Задачи по ядерной физике
Домашние
задачи
по
ядерной физике
Выполнил:
Чехлов А.А
Номера Задач : 1.11 м,
2.14, 3.15,4.15,5.16,6.16,7.21, 9.17
Задача № 1.11

Данная реакция возможна.
Ответ: данная реакция возможна
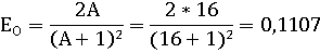
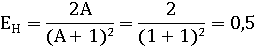
Задача № 2.14
Найдем количество атомов в килограмме
Чтобы определить тип β распада необходимо
рассчитать Z
для данной атомной массы.
Радиактивное вещество
Ответ:
,
Радиактивное вещество
Задача № 3.15
придельное соотношение активность радионуклида вычисляется по
формуле:
Задача № 4.15
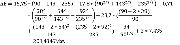
1)Найдем дефект массы:
аем
) Минмальная энергия необходимая для запаздывающей альфа
частицы
931,49
=8,6644 Мэв
реакция с выделением
частиц возможножна
только при привышение порговой энергии равной 8,6644 Мэв следовательно будет
происходить только реакция для которой энергия возбуждения будет ровна
,876Мэв выход (3,1 )
3)Расчет максимальной энергии
частицы
Мэв
Мэв
=1,2116Мэв
,25
=1,2116Мэв
Максимальная энергия
частицы будет равна:
Ответ: Энергия
частиц будет равна
а максимальный выход 3,1
процента
Задача № 5,16
T+d=He+n
Энергия выделяющиеся при термоядерной реакции
Так как энергетический эквивалент а.е.м равен 931,49*
Эв
(3,0160494+2,0141022-4,0026036)*931,49-939,56=17,59Мэв
n=(17,59/5)*(235/196)=4,21
Ответ: В 4,21 раза
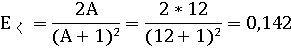
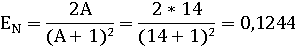
Задача № 6.16
N-мощность ;n-количество распадов;E-энергия одного
распада(200Мэв)

Равновесие достигается в том случае, когда количеств
распадающихся равно количеству образующихся атомов I.Количество распадов
будет равно количеству получающихся атомов
.
Время достижения максимума активности Xe 7,617 часа
Расчитано с помощью графика.
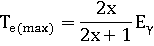
Задача № 7,21
нейтрон ядерный радионуклид атом
Энергия гамма кванта равна 0,6617 Мэв
Кинетическая энергия фото электрона равна
так энергия зарегистрированных электрона меньше
чем полученная в результате расчета то можно заключить что данные электроны
имеют другое происхождение
Следовательно зарегистрированные электроны имеют
комптоновское происхождение.
9.17
Состав биологической ткани имеет формулу
Так как плотность биологической ткани примерно равна
отсюда найдем количество
молей в 1
Найдем количество взаимодействий происходящих в секунду в 1
кубическом сантиметре
Средняя доля энергия передаваемая при упругом соударении
будет равна
Найдем энергию получаемую одним граммом в секунду
Эквивалентная доза будет равна
Ответ: