|
Номер филиала
|
Число отделений
в филиалах
|
Средний размер
вклада, тыс. руб.
|
Среднее число
вкладчиков в каждом отделении
|
|
1
|
2
|
50
|
50
|
|
2
|
1
|
15
|
100
|
|
3
|
5
|
10
|
200
|
Средний размер вклада
Средний размер вклада = сумма вкладов/
количество вкладов
Сумма вкладов = 2*50*50+1*15*100 +5*10*200=
5000+1500+ 10000=16500
Количество вкладов = 2*50+100+1000=1200
Средний размер вклада по банку в целом:
=16500/1200=13,75
(тыс.руб)
Среднее число вкладчиков в отделениях(средняя
арифметическая взвешенная):
=(50*2+100*1+200*5)/(2+1+5)=150
(чел)
Из таблицы №1 «Макроэкономические показатели
европейских стран» выбрать две графы (признаки) данных, соответствующих вашему
варианту.
Построить аналитическую группировку,
устанавливающую взаимосвязь между признаками Х и Y.
Построить парное линейное уравнение связи между
признаками, сделать по нему вывод. Изобразите взаимосвязь графически.
Оценить тесноту связи с помощью эмпирического
корреляционного отношения, коэффициента корреляции, детерминации и
эластичности.
Проверить на значимость найденные параметры и
регрессионную модель.
По полученному уравнению рассчитать прогноз
значения У при условии, что величина Х будет на 20% выше своего максимального
выборочного значения. (Вероятность 0,95).
Определим величину интервала
=(xmax-xmin)/6=(75600-2700)/6=12150
Таблица
6 - Зависимость среднего уровня потребительских расходов домашних хозяйств от
ВВП на душу населения
|
№
группы
|
Группы
стран по величине ВВП на душу населения
|
Число
стран
|
ВВП
на душу населения (евро)
|
Средний
уровень потребительских расходов домашних хозяйств (тыс. евро).
|
|
|
|
Всего
|
Средняя
|
Всего
|
Средняя
|
|
I
|
2700-14850
|
12
|
96700
|
8058,33
|
73
|
6,083
|
|
II
|
14850-27000
|
6
|
122200
|
20366,67
|
145
|
24,17
|
|
III
|
27000-39150
|
8
|
261900
|
32737,5
|
251
|
31,38
|
|
IV
|
39150-51300
|
4
|
174175
|
43543,75
|
89
|
22,25
|
|
V
|
51300-63450
|
1
|
60400
|
60400
|
10
|
10
|
|
VI
|
63450-75600
|
1
|
75600
|
75600
|
53
|
53
|
|
Итого
|
-
|
32
|
790975
|
24717.97
|
621
|
19,4
|
Таким образом, с увеличением ВВП на душе
населения средний уровень потребительских расходов домашних хозяйств
возрастает. Значит, между исследуемыми признаками существует прямая
корреляционная зависимость. Найдем парное линейное уравнение регрессии
=a+bx,
,
,
=59449,36-1,62x
Рис. 3 - Взаимосвязь ВВП на душу населения и
среднего уровня потребительских расходов
При росте ВВП на душу населения на 1 евро средний
уровень потребительских расходов домашних хозяйств уменьшится на 1,62 евро.
=(12*8775+6*20925+8*33075+4*45225+57375+69525)/32=25101,56
Общая дисперсия:

=((8775-25101,56)^2*12+6*(20925-25101,56)^2+8*(33075-25101,56)^2+4*(45225-25101,56)^2+(57375-25101,56)^2*1+(69525-25101,56)^2*1)/32=263961716
Межгрупповая дисперсия
=((8058,33-25101,56)^2*12+6*(20366,67-25101,56)^2+8*(32737,5-25101,56)^2+4*(43543,75-25101,56)^2+(60400-25101,56)^2*1+(75600-25101,56)^2*1)/32=288848931
Эмпирическое корреляционное отношение:
=1,04
Связь тесная. Рассчитаем коэффициент корреляции:
=24717,97
=19,406
=634212,5
=906704863,3
=564,03
=
=17196,71,
=13,690
=(634212,500-24717,97*19,40625)/235430,9
=0,65
Прямая связь.
Коэффициент детерминации:
=0,42
,42 - доля общей вариации среднего уровня
потребительских расходов домашних хозяйств, обусловленной вариацией среднего
значения ВВП на душу населения, остальная доля зависит от других признаков
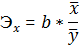
Коэффициент эластичности:
=-1,62*(24717,97/19,406)=-0,0021
При изменении ВВП на душу населения на 1%,
cредний уровень потребительских расходов домашних хозяйств уменьшается на
0,0021%.
Произведем оценку значимости параметров парного
линейного уравнения регрессии:
Рассчитаем среднюю ошибку для параметров:
=114902,06
20978,24
,
Определим доверительный интервал для параметров
2,0423
Прогноз среднего уровня потребительских расходов
домашних хозяйств составит:
,9
33714,73
Среди таблиц, расположенных после задания,
найдите таблицу с данными, соответствующими вашему варианту.
В соответствии со своим вариантом:
Рассчитайте индивидуальные и общие индексы цены,
физического объема и стоимости. Сделайте выводы о произошедших в текущем
периоде изменениях.
Рассчитайте абсолютные изменения стоимости,
возникшие в результате изменения цен и физического объема.
Рассчитайте индексы переменного, фиксированного
составов, индекс структурных сдвигов. Сделайте выводы о причинах, приведших к
изменению средней цены совокупности товаров.
Рассчитайте абсолютные изменения средней цены,
объясните их.
Таблица 7 - Цены и количество товаров
|
товары
|
базисный
период
|
текущий
период
|
количество
(шт.)
|
цена
(руб.)
|
количество
(шт.)
|
|
1
|
24
|
50
|
20
|
90
|
|
2
|
36
|
58
|
33
|
60
|
|
3
|
65
|
70
|
63
|
80
|
Индивидуальный индекс цены p1/p0
i1=20/24=0,83=33/36=0,92=63/65=0,97
Таким образом, цены на первый товар уменьшились
в 0,83 раза в текущем периоде по сравнению с базисным, на второй товар
уменьшились в 0,92 раза, на третий - в 0,97.
Индивидуальный индекс физического объема q1/q0:
=90/50=1,8=60/58=1,03=80/70=1,14
Таким образом, объем первого товара увеличился в
1,8 раз, второго товара - в 1,03, объем третьего - в 1,14.
Индивидуальный индекс стоимости (p1*q1)/(p0*q0):
=(20*90)/(24*50)=1,5=(33*60)/(36*58)=0,95=(63*80)/(65*70)=1,11
Таким образом, стоимость первого товара
увеличилась в 1,5 раза, второго товара уменьшилась в 0,95, третьего товара
увеличилась в 1,11 раза.
Абсолютные изменения стоимости по индивидуальным
индексам:
=20*90-24*50=600(руб.)=33*60-36*58=-108(руб.)=63*80-65*70=490(руб.)
Абсолютные изменения стоимости по общему
индексу:
Apq=
)-
=982(руб.)
Индекс переменного состава
Вывод: Средняя стоимость товаров возросла на 1%,
в том числе за счет количества каждого товара - рост на 0,1%.
По таблице 5 «Динамика численности населения на
1 января» найдите данные (графу) своего варианта.
В соответствии со своим вариантом
проанализируйте динамику численности населения по области (область
соответствует номеру варианта):
Определите вид ряда динамики
Рассчитайте следующие показатели,
характеризующие динамику изучаемого явления и сделайте по ним выводы:
базисные и цепные абсолютные приросты,
базисные и цепные темпы роста,
базисные и цепные темпы прироста,
абсолютные значения 1 % прироста,
средний уровень временного ряда
средний абсолютный прирост,
средний темп роста,
средний темп прироста.
Найдите параметры уравнения линейного тренда.
Изобразите графически эмпирический временной ряд и линию тренда.
Сделайте прогноз (точечный и интервальный)
уровня временного ряда на 3 года вперед.
Таблица 8 - Динамика численности населения
Владимирской области на 1 января
|
Годы
|
Численность
населения
|
Абсолютные
приросты
|
Темпы
роста
|
Темпы
прироста
|
Абс.
знач.1% прироста
|
|
|
Цепные
|
Базисные
|
Цепные
|
Базисные
|
Цепные
|
Базисные
|
|
|
1990
|
1657
|
-
|
-
|
-
|
100
|
-
|
-
|
-
|
|
1991
|
1654
|
-3
|
-3
|
99,82
|
99,82
|
-0,18
|
-0,18
|
16,57
|
|
1992
|
1648
|
-6
|
-9
|
99,64
|
99,46
|
-0,36
|
-0,54
|
16,54
|
|
1993
|
1642
|
-6
|
-15
|
99,64
|
99,09
|
-0,36
|
-0,91
|
16,48
|
|
1994
|
1634
|
-8
|
-23
|
99,51
|
98,61
|
-0,49
|
-1,39
|
16,42
|
|
1995
|
1631
|
-3
|
-26
|
99,82
|
98,43
|
-0,18
|
-1,57
|
16,34
|
|
1996
|
1624
|
-7
|
-33
|
99,57
|
98,01
|
-0,43
|
-1,99
|
16,31
|
|
1997
|
1613
|
-11
|
-44
|
99,32
|
97,34
|
-0,68
|
-2,66
|
16,24
|
|
1998
|
1603
|
-10
|
-54
|
99,38
|
96,74
|
-0,62
|
-3,26
|
16,13
|
|
1999
|
1592
|
-11
|
-65
|
99,31
|
96,08
|
-0,69
|
-3,92
|
16,03
|
|
2000
|
1576
|
-16
|
-81
|
98,99
|
95,11
|
-1,01
|
-4,89
|
15,92
|
|
2001
|
1558
|
-18
|
-99
|
98,86
|
94,03
|
-1,14
|
-5,97
|
15,76
|
|
2002
|
1539
|
-19
|
-118
|
98,78
|
92,88
|
-1,22
|
-7,12
|
15,58
|
|
2003
|
1520
|
-19
|
-137
|
98,77
|
91,73
|
-1,23
|
-8,27
|
15,39
|
|
2004
|
1504
|
-16
|
-153
|
98,95
|
90,77
|
-1,05
|
-9,23
|
15,2
|
|
2005
|
1487
|
-17
|
-170
|
98,87
|
89,74
|
-1,13
|
-10,26
|
15,04
|
|
2006
|
1473
|
-14
|
-184
|
99,06
|
88,90
|
-0,94
|
-11,10
|
14,87
|
|
2007
|
1460
|
-13
|
-197
|
99,12
|
88,11
|
-0,88
|
-11,89
|
14,73
|
|
2008
|
1449
|
-11
|
-208
|
99,25
|
87,45
|
-0,75
|
-12,55
|
14,6
|
|
2009
|
1440
|
-9
|
-217
|
99,38
|
86,90
|
-0,62
|
-13,10
|
14,49
|
|
2010
|
1430
|
-10
|
-227
|
99,31
|
86,30
|
-0,69
|
-13,70
|
14,4
|
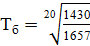
Данный ряд - моментный ряд динамики.
Абсолютные показатели ряда динамики:
средний абсолютный прирост
(тыс.чел.)
средний темп роста
*100%=99,27 (%)
средний темп прироста.
(%)
Средняя численность составила 1559,5 тыс. чел.
Причем ежегодно в среднем численность уменьшалась на 10,81 тыс. чел. или на
0,73%.
Таким образом, ежегодно в среднем численность
населения Владимирской области уменьшается на 12,57 тыс. чел., начиная с
начальной выравненной численности в 1697,03 тыс. человек.
Рис. 4 - Эмпирический временной ряд и линия
тренда
Прогноз:
Подставим в модель (уравнение тренда)
соответствующее значение фактора времени, т.е. t=22,23,24(прогноз на 3 года)
Прогноз численности Владимирской области: на
2011 год - 1420,49 тыс.чел., 2012 год - 1407,92 тыс чел., 2013 год - 1395,35
тыс.чел.
Для построения интервального прогноза рассчитаем
доверительный интервал.
Интервальный прогноз рассчитывается по
формуле y = yточ ±myt *t,
=1,73
y = yточ
±myt *t=1395,35±3,188*1,73
Прогноз на 3 года: численность составит от
1389,835 тыс. чел. до 1400,86.
В таблице 9 «Показатели трудовых ресурсов»
найдите данные (графу) своего варианта. По данным таблицы в соответствии со
своим вариантом рассчитать:
численность безработных;
уровень экономически активного населения;
структуру занятого населения;
уровень безработицы в расчете на экономически
активное население;
уровень безработицы в расчете на занятое
население.
Таблица 9 - Показатели трудовых ресурсов
|
показатель
|
3
|
|
Среднегодовая
численность трудовых ресурсов (млн.чел.)
|
113
|
|
Среднегодовая
численность экономически активного населения (млн.чел.)
|
63
|
|
Среднегодовая
численность занятого населения, всего (млн.чел.):
|
41
|
|
в
т.ч. - на предприятиях государственной и муниципальной собственности
|
20
|
|
-
на частных предприятиях
|
18
|
|
-
в общественных организациях
|
0,5
|
|
-
на предприятиях иностранной собственности
|
2,5
|
|
Валовой
выпуск продукции в отраслях экономики за год (трлн.руб.)
|
32
|
. Среднегодовая численность безработных =
среднегодовая численность экономически активного населения- среднегодовая
численность занятого населения = 63-41=22(млн чел)
. Уровень экономически активного населения =
среднегодовая численность экономически активного населения/ Среднегодовая
численность трудовых ресурсов=63/113*100=55,7%
. Для определения структуры найдем удельный вес
каждого показателя:
Удельный вес населения, занятого на предприятиях
государственной и муниципальной собственности=20/41*100=48,78(%)
Удельный вес населения, занятого на частных
предприятиях =18/41*100=43,9(%)
Удельный вес населения, занятого в общественных
организациях =0,5/41*100=1,22(%)
Удельный вес населения, занятого на предприятиях
иностранной собственности=2,5/41*100=6,09(%)
. Уровень безработицы в расчете на экономически
активное население = среднегодовая численность безработных/ Среднегодовая
численность экономически активного населения*100%=22/63*100%=34,9(%)
. Уровень безработицы в расчете на занятое
население = среднегодовая численность безработных/ Среднегодовая численность
занятого населения*100%=22/41*100%=53,66(%)
По данным своего варианта рассчитать:
индивидуальные индексы производительности труда:
индекс производительности труда переменного
состава;
индекс производительности труда постоянного
состава;
индекс структурных сдвигов;
индекс С.Г. Струмилина.
Таблица 10 - Производство продукции и затраты
труда
|
№
|
базисный
период
|
текущий
период
|
|
затраты
труда (чел.-ч.)(t0)
|
произведено
продукции (тыс.руб.)(q0)
|
Производительность
труда(v0)
|
затраты
труда (чел.-ч.)(t1)
|
произведено
продукции (тыс.руб.)(q1)
|
Производительность
труда (v1)
|
|
1
|
566
|
145
|
0,26
|
618
|
157
|
0,25
|
|
2
|
637
|
208
|
0,33
|
639
|
210
|
0,33
|
=q/t
Индивидуальный индекс производительности труда
t1/t0
=618/566=1,09
i2=639/637=1,003
Индекс переменного состава
(0,25*618+639*0,33)/1257:(0,26*566+637*0,33)/1203
=0,97
Индекс фиксированного состава:
(0,25*618+639*0,33)/1257:(0,26*618+639*0,33)/1257=0,98
Индекс структурных сдвигов:
(0,26*618+639*0,33)/1257:(0,26*566+637*0,33)/1203
=0,99
Индекс С.Г.Струмилина.
(1,09*618+1,003*639)/1257=1,045
По данным своего варианта:
. Постройте мультипликативную модель динамики
себестоимости.
группировка себестоимость
потребительский расход
Таблица 11 - Объем производства и себестоимость продукции
|
вид
продукции
|
Себестоимость
(руб./т)(z)
|
объем
производства (тыс.т.) (q)
|
|
базисный
период(z0)
|
отчетный
период(z1)
|
базисный
период(q0)
|
отчетный
период(q1)
|
|
1
|
58
|
51
|
20
|
33
|
|
2
|
64
|
62
|
28
|
24
|
|
3
|
32
|
33
|
51
|
56
|
Мультипликативная модель:
з = Iq • Iz = 0,957*1,14=1,09
Факторный анализ издержек:
а) общий индекс затрат на производство продукции
∆Z = ∑q1 • z1 - ∑q0 • z0
∆Z = 5019-4584 = 435
За счет всех факторов общие затраты возросли на
9,4% или на 435 тыс. рублей.
б) общий индекс себестоимости продукции
= ∑q1 • z1 - ∑q1 • z0
∆Zz = 5019-5242 = -223
За счет изменения себестоимости общие затраты
снизились на 4,3% или на 223 тыс. рублей.
в) общий индекс объема продукции
∆Zq = ∑q1 • z0 - ∑q0 • z0
∆Zq = 5242-4584 = 658
За счет изменения объема выработанной продукции,
общие затраты возросли на 14,3% или на 658 тыс. рублей.
. Найдите в таблице 13 данные своего варианта,
по которым составьте счета производства, образования доходов, первичного и
вторичного распределения доходов, использования доходов и капитальных затрат
(млрд.руб.)
Таблица 12 - Макроэкономические показатели СНС
|
Показатель,
млрд.руб.
|
3
|
|
валовой
выпуск материальных благ в основных ценах (счет производства)
|
12000
|
|
производство
рыночных услуг(счет производства)
|
9050
|
|
производство
нерыночных услуг(счет производства)
|
2350
|
|
промежуточное
потребление при создании благ(счет производства)
|
6890
|
|
промежуточное
потребление при создании услуг(счет производства)
|
4010
|
|
чистые
налоги на продукты
|
1200
|
|
налоги
на производство
|
240
|
|
субсидии
на производство
|
160
|
|
стоимость
закупки импорта
|
360
|
|
продажная
стоимость импорта
|
320
|
|
субсидии
на закупку импорта
|
35
|
|
начисленная
заработная плата
|
6805
|
|
фактические
начисления по социальному страхованию
|
1570
|
|
условные
начисления по социальному страхованию
|
120
|
|
доходы
от собственности и предпринимательской деятельности, уплаченные за рубеж
|
550
|
|
доходы
от собственности и предпринимательской деятельности, полученные из-за рубежа
|
135
|
|
прочие
текущие трансферты, полученные из-за рубежа
|
45
|
|
прочие
текущие трансферты, уплаченные за рубеж
|
55
|
|
налоги
косвенные, уплаченные за рубеж
|
5
|
|
налоги
косвенные, полученные из-за рубежа
|
80
|
|
конечное
потребление домашних хозяйств
|
6700
|
|
конечное
потребление органов государственного управления
|
2150
|
|
конечное
потребление общественных организаций
|
180
|
|
Капитальные
трансферты, полученные из-за рубежа
|
25
|
|
покупка
в стране земли и нематериальных активов иностранцами
|
40
|
|
Капитальные
трансферты, уплаченные за рубеж
|
65
|
|
покупка
в стране земли и нематериальных активов гражданами страны за рубежом
|
75
|
|
валовое
образование основных фондов
|
2340
|
|
прирост
запасов материальных благ
|
310
|
Таблица 13 - Основные счета внутренней экономики
и взаимосвязь между показателями СНС
|
Использование
|
Ресурсы
|
Формула
расчета балансирующей статьи
|
|
Счет
производства
|
|
Промежуточное
потребление (10900)
|
Выпуск
товаров и услуг (23400) Чистые налоги на продукты (1200)
|
Валовой
внутренний продукт = валовой выпуск - промежуточное потребление =
23400+1200-10900=13700
|
|
Счет
образования доходов
|
|
Оплата
труда наемных работников(8495) Налоги на производство и импорт(440)
|
ВВП(13700)
Субсидии на производство и импорт(195)
|
Валовая
прибыль экономики и валовые смешанные доходы = валовой внутренний продукт -
оплата труда наемных работников - налоги на производство и импорт + субсидии
на производство и импорт=13700-8495-440+195=5840
|
|
Счет
распределения первичных доходов
|
|
Доходы
от собственности, переданные за рубеж(555)
|
Валовая
прибыль экономики и валовые смешанные доходы(5840) Оплата труда наемных
работников(8495) Налоги на производство и импорт(440) Субсидии на
производство и импорт(195) Доходы от собственности, полученные из-за
рубежа(215)
|
Валовой
национальный доход = валовая прибыль экономики и валовые смешанные доходы +
оплата труда наемных работников + налоги на производство и прибыль - субсидии
на производство и импорт + доходы от собственности полученные - доходы от
собственности переданные =5840+8495+440-195+ 215-555=14240
|
|
Счет
вторичного распределения доходов
|
|
Текущие
трансферты, переданные за рубеж(55)
|
ВНД(14240)
Текущие трансферты, полученные из-за рубежа(45)
|
Валовой
национальный располагаемый доход = валовой национальный доход + текущие
трансферты полученные - текущие трансферты переданные=14240+45-55=14230
|
|
Счет
использования располагаемого дохода
|
|
Расходы
на конечное потребление: Домашних хозяйств(6700) Органов государственного
управления(2150) Общественных организаций(180)
|
ВНРД(14230)
|
Валовое
сбережение = валовой национальный располагаемый доход - расходы на конечное
потребление=14230-6700-2150-180=5200
|
|
Счет
операций с капиталом
|
|
Капитальные
трансферты, уплаченные за рубеж (65) Валовое образование основных фондов
(2340) Прирост запасов материальных благ (310) Чистое приобретение земли(-35)
|
Валовое
сбережение(5200) Капитальные трансферты, полученные из-за рубежа(25)
|
Чистое
кредитование,чистое заимствование = Валовое сбережение + капитальные
трансферты полученные - капитальные трансферты переданные - валовое
накопление основного капитала - изменение запасов материальных оборотных
средств - чистое приобретение ценностей - чистое приобретение земли и
нефинансовых непроизведенных активов =5200+25-65-2340-310+35=2545
|
В соответствии с вариантом определить средний
коэффициент выплат и среднюю относительную доходность страховых организаций.
Таблица 14 - Результаты работы страховых организаций
за отчетный период
|
№
страховой организации
|
Страховой
взнос, тыс. Руб.(V)
|
Коэффициент
выплат страхового возмещения, %( )
|
Выплаты(w
=
|
|
1
|
5000
|
40
|
2000
|
|
2
|
6000
|
30
|
1800
|
|
3
|
12000
|
60
|
7200
|
|
Итого
|
23000
|
130
|
11000
|
Средний коэффициент выплат:
=
=
=0,48
Средняя относительная доходность:
=
,
=
Список использованной литературы
1. Статистика:
учебник / под ред. И.И. Елисеевой. - М.: Высшее образование, 2007.
2. Ватник
П.А. Статистические метода анализа зависимостей: Текст лекций. - СПб: СПбГИЭУ,
2006. - 92 с.
. Костылева
Л.В. Социально-экономическая статистика: курс лекций. - Вологда: ВоГТУ, 2009. -
136 с.
. Елисеева
И. И., Юзбашев М. М. Общая теория статистики: учебник /Под ред. И.И. Елисеевой.
- 5-е изд., перераб. и доп. - М.: Финансы и статистика, 2008. - 656 с.
. Елисеева
И.И. Практикум по общей теории статистики/ И.И. Елисеева, Н.А. Флуд, М.М.
Юзбашев; Под ред. И.И. Елисеевой.- М.: Финансы и статистика, 2008.- 512 с.
. Мелкумов
Я.С. Социально-экономическая статистика: Учебное пособие / Я.С. Мелкумов. - М.:
ИНФРА-М, 2008. - 236 с.
. Статистика.
Социально-экономическая статистика./А.В. Вангородская, А.М. Грушко, Г.В.
Карпова, И.Н. Нименья, А.Л. Сидоров, А.Э. Сулейманкадиева. Учебное пособие.
СПб., СПбГИЭУ, 2010. 256 с.
. Статистика.
/ Е.А. Андреева и др. Учебное пособие. СПб., СПбГИЭУ, 2011. 258 с.