Задачі з параметрами в курсі математики середньої школи
МІНІСТЕРСТВО
ОСВІТИ І НАУКИ, МОЛОДІ ТА СПОРТУ УКРАЇНИ
ДНІПРОПЕТРОВСЬКИЙ
НАЦІОНАЛЬНИЙ УНІВЕРСИТЕТ
ІМЕНI
ОЛЕСЯ ГОНЧАРА
Механіко-математичний
факультет
Дипломна
робота
ЗА
ОСВІТНЬО-КВАЛІФІКАЦІЙНИМ РІВНЕМ СПЕЦІАЛІСТА
на
тему:
«Задачі
з параметрами в курсі математики середньої школи»
Керівник розділу
«Охорона праці та безпека
в надзвичайних ситуаціях»:
старший викладач
«__»_____________ 2013 р. _________________Тарасенко
Ю.В.
Дніпропетровськ
р.
ЗМІСТ
ВСТУП
РОЗДІЛ 1. РІВНЯННЯ В ЗАДАЧАХ З
ПАРАМЕТРАМИ ТА МЕТОДОЛОГІЯ ЇХ РОЗВ’ЯЗАННЯ У СЕРЕДНІЙ ШКОЛІ
1.1 Лінійні рівняння з параметром
.2 Системи лінійних рівнянь з двома змінними з
параметром 2
.3 Квадратні рівняння з параметром
.4 Системи квадратних рівнянь з двома змінними з
параметром
1.5 Ірраціональні рівняння з
параметрами
.6 Показникові рівняння з параметрами
.7 Логарифмічні рівняння з
параметрами
.8 Тригонометричні рівняння та
системи тригонометричних рівнянь з параметрами
РОЗДІЛ 2. НЕРІВНОСТІ В ЗАДАЧАХ З
ПАРАМЕТРАМИ ТА МЕТОДОЛОГІЯ ЇХ РОЗВ’ЯЗАННЯ У СЕРЕДНІЙ ШКОЛІ
2.1 Лінійні та квадратні нерівності з параметром
.2 Системи лінійних та квадратних нерівностей з двома
змінними з параметром
2.3 Ірраціональні нерівності з
параметрами
.4 Показникові нерівності з
параметрами
.5 Логарифмічні нерівності з
параметрами
.6. Тригонометричні нерівності та
системи тригонометричних нерівностей з параметрами
РОЗДІЛ 3. ЗАСТОСУВАННЯ ГРАФІЧНИХ
МЕТОДІВ РОЗВ’ЯЗАННЯ ЗАДАЧ З ПАРАМЕТРАМИ У СЕРЕДНІЙ ШКОЛІ З ВИКОРИСТАННЯМ
ПРОГРАМНО-ГРАФІЧНОГО КАЛЬКУЛЯТОРА MICROSOFT MATHEMATICS
.1 Застосування графічних методів
паралельного переносу в розв’язанні задач з параметрами
.2 Застосування графічних методів
повороту в розв’язанні задач з параметрами
.3 Застосування графічних методів
гомотетії в розв’язанні задач з параметрами
.4 Застосування графічних методів
двох прямих на площині в розв’язанні задач з параметрами
РОЗДІЛ 4. ОХОРОНА ПРАЦІ ТА БЕЗПЕКА В НАДЗВИЧАЙНИХ
СИТУАЦІЯХ В ЗАГАЛЬНООСВІТНІЙ ШКОЛІ
.1 Законодавчі основи організації охорони праці в
галузі освіти та безпеки життєдіяльності в загальноосвітній школі
4.2 Аналіз стану охорони навчання і праці та безпеки в
надзвичайних ситуаціях в приміщенні кабінету математики та інформатики 11 класу
.3 Обґрунтування заходів щодо покращення
санітарно-гігієнічних умов навчання учнів в кабінеті математики та інформатики
11 класу загальноосвітньої школи
.3.1 Вимоги до штучного освітлення на робочому місці
при роботі за комп’ютером
.3.2 Вимоги до природнього освітлення
.3.3 Розробка системи штучного освітлення
.3.4 Практичний розрахунок штучного освітлення
ВИСНОВКИ
СПИСОК ВИКОРИСТАНОЇ ЛІТЕРАТУРИ
ВСТУП
Орієнтація освіти на особистісний розвиток, варіативність
школи вимагає переусвідомлення всіх чинників, в тому числі змісту, методів,
форм і засобів навчання, від яких залежить якість навчально-виховного процесу.
Реалізація цієї мети можлива у збагаченні шкільного курсу математики таким
навчальним матеріалом, який міг би забезпечити учню можливість активно
залучатися до дослідницької діяльності, у процесі якої в нього відбувалося б
формування дослідницьких умінь. Таким матеріалом можуть стати системи задач із
параметрами, тобто задачі, в яких умова, хід розв’язку і форма результату
залежать від величин, чисельні значення яких не задані конкретно, але повинні
вважатися відомими.
Залучення до навчального процесу задач із параметрами
дозволяє природно й педагогічно доцільно імітувати повний процес прикладного
математичного дослідження або окремих його етапів, що сприяє розвитку в учнів
глибокого стійкого інтересу до дослідження. В процесі розв’язування задач із
параметрами учні знайомляться з великою кількістю евристичних прийомів
загального і спеціального характеру .
У методичній літературі зустрічається ряд робіт, пов'язаних
із задачами з параметрами, автори яких В.І.Голубєв, О.М.Гольдман, Г.В.Дорофєєв,
М.Я.Ігнатенко, К.С.Кочарова, О.А.Корміхін, В,С,Крамор, В.М.Лейфура, В.К.Марков,
С.І.Мещерякова, Г.Ф.Олійник, Н.О.Тарасенкова, І.І.Чучаєв, І.Ф.Шаригін та ін.,
але анкетування учнів 10х - 11х класів й їх учителів показало, що задачам з
параметрами, навіть у класах із поглибленим теоретичним і практичним вивченням
математики, не надається належної уваги.
Таким чином, проблема формування й розвитку дослідницьких
умінь учнів у процесі розв’язування математичних задач з параметрами є
актуальною з точки зору розвитку творчої особистості школярів в умовах
впровадження нової парадигми освіти.
Об'єкт дослідження - процес навчання математики учнів
загальноосвітніх класів та класів з поглибленим теоретичним і практичним
вивченням математики. Предмет дослідження - система задач із параметрами як
засіб розвитку дослідницьких умінь учнів і методика навчання їх розв’язуванню.
Мета дослідження - розробка системи задач із параметрами й методик їх
розв’язання в процесі навчання з метою реалізації розвиваючого навчання, ідей
моделювання і прикладної спрямованості курсу математики.
Гіпотеза дослідження - якщо в процесі навчання математики
використовувати систему задач із параметрами, яка містить їх як моделі реальних
систем і процесів, їх дослідження, а також узагальнення математичних задач і
тверджень, реалізуючи при цьому дидактичні і психологічні принципи розвиваючого
навчання, то це буде сприяти інтелектуальному розвитку учнів, підвищенню їх
інтересу до математики як навчального предмета, розвитку дослідницьких умінь і
загального рівня математичної підготовки.
Теоретичне значення дослідження полягає в тому, що:
) запропонована система задач з параметрами во всіх розділах
шкільної програми алгебри; 2) запропоновані аналітичні способи досліджень при
розв’язанні рівнянь та нерівностей з параметрами; 3) запропоновані інтерактивні
способи графічного розв’язання задач з параметрами з використанням комп’ютерної
графіки в системі MICROSOFT MATHEMATICS, встановлена їх ефективність
впровадження у плані формування дослідницьких умінь в учнів.
Практичне значення результатів дослідження полягає в тому, що
в ньому розроблена методика конструювання і використання в навчальному процесі
системи задач з параметрами на основі методології математичного моделювання,
запропонована методика сприяє розвитку інтелектуальних і дослідницьких умінь і
навичок, оволодінню корисними прийомами евристики та прикладного застосування
комп’ютерних систем професійного рівня.
РОЗДІЛ 1. РІВНЯННЯ В ЗАДАЧАХ З
ПАРАМЕТРАМИ ТА МЕТОДОЛОГІЯ ЇХ РОЗВ’ЯЗАННЯ У СЕРЕДНІЙ ШКОЛІ
1.1 Лінійні
рівняння з параметром
Задачі з параметрами відіграють важливу роль у формуванні
логічного мислення й математичної культури в школярів, але їхнє рішення
викликає в них значні утруднення. Це пов'язане з тим, що кожне рівняння з
параметрами являє собою цілий клас звичайних рівнянь, для кожного з яких
повинне бути отримане рішення. Такі задачі пропонуються на єдиному державному
іспиті й на вступних іспитах у вузи [15].
Розв’язування рівнянь з параметрами визначається залежно від
допустимих значень параметрів. Параметр - це змінна або постійна величина в
рівняння, яка не розглядається як така, що треба знайти, а навпаки, корені
рівняння знаходять залежно від цієї величини.
Означення. Рівнянням з параметрами а1, а2, …, аn називаємо
рівняння виду:
(1.1.1)
де х - шукана невідома.
Значення шуканого невідомого х залежить від значення
параметрів.
Значення параметрів
при
яких вираз
має зміст при деяких значеннях х, називають
допустимими. Множину всіх допустимих систем значень параметрів рівняння (1.1.1)
називають областю зміни параметрів цього рівняння.
Розв’язати рівняння з параметрами означає знайти всі
розв’язки цього рівняння для кожної допустимої системи значень параметрів.
Щоб розв’язати рівняння (1.1.1) треба:
визначити область допустимих значень параметрів
розв’язати рівняння (1.1.1) відносно х і подати невідоме х у вигляді
функції
від параметрів;
з’ясувати, при яких допустимих значеннях параметрів значення функції
є розв’язками даного рівняння;
1)
розглянути
рівняння (1.1.1) при таких допустимих значеннях параметрів, при яких його не
можна розв’язати відносно х і з’ясувати чи має рівняння при цих значеннях
параметрів розв’язки і, якщо має, то які.
Означення. Рівняння виду
(1.1.2)
де х - невідоме,
- параметри, називають лінійним рівнянням з
параметрами.
Якщо
, то рівняння (1.1.2) має єдиний розв’язок:
Якщо
, то рівняння (1.1.2) має безліч розв’язків.
Якщо
то рівняння (1.1.2) не має розв’язків.
Приклад 1.1.1. При якому значенні параметра в рівняння
має
безліч розв’язків?
. Використовуючи схему дослідження лінійного рівняння, маємо:
Розв’язуючи цю систему, дістанемо:
отже,
Відповідь. При
система рівнянь має безліч розв’язків.
Приклад 1.1.2. При якому значенні параметра b рівняння
не має розв’язку?
. Після перетворення рівняння до виду
Останнє рівняння не має розв’язків якщо
звідки
Відповідь.
.
Приклад 1.1.3. Розв’язати рівняння
ах - 3 = b залежно від параметрів а і b.
Розв’язання.
. Виконавши у рівняння ах-3 = b тотожні перетворення, дістанемо: ах =
b+3.
) якщо а≠0, то х =
при будь - якому b;
) якщо а =0, то при b= -3 рівняння набуває вигляду 0х=0, тобто
коренями рівняння є всі числа;
) якщо а=0 і b≠-3, дістанемо 0х = b +3 ≠0, така
рівність неможлива, тому рівняння коренів не має.
Відповідь. при а ≠0 і будь - якому b х =
;
при а =0 і b = -3 корені рівняння - всі числа;
при а=0 і b≠0 коренів немає.
Приклад 1.1.4. Розв’язати рівняння :
(а-1)(а+1)х - а -1 =0 залежно від а.
Розв’язання.
. Запишемо рівняння у вигляді: (а-1)(а+1)х = а+1.
. Добуток (а-1)(а+1) дорівнює нулю при а =1 або
а = -1, тому розглянемо такі випадки:
) при а = 1 рівняння набуває вигляду 0х = 2, яке коренів не має;
) при а = -1 дістанемо рівняння 0х =0, корені якого є всі числа;
)при |а| ≠1 (а-1)(а+1) ≠0, тому
х =
.
Відповідь: при |а| ≠1
;
при а = -1 корені рівняння - всі числа;
при а = 1 - коренів немає.
Приклад 1.1.5. Розв’язати рівняння
з
параметрами
.
Розв’язання.
. Область допустимих значень невідомого і параметрів х ≠0, х ≠
а.
Маємо а - х = bх, (b+1)х = а.
. Якщо b = -1, а = 0, то рівняння а - х = bх, (b+1)х = а набирає
вигляду 0х = 0. Це рівняння справджується для будь - яких значень х, що входять
до області допустимих значень.
. Якщо b = - 1, а ≠ 0, то рівняння набуває вигляду 0х = а.
Коренів немає.
. Якщо b ≠ - 1, то рівняння має єдиний розв’язок х =
.
Перевіримо, при яких значеннях параметрів а і b утворений корінь
задовольняє рівняння.
Виходячи з умови, х ≠ 0 та а - х ≠0, Отже,
Звідси а ≠ 0 та b ≠ 0.
Висновок: 1. якщо b = -1, а =0, то рівняння має безліч коренів, тобто
має смисл при будь - яких дійсних х, крім х = 0, х =а. 2. Якщо b - 1, а ≠0,
то розв’язків немає. 3. Якщо х ≠ 0, а ≠ 0, b ≠ 0, то х =
.
1.2 Системи лінійних рівнянь з двома змінними
з параметром
Дослідження та розв’язання систем лінійних рівнянь з двома
невідомими та з параметрами складається з етапів встановлення:
чи є система визначеною тобто має єдиний розв’язок, і при
яких умовах;
чи є система несумісною тобто немає розв’язків, і при яких
умовах;
чи має вона безліч розв’язків і при яких умовах.
Дослідження системи рівнянь в загальному алгебраїчному
вигляді здійснюється за наступним алгоритмом:
(1.2.1)
де
- невідомі;
-
параметр.
. Якщо
то система має єдиний розв’язок.
При цьому графіки рівнянь, що входять у систему, мають одну спільну
точку, координати якої є розв’язком системи.
. Якщо
то система не має розв’язків.
Графіки рівнянь при цьому є взаємно паралельними прямими.
Якщо
то система рівнянь має безліч розв’язків.
Графіки рівнянь збігаються.
Найпоширенішими способами розв’язання системи рівнянь з двома змінними
є спосіб підстановки та спосіб додавання.
Спосіб підстановки. Щоб розв’язати систему (1.2.1) способом
підстанов-ки, треба:
) виразити з якого небудь її рівняння одну змінну через другу змінну та
коефіцієнти, наприклад із системи (1.2.1):
(1.2.2)
) підставити в інше рівняння системи замість цієї змінної здобутий
вираз;
(1.2.3)
) розв’язати утворене лінійне рівняння (1.2.3) з однією змінною
;
) знайти відповідне значення (1.2.1) другої змінної
.
Приклад 1.2.1. При якому значенні параметра а система
має безліч розв’язків?
. Система має безліч розв’язків, якщо
. Розв’язуємо рівняння
.
. Звідси
. З умови
маємо
.
Відповідь.
Приклад 1.2.2. При яких значеннях а система
не має розв’язків?
. Система не має розв’язків, якщо
. Розв’яжемо рівняння
Звідси
. Перевіримо умову
. Підставимо в останній вираз замість а значення
дістанемо
. Якщо
то система
немає
розв’язків.
Відповідь: (
.)
Приклад 1.2.3. При яких значеннях
система
рівнянь
має розв’язки
?
. Система має розв’язки, якщо
тобто
. Розв’язуючи систему рівнянь, матимемо
. За умовою задачі
тобто
. Оскільки
, то остання система рівносильна системі:
звідси
Відповідь:
Приклад 1.2.4.Знайдіть значення параметра а, при якому система не має
розв’язків.

.
Щоб система не мала розв’язків, потрібно, щоб виконувалися умови

,
звідси 
,

,

,
а=-8.
Відповідь: при а=-8.
Приклад 1.2.5. Знайдіть значення параметра а, при якому система рівнянь

,
має нескінченну кількість розв’язків.
Розв’язання
Система має нескінченну кількість розв’язків тоді, коли виконуються
умови

=
,
Звідси 
,
а2+15а+14=6а-6,
а-60=2а2+28а, 
а=-5.
а
Відповідь при а=-5.
Приклад 1.2.6. Знайдіть значення параметрів а і b, при яких система
рівнянь

,
має безліч розв’язків.
Розв’язання
Система має безліч розв’язків, якщо
,
звідси
; відповідно
Відповідь: (-2;-6), (6;2).
Приклад 1.2.7. Знайдіть значення параметра а, при яких розв’язки
системи рівнянь 
,
задовольняють умови:
Розв’язання
Додавши почленно рівняння системи, дістанемо 4
,
х = 
.
Здобутий вираз підставимо в друге рівняння системи: 
,
З’ясуємо, при яких значеннях параметра розв’язки системи задовольняють
умову 
Для цього розв’яжемо систему нерівностей


а=2.
Відповідь: а = 2
1.3 Квадратні рівняння з параметром
Рівняння виду
де
-
шукане невідоме,
- параметри,
називається
квадратним рівнянням з параметрами.
Корені квадратного рівняння знаходимо за формулою:
,
де
(1.3.1)
Якщо
то рівняння має 2 дійсні корені.
Якщо
, то рівняння має єдиний корінь.
Якщо
, то рівняння не має дійсних коренів.
Для коренів
і
квадратного
рівняння виконуються наступні теореми, для чого розглянемо деякі властивості
квадратного тричлена. Виділяючи повний квадрат, дістанемо формулу:
(1.3.2)
із якої маємо, що графік квадратичної функції отримується із графіка
функції
за допомогою 2-х паралельних переносів - зсуву на
вимогу
вздовж осі ох і зсуву на величину
вздовж осі оу.
Тому координати визначаються параметром
(1.3.3)
Віссю симетрії параболи є пряма
Теорема (Вієта). Між коренями
і
квадратного рівняння
існують співвідношення:
(1.3.4)
Теорема. Для того щоб корені квадратного рівняння мали
однакові знаки, необхідно і достатньо виконання співвідношень:
(1.3.5)
при цьому обидва корені будуть додатні, якщо додатково виконується
умова
(1.3.6)
і обидва кореня будуть від’ємні, якщо
(1.3.7)
Теорема. Для того щоб корені квадратного рівняння мали різні
знаки, необхідно і достатньо щоб виконувалися співвідношення
(1.3.8)
Наведемо також теореми про розташування коренів квадратного рівняння.
Теорема. Нехай числа
і
корені квадратного рівняння
де
і дані деякі точки
і
на осі
Тоді:
. Обидва корені менше числа
,
тобто
і
тоді і тільки тоді, коли
або
(1.3.9)
. Корені лежать по різні боки від числа
тобто
тоді і тільки тоді, коли
або
(1.3.10)
. Обидва корені більше числа
,
тобто
і
тоді
і тільки тоді, коли
або
(1.3.11)
. Обидва кореня між точками
і
тобто
і
тоді і тільки тоді, коли
або
(1.3.12)
. Корені рівняння лежать по різні боки відрізка
, тобто
тоді
і тільки тоді
або
(1.3.13)
Приклад 1.3.1. При яких значеннях а число 2 знаходиться між коренями
рівняння
?
. Нехай
і
-
корені квадратного рівняння причому
Формалізуючи
умови задачі, дістанемо
. Якщо розв’язувати цю систему рівнянь, то будемо мати значні труднощі.
Тому користуємося п. 2 теореми
Відповідь.
Приклад 1.3.2. При якому значенні параметра в рівняння
має єдиний розв’язок?
. Спочатку перетворюємо рівняння до виду
.
. Це рівняння має єдиний розв’язок, якщо його дискримінант дорівнює
нулю, тобто
,
звідки

Відповідь.
Приклад 1.3.3. Обчислити суму цілих значень параметра а при яких
рівняння
має два різні дійсні корені.
. Рівняння має два різні дійсні корені якщо
тобто
,
. Далі знаходимо суму цілих значень параметра а:
Відповідь.
Приклад 1.3.4. Визначити найбільше ціле значення параметра а, при якому
рівняння
має два різні розв’язки.
. Введемо заміну
(наочно, що
)
і залишимо рівняння у виді:
. Це рівняння має два розв’язки, якщо
тобто
. Звідци
Корені рівняння
. Тому
і
. Із системи
маємо:
.
Відповідь.
Приклад 1.3.5. Знайти кількість цілих значень параметра
при яких сума розв’язків рівняння
належить проміжку
?
1. За теоремою Вієта
. Тоді
або
або
. Параметр
набуває наступних цілих значень: 9, 10, 11, 12, 13.
Відповідь. 5 цілих значень.
Приклад 1.3.6. Розв’язати рівняння
. ОДЗ:
Тоді після зведення до спільного знаменника рівняння набуває вигляду
або на області допустимих значень невідомого та параметра
. Знайдемо дискримінант цього рівняння
і його корені:
. Враховуючи ОДЗ дістанемо:
при
рівняння має два корені
. Якщо
Приклад 1.3.7. Розв’язати рівняння а(а+1)х2- (2а2-1)х+ а(а-1)=0.
Розв’язання
. Дане рівняння при а=0 і а=-1 є лінійним і має відповідно вид: х=0;
-х+2=0. Отже при а=0, х=0; при а=-1, х=2.
. Нехай а≠0 і а ≠ - 1. Тоді, рівняння є квадратним,
знайдемо його дискримінант.
=(2а2 - 1)2 - 4 а(а+1) а(а-1)=1>0
. Рівняння має два корені:
.
;
.
Відповідь: Коли а=0, х=0; коли а=-1, х=2; коли а≠0, а ≠ -
1,
;
.
Приклад 1.3.11. Знайти всі значення а, для яких один корінь рівняння
ах2 - 2х - 3а - 2 =0 більше 1, а другий менше 1.
Розв’язання
. Для того щоб корені рівняння задовольняли умову задачі потрібно, щоб
виконувалася умова:
аf(т)= 2а(2ат2 - 2т - 3а - 2)<0;
а( - 4 - а ) <0, а
.
Відповідь: а
.
Приклад 1.3.8. Розв’яжіть рівняння
.
Розв’язання. Многочлен
додатний
при будь-якому значенні
. Отже, вихідне рівняння рівносильне рівнянню
або рівнянню
.
Відповідь: 1.
, якщо
;
.
, якщо
;
.
, якщо
;
. розв’язків не існує, якщо
1.4 Системи квадратних рівнянь з двома
змінними з параметром
Враховуючи, що кожне окреме лінійне рівняння з двома змінними
має безліч розв’язків, розв”язком системи квадратних та лінійних рівнянь
назива-ється спільний розв’язок усіх її рівнянь. Тобто розв’язати систему
квадратного та лінійного рівнянь з двома змінними:
(1.4.1)
при заданих коефіцієнтах
-
це знайти множину значень (
),
які задовольняють кожному рівнянню.
Найпоширенішими способами розв’язання системи рівнянь з двома змінними
є спосіб підстановки та спосіб додавання.
Спосіб підстановки. Щоб розв’язати систему (1.4.1) способом
підстанов-ки, треба:
) виразити з якого небудь її рівняння одну змінну через другу змінну та
коефіцієнти, наприклад із системи (1.4.1):
(1.4.2)
) підставити в інше рівняння системи замість цієї змінної здобутий
вираз;
(1.4.3)
) розв’язати утворене квадратне рівняння (1.4.3) з однією змінною
;
) знайти відповідне значення (1.4.2) другої змінної
.
Спосіб додавання.При вирішенні системи рівнянь способом додавання:
) Виконуємо рівносильними перетвореннями зрівнювання коефіцієнтів перед
однією парою однакових змінних в першому та другому рівнянні;
Для цього перше рівняння (праву і ліву частину) домножуємо на
, друге рівняння (праву і ліву частину) на
.
Отримуємо рівносильну систему з рівними коефіцієнтами з різними знаками
перед змінною
:
(1.4.5)
) Додаючи одне рівняння від другого по частинам, отримуємо рівняння з
однією змінною, яке вирішуємо.
(1.4.6)
(1.4.7)
) підставляючи отримане значення в одне з рівнянь системи (1.4.4),
отримуємо рівняння з однією змінною, яке вирішуємо, таким чином знаходячи
розв’язок системи.
Приклад 1.4.1. При яких значеннях параметра
система:
(1.4.8)
має єдиний розв’язок?
. Підставивши вирази для
з
першого рівняння системи (1.4.8) в друге, одержимо
(1.4.9)
. а) Якщо
, то рівняння (1.4.9) не має розв’язків.
б) Якщо
, то рівняння (1.4.9), а отже і система (1.4.8) має
більше одного розв’язку.
в) Якщо
, то
має
розв’язок тільки при
Відповідь: при
розв’язок
.
Приклад 1.4.2. При яких значеннях параметрів
та
система:
(1.4.10)
має не менше 5 розв’язків?
1. Перепишемо перше рівняння системи
(1.4.10) у вигляді
(1.4.11)
. Тоді початкова система (1.4.10) рівносильна сукупності наступних двох
систем:
а)
б)
(1.4.12)
Кожна з цих систем може мати або не більше двох, або нескінченну
множину розв’язків, тому система має не менше п’яти розв’язків у тому і тільки
в тому випадку, коли хоча б одна з систем рівнянь (1.4.12а) чи (1.4.12б) має
нескінченну множину розв’язків.
. Виразивши з першого рівняння системи (1.4.12а) змінну
і підставив-ши її у друге рівняння цієї системи,
отримаємо:
(1.4.13)
. При
розв’язком рівняння (1.4.13) є будь-яке
. При
рівняння
(1.4.13) має не більше двох розв’язків.
. Виразивши з першого рівняння системи (1.4.12б) змінну
і підставив-ши її у друге рівняння цієї системи,
отримаємо:
(1.4.14)
звідки випливає, що при
та
, система (1.4.14) має нескінчен-ну множину
розв’язків.
Відповідь: система має більше 5 розв’язків при:
.
.
Приклад 1.4.3. При яких значеннях параметра
система:
(1.4.15)
має рівно 2 розв’язки ?
. Нехай
- шукане значення параметра, а пара чисел (
) - розв’язки системи. Легко встановити, що пари чисел
(
) , (
),(
), також будуть розв’язками системи (1.4.15).
. Розв’язки (
),(
)
також різні, оскільки в противному разі
,
але тоді пара чисел (
) не задовольняє друге рівняння системи.
. Розв’язки (
),(
)
також різні, оскільки в противному разі
,
але тоді пара чисел (
) не задовольняє друге рівняння системи.
. За умовою, система має два розв’язки, отже розв’язки (
),(
)
повинні збігатися, тобто повинна виконуватись рівність
.
. Підставивши
замість
у
друге рівняння системи, отримуємо рівняння:
.
. Отже, якщо при данному а пара (
)
- розв’язок початкової системи, то
.
В обох випадках, підставивши (
)
у перше рівняння системи, одержимо:
.
. Таким чином, якщо
-
шукане значення параметра, то воно може приймати значення тільки
.
. При
початкова система рівнянь набуде вигляду:

(1.4.16)
. Помножимо перше рівняння системи (1.4.16) на 2 і віднімемо результат
від другого рівняння системи (1.4.16). Одержимо систему:
(1.4.17)
рівносильну системі (1.4.16)
. Система (1.4.17) у свою чергу рівносильна системі:
(1.4.18)
яка має 2 розв’язки (
та (
. Отже значення параметра
і
тільки це значення задовольняє умові задачі.
Відповідь: при
розв’язки (
та (
.
1.5 Ірраціональні рівняння з параметрами
Рівняння називається ірраціональним, якщо невідоме входить
під знаком чи радикала невідоме зводиться в ступінь із дробовим показником.
Рішення ірраціонального рівняння зводиться до звільнення від ірраціональності і
рішенню отриманого рівняння. При зведенні рівняння в ступінь можуть з'явитися
сторонні корені. Тому необхідно робити перевірку, чи є знайдені корені
рішеннями вихідного рівняння. Основним методом рішення ірраціональних рівнянь є
зведення обох частин рівняння в ступінь. Основними способами рішення
ірраціональних рівнянь є наступні:
. Рівняння на ОДЗ
Знаходимо ОДЗ з умов того, що підкореневе вираження
вираження
задовольняє
умові
. При рішенні ірраціонального рівняння перевіряємо, чи
входять знайдені корені в ОДЗ.
. Зведення рівняння в квадрат
. Метод заміни
Заміна підкореневого вираження спрощує зведення ірраціонального
рівняння до раціонального.
. Виділення повного квадрата
При рішенні ірраціональних рівнянь часто використовують прийом
виділення повного квадрата.
. Множення на сполучене вираження
. Зведення до однорідних ірраціональних рівнянь
Рівняння виду
називається однорідним. Воно зводиться до квадратного рівняння заміною
.
. Розкладання на множники
. Рівняння з кубічними ірраціональностями
Розглянемо ірраціональні рівняння виду
(3)
Зведемо обидві частини рівняння в куб
.
Використаємо для спрощення рівняння (3)
.
(4)
Зведемо обидві частини рівняння в куб
.
Якщо рівняння (3) маємо корінь, те він є коренем рівняння (4). Однак
рівняння (4) може мати корінь, який не є коренем рівняння (3).
Позначимо:
,
,
.
Рівняння (4) приймає вигляд
.
Це рівняння відрізняється від рівняння (30, яку можна записати у виді
. Якщо рівняння (4) має зайві корені, те смороду є
коренями рівнянь
,
,
.
т. е.
;
,
.
(5)
Якщо при рішенні рівняння (4) з'явилися зайві корені, то вони
задовольняють системі рівнянь (5).
. Заміна радикалів новими невідомими
Основним способом рішення складних ірраціональних рівнянь є заміна
кожного радикала новим невідомої. Це дозволяє звести ірраціональне рівняння до
системи алгебраїчних рівнянь.
Приклад 1.5.1. Розв’язати відносно х
рівняння:
. Нехай
, тоді
при цьому
. Отже
,
де
.
. Нехай
, тоді рівняння набуде вигляду
. Таким чином
-
будь-яке невід’ємне число.
. Нехай
, тоді рівняння набуде вигляду
. Як видно, це рівняння не має рішення.
Відповідь: 1. Якщо
,
то
;
. Якщо
, то
;
. Якщо
і
,
то коренів немає.
Приклад 1.5.2. Розв’язати відносно х
рівняння:
(1.5.1)
1. Піднявши обидві частини
рівняння (1.5.1) до квадрата, одержуємо:
(1.5.2)
або
(1.5.3)
. Нехай
, тоді рівняння (1.5.3) набуде вигляду
, тобто воно не має розв’язків.
. Нехай
, тоді рівняння (1.5.3) набуде вигляду
.
(1.5.4)
4. Для перевірки підставимо
отриманий вираз (1.5.4) у ліву і праву частину рівняння (1.5.1):
а) Ліва частина
При
і при
маємо
;
При
маємо
.
б) Права частина
. Звідси випливає, що
є
коренем рівняння (1.5.1) при
і
при
. При
-
розв’язків немає.
Відповідь: 1. Якщо
і
, то
.
. Якщо
, то коренів немає.
Приклад 1.5.3. Залежно від значення параметра а розв’язати відносно х
рівняння:
(1.5.5)
. Приймемо заміну
,
де
. Тоді
і
рівняння (1.5.5) набуде вигляду
(1.5.6)
2. Рівняння (1.5.6) рівносильне
системі рівнянь
(1.5.7)
. Розв’язавши перше рівняння системи (1.5.7), отримуємо:
. Система (1.5.7) буде мати розв’язки у наступних трьох випадках:
а)
;
б)
;
в)
.
. Випадок а) можливий, коли
.
. Випадок б) можливий, коли
.
Ця нерівність рівносильна системі:
з якої випливає, що
.
При таких значеннях параметра а одержуємо два корені:
. Випадок в) можливий, коли виконуються умови:
(1.5.8)
Розв’язавши систему (1.5.8), знаходимо, що при
, одержуємо один корінь:
.
Відповідь: 1. Якщо
,
то
;
. Якщо
, то
. Якщо
, то
;
. Якщо
, то розв’язків немає.
1.6 Показникові рівняння з параметрами
Приведемо деякі властивості показників функції
, які застосовуються при рішенні рівнянь з
параметрами:
.
.
.
.
.
.
.
.
.
.
.
.
.
.
При
показова функція
зростає
при всіх значеннях х, при
показова функція убуває при всіх значеннях х (Рис.
1.6.1).
Рис.
1.6.1. Графіки показникової функції в областях ОДЗ
Приклад 1.6.1. Знайдемо значення параметра n, при яких
рівняння
·10 х - 20 = n - n · 10х + 1 не має коренів?
Розв’язок: 1. перетворимо задане рівняння:
·10 х - 20 = n - n · 10х + 1;
·10 х + n· 10х + 1 = n + 20;
х ·(15 + 10n) = n + 20;
х =
. (1.6.1)
. Рівняння (1.6.1) не буде мати рішень при
≤ 0, оскільки 10 х завжди
позитивно.
. Вирішуючи зазначену нерівність методом інтервалів, маємо:
≤ 0;
(n + 20)·(15 + 10n) ≤ 0;
20 ≤ n ≤ - 1,5.
Відповідь:
n належить інтервалу
.
Приклад
1.6.2. Указати найбільше ціле значення параметра а, при якому корінь рівняння
4х2 - 2х + а = 0 належить проміжку (- 1; 1).
Розв’язок:
1. Корені заданого рівняння рівні:
х1
=
(1+
)
х2
=
, при цьому а ≤
.
.
За умовою -1 <
(1+
) < 1
<
< 3,
1
<
< 1
>
> - 3.
.
Рішенням, що задовольняють зазначеним подвійним нерівностям, буде рішення
подвійної нерівності: - 3 <
< 3.
.
Нерівність - 3 <
виконується при всіх а ≤
, нерівність
< 3 -
при - 2 < а ≤
. Таким чином, припустимі значення параметра а лежать
в інтервалі (-2;
.
Найбільше
ціле значення параметра а із цього інтервалу, що одночасно належить і проміжку
(-1; 1), дорівнює 0.
Відповідь:
.
Приклад
1.6.3. Указати значення параметра а, при якому рівняння
х4
+ (1 - 2а)х2 + а2 - 4 = 0 має три різних корені.
Розв’язок:
1. Усяке біквадратне рівняння в загальному випадку має дві пари корінів, при
чому корні однієї пари різняться тільки знаком. Три корені можливі у випадку,
якщо рівняння має одну пару у вигляді нуля.
Корінь
заданого рівняння дорівнює:
х
=
Одна
з пар корінів буде дорівнює 0, якщо (2а-1) =
.
Вирішуючи це рівняння за умови 2а-1 > 0
>
, маємо: (2а - 1) =
(2а - 1)2 = 17 - 4а
а2
- 4а +1 = 17 - 4а
а = 2.
Відповідь:
.
1.7
Логарифмічні рівняння з параметрами
Визначення. Логарифм числа b по заснуванню а називається
степінь, в яку потрібно звести до основи а, щоб отримати число b
.
(1.7.0)
При визначенні логарифма (1.7.0) приймають наступні обмеження на ОДЗ
параметрів -
.
Логарифмічна функція
є
функція зворотна до показової функції
.
При
логарифмічна функція зростає при
, при
логарифмічна
функція убуває при
(Рис. 1.7.1).
Рис.
1.7.1. Характер зміни функції логарифму в області ОДЗ
Основні тотожності для визначення логарифмів
.
Приведемо деякі властивості логарифмів
.
.
.
.
.
.
.
.
.
.
.
.
. Формула переходу до нової основи
.
.
.
.
.
.
.
.
.
.
Приклад 1.7.1. Знайти всі значення а, при яких рівняння
(1.7.1)
Має
два розв'язки. У відповіді вказати найбільше ціле значення а.
.
Рівняння (1.7.1) за визначення логарифма має зміст, якщо
та
, тобто
якщо
.
Із рівності логарифмів в рівнянні (1.7.1) випливає, що
(1.7.2)
.
Отримане квадратне рівняння має два розв’язки, якщо дискримінант
, звідки
.
.
Враховуючи ОДЗ, знаходимо, що дане рішення має наступні розв’язки в проміжках,
якщо
.
Найбільше
ціле значення а=-2.
Відповідь:
Найбільше ціле значення а=-2.
Приклад
1.7.2. Знайти всі значення а, при яких рівняння
(1.7.3)
має
один корень.
.
Зрозуміло, що ОДЗ даного рівняння визначається системою нерівностей
.
.
Отже рівняння (1.7.3) має єдиний корінь тільки тоді, коли система
(1.7.4)
має
єдиний розв'язок.
.
Записавши рівняння
у вигляді
(1.7.5)
робимо
висновок, що воно має розв’язок при додатному дискримінанті
,
тобто,
якщо
або
. При
виконанні цих умов рівняння має два корені
та
а)
при
не виконується нерівність
б)
при
із системи коренів по теоремі Вієтта
Випливає,
що обидва корені рівняння (1.7.5) -від’ємні.
Для
коренів
виконуються наступні нерівності:
і
і
тому
при
система (1.7.4), а отже і рівняння (1.7.3) мають
єдиний розв’язок
.
При
система (1.7.4) має тільки один розв’язок
.
При
із системи
випливає,
що обидва корені рівняння (1.7.5) додатні, тобто система (1.7.4), а з ним і
система (1.7.3) мають два розв’язки.
Отже,
рівняння (1.7.3) має єдиний розв’язок, якщо
або
.
Відповідь:
.
Приклад
1.7.3. Розв’язати відносно
рівняння
(1.7.6)
.
Рівняння (1.7.6) має зміст при
- це
область визначення данного логарифмічного рівняння.
.
У визначеній області рівняння (1.7.6) рівносильне наступному:
(1.7.7)
.
Користуючись означенням логарифма, від рівняння (1.7.7) перйдемо до
рівносильного рівняння
(1.7.8)
.
Розглянемо два випадки: а)
; б)
.
а)
нехай
, тоді рівняння (1.7.8) набуде вигляду
звідки
,
, де
, тобто
.
Зауважуємо,
що обидва отримані корені задовольняють умові
.
б)
Нехай
, тоді рівняння (1.7.8) набуде вигляду
звідки
,
, де
, тобто
.
При
цьому корінь
не задовольняє умові
, а
корінь
при
.
Відповідь:
1. якщо
, то три корені
,
,
.
якщо
, то один корінь
Приклад
1.7.4. Знайти всі значення
, що
задовольняють рівняння
(1.7.9)
при
будь-яких значеннях параметра а.
.
Оскільки рівняння (1.7.9) повинне мати розв’язок при будь-яких значеннях
параметра
, то воно буде мати розв’язок і при
.
.
При такому значенні
рівняння (1.7.9) набуде вигляду
(1.7.10)
.
Рівняння (1.7.10) має зміст, якщо виконується умова
. За цієї умови маємо
(1.7.11)
.
Спростивши рівняння (1.7.11), отримуємо рівняння
(1.7.12)
коренями
якого є значення
та
.
.
Ці два значення
дають потрібні умови існування розв’язків рівняння
(1.7.9) при всіх значеннях параметра
.
.
Підставивши значення
у рівняння (1.7.9), отримуємо співвідношення
, яке має
зміст, якщо
Тобто
якщо
. Таким чином, у даному випадку рівняння (1.7.9) задовольняється
не при будь-яких значеннях
, що
суперечить вимозі задачі.
.
Якщо ж
, то рівняння (1.7.9) стає правильною рівністю
Відповідь:
.
1.8
Тригонометричні рівняння та системи тригонометричних рівнянь з параметрами
При розв’язанні тригонометричних рівнянь з параметрами
застосовують основні тригонометричні тотожності та основні властивості
тригонометричних перетворень взаємопов’язаних тригонометричних функцій.
Вкажемо застосовуємі вісім основних груп формул
тригонометрії:
. Основні співвідношення між тригонометричними функціями того
самого аргументу:

. Формули додавання аргументів:
. Формули подвійного і потрійного аргументів:
. Формули зниження степеня:
5. Формули перетворення добутку тригонометричних функцій у суму:
. Формули перетворення суми і різниці однойменних тригонометричних
функцій:
. Формули, які дають раціональний вираз тригонометричних функцій через
тангенс половинного аргументу:
. Формули тригонометричних функцій половинного аргументу:
Знак перед радикалом в останніх трьох формулах залежить від того ,
в’якій кординатній чверті знаходиться кут
.
Крім основних формул тригонометрії, при розвязуванні прикладів часто
використовують метод введення допоміжного кута для виразів виду
де
Цей вираз можна перетворити у добуток у такий спосіб:
(
такий кут
існує, оскільки
).
Таким чином,
, де
(
інакше
).
Розглянемо розв’ язання найпростіших тригонометричних рівнянь з
параметрами.
. Рівняння
Оскільки
, то рівняння
має
розв’язки тільки при
. Корені рівняння
можна
розглядати як абсциси точок перетину синусоїди
з
прямою
(рис. 1.8.1)
Рис.1.8.1 До рівняння
Нехай
.Тоді при
и
-
точки перетину синусоїди
і прямої
.
Абсциси цих точок мають координати
і
. Враховуючи періодичність функції
, дістанемо дві серії (дві множини) розв’яків:
,
Серії(групи) коренів
і
можна показати однією формулою
Дійсно, якщо
(серія коренів
);
якщо
( серія коренів
).
Можна довести, що формула
що
дає розв’язок рівняння
, лишається справедливою і для
,а також для
,
, тобто вона справедлива для
Однак при
цією
формулою користуватися недоцільно.
. Рівняння
Оскільки
, то рівняння має розв’язки тільки при
. Використовуючи рис.1.8.2, і провівши міркування,
аналогічно при розв’язанні рівняння
,
остаточно дістаємо:
Для окремих випадків
А)
Б)
В)
Відповідні геометричні ілюстрації наведені на рис. 1.8.2.
Рис.1.8.2. До рівняння
.Рівняння
Використовуючи рис. 1.8.3 , неважко довести, що всі корені рівняння
задаються формулою
Для окремих випадків, коли 
дістаємо:
Рис.1.8.3. До рівняння
.Рівняння
Використовуючи рис.1.8.4 , неважно довести, що всі корені рівняння
визначаються співвідношенням
Для окремих випадків, коли 
дістаємо:
Рис.1.8.4. До рівняння
Розглянемо деякі типи систем
тригонометричних рівнянь і найважливіші методи їх розв’язання.
Приклад 1.8.1. Розв’яжемо систему
виду:
(1.8.1)
а) Додаючи та віднімаючи рівняння системи (1.8.1), одержуємо
рівносильну систему
(1.8.2)
б) Система (1.8.2), а отже, і система (1.8.1) мають розв’язки тоді і тільки
тоді, коли виконуються умови:
якщо ці умови виконано, то
(1.8.3)
де
- будь-які цілі числа, а їх знаки довільні.
в) Нехай
, а
.
Таким чином формули (1.8.3) визначають чотири серії розв’язків:
(1.8.4)
(1.8.5)
(1.8.6)
(1.8.7)
г) Розв’язавши ці підсистеми, отримуємо:
(1.8.8)
(1.8.9)
(1.8.10)
(1.8.11)
де
, а
.
Приклад 1.8.2. При яких значеннях
рівняння
має
розв’язок? (1.8.12)
Розв’язок:
а) Перетворимо рівняння (1.8.12) наступним чином
або після скорочення
(1.8.13)
б) Нехай
, де
.
Тоді після цієї заміни рівняння (1.8.13) набуде вигляду
(1.8.14)
в) Знайдемо корені рівняння (1.8.14):
,
де
(1.8.15)
г) Розв’яжемо сукупність двох систем нерівностей:
г1)
звідки
г2)
звідки
Відповідь:
Приклад 1.8.3. При кожному значенні параметру
розв’язати рівняння
(1.8.16)
. Розв’яжемо дане рівняння як квадратне відносно синуса, увівши
обмеження
.
. Рівняння (1.8.16) зводиться до сукупності двох рівнянь:
(1.8.17)
(1.8.18)
2. Рівняння (1.8.17) не має
розв’язків при жодному значенні а , оскільки
(за
означенням арифметичного кореня, для додатного значення підкореневого виразу
повинно виконуватись нерівність
)
3. Для рівняння (1.8.18) повинна
виконуватись система нерівностей:
(1.8.19)
. Розв’язавши систему (1.8.19), знаходимо
Відповідь: якщо
, то
;
якщо
, то коренів немає.
Приклад 1.8.4. При кожному значенні параметру
розв’язати рівняння
(1.8.20)
. Розв’яжемо дане рівняння як квадратне відносно синуса, увівши
обмеження
.
. Вводимо заміну
,
тоді рівняння (1.8.20) перетворюється на квадратне
,
а його рішення становитимуть
;
;
при умові
(1.8.21)
. Рівняння
має
розв’язок, якщо виконується система нерівностей
(1.8.22)
Розв’язання системи (1.8.22) є належність а до подвійного інтервалу, що
записується як
.
. Рівняння
має розв’язок, якщо виконується система нерівностей
(1.8.23)
Розв’язання системи (1.8.23) є належність а до подвійного інтервалу, що
записується як
.
Відповідь: 1. якщо
,
то коренів немає;
. Якщо
,то
. Якщо
,то
Приклад 1.8.5. При кожному значенні параметру
розв’язати рівняння
(1.8.24)
. Скористаємось формулою різниць синусів, а також формулою синуса
подвійного кута. Тоді з рівняння (1.8.24) одержимо
(1.8.25)
. Винесемо спільний множник за дужки
Звідки, застосовуючи формулу суми косинусів, маємо
(1.8.26)
. Розглянемо окремо кожен множник у рівнянні (1.8.26):
а)
, тобто
.
У цьому випадку рівняння (1.8.24) задовольняється при будь якому
з множини дійсних чисел;
б)
, тобто
,
незалежно від значення параметра а;
в)
, тобто
.
Відповідь: 1. якщо
,
то
(будь-яке дійсне число).
. якщо
, то
і
Приклад 1.8.6. При кожному значенні параметру
розв’язати рівняння
(1.8.27)
1. Після рівносильних перетворень зведемо рівняння (1.8.27) до вигляду
(1.8.28)
. Рівняння (1.8.28) зводиться до сукупності двох рівнянь:
(1.8.29)
(1.8.30)
. Рівняння (1.8.29) має розв’язок при умові
.
Ці нерівності виконуються, якщо
.
. Права частина рівняння (1.8.30) більша або дорівнює 1. Тому воно має
розв’язок тільки у випадку
,
коли
. Тоді рівняння (1.8.30) набуває вигляду
і збігається з рівнянням (1.8.29) при
.
. Отже рівняння (1.8.29) має ті ж самі розв’язки, що і рівняння
(1.8.30). Запишемо ці розв’язки
Відповідь: 1. Якщо
,
то
. якщо
, то коренів немає.
Приклад 1.8.7. При кожному значенні параметру
розв’язати рівняння
(1.8.31)
. Застосовуючи формулу суми косинусів, перетворимо рівняння (1.8.31) до
вигляду
(1.8.32)
. Після спрощення рівняння (1.8.32) одержимо
(1.8.33)
. Рівняння
має розв’язок при всіх
,
а рівняння
- тільки при
Відповідь: 1. якщо
,
то
. якщо
, то
Приклад 1.8.8. При кожному значенні параметру
розв’язати рівняння
(1.8.34)
. Після переходу до функцій подвійного аргументу рівняння (1.8.34)
набуде вигляду
(1.8.35)
. Спростивши ліву частину рівняння (1.8.35), одержимо
(1.8.36)
. Рівняння (1.8.36) має розв’язок при умові
.
. Отже
Відповідь: 1. Якщо
,
то
. Якщо
, то коренів немає.
Приклад 1.8.9. При кожному значенні параметру
розв’язати рівняння
(1.8.37)
. Якщо використати формули тангенса подвійного кута і тангенса різниці
двох кутів, то рівняння (1.8.37) зведеться до вигляду
(1.8.38)
. Спростивши рівняння (1.8.38), одержимо
(1.8.39)
3. Якщо
, то права частина рівняння (1.8.39) не визначена.
Разом з тим, при
рівняння (1.8.37) має вигляд
і
його можна розв’язувати.
. Повернемось до рівняння (1.8.37) і перетворимо його за допомогою
формули різниці тангенсів; тоді при
одержимо
(1.8.40)
. Розв’яжемо рівняння (1.8.40):
а) використовуючи формулу зведення, замінимо
на
.
б) отже, при
ліву частину рівняння (1.8.40) можна скоротити і
звести його до вигляду
.
в) звідси
. Такі значення входять в ОДЗ рівняння (1.8.40).
. Повернемось до рівняння (1.8.39). При
і
воно зводиться до рівняння
і, отже:
Відповідь: 1. Якщо
,
то
. Якщо
, то
. Якщо
, то коренів немає.
Приклад 1.8.10. При кожному значенні параметру
розв’язати рівняння
(1.8.41)
. Застосовуючи формули синуса й косинуса подвійного аргументу й основну
тригонометричну тотожність, одержимо однорідне рівняння другого степеня
відносно синуса і косинуса
(1.8.42)
рівняння тригонометричний система параметр
2. Після спрощення рівняння (1.8.42), отримуємо рівняння
(1.8.43)
а) якщо
, то рівняння (1.8.43) набуває вигляду
Звідси випливає, що
.
б) якщо
, то рівняння (1.8.43) набуває вигляду
в) нарешті, якщо
та
,
то обидві частини рівняння (1.8.43) можна почленно поділити на
. Маємо
звідки
(1.8.44)
. Розв’яжемо рівняння (1.8.44):
а) при
одержуємо
.
б) при
знаходимо
Відповідь: 1. Якщо
,
то
. Якщо
, то
. Якщо
, то
.
. Якщо
, то коренів немає.
. Якщо
, то
.
Приклад 1.8.11. Залежно від значень параметру
розв’язати рівняння
(1.8.45)
. Перейдемо від дробового рівняння (1.8.45) до цілого з урахуванням
ОДЗ. При умовах
та
,
одержимо рівносильне рівняння
(1.8.46)
. Рівняння (1.8.46) зводиться до сукупності рівнянь:
а)
б)
, або
(1.8.47)
. Розглянемо модуль правої частини рівняння (1.8.47):
(
оскільки
.
Тому рівняння (1.8.47) не має коренів.
. У пункті 2 ми встановили, що
-
корені рівняння (1.8.46), які не залежать від параметра а. Однак з множини
коренів
варто відкинути ті, при яких
та
(умови
перетворення та спрощення), або корені рівнянь
та
.
Враховуючи, що рівність
реалізується
при
, відповідно в цих точках
, тобто
.
Відповідь: 1. Якщо
,
то
. Якщо
, то
. Якщо
, то
Приклад 1.8.12. При якій залежності між параметрами
і b має розв’язки рівняння
(1.8.48)
. Початкове рівняння рівносильне сукупності двох систем:
(1.8.49)
(1.8.50)
. Для системи (1.8.49) маємо рішення:
Звідки випливає, що
3. Для системи (1.8.50) маємо
рішення:
Звідки випливає, що
Відповідь:
або
РОЗДІЛ 2. НЕРІВНОСТІ В ЗАДАЧАХ З
ПАРАМЕТРАМИ ТА МЕТОДОЛОГІЯ ЇХ РОЗВ’ЯЗАННЯ У СЕРЕДНІЙ ШКОЛІ
2.1 Лінійні та квадратні нерівності
з параметром
Два математичних вирази, з’єднані знаком «більше» >, «менше» <,
«не більше»
або «не менше»
,
називаються нерівностями.
Запис
позначає, що або
або
.
Нерівності бувають чисельні і буквені. Якщо в нерівність входять
перемінні, то нерівність називається з перемінними. Якщо нерівність виконується
при всіх значеннях перемінних, то воно називається тотожньою нерівністю.
Нерівність називається алгебраїчною, якщо з перемінними виконуються алгебраїчні
дії. Інші нерівності називаються неалгебраїчними або трансцендентними.
Властивості числових нерівностей
Якщо: а < b і b < с, то а < с;
а < b і с - довільне число, то а + с < b + с;
а < b і с > 0, то ас < bс;
а < b і с < 0, то ас > bс;
а < b і c < d, то а + с < b + d;
а < b, c < d і а, b, с, d - числа додатні, то ас <
bd.
Нерівності виду а < х < b, а ≤ х < b, а < х
≤ b, а ≤ х ≤ b називаються подвійними нерівностями. Їх зручно
використовувати для оцінювання значень величин і наближених обчислень. Адже
якщо а < х < b і с < у < d, то
а + с < х + у < b + d, a - d < х - у < b - с,
ас < ху < bd, a : d < х : у < b : c.
Дві останні подвійні нерівності правильні за умови, якщо
числа а і с - додатні.
Розв’язати нерівність означає знайти всі її розв’язки або
показати, що їх немає. Множини розв’язків найчастіше утворюють проміжки.
Нерівності зі змінними мають багато властивостей, аналогічних
до властивостей рівнянь.
. Якщо з однієї частини нерівності перенесемо в іншу доданок
з проти-лежним знаком, то одержимо нерівність, рівносильну даній.
. Якщо обидві частини нерівності помножимо або поділимо на
одне й те саме додатне число, то одержимо нерівність, рівносильну даній.
. Якщо обидві частини нерівності помножимо або поділимо на
одне й те саме від’ємне число, змінивши при цьому знак нерівності на
протилежний, то одержимо нерівність, рівносильну даній.
Якщо а і b - дані числа, а х - невідома змінна, то кожна з
нерівностей
ах < b, ах > b, ах ≤ b, ах ≥ b (2.1.1)
називається лінійною нерівністю першої степені з однією
змінною х (невідомим).
Якщо а = 0, то кожна з нерівностей (2.1.1) або не має
розв’язків, або множиною її розв’язків є множина всіх дійсних чисел.
Розглянемо квадратні нерівності
.
(2.1.2)
Якщо
, то нерівність (2.1.2) виконується при всіх
при
і
нерівність (2.3.1) не виконується ні в одній точці при
.
Якщо
, то нерівність (2.1.2) завжди виконується в точці
. Нерівність (2.1.2) виконується при
при
і
не виконується при
при
.
При
знаходимо корні рівняння
,
. (2.1.3)
При
нерівність виконується при
.
При
нерівність виконується при
.
Можна сформувати просте правило.
Якщо квадратна нерівність (2.1.2) виконана при великих значеннях
, то воно виконується поза відрізка, обмеженого
коренями рівняння
. Якщо нерівність (2.1.2) не виконано при великих
значеннях
, то воно виконується на відрізку, обмеженими коренями
рівняння (2.1.3).
Приклад 2.1.1. Знайти всі значення параметра
, при яких система нерівностей
(2.1.4)
задовольняється лише при одному
.
Розв’язання. Перепишемо систему в такому виді:


(2.1.5)
Всі розв’язки цієї системи (2.1.5) утворюють область, показану на
рис.2.1.1 штриховою лінією.
Рис. 2.1.1. Графіки системи нерівностей
Вимога єдності розв’язку системи (2.1.5): горизонтальні прямі
повинні мати з цією областю тільки одну спільну точку.
Знаходимо точки перетину графіків:
,
звідки
,
.
Тоді
та
.
Лише прямі
та
задовольняють
вимозі єдиності розв’язку системи.
Відповідь:
та
.
Приклад 2.1.2. Знайти всі значення параметра
, при яких система нерівностей
(2.1.6)
задовольняється лише при одному
.
Розв’язання. Перепишемо систему в такому виді:
.
(2.1.7)
Всі розв’язки системи (2.1.7) утворюють область, показану на рис.2.1.2
штриховою лінією.
Рис. 2.1.2. Графіки системи нерівностей (2.1.7)
Вимога єдності розв’язку даної системи (2.1.7) :
горизонтальні прямі повинні мати з цією областю тільки одну спільну точку.
Знаходимо точки перетину графіків:
,
звідки
.
З рис. 2.1.2. видно, що лише прямі
та
задовольняють вимозі єдиності розв’язку системи.
Відповідь:
та
.
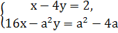
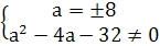
Приклад 2.1.3. Знайти всі значення а, при яких система має
єдиний розв’язок.
(2.1.8)
Розв’язок. Перепишемо початкову систему в такому вигляді:
(2.1.9)
Все розв’язки цієї системи (пари виду
)
утворюють область, наведену на рис. 2.1.3 штриховою лінією.
Рис. 2.1.3. Графіки функцій системи
,
побудовані в вигляді геометричного ескізу та масштабованого графіка в
комп’ютерному пакеті Microsoft Mathematics 4.0
Вимога єдиності розв’язка даної системи така: горизонтальні
прямі повинні мати зі знайденою областю тільки одну спільну точку. Лише прямі а
= 0 та а = 1 задовольняють висунутій вимозі.
Відповідь: а = 0 або а = 1.
Приклад 2.1.4. Для яких а в множині розв’язків нерівності
(2.1.10)
міститься проміжок
?
Розв’язок. Запишемо сукупність двох систем, рівносильну початковому
рівнянню:
(2.1.11)
або
(2.1.12)
Оскільки в розв’язок першої системи (2.1.11) ні при яких значеннях
параметра а не може входити відрізок
,
то необхідні дослідження проведемо для другої системи (2.1.12). Маємо
(2.1.13)
Позначимо
Тоді друга нерівність системи (2.1.13) на
координатній площині
задає множину
, наведену на рис. 2.1.4 штриховою лінією.
Рис. 2.1.4. Графік нерівності
Тепер за допомогою рис. 2.1.4 легко встановити, що при
в знайденій множині містяться всі точки, абсциси яких
пробігають всі значення з проміжку
Тоді
Звідси
Відповідь:
Приклад 2.1.5. При яких значеннях параметра а система
(2.1.14)
має розв’язки?
Розв’язок. Після перетворень першої нерівності в системі
маємо
(2.1.15)
Нерівність системи(2.1.15) задає область, обмежену кутами АКВ
и CKD (рис.2.1.5).
.
Рис. 2.1.5. Графіки системи нерівностей (2.1.15)
Тоді абсциси виділених дуг гіперболи
-
це розв’язки початкової системи. Знайдемо абсциси точок
розв’язавши рівняння
та
Звідси для перелічених точок абсциси відповідно
дорівнюють


Залишилося
записати
або
Відповідь:
або
Приклад 2.1.6. При яких значеннях а множина розв’язків нерівності
(2.1.16)
містить не більше чотирьох цілих значень
?
Розв’язок. Перетвореннями встановлюємо, що задана нерівність (2.1.16)
рівносильна сукупності двох систем:
(2.1.17)
або 
(2.1.18)
За допомогою цієї сукупності наведено розв’язки початкової нерівності
(2.1.16) на рис. 2.1.6.
Рис.2.19. Графіки нерівності систем (2.1.17) та (2.1.18)
Проведемо прямі
де
Тоді
значення
для якого пряма
перетинає
прямі
не більш, ніж в чотирьох точках з відміченої множини,
буде шуканим. Проводячи аналіз графіка, приходимо до висновку, що в заданій
задачі
або
або
Відповідь:
або
або
2.2 Системи лінійних та квадратних
нерівностей з двома змінними з параметром
Розв’язком системи нерівностей з однією змінною називають значення
змінної, яке задовольняє кожну з нерівностей даної системи.
Система двох нерівностей зводиться до одного з наступних
випадків.
1.
2.
3.
4.
.
Якщо
, то розв’язком системи нерівностей будуть:
.
2.
3.
4.
Множиною розв’язків системи нерівностей буде переріз множин
розв’язків нерівностей, що входять до неї.
Приклад 2.2.1. При яких а та b система
(2.2.1)
має розв’язання?
Розв’язання.
. Перетворимо нерівність системи (2.2.1) до вигляду
.
Звідси
.
Тоді
, тобто
.
2. Таким чином, початкова система (2.2.1) рівносильна такій:
(2.2.2)
Нерівність системи задає півплощину з межею
(рис. 2.2.1).
Рис. 2.2.1 Графік нерівності
Система має розв’язок, якщо пряма
перетинає
межу півплощини або, будучи паралельна їй, лежить в півплощині
.
Почнемо з випадку b = 0. Тоді рівняння
задає вертикальну пряму, яка перетинає пряму
. Однак це твердження справедливе лише при
. Значить, при b = 0 та
система
має розв’язки. Далі, при
маємо
.
В цьому випадку умова перетину прямих досягається при
тобто
.
Якщо
,
то прямі або співпадають, або паралельні. Додаючи вимогу
(пряма
перетинає
вісь ординат нижче точки (0; -1)), одержимо ще одне взаємне розташування
прямих.
Відповідь:
та
,
або
та
,
або
та
.
(2.2.3)
Розв’язання. Якщо межі півплощин, які задають нерівності системи,
перетинаються, то дана система має розв’язки.
Очевидно а = 1 підходе. Якщо
,
то рівняння меж півплощин перепишемо в такому виді:
та
.
Ці прямі перетинаються, якщо
,
тобто
та
.
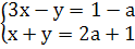
Розглянемо випадки а = 3 та а = 4. При а = 3 межі співпадають, і
очевидно система розв’язків не має (нерівності системи задають різні півплощини).
При
маємо
Ця система також розв’язків не має (рис. 2.2.2).
Рис. 2.2.2. Графіки системи
Таким чином, а = 4 не підходе. Відповідь:
та
.
Приклад 2.2.3. При яких значеннях а множина точок, задана нерівністю
, є підмножиною множини точок, заданої нерівністю
?
Розв’язання. Графіком нерівності
є
область, обмежена ромбом
Нерівність
рівносильна системі
. Очевидно при
ця
система задає необмежену множину точок (рис. 2.2.4), яка не може поміститися в
середині ромба.
Задача зводиться до пошуку значень а, при яких ця фігура «стиснеться»
до таких розмірів, що поміститься в ромб. Із міркувань симетрії для пошуку
шуканих значень параметра достатньо вимагати від рівняння
при
мати
не більше одного кореня. Тоді
.
Відповідь:
.
2.3
Ірраціональні нерівності з параметрами
Як правило, ірраціональні нерівності зводяться до одного з
наступних нерівностей
(2.3.1)
Нерівність (2.4.1) виконується в одному з двох випадків
.
Нерівність
(2.3.2)
виконується, якщо виконані нерівності
Приклад 2.3.1. Розв’язати нерівність
.
Розв’язання. Побудуємо графік прямої
та
позитивних частин півпарабол
.
(рис.2.3.1)
Якщо півпарабола розташована нижче прямої, то нерівність розв’язків
немає. Розв’язки з’являються тільки з моменту дотику. Знайдемо значення
параметра
, яке відповідає моменту дотику двох функцій:
, звідси
,
, звідси
.
При
маємо 1 розв’язок. Тобто, при
нерівність розв’язків немає.
Якщо
, то
.
Далі, зсуваючи півпараболу ліворуч, зафіксуємо момент, коли графіки
,
мають
дві спільні точки.
Таке розташування забезпечує вимога:
,
тоді розв’язком буде проміжок
.
Далі, зсуваючи півпараболу ліворуч, зафіксуємо момент, коли графіки
,
мають
дві спільні точки. Таке розташування забезпечує вимога:
, тоді розв’язком буде проміжок
.
Коли півпарабола і пряма перетинаються тільки в одній точці (це
відповідає випадку
), то розв’язком буде проміжок
.
Приклад 2.3.2. Для кожного від’ємного числа
розв’язати нерівність
(2.3.3)
Розв’язання.
1. Перепишемо нерівність у вигляді
.
Побудуємо графіки
та
.
Членами сім’ї функцій
є гомотетичні півкола (центр гомотетії - точка (0,0)).
З нерівності випливає, що півкола повинні лежати вище прямої
.
Кутовий коефіцієнт прямої
дорівнює
-2. Тоді
,
,
із
:
,
.
,
звідки
,
.
Розв’язком нерівності для кожного від’ємного числа
буде проміжок
.
Відповідь:
.
Приклад 2.3.3. При яких а множиною розв’язків нерівності
(2.3.3)
є відрізок числової прямої ?
Розв’язання.
1. Маємо
. Права частина цієї нерівності задає сім’ю «кутів»,
вершини яких лежать на прямій у = 3 (рис. 2.3.3).
Рис. 2.3.3. Графіки лівої та правої частин нерівності
при різних значеннях параметра а
Якщо вершина «кута» знаходиться між точками А та В, то
обов’язково знайдуться проміжки області визначення, на яких графік лівої
частини нерів-ності не вище графіка правої частини. На рис. 2.3.3 показано одно
з проміжних положень «кута» з вершиною С. В цьому випадку розв’язком початкової
нерів-ності будуть всі точки відрізку MN.
Рис. 2.3.4. Графіки лівої та правої частин нерівності
при різних значеннях параметра а
При
вершина «кута» знаходиться між точками А та В, і
вини-кає бажання вважати проміжок (-8; 4) шуканою відповіддю. Але умова задачі
вимагає, щоб розв’язком нерівності був відрізок числової прямої. А якщо вершина
«кута» співпадає з будь-якою з точок відрізка EF, включаючи Е і не включаючи F
(рис.2.3.4, точка F відповідає моменту дотику), то розв’язком нерівності буде
або відрізок і точка, або два відрізки. Визначив координати точок Е та F,
знаходимо
. Відповідь:
.
2.4
Показникові нерівності з параметрами
Показові нерівності приводять до нерівності вигляду
Якщо
, то
.
Якщо
, то
.
Приклад 2.4.1. При яких с система має хоча б один розв’язок?
(2.4.1)
Розв’язання.
. Спростимо нерівність системи (2.4.1). Маємо
. Нехай
.
Тоді
. Звідси з урахуванням того, що
, одержимо
.
Запишемо
, тобто
.
. Таким чином, початкова система рівносильна такій:
(2.4.2)
Графіком першої нерівності цієї системи є півплощина з межею
(рис.2.4.1).
Рис. 2.4.1. Графіки системи нерівностей (2.4.2)
Очевидно система може мати розв’язки, якщо
. Тоді рівняння
х 2 + у 2 = с задає сім’ю гомотетичних кіл з центром в точці О (0; 0).
. Рисунок 1.4.1 підказує, що якщо радіус кола не менше довжини відрізка
ОМ, тобто відстань від точки О до межі півплощини, то система має розв’язки.
Маємо
. З
.
Звідси
.
Відповідь:
.
Приклад 2.4.2. Знайти всі значення параметра
, при яких нерівність
(2.4.3)
виконується для будь-яких
.
Розв’язання.
1. Вводячи переміну змінних та вважаючи, що
, запишемо нерівність (2.4.3) у наступному вигляді:
(2.4.4)
. Тим самим розв’язання початкової нерівності (2.4.3) зводиться до
відшукання всіх значень
, при яких нерівність (2.4.4) виконується для
будь-яких
.
. Оскільки при перетворенні
,
то
при
нерівність (2.4.4) є правильною для будь-якого
значення
у тому числі і при
.
. При
маємо тотожність
,
тому нерівність (2.4.4) рівносильна наступній нерівності
(2.4.5)
При таких
правильна нерівність
Отже нерівність (2.4.5) виконується для будь-якого
, якщо виконується нерівність
(2.4.6)
. При
нерівність (2.4.6) не має розв’язків.
При
одержимо систему
звідки
. Отже нерівність (2.4.4) правильна для будь-якого
, якщо
належить
множині
.
Відповідь:
.
2.5 Логарифмічні нерівності з параметрами
Логарифмічні нерівності зводяться до нерівності вигляду
. Якщо
, то
.
. Якщо
, то
.
Приклад 2.5.1 Розв’язати нерівність
(2.5.1)
Розв’язок. Задана нерівність рівносильна сукупності двох систем (з
врахуванням ОДЗ функції логарифма:
або

(2.5.2)
Звідси
або
(2.5.3)
На координатній площині
перша
система (2.5.2) задає множину точок першого та четвертого координатних кутів,
які одночасно лежать всередині кола з центром (0; 0) і радіуса
та поза колом з центром (1; 0) і радіуса 1.
Друга система (2.5.3) -це множина точок, які одночасно лежать поза
першим колом, але знаходяться в другому колі. Тоді всі розв’язки початкової
нерівності наведено на рис. 2.5.1.
Рис. 2.5.1. Графіки функцій систем нерівностей (2.5.2) та
(2.5.3)
Зазначимо, що, наприклад, пряма
(див.
рис.2.5.1) перетинає кола в точках з абсцисами
Тепер нескладно «прочитати» з рисунка відповідь.
Відповідь: Якщо
то
якщо
то
або
якщо
то
немає розв’язків.
Приклад 2.5.2. Знайти всі значення параметра
, при яких нерівність
(2.5.4)
виконується для будь-якого значення
.
Розв’язок.
. Враховуючи за властивостями логарифмів
та
властивості суми логарифмів, нерівність (2.5.4) рівносильна нерівності
(2.5.5)
яка рівносильна системі нерівностей з врахуванням ОДЗ функції логарифма
(2.5.6)
. Таким чином, необхідно знайти всі значення параметра
, при яких систему нерівностей
(2.5.7)
задовольняє будь-яке значення
.
. При
перша нерівність системи (2.5.7) перетворюється до
вигляду
, яка виконується тільки для
, а не для будь яких значень.
При а=0 друга нерівність системи (2.5.7) перетворюється до вигляду
, яка виконується тільки для
, а не для будь яких значень.
. Нехай
. Розглянемо нерівності системи (2.5.7). При
:
друга нерівність перетвориться в правильну
;
перша нерівність перетвориться в неправильну
тобто
не є рішенням системи (2.5.7), а відповідно не
виконуються умови задачі.
. Нехай
. Розглянемо нерівності системи (2.5.7). При
:
друга нерівність перетвориться в неправильну
;
перша нерівність перетвориться в правильну
тобто
не є рішенням системи (2.5.7), а відповідно не
виконуються умови задачі.
. Нехай
. Тоді квадратний трьохчлен
буде недодатний для будь-якого
, якщо його дискримінант
буде недодатним. Квадратний трьохчлен
буде додатний для будь-якого
, якщо його дискримінант
буде недодатним.
. Відповідно, задача зводиться до до розв’язання системи нерівностей:
яка
перетворюється до вигляду

,
відповідно, початкова нерівність (2.5.5) є правильною для всіх
при значеннях параметру
.
2.6 Тригонометричні нерівності та системи
тригонометричних нерівностей з параметрами
Тригонометричними нерівностями називаються нерівності, у яких
змінна знаходиться під знаком тригонометричної функції.
При розв’язанні нерівностей з тригонометричними функціями
використовується періодичність цих функцій і їх монотонність на відповідних
інтервалах. При цьому корисно звертатися до графіків.
Оскільки розв’язання тригонометричних нерівностей в остаточному
підсумку зводиться до розв’язання найпростіших, то розглянемо спочатку приклади
розв’язання найпростійших тригонометричних нерівностей, тобто нерівностей виду
(або
де
-одна з тригонометричних функцій.
Оскільки функції
мають основний період
,
то нерівності виду
і
досить розв’язати спочатку на якому-небудь відрізку довжиною
. Множину усіх розв’язків дістанемо, додавши до
кожного зі знайдених на цьому відрізку розв’язків числа виду
. Для розв’язків нерівностей виду
і
досить
розв’я-зати їх спочатку на інтервалі длини
Оскільки
функції
і
мають
період
, то, додаючи до звичайних на відповідних інтервалах
розв’язків числа виду
, дістанемо всі розв’язки початкової нерівності.
Приклад 2.6.1. Залежно від значень параметра
розв’язати нерівність
(2.6.1)
Розв’язання.
. Враховуємо, що ОДЗ функції синус:
Знаходимо рішення перетвореної нерівності на інтервалі
(рисунки та рішення в пакеті Microsoft Mathematics):
(2.6.2)
рішеннями нерівності (2.6.2) буде проміжок (з врахуванням періодичності
функції синус -
та рівності
(рис.2.6.1):
(2.6.3)
. З нерівності (2.6.3) одержуємо (при
:
а) При
б) При
в) При
- розв’язків немає.
Приклад 2.6.2. Залежно від значень параметра
розв’язати нерівність
(2.6.4)
Розв’язання.
. Враховуємо, що ОДЗ функції косинус:
Знаходимо рішення перетвореної нерівності на інтервалі
, де
(рисунки
та рішення в пакеті Microsoft Mathematics):
(2.6.5)
. Дана нерівність (2.6.5) має рішенням інтервал(рис.2.6.2):
(2.6.6)
або після перетворення
(2.6.7)
. Звідси при
:
а) при
знаходимо
б) при
знаходимо
в) при
- розв’язків немає.
Приклад 2.6.3. Залежно від значень параметра
розв’язати нерівність
(2.6.8)
Розв’язання.
. Очевидно, що при
нерівність
(2.6.8) не має розв’язків.
. Вважаючи
, розглянемо окремі випадки:
а) При
, маємо перетворену нерівність (2.6.8) у вигляді
(2.6.9)
звідки
звідки, враховуючи ОДЗ функції
,
має мо систему трьох нерівностей:
(2.6.10)
Як видно при основній умові
система
нерівностей (2.6.10) не має розв’язків, оскільки третя нерівність системи
(2.6.10) не має пересічення інтервалів з 1 нерівністю.
б) При
, маємо перетворену нерівність (2.6.8) у вигляді
(2.6.11)
звідки, враховуючи ОДЗ функції
,
має мо систему трьох нерівностей:
(2.6.12)
Якщо при
нерівність (2.6.10) не має рішення, оскільки не
виконується друга нерівність системи (2.6.12).
Якщо
, то розв’язком нерівності (2.6.10) буде будь-яке
значення
(виконуються всі три нерівності системи (2.6.12)).
Якщо
, то нерівність (2.6.11) має наступний інтервал
розв’язків:
Приклад 2.6.4. При яких значеннях параметра
нерівність
(2.6.13)
має рішення для будь-якого
.
Розв’язання.
. Оскільки
, а ОДЗ функції є проміжок
, то проводячи заміну
перетворюємо
вихідну нерівність в наступну:
(2.6.14)
. Тоді вихідну задачу можно переформулювати так: при яких значеннях
параметра
найменше значення квадратного тричлена:
на
проміжку ОДЗ
(2.6.15)
буде додатним, тобто
. Абсциса вершини параболи (2.6.15)дорівнює значенню параметра
, тоді на проміжку
найменші
значення функції
будуть дорівнювати:
при
при
при
. З огляду на те, що найменше значення функції
повинно бути додатним, отримуємо сукупності наступних
систем нерівностей:
(2.6.16)
(2.6.17)
(2.6.18)
. Відповідними розв’язками є:
а) системи (2.6.16) є проміжок
б) система (2.6.17) розв’язків не має
в) системи (2.6.18) є проміжок
Проведений в розділі 2 дипломної роботи методів розв’язання
нерівнос-тей з параметрами показав, що для розв’язання систем квадратних
нерівностей та нерівностей, які складаються з комплексів ірраціональних,
показникових, логарифмічних та тригонометричних функцій, процес розв’язання
практично неможливий без застосування графічних методів побудови функціональних
залежностей.
При цьому слід відмітити, що ескізне малювання в масштабі на класній
дошці чи в зошитах взаємного розташування графіків складних та періодичних
функцій з визначенням точок перетинання графіків практично неможливе. В
викладенні розв’язання прикладів розділа 2 в дипломній роботі було показане
паралельне застосування традиційних для шкільних підручників ескізів графіків
функцій та фактичних масштабованих графіків функцій, побудованих в
російськомовному програмно-графічному комп’ютерному калькуляторі Microsoft
Mathematics 4.0.
Відповідно, в 3 розділі дипломної роботи доведена на прикладах
ефек-тивність застосування графічного комп’ютерного калькулятора для виконання
дослідницьких методів розв’язання рівнянь та нерівностей з параметрами, що
можливе при викладанні математики в комп’ютерних класах загальної школи.
РОЗДІЛ 3. ЗАСТОСУВАННЯ ГРАФІЧНИХ МЕТОДІВ РОЗВ’ЯЗАННЯ ЗАДАЧ З
ПАРАМЕТРАМИ У КУРСІ МАТЕМАТИКИ СЕРЕДНЬОЇ ШКОЛИ З ВИКОРИСТАННЯМ
ПРОГРАМНО-ГРАФІЧНОГО КАЛЬКУЛЯТОРА MICROSOFT MATHEMATICS
3.1 Застосування графічних методів
паралельного переносу в розв’язанні задач з параметрами
Доведення доцільності застосування графічного комп’ютерного
кальку-лятора Microsoft Mathematics4.0 при викладанні методів розв’язання
рівнянь та нерівностей з параметрами виконаємо на прикладах розв’язання
методами паралельного переносу в рівняннях та нерівностях з модулями функцій.
Графічний комп’ютерний калькулятора Microsoft Mathematics 4.0
автоматично будує в масштабі графіки модулів функцій будь-якої складності, що
дозволяє оцінити ОДЗ функцій та характерні інтервали зростання і падіння.
Одночасно, калькулятор Microsoft Mathematics 4.0 дозволяє будувати
декілька функцій
на одному графіку різними кольорами, що дає змогу
моделювати декілька графіків аналізуємих функцій при зміні значення параметра
а.
Почнемо з задач, в який членами сім’ї кривих
будуть прямі.
Приклад 3.1.1. Для кожного значення параметра а визначити число
розв’язків рівняння
.
Розв’язання. Побудуємо графіки функцій
та
.
На рис.3.1.1 побудована множина паралельних прямих
, при цьому вибір зроблений так, щоб кількість точок
перетинання була різною.
З рисунка 3.1.1 випливає, що при
-
розв’язків немає, при
- 2 розв’язки, при
-
4 розв’язки, при
- 3 розв’язки, при
-
2 розв’язки.
Пакет Microsoft Mathematics 4.0 дозволяє знайти корні в типових
проміжках параметру а, задаючи значення
та
вирішуючи рівняння
.
Нижче наведені чисельні рішення. Одночасно пакет Microsoft Mathematics
4.0 дозволяє навести алгебраїчні рішення рівняння з параметрами, які
характеризують наявність при
двох
коренів (зовнішня гілка параболи) та наявність на проміжку
ще другої пари коренів (внутрішня гілка параболи до
вершини).
Відповідь: при
- розв’язків немає,
при
- 2 розв’язки,
при
- 4 розв’язки,
при
- 3 розв’язки,
при
- 2 розв’язки.
Приклад 3.1.2. Для кожного значення параметра
визначити число розв’язків рівняння
.
Розв’язання.
. Отримуємо рішення рівняння з параметрами
в пакеті Microsoft Mathematics 4.0.
Як показує аналіз розв’язків, параметр а знаходиться в проміжку
(при
цьому вирішується рівняння з знаком
.
Як показує аналіз рішення рівняння має 4 корені на проміжку
З аналізу машинного рішення випливає відповідь:
при
та
-
розв’язків немає,
при
- 2 розв’язки,
при
- 4 розв’язки.
. Побудуємо графік функції
та
При цьому врахуємо ОДЗ функції під коренем
, тобто
.
З аналізу графікі рис. 3.1.2 та 3.1.2а випливає відповідь, що
підтверджує машинний розрахунок:
при
та
-
розв’язків немає,
при
- 2 розв’язки,
при
- 4 розв’язки.
Приклад 3.1.3. Знайти число розв’язків рівняння
.
Розв’язання.
. Побудуємо в пакеті Microsoft Mathematics 4.0 графіки функції
та
для
декількох значень
(перенос паралельних прямих).
З рис. 3.1.3 випливає, що при
-
розв’язків немає, при
- розв’яз-ки
або
, при
-
4 розв’язки, при
- 3 розв’язки, при
-
2 розв’язки.
Відповідь: при
- розв’язків немає, при
-
розв’язки
або
,
при
- 4 розв’язки, при
-
3 розв’язки, при
- 2 роз-в’язки.
Приклад 3.1.4. Розв’язати рівняння
.
Розв’язання.
. Побудуємо в пакеті Microsoft Mathematics 4.0 графіки функцій
та
для
декількох значень
(перенос паралельних прямих).
Знайдемо ОДЗ:
, звідси
.
Розв’язуючи в пакеті Microsoft Mathematics 4.0 рівняння
, знаходимо
.
Якщо
, то
;
якщо
, то
або
. Якщо
або
, то
,
звідси якщо
, то
,
якщо
, то розв’язків немає.
Приклад 3.1.5. Знайти всі значення параметра
, при яких система рівнянь
має розв’язки.
Розв’язання.
. З першого рівняння системи знаходимо
.
Це рівняння задає сім’ю парабол, які “ковзають” вершинами вздовж прямої
. З другого рівняння знаходимо
- коло з центром в точці (1, 0) радіуса 1.
З’ясуємо, при яких значення параметра сім’я парабол має спільні точки з
колом. Випадок дотику знайдемо з системи
,
вимагаючи від системи мати один розв’язок.
Аналіз графіків рис.3.1.5 показує:
а) при
- система рішень не має;
б) при
- система має 1 рішення (точка касання нижньої
параболи до кола);
в) при
- система має два рішення (точки пересікання гілок
параболи з колом);
г) при
- система має 3 рішення (дотик вершини параболи до
кола зверху та дві точки пересічення гілок параболи з колом;
д) при
- система має 4 рішення (подвійне пересічення гілками
параболи кола);
е) при
- система має 2 рішення (дотик гілками параболи
кола);
ж) при
- система не має рішень.
3.2
Застосування графічних методів повороту в розв’язанні задач з параметрами
В цьому параграфі вибір сім’ї кривих не є різноманітним, а точніше він
одноваріантний: члени сім’ї кривих
-
прямі. Більш того, центр повороту належить прямій. Іншими словами, ми
обмежимося сім’єю виду
, де
-
центр повороту.
Такий вибір обумовлено тим, що в рівності
складно побачити аналітичне задання повороту кривих,
які відрізняються від прямих. Тому про поворот, як про метод, доцільно говорити
лише для прямих вказаного типа.
Приклад 3.2.1. При яких
рівняння
має три розв’язки?
Розв’язання.
. Побудуємо графіки функцій
та
. Прямі
переходять
друг в друга шляхом перетворення повороту з центром в точці О(0; 0).
. Аналіз варіантів перетинання графіки функцій
та
(рис.
3.2.1) показує, що вихідне рівняння буде мати три розв’язки, коли пряма
перетинає параболу в двох точках і дотикається до
вершини, тобто коли
.
Обираємо
, так як при
пряма
перетинає тільки 2 вітки гіперболи (рис. 3.2.1) нижче
вісі абсцис.
Відповідь:
Приклад 3.2.2. Розв’язати рівняння
і
визначити значення
, при яких воно має єдиний розв’язок.
Розв’язання. Побудуємо графіки функцій
та
.
Прямі
переходять друг в друга шляхом перетворення повороту
з центром в точці О(0; 0).
Як показує аналіз взаємного розташування та точок перетинання графіків
функцій
та
(поворот
прямої при довільному
) на рис.3.2.1:
а) при а=-3 пряма
іде паралельно лівій частині (лучу) графіку функції
і перетинає його в 1 точці (
);
б) при а=3 пряма
іде паралельно правій частині (лучу) графіку функції
і перетинає його в 1 точці (
);
в) при
пучок прямих перетинає графік (лучі) функції
в двох точках;
г) при
або
пучок
прямих перетинає графік (лучі) функції
в одинарних точках, які належать інтервалам (рис.3.2.2а):
при
;
при
.
Таким чином, загальне рішення з включення точок
(відповідь):
. При
- проміжок 1 точки рішень;
. При
- проміжок 1 точки рішень;
. При
- маємо дві точки перетинання (тобто 2 рішення при
кожному значенні
).
Приклад 3.2.3. При яких значеннях
рівняння
має одно, два, три, чотири розв’язки?
Розв’язання. Побудуємо графіки функцій
та
. Прямі
переходять
друг в друга шляхом перетворення повороту з центром в точці О(9; 0).
а) при
рівняння має 1 розв’язок;
б) при
- 2 розв’язки;
в) при
- 3 розв’язки;
г) при
- 4 розв’язки;
д) при
- 2 розв’язки;
е) при
- 1 розв’язок;
ж) при
- розв’язки відсутні.
Відповідь: при
- 1 розв’язок, при
-
2 розв’язки, при
- 3 розв’язки, при
-
4 розв’язки, при
- 2 розв’язки, при
-
1 розв’язок.
Приклад 3.2.4. При яких
рівняння
має розв’язки?
Розв’язання. Запишемо ОДЗ рівняння:
,
звідки
. Побудуємо графіки функцій
та
.
Прямі
переходять друг в друга шляхом перетворення повороту
з центром в точці О(0; 0).
З рис. 3.2.4 видно, що при
та
рівняння має розв’язки для позитивних значень коренів
функції
для позитивних значень коренів, та
та
для
негативних значенів коренів.
Відповідь: 1.
та
для
функції
.
та
для
функції
Приклад 3.2.5. Знайти всі значення параметра
, при яких найменше значення функції
менше 2.
Розв’язання. Переформулюємо задачу: знайти
, при яких нерівність
має хоча б один розв’язок.
Перепишемо нерівність у вигляді:
.
Побудуємо графіки функцій
та
.
На рис. 3.2.5 наведені графік функції
та
дві прямі сім’ї
.
Положенню І відповідає
(
проходе через точку (-4,0)), а положенню ІІ (момент
дотику:
,
)
відповідає
.
Нерівність буде мати розв’язки, якщо прямі І та ІІ “крутити” відповідно
за та проти годинникової стрілки до вертикального положення, тобто при
та
при
.
Відповідь:
або
.
Приклад 3.2.6. При яких значеннях параметра а система
має три різних розв’язки?
Розв’язання. Розглянувши перше рівняння системи як квадратне відносно
y, легко розкласти його ліву частину на множники. Маємо
. Графіки цього рівняння - система двох парабол
,
,
які мають точки перетинання
та
- наведені на рис. 3.2.6.
Рис. 3.2.6a. Графіки функцій
,
та „веєр” прямих
при
змінному значенні
Через точку А (4;0) проходять всі прямі сім’ї прямих
. Виділимо ті з них, які мають з графіком першого
рівняння три спільні точки. На рисунку це прямі АВ, AC, AD, АF. Таким чином,
шуканих значень параметра чотири. Однак ще дві прямі сім’ї прямих,
задовольняють вимогам задачі. Дійсно, з точки А до параболи
можна провести дві дотичні (на рисунку показана одна
- АВ). Друга дотична не є вертикальною прямою, тому вона обов’язково
«наздожене» параболу
ще в двох точках. Аналогічний результат дає друга,
відмінна від AF, дотична до параболи
.
Будемо вимагати від рівнянь
та
мати єдиний корінь. Тоді знайдемо кутові коефіцієнти
дотичних відповідно до кривих
та
. Маємо
,
. Далі абсциса точки М дорівнює від’ємному кореню
рівняння
, тобто х = -1. Тоді кутовий коефіцієнт прямої AD
дорівнює
, а кутовий коефіцієнт прямої АС дорівнює 0.
Відповідь:
,
,
,
.
3.3
Застосування графічних методів гомотетії в розв’язанні задач з параметрами
Приклад 3.3.1. Знайти число розв’язків системи рівнянь (
)
Розв’язання. Побудуємо в пакеті Microsoft Matematics графіки функцій
(квадрат зі стороною
)
та
. Члени сім’ї функцій
- гомотетичні кола (з центром гомотетії (0,0)) -
рис.3.3.1.
Якщо коло лежить всередині квадрата, то розв’язків немає.
Якщо коло вписане в квадрат, то з’являються розв’язки. В цьому випадку
з теореми Піфагора:
. При
система
немає розв’язків, при
система має 4 розв’язки. Далі зі збільшенням
(
)
кожна сторона квадрата має дві спільні точки перетину з колом (всього 8
розв’язків).
При
квадрат вписаний в коло, маємо 4 розв’язки. При
розв’язків немає.
Відповідь: при
розв’язків немає, при
-
4 розв’язки, при
- 8 розв’язків, при
-
4 розв’язки, при
розв’язків немає.
Приклад 3.3.2. Визначити, при яких
система
рівнянь
має точно два розв’язки.
Розв’язання. Перепишемо систему рівнянь у вигляді
Перше рівняння визначає гомотетичні кола (з центром гомотетії (0,0) та
радіусом
). Друге рівняння - об’єднання двох прямих:
,
.
Побудуємо прямі та кола на графіку.
Система буде мати точно 2 розв’язки, коли коло дотикається двох прямих.
Знайдемо параметр
. З
гіпотенуза
,
.
З
, тоді
,
. Остаточно знаходимо
. Відповідь:
.
Приклад 3.3.3. При яких значеннях параметра
рівняння
має
єдиний розв’язок, більше одного розв’язку, немає розв’язків?
Розв’язання. Побудуємо графіки функцій
та
.
Розв’яжемо рівняння на проміжку
для
того, щоб знайти точку дотику функцій.
Якщо
, то
,
, при
.
Таким чином, при
- маємо 1 розв’язок (точка касання графіків), при
- точки перетину графіків є (більше одного розв’язку),
при
- немає точок перетину графіків (немає розв’язків).
Відповідь: при
- 1 розв’язок, при
-
більше одного розв’язку, при
немає
розв’язків.
3.4
Застосування графічних методів двох прямих на площині в розв’язанні задач з
параметрами
В основі ідеї розв’язку задач цього підрозділу лежить питання про
дослідження взаємного розташування двох прямих:
та
.
Не будь-яке рівняння виду
задає пряму: необхідно ще вимагати, щоб
При дослідженні взаємного розташування двох прямих
зручно спочатку розглянути випадки, коли коефіцієнти при у дорівнюють нулю
(маємо вертикальне положення прямих), потім кожне з рівнянь представити у
вигляді
Приклад 3.4.1. Знайти значення
,
при яких система рівнянь
(3.4.1)
має єдиний розв’язок.
Розв’язання.
. Виконуємо перетворення системи (3.4.1) до вигляду
(3.4.2)
Таким чином в перетвореній системі (3.4.2):
Якщо
та
,
то
,
.
. Проаналізуємо окремо випадки
та
для вихідної системи (3.4.1). Перше рівняння при
задає вертикальну пряму
, яка перетинає графік другого рівняння
, що рівносильно для системи мати єдиний розв’язок.
Друге рівняння при
задає
вертикальну пряму
, яка перетинає графік першого рівняння
, що рівносильне для системи мати єдиний розв’язок.
. Рішення системи (3.4.2) при
та
в системі калькулятора Microsoft Mathematics 4.0
наведене нижче поопераційно «вручну» для навчання школярів методам розв’язання
систем рывнянь з параметрами.
Отримані рішення показують:
а) Прямі перетинаються, якщо
,
звідки
.
б)Прямі паралельні, якщо
,
звідки
в) Прямі співпадають, якщо
,
звідки
Відповідь: система має єдиний розв’язок при будь-яких значеннях
параметра, за виключенням двох значень
.
Приклад 3.4.2. Знайти всі значення
,
при яких система рівнянь немає розв’язків:
Розв’язання. Графіками рівнянь системи є прямі. Перше рівняння при
задає вертикальні прямі
, які перетинають графік другого рівняння, що
рівносильне для системи мати єдиний розв’язок.
Якщо
, то
;
.
Система немає розв’язків, коли прямі паралельні (коефіцієнти при
дорівнюють один одному в двох рівняннях прямих),
тобто


Відповідь: система немає розв’язків при
.
РОЗДІЛ 4. ОХОРОНА ПРАЦІ ТА БЕЗПЕКА В НАДЗВИЧАЙНИХ СИТУАЦІЯХ В
ЗАГАЛЬНООСВІТНІЙ ШКОЛІ
4.1 Законодавчі основи організації охорони
праці в галузі освіти та безпеки життєдіяльності в загальноосвітній школі
Відповідно до Положення про організацію охорони праці [18]
особисту відповідальність за створення безпечних умов навчально-виховного
процесу несе керівник навчального закладу.
Приміщення кабінетів природничо-математичного напряму мають
відповідати вимогам:
Положення про організацію роботи з охорони праці учасників
навчально-виховного процесу в установах і навчальних закладах, затверджене
наказом Міністерства освіти і науки України №563 [27];
Державні санітарні правила і норми влаштування, утримання
загальноосвітніх навчальних закладів та організації навчально-виховного
процессу (ДСанПіН 5.2.2.008-01) [7];
Правила пожежної безпеки для закладів, установ і організацій
системи освіти України № 348/70 [28];
Правила безпечної експлуатації електроустановок споживачів
[29];
- Правила безпеки під час навчання в кабінетах інформатики
навчальних закладів системи загальної середньої освіти № 81 [30];
- Положення про порядок проведення навчання і перевірки знань
з питань охорони праці в закладах, установах, організаціях, підприємствах,
підпорядкованих Міністерству освіти і науки України № 304 [31];
Положення про порядок розслідування нещасних випадків, що
сталися під час навчально-виховного процесу в навчальних закладах № 616 [32];
На кабінети (лабораторії) мають бути паспорти, які визначають
основні параметри: освітлення, площа, наявність інженерних мереж
(водопостачання, каналізація, вентиляція, тепломережа, електромережа),
забезпечення меблями, обладнанням, підручниками, посібниками, приладдям тощо
[30].
Кабінети обладнуються аптечкою з набором медикаментів, перев’язувальних
засобів і приладь та інформацією про місце знаходження і номер телефону
найближчого лікувально-профілактичного закладу, де можуть надати кваліфіковану
медичну допомогу.
У разі скоєння нещасного випадку, що трапився з учнем під час
проведення навчально-виховного процесу в кабінеті учитель повинен терміново
організувати надання першої допомоги потерпілому відповідно до Положення про
порядок розслідування нещасних випадків [32].
Відповідно до Положення про порядок проведення навчання з
питань охорони праці [31] в кабінетах природничо-математичного напряму
навчальних закладів обов’язково проводять навчання з питань безпеки
життєдіяльності за допомогою системи інструктажів з питань безпеки
життєдіяльності.
Вчителі та працівники школи повинні
впроваджувати на робочих місцях та в навчально-виховному процесі правила
техніки безпеки (системи організаційних і технічних заходів і засобів, що
запобігають дії на працюючих та учнів небезпечних факторів) згідно типовій
„Інструкції з охорони праці на робочому місці для вчителів та працівників
школи” [12].
Учитель припиняє проведення занять,
пов'язаних з небезпекою для життя, і доповідає про це керівникові школи.
Негайно повідомляє керівника про кожен нещасний випадок.
4.2 Аналіз стану охорони навчання і
праці та безпеки в надзвичайних ситуаціях в приміщенні кабінету математики та
інформатики 11 класу
Проведений в дипломному дослідженні аналіз
санітарно-гігієнічних умов праці в 11 класі загальноосвітньої школи виявив
наступне.
Клас (кабінет математики та інформатики) розташований на 3
поверсі 3-х поверхової будівлі школи, збудованої у 1976 році із цегляних стін
та залізобетонних плит міжповерхових перекриттів та стелі.
Площа приміщення класу (кабінету) - 54 квадратних метрів при
висоті приміщення 4,0 метри. В класі постійно навчається 16 учнів та вчитель
лаборант-системотехнік. Отже, на одну людину приходиться 3,0 м2 площі та 12,0
м3 об’єму. Ці показники відповідають нормам ДСанПіН 5.2.2.008-01[7] по площі
приміщення, де на одного школяра та вчителя в старшій школі повинно бути не
менше 2,8 м2 площі класа та не менше 12 м3 об’єму на одного школяра в старшій
школі (рис.4.1). Розташування столів та комп’ютерів відповідає нормам безпеки
для нових плоских ЖК-моніторів, які не мають зони 0,8 м радіаційного фонду від
лучевих кінескопів в моніторах перших поколінь.
В приміщенні температура повiтря повинна знаходится по нормам
в інтервалі вiд 18 до 23 градусiв по Цельсiю, що фактично виконується за
рахунок наявності кондиціонеру (настінної спліт-системи) в класі. Вiдносна вологiсть
повiтря складає 40-55% при нормi 40-60 %. Швидкiсть руху повiтря - 0,2 м/с, що
вiдповiдає санiтарним нормам [7].
Кабінет математики та інформатики провітрюють на перервах.
Фрамугами і кватирками користуються протягом всього року. До початку занять і після
їх закінчення здійснюють наскрізне провітрювання навчальних приміщень.
Тривалість наскрізного провітрювання визначається погодними умовами згідно з
табл. 4.1.
Таблиця 4.1
Тривалість провітрювання приміщень (хв.) [35]
|
Температура повітря
вулиці, 0С
|
на малих перервах
|
на великих перервах
та між змінами
|
|
від +10 до +6
|
4-10
|
25-35
|
|
від +5 до 0
|
3-7
|
20-30
|
|
від 0 до -5
|
2-5
|
15-25
|
|
від -5 до -10
|
1-3
|
10-15
|
|
нижче -10
|
1-1,5
|
5-10
|
Загальне штучне освітлення в приміщенні математичного
кабінету становить 1000 лк, при цьому забезпечується високий рівень зорових
функцій і загальної працездатності учнів. Рівень штучного освітлення
навчального приміщення відповідає ДБН В 2.5-28-2006, ДБН В.2.2-3-97. Сумарний
світовий потік штучного освітлення від люмінесцентних світильників (питома
потужність люмінесцентного освітлення становить 28 Вт/ м2) на навчальних місцях
учнів становить 200 - 205 люкс, що відповідає нормам для роботи учнів в школі
[9], але не відповідає нормам 300 - 500 люкс для роботи операторами ПЕОМ [10].
Вентиляція в корпусі - централізована приточно-витяжна з
механічним двигуном на даху. Після встановлення герметичних пластикових вікон
виникла проблема з ефективністю вентиляції, оскільки для притоку повітря через
вікна їх треба відчиняти, що створює некомфортні протяги та захворюваність
учнів.
Внутрішній шум у кiмнатi, окрім мовного шуму та зовнішніх
шумів, утворюється вiд роботи 18 комп’ютерiв і складає 35 - 40 дБА, а сумарний
шум не перевищує 60 ДБА при нормi шуму у примiщеннi даного типу 50-65 дБА.
Запиленiсть складає 0,1 мг/куб.м. при нормi 0,1 - 0,2 мг на кубiчний метр.
Значення параметрiв, якi характеризують санiтарно-гiгiєнiчний
стан навчання учнів 11 класу наведене у табл. 4.2, де вони порiвнюються з
прийнятими нормами та стандартами [7], [35].
Таблиця 4.2
Параметри санiтарно-гiгiєнiчних умов працi у примiщеннi
кабінету математики та програмування 11 класу загальноосвітньої школи
|
№ п/п
|
Параметри
|
Фактичне значення
|
Норматив за
державним стандартом
|
Відповідність
нормативним значенням
|
|
1.
|
Температура повітря
в перехідний період, 0C
|
18 - 22
|
18-23
|
Не відповідає
|
|
2.
|
Відносна вологість,
%
|
40-45
|
40-60
|
Відповідає
|
|
3.
|
Швидкість руху
повітря, м/с
|
0,1
|
0,1
|
Відповідає
|
|
4.
|
Запиленість,
мг/м.куб.
|
0,1
|
0,1-2
|
Відповідає
|
|
5.
|
Освітленість, лк.
|
200
|
200 - 215 (для
роботи з зошитами), 300 -500 (для роботи на клавіатурі операторами ПЕОМ)
|
Відповідає для
роботи з зошитами, не відповідає для операторів ПЕОМ
|
|
6.
|
Рівень шуму, дБл
|
55-65
|
50-65
|
Відповідає
|
Як показує аналіз результатів, наведених в табл.4.2,
наявність 18 комп’ютерних комплексів потребує підняття рівню освітленості
клавіатур з існуючого рівня 200 люкс до мінімум 300 люкс.
Проведений в дипломному дослідженні аналіз техніки
електробезпеки та протипожежної профілактики в 11 класі (кабінет математики та
інформатики) загальноосвітньої школи виявив наступне:
. За небезпекою ураження електричним струмом приміщення класу
до приміщень без підвищеной небезпеки, оскільки приміщення сухе, з температурою
повітря в межах оптимальних значень.
. В кабінеті використовуються правила охорони праці під час
експлуатації електронно-обчислювальних машин - „Правила безпеки під час
навчання в кабінетах інформатики навчальних закладів системи загальної
середньої освіти” [30].
. Для захисту від ураження електричним струмом
використовується захисне заземлення, конструктивно виконане 3-х провідним
підведенням електроживлення до кожного робочого місця в пластикових коробах, де
1-провід це фаза, 2-провід -«нуль», 3-провід - спеціальний провід контуру
заземлення, який виведений на зовнішню групу заземлювачів. Призначення
заземлення - перетворення замикання на корпус у замикання на землю з метою
зниження напруги дотику та напруги кроку до небезпечних величин ( вирівнювання
потенціалів) [29].
. Приміщення по пожежній безпеці відносяться до категорії В,
оскільки тут використовуються тверді горючі і важкогорючі речовини та
матеріали, наприклад папір. До протипожежного інвентарю відносяться
вогнегасники ВП - 5Б у кількості 5 штук, розташовані в спеціальному приміщенні
шкільного коридору на відстані 12 м від дверей в клас.
. У будівлі на випадок пожежі передбачена евакуація людей
через два евакуаційні виходи, такі як: головний вхід/вихід школи (головні сходи
з боку кожного поверху), бокові сходи з другого боку кожного поверху з виходом
на 2-й («чорний вихід»). Відстань від найвіддаленішого класу на поверсі до
найближчого евакуаційного виходу з приміщення - 24 м, це не перевищує значень,
що регла-ментуються [28].
Таким чином, проведений аналіз стану охорони праці та
виконання вимог санітарно-гігієнічних норм організації навчання учнів в
математично-інформаційному кабінеті 11 класу школи виявив наступні порушення -
необхідно удосконалити систему штучного освітлення, оскільки після встановлення
ПЕОМ підвищились вимоги до рівня освітленості робочої поверхні стола.
4.3 Обґрунтування заходів щодо
покращення санітарно-гігієнічних умов навчання учнів в кабінеті математики та
інформатики 10 класу загальноосвітньої школи
Основними поняттями, що характеризують світло є світловий
потік, сила світла, освітленість і яскравість [9].
Світловий потік - Ф, лн (люмени) потік променистої енергії
оцінюваний по зоровому відчуттю. Характеризує потужність світлового
випромінювання. Базується на зоровому сприйнятті.
Сила світла - відношення світлового потоку, до кута, в межах
якого проходить цей потік. Одиниця вимірювання СІ: кандела (кд).
Сила світла джерела, що випромінює у всі напрямки,
обчислюється за формулою:

,
де Ф - повний світловий потік джерела.
Освітленість - освітлення поверхні, що створюється світловим потоком,
який падає на поверхню. Одиницею вимірювання освітленості є люкс. На відміну
від освітленості, вираз кількості світла, відображеного поверхнею, називається
яскравістю.
Освітленість знаходять за формулою:

,
де I - сила світла в канделах; r - відстань до джерела світла; 
-
кут падіння проміння світла.
Освітлювана площа:
Е = Ф / S,
де S - площа.
Яскравість - світлова характеристика тіл, які є джерелами світла.
Відношення сили світла, що випромінюється поверхнею в одиницю тілесного кута до
площі її проекції в площині, перпендикулярній напряму спостереження. Одиниця
вимірювання СІ: кд/м2.
Об'єкт розрізнення - деталь мінімальних розмірів, знак, символ, літера,
які людина розрізняє в результаті діяльності.
Для якісної оцінки умов зорової роботи використовують такі показники як
фон, контраст об'єкта з фоном, коефіцієнт пульсації освітленості, показник
освітленості, спектральний склад світла.
Фон - це поверхня, на якій відбувається розрізнення об'єкта. Фон
характеризується здатністю поверхні відображати падаюче на неї світловий потік.
Ця здатність (коефіцієнт відбиття р) визначається як відношення відбитого від
поверхні світлового потоку Фвід до падаючого на неї світлового потоку Фпад; р =
Фвід / Фпад.
Залежно від кольору і фактури поверхні значення коефіцієнта відбиття
знаходяться в межах від 0,02 до 0,95;
при р> 0,4 фон вважається світлим;
при р = 0,2 - 0,4 - середнім і при р <0,2 - темним.
Контраст об'єкта з фоном. k - ступінь розрізнення об'єкта і фону -
характеризує співвідношенням яскравостей розглянутого об'єкта (точки, лінії,
знака, плями, тріщини або інших елементів) і фону. Розраховується за формулою:
(Lоб - Lф)/Lоб, де Lф - яскравість фону, Lф - яскравість об’єкту. Ступінь
розрізнення об’єкту і фону вважається великою, якщо k > 0,5 (об'єкт різко
виділяється на фоні), середньою при k = 0,2 ... 0,5 (об'єкт і фон помітно
відрізняються за яскравістю) і малою при k <0,2 (об'єкт слабо помітний на
тлі).
Коефіцієнт пульсації освітленості kE - це критерій глибини коливань
освітленості в результаті зміни в часі світлового потоку kE = 100 (Еmax-Еmin) /
(2Еcp), де Еmin, Еmax, Еср - мінімальне, максимальне і середнє значення
освітленості за період коливань; для газорозрядних ламп kE = 25 ... 65%, для
звичайних ламп розжарювання kE = 7%, для галогенних ламп розжарювання kE = 1%.
Показник осліпленості Ρ
- критерій
оцінки сліпучої дії освітлювальної установки, що визначається виразом
Р=(S-1)1000, де S - коефіцієнт осліпленості, що дорівнює відношенню порогових
різниць яскравості за наявності і відсутності сліпучих джерел в полі зору.
Коефіцієнт природної освітленості
(КПО) - відношення природної освітленості, яка створюється в деякій точці
заданої площини всередині приміщення світлом неба (безпосереднім або після
відбивання), до одночасного значення зовнішньої горизонтальної освітленості,
яка створюється світлом повністю відкритого небосхилу; виражається у відсотках.
Згідно з ДНАОП 0.00 - 1.31 - 99/2010 в приміщеннях
обчислювальних центрів необхідно застосувати систему комбінованого освітлення
(природнє та штучне освітлення).
Для збереження здоров’я та працездатності користувача ПК
системи штучного та природнього освітлення на виробництві мають відповідати
нормам встановленим в ДБН В.2.5.28 - 2006 «Природне та штучне освітлення» [9],
положення Кабінету Міністрів України про інструкції з експлуатації ЕОМ, ДНАОП
0.00 - 1.31 -99/2010 [10], ДСанПіН 5.2.2.008-01 [7].
4.3.1 Вимоги до штучного освітлення на робочому місці
при роботі за комп’ютером
Згідно з ДНАОП 0.00 - 1.31 - 99/2010 [10] та ДСанПіН
3.3.2.007-98 [6] штучне освітлення у приміщеннях, призначених для експлуатації
ЕОМ, має відповідати умовам:
) Штучне освітлення має здійснюватись системою загального
рівномірного освітлення (система освітлення, при якій світильники розміщуються
у верхній зоні приміщення рівномірно або стосовно до розташування обладнання).
У виробничих та адміністративно-громадських приміщеннях, у разі переважної
роботи з документами, допускається застосування системи комбінованого освітлення
(крім системи загального освітлення, додатково встановлюються світильники
місцевого освітлення).
) Значення освітленості на поверхні робочого столу в зоні
розміщення документів має становити 300 - 500 лк. Якщо ці значення освітленості
неможливо забезпечити системою загального освітлення, допускається
використовувати місцеве освітлення. При цьому світильники місцевого освітлення
слід встановлювати таким чином, щоб не створювати бліків на поверхні екрана, а
освітленість екрана має не перевищувати 300 лк.
) Як джерела світла в разі штучного освітлення мають
застосовуватись переважно люмінесцентні лампи типу ЛБ. Допускається
застосування ламп розжарювання у світильниках місцевого освітлення.
) Система загального освітлення має становити суцільні або
переривчасті лінії світильників, розташовані збоку від робочих місць (переважно
ліворуч), паралельно лінії зору працюючих.
) Допускається використання світильників таких класів
світлорозподілу - прямого світла; - переважно прямого світла; переважно
відбитого світла.
) Для загального освітлення слід застосовувати світильники
серії ЛПО 3б із дзеркальними гратами, укомплектовані високочастотними
пускорегулювальними апаратами (ВЧ ПРА). Допускається застосовувати світильники
цієї серії без ВЧ ПРА тільки в модифікації "Кососвітло". Застосування
світильників без розсіювачів та екрануючих грат заборонено.
) Яскравість світильників загального освітлення в зоні кутів
випромінювання від 50 до 90 град. з вертикаллю в повздовжній та поперечній
площинах має становити не більше ніж 200 кд/кв. м, захисний кут світильників -
не менше ніж 40 град. Світильники місцевого освітлення повинні мати
просвічуючий відбивач із захисним кутом не меншим ніж 40 град.
) Слід передбачити обмеження прямої блискості від джерел
природного та штучного освітлення. При цьому яскравість світлих поверхонь
(вікна, джерела штучного освітлення), що розташовані в полі зору повинна бути
не більше ніж 200 кд/кв. м.
) Необхідно обмежувати відбиту блискість на робочих поверхнях
відносно джерел природного і штучного освітлення. При цьому яскравість бліків
на екрані ВДТ має не перевищувати 40 кд/кв. м, а яскравість стелі в разі
застосування системи відбитого освітлення - 200 кд/кв. м.
) Показник осліпленості у разі використання джерел загального
штучного освітлення у виробничих приміщеннях має не перевищувати 20, а показник
дискомфорту в адміністративно-громадських приміщеннях має бути не більше за 40.
) Необхідно обмежувати нерівномірність розподілу яскравості в
полі зору працюючих з ВДТ. При цьому співвідношення яскравостей робочих
поверхонь має бути не більшим ніж 3:1, а співвідношення яскравостей робочих
поверхонь та поверхонь стін, обладнання тощо - 5:1.
) Коефіцієнт запасу К3 - враховує запиленість приміщення,
зниження світлового потоку ламп в процесі експлуатації. Коефіцієнт запасу (К
куб.) для освітлювальних установок загального освітлення має дорівнювати 1,4.
) Коефіцієнт пульсації має не перевищувати 5 %, що
забезпечується застосуванням газорозрядних ламп у світильниках загального та
місцевого освітлення з ВЧ ПРА для світильників будь-яких типів. Якщо не має
світильників з ВЧ ПРА, то лампи багатолампових світильників або світильники
загального освітлення, розташовані поруч, слід вмикати на різні фази
трьохфазної мережі.
) Для забезпечення нормованих значень освітленості у
приміщеннях з ВДТ ЕОМ та ПЕОМ слід чистити шибки і світильники принаймні двічі
на рік і вчасно замінювати лампи, що перегоріли.
4.3.2 Вимоги до природнього освітлення
Коефіцієнт природної освітленості (КПО) не нижче ніж 1,5 % у
виробничих приміщеннях, призначених для експлуатації ЕОМ згідно ДНАОП 0.00 -
1.31 - 99/2010.
Природне освітлення поділяється на
бокове, верхнє і комбіноване (верхнє і бокове). Згідно з ДНАОП 0.00 - 1.31 -
99/2010 у приміщенням призначених для експлуатації ЕОМ природнє освітлення має
бути бокового типу.
Згідно з ДБН В2.5.28 - 2006 КПО
нормується за правилами:
При двосторонньому боковому
освітленні приміщень різного призначення нормоване значення КПО повинно бути
забезпечено в розрахунковій точці в центрі приміщення на перетині вертикальної
площини характерного розрізу і робочої поверхні.
У виробничих приміщеннях глибиною до
6 м при односторонньому боковому освітленні нормується мінімальне значення КПО
в точці, розташованій на перетині вертикальної площини характерного розрізу
приміщення і умовної робочої поверхні на відстані 1 м від стіни або лінії
максимального заглиблення зони, найбільше віддаленої від світлових прорізів.
У великогабаритних виробничих
приміщеннях глибиною більше ніж 6 м при боковому освітленні нормується мінімальне
значення КПО в точці на умовній робочій поверхні, віддаленій від світлових
прорізів:
0
на 1,5 м
висоти від підлоги до верху світлових прорізів для зорової роботи І - IV
розрядів;
У виробничих приміщеннях із зоровою
роботою І-ІІІ розрядів слід використовувати суміщене освітлення.
Розрахунок КПО проводиться з
урахуванням середньозважених коефіцієнтів відбивання внутрішніх поверхонь
приміщень без урахування меблів, устаткування, озеленення та інших затінюючих
предметів, а також при 100 % використанні світлопрозорих заповнень у
світлопрорізах. Розрахункові значення КПО слід округляти до десятих часток.
Основний потік природного світла
повинен бути ліворуч. Згідно з ДСанПіН 3.3.2.007 - 98 орієнтація віконних
прорізів повинна бути на північ або північний схід. Не допускається направлення
основного світлового потоку природного світла ззаду і спереду від працюючого за
ЕОМ.
.3.3 Розробка системи штучного освітлення
За допомогою метода коефіцієнта використання світлового
потоку знаходиться світловий потік лампи, за яким вона обирається з числа
стандартних. Потік обраної лампи не повинен відрізнятися від розрахункового
більше ніж на +20 або -10%. При більшому розходженні коригується намічене число
світильників.
Розрахункове рівняння для визначення необхідної кількості
світильників [11]:
(4.1)
де F - світловий всіх ламп у світильнику, лм; Emin -
нормована освітленість, лк; k - коефіцієнт запасу (залежить від типу ламп і
ступеня забрудненості приміщення); Z - коефіцієнт рівномірності; коефіцієнт
мінімальної освітленості або нерівномірності освітлення; n - число
світильників; η - коефіцієнт використання світлового
потоку, рівний відношенню світлового потоку, що падає на робочу поверхню, до
сумарного потоку всіх ламп (у долях одиниці); S - площа приміщення, м2.
В якості кількісної характеристики освітленості прийнята
найменша освітленість робочої поверхні Еmin, яка залежить від розряду зорових
робіт, фону і контрасту об'єкта з фоном та системи освітлення.
4.3.4 Практичний розрахунок штучного освітлення
Задача. Розробити систему освітлення методом використання
світлового потоку у виробничому приміщенні, призначеному для експлуатації ЕОМ.
Параметри приміщення: довжина - 9 м, ширина 6 м, висота - 4 м. Коефіцієнти
відбиття стелі, стін 70%, 50% відповідно.
Порядок розрахунку освітлення за методом коефіцієнта
використання світлового потоку:
) визначається розрахункова висота h, тип і кількість
світильників у приміщенні. Розрахункова висота підвісу світильника визначається
виходячи з геометричних розмірів приміщення [11].
= H - hсв - hр
де Н - висота приміщення, м; hcв - відстань від стелі до
нижньої частини світильника (приймається в межах від 0, при установці
світильників на стелі, до 1,5 м), м, hр - висота робочої поверхні над підлогою
(зазвичай hр = 0,8 м).
= H - hсв - hр = 4 м - 0,8 м = 3,2 м.
) Знаходяться: коефіцієнт запасу k - 1,4 згідно з ДСанПіН
3.3.2-007-98, коефіцієнт рівномірності Z = 1,1 (беремо люмінесцентні лампи) ,
мінімальна нормована освітленість Еmin згідно з ДСанПіН 3.3.2-007-98 складає
300 - 500 лк, приймемо 300 лк [9].
) визначається індекс приміщення i (він враховує залежність коефіцієнта
використання світлового потоку від параметрів приміщення),
де А і В - ширина і довжина приміщення, м.
Довжина приміщення складає 9 м, ширина - 6 м.
) знаходиться коефіцієнт використання світлового потоку ламп η в залежності від типу світильника,
коефіцієнтів відбиття стін, стелі та робочої поверхні та індексу приміщення.
Таблиця коефіцієнтів використання світового потоку представлена в таблиці 4.2.
Оскільки індекс приміщення 1,125, а коефіцієнти відбиття стелі, стін
70%, 50%, то коефіцієнт використання світового потоку для світильників типу ЛСП
22 2-2х58/80 складає 50% - це 0,50 у долях одиниці.
Таблиця 4.2
Коефіцієнт використання світлового потоку ламп [48]
|
Світильник
|
НСП - 07
|
ЛСП - 01
|
ПВЛ
|
ЛСП 22 2-2х58/
65-002
|
|
коеф. відбиття
стелі
|
30
|
50
|
70
|
30
|
50
|
70
|
30
|
50
|
70
|
30
|
50
|
70
|
|
коеф. відбиття стін
|
10
|
30
|
50
|
10
|
30
|
50
|
10
|
30
|
50
|
30
|
30
|
50
|
|
Індекс приміщення
|
Коефіцієнт
використання світового потоку
|
|
0,5
|
14
|
16
|
22
|
23
|
26
|
31
|
11
|
13
|
18
|
-
|
-
|
-
|
|
0,6
|
19
|
21
|
27
|
30
|
33
|
37
|
14
|
17
|
23
|
17
|
18
|
28
|
|
0,7
|
23
|
24
|
29
|
35
|
38
|
42
|
16
|
20
|
27
|
-
|
-
|
-
|
|
0,8
|
25
|
26
|
33
|
39
|
41
|
45
|
19
|
23
|
29
|
26
|
26
|
35
|
|
0,9
|
27
|
29
|
35
|
42
|
44
|
48
|
21
|
27
|
32
|
-
|
-
|
-
|
|
1,0
|
29
|
31
|
37
|
44
|
46
|
49
|
23
|
28
|
34
|
28
|
30
|
40
|
|
1,5
|
34
|
37
|
44
|
50
|
52
|
56
|
30
|
36
|
42
|
38
|
41
|
54
|
|
2,0
|
38
|
41
|
48
|
55
|
57
|
60
|
35
|
40
|
46
|
43
|
48
|
58
|
|
3,0
|
44
|
47
|
54
|
60
|
62
|
66
|
41
|
45
|
52
|
48
|
55
|
71
|
|
4,0
|
46
|
50
|
630
|
65
|
68
|
44
|
48
|
54
|
57
|
60
|
74
|
) За формулою (4.1) знаходимо необхідну кількість світильників,
при умові що будуть використовуватись люмінесцентні лампи ЛД 65-7 F = 3720 лм
(в одному світильнику 2 лампи) - таблиця 4.3.
Таблиця 4.3
Технічні характеристики
люмінесцентних ламп [48]
|
Потуж- ність, Вт
|
Напруга на лампі, В
|
Струм лампи, А
|
Світловий потік
лампи, лм
|
Розмір, мм
|
|
|
|
Тип лампи
|
|
|
|
|
ЛДЦ
|
ЛД
|
ЛХБ
|
ЛТБ
|
D
|
L
|
|
15
|
54
|
0,33
|
475
|
560
|
640
|
665
|
27
|
451,6
|
|
20
|
57
|
0,37
|
780
|
870
|
890
|
925
|
40
|
604
|
|
30
|
104
|
0,36
|
1375
|
1560
|
1605
|
1635
|
27
|
908,8
|
|
40
|
103
|
0,43
|
1995
|
2225
|
2470
|
2450
|
40
|
1213,6
|
|
65
|
110
|
0,67
|
2900
|
3720
|
3630
|
3780
|
40
|
1514,2
|
|
80
|
102
|
0,87
|
3380
|
3865
|
4220
|
4300
|
40
|
1514,2
|
Розмістимо світильники у два ряди по 3 в кожному ряді.
Відстань від крайнього ряду світильників до стіни повинна складати від 0,3 до
0,5 відстані між рядами світильників.
Відстань між рядами світильників складає L=(0,9...2.8)*h. Приймемо
коефіцієнт 0,9, тоді
.
Відстань між крайніми рядами світильників до стіни:
.
Розроблена система освітлення: 6 світильників типу ЛСП 22 2-2х58/80-002
(в кожному світильнику 2 лампи). Люмінесцентні лампи ЛД 65-7 80 Вт. Світильники
кріпляться безпосередньо до стелі, розташовуючись у два ряди по 3 світильника в
кожному ряді, відстань між крайніми рядами світильників до стіні 1.5 м,
відстань між рядами 3 м.
ВИСНОВКИ
В дипломному дослідженні узагальнені матеріали розроблених
різними авторами шкільних підручників та спеціальних математичних збірників
задач із параметрами й методик їх розв’язання в процесі навчання з метою
реалізації розвиваючого навчання, ідей моделювання і прикладної спрямованості
курсу математики.
На серії практичних прикладів розв’язання задач з параметрами
по всьому об’єму функціонального аналізу, який викладається в шкільній програмі
алгебри, доведено - якщо в процесі навчання математики використовувати систему
задач із параметрами, реалізуючи при цьому дидактичні і психологічні принципи
розвиваючого навчання, то це буде сприяти інтелектуальному розвитку учнів,
підвищенню їх інтересу до математики як навчального предмета, розвитку
дослідницьких умінь і загального рівня математичної підготовки.
В якості новітнього програмно-технічного засобу розвиваючого
навчання в школі запропоноване застосування російськомовного програмно-графічного
калькулятора Microsoft Mathemаtics 4.0 з „дружнім” інтерфейсом, який з 2011
року вільно розповсюджується корпорацією Microsoft та призначений для
використання як на звичайних комп’ютерах, так і на новітніх
інтерактивно-тактильних планшетах та „електронних класних дошках” під
керуванням операційних систем Windows 7/8.
На прикладах розв’язання рівнянь та нерівностей з параметрами
графічним способом доведена ефективність застосування програмно-графічного
калькулятора Microsoft Mathemаtics 4.0 при побудові на одному масштабному полі
систем паралельних, гомотетичних та поворотних функцій при зміні параметра, що
дає яскраву наочність викладення курсу задач з параметрами вчителем математики
в школі та можливість самостійних досліджень учнем задач з параметрами на
класному та домашньому компьюетрах.
Теоретичне значення результатів дослідження полягає в тому,
що:
) запропонована система задач з параметрами во всіх розділах
шкільної програми алгебри;
) запропоновані аналітичні способи досліджень при розв’язанні
рівнянь та нерівностей з параметрами;
) запропоновані інтерактивні способи графічного розв’язання
задач з параметрами з використанням комп’ютерної графіки в системі MICROSOFT
MATHEMATICS, встановлена їх ефективність впровадження у плані формування дослідницьких
умінь в учнів.
Практичне значення результатів дослідження полягає в тому, що
в ньому розроблена методика конструювання і використання в навчальному процесі
системи задач з параметрами на основі методології математичного моделювання,
запропонована методика сприяє розвитку інтелектуальних і дослідницьких умінь і
навичок, оволодінню корисними прийомами евристики та прикладного застосування
комп’ютерних систем професійного рівня.
СПИСОК ВИКОРИСТАНОЇ ЛІТЕРАТУРИ
1.
Бабенко С. П. Усi уроки алгебри і початків аналізу. 11 клас. ІІ семестр.
Академічний рівень. // Бабенко С. П. - Харків: Основа, 2011. - 253 с.
2.
Бевз Г.П. Алгебра: Підруч. для 7 кл. загальноосвіт.навч. закл. / Г.П.Бевз,
В.Г.Бевз - К.: Зодіак-ЕКО, 2007. - 304 с.
.
Бевз Г.П. Алгебра: Підруч. для 8 кл. загальноосвіт.навч. закл. / Г.П.Бевз,
В.Г.Бевз - К.: Зодіак-ЕКО, 2007. - 256 с.
.
Валєєв К.Г. Елементарна математика для студентів, слухачів ПО, Навч.
посіб./ К.Г.Валєєв, І.А. Джалладова - К.: КНЕУ, 2006. - 548 с.
.
Горнштейн П.І. Задачі з параметрами / П.І.Горнштейн, В.Б.Полонський, М.С.Якір.
- Тернопіль, 2004. - 186 с.
.
Державні санітарні правила і норми роботи з візуальними дисплейни-ми
терміналами електронно-обчислювальних машин ДСанПіН 3.3.2.007-98 //. 4
Затверджено Постановою Головного державного санітарного лікаря України від 10
грудня 1998 р. № 7
7. Державні санітарні
правила і норми влаштування, утримання загальноосвітніх навчальних закладів та
організації навчально-виховного процесу, затверджені постановою Головного
санітарного лікаря України від 14.08.2001 № 63 (ДСанПіН 5.2.2.008-01). -
[Електронний документ] - режим доступу:
<http://zakon.nau.ua/doc/?code=v0063588-01>
. Державні будівельні
норми України, „Захисні заходи електробезпеки в електроустановках будинків і
споруд” (ДБН В.2.5-27-2006 ) // Введені Наказом Міністерства будівництва,
архітектури та житлово-комунального господарства України від 29 березня 2006 р.
№ 97 з 1 жовтня 2006 р., 2006. - [Електронний документ] - режим доступу:
<http://www.mebius.ua/files/normativy> /1004621.doc
. Державні будівельні
норми ДБН В.2.5-28-2006 „Природне та штучне освітлення” // Наказ Міністерства
будівництва, архітектури та житлово-комунального господарства України від 15
травня 2006 р. № 168
10.
ДНАОП 0.00 - 1.31 - 99/2010 - Правила охорони праці під час експлуатації
електронно-обчислювальних машин // Міністерство труда та соціальної політики
України, наказ N 21 от 10.02.99
.
Жидецький В.Ц. Основи охорони праці: Підручник. - 4-те вид., пере-роб. і доп.
Затверджено МОН . - Київ, Знання, 2010. - 375 с.
.
Інструктивно-методичні матеріали «Безпечне проведення занять у кабінетах
природничо-математичного напряму загальноосвітніх навчальних закладах» // Лист
Міністерства освіти, науки, молоді та спорту України, № 1/9-72 від 01.02.2012 -
18 с. - [Електронний документ] - режим доступу:
http://osvita.ua/legislation/Ser_osv/27214/
13. Карлащук А.Ю. Формування дослідницьких умінь школярів у
процесі розв’язування математичних задач з параметрами / Автореф. дис. канд.
пед. наук: 13.00.02 / А.Ю. Карлащук; Нац. пед. ун-т ім. М.П.Драгоманова. - К.,
2001. - 19 с.
14.
Катренко Л.А., Пістун І.П. Охорона праці в галузі освіти: Навчальний посібник,
2-е вид., доповн. - Суми: ВТД „Університетська книга”, 2005. - 304 с.
15. Крамор В.С. Задачі з параметрами і методи їх розв’язання
/В.С.Крамор: пер. з рос. А.Кравчука. - Тернопіль:Навчальна книга. - Богдан,
2012. - 416 с.
16.
Лікоть В.В. Задачі з параметрами / В.В.Лікоть - К., «Знання»,2003. -135 с.
17.
Мерзляк А.Г. Алгебра. 9 клас. Підручник для класів з поглибленим вивченням математики
// А.Г. Мерзляк, В.Б. Полонський, М.С. Якір - Х.:Гімназія, 2009. - 379с.
.
Мерзляк А.Г. Алгебра і початки аналізу. 10 клас. Підручник для класів з
поглибленим вивченням математики // А.Г. Мерзляк, Д.А.Номіровський В.Б.
Полонський, М.С. Якір - Х.:Гімназія, 2010. - 415 с:
19.
Нелін Є. П., Долгова О. Є. Алгебра і початки аналізу: Дворівневий підруч. для
11 кл. загальноосвіт. навч. закладів.- 2_ге вид., виправл. і доп.- Х.: Світ
дитинства, 2006.- 416 с.
20.
Нелін Є. П. Алгебра і початки аналізу: Підручник для 10 кл. загаль-ноосвіт.
навч. закладів.- Харків: Гімназія, 2010.- 415 с.
.
Резуненко В.О. Ярмак В.О. Тригонометричні рівняння і нерівності для
старшокласників і абітурієнтів. // Резуненко В.О. Ярмак В.О. - Х.: Вид.група
"Основа" 2011.- 94 с.
22. Решебник
по учебнику: СУПЕР ГДЗ. Готові домашні завдання. 10 клас. Розв’язання вправ та
завдань до усіх шкільних підручників. Кн. 1.( Решебник (ГДЗ) по учебнику
Математика (Алгебра), 10 класс (Г.П. Бевз, В.Г. Бевз)) - X.: ТОРСІНГ ПЛЮС,
2011.- 1184 с.
23.
Основи охорони праці: Підручник. 21ге видання, доповнене та перероблене. / К.
Н. Ткачук, М. О. Халімовський, В. В. Зацарний, Д. В. Зеркалов, Р. В. Сабарно,
О. І. Полукаров, В. С. Коз’яков, Л. О. Мітюк. За ред. К. Н. Ткачука і М. О.
Халімовського. - К.: Основа, 2006 - 448 с.
.
Охорона праці в галузі освіти. Курс лекцій: Навчальний посібник для студентів
вищих педагогічних навчальних закладів всіх спеціальностей і напрямів
підготовки за освітньо-кваліфікаційними рівнями «спеціаліст» і «магістр»/ С.М.
Богомаз-Назарова, А.І. Ткачук, С.О. Кононенко.- Кіровоград: РВЦ КДПУ ім. В.
Винниченка. - 2012. - 144 с.
25. Піскунова Л. Е. Безпека
життєдіяльності // Л.Е. Піскунова, В.А. Прилипко, Т.О. Зубок . - К.: Академія,
2012. - 224 с.
26. „Про охорону
праці” Закон України від 14 жовтня 1992 року N2694-XII // Із змінами і
доповненнями, внесеними Законами України станом на N 3458-VI від 02.06.2011 -
[Електронний документ]. -режим доступу: - <http://zakon1.rada.gov. ua/>
laws/show/2694-12
27.
Положення про організацію роботи з охорони праці учасників навчально-виховного
процесу в установах і навчальних закладах, затверджене наказом Міністерства
освіти і науки України від 01.08.2001 №563 // Із змінами, внесеними згідно з
Наказом Міністерства освіти і науки N 782 від 20.11.2006.-[Електронний
документ] - режим доступу: http://zakon2.rada.gov.ua/laws/ show/z0969-01
.
Правила пожежної безпеки для закладів, установ і організацій системи освіти
України, затверджені наказом Міністерства освіти України і Головного управління
Державної пожежної охорони Міністерства внутрішніх справ України від 30.09.98 №
348/70 ( Із змінами, внесеними згідно з Наказом Міносвіти N 80/16 від
21.02.2001 ). - [Електронний документ] - режим доступу:
http://zakon2.rada.gov.ua/laws/show/z0800-98
.
Правила безпечної експлуатації електроустановок споживачів, затверджені наказом
Міністерства енергетики та вугільної промисловості від 13.02.2012 № 91-
[Електронний документ] - режим доступу:
http://safety-rtc.com/view_post.php?id=76
30.
Правила безпеки під час навчання в кабінетах інформатики навчальних закладів
системи загальної середньої освіти // Затверджені наказом
Держнагляд-охоронпраці України від 16.03.2004 № 81 ( Із змінами, внесеними згідно з
наказом Державного комітету України з промислової безпеки, охорони праці та
гірничого нагляду N 252 від 06.11.2007 ) .- [Електронний документ] - режим
доступу: http://zakon1.rada.gov.ua/laws/show/z0620-04
31.
Положення про порядок проведення навчання і перевірки знань з питань охорони
праці в закладах, установах, організаціях, підприємствах, підпорядкованих
Міністерству освіти і науки України, затвердженому наказом Міністерства освіти
і науки України від 18.04.2006 № 304. - [Електронний документ] - режим доступу:
http://zakon2.rada.gov.ua/laws/show/z0806-06
32.
Положення про порядок розслідування нещасних випадків, що сталися під час
навчально-виховного процесу в навчальних закладах, затверджене наказом
Міністерства освіти і науки України від 31.08.2001 № 616, ( Із змінами,
внесеними згідно з Наказом Міністерства освіти і наукиN 773 від 05.07.2004)
-[Електронний документ] - режим доступу: http://zakon3.rada.gov.ua/laws/show
/z1093-01
33.
Перелік навчальних програм, підручників та навчально-методичних посібників,
рекомендованих Міністерством освіти і науки, молоді та спорту України для
використання в основній і старшій школі у загальноосвітніх нав-чальних закладах
з навчанням українською мовою у 2012/13 навчальному році // Лист Міністерства
освіти і науки, молоді та спорту України від 23.08.2012 №1/9-592 " Про
використання навчальної літератури в загальноосвітніх нав-чальних закладах у
2012/2013 навчальному році"
.
Рівняння і нерівності з параметрами та оберненими тригонометрични-ми функціями:
Методичні вказівки для слухачів факультету довузівської підготовки,
абітурієнтів і ліцеїстів/Дніпропетр. нац. техн. ун-т залізнич. трансп.;Укл.:
Кузнецов В.М., Бредіхін Ю.Р, Звонарьова О.В. - Д., 2002. - 64 с.
35.
Санітарні норми мікроклімату виробничих приміщень ДСН 3.3.6.042-99 // Головний
Державний санітарний лікар України, Постанова від 1 грудня 1999 року № 42
36.
Сипченко Т. М. Календарно-тематичний план з математики. 5-11 класи /Т. М.
Сипченко.- 2-ге вид., перероб. і доп.- X.: Видавництво «Ранок», 2011.- 128 с.
.
Титаренко О.М. 5770 задач з математики з відповідями. 2 -ге вид.випр. - Харків:
ТОРГСІНГ ПЛЮС, 2007. - 336 с.
.
Титаренко О.М. Форсований курс шкільної математики:Навчальний посібник. - Х.:
Торсінг, 2003. - 368 с.
.
Фурман М. С. Збірник задач з алгебри і початків аналiзу. 11 клас.- Х. : Вид.
група «Основа», 2010. - 159 с.
40.
Шкіль М.І. Алгебра та початки аналізу: Підручник для 11 кл.
загально-освітн.навч.закладів/ М.І.Шкіль, З.І.Слєпкань, О.С.Дубинчук - К.:
Зодіак-ЕКО, 2002. - 384 с.
41.
Шкіль М.І. Алгебра і початки аналізу: Підручник для 10 класу загально-осв.
навч.закладів / М.І.Шкіль, З.І. Слєпкань, О.С.Дубінчук. - К.: Зодіак-ЕКО, 2002.
- 272 с.
42.
Ястребинецький Г.А. Рівняння й нерівності, що містять параметри / Г.А.
Ястребинецький - К., 2004. - с.
43.
<http://www.smartboard.com.ua/articles/115/>) - Інтернет-сайт
представництва фірми Smartboard в Україні, 2012
.
<http://www.microsoft.com/education/en-us/teachers/guides/ Pages/
Mathem4tics-guide.aspx> - Microsoft Математики 4.0 в классе - Microsoft
Matematics, 2012
.
<http://www.mon.gov.ua/> - Офіційний Інтернет-сайт Міністерства освіти і
науки, молоді та спорту України, 2012
.
<http://iitzo.gov.ua/> - Офіційний Інтернет-сайт Інституту інноваційних
технологій і змісту освіти, 2012
47.
http://www.dnop.kiev.ua/ - Офіційний сайт Державного комітету України з
промислової безпеки, охорони праці та гірничого нагляду (Держгірпромнагляду).
.
http://electricalschool.info/main/lighting/772-tochechnyjj-metod-rascheta-osveshhenija.html
- Довідка для електриків «Школа для електриків»