недвижимого имущества, находящиеся вне их места нахождения,
то предприятия уплачивают налог на имущество в бюджет по месту нахождения
каждого из указанных объектов недвижимого имущества.
При этом обособленные подразделения,
выделенные на отдельный баланс, самостоятельно определяют налоговую базу и
уплачивают налог (авансовые платежи по налогу) на имущество по недвижимому имуществу,
учитываемому у них на балансе, но находящемуся вне их местонахождения.
Транспортный налог
Транспортный налог рассчитывается и
уплачивается в соответствии с требованиями Главы 28 «Транспортный» НК РФ.
Налогоплательщиками транспортного
налога признаются Предприятия, на которых в соответствии с действующим
законодательством зарегистрированы транспортные средства, признаваемые объектом
налогообложения.
Для налогоплательщиков-организаций
отчетными периодами по транспортному налогу являются I, II и III кварталы.
Законодательные (представительные) органы субъектов Российской Федерации
отчетные периоды могут не устанавливать [1].
После окончания налогового периода
(он равен календарному году) Предприятие обязано представить не позднее 1
февраля года, следующего за истекшим налоговым периодом в налоговый орган, в
котором состоят на учете по месту нахождения транспортных средств, налоговую
декларацию по транспортному налогу.
При заполнении декларации следует
учитывать, что сумма налога к уплате в бюджет определяется как разница между
исчисленной величиной налога и суммами авансовых платежей, подлежащих уплате в
налоговом периоде [1].
В случае регистрации транспортного
средства и (или) снятия его с регистрации (снятия с учета, исключения из
государственного судового реестра и т. д.) в течение налогового периода сумма
налога исчисляется с учетом специального коэффициента.
Коэффициент определяется как
отношение числа полных месяцев, в течение которых данное транспортное средство
было зарегистрировано на налогоплательщика, к числу календарных месяцев в
налоговом периоде, то есть к 12.
При этом месяц регистрации
транспортного средства, а также месяц снятия его с регистрации считается
полным.
Если эти события произошли в течение
одного календарного месяца, то последний принимается за один полный месяц [17,
с. 287].
Налоговая база исчисляется по итогам
каждого отчетного (налогового) периода на основе данных налогового учета, если
главой 25 НК РФ предусмотрен порядок группировки и учета объектов и
хозяйственных операций для целей налогообложения, отличный от порядка
группировки и отражения в бухгалтерском учете.
В налоговом учете признание доходов
и расходов осуществляется по методу начисления. В соответствии с требованиями
главы 25 НК РФ по доходам и расходам, учитываемым в особом порядке,
налогооблагаемая база определена отдельно.[21, с. 362]
По всем объектам основных средств,
применялся нелинейный метод, за исключением зданий, сооружений, передаточных
устройств, нематериальных активов, входящих в восьмую - десятую амортизационные
группы, независимо от срока ввода в эксплуатацию соответствующих объектов, по
которым амортизация начисляется линейным методом.
Предприятие включает единовременно в
составе прочих расходов, связанных с производством и реализацией отчетного
периода, расходы на капитальные вложения в размере 10% (30% в отношении
объектов, относящихся к третьей - седьмой амортизационным группам)
первоначальной стоимости основных средств и (или) расходов, понесенных в
случаях достройки, дооборудования, модернизации, технического перевооружения,
реконструкции, частичной ликвидации основных средств с 01.01.2009 года
(амортизационную премию).
Все расходы, осуществляемые в пользу
работников и включенные в налоговые расходы, соответствуют требованиям ст.255
НК РФ.
Прочие расходы учтены в соответствии
с требованием ст.264 НК РФ.
Прочие доходы в целях налогового
учета признаны в соответствии с требованиями ст. 250 НК РФ.
.3 Краткая экономическая
характеристика предприятия ОАО «Амурские коммунальные системы»
Проведем анализ основных
экономических показателей деятельности ОАО «АКС» за три года на основании
«Отчета о финансовых результатах» (приложенияБ, В). Результаты анализа
представлены в таблице 1.
Таблица 1 - Основные экономические
показатели ОАО «Амурские коммунальные системы» за 2010 - 2012 годы, тыс. руб.
|
Показатели, тыс. руб.
|
2010 год
|
2011 год
|
2012 год
|
Изменения за период
|
|
|
|
|
2011 год к 2010 году
|
2012 год к 2011 году
|
|
|
|
|
Отклонение, +; -
|
Темп роста, %
|
Отклонение, +; -
|
Темп роста, %
|
|
Выручка
|
2807996,00
|
3156616,00
|
3294223,00
|
+348620,00
|
112,42
|
104,36
|
|
Себестоимость продаж
|
2580296,00
|
2763382,00
|
2970539,00
|
+183086,00
|
107,10
|
+207157,00
|
107,51
|
|
Уровеньс/с, %
|
91,89
|
87,54
|
90,17
|
-4,35
|
-
|
+2,63
|
-
|
|
Валовая прибыль
|
227700,00
|
393234,00
|
323684,00
|
+165534,00
|
172,70
|
-69550,00
|
82,31
|
|
Уровень ВП, %
|
8,11
|
12,46
|
9,83
|
+4,35
|
-
|
-2,63
|
-
|
|
Коммерческие расходы
|
71696,00
|
55837,00
|
54236,00
|
-15859,00
|
77,88
|
-1601,00
|
97,13
|
|
Уровень ком.расходов, %
|
2,55
|
1,77
|
1,65
|
-0,78
|
-
|
-0,12
|
-
|
|
Прибыль от продаж
|
156004,00
|
337397,00
|
269448,00
|
+181393,00
|
216,27
|
-67949,00
|
79,86
|
|
УровеньП от продаж, %
|
5,56
|
10,69
|
8,18
|
+5,13
|
-
|
-2,51
|
-
|
|
Проценты к получению
|
13394,00
|
8342,00
|
8513,00
|
-5052,00
|
62,28
|
+171,00
|
102,05
|
|
Проценты к уплате
|
55868,00
|
61780,00
|
72809,00
|
+5912,00
|
110,58
|
+11029,00
|
117,85
|
|
Прочие доходы
|
208709,00
|
62074,00
|
77274,00
|
-146635,00
|
29,74
|
+15200,00
|
124,49
|
|
Прочие расходы
|
142895,00
|
58117,00
|
105708,00
|
-84778,00
|
40,67
|
+47591,00
|
181,89
|
|
Прибыль до налогообложения
|
179344,00
|
287916,00
|
176718,00
|
+108572,00
|
160,54
|
-111198,00
|
61,38
|
|
УровеньП до н/о, %
|
6,39
|
9,12
|
5,36
|
+2,73
|
-
|
-3,76
|
-
|
|
Текущий налог на прибыль
|
25633,00
|
36924,00
|
14667,00
|
+11291,00
|
144,05
|
-22257,00
|
39,72
|
|
Уровень тек. налога на П, %
|
0,91
|
1,17
|
0,45
|
+0,26
|
-
|
-0,72
|
-
|
|
Чистая прибыль отчетного периода
|
146068,00
|
251494,00
|
149464,00
|
+105426,00
|
172,18
|
-102030,00
|
59,43
|
|
Уровень ЧП, %
|
5,20
|
7,97
|
4,54
|
+2,77
|
-
|
-3,43
|
-
|
Основным экономическим показателем
деятельности любого предприятия является выручка от реализации товаров (работ,
услуг).
По итогу 2012 года доходы от
основных видов деятельности имеют тенденцию к увеличению и составили 3 294 223
тыс. руб., что на 137 607 тыс. руб. больше, по сравнению с 2011 годом. Темп
роста составил 104,36 %. В 2011 году выручка составила 3 156 616 тыс. руб., по
отношению к 2010 году, она увеличилась на 384 620 тыс. руб. Темп роста составил
112,42%, что на 8,06% больше, чем в 2012 году.
Наибольший уровень себестоимости
продаж наблюдается за 2010 год - 91,89 %. Это на 4,35 % больше, чем за 2011
год; и на 1,72% больше, чем в 2012 году. Наибольшая сумма себестоимости продаж
наблюдается в отчетном периоде 2 970 539 тыс. руб.
В 2011 году валовая прибыль
составила 393 234 тыс. руб., что на 165 534 тыс. руб. больше, чем в 2010 году.
Темп роста составил 172,7 %. Валовая прибыль в отчётном периоде уменьшилась на
69 550 тыс. руб. и составила 323 684 тыс. руб. В структуре валовая прибыль
соответственно снизилась и составила 9,83 %. На снижение валовой прибыли в
отчетном периоде повлиял опережающий темп роста себестоимости над выручкой на
3,15 %.
За 2010 год наблюдается наибольшая сумма
коммерческих расходов - 71 696 тыс. руб. В сравнении с 2011 годом они
уменьшились на 15 859 тыс. руб., темп роста составил 77,88 %. За 2012 год сумма
коммерческих расходов снизилась на 1 681 тыс. руб. и составила54 236 тыс. руб.
Темп роста составил 97,13%.
Прибыль от продаж - положительный
результат от основной деятельности предприятия. Наибольшую прибыль от продаж
предприятие получило в 2011 году - 337 397 тыс. руб. Это на 181 393 тыс. руб.
больше, чем в 2010. Темп роста составил 216,27 %. К 2012 году прибыль снизилась
на 67 949 тыс. руб., темп роста - 79,86 %.
Наибольший уровень прибыли от продаж
наблюдается за 2011 год - 10,69%. Это на 5,13 % больше, чем за 2010 год,но на
2,51 % меньше, чем за 2012 год. На это повлияло увеличение себестоимости продаж
на 207 157 тыс. руб. в 2012 году.
По прочим доходам мы наблюдаем
наибольшую сумму в 2010 году - 208 709 тыс. руб. В 2012 году прочие доходы
имеют тенденцию к увеличению, они составили 77 274 тыс. руб., что на 15 200
тыс. руб. больше, чем в 2011 году. Темп роста составил 124,49%.
Прочие расходы в отчетном периоде
составили 105 708 тыс. руб., что на 47 591 тыс. руб. больше, чем в 2011 году.
Удельный вес соответственно увеличился на 1,37% и составил 3,21%. Темп роста
составил 181,89%. Наименьшая сумма прочих расходов составила в 2011 году - 58
117 тыс. руб., что на 84 778 тыс. руб. меньше, чем в 2010 году. Темп роста
составил 40,67%.
Фактическая прибыль до
налогообложения составила 176 718 тыс. руб., что на 111 198 тыс. руб. меньше,
чем в 2011 году. Темп роста составил 61,38 %. Наибольшую прибыль до
налогообложения предприятие получило в 2011 году, она составила 287 916 тыс.
руб. По сравнению с 2010 годом она увеличилась на 108 572 тыс. руб.
За 2011 год наблюдается больший
уровень прибыли до налогообложения - 9,12 %. Это на 2,73 % больше, чем за 2010
год и на 3,76 % больше, чем за 2012 год.
Наибольшая сумма чистой прибыли
пришлась на 2011 год. Она составила 251 494 тыс. руб. По сравнению с 2010 годом
увеличилась на 105 426 тыс. руб., темп роста составил 172,18 %. На 2012 год
сумма чистой прибыли составила 149 464 тыс. руб., что на 102 030 тыс. руб.
меньше, по сравнению с 2011 годом. Темп роста составил 59,43%.
За 2011 год наблюдается больший
уровень чистой прибыли - 7,97 %. Это на 2,77 % больше, чем за 2010 год и на
3,43% больше, чем за 2012 год.
По итогу анализируемого периода
предприятие ОАО «Амурские коммунальные системы» в отчётном году сработало менее
эффективнее, чем в предшествующем году, но 2011 году более эффективнее, по
сравнению с 2010 годом.
3. АНАЛИЗ УЧЁТА ФОРМИРОВАНИЯ И
ИСПОЛЬЗОВАНИЯ СОБСТВЕННОГО КАПИТАЛА. ОЦЕНКА ФАКТОРОВ, ВЛИЯЮЩИХ НА
РЕНТАБЕЛЬНОСТЬ ПРЕДПРИЯТИЯ
.1 Значение, задачи, порядок анализа
собственного капитала ОАО «Амурские коммунальные системы»
Собственный капитал организации
представляет собой стоимость е активов, не обремененных обязательствами. Таким
образом, собственный капитал представляет собой разность между активами и
обязательствами. [22, с. 116]
Причины увеличения или уменьшения
имущества хозяйствующего субъекта устанавливают в ходе анализа происшедших
изменений в составе источников его образования.
Поступление, приобретение и создание
имущества осуществляется за счет собственных и заемных средств, характеристика
соотношения которых раскрывает существо финансового положения.
Анализ предполагает оценку состава,
структуры и динамики изменения собственных и заемных средств в целом в
источниках имущества. Затем необходимо отдельно проанализировать состав и
динамику элементов собственного и заемного капитала.[30, с. 520]
Собственный капитал включает разные
по своему экономическому содержанию, по принципам формирования и использования
источники: уставный капитал, добавочный, резервный капитал, фонд социальной
сферы, целевые финансирования и поступления, нераспределенная прибыль.
Анализ осуществляется с определением
абсолютного изменения элементов источников собственного капитала, затем
определяется удельный вес каждого элемента источника собственного капитала в
общей величине собственного капитала (капитал и резервы) и в валюте баланса. На
основе отклонений по удельному весу необходимо дать оценку изменения источников
имущества.[24, с. 468]
Величина собственного капитала
торговой организации может быть увеличена на сумму средств целевого
финансирования и поступлений в виде государственной помощи. Государственная
помощь выделяется в форме субвенции - предоставление бюджетных средств
юридическому лицу на возмездной и безвозмездной основах; субсидий -
предоставление бюджетных средств юридическому лицу на условиях долевого
финансирования целевых расходов или бюджетных кредитов, по которым торговая
организация освобождается от возврата полученных ресурсов при выполнении
определенных условий. Таким образом, государственная помощь признается как
увеличение экономических выгод организации в результате поступления денежных
средств или иного имущества, например земельных участков.[31, с. 305]
Чем больше у предприятия источников
собственных средств, тем легче ему справиться с неурядицами рыночной экономики.
Вот почему руководители предприятий и менеджеры проявляют излишнюю
предприимчивость в наращивании собственного капитала путем создания за счет
прибыли всевозможных резервов и специальных фондов или прямого зачисления части
прибыли в источники собственных средств. Многие западные экономисты считают, что
собственный капитал должен составлять не менее 50% в активах предприятия.
Стандарт Европейского экономического сообщества (Европейского союза)
предусматривает долю источников собственных средств в активах предприятия не
ниже 60%. В этом случае кредиторы будут чувствовать себя спокойно, так как все
заемные средства могут быть полностью компенсированы собственностью
предприятия. Долю источников собственных средств в активах предприятия принято
называть коэффициентом финансовой независимости.
Размер источников собственных
средств предприятия зависит от специфики и объемов операционной (основной),
финансовой и другой его деятельности, скорости обращения активов и пассивов,
возможностей и целесообразности привлечения кредитов банка, кредиторской
задолженности, других заемных источников средств.[28, с. 218]
Также к источникам собственных
средств приравнивают долгосрочные кредиты банков и долгосрочные займы, так как
они выдаются на длительный срок (более года). Собственный капитал плюс
долгосрочные кредиты и займы в совокупности составляют перманентный капитал
предприятия.[25, с. 522]
Информационной базой для проведения
анализа величины и структуры собственного капитала торговой организации служат
основные формы бухгалтерской отчетности: бухгалтерский баланс «Отчет о
финансовых результатах», Приложение к балансу. Информацией для анализа движения
собственного капитала могут также служить данные аналитического учета и
отдельных бухгалтерских регистров.
В бухгалтерском балансе торговой
организации, которая имеет организационно-правовую форму акционерного общества
(закрытого или открытого), отражается величина уставного капитала в
соответствии с учредительными документами, которая равна номинальной стоимости
акций, приобретенных акционерами.[32, с. 256]
Торговые организации, созданные в
форме обществ с ограниченной ответственностью, отражают в балансе величину
складочного капитала как совокупность вкладов участников общества, которая
указана в учредительных документах.
Особое внимание при оценке
источников собственного капитала необходимо обратить на наиболее устойчивую
часть собственного капитала - уставный капитал (принципы формирования,
изменения и т.д.). Его величина может быть изменена в течении года при условии
сохранения формы собственности путем выпуска (или выкупа) акций либо повышения
(или снижения) номинальной стоимости акций. Непременным условием изменения
величины уставного капитала является внесение соответствующих изменений в
учредительные документы.
Добавочный капитал - это эмиссионный
доход. Он включает суммы от дооценкивнеоборотных активов, средства ассигнований
из бюджета, использованные на финансирование долгосрочных вложений, а также
другие поступления в собственный капитал.
Резервный капитал включает ту часть
собственного капитала, которая предназначается для покрытия непредвидимых
потерь (убытков), для выплаты доходов инвесторам, когда прибыли на эти цели
недостаточно. Основным источником его образования является прибыль. Отчисления
осуществляются ежегодно, в акционерных обществах и обществах с ограниченной
ответственностью размер должен составлять не менее 15% уставного капитала.
Нераспределенная прибыль является
источником финансирования определенных направлений текущей деятельности
хозяйствующего субъекта. Наличие нераспределенной прибыли можно рассматривать
как источник пополнения оборотных активов. Тенденция к снижению абсолютной, а
тем более относительной величины (доли) является свидетельством падения деловой
активности предприятия.
Однако следует помнить при оценке
данного показателя, что его величина во многом зависит от учетной политики
предприятия.
Увеличение доли собственных средств
за счет любого из перечисленных источников способствует усилению финансовой
устойчивости хозяйствующего субъекта.
Собственные средства пополняются как
за счет внутренних (прибыли), так и за счет внешних (выпущенные и реализованные
акции - привлекаются средства извне) поступлений.
На соотношение собственных и заемных
средств оказывают влияние факторы, обусловленные внутренними и внешними
условиями работы хозяйствующего субъекта и выбранной им финансовой стратегии:
Различие величины процентных ставок
за кредит и ставок на дивиденды. Если процентные ставки меньше ставок на
дивиденды, то следует повысить долю заёмных средств, и наоборот.
Расширение или сокращение деятельности
хозяйствующего субъекта, в связи с этим снижается или увеличивается потребность
привлечённых средств.
Накопление излишних или
малоиспользуемых запасов, устаревшего оборудования, материалов.
Отвлечение средств в образование
сомнительной дебиторской задолженности, что влечёт привлечение дополнительных
заёмных средств.
Анализ собственного капитала имеет
следующие основные цели:
выявить основные источники
формирования собственного капитал и определить последствия их изменений для
финансовой устойчивости предприятия;
установить способность организации к
сохранению капитала;
оценить возможность наращивания
капитала;
определить правовые, договорные и
финансовые ограничения в распоряжении текущей и накопленной нераспределённой
прибылью. [22, с. 117]
Выбор метода оценки сохранения
капитала - финансового или физического - осуществляется хозяйствующим субъектом
самостоятельно и зависит от интересов и потребностей пользователей. В том
случае, когда пользователей интересует поддержание инвестированного капитал с учетом
изменения покупательной способности денег, применяется концепция поддержания
финансового капитала. Если пользователей интересуют производственные
возможности анализируемого хозяйствующего субъекта и сохранение его
производственных активов, применяется концепция поддержания физического
капитала.
Значение концепций поддержания
капитала для финансового анализа состоит в том, что они позволяют определять
условия сохранения капитала и вытекающие из этих условий критерии признания
полученной прибыли. [23, с. 118]
Вертикальный (структурный) анализ -
это представление бухгалтерской (финансовой) отчетности в виде относительных
величин, которые характеризуют структуру итоговых показателей. Вертикальный
анализ может проводиться по исходной отчетности или агрегированной.
Преимущества такого вида анализа отчетности также очевидны при сравнении
отчетов.
Все статьи баланса при вертикальном
анализе приводятся в процентах к итогу баланса. Структурный анализ баланса
позволяет рассматривать соотношение оборотных и внеоборотных активов
предприятия, а также структуру внеоборотных и оборотных активов; определять
удельный вес собственного и заёмного капитала, структуру капитала по видам.
[13, с.29]
собственный капитал учет анализ
3.2 Анализ собственного капитала
предприятия ОАО «Амурские коммунальные системы»
Рассмотрим в качестве примера
вертикального и горизонтального анализа баланс (приложение А) ОАО «Амурские
коммунальные системы» (таблица 2), предварительно объединив его статьи в
однородные группы.
Таблица 2 - Динамика и структура
пассива баланса ОАО «Амурские коммунальные системы» на 31 декабря 2012 года,
тыс. руб.
|
Статьи пассива баланса
|
2010 год
|
2011 год
|
2012 год
|
Изменения за период, ±
|
|
S тыс. руб.
|
S тыс. руб.
|
S тыс. руб.
|
2011 к 2010 г.
|
2012к 2011 г.
|
|
|
|
|
Отклонение, ±
|
Темп роста, %
|
Отклонение, ±
|
Темп роста, %
|
|
Валюта баланса
|
1 295 646
|
1 700 906
|
2 137 931
|
+405 260
|
131,28
|
+437 025
|
125,69
|
|
1. Собственный капитал
|
61 522
|
313 016
|
462 480
|
+251 494
|
508,79
|
+149 464
|
147,75
|
|
Удельный вес, %
|
4,75
|
18,40
|
21,63
|
+13,65
|
-
|
3,23
|
-
|
|
2. Заёмный капитал
|
1 234 124
|
1 387 890
|
1 675 451
|
+153 766
|
112,46
|
+287 561
|
120,72
|
|
Удельный вес, %
|
95,25
|
81,60
|
78,37
|
-13,65
|
-
|
-3,23
|
-
|
|
2.1 Долгосрочные займы
|
91 474
|
764 711
|
557 261
|
+673 237
|
835,99
|
-207 450
|
72,87
|
|
Удельный вес, %
|
7,06
|
44,96
|
26,07
|
+37,90
|
-
|
-18,89
|
-
|
|
2.2 Краткосрочные обязательства
|
1 142 650
|
623 179
|
1 118 190
|
-519 471
|
54,54
|
+495 011
|
179,43
|
|
Удельный вес, %
|
88,19
|
36,64
|
52,30
|
-51,55
|
-
|
+15,66
|
-
|
|
2.2.1 Краткосрочные займы и кредиты
|
578 461
|
108 947
|
499 533
|
-469 514
|
18,83
|
390 586
|
458,51
|
|
Удельный вес, %
|
44,64
|
6,41
|
23,36
|
-38,23
|
-
|
+16,95
|
-
|
|
2.2.2 Кредиторская задолженность
|
562 755
|
512 895
|
617 404
|
-49 860
|
91,14
|
104 509
|
120,38
|
|
Удельный вес, %
|
43,43
|
30,15
|
28,88
|
-13,28
|
-
|
-1,27
|
-
|
|
2.2.4 Доходы будущих периодов
|
1 434
|
1 337
|
1 253
|
-97
|
93,24
|
-84
|
93,72
|
|
Удельный вес, %
|
0,11
|
0,08
|
0,06
|
-0,03
|
-
|
-0,02
|
-
|
В пассиве баланса отражаются
источники формирования предприятия. На конец отчетного периода валюта баланса
составила 2 137 931 тыс. руб., что на 437 025тыс. руб. больше, чем в 2011 году
и на 405 260 тыс. руб. больше, чем в 2010 году.
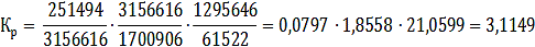
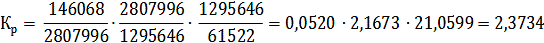
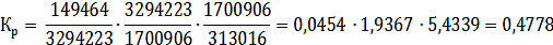
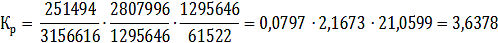
Стоимость собственного капитала на
конец периода увеличилась на 149 464 тыс. руб., составив 462 480 тыс. руб.
Удельный вес собственного капитала на конец периода составил 21,63%, что на
3,23 % больше, чем на начало периода. В 2011 году стоимость собственного
капитала составила 313 016 тыс. руб., что на 251 494 тыс. руб. больше, чем в
2010 году. Это связано с тем, что валюта баланса на конец периода увеличилась.
Заёмный капитал на конец периода
имеет тенденцию к увеличению, составив 1 675 451тыс. руб., что на 287 561 тыс.
руб. больше, чем на начало года. Удельный вес на конец года снизился на 3,23 %
и составил 78,37%. В 2011 году сумма заемного капитала составила 1 387 890 тыс.
руб., что на 153 766 тыс. руб. больше, чем в 2010 году.
В структуре заёмного капитала
произошли следующие изменения:
долгосрочные займы на конец года
составили 557 261 тыс. руб., что на 207 450 тыс. руб. меньше, чем на начало
года; в 2011 году - 764 711 тыс. руб., что на 673 237 тыс. руб. больше, чем в
2010 году.
краткосрочные обязательства на конец
года увеличились на 495 011 тыс. руб., составив 1 118 190 тыс. руб. Удельный
вес соответственно увеличился на 15,66% и составил 52,3 %. Это говорит о том,
что у предприятия неустойчивое финансовое положение;
)кредиторская задолженность на конец
года составила 617 404 тыс. руб., что на 104 509 тыс. руб. больше, чем на
начало года. Удельный вес снизился на 1,27% и составил 28,88. В 2011 году сумма
кредиторской задолженности снизилась на 49 860 тыс. руб. и составила 512 895
тыс. руб. В статье кредиторской задолженности произошли следующие изменения:
.1) самая высокая задолженность у
организации возникла перед поставщиками и подрядчиками. На конец года она
увеличилась на 122 662 тыс. руб., составив 466 298 тыс. руб. в 2010 году - 343
636 тыс. руб., что на 83 547 тыс. руб. меньше, чем в 2010 году;
3.2) задолженность по налогам и
сборам за анализируемый период снижается. На конец года - 44 767 тыс. руб., что
на 15 417 тыс. руб. меньше, чем на начало года. В 2011 году сумма задолженности
составила 60 184 тыс. руб., что на 11 041 тыс. руб. меньше, чем в 2010 году;
.3) расчеты с покупателями и
заказчиками имеет тенденцию к увеличению. На конец года задолженность составила
39 836 тыс. руб., что на 11 841 тыс. руб. меньше, чем 2011 году;
.4) задолженность перед персоналом
организации на конец года увеличилась на 9 492 тыс. руб., составив 35 014 тыс.
руб.;
) доходы будущих периодов на конец
года уменьшились на 84 тыс. руб., составив 1 253 тыс. руб.
Мероприятия по улучшению структуры
баланса:
Своевременно погашать кредиторскую
задолженность, а именно:
перед поставщиками и подрядчиками;
перед персоналом организации;
перед прочими кредиторами;
по налогам и сборам.
Снижать краткосрочные займы с
помощью увеличения нераспределённой прибыли;
Снижать сумму кредиторской
задолженности при помощи погашения существующей задолженности;
Увеличить стоимость собственного
капитала за счёт нераспределённой прибыли и увеличить уставный капитал за счёт
вкладов учредителей.
Вертикальный анализ баланса
позволяет наглядно определить значимость пассивов баланса.
Вертикальный анализ структуры
собственного капитала позволяет наглядно определить значимость каждого
источника собственных средств.
Важным вопросом анализа является изучение
и оценка эффективности использования собственного капитала. Для этого прежде
всего определяют источники собственных средств, вложенных в оборотные активы.
Они рассчитываются вычитанием из общей суммы собственного капитала,
рассчитанного по данным третьего и пятого разделов бухгалтерского баланса,
внеоборотных активов (итог первого раздела баланса). При расчете необходимо
иметь в виду, что основные средства, капитальные вложения, долгосрочные
финансовые вложения и нематериальные активы частично или полностью могут быть
сформированы за счет долгосрочных кредитов и других заемных средств.[33, с.
117]
Источники собственных оборотных
средств можно определить вычитанием из итога второго раздела актива
бухгалтерского баланса долгосрочных обязательств, краткосрочных кредитов,
краткосрочных заемных средств, краткосрочной кредиторской задолженности и
других краткосрочных обязательств.[35, с. 283]
Коэффициент обеспеченности
собственным оборотным капиталом рассчитывают и изучают как отношение источников
собственных оборотных средств к итогу второго раздела бухгалтерского баланса.
Правилами по анализу финансового
состояния и платежеспособности субъектов предпринимательской деятельности
минимальный коэффициент обеспеченности собственными оборотными средствами для предприятий
торговли и общественного питания установлен в размере 0,1, т.е. 10%.
В процессе анализа выявляют случаи
иммобилизации источников собственных средств в дебиторскую задолженность, в
перерасходы средств специальных фондов, резервов, целевого финансирования, в
затраты на капитальное строительство. Для определения суммы иммобилизации
собственного капитала в дебиторскую задолженность необходимо сопоставить ее с
соответствующей кредиторской задолженностью. Иммобилизация источников
собственных средств в капитальное строительство устанавливается по данным
текущего учета сравнением затрат по капитальному строительству с их
источниками.[39, с. 187]
Одним из основных показателей оценки
эффективности использования собственного капитала является рентабельность,
определяемая отношением прибыли к среднегодовым остаткам источников собственных
средств. Формулу расчета рентабельности можно преобразовать, и приемом цепных
подстановок измерить влияние на ее размер изменения рентабельности продаж,
фондоотдачи активов и обеспеченности активами собственного капитала.
Для обобщающей оценки эффективности
использования источников собственных средств следует определить их долевое
участие в товарных запасах. Долевое участие собственного капитала в
формировании запасов товаров моет быть рассчитано вычитанием из товарных
остатков кредиторской задолженности поставщикам и покупателям и кредитов банка,
полученных под эти ценности.
Снижение процента долевого участия
источников собственных средств в формировании товарных запасов указывает на
ухудшение финансового состояния торгового предприятия.
Необходимо отметить, что
кредиторская задолженность поставщикам и покупателям за товары одновременно
является источником покрытия соответствующей дебиторской задолженности, что
следует учитывать при определении долевого участия собственного капитала в
формировании товарных запасов.
Таблица 3 - Анализ наличия
собственного капитала ОАО «Амурские коммунальные системы» за 2010 - 2012 годы,
тыс. руб.
|
Показатели, тыс. руб.
|
2010 год
|
2011 год
|
2012 год
|
Изменения за период
|
|
|
|
|
2011 к 2010, тыс. руб.
|
Темп роста, %
|
2012 к 2011, тыс. руб.
|
Темп роста, %
|
|
|
|
|
Отклонение ±
|
|
Отклонение,±
|
|
|
1.Уставный капитал
|
10000
|
10000
|
10000
|
0
|
100,00
|
0
|
100,00
|
|
2.Добавочный капитал
|
-
|
-
|
-
|
-
|
-
|
-
|
-
|
|
3.Резервный капитал
|
500
|
500
|
500
|
0
|
100,00
|
-
|
100,00
|
|
4.Нераспределенная прибыль
|
51022
|
302516
|
451980
|
+251494,00
|
592,91
|
+149464,00
|
149,41
|
|
5.Итого источников собственных средств
|
61522
|
313016
|
462480
|
+251494,00
|
508,79
|
+149464,00
|
148,07
|
|
6.Основные средства
|
133681
|
338058
|
461744
|
+204377,00
|
252,88
|
+123686,00
|
136,59
|
|
7.Долгосрочные финансовые вложения
|
23531
|
-
|
-
|
-23531,00
|
0
|
-
|
-
|
|
8.Прочие внеоборотные активы
|
2882
|
2222
|
1306
|
-660,00
|
77,10
|
-916,00
|
58,78
|
Общая сумма источников собственных
средств на 31 декабря 2012 года составила462 480 тыс. руб., что на 149 464 тыс.
руб. больше, чем за 2011 год и на 251 494 тыс. руб. больше, чем за 2010 год.
Темп роста за отчетный год составляет 148,07%. Рассмотрим состав и структуру
наличия собственного капитала данного предприятия.
Уставный капитал предприятия за три
годане изменился и составляет 10 000 тыс. руб. Темп роста соответственно
составил 100%.
Резервный капитал предприятия
составляет 500 тыс. руб.
Нераспределенная прибыль имеет
тенденцию к увеличению. За отчетный год она увеличилась на 149 464 тыс. руб. по
сравнению с 2011 годом и на 251 494 тыс. руб. по сравнению с 2010 годом. Темп
роста увеличился на 49,41%.
Основные средства за 2012 год
составляют461 744тыс. руб., что на 123 686 тыс. руб. больше, чем за 2011 год и
на 328 063 тыс. руб. больше, чем за 2010 год. Темп роста за отчетный год
составил 136,59%.
Долгосрочные финансовые вложенияна
данном предприятии имеются только за 2010 год и составили 23 531 тыс. руб.
Прочие внеоборотные активы за
анализируемый период уменьшаются. За отчетный год они составили 1 306 тыс.
руб., что на 916 тыс. руб. меньше, чем в 2011 году, и на 660 тыс. руб. меньше,
чем в 2010 году. Темп роста соответственно уменьшился на 18,32% и составил
58,78%.
Положительный показатель собственных
оборотных средств говорит об увеличении получаемой предприятием прибыли.
.3 Анализ рентабельности предприятия
ОАО «Амурские коммунальные системы»
Одним из важнейших показателей
эффективности работы предприятия является рентабельность.
Рентабельность - это качественный
показатель деятельности предприятия, который характеризует эффективное
использование ресурсов, а также эффективность управления капиталом и имуществом
предприятия. Рентабельность отражает степень прибыльности работы предприятия.
Анализ рентабельности заключается в исследовании уровней прибыли по отношению к
различным показателям и их динамики.[38, с. 264]
Определим факторы, влияющие на
рентабельность предприятия, для этого составим таблицу № 4.
Таблица 4- Факторы, влияющие на
рентабельность предприятия ОАО «Амурские коммунальные системы», тыс. руб.
|
Факторы, влияющие на рентабельность
|
2010 год
|
2011 год
|
2012 год
|
Отклонение, ±
|
|
|
|
|
2011 к 2010 году
|
2012 к 2011 году
|
|
Выручка, тыс. руб.
|
2807996
|
3 156616
|
3294223
|
+ 348 620
|
+137607
|
|
Себестоимость, тыс. руб.
|
2580296
|
2763382
|
2970539
|
+ 183 086
|
+207157
|
|
Коммерческие расходы, тыс. руб.
|
71696
|
55837
|
54236
|
- 15 859
|
-1601
|
|
Рентабельность продаж, %
|
5,56
|
10,69
|
8,18
|
+ 5,13
|
-2,51
|
|
Прибыль до налогообложения, тыс. руб.
|
179344
|
287916
|
176718
|
+ 108 572
|
-111198
|
|
Чистая прибыль, тыс. руб.
|
146068
|
251494
|
149464
|
+ 105 426
|
-102030
|
В отчетном году выручка от
реализации увеличилась на 137 607 тыс. руб. и фактически составила 3 294 233
тыс. руб., себестоимость увеличилась на 183 086 тыс. руб., и составила 2 970
539 тыс. руб.
Коммерческие расходы в 2012 году
имеют наименьшую сумму, по сравнению с 2011 и 2010 годом. Фактически они
составили 54 236 тыс. руб., что на 1 601 тыс. руб. меньше, чем в 2011 году, и
на 15 859 тыс. руб. меньше, чем в 2010 году.
Наибольшая прибыль до
налогообложения в 2011 году - 287 916 тыс. руб., что на 108 572 тыс. руб.
больше, чем в 2010 году. Фактическая сумма прибыль до налогообложения составила
176 718 тыс. руб., что на 111 198 тыс. руб. меньше, чем в 2011 году.
Чистая прибыль составила в отчетном
году 149 464 тыс. руб., что на 103 030 тыс. руб. меньше, чем в 2011 году.
Можно сделать вывод, что
деятельность организации в 2011 году была прибыльнее, чем в 2012 году, этому
способствовал рост себестоимости и уменьшение прибыли организации, а так же
уменьшение рентабельности продаж на 2,51 % в 2012 году, по сравнению с 2011
годом.
Кроме коэффициента рентабельности
продаж для анализа собственного капитала используют следующие показатели:
рентабельность всего капитала,
рентабельность собственного
капитала,
рентабельность финансовых вложений.
Рентабельность продаж -
характеризует эффективность торговой деятельности от величины прибыли
приходящиеся на единицу товарооборота (с каждого рубля выручки).
(1)
Наибольший коэффициент
рентабельности продаж составил в 2011 году - 10,89%. Наименьший - в 2010 году.
В отчетном периоде рентабельность продаж уменьшилась на 2,51 % и составила 8,15
%.Когда
принимает
значение от 20 до 30 %, организация считается высокорентабельной, в интервале
от 5 до 20 % - средняя рентабельность, в пределах от 1 до 5% - низкая. За
анализируемый период организация имеет среднюю рентабельность.
Рентабельность
собственного капитала - характеризует эффективность использования собственного
капитала предприятия и позволяет сравнить прибыль с возможным валовым доходом
от вложения собственного капитала в другие сферы деятельности.
(2)
Рентабельность
собственного капитала за анализируемый период снизилась. В 2012 году - 38,55%;
в 2011 году - 134,3%; в 2010 году - минус 634,44%.
) Коэффициент
использования собственного капитала - определяет долю средств, инвестированных
в деятельность предприятия его владельцами. Чем выше значение этого
коэффициента, тем более, финансово устойчиво, стабильно и независимо от внешних
кредиторов предприятие.
(3)
Коэффициент собственного
капитала за три года снижается, и фактически составил 0,32%.
) Бухгалтерская
рентабельность от обычных видов деятельности - показатель, характеризующий
эффективность текущей деятельности организации.
(4)
Наибольший показатель
бухгалтерской рентабельности составил в 2011 году - 9,12%. Наименьший - в
отчетном периоде, он составил 5,36%.
Чистая рентабельность -
показывает, как влияет налогообложение на доходность предприятия.
(5)
Чистая рентабельность с
2010 по 2011 год имеет тенденцию к увеличению. В отчетном периоде этот
показатель самый низкий - 4,53%.
Экономическая
рентабельность - показывает величину прибыли, которую получит предприятие на
единицу стоимости капитала (всех видов ресурсов организации в денежном
выражении, независимо от источников их финансирования).
(6)
Экономическая
рентабельность в отчетном периоде составила 7,79%; в 2011 - 16,79%; в 2010 -
12,66%.
Для анализа собственного
капитала рассчитаем показатели рентабельности, составим аналитическую таблицу 5
«Показатели рентабельности»
Таблица 5 - Показатели
рентабельности ОАО «Амурские коммунальные системы» за 2010 - 2012 годы, в
процентах
|
Показатели, %
|
2010 год
|
2011 год
|
2012 год
|
Отклонение, ±
|
|
|
|
|
2011 к 2010 году
|
2012 к 2011 году
|
|
Рентабельность продаж
|
5,56
|
10,89
|
8,15
|
+5,33
|
-2,74
|
|
|
Бухгалтерская рентабельность от обычных видов деятельности
|
6,38
|
9,12
|
5,36
|
+2,73
|
-3,75
|
|
|
Чистая рентабельность
|
5,20
|
7,96
|
5,36
|
+2,76
|
-2,60
|
|
|
Экономическая рентабельность
|
12,66
|
16,79
|
7,79
|
+4,13
|
-9,00
|
|
|
Рентабельность собственного капитала
|
-634,44
|
134,3
|
38,55
|
+768,74
|
-95,75
|
|
Анализ таблицы 5 показывает, что
рентабельность продаж в 2012 году
составляет 8,15%, что на 2,74% меньше, чем в 2011 году; в 2011 году
рентабельность составила 10,89%, что на 5,33% больше, чем в 2010 году.
бухгалтерская рентабельность в 2012
году составляет 5,36%, что на 3,75% меньше, чем в 2011 году; в 2011 - 9,12%,
что на 2,36% больше, чем в 2010 году.
чистая рентабельность в отчетном
году составляет 5,36%, что меньше на 2,60%, чем в 2011 году; наибольшая
рентабельность в 2011 году, а именно 7,96%, что на 2,76% больше, чем в 2010
году.
экономическая рентабельность в 2012
году составляет 7,79%, что на 9% меньше, чем в 2011 году. Наибольшая
рентабельность составила в 2011 году - 16,79%, что на 4,13% больше, чем в 2010
году.
рентабельность собственного капитала
в 2012 году составила 38,55%, что на 95,75% меньше, чем в 2011 году; в 2011
году рентабельность собственного капитала увеличилась на 768,74% и составила
134,3%.
Таким образом, предприятие в 2011
году сработало эффективнее, чему способствуют рассчитанные показатели
рентабельности.
Рентабельность продаж можно
наращивать путем повышения цен или снижения затрат.
Наиболее последовательная политика
организации, отвечающая целям укрепления ее финансового состояния, состоит в
том, чтобы увеличивать производство и реализацию той продукции, необходимость
которой определена путем улучшения рыночной конъюнктуры.
При анализе экономической
рентабельности, безусловно, нужно принимать во внимание роль отдельных ее
элементов. Но зависимость целесообразно строить не через оборачиваемость
элементов, а черезоценку структуры капитала в увязке с динамикой его
оборачиваемости и рентабельности.
Рентабельность активов может
повышаться при неизменной рентабельности продаж и росте объема реализации,
опережающем увеличение стоимости активов, т.е. ускоренной оборачиваемости
активов (ресурсоотдачей). И, наоборот, при неизменной ресурсоотдаче,
рентабельность активов может расти и за счет роста балансовой (до
налогообложения) рентабельности.
Для повышения рентабельности
собственного капитала необходимо принимать во внимание три ключевые особенности
этого показателя.
Первая связана с проблемой выбора
стратегии управления финансово-хозяйственной деятельностью организации. Если
выбирать стратегию с высоким риском, то необходимо получение высокой прибыли.
Или наоборот - небольшая прибыль, но зато почти без риска. Одним из показателей
рисковости бизнеса как раз является коэффициент финансовой независимости, его
низкое значение говорит о том, что доля собственного капитала в меньшей степени
увеличивается за счет повышения факторов - коэффициента финансовой
независимости. И это положение ослабляет финансовую устойчивость организации.
Вторая особенность связана с
проблемой оценки. Числитель и знаменатель в формуле рентабельности собственного
капитала выражены в денежных единицах разной покупательной способности.
Числитель, то есть прибыль, динамичен. Он отражает результаты деятельности и
сложившийся уровень цен на товары за истекший период. Знаменатель, т.е.
стоимость собственного капитала, складывается в течение ряда лет. Он выражен в
учетной оценке, которая существенно отличается от текущей оценки.
И наконец, третья особенность
связана с временным аспектом деятельности организации. Коэффициент чистой
рентабельности, влияющий на рентабельность собственного капитала, определяется
результативностью работы отчетного периода, а будущий эффект долгосрочных
инвестиций он не отражает. Снижение рентабельности собственного капитала нельзя
рассматривать как негативную характеристику текущей деятельности, если
предполагается окупляемость затрат в дальнейшем.[20, с. 274]
Связь между рентабельностью
собственного капитала и рентабельностью активов (прибыль/убыток) отражает
важное значение феномена задолженности.
Рентабельность собственного капитала
равна отношению чистой прибыли (т.е. результата после финансовых расходов) к
собственному капиталу.
Таблица 6 - Динамика экономических
показателей ОАО «Амурские коммунальные системы» за 2010-2012 годы, тыс. руб.
|
Показатели
|
2010 год
|
2011 год
|
2012 год
|
Отклонение, ±
|
Темп роста, %
|
|
|
|
|
2011 к 2010 г
|
2012 к 2011 г
|
2011 к 2010 г
|
2012 к 2011 г
|
|
Выручка, тыс. руб.
|
2 807 996
|
3 156 616
|
3 294 223
|
+ 348 620
|
+ 137 607
|
112,42
|
104,36
|
|
Чистая прибыль, тыс. руб.
|
146 068
|
251 494
|
149 464
|
+105 426
|
-102 030
|
172,18
|
59,43
|
|
Собственный капитал предприятия, тыс. руб.
|
61 522
|
313 016
|
462 480
|
+251 494
|
+149 464
|
508,79
|
147,75
|
|
Стоимость активов, тыс. руб.
|
1 295 646
|
1 700 906
|
2 137 931
|
+405260
|
+437025
|
131,28
|
125,69
|
Формула Дюпона может быть использована
при анализе финансового положения предприятия, позволяя оценить его ценовую
политику, уровень расходов, степень использования активов и займов. Она также
может быть применена при поиске путей достижения оптимального для предприятия
уровня рентабельности активов и определения стратегии финансирования. [14, с.
124]
По методу Дюпона, факторы, влияющие
на рентабельность, могут быть рассчитаны следующим образом:

(7)
Рассчитаем показатель
рентабельности собственного капитала с учётом чистой прибыли за 2011 год:
,0896 - 2,3734 = 1,7162
Увеличение прибыли на
105 426 тыс. руб. привело к увеличению рентабельности собственного капитала на
1,7162.
Рассчитаем показатель
рентабельности собственного капитала с учётом рентабельности продаж:
Отклонение
рентабельности СК:
,6378 - 4,0896 = -
0,4518
Отклонение
рентабельности продаж:
,0797 - 0,0520 = 0,0277
Увеличение
рентабельности продаж на 0,0277 привело к снижению рентабельности капитала на
0,4518.
Рассчитаем показатель
рентабельности собственного капитала с учётом рентабельности продаж и выручки:
,0893 - 3,6378 = 0,4515
Увеличение выручки на
348 620 тыс. руб. привело к увеличению рентабельности собственного капитала на
0,4515.
) Рассчитаем показатель
рентабельности собственного капитала с учётом рентабельности реализации и
оборачиваемости активов:
Отклонение
рентабельности СК:
,1149 - 4,0896 = -0,9747
Отклонение
рентабельности оборачиваемости активов:
,8558 - 2,1673 = -0,3115
Ускорение
оборачиваемости активов на 0,3115 привело к уменьшению СК на 0,9747.
Рассчитаем показатель
рентабельности собственного капитала с учётом рентабельности реализации,
оборачиваемости активов и стоимости активов:
,0892 - 3,1149 = 0,9743
Увеличение стоимости
активов на 405 260 тыс. руб. привело к увеличению рентабельности СК на 0,9743.
Рассчитаем показатель
рентабельности собственного капитала за 2011 год:
Отклонение
рентабельности СК:
,8037 - 4,0892 = -3,2855
Отклонение
финансовоголевериджа:
,4339 - 21,0599 = -15,626
Уменьшение финансового
левериджа на 15,626 привело к уменьшению рентабельности СК капитала на 21,0599.
Факторы, влияющие на
рентабельность за отчетный период
Рассчитаем показатель
рентабельности собственного капитала с учётом отчетной чистой прибыли (2011
-2012):
,4770 - 0,8037 = -0,3267
Уменьшение прибыли на
102 030 тыс. руб. привело к уменьшению рентабельности собственного капитала на
0,3267.
Рассчитаем показатель
рентабельности собственного капитала с учётом отчетной рентабельности продаж:
Отклонение
рентабельности СК:
,4578 - 0,4770 = -0,0192
Отклонение
рентабельности продаж:
,0454 - 0,0797 = -0,0343
Уменьшение
рентабельности продаж на 0,0192 привело к снижению рентабельности капитала на
0,0343.
Рассчитаем показатель
рентабельности собственного капитала с учётом отчётной рентабельности продаж и
выручки:
,4778 - 0,4578 = 0,02
Увеличение выручки на
137 607 тыс. руб. привело к увеличениюрентабельности собственного капитала на
0,02.
Рассчитаем показатель
рентабельности собственного капитала с учётом отчётной рентабельности
реализации и оборачиваемости активов:
Отклонение
рентабельности СК:
,3801 - 0,4778 = 2,9023
Отклонение
рентабельности оборачиваемости активов:
,5408 - 1,8558 = -0,315
Рассчитаем показатель
рентабельности собственного капитала с учётом отчётной рентабельности
реализации, оборачиваемости активов и отчётной стоимости активов:
,4778 - 0,3801 = 0,0977
Увеличение стоимости
активов на 437 025 тыс. руб. привело к увеличению рентабельности СК на 0,977.
Рассчитаем фактический
показатель рентабельности собственного капитала:
Отклонение
рентабельности СК:
,3234 - 0,4778 = -0,1544
Отклонение
финансовоголевериджа:
,6228 - 5,4339 = -0,8111
Уменьшение финансового
левериджа на 0,8111 привело к уменьшению рентабельности СК капитала на 5,4339.
Полученная модель
выражает зависимость рентабельности собственного капитала от следующих
факторов:
рентабельности
реализации;
оборачиваемости активов;
финансового левериджа.
Под финансовым
левериджем понимается механизм воздействия на сумму и уровень прибыли изменения
соотношения собственных и заёмных финансовых средств. То есть данная
многофакторная модель позволяет определить, за счёт чего изменяется
рентабельность собственного капитала: за счёт увеличения рентабельности
реализации, эффективности использования активов, рационального использования
собственного капитала либо совокупности этих факторов.
Показатели, которые
положительно влияют на деятельность предприятия:
увеличение
рентабельности продаж;
ускорение
оборачиваемости активов;
увеличение
финансовоголевериджа.
Отрицательно влияют на
деятельность предприятия следующие показатели:
уменьшение чистой
прибыли;
увеличение стоимости
активов.
Таблица 7 - Сводная
таблица влияний факторов на рентабельность собственного капитала
|
Показатели
|
2011 год
|
2012 год
|
|
Чистая прибыль
|
1,7162
|
-0,3267
|
|
Рентабельность продаж
|
-0,4518
|
0,4578
|
|
Выручка
|
0,4515
|
0,02
|
|
Оборачиваемость активов
|
-0,9747
|
2,9023
|
|
Стоимость активов
|
0,9743
|
0,0977
|
По итогам проведенного анализа можно
дать следующие рекомендации:
Предприятию необходимо увеличивать
чистую прибыль путём сокращения суммы коммерческих и управленческих
расходов(управленческие и коммерческие расходы можно списать на себестоимость
проданных продукции, товаров, работ, услуг в полной сумме расходов, признанных
в данном отчетном периоде);
Снижать стоимость активов, путем
продажи неиспользуемых объектов основных средств или сдачи их в аренду, лизинг;
Выявление залежалых запасов путем
инвентаризации;
Своевременное погашение дебиторской задолженности
покупателями и заказчиками;
Свободные денежные средства
вкладывать в уставный капитал других предприятий, в строительство, инвестиции в
бизнес.
ЗАКЛЮЧЕНИЕ
Экономический анализ позволяет
разработать тип стратегии хозяйствующего субъекта в отношении долгосрочных
активов, стратегию и тактику развития хозяйствующего субъекта, выявить резервы
повышения эффективности производства, оценить результаты деятельности.[37, с.4]
В первом разделе данной дипломной
работы был рассмотрен учет формирования и использования собственного капитала
предприятия.
Собственный капитал организации
представляет собой стоимость ее активов, не обремененных обязательствами. Таким
образом, собственный капитал представляет сбой разность между активами и
обязательствами.
В составе собственного капитала
организации учитываются уставный (складочный), добавочный и резервный капитал,
нераспределенная прибыль и прочие резервы.
Уставный капитал - совокупность
учредителей (участников) организации, зарегистрированная в учредительных документах.
Учет уставного капитала акционерного общества должен отразить движение и состав
акций организации. Величина уставного капитала может изменяться в процессе
функционирования компании. Увеличение уставного капитала происходит либо путем
выпуска новых акций, либо увеличением их номинальной стоимости.
Резервный капитал акционерного
общества предназначен для покрытия убытков, погашения облигаций общества, а
также выкупа акций общества при отсутствии других средств. Резервный капитал не
может быть использован для других целей. Стоимость капитала определяется
уставом организации.
Добавочный капитал возникает в связи
с увеличением стоимости внеоборотных активов организации, образованием курсовых
разниц при внесении учредителями вкладов в уставный капитал организации в
иностранной валюте, продажей акций по цене выше номинала и в ряде других
случаев.
Во втором разделе была рассмотрена
организационно-экономическая характеристика предприятия ОАО «Амурские
коммунальные системы», а так же учетная политика предприятия и налоги,
уплачиваемые им.
Уставный капитал предприятия оплачен
полностью и составляет 10 000 тыс. руб. и поделен на 100 000 обыкновенных
именных бездокументарных акций номинальной стоимостью 100 руб. каждая.
В третьем разделе данной дипломной
работы рассмотрен анализ учёта формирования и использования собственного
капитала. Оценка факторов, влияющих на рентабельность предприятия.
ОАО «Амурские коммунальные системы»
- это предприятие, основной задачей которого является удовлетворение конкретных
потребностей г. Благовещенска по эксплуатации и развитию коммунальной
инфраструктуры, в том числе качественное обеспечение работоспособности
электрических сетей, передачи и распределения электроэнергии.
Основной целью деятельности ОАО
«АКС» является получение прибыли.
По итогу 2012 года доходы от
основных видов деятельности имеют тенденцию к увеличению и составили 3 294 223
тыс. руб., что на 137 607 тыс. руб. больше, по сравнению с 2011 годом. Темп
роста составил 104,36 %. В 2011 году выручка составила 3 156 616 тыс. руб., по
отношению к 2010 году, она увеличилась на 384 620 тыс. руб. Темп роста составил
112,42%, что на 8,06% больше, чем в 2012 году.
В 2011 году валовая прибыль
составила 393 234 тыс. руб., что на 165 534 тыс. руб. больше, чем в 2010 году.
Темп роста составил 172,7 %. Валовая прибыль в отчётном периоде уменьшилась на
69 550 тыс. руб. и составила 323 684 тыс. руб. В структуре валовая прибыль
соответственно снизилась и составила 9,83 %. На снижение валовой прибыли в
отчетном периоде повлиял опережающий темп роста себестоимости над выручкой на
3,15 %.
Прибыль от продаж - положительный
результат от основной деятельности предприятия. Наибольшую прибыль от продаж
предприятие получило в 2011 году - 337 397 тыс. руб. Это на 181 393 тыс. руб.
больше, чем в 2010. Темп роста составил 216,27 %. К 2012 году прибыль снизилась
на 67 949 тыс. руб., темп роста - 79,86 %.
Наибольший уровень прибыли от продаж
наблюдается за 2011 год - 10,69%. Это на 5,13 % больше, чем за 2010 год, но на
2,51 % меньше, чем за 2012 год. На это повлияло увеличение себестоимости продаж
на 207 157 тыс. руб. в 2012 году.
Фактическая прибыль до
налогообложения составила 176 718 тыс. руб., что на 111 198 тыс. руб. меньше,
чем в 2011 году. Темп роста составил 61,38 %. Наибольшую прибыль до налогообложения
предприятие получило в 2011 году, она составила 287 916 тыс. руб. По сравнению
с 2010 годом она увеличилась на 108 572 тыс. руб.
За 2011 год наблюдается больший
уровень прибыли до налогообложения - 9,12 %. Это на 2,73 % больше, чем за 2010
год и на 3,76 % больше, чем за 2012 год.
Наибольшая сумма чистой прибыли
пришлась на 2011 год. Она составила 251 494 тыс. руб. По сравнению с 2010 годом
увеличилась на 105 426 тыс. руб., темп роста составил 172,18 %. На 2012 год
сумма чистой прибыли составила 149 464 тыс. руб., что на 102 030 тыс. руб.
меньше, по сравнению с 2011 годом. Темп роста составил 59,43%.
За 2011 год наблюдается больший
уровень чистой прибыли - 7,97 %. Это на 2,77 % больше, чем за 2010 год и на
3,43% больше, чем за 2012 год.
По итогу анализируемого периода
предприятие ОАО «Амурские коммунальные системы» в отчётном году сработало менее
эффективнее, чем в предшествующем году, но 2011 году более эффективнее, по
сравнению с 2010 годом.
По данным баланса ОАО «АКС» была
рассмотрена структура пассива баланса предприятия.
В пассиве баланса отражаются
источники формирования предприятия. На конец отчетного периода валюта баланса
составила 2 137 931 тыс. руб., что на 437 025 тыс. руб. больше, чем в 2011 году
и на 405 260 тыс. руб. больше, чем в 2010 году.
Стоимость собственного капитала на
конец периода увеличилась на 149 464 тыс. руб., составив 462 480 тыс. руб.
Удельный вес собственного капитала на конец периода составил 21,63%, что на
3,23 % больше, чем на начало периода. В 2011 году стоимость собственного
капитала составила 313 016 тыс. руб., что на 251 494 тыс. руб. больше, чем в
2010 году. Это связано с тем, что валюта баланса на конец периода увеличилась.
Заёмный капитал на конец периода
имеет тенденцию к увеличению, составив 1 675 451тыс. руб., что на 287 561 тыс.
руб. больше, чем на начало года. Удельный вес на конец года снизился на 3,23 %
и составил 78,37%. В 2011 году сумма заемного капитала составила 1 387 890 тыс.
руб., что на 153 766 тыс. руб. больше, чем в 2010 году.
Кредиторская задолженность на конец
года составила 617 404 тыс. руб., что на 104 509 тыс. руб. больше, чем на
начало года. Удельный вес снизился на 1,27% и составил 28,88. В 2011 году сумма
кредиторской задолженности снизилась на 49 860 тыс. руб. и составила 512 895
тыс. руб.
Структуру пассива баланса можно
признать удовлетворительной.
Проведенный анализ организации
собственного капитала ОАО «АКС» свидетельствует об эффективной финансовой
работе. При анализе было выявлено, что предприятие является прибыльным, чистая
прибыль в 2012 г. составила 149 464 тыс. руб.
По данным отчетности организации был
проведён анализ рентабельности собственного капитала, используя формулу Дюпона.
Полученная модель выражает зависимость рентабельности собственного капитала от
следующих факторов:
рентабельности реализации;
оборачиваемости активов;
финансового левериджа.
Под финансовым левериджем понимается
механизм воздействия на сумму и уровень прибыли изменения соотношения
собственных и заёмных финансовых средств. То есть данная многофакторная модель позволяет
определить, за счёт чего изменяется рентабельность собственного капитала.
Показатели, которые положительно
повлияли на деятельность предприятия:
увеличение рентабельности продаж;
ускорение оборачиваемости активов;
увеличение финансового левериджа.
Отрицательно влияют на деятельность
предприятия следующие показатели:
уменьшение чистой прибыли;
увеличение стоимости активов.
По итогам проведенного анализа
предприятия ОАО «Амурские коммунальные системы» для увеличения финансовых
результатов можно дать следующие рекомендации:
увеличивать чистую прибыль путём
сокращения суммы коммерческих и управленческих расходов(управленческие и
коммерческие расходы можно списать на себестоимость проданных продукции,
товаров, работ, услуг в полной сумме расходов, признанных в данном отчетном
периоде);
следить за соблюдением сроков
возврата заемных средств;
увеличить сумму денежных средств
(продажа ненужного имущества) и краткосрочных финансовых вложений (открыть
краткосрочный вклад в банке);
снижать стоимость активов, путем
продажи неиспользуемых объектов основных средств или сдачи их в аренду, лизинг.
СПИСОК ИСПОЛЬЗУЕМЫХ ИСТОЧНИКОВ
1. Налоговый кодекс РФ Налоговый кодекс Российской Федерации
(часть вторая): [Принят Государственной Думой 19 июля 2000года], [Электрон.ресурс].
- Режим доступа: КонсультантПлюс - 13.05.2014.
. Приказ Минфина РФ от 31.10.2000 № 94
н.(ред.от.18.09.2006) «Об утверждении плана счетов бухгалтерского учета
финансово - хозяйственной деятельности организации и инструкций по его
применению» [Электрон.ресурс]. - Режим доступа: КонсультантПлюс - 11.05.2014.
. Приказ Минфина РФ от 29.07.1998 N 34н (ред. от
24.12.2010) «Положению по ведению бухгалтерского учёта и бухгалтерской
отчётности в Российской Федерации» [Электрон.ресурс]. - Режим доступа: КонсультантПлюс
- 06.04.2014.
. Приказ Минфина РФ от 13.06.1995 N 49 (ред. от 08.11.2010)
«Об утверждении Методических указаний по инвентаризации имущества и финансовых
обязательств».
. Положение по бухгалтерскому учету «Учетная политика
организации» (ПБУ 1/2008) [Электрон.ресурс]. - Режим доступа: КонсультантПлюс -
15.03.2014.
. Положения по бухгалтерскому учету «Бухгалтерская
отчетность организации» (ПБУ4/99) [Электрон.ресурс] - Режим доступа:
КонсультантПлюс - 11.02.2014.
. Федеральный закон от 21.11.1996 №129-ФЗ «О бухгалтерском
учете».[Электрон.ресурс]. - Режим доступа: КонсультантПлюс - 17.05.2014.
. Федеральный закон от 26.12.1995 N 208-ФЗ (ред. от
05.04.2013) "Об акционерных обществах" [Электрон.ресурс]. - Режим
доступа: КонсультантПлюс - 14.05.2014.
. Федеральный закон «Об акционерных обществах» с
постатейными комментариями в виде вопросов и ответов. - М.: Фонд «Международный
институт развития правовой экономики», 1996. - 192с.
. Бабаев, Ю.А.; Комиссарова, И.П.; Крашенинникова, М.С.
Бухгалтерский учёт: Учебник для вузов/ Под ред. проф. Ю.А.Бабаева - М.:
ЮНИТИ-ДАНА, 2007 - 382 с. (77)
. Басовский, Л. Е.; Лунева А. М.;Басовский, А. Л.
Экономический анализ (комплексный экономический анализ хозяйственной
деятельности): Учеб пособие/Под ред. Л. Е. Басовского. - М.: ИНФРА-М, 2003.-
222 с.
. Безруких, П.С.; Ивашкевич, В.Б.; Кондраков, Н.П. и
др.Бухгалтерский учет: Учебник / Под ред. П.С. Безруких. - 2- е изд. Перераб. И
доп. - М:.Бухгалтерский учет, 1996. 576с.
. Вакуленко, Т.Г. Анализ бухгалтерской (финансовой) отчетности
для принятия управленческих решений / Т.Г. Вакуленко, Л.Ф. Фомина Анализ. -
СПб.6 «Издательский дом Герда», 2003. - 240 с.
. Вакуленко,Т.Г.; Фомина, Л.Ф. Анализ бухгалтерской
(финансовой) отчетности для принятия управленческих решений. - СПб.: «Издательский
дом Герда», 2003, 288 с.
. Вещунова, Н.Л.; Фомина, Л.Ф. Бухгалтерский учет: учебник
- М.: ТК Велби, Изд-во Проспект, 2004. - 672 с.
. Глушков, И. Е. бухгалтерский учет на современном
предприятии. Эффективное пособие по бухгалтерскому учету. - М.: «КНОРУС»,
Новосибирск: «ЭКОР-КНИГА», 2002. - 808 с.
. Горфинкель,В.Я.; Швандар, В.А. Экономика организаций
(предприятий): Учебник для средних профессиональных учебных заведений /- М.:
ЮНИТИ - ДАНА, 2003. - 431 с.
. Гришкина, С.Н.; Литвиненко, М.И.; Рожнова, О.В.
бухгалтерский учет [Текст]: учебное пособие для вузов / С.Н. Гришкина, М.И.
Литвиненко, О.В. Рожнова - М.: ИД «Юриспруденция», 2007. - 408 с.
. Дмитриева, Н. Г.; Дмитриева Д. Б. Налоги и
налогообложение: Учебник для средних профессиональных учебных заведений. - 2-е
изд., перераб. и доп. - Ростов н/Д: Феникс, 2003. - 480 с.
. Донцова, Л.В. Анализ финансовой отчетности: учебник /
Л.В. Донцова, Н.А. Никифорова. - 4-е изд., перераб. и доп. - М.: Издательство
«Дело и Сервис», 2006. - 368 с.
. Дуканич, Л.В. Налоги и налогообложение. Серия «Учебники и
учебные пособия». Ростов н/Д: Феникс,2000. - 416 с.
. Ефимова, О.В.; Мельник, М.В. Анализ финансовой
отчетности: Учебное пособие/ Под ред. О.В. Ефимовой, М.В. Мельник. - М.:
Омега-Л, 2004. - 408 с.
. Ефимова, О.В. Финансовый анализ / О.В. Ефимова Финансовый
анализ / О.В. Ефимова. - 4-е изд., перераб. и доп. - М.: Изд-во «Бухгалтерский
учет», 2002. - 528 с. (Библиотека журнала «Бухгалтерский учет»).
. Камышанов, П.И. Бухгалтерский финансовый учет / П.И.
Камышанов Бухгалтерский финансовый учет: учеб. / П.И. Камышанов. - 3-е изд.,
перераб. и доп. - М.: Омега - Л, 2006. - 589 с. - (Высшее финансовое
образование).
. Камышанов, П.И. Бухгалтерский финансовый учет: Учебник
для студентов, обучающихся по специальностям: «Финансы и кредит», «Бухгалт.
учет, анализ и аудит», «Мировая экономика» / П.И. Камышанов, А.П. Камышанов. -
2-е изд., и доп. - М.: Омега-Л, 2005. - 656 с. - (Высшее финансовое
образование).
. Качур, О.В..Налоги и налогообложение.(Учебное
пособие).2007 год, 304с.
. Кондраков, Н.П. Бухгалтерский учёт: Учеб.пособие. - 5-е
изд., перераб. и доп. - М.: ИНФРА-М, 2006. -717 с. - (Высшее образование).
. Кравченко, Л.И. Анализ хозяйственной деятельности в
торговле: учебник / Л.И. Кравченко. - 7-е изд., перераб. - М.: Новое знание,
2004. - 544 с. - (Экономическое образование).
. Мальцев, В. А. Налоговое право: Учебник для студентов
средних профессиональных учебных заведений. - М.: Издательский центр
«Академия», 2004 год, 435 с.
. Маркарьян, Э.А.; Герасименко, Г.П.; Маркарьян, С.Э.
Экономический анализ хозяйственной деятельности: Учебник / Э.А. Маркарьян;
Г.П., Герасименко; С.Э. Маркарьян - Ростов н/Д: Феникс, 2005. - 560 с. -
(Высшее образование).
. Савицкая, Г.В. Анализ хозяйственной деятельности
предприятия / Г.В. Савицкая Анализ хозяйственной деятельности предприятия:
учебник /. - 3-е изд., перераб. и доп. - М.: ИНФРА - М, 2004. - 425 с. - (Серия
«Высшее образование»).
. Табурчак, П.П.;Викуленко, А.Е.;Овчинникова, Л.А. и
др.Анализ и диагностика финансово-хозяйственной деятельности предприятия: Учеб.
пособие для вузов / Под ред. П.П. Табурчака, В.М. Тумина и М.С. Сапрыкина. -
Ростов н/Д:Феникс, 2002. - 352 с.
. Тронин, Ю.Н. Анализ финансовой деятельности предприятия -
М.: «Альфа - Пресс», 2205. ¾
208 с.
. Филина, Ф.Н. Налоги и налогообложение в Российской
Федерации. Учебное пособие 2009 год, 424 с.
. Хоханова, Н.Н. Бухгалтерский учет / Н.Н. Хоханова
Бухгалтерский учет: Учебник / Н.Н. Хоханова. Серия «среднее профессиональное
образование». - Ростов н/Д: Феникс, 2005. - 448 с.
. Чая, В.Т. Бухгалтерский учёт: учебное пособие / В.Т. Чая,
О.В. Латыпова. - М.: КНОРУС, 2007. - 528 с. - (Среднее профессиональное
образование).
. Чечевицына, Л. Н., Чуев И. Н. Анализ
финансово-хозяйственной деятельности: Учебник. - 3-е изд. - М.: Издательско-торговая
корпорация «Дашков и К», 2003. - 352 с.
. Чечевицына, Л. Н. Экономика предприятия. Учебное
пособие/Л. Е. Чечевицына. - 6-е изд., доп. и пер. - Ростов н/Д: Феникс, 2006. -
384 с.
. Чечевицына, Л. Н. Экономический анализ: Учебное пособие.
- Ростов н/Д: изд-во «Феникс», 2001. - 448 с.
. Швецкая, В.М., Головко, Н.А. Бухгалтерский учёт: Учебник
для студентов средних специальных учебных заведений. - М.: Издательско-торговая
корпорация «Дашков и К», 2005. - 404 с.