Моніторинг навколишнього середовища

  • Вид работы:
    Курсовая работа (т)
  • Предмет:
    Экология
  • Язык:
    Украинский
    ,
    Формат файла:
    MS Word
    437,98 Кб
  • Опубликовано:
    2013-06-26
Вы можете узнать стоимость помощи в написании студенческой работы.
Помощь в написании работы, которую точно примут!

Моніторинг навколишнього середовища

ВСТУП

Моніторинг навколишнього середовища - це система спостережень і контролю, що проводяться регулярно, за певною програмою для оцінки стану навколишнього середовища, аналізу що відбуваються в ній процесів і своєчасного виявлення тенденцій її зміни. Основними завданнями моніторингу є: спостереження за станом біосфери, оцінка і прогноз стану природного середовища, виявлення факторів і джерел антропогенних впливів на навколишнє середовище, попередження про створюються критичних ситуаціях, шкідливих або небезпечних для життєдіяльності і здоров'я людей та інших живих організмів.

Необхідність в загальному моніторингу людської діяльності, що постійно зростає. Наприклад, щорічно проводиться близько 30 тис. видів хімічних речовин у кількостях більше 1 т на рік. Багато тисячі тонн нафтопродуктів в результаті аварій розливаються по поверхні землі і виливаються в моря і океани. Інтенсивно розвивається процес опустелювання. Загальна площа антропогенних пустель перевищує 9 млн. , ще близько 30 млн  знаходяться на межі опустелювання.

У загальному вигляді процес екологічного моніторингу можна представити схемою: навколишнє середовище -> вимірювання параметрів різними підсистемами моніторингу -> збір і передача інформації -> обробка і представлення даних (формування узагальнених оцінок), прогнозування. Система екологічного моніторингу призначена для обслуговування систем управління якістю навколишнього середовища (далі «система управління»). Інформація про стан навколишнього середовища, отримана в системі екологічного моніторингу, використовується системою управління для запобігання або усунення негативної екологічної ситуації, для оцінки несприятливих наслідків зміни стану навколишнього середовища, а також для розробки прогнозів соціально-економічного розвитку, розробки програм в області екологічного розвитку та охорони навколишнього середовища.

Моніторинг є багаторівневою системою. Виділяють системи импактного, регіонального, національного і глобального рівнів. Імпактний моніторинг призначений забезпечити оцінку змін системи на локальній площі: території міста, району. Регіональний дозволяє виявити проблеми міграції й трансформації забруднюючих речовин, спільного впливу різних факторів, характерних для економіки регіону.

Щоб здійснити моніторинг природного об'єкту, необхідно на його території розмістити пост контролю. Щоб раціонально розміщувати пости проводять попередні дослідження стану атмосфери. Ці розрахунки необхідні для того, щоб не встановити два пости, які будуть контролювати одні і ті домішки.

. ХАРАКТЕРИСТИКА МІСТА ХАРЦИЗЬК

Харцизьк - місто обласного підпорядкування в Україні, Донецька область, фактично північно-східне передмістя Донецька [1]. За чисельністю населення:63 тис.

Засноване 1869 року. Місто Харцизьк розташоване в південно-східній частині України в межах 48° північної широти і 38° східної довготи, тому коефіцієнт, котрий залежить від температурної стратифікації атмосфери дорівнює 200. Повторювальність напрямків вітру по румбам та середня швидкість вітру в усіх напрямках для літнього періоду [4], як найбільш несприятливого для умов розсіювання домішок, приведені у таблицях 1.1 та 1.2 відповідно.

Таблиця 1.1 - Повторювальність напрямків вітру по румбам для літнього періоду


Таблиця 1.2 - Середня швидкість вітру в усіх напрямках для літнього періоду


Частка штилів у вітровому режимі місцевості складає 12%. Середньомісячна швидкість вітру

 (1.1)

Клімат в Харцизьку помірно-континентальний. Середня максимальна температура найбільш жаркого місяця року дорівнює 27,6°С. Взимку переважають північно-східні та східні вітри, влітку - північно-західні і західні вітри.

На території міста розташуються сім підприємств, таки як ОАО«Сілур», «хлібокомбінат», завод металовиробів «Авангард», ОАО «Харцизький трубний завод», ООО «Плітка», «завод харчових концентратів», ЗАО «Армліт-Донбас». Перший та четвертий підприємства розташовуються у ряд з північного західу на південний схід, і займають околицю міста. Селітебні зони розташовуються з обох боків підприємств, відразу за огорожею. Зелених насаджень майже немає. Тому при східному або західному напрямках вітру селітебні зони міста потрапляють під хмару шкідливих речовин. При північно-західном або південно-східном напрямку вітру відбувається збіг осей факелів першого і четвертого підприємств, що приводить к утворенню одного загального факелу. Концентрація шкідливих речовин збільшується. Хімічний склад загального викиду буде складатися з: пилу, діоксиду азоту, оксиду вуглецю, діоксину сірки, фенолу. При чому, ефект сумації буде утворювати викид більш небезпечним. З точки зору небезпечності усі підприємства викидають у повітря речовини, котрі належать до другого класу небезпеки.

Ділянками застою повітря та місцями накопиченні шкідливих речовин у місті з’являються яри та балки, мікрорайони з щільною багато поверхневою забудовою. Перепад відміток підстильної поверхні на 1 км від підприємств дорівнює не більш 50 м, що не дуже сприяє на затримку розповсюдження викиду.

Місто Харцизьк погано забезпечена водними ресурсами. На території міста знаходиться 10 малих та середніх озер та ставків, а також балка Колосніковська. Коефіцієнт звивистості русла обчислюється за формулою:

φ (1.2)

φ

2. РОЗРАХУНОК КОНЦЕНТРАЦІЙ ШКІДЛИВИХ РЕЧОВИН

2.1 Розрахунок очікуваних [5] максимально разових концентрацій шкідливих речовин у атмосфері

1.      Розраховуємо максимальне значення наземної концентрації шкідливої речовини (пил)  (мг/ при викиді нагрітої газоповітряної суміші із ОАО «Харцизький трубний завод» за формулою:

 (2.1)

Для цього знаходимо швидкість виходу суміші;

 (2.2)

 

Значення коефіцієнтів m і n

 (2.3)

m=1,094

(2.4)

n=1,211

Отже  буде дорівнювати:

 

2.      Розраховуємо небезпечну відстань  (м) від джерела викидів, на якій досягається максимальна наземна концентрація  за формулою:

 (2.6)

 

3.      Розраховуємо максимальну наземну концентрацію з урахуванням реальною швидкості вітру:

 (2.7)

Так як b>1, то r знаходиться за формулою:

 (2.8)

r=0,53

 

4.      Розраховуємо небезпечну відстань  (м) з урахуванням реальною швидкості вітру за формулою:

 (2.10)

Так як b>1, то p знаходиться за формулою:

p =

p = 1,168

 

5.      Представляємо розраховані  у безрозмірному вигляді:

 = ,

 = 2,153

 

6.      Розраховуємо радіус зони впливу речовини пил. за  приймається найбільше з 2-х чисел і

 (2.11)

 

 визначається з формули 2.12

= (2.12)

 (2.13)

 (м)

Так як >то = (м).

.        Розраховуємо максимальне значення наземної концентрації шкідливої речовини (фенол)  (мг/ при викиді холодної газоповітряної суміші із ОАО «Сілур» за формулою:

 

Де К дорівнює

К=

К=0,0208

 

 

8.      Розраховуємо небезпечну відстань  (м) від джерела викидів, на якій досягається максимальна наземна концентрація  за формулою:

 (2.14)

 

9.      Розраховуємо максимальну наземну концентрацію з урахуванням реальною швидкості вітру:

 (2.15)

Так як b>1, то r знаходиться за формулою:

 (2.16)

r=0,196

 

10.    Розраховуємо небезпечну відстань  (м) з урахуванням реальною швидкості вітру за формулою:

 (2.17)

Так як b>1, то p знаходиться за формулою:

p =

p = 3,255

 

11.    Представимо розраховані  у безрозмірному вигляді:

 = ,

 = 5,718

 

12.    Розраховуємо радіус зони впливу речовини пил. за  приймається найбільше з 2-х чисел і

 (2.18)

 

 визначається з формули 2.19

= (2.19)

 (2.20)

(м)

Так як >то = (м).

Розрахункові значенні заносяться до таблиці 2.1

Таблиця 2.1 - Розрахункові значенні радіусів зон впливу


2.2 Визначення пріоритетного списку інгредієнтів атмосферного повітря, підлягаючих контролю

Визначення переліку речовин, підлягаючих контролю у атмосферному повітрі, здійснюється на основі оцінювання можливості перевищення максимально разових  і середньодобових  очікуваними концентраціями при заданих потужностях викидів. Для визначення номера місця домішки у пріоритетному списку речовин, виконуємо:

1.      Переводимо викиди з секундних, виражених в грамах, у річні, виражених в тоннах:

 (2.21)

 

Результати розрахунків записують до таблиці 2.2

2.      Визначаємо розмір міста по формулі:

 (2.22)

 

3.      Точка перетину розрахованих  та  знаходиться нижче прямої лінії, що відповідає  для пилу. Тому цю домішку не контролюють, і у графі 5 табл. 2.2 ставиться «-».

.        За формулою 2.23 визначаємо санітарно-гігієнічну норму

(2.23)

 

Так як сума відносних концентрацій пилу від усіх джерел перевищує 1, то домішка пил буде підлягатися контролю. У графу 6 табл. 2.2 заносять знак «+»

5.      Визначаємо параметри

 (2.24)

 (2.25)

 

 

Значення  і  для кожної домішки розраховуються і заносяться у відповідні їм графи 7 і 8 табл. 2.2. У графах 9 і 10 проставляються місця, зайняті домішкою за величиною параметрів і  Перше місце у своїй графі має діоксин сірки, так як у неї максимальне значення параметра необхідного споживання повітря. Десяте місце має сірчана кислота, тому що в неї мінімальне значення параметра. Сума місць пилу, набраних за величинами параметрів і  (складаються значення з граф 9 і 10 одного рядка), дорівнює 11. На основі отриманих сум місць складається пріоритетний список у графі 12 табл. 2.2, які підлягають контролю у даному місті.

Таблиця 2.2 - Пріоритетний список речовин, підлягаючих спостереженню.


3. РОЗМІЩЕННЯ ПУНКТІВ МОНІТОРИНГУ АТМОСФЕРНОГО ПОВІТРЯ

3.1 Розрахунок концентрацій основних домішок на постах

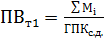
Основними домішками, що викидаються джерелами з’являются: пил, оксид вуглецю, сірчистий ангідрид, оксид та двооксид азоту. Згідно з розою вітрів та розміщенням підприємств, зони впливу декількох домішок перетинаються, а тому вони вимагають більш детального розгляду. Зони впливу домішки двооксиду азоту від джерел № 4 та № 5 перетинаються при південному напрямку вітру. Контроль домішки проводиться на пості С5. Концентрація домішки на пості С5 визначається за формулою:

 (3.1)

Пост С5 знаходиться на 1890 м від джерела №4 (Х) та 360 м поза віссю факелу(Y). Концентрація двооксиду азоту на пості знаходиться по формулі:

 (3.2)

Відношення X/оправка розраховується

 (3.3)

 

оправка розраховується по формулі

 (3.4)

Де  дорівнює

 

 

 

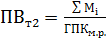
Пост С5 знаходиться на 5310 м від джерела №5 (Х) та 1470 м поза віссю факелу(Y). Концентрація двооксиду азоту на пості знаходиться по формулі 3.1. , , тоді

 

Отже

Аналогічно знаходиться сумарна концентрація пилу на посту С3 від сукупності джерел №1 і №4 при південно-східному напрямку вітру. Пост С3 знаходиться на 870 м від джерела №1 (Х) та 360 м поза віссю факелу(Y), =0,047, , тоді

 

Пост С3 знаходиться на 2460 м від джерела №2 (Х) та 90 м поза віссю факелу(Y), =0,055, , тоді

 

 

Розраховані концентрації на постах вносять до таблиці 3.2

концентрація шкідливий повітря атмосферний

Таблиця 3.1 - Розрахунки концентрацій домішок на постах контролю

3.2 Розміщення постів на території міста

Кількість населення міста Макіївка складає 63 000 осіб, тому, згідно з «ГОСТ 17.2.3.01-86» [6] кількість постів складає 3 штук. На основі попереднього дослідження забруднення повітряного середовища міста промисловими викидами, та дослідження розміщення районів міста відносно центру та підприємств тому цих пунктів контролю досить мало. Згідно з переважними для Харцизька напрямками вітру оптимальна чисельність постів для комплексного контролю повітря міста складає 9 штук - 6 стаціонарних, та 3 маршрутних. Стаціонарні пости розміщені біля підприємств в густозаселених районах, маршрутні - в місцях відпочинку населення. Остаточні відомості про пости спостереження атмосферного повітря знаходяться в табл. 3.1

Таблиця 3.1 - Відомості про пости спостережень


4. РОЗРАХУНКИ ОЧІКУВАНИХ ЗАБРУДНЕНЬ ВОДНИХ ОБ’ЄКТІВ

4.1 Розрахунки очікуваних забруднень у водотечах

1.      Знайдемо потрібну кратність розведення

 (4.1)

=

2.      Знаходимо коефіцієнт змішання стічних вод з водою річки на межі забруднення

 (4.2)

 

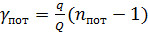
3.      Розрахуємо відстань до створу, де досягається заданий ступінь змішання γ

 (4.3)

L1=1610,655 (м)

.        Розрахуємо відстань до створу, де стічна вода змішується з 80% витрати річки по формулі 3.2

L2=3309,28 (м)

.        Розрахуємо очікувану концентрацію речовини у створі повного змішання

 (4.4)

 

 

 

4.2 Розрахунки очікуваних забруднень у непроточних водоймах

1.      Знайдемо потрібну кратність розведення по формулі 4.1

= =40

.        Знайдемо початкову кратність розведення

 (4.5)

 

3.      За номограмою знаходимо кратність основного розведення та відстань, на якій досягається повне розведення.

 

L= 480 (м)

.        Розрахуємо очікувану концентрацію речовини у створі повного змішання по формулі 3.4

 

 

 

Результати виконаних розрахунків заносяться до таблиці 4.1

Таблиця 3.1 - Результати розрахунків концентрацій шкідливих речовин у водоймах


5.     
МЕТОДИ ТА ЗАСОБИ ФІЗИКО-ХІМІЧНОГО АНАЛІЗУ ІНГРЕДІЄНТІВ АТМОСФЕРНОГО ПОВІТРЯ

5.1 Методи дослідження забруднення атмосфери

Для спостереження за забрудненням атмосфери використовують методики [8], засновані на використанні наступних фізико-хімічних і фізичних методів: фотоколориметрии, атомно-абсорбційної спектрофотометрії, рентгенофлуоресцентний, квазилинейчатых спектрів люмінесценції, потенціометрії, газової хроматографії (ГХ).

Вміст оксиду вуглецю, діоксиду азоту, сірчистого газу та інших шкідливих пароподібні домішок в атмосферному повітрі застосовують вітчизняні газоаналізатори різних типів: «Платон-1» (As); «Гамма-М» (бензол); «Палладий-М3» (CO); «Нитрон» (; «Сирена-2» (). При лабораторному аналізі застосовують оптичні, фотоколориметрические, кондуктометричні, методика кулонометричного та хроматографічні газоаналізатори.

Принцип дії оптичних газоаналізаторів заснований на вибірковому поглинанні газами променистої енергії в інфрачервоній, ультрафіолетової чи видимій областях спектру. Широке поширення мають фотоколориметрические газоаналізатори, дія яких заснована на поглинання променистої енергії у видимій області спектру розчинами або індикаторними стрічками, що змінюють своє забарвлення при взаємодії з певними газовими компонентами.

В останні роки набули поширення газоаналізатори, використовують емісію випромінювання аналізованої газової домішки. Сутність цього методу полягає в тому, що молекули досліджуваного газу, наприклад, оксидів азоту або сполук сірки, приводять у стан оптичного збудження і потім реєструють інтенсивність люмінесценції, що виникає при поверненні їх про стан рівноваги.

В основу принципу дії кулонометричних газоаналізаторів належить поглинання аналізованого компонента газової суміші відповідним розчином та вимір його електропровідності. У кулонометричних газоанализаторах електрохімічна реакція протікає в комірці між аналізованим газом і електролітом, в результаті якої в зовнішньому ланцюзі з'являється електрорушійна сила, пропорційна концентрації визначуваного компонента повітря. Для експресного визначення токсичних речовин застосовують універсальні газоаналізатори (УГ-2, ГХ-4 та ін.), засновані на лінійно-калориметричном методі. У цьому випадку при просуванні повітря через індикаторні трубки, заповнені спеціальним порошком -- поглиначем, відбувається зміна його забарвлення; довжина пофарбованого шару пропорційна концентрації досліджуваної речовини.

В останні десятиліття як самостійний розділ техніки метеорологічних вимірювань виділилася лазерна локація, яка дозволяє отримати дані про стан запиленості і газового складу приземного шару атмосфери. Вона є перспективним напрямком оперативного контролю забруднення повітряного басейну великих міст.

В якості основного методу визначення концентрації металів в аерозолях і опадах рекомендується атомно-абсорбційна спектрофотометрія з полум'яною та термічної іонізацією проби. Метод атомно-абсорбційного аналізу (AAA) заснований на резонансному поглинанні світла вільними атомами, що виникає при пропущенні пучка світла через шар атомної пари. Цей метод, особливо той варіант, в якому використовується термічна атомізація, володіє досить високою чутливістю і дозволяє визначати велику кількість металів.

Деяку складність представляє перехід від визначення одного металу до визначення іншого, оскільки при цьому зазвичай потрібна зміна джерела випромінювання. Тому при серійних аналізах зручніше використовувати декілька приладів, кожен з яких налаштований на вимірювання концентрації одного металу. Атомно-абсорбційні спектрофотометри забезпечують високу продуктивність праці (кілька десятків проб в годину), але мають високу вартість. Це обумовлює доцільність їх використання тільки в спеціалізованих централізованих лабораторіях з великим обсягом робіт або в містах, де через великий ймовірності появи забруднюючих речовин в концентраціях вище ГДК, необхідний оперативний аналіз кожної проби. Організацію централізованого контролю полегшує також простота пересилання проб аерозолів, відібраних на фільтри і хороша зберігання проб.

Для проведення режимних спостережень за концентраціями 3, 4-бензпірен обраний варіант методу квазилинейчатых спектрів люмінесценції заморожених розчинів з використанням єдиного стандарту. У той же час, для проведення наукових досліджень та аналізу проб, сильно забруднених промисловими викидами, наведено більш складний для серійного аналізу варіант з використанням добавок. Для визначення концентрацій декількох поліароматичних вуглеводнів з однієї проби наведено метод високоефективної рідинної хроматографії.

Для визначення концентрацій більшості органічних речовин обраний метод газової хроматографії. Його основною перевагою порівняно з фотометричним методом є можливість визначення з однієї проби декількох речовин, у тому числі які належать до одного гомологічного ряду. Крім того, чутливість хроматографічного методу при визначенні концентрацій багатьох речовин вище, ніж чутливість фотометричного. Він дозволяє істотно розширити номенклатуру визначаються в атмосфері шкідливих домішок. Разом з тим хроматографічний метод має ряд обмежень, які повинні враховуватися при плануванні його використання: складність і висока вартість апаратури, необхідність висококваліфікованого обслуговування і невелика продуктивність.

5.2 Обладнання постів моніторингу

5.2.1 Комплектна лабораторія «Пост-1»

В лабораторії «Пост-1» [9] розміщується основне і допоміжне обладнання для проведення спостережень за рівнем забруднення атмосфери та вимірювання метеорологічних елементів. Прилади і обладнання лабораторії працюють при температурі (10 - 35 °С), відносної вологості до 80 % (при 20 °С і атмосферному тиску 90 - 104 кПа (680 - 785 мм рт. ст.).

Обладнання «Пост-1» включає: автоматичні газоаналізатори ГМК-3 і МКП-1, системи для проведення відбору проб і метеорологічних спостережень, щоглу для установки датчика вітру, систему електропостачання та освітлення.

Схема розміщення приладів і обладнання у «Пост-1» показана на рис. 5.1. Стіни павільйону виконані з термоізолюючого матеріалу і облицьовані з внутрішньої сторони пластиком 1, а з зовнішньої - декоративними дюралюмінієвий осередками спеціального профілю 2, підлога покрита лінолеумом. Щогла з датчиком вітру встановлюється на плоскому даху павільйону.

Рисунок 5.1 - Розміщення обладнання в «Пост-1»

У спеціальній камері 35 розміщуються датчики 33 температури і вологості повітря метеостанції М-49. Від внутрішньої частини павільйону камера термоізольована. При відкритих дверцятах 34 камери датчик висувається на 1,5 м від стінки павільйону для виробництва вимірювань в природних умовах.

У двох протилежних кутах павільйону є чотири люка 11 з кришками, в які вставляється блок 39 відбору проб на пил і сажу. Висота люків від поверхні землі становить 1,5 м. Через дах павільйону пропущено трубопровід 15 із захисним ковпачком 14, підноситься над дахом на 50 см і з'єднаний всередині павільйону з розподільної гребінкою 27 для відбору проб повітря на газові домішки.

Лабораторне обладнання включає: лабораторний Г-подібний стіл 7 з тумбочками, на якому кріпляться полиці 9 для установки приладів; обертовий лабораторний стілець (з регульованою висотою); два ящика 5 для зберігання і транспортування скляних поглиначів, наповнені поглинальним розчином; два штатива для установки поглиначів, настільного вентилятора і сигнальних годин (на кресленні не показано). Для вентиляції павільйону служить люк 3.

Система відбору проб повітря на газові домішки і сажу складається з трубопроводу 15 з нагрівачем 30 і терморегулятором 29, розподільної гребінки 27 для підключення поглиначів і двох электроаспираторов 28 моделі 822 на амортизаторах 26. Всі елементи воздуховода і розподільної гребінки виконані з фторопласту. При негативній температурі зовнішнього повітря терморегулятор підтримує позитивну температуру повітряного потоку, що надходить в поглиначі.

Электроаспиратор ЕА-2С (рис. 5.2) складається з фільтротримача, блоку аспірації з витратоміром і спонукача витрати (вихрового вентилятора). Блок аспірації включає в себе лічильник газу РГ-40-1, вимірювальну діафрагму, дифманометр і дросель для регулювання та визначення витрати повітря, повітропровід з електронагрівачем і терморегулятором для підтримки постійної температури відібраного повітря при негативних температурах зовнішнього повітря (електронагрівач обладнаний блокуванням, що виключає можливість його включення при непрацюючому побудителе витрати), два реле часу для встановлення тривалості робочого періоду і паузи при циклічному режимі роботи электроаспиратора в межах від 4 хв до 3 год.

Рисунок 5.2 - Электроаспиратор ЕА-2С

5.2.2 Лабораторія пересувна «Атмосфера-II»

Лабораторія «Атмосфера-II» призначена для визначення рівня забруднення атмосферного повітря і вимірювання метеорологічних елементів при проведенні маршрутних подфакельных спостережень.

Прилади і обладнання лабораторії можуть експлуатуватися при температурі повітря всередині салону автофургона 10 - 35 °С, відносної вологості до 80 % (при 20 °С), атмосферному тиску 90 - 104 кПа (680 - 785 мм рт. ст.). Швидкість пересування лабораторії по дорогах з удосконаленим покриттям не перевищує 45 км/год.

Обладнання лабораторії «Атмосфера-II» (рис. 5.3) змонтовано в кузові автофургона типу УАЗ-452А. Салон автофургона розділений стінкою на два відсіки: приладовий і допоміжний. В приладовому відсіку розміщені прилади та обладнання для відбору проб повітря на газові домішки, сажу і пил, газоаналізатори, вимірювальний пульт анеморумбометра М-49 (або М-47) і пульт управління.

Рисунок 5.3 - Пресувальна лабораторія «Атмосфера-II»

У допоміжному відсіку розміщені датчики температури і вологості повітря, розподільний щит, кабель на котушці, акумуляторні батареї, тримач патронів та інше обладнання.

На даху автофургона укріплена знімна платформа, на якій розміщені ящик з датчиком швидкості і напрямку вітру, щогла для установки в робочий стан датчиків і виносна штанга для кріплення датчиків температури, вологості і анеморумбометра.

Прилади та обладнання для відбору проб повітря розміщені на стенді по лівому борту автомашини і в допоміжному відсіку.

З'єднувальні трубопроводи для відбору проб повітря на пил і сажу через стінки і допоміжний відсік виводяться з автомашини через відкриту під час відбору проб задні двері автофургона.

Відбір проб повітря на газові домішки проводиться на висоті 2,6 м від рівня землі по вертикальному каналу через фторопластовий воздуховод і розподільник і горизонтального каналу, який змонтований паралельно газопроводу для відбору пилу і сажі. У цьому випадку відбір проб проводиться через тримач, укріплений на виносної штанзі.

Обидва канали відбору проб газових домішок мають загальний нагрівач, який включається при температурах зовнішнього повітря нижче мінус 5 °С. Терморегулятор забезпечує автоматичне підтримання температури проби не нижче 5 °С.

В лабораторії «Атмосфера-II» використовуються напівавтоматичні переносні прилади-індикатори, призначені для напівкількісного визначення вмісту діоксиду сірки й сірководню («Атмосфера-I») і хлору і озону («Атмосфера-2») в атмосферному воздухе1. У автолаборатории, укомплектованої анеморумбометром М-49, датчики температури і вологості разом з утримувачем монтуються на спеціальній висувній штанзі, укріпленої на платформі. Штанга з датчиками може встановлюватися перпендикулярно або паралельно подовжньої осі автомашини, а держатель може обертатися навколо вертикальної осі. Сигнали датчиків подаються на пульт управління станції, встановлений усередині салону на передньому стенді.

Дані спостережень за допомогою цих приладів використовуються для виділення зон підвищеного забруднення у разі аварій.

У деяких автолабораториях, укомплектованих анеморумбометром М-47, вимірювання температури і вологості здійснюється за допомогою аспіраційного психрометра МВ-4М, подвешиваемого на виносної штанзі.

Прилади і обладнання виносних пунктів (электроаспираторы, штативи з поглинальні приладами) під час роботи встановлюються на спеціальних виносних столиках. На час транспортування столики зміцнюють на платформі (у спеціальному ящику), а электроаспираторы в приладовому відсіку салону (на правому стенді по ходу автомашини).

Електроживлення приладів та обладнання лабораторії «Атмосфера-II» здійснюється від промислової мережі змінного струму напругою 220 В, 50 Гц, через вхідний розподільний щит, встановлений у допоміжному відсіку лабораторії.

ВИСНОВКИ

Розрахунки радіусів зон впливу шкідливих домішок від промислових підприємств у місті Харцизьк показують, що більшість житлових районів міста знаходяться під впливом небезпечних речовин. Ця ситуація ще більше погіршується відсутністю необхідний ширини санітарно-захисної зони, яка акумулює на себе шкідливі речовини. В усі водойми міста скидаються стічні води підприємств та житлового комплексу, що приводе к забрудненню та деградації водойм. Тому як атмосферне повітря так і водойми підлягають контролю зі сторони людини. Для цього в даній роботі я провів роботу по розміщенню постів контролю за повітрям, та створів у водоймах. Було розмішено 6 стаціонарних постів та 3 пересувних для комплексного контролю за атмосферним повітрям та роботою підприємств, з точки зору їх впливу на оточуюче середовище, тобто контролю за їх викидами. Також я розмістив три створи на балці Колосніковська, та чотири на міському ставку. На всіх постах я провів розрахунки по очікуваним концентраціям шкідливих домішок, і зробив висновок, що в густозаселених районах міста відбувається перевищення гранично допустимих концентрацій.

На підставі режимної інформації можна вирішувати такі завдання: оцінювати стан повітряного басейну;вивчати вплив стану повітряного басейну на захворюваність населення;оцінювати збиток, що наноситься сільському господарству, лісам, паркам, тваринництву, житлових будівель і різним промисловим спорудам;планувати розміщення промислових підприємств, вибір районів перспективної забудови та визначення санітарно-захисних зон;уточнювати та перевіряти розрахункові методи розсіювання домішок від джерел викидів; оцінювати фонове забруднення атмосфери.

ПЕРЕЛІК ПОСИЛАНЬ

1.      В. В. Ковтун, А. В. Степаненко Города Украины (экономико-геогра-фический справочник). Киев, «Вища школа», 1990.

.        Советский энциклопедический словарь. М., «Советская энциклопедия», 1986.

.        Справочник по гидрохимии (под ред. А. М. Никонорова). Л., Гидрометеоиздат, 1989.

.        Строительная климатология и геофизика. СНиП 2.01.01-82. М., Стройиздат,1983.

.        Методика расчета концентраций в атмосферном воздухе вредных веществ, содержащихся в выбросах предприятий (ОНД-86). Л., Гидрометеоиздат, 1987.

.        Охрана природы. Атмосфера. Правила контроля качества воздуха населенных пунктов. ГОСТ 17.2.3.01-86. М., Издательство стандартов, 1987.

.        Охрана природы. Гидросфера. Правила контроля качества воды водоемов и водотоков. ГОСТ 17.1.3.07-82. М., Издательство стандартов, 1982.

.        Е. А. Перегуд, Д. О. Горелик Инструментальные методы контроля загрязнения атмосферы. Л.,"Химия",1981.

.        Руководство по контролю загрязнения атмосферы. РД 52.04.186 -89.-М.,1991.

.        Е. А. Перегуд Химический анализ воздуха (новые и усовершенствованные методы). Л., "Химия", 1976.

.        Руководство по химическому анализу поверхностных вод суши. Л., Гидрометеоиздат, 1977.

Похожие работы на - Моніторинг навколишнього середовища

 

Не нашли материал для своей работы?
Поможем написать уникальную работу
Без плагиата!
Без нейросетей!