Технология анализа сбытовых издержек

  • Вид работы:
    Контрольная работа
  • Предмет:
    Эктеория
  • Язык:
    Русский
    ,
    Формат файла:
    MS Word
    229,71 Кб
  • Опубликовано:
    2013-06-05
Вы можете узнать стоимость помощи в написании студенческой работы.
Помощь в написании работы, которую точно примут!

Технология анализа сбытовых издержек

МИНИСТЕРСТВО ОБРАЗОВАНИЯ И НАУКИ РОССИЙСКОЙ ФЕДЕРАЦИИ

Федеральное государственное бюджетное учреждения высшего профессионального образования

«Сибирский государственный аэрокосмический университет имени академика М.Ф. Решетнева»

Факультет заочного и дополнительного образования

Кафедра менеджмента





КОНТРОЛЬНАЯ РАБОТА

По дисциплине «Ценообразование во внешней торговле»

Тема «Технология анализа сбытовых издержек»

Вариант №10









Красноярск 2012

Содержание

издержки затрата себестоимость ценообразование

Введение

.        Технология анализа сбытовых издержек

2.      Метод ценообразования на основе полных издержек

3.      Метод ценообразования на основе предельных издержек

Заключение

Список литературы

Введение


Издержки производства и себестоимость производства и реализации продукции -одни из самых важнейших финансовых показателей деятельности предприятия. Они служат основой для расчета многих других финансовых показателей.

1. От величины себестоимости производства и реализации продукции зависит прибыль предприятия, т.е. предприятие может быть прибыльным, рентабельным, если есть тенденция к снижению себестоимости.

2.      Постоянное снижение себестоимости находит отражение в цене готовой продукции, цены снижаются, а это в свою очередь способствует снижению затрат в тех отраслях, где применяется данная продукция. Например, изменение цен на такие важные товары, как энергоносители и зерно приводит к изменению цен на остальные товары. В дальнейшем подобное повышение цен ведет к инфляции.

.        От себестоимости производства и реализации продукции зависит стабильность и благополучие государства, возможность повышать уровень благосостояния страны и т.д.

Таким образом, большое значение приобретает правильная оценка издержек предприятия и правильный расчет себестоимости. Очень важное место в руководстве деятельностью предприятия на сегодняшний день занимает разработка программ снижения себестоимости выпускаемой продукции и применения их на практике.

Прибыль предприятия зависит от двух показателей: цены на продукцию и затрат на ее производство. Цена продукции на рынке есть следствие взаимодействия спроса и предложения. Под воздействием законов рыночного ценообразования в условиях свободной конкуренции, цена продукции не может выше или ниже по желанию производителя или покупателя, она выравнивается автоматически. Затраты на производство продукции-издержки производства - могут возрастать или снижаться , в зависимости от объема потребляемых трудовых или материальных ресурсов, уровня техники, организации производства и других факторов. Следовательно, существует множество рычагов снижения затрат, которые можно привести в действие при умелом руководстве.

1.   Технология анализа сбытовых издержек

Классификация затрат

Наличие подробной информации о затратах дает возможность: установить цену изделий, услуг, оценить экономичность процессов, эффективность использования ресурсов отдельными подразделениями, значимость заказчиков с точки зрения их вклада в прибыль предприятия.

В зависимости от целей, для которых используется информация о затратах, их можно классифицировать по трем направлениям. Согласно первому направлению классификации, для определения себестоимости и финансовых результатов деятельности предприятия, затраты можно разделить так:

Прямые затраты - это, те, которые непосредственно связаны с процессом производства или реализации продукции предприятием. Этот вид затрат может быть легко отнесен к определенному виду продукта. К прямым затратам относятся:

сырье и материалы;

комплектующие;

основная заработная плата рабочих;

другие

Косвенные затраты - связаны с работой предприятия или его подразделением в целом, либо с производством нескольких видов продукции, их нельзя непосредственно отнести на себестоимость конкретного вида продукции. К ним относят:

отопление и освещение;

оплата труда менеджеров;

амортизация;

другие

Классификация затрат по направлениям:


Затраты на продукцию - это затраты, связанные с производством продукции или с приобретением товаров для реализации, в частности:

Прямые материалы;

Прямая заработная плата;

Покупная стоимость товаров для реализации;

Этот вид затрат причисляют к производственной себестоимости продукции.

Затраты периода - это затраты, которые прямо не связаны с изготовлением конкретного товара, а относятся к тому периоду, в котором они возникли. В затраты периода входят:

-      Административные

-          Сбытовые

-          Маркетинговые

-          Амортизация зданий.

В зависимости от цели расчета себестоимости различают классификацию затрат по экономическим элементам затрат и по калькуляционным статьям расходов.

Группировка затрат по экономическим элементам необходимо для анализа финансовых результатов хозяйственной деятельности предприятия. Оно показывает, что потрачено и сколько, не указывая конкретно, на какие нужды, то есть устанавливают общую сумму затрат на предприятии, но не конкретизируют направления затрат непосредственно на производство конкретного вида продукции. Сбытовые расходы состоят из затрат на упаковку и сортировку, на хранение готовой продукции, на заработную плату, командировочные расходы работников сбыта, на рекламу и др.

Сбытовая деятельность-это конечный результат работы предприятия, процесс продвижения конечной(промежуточной) продукции, выпускаемой конкретным предприятием, на рынок и ее реализация организацией-потребителем.

Затраты по сбытовой деятельности предприятия связаны с осуществлением трех групп функций:

·    Изучение спроса, формирование портфеля заказов, заключение договоров на поставку продукции, подготовка продукции, вышедшей из производства, к поставке и реализации покупателям;

·        Послепродажное обслуживание (монтаж, наладка, контроль за состоянием, ремонт и т.п)

Отдельные экономисты предлагают классифицировать сбытовые затраты следующим образом:

1.   Управление сбытом, то есть расходы по управлению сбытом и оперативно-сбытовой работе (содержание управленческого персонала сбытовых служб, командировочные расходы, реклама и информация, делопроизводство и др.)

2.      Вывоз готовой продукции на склад (внутризаводское перемещение грузов), т.е расходы по погрузке на транспортные средства, по доставке на склад готовой продукции, разгрузке)

.        Образование и содержание товарных запасов, расходы по хранению, упаковке, плата за оборотные средства в запасах и основные средства складов, потери при хранении товаров, от мобилизации средств в запасах

.        Доставка готовой продукции на предприятия магистрального транспорта и ее сбыт, расходы по доставке продукции на станцию отправления и погрузке в транспортные средства, комиссионные сборы (отчисления), уплачиваемые коммерческо-посредническим организациям, скидки с цены, предоставляемые предприятиями-поставщиками коммерческо-посредническим организациям за реализацию продукции, прочие расходы (на специальные анализы продукции, производимые при ее отпуске и др.)

.        Послепродажное обслуживание: расходы на содержание персонала, командировочные расходы, на материалы и запасные части, на обмен информацией

Иными словами, сбыт представляет собой комплекс организационных, плановых и оперативно-управленческих мероприятий, связанных с поставкой, реализацией и продвижением продукции от поставщика к потребителю.       

Деятельность предприятия в области сбыта и распределения продукции должна быть подсинена определенным целям. Во-первых, обеспечить доставку произведенных товаров в необходимом количестве в такое место и время, которые более всего устраивают потребителей. Во-вторых, способствовать привлечению внимания покупателей к продукции предприятия и всемирно стимулировать расширение ее продажи конечным потребителям.

Пожалуй, ничто так не убеждает в важности сбыта для товаропроизводителей, как постоянный рост затрат на этот вид деятельности.

Понимая, что основная часть сбытовых расходов связана с организацией продвижения товара на рынок, большинство ученых выделяют в сбытовой деятельности именно эти функции.

Необходимо распределить сбытовые затраты по центрам ответственности: закупка, распределение и местам возникновения: склады готовой продукции, склады снабжения, транспортное хозяйство, управление сбытом.

Механизм выявления сбытовых затрат и процедуры распределения этих затрат по местам возникновения и центрам ответственности:

Затраты

Источник информации

Примечание

Сырье и материалы

Счета фактуры, договора

Непосредственно

-

Заработная плата персонала, выполняющего сбытовые функции

Информация о численности, составе, штатное расписание

Непосредственно

Службы снабжения, сбыта, транспортное хозяйство

Амортизация

Карточки учета основных средств, размеры участков

По доле в общей площади произв. Участков

-

Прочие

Анализ коммерческих расходов и издержек обращения

Суммирование указанных затрат

Затраты на рекламу можно считать условно-постоянными

Затраты по местам возникновения

Отдел снабжения, склады снабжения

Затраты отдела и складов снабжения

Суммирование указанных затрат

Доля заработной платы служб в фонде оплаты

Отдел сбыта, управление

Элементы затрат на сбыт

Суммирование указанных затрат

труда всего управленческого персонала

Транспортировка готовой продукции

Счета-фактуры транспортной организации

Транспортный тариф и стоимость погрузоразгрузочных работ

Необходим учет


При оценке эффективности, общепринятым является сравнение плановых показателей с фактическими, что не всегда позволяет выявить причины отклонений. В рамках стратегического управления сбытовыми затратами предлагается в качестве основного критерия оценки эффективности использовать сопоставление затрат и результатов .

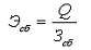
Эффективность управления общими сбытовыми затратами предлагается определять следующим образом:

Эсб =

Q

,


Зсб






Где - Эсб-общие сбытовые затраты, руб.

Q - объем выпуска в стоимостных или натуральных единицах (зависит от количества заключенных договоров)

Эффективность управления сбытовыми затратами можно оценивать показателем рентабельности сбытовых затрат, определяемым по формуле, где - прибыль за исследуемый период.

Эффективность управления иллюстрирует и динамика структуры затрат, например изменение удельного веса затрат на транспортировку готовой продукции в общих сбытовых затратах.

Методика оценки управляемости сбытовыми затратами представлены в таблице:

Показатель эффективности

Формулы расчета

Примечание

1. Количество заказов, в год

См. ниже

Зависит от трудоемкости выполняемых работ

2. Затраты на оформление заказа, т. р.

 

 

3. Удельный вес затрат на содержание складов готовой продукции в общих сбытовых затратах

Исследуется в динамике,-> min

4. Удельный вес затрат на транспортировку готовой продукции в общих сбытовых затратах

Должен быть стабильным при отсутствии колебаний коэффициента транспортных затрат. Может быть использован при оценке правильности выбора способа транспортировки

5. Удельный вес отдельных сбытовых затрат в общих сбытовых затратах

Исследуется в динамике, -> min

6. Удельный вес сбытовых затрат в общей сумме затрат на производство

Исследуется в динамике,-> min

7. Эффективность управления общими сбытовыми затратами

Исследуется в динамике


Достоинство изложенной методики оценки эффективности управления сбытовыми затратами заключается не только в возможности анализа и контроля процесса управления, но и в возможности определения «узких мест» и способов воздействия на затраты.

2. Метод ценообразования на основе полных издержек

Определить цеховую, производственную, полную себестоимость изделия, его отпускную цену:

Стоимость сырья, материалов (руб)

638

253

Обязательные отчисления на социальные нужды (от расходов на з/п) %

38,5

Прочие прямые расходы (от стоимости сырья, материалов, з/п, отчислений)%

25

Цеховые расходы %

32

Общехозяйственные расходы %

9

Внепроизводственные расходы %

8

Рентабельность продукции %

25

Ставка акцизного налога %

-

Ставка НДС %

18


Решение:

ЕСН (отчисления) = 253*38,5%=97,41 руб.

Прочие прямые расходы =(638+253+97,41)*25%=247,11 руб.

Прямые расходы=638+253+97,41+247,11=1235,52 руб.

Цеховые расходы=1235,52*32%=395,37 руб.

ЦЕХОВАЯ СЕБЕСТОИМОСТЬ=1235,52+395,37=1630,89 руб.

Общехозяйственные расходы = 1630,89*9%=146,78 руб.

Внепроизводственные расходы=1630,89*8%=130,48 руб.

ПОЛНАЯ СЕБЕСТОИМОСТЬ=1630,89+146,78+130,48=1908,15 руб.

Рентабельность продукции=1908,15*25%=477,04 руб.

НДС=(1908,15+455,36)*18%=425,44 руб.

ОТПУСКНАЯ ЦЕНА=1908,15+477,04+425,44=2810,63 руб.

Определение отпускной цены предприятия, цены закупки и розничной цены на товар, поступающий в магазин через оптовое предприятие.

Полная себестоимость изделия (руб)834


Рентабельность продукции %

18

Ставка НДС %

18

Уровень снабженческо-сбытовой надбавки %

12

Уровень торговой надбавки %

24


Решение:

Рентабельность продукции=834*18%=150,12 руб.

НДС = (834+150,12)*18%=177,15 руб.

ОТПУСКНАЯ ЦЕНА = 834+150,12+177,15=1161,27 руб.

Уровень снаб.-сбыт. Надбавки = 1161,27*12%=139,36 руб.

ЦЕНА ЗАКУПКИ = 1161,27+139,36=1300,63 руб.

Уровень торговой надбавки =1300,63*24%=312,16 руб.

РОЗНИЧНАЯ ЦЕНА=1300,63+312,16=1612,79 руб.

3. Метод ценообразования на основе предельных издержек

ПОКАЗАТЕЛИ

ЕД.ИЗМ.

СВОБОД.РЕАЛ.

ЗАКАЗ

ИТОГО

Кол-во изделий

шт

600

350

950

Выручка от продаж

Руб.

138000

70000

208000

Затраты на материалы

Руб.

53400

31150

84550

Затраты на з/п и отчисления

Руб.

14000

38000

Прочие прямые расходы

Руб.

12600

7350

19950

Расходы на сбыт

Руб.

10200

-

10200

Маржинальная прибыль предпр-я

Руб.

50400

24850

75250

Постоянные расходы

Руб.

12000

-

12000

Прибыль/Убыток

Руб.

37800

17500

55300

Рентабельность производства

%

23%

33,3%

31.13%


Условия

Предприятие выпускает 600 изделий в месяц по 230 рублей за шт. Предприятие может получить заказ от фирмы на поставку 350 изделий из условий долгосрочного контракта по цене 200 рублей. Определите сумму прибыли и рентабельность по свободно реализуемой продукции, по заказу и в целом. Сделайте вывод о том, имеет ли смысл принимать заказ, если себестоимость производства одного изделия следующая:

Затраты на материалы-89

Затраты на з/п и отчисления-40

Прочие прямые расходы-21

Расходы на сбыт-17

Постоянные расходы-20

Полная себестоимость-187

Решение:

Выручка от продаж:            600*230=138000 руб.

350*200=70000 руб.

Затраты на материалы:                 600*89=53400 руб.

350*89=31150 руб.

Затраты на з/п и отчисления:         600*40=24000 руб.

350*40=14000 руб.

Прочие прямые расходы:              600*21=12600 руб.

350*21=7350 руб.

Расходы на сбыт:                            600*17=10200 руб.

Постоянные расходы:           600*20=12000 руб.

Маржинальная прибыль:     138000-(53400+24000+10200)=50400 руб.

70000-(31150+14000)=24850 руб.

Прибыль/убыток:                           50400-12600=37800 руб.

24850 -7350= 17500 руб.

Рентабельность пр-ва:          (230-187)/187*100%=23%

17000/(31150+14000+7350)*100%=33.3%

Рентабельность пр-ва в целом: (37800+17500)/(112200+65450)*100%=31.13%

Предприятию целесообразно принять заказ, так как рентабельность производства возрастет.

Заключение


Управление предприятием представляет собой процесс обеспечения его деятельности для достижения поставленных целей. Наибольшее значение имеет управление затратами на производство, включающее контроль и регулирование. Возникает задача снижения издержек производства до нормативного уровня. Соблюдение нормативов в этом случае является целью управления затратами на производство. Успех фирмы зависит от формирования издержек производства по нескольким причинам:

1. Затраты на производство продукции выступают важнейшим элементом при определении справедливой и конкурентоспособной продажной цены.

2.      Информация об издержках производства часто лежит в основе прогнозирования и управления производством и затратами на него.

.        Знание издержек производства необходимо для определения сальдо материальных счетов на конец отчетного периода.

Издержки предприятия относятся к производству и реализации продукции, выраженные в денежной форме, образуют себестоимость продукции. В настоящее время в практике работы многих предприятий усиливается противоречие между необходимостью в исчислении достоверного показателя себестоимости продукции, работ, услуг с точки зрения именно его экономической сущности и природы, что вызвано потребностями управления предприятиями в рыночной среде и налоговым регламентом в формировании данного показателя.

Показатель издержки производства (себестоимость) выпускаемой продукции позволяет оценивать работу предприятия с качественной стороны, но одновременно отражает и количественные результаты его работы, поскольку ощутимое снижение издержек производства, в первую очередь, достигается путем увеличения выпуска продукции, что непосредственно связано с правильным управлением производственным коллективом и технологическими процессами предприятия.

Издержки производства являются исходным показателем для определения выгодности того или иного производства, и лежит в основе определения цен на продукцию.

Список литературы

1.   Вахрушина М.А. Бухгалтерский управленческий учет. - М.: Омега - Л, 2008. 576 с.

2.      Васин Ф.П. Управленческий учет: учебное пособие. - М., 1997. - 350с.

.        Зинченко А.А. Методы учета затрат // Главбух. Приложение «Учет в производстве». - 2009. - № 4. - с. 32.

.        Карпова Т.П. Управленческий учет: учебник д/вузов. - М.: Инфра-М, 2010. - 341 с.

.        Котляров С.А. Управление затратами. - Спб.: Питер, 2011. - 311 с.

.        Савиных А.Н. Анализ и диагностика финансово - хозяйственной деятельности предприятия. - Новосибирск: НГАЭиУ, 2009. - 222с.

.        Савицкая Г.В. Анализ хозяйственной деятельности предприятия. - М.: ИНФРА-М, 2008. - 344 с.

.        Титов В.В., Коробкова З.В.. Финансовая стратегия в управлении предприятием / . - Новосибирск, 2002. - 409 с.

.        Шеремет А.Д., Сайфулин Р.С. Финансы предприятий.- М.: ИНФРА-М, 2008. - 411с.

Похожие работы на - Технология анализа сбытовых издержек

 

Не нашли материал для своей работы?
Поможем написать уникальную работу
Без плагиата!
Без нейросетей!