Анализ менеджмента в ООО 'Тектил'

  • Вид работы:
    Дипломная (ВКР)
  • Предмет:
    Менеджмент
  • Язык:
    Русский
    ,
    Формат файла:
    MS Word
    103,01 Кб
  • Опубликовано:
    2013-11-25
Вы можете узнать стоимость помощи в написании студенческой работы.
Помощь в написании работы, которую точно примут!

Анализ менеджмента в ООО 'Тектил'

1. Теоретические основы управленческого труда руководителя предприятия

1.1 Теоретические основы управленческого труда

Понятие управленческого труда в определенной мере связано с понятием управления как объекта его приложения. Если говорить о том, что любой труд проявляется в двух формах - умственной и физической, то одной из разновидностей умственного труда является труд [21, с. 218].

Под управленческим трудом понимается особый вид трудовой деятельности по выполнению функций управления, назначением которого является обеспечение целенаправленной и скоординированной деятельности трудового коллектива по решению стоящих перед ним задач. По сути это планомерная деятельность работников административно-управленческого персонала, направленная на организацию, регулирование, мотивацию и контроль за работой сотрудников организации. Объектом управленческого труда является сфера его приложения - организация, структурное подразделение, работник. Предметом управленческого труда является информация о состоянии объекта, а решения и действия, необходимые для нормального функционирования этого объекта - это продукт управленческого труда. Трудовая деятельность людей в производстве как предмет управленческого труда может опосредованно выступать в виде информации в ее различных формах. Информация - специфический объект приложения управленческого труда. В связи с этим управленческий труд имеет информационную природу. В нем сочетаются творческие, логические и технические операции, связанные с обработкой информации, а обмен деятельностью между субъектом и объектом управления, между самими субъектами управления носит информационный характер. Следует отметить, что специфика решаемых в сфере менеджмента задач в основном предопределяет преимущественно умственный и творческий характер управленческого труда, в котором постановка целей, выработка способов и приемов их достижения, а также организация совместной деятельности членов организации составляет главный смысл и содержание труда людей, которых относят к управленческому персоналу. Эта категория работников, используя особый предмет труда - информацию и преобразуя ее, вырабатывает и принимает решения, необходимые для изменения состояния управляемого объекта. Поэтому в качестве орудий труда менеджеров выступают прежде всего средства работы с информацией (организационная и вычислительная техника), а результат их деятельности проявляется в управляющих воздействиях (управленческих решениях) и оценивается на основе достижения стоящих перед организацией целей. Достижение цели управления осуществляется путем подготовки и реализации совокупности управляющих воздействий. Управляющее воздействие на коллективы людей, на их трудовую деятельность - это и есть специфический продукт управленческого труда. Основной формой такого воздействия является управленческое решение.

Содержание управленческого труда зависит от его объекта и определяется структурой производственных процессов, приемами труда, его техническим оснащением, а также взаимоотношениями, которые возникают в процессе выполнения управленческих функций. Организация управленческого труда - это система мероприятий, которые направлены на улучшение условий работы и управленческого персонала и рабочей силы, что должно способствовать результативности трудовой деятельности и повышению эффективности производства [11, с. 144-146].

Управленческий труд имеет свои специфические особенности:

. Управленческий труд носит информационный характер, так как трудовая деятельность людей может опосредованно выступать в виде информации в ее различных формах. Результаты труда персонала управления оцениваются не по количеству принятых решение и выпущенных документов, а по их влиянию на деятельность коллектива.

. Управленческий труд - это специфический вид человеческой деятельности, обособившийся в процессе разделения и кооперации общественного труда. Это необходимое условие развития не только общественного производства, но и общества в целом.

. Результаты управленческого труда, как правило, отдалены во времени и пространстве от момента и места его затрат, но в конечном итоге они неотделимы от результатов деятельности всей организации.

. Управленческий труд имеет свои технологические отличия:

-       это специфически выраженный творческий опыт и интуиция;

-       высокий уровень организационных навыков, определяемых продолжительностью работы в аппарате управления и масштабами выполняемой работы.

. Управленческий труд по отношению к конечным результатам производства направлен на управление работниками, которые заняты созданием различных материальных благ или оказанием услуг, и через них - вещественными элементами производства.

. Задачи развития и совершенствования организации руководитель решает в организационном аспекте, воздействуя на людей, которые непосредственно должны их решать. Качество решений, принимаемых менеджерами, зависит не только от их знаний и квалификации, но и от практического опыта, личных качеств, интуиции и здравого смысла [2, с. 381].

Важно знать особенности труда руководителей:

. Работа руководителя не поддается количественному учету.

. Необходимость принятия большого количества решений за короткий период.

. Работа в основном умственная.

. Нелимитированность работы руководителя

. Повышенные нервно-психические усилия руководителя, связанные с постоянным общением с людьми, управлением людьми и принятием ответственных решений.

. Руководитель в течение своего рабочего дня выполняет множество всевозможных операций.

. Работа руководителя не имеет четкого завершения.

По своему характеру труд руководителя, как и сама система управления, включает производственно-экономический, организационно-управленческий и социальный аспекты. Все эти аспекты взаимосвязаны и их реализация направлена на повышение эффективности управленческого труда, а значит и деятельности предприятия [12, с. 429].

Таким образом, управленческая деятельность - это специфическая разновидность трудового процесса, которая характеризуется всеми присущими ему элементами: предметом труда, средствами труда, самим трудом, а также его результатом.

Предметом и продуктом труда в управлении является информация, в результате управленческой деятельности на её основе создаётся решение. Средствами управленческого труда будет всё то, что способствует осуществлений операций с информацией - компьютеры, телефонные разговоры, переписка, деловые встречи.

1.2 Организация управленческого труда

Применительно к труду руководителей, рациональной организацией труда следует считать такую совокупность технических, организационных и санитарно-гигиенических мероприятий, которая основывается на использовании достижений науки и передового опыта, прогрессивных форм хозяйствования, и обеспечивает целесообразное использование рабочего времени, технических средств, производственных и управленческих навыков и творческих способностей каждого члена коллектива; и позволяет наилучшим образом устанавливать и постоянно совершенствовать взаимодействие всех работников между собой, в процессе осуществления функций управления и инженерно-технического обеспечения производства, тем самым, создавая условия для эффективного как индивидуального, так и коллективного труда работников при сохранении их здоровья и работоспособности для улучшения результатов деятельности всего коллектива.

В основе рациональной организации управленческого лежат следующие принципы:

-   принцип комплексности - предполагает, что организация управленческого труда осуществляется не по одному направлению, а по их совокупности;

-       принцип системности - предполагает создание единой системы организации труда, в рамках которой все её составные части согласованы и действуют в интересах эффективного функционирования всей системы;

-       принцип регламентации - предполагает установление и строгое соблюдение определенных правил, положений, указаний, инструкций и других нормативных документов в системе управления;

-       принцип плановости - основан на том, что вся деятельность в области совершенствования управленческого труда должна базироваться на плановых началах, которые обеспечивают рациональное взаимодействие между руководителем персонала;

-       принцип специализации - заключается в закреплении за каждым подразделением определенных функций и работ с возложением на них полной ответственности за конечные результаты их деятельности;

-       принцип заинтересованности, ответственности - реализуется посредством материального и морального стимулирования труда;

-       принцип экономичности состоит в достижении наилучших результатов при наименьших затратах времени и средств;

-   принцип научности - заключается в непрерывном совершенствовании организации управленческого труда на научной основе [22, с. 178-180].

В совокупности мероприятий по эффективной организации управленческого труда огромное значение имеет умение руководителя организовать свой личный труд, от которого в конечном итоге зависят и общие результаты работы коллектива. Рациональная организация рабочего времени руководители обязательно требует учета всех выполняемых им работ, ведь это дает возможность анализировать использование рабочего времени, составлять обоснованные планы личной работы.

Планирование личной работы руководителя - это первое и важное звено в рациональной организации его личной работы. Оно обеспечивает рациональное использование самого ценного достояния - времени. Планирование предполагает установление определенных сроков, как достижения поставленных целей и решения задач, так и проведения мероприятий конкретного содержания, а чем больше времени руководитель затрачивает на планирование работ, тем меньше его уходит на непосредственное решение проблемы, а это тем самым экономит общее время. Таким образом, планирование предполагает постепенное разложение общей задачи на частные, чтобы различные действия можно было распределить во времени. Рекомендуется составлять письменные планы, т. к. они имеют следующие положительные стороны:

-   планы, удерживаемые просто в памяти, проигрывают в обзорности («с глаз долой, из сердца вон») и подвержены частым изменениям;

-       письменное планирование означает разгрузку памяти;

-       письменно зафиксированный план обладает психологическим эффектом самомотивации к деятельности, поэтому действия при осуществлении задач конкретного дня будут более целенаправленными и сориентированными на строгое выполнение запланированного;

-       письменный план помогает меньше отвлекаться (т.е. концентрироваться), а это в свою очередь заставляет выполнять запланированные задания;

-       благодаря контролю за выполнением плана на день, из виду не теряются невыполненные пункты (они переносятся на следующий день);

-       письменный план помогает достичь большего успеха, т. к. позволяет лучше оценить потребность во времени и возможные помехи. Таким образом, можно запланировать «буферное время» для непредвиденных событий.

-       письменные планы, собранные в скоросшивателе, одновременно являются информацией (документацией) о проделанной работе и в определенных случаях могут служить доказательством или протоколом деятельности или бездействия.

Одна из главных проблем многих людей заключается в том, что они стремятся выполнить одновременно слишком много дел. Это таит в себе опасность распыления. В конце напряженного рабочего дня они чаще всего приходят к сознанию того, что, несмотря на большую проделанную работу, важные дела остались невыполненными. Эффективным средством экономии рабочего времени является четкое установление приоритетов в управленческой деятельности и строгое следование им - сначала необходимо решать немногие «жизненно важные» проблемы, потом - многочисленные «второстепенные» [24, с. 255-256].

Производительность управленческого труда находится в прямой зависимости от организации рабочих мест и условий, в которых руководитель проводит основную часть своего рабочего времени. Совершенно очевидно, что чем лучше приспособлено рабочее место для выполнения функций менеджера, тем производительнее и эффективнее будет его работа. Рациональная организация рабочего места обеспечивает создание в управленческой деятельности максимальных удобств и благоприятных условий труда, повышает содержательность и производительность работы. Существуют следующие требования, предъявляемые к организации рабочего места для работников управленческого труда:

) Удобство мебели. Задача состоит в том, чтобы выбрать габариты и форму мебели с учётом антропометрических данных личности и удобно разместить её на рабочем месте. Стоит помнить, что в основе любой планировки рабочего места менеджера лежит деление его кабинета на рабочую зону и зону совещаний (переговоров).

) Наличие средств оргтехники. Обеспечение средствами организационной и вычислительной техники должны быть с учётом требований эргономики (науки, изучающей взаимодействие человека и машины в конкретных условиях), технической эстетики и научной организации труда. От этого зависит содержание выполняемых трудовых операций, темп труда, расстояния и скорость перемещений, эргономические и эстетические условия труда, что является факторами, прямо влияющими на производительность труда.

) Благоприятные санитарно-гигиенические и эстетические условия. В помещении должны быть оптимальными температурный режим, освещение, влажность воздуха, уровни шума, освещённости, цвет мебели и т.д. Нормальными считаются условия труда с температурой воздуха от 17 до 22°С, влажностью не более 75%, скоростью потоков воздуха до 0,3 м/с, уровнем шума 70-90 децибел, освещенностью 100-300 люкс для поточных работ, 1500-5700 люкс для высокоточных работ.

Рациональный режим труда и отдыха. Ненормированный рабочий день управленца делает необходимым установление ему гибкого графика с учётом утомляемости человека. Следует также учитывать естественные фазы биоритмов организма - физическое, психическое и интеллектуальное состояния каждого человека подвержены циклическим колебаниям, т.е. существуют регулярные фазы активности и расслабления. Слишком продолжительная и интенсивная работа не эффективна, так как снижается концентрация внимания и работоспособность. Поэтому следует рассматривать перерывы не как потерю времени, а как время, необходимое для заряда новой энергией. Поэтому следует иметь в виду, что руководитель должен учитывать и планировать не только рабочее, но и свободное время.

Психологами и физиологами установлено, что решение вопросов, требующих интенсивных затрат умственной и физической энергии, следует планировать в дообеденные часы. Менее производительные часы рекомендуется отводить для проведения совещаний, работы над корреспонденцией и т.д. Предполагают, что принимать ответственные решения и вообще браться за какое-либо серьезное дело лучше всего в 11, 17 и в 22 часа - именно в эти часы работоспособность и внимание достигают своей наивысшей точки. План работы руководителя должен быть реальным и не перегруженным, в нем должен содержаться резерв времени для непредусмотренных, случайно возникающих работ (например, один час в день или полдня в неделю) [6, с. 289-291].

Важное место в деятельности управленческого аппарата занимают совещания. Деловые совещания - одна из важнейших форм деятельности руководителя, способ привлечения подчинённых к обмену информацией и выработке управленческих решений по актуальным и наиболее сложным проблемам, возникающим в организации. Достижение целей совещания осуществляется посредством соблюдения его обязательных этапов:

) Подготовка совещания, которая включает:

- формулирование целей и задач совещания (решение о целесообразности и необходимости, главная тема совещания, условия, которым должен отвечать конечный результат);

-       определение ответственных за подготовительную работу (например, создание рабочей группы по подготовке повестки дня, назначение ответственного за ведение протокола, сбор участников и т.п.);

-       составление повестки дня, которая должна включать место проведения, дату, время начала, регламент и длительность совещания, перечень вопросов по предыдущим совещаниям и новые пункты для обсуждения, проект плана действий по всем пунктам, состав участников, применение аудиовизуальных и других технических средств и др.

) Проведение совещания. Совещание необходимо начинать в точно назначенное время. При этом необходимо помнить следующее. Научно доказано, что эффективность совещания зависит от его продолжительности. Чем оно дольше, тем больше снижается работоспособность его участников. Установлено, что оптимальная активность при совместной умственной деятельности большого числа людей продолжается, как правило, 40-45 минут, Затем у многих участников совещания ослабляется внимание, люди меняют позу, начинают разговаривать, падает интерес к обсуждаемым проблемам, возникает шум, движение, разговоры. Такое состояние продолжается около 30 минут, после чего дискуссия вспыхивает с новой силой, но наступает период «отрицательной активности». Он характеризуется тем, что человек становится малоуправляемым, ко всем относится нервозно и недоверчиво. Если же совещание продолжается без перерыва свыше 2 часов, то более 90% участников готовы принять любое предложенное решение, лишь бы заседание скорее закончилось. Во время совещания следует контролировать, как достигаются поставленные цели, анализировать проблему, выдвигать альтернативные решения, искать пути решений, информировать участников и координировать их действия. Также, следует помнить о ведение протокола совещания, документа, на основании которого руководитель вправе требовать от участников выполнения порученных им заданий.

) Принятие решения и подведение итогов совещания. Решение может быть принято простым голосованием большинства голосов; обобщением руководителем выдвинутых предложений с формулировкой конечного решение; как утверждение окончательного варианта обсуждаемого проекта. В конце заседания следует повторить принятые решения, подвести итоги и пояснить, что, кем и к какому времени должно быть выполнено. При подведении итогов совещания необходимо проверить точность протокола.

Регламентация - установление и строгое соблюдение определённых правил, положений, указаний, инструкций, нормативов и других нормативных документов, основанных на объективных закономерностях развития системы управления. При этом выделяется круг вопросов, подлежащих жёсткой регламентации, и вопросы, для которых нужны лишь рекомендации.

Временной фактор является главным при формализации управленческой деятельности в должностные регламенты, именно поэтому среди мер направленных на рационализацию организации управленческого труда, особое место занимает её нормирование. Непосредственной задачей нормирования труда является определение трудоёмкости работ и необходимой для их выполнения численности работников. Без обоснованных норм невозможны рационализация процессов разделения и кооперации труда, разработка прогрессивных технологий, совершенствование методов работы аппарата управления [28, с. 65-67].

Нормирование труда - это вид деятельности по управлению производством, направленный на установление необходимых затрат и результатов труда, а также необходимых соотношений между численностью работников различных групп, количеством групп оборудования. Шабанова Г.П. Повышение производительности и нормирование труда Эта функция показывает воздействие на поведение объекта, четкими и строгими нормами дисциплинирует разработку и реализацию производственных заданий, обеспечивая равномерный и ритмичный ход производства, его высокую эффективность.

Как правило, применяются следующие виды норм:

. Нормы времени. Устанавливают время выполнения одной единицы периодически повторяющихся чётко регламентированных работ и позволяют определить на их основе ежедневные (ежемесячные, ежеквартальные) задания, численность работников и т.д.;

. Нормы выработки. Это величина, обратная норме времени и устанавливает, сколько работ необходимо выполнить в единицу времени;

. Норма обслуживания. Обеспечивает качественное обслуживание данным работником определённого числа участков, оборудования, операций, устанавливается при неравномерной загрузке в различные периоды времени;

. Норма управляемости (диапазон контроля). Это оптимальное число работников, подчинённых одному руководителю, и которым он может эффективно управлять, (определяется способностями руководителя, типом и важностью работы, размещением подчинённых, степенью их мотивации);

. Нормативы численности аппарата управления. Показатели, как правило, укрупнённые - сколько и каких подразделений должно быть;

. Нормативы соотношения численности различных квалификационно-должностных групп работников в организации или подразделении.

Применение нормативов, позволяет определить трудоёмкость и требуемый профессионально-квалификационный состав исполнителей, а следовательно, обоснованно рассчитывать необходимые затраты на оплату труда, необходимую численность персонала и оценку производительности труда.

Расстановка кадров обеспечивает эффективное замещение рабочих мест исходя из результатов комплексной оценки, плановой служебной карьеры, условий и оплаты труда персонала. Расстановка кадров является одним из важнейших составляющих эффективной организации управленческого труда и включает в себя три взаимосвязанные задачи: планирование служебной карьеры исходя из оценки потенциала работника и его личных намерений; определение условий и оплаты труда работника и заключение с ним контракта; обеспечение движения кадров в системе управления (повышение, понижение, выбытие).

Подбор и расстановка кадров занимают особое место в ряду других управленческих функций, и хоть она закреплена за кадровыми службами, однако большой объем работы в этой области ложится и непосредственно на руководителей. Причем чем выше уровень управления, чем ответственнее принимаемые решения. Прежде всего, руководитель должен организовать работу отдела кадров по подбору и расстановке кадров, так как от этого зависит эффективность выполнения принятых руководителем решений. Правильно поставленная научно обоснованная работа с кадрами в организации в значительной степени определяет эффективность всей ее деятельности. Функция подбора и расстановка кадров может успешно осуществляться лишь тогда, когда в решении вопросов о назначении или перемещении работника активное участие принимают его непосредственные руководители, которые должны быть компетентны в этой сфере. Первыми вопросами при этом являются следующие: каких и сколько должностей нужно иметь в принятой структуре, работников каких профессий и сколько. Сведения по этим вопросам можно получить из имеющихся методических указаний, однако многое руководителю приходится решать самому, опираясь на советы специалистов и с учетом конкретных условий. Следующим моментом является определение обязанностей по всем подразделениям и должностям. Важно также обеспечить правильные соотношения между различными категориями управленческого персонала. Как показывают исследования, на предприятиях и в организациях руководители и специалисты, как правило, до 50 и более процентов своего рабочего времени заняты выполнением несвойственных им технических функций. Одной из причин такого положения является нарушение оптимальных пропорций между численностью руководителей и специалистов, с одной стороны, и технических исполнителей - с другой. Поэтому при формировании аппарата управления необходимо обратить особое внимание на оптимальное соотношение между численностью работников различной квалификации, стремясь обеспечить использование каждого работника в соответствии с его квалификацией и личными качествами.

Делегирование полномочий - это передача задач (управленческих или производственных) и полномочий лицу, которое принимает на себя ответственность за их исполнение. Для развития процесса делегирования задач и полномочий существует объективная причина - необходимость разделения труда в организации, что способствует повышению производительности труда и, как следствие, росту экономической эффективности деятельности организации. Полномочия делегируются не индивиду, а должности, занимаемой им. Руководителю необходимо определить свою рабочую нагрузку, чтобы понять, какие задания и полномочия делегировать, и выбрать наиболее подходящего сотрудника. Задачи и полномочия делегируются одновременно - это две стороны одной медали: полномочия (использовать ресурсы и командовать людьми) необходимы работникам для того, чтобы они смогли выполнить свои задачи (задания). Объектом делегирования должны являться рутинная работа, частные вопросы, узкоспециализированная управленческая деятельность, работы, находящиеся на подготовительной стадии [23, с. 354-357].

Таким образом, рационализация управленческого труда предполагает создание таких условий, при которых конечная цель управления достигается с наименьшими затратами труда.

Принципы рациональной организации труда: системность, регламентация, комплексность, специализация, стабильность, целенаправленное творчество

.3 Критерии эффективности управленческого труда

По сравнению с другими видами труда в организации, управленческий труд обладает рядом специфических особенностей, которые выражаются в его характере, цели, предмете, результатах и используемых средствах.

Критерий эффективности управленческого труда - параметр, определяющий результат оценки эффективности данной деятельности.

Количественное выражение критерия управленческого труда в оценках, баллах, денежных единицах - это показатели эффективности управленческого труда.

Различают два основных критерия эффективности управленческого труда: экономический и социальный.

Экономический критерий управленческого труда.

Классической является оценка труда любого специалиста по критерию экономической целесообразности (рентабельности) - расчет в данном случае производится как отношение количества продукции к затратам на нее.

Структуру затрат на управление составляют:

- затраты на оплату труда (заработная плата руководителей и специалистов, технического и обслуживающего персонала, премии);

-       затраты на технику управления (носители информации и предметы управленческого труда, средства превращения обработки информации и оснащения процессов управления, знания, условия труда и пр.);

-       затраты на организацию и обеспечение управления (подготовка и повышение квалификации и кадров управления, мероприятия по совершенствованию управления);

-       затраты на накладные расходы (служебные командировки и передвижения, почтово-телеграфные, телефонные и канцелярские затраты, содержание легкового автомобиля).

Конечным продуктом управленческого труда считается совокупность управленческих решений и влияние, которое они оказывают на объект управления. Специфика управленческого труда состоит в том, что его результаты, как правило, отдалены во времени и пространстве от момента и места его затрат. Они лишь в конечном итоге неотделимы от результатов функционирования всей организации.

Управленческий труд имеет также свои специфические технологические отличия, которые заключаются в следующем.

. Управленческий труд по отношению к конечным результатам производства носит опосредованный характер, т.е. данный вид труда не создает непосредственно потребительскую стоимость, а направлен на управление работниками, занятыми созданием материальных благ или оказанием услуг, и через них вещественными элементами производства.

. В основном этот труд является специфически выраженным творческим, опыт и интуиция играют в нем весьма важную роль.

. Сложность управленческого труда определяется, прежде всего, сложностью самих управленческих функций, степенью самостоятельности их выполнения и повторяемости отдельных элементов процесса труда, уровнем иерархии управления; управленческий труд требует высокого уровня организационных навыков, определяемых продолжительностью работы в аппарате управления и масштабами выполняемой работы.

Экономическая эффективность оценивается по уровню и динамике издержек на тот или иной вид управленческой деятельности. Однако сам факт экономии денег, времени или численности кадров управления будет показателем эффективности лишь в том случае, если качество управления, по крайней мере, не ухудшится. О действительной экономической эффективности управления можно говорить тогда, когда:

- затраты на управление не изменились, а качество управления улучшилось;

-       затраты на управление увеличились, но еще в большей мере улучшилось качество управления.

Наиболее распространенным показателем определения эффективности управления является отношение общего или конечного результата производства к совокупным затратам по управлению. Другой распространенный показатель оценки эффективности управления это отношение общего результата производства к численности работников аппарата управления.

Социальная эффективность управленческого труда.

Эффект управленческой деятельности не сводится только к экономическим результатам. Большое значение имеет и социальный эффект.

Эффективность социального управления можно довольно точно определить и измерить, исследуя цепь «цель-результат-расходы». При сопоставлении результата с расходами ставится задача: показать степень экономичности управления, т.е. дать ответ на вопрос, «ценой каких расходов достигнуто данное приближение к цели». Тогда под эффективностью следует понимать как степень достижения цели, так и степень экономичности расходования ресурсов.

Критериями социальной эффективности труда являются:

-       социально-психологической климат в трудовом коллективе;

-       отношения между сотрудниками;

-       отношение персонала к выполнению должностных обязанностей;

-       удовлетворенность трудом;

-       стремление к творчеству в работе и карьерному росту.

Факторы эффективности управленческого труда.

При анализе факторов эффективности управленческого труда под данным термином понимают условия, существенно влияющие на процесс управления. Выделяют две группы таких условий: внешние и внутренние.

К внешним факторам эффективности управления относятся:

-       социально-экономическая ситуация в обществе;

-       обеспеченность системы управления ресурсами;

-       характер управляющего воздействия вышестоящих инстанций.

К внутренним факторам эффективности управления относятся:

-       рационально организованная структура, имеющая минимальное число уровней и минимальный административно-управленческий персонал;

-       правильное распределение и группирование функций в системе управления;

-       стиль управления и организации совместного труда.

В различных социальных системах роль каждого из этих факторов, разумеется, не одинакова. Например, для управления большими социальными системами необходимы специфические орудия труда надежная система коммуникаций, современная техника и др. Для «низового» руководителя эти средства не нужны, так как он полагается на личное воздействие, на искусство руководить людьми, непосредственно организовывая их труд. Но в том или ином варианте все вышеуказанные факторы присутствуют в целостном управленческом процессе и направлены на его полную реализацию. Руководитель же обязан изучить влияние каждого фактора в отдельности и их воздействие в комплексе на уровень эффективности управления.

Успех или неуспех любого начинания в той или иной мере зависит от деятельности каждого сотрудника системы управления, от каждого из них зависит эффективность работы системы.

Важным критерием управленческого труда является степень воздействия на управляемую подсистему.

Таким образом, оценку управленческого труда можно осуществить по следующим критериям:

- определение затрат, связанных с созданием и функционированием системы управления;

-       определение экономического и социального эффекта, обеспечиваемого системой управления;

-       расчет количества управленческого труда на единицу продукции (на одного сотрудника);

- степень управляемости организации [25, с. 178-180].

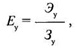
Экономическая эффективность управленческого труда (в расчете за год) определяется по формуле:

 (1)

где Эу - экономический эффект;

Зу - суммарные годовые затраты на управление. Экономический эффект представляет собой приведенную за год сумму экономии на управленческую деятельность:

 (2)

где Эу - экономия i-го вида работ;

Ек - нормативный коэффициент эффективности (0,15); n - число выполняемых работ, в результате которых получена экономия.

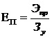
Эффективность управленческого труда выражается показателями производственной деятельности предприятия. Общий вид формулы будет такой:

= Пi / Зу, (3)

где Еyi - экономическая по i-му показателю предприятия; эффективность управления

Пi - результат работы предприятия по i-му показателю.

Управленческий персонал оказывает влияние на сокращение трудоемкости выпускаемой продукции, повышение ритмичности работы, улучшение материально-технического снабжения и обслуживания основного производства, оптимизацию технико-экономического и оперативного планирования, поэтому его экономическую эффективность можно определить по формуле:

 (4)

где Eпр - экономическая эффективность управленческого персонала за счет роста производительности труда;

Пт - производительность труда предприятия.

Управленческий персонал оказывает влияние и на снижение себестоимости выпускаемой продукции, особенно условно-переменных расходов. Это можно выразить следующим образом:

Еуп = Эуп / Зу, (5)

где Еуп - годовая экономическая эффективность за счет снижения условно-переменных расходов в себестоимости;

Эуп - годовая экономия условно-переменных расходов:

Эуп = Эм + Эт + Эз + Эсб + Эн + Эп + Эоб, (6)

где: Эм - экономия от снижения материальных затрат;

Эт - экономия топлива и энергии на технологические нужды;

Эз - экономия заработной платы производственных рабочих;

Эсб - экономия от уменьшения потерь от брака;

Эн - экономия от уменьшения непроизводственных расходов;

Эп - экономия затрат на подготовку и освоение производства;

Эоб - экономия затрат на содержание и эксплуатацию оборудования.

Экономическую эффективность управленческого персонала следует оценивать и по приросту прибыли:

                               (7)

где Еп - экономическая эффективность управленческого персонала;

Эпр - годовая экономия за счет прироста прибыли;

Зу - суммарные годовые затраты на управление.

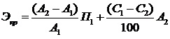
 (8)

где А1, А2 - годовой объем реализуемой продукции соответственно до и после рационализации работ в управлении;

С1, С2 - затраты на 1 рубль реализуемой продукции соответственно до и после рационализации работ в управлении;

П1 - прибыль от реализуемой продукции до рационализации работ в управлении.

Экономию можно определить и в самой сфере управления. Здесь на нее оказывают влияние такие факторы, как снижение трудозатрат управленческого персонала, условное высвобождение работников, сокращение потерь рабочего времени. Экономический эффект от снижения трудоемкости обработки информации исчисляется по формуле:

 (9)

где Т1, Т2 - трудоемкость i-й управленческой процедуры (операции) до и после рационализации работ, человеко-дни;- средняя годовая стоимость одного человеко-дня управленческого персонала;- число процедур (операций).

Улучшение структуры аппарата управления, механизация и автоматизация - важнейшие направления в деятельности предприятия.

Экономический эффект в данном случае рассчитывается следующим образом:

 (10)

где Эч - экономия затрат за счет условного высвобождения работников;

Ф1, Ф2 - фонд рабочего времени в среднем на одного работника соответственно до и после рационализации, ч;

Ч - численность работающих до рационализации, человек;- средняя годовая заработная плата одного работника.

Экономия от сокращения потерь рабочего времени и непроизводительных затрат управленческого персонала определяется по формуле:

 (11)

где В-сокращенные потери и непроизводительные затраты времени в течение рабочего дня, ч;

численность работников, которые сократили потери и непроизводительные затраты, человек;

Ф - годовой фонд рабочего времени одного работника управления, дни;- средняя годовая стоимость одного человеко-часа работника управления.

Как известно, большой ущерб производству наносит текучесть кадров. Деятельность управленческого персонала должна быть направлена на создание оптимальных условий работы и нормального социально-психологического климата в коллективе, организацию труда, удовлетворение личных потребностей работников.

Экономия в результате уменьшения текучести кадров рассчитывается по формуле:

 (12)

где: КЧ1, - фактический коэффициент текучести, %;

КЧ2 - ожидаемый коэффициент текучести, %

среднегодовой ущерб, причиняемый предприятию текучестью кадров (снижение производительности труда в течение двух недель у работников, решивших уволиться; низкая производительность труда у вновь принятых на работу; затраты, связанные с обучением, и др.).

Эффективность управленческого труда можно определить и по таким показателям, как размер выработки на одного работника и величина соотношения затрат на производство и на управление.

Годовая выработка управленческого персонала определяется по формуле:

 (13)

где От.п - годовой объем товарной (валовой) продукции;

Чу - среднесписочная численность управленческого персонала, человек. Эффективность затрат на управление:

 (14)

где Зу - суммарные годовые затраты на управление.

Годовые затраты на управление состоят из заработной платы ИТР и служащих, затрат на материалы, расходов на эксплуатацию средств оргтехники и ЭВМ, накладных и единовременных расходов (приобретение управленческой техники и оборудования, финансирование оргпроектов и т.д.).

Общие годовые расходы на управление производством определяются по формуле

 (15)

Зу - приведенные суммарные годовые затраты на управление;

Зт - годовые текущие затраты;

Ен - нормативный коэффициент эффективности;

Зед - единовременные затраты.

Годовые текущие затраты определяются по формуле:

 (16)

где Зм - затраты на материалы для нужд управления;

Зз - затраты на заработную плату управленческого персонала;

а - коэффициент накладных и прочих расходов.

Накладные расходы состоят из расходов на командировки, содержание транспорта, внедрение изобретений и рационализаторских предложений, охрану труда и т.п.

Единовременные расходы определяются по формуле:

 (17)

где ЗТЕХ - суммарные затраты на приобретаемую для управления технику;

ЗНИР - затраты на проведение НИР, оргпроектирование, разработку мероприятий по совершенствованию работы управления.

Из изложенного видно, что экономическую эффективность управленческого труда можно определить по отношению к любому из множества показателей производственной деятельности, но ни один из них не позволяет оценивать эффективность управления в целом.

В качестве обобщающего критерия экономической эффективности предприятия может выступать функция ограниченного числа важнейших показателей. Он может быть выражен в таком виде:

 (18)

где W - обобщенный критерий экономической эффективности фирмы;

Пп; Ппр; Пуп; Пф - показатели (определители) предприятия (прирост прибыли, производительность труда, условно-переменные расходы, фонд заработной платы).

Таким образом, у любого человека, занятого в сфере управления, есть конкретные функции и обязанности, связанные с реализацией общей цели, но оценить действия каждого с помощью единого обобщенного показателя (критерия) не всегда возможно. В большинстве случаев целесообразнее использовать комплекс показателей, тогда определение эффекта деятельности отдельного сотрудника будет более объективным. Показатели такого рода должны соответствовать основным видам деятельности и функциям управления, отличаться друг от друга и быть независимыми, точно и ясно сформулированными.

Итак, основная цель управления как такового - создание необходимых условий (организационных, технических, социальных, психологических, и других) для реализации задач организации, «установление гармонии» между индивидуальными трудовыми процессами, координация и согласование совместной деятельности работников ради достижения конкретных запланированных результатов.

Управленческий труд - это область деятельности администрации предприятия по формированию рационального поведения работника в интересах дела. Управление трудом является функциональной областью деятельности двух служб предприятия: экономической и административной. Объектом управления трудом является поведение человека в процессе выполнения им своих трудовых обязанностей, а целью - создание у работника максимально заинтересованного, положительного отношения к труду.

Рационализация управленческого труда предполагает создание таких условий, при которых конечная цель управления достигается с наименьшими затратами труда. Она направлена на использование в процессе труда последних достижений науки и техники менеджмента, а также передового управленческого опыта.

Рациональная организация труда аппарата управления базируется на общих принципах - уровне оплаты и стимулирования труда; разделении и кооперации труда; техническом обеспечении и механизации; нормировании труда; благоприятном режиме и хороших условиях труда.

Учитывая специфический характер труда управленческих работников и его неоднозначное влияние на конечные производственные результаты, оценку эффективности следует производить комплексно, выделяя в качестве объектов оценки: совокупного работника; коллектив служащих функционального подразделения; индивидуального работника.

Повышение эффективности труда управленческого персонала и получение конкретных ее оценок - проблемы, от правильного решения которых во многом зависит развитие рыночных отношений в обществе.

2. Анализ результативности процессов управленческого труда в ООО «Тектил»

.1 Организационная характеристика организации

ООО «Тектил» работает в сфере продажных и сервисных услуг в Вологде с 2005 года. Сфера деятельности - кузовной ремонт, окраска автомобилей, продажа автозапчастей для отечественных автомобилей и для иномарок, авторемонт и техобслуживание (СТО).

ООО «Тектил» - это современный техцентр, оборудованный профессиональной техникой для высокоточной диагностики и качественного ремонта автомобилей отечественного и иностранного производства.

Перечень выполняемых работ:

-       компьютерная диагностика, регулировка (профилактика) и ремонт двигателей автомобилей;

-       компьютерная диагностика и ремонт ходовой части автомобилей;

-       диагностика и ремонт автоматических коробок передач;

-       диагностика и ремонт электрических систем автомобилей;

-       весь комплекс по профилактике топливной системы, включая ультразвуковую промывку форсунок;

-       частичная и полная замена масла в АКПП.

Обслуживая автомобиль в данном автосервисе, клиенты получают:

-       гарантию безупречного качества выполненных работ;

-       скидки на установку приобретенных в данном автосервисе запчастей;

-       гибкую систему скидок для постоянных клиентов;

-       информационную поддержку высококвалифицированных мастеров и опытных специалистов.

Помимо вышеперечисленных услуг сервис предлагает качественную установку сигнализации и другого дополнительного оборудования с соблюдением всех стандартов заводов-изготовителей, как автомобиля, так и дополнительного оборудования. Также компания выполняет качественную покраску автомобиля.

ООО «Тектил» имеет всю необходимую техническую документацию, сервисное оборудование (электроподъемники, стенд развал-схождения, стенд шиномонтажный, балансировочный, пост компьютерной диагностики двигателей и т.д.), получен Сертификат на проведение ремонтных работ и технического обслуживания автомобилей.

Миссия технического центра ООО «Тектил» заключается в качественном и быстром техническом обслуживании автомобилей клиентов квалифицированными специалистами с использованием современного технологического оборудования.

Цель деятельности ООО «Тектил» - постоянное совершенствование и развитие фирмы для достижения высокой конкурентоспособности и получения максимальной прибыли.

ООО «Тектил» самостоятельно планирует свою производственную деятельность. Основу планов составляют договоры, заключаемые с потребителями продукции и услуг, а также поставщиками материально-технических и иных ресурсов. ООО «Тектил» имеет гражданские права, несет гражданские обязанности, необходимые для осуществления любых видов деятельности, не запрещенных федеральными законами.

В ООО «Тектил» работает 23 человека. Задача руководства организации заключается в том, чтобы использовать ту структуру, которая наиболее соответствует целям и задачам организации, которая наилучшим образом позволяет взаимодействовать с высшей средой, продуктивно и целесообразно распределять и направлять усилия своих сотрудников и, таким образом удовлетворять потребность клиентов и достигать своих целей наиболее эффективно. Организационная структура управления техцентром представлена в приложении 1.

Как видно из рисунка, руководство организацией осуществляет директор, в линейном подчинении к нему находится заместитель по общим вопросам, контролирующий нижеприведенные функциональные блоки.

В данном случае функциональные структуры подразделения находятся в подчинении главного руководителя. Свои решения они проводят в жизнь либо через главного руководителя, либо непосредственно через соответствующих руководителей подразделения.

Права и обязанности возложены на сотрудников, несущих ответственность за конкретную работу. Рассмотрим должностные обязанности директора техцентра.

Директор ООО «Тектил» в соответствии с Уставом Общества осуществляет:

-  организацию исполнения обязательств Общества, предусмотренных действующим в Российской Федерации законодательством (в том числе законодательством по гражданской обороне, мобилизационной готовности и воинском учете), решениями центральных и местных органов власти, решениями единственного участника Общества, а также хозяйственными и трудовыми договорами, участниками которых является Общество;

-       планирование и руководство текущей хозяйственной и исполнительской деятельностью Общества;

-       формирование производственной программы Общества, выбор деловых партнеров и потребителей его услуг, определение цен на эти услуги;

-       административно - распорядительную деятельность по управлению внутренними делами Общества;

-       организацию бухгалтерского и статистического учета, в том числе выбор учетной политики Общества;

-       наем и увольнение работников от имени Общества, установление условий их работы и отдыха, формы, системы и размеров оплаты их труда, а также других видов их доходов за исключением случаев, определенных настоящим Уставом и отдельными решениями участника Общества, утверждение штатного расписания;

-       разработку и осуществление мероприятий по социальному развитию Общества, улучшению условий труда его работников;

-       организацию ведения делопроизводства, организацию сохранности имущества и документальных свидетельств уставной деятельности Общества;

-       выдачу доверенностей на право представительства от имени Общества, в том числе доверенности с правом передоверия;

-       берет на себя ответственность за состояние мобилизационной подготовки и выполнение заданий на военное время, а также решений вопросов гражданской обороны;

-       иные полномочия, не отнесенные федеральным законом или Уставом Общества к компетенции единственного участника Общества.

Люди, работающие в салоне, очень сильно отличаются друг от друга по многим параметрам: пол, возраст, образование, семейное положение, его способности и т.п. Все эти отличия могут оказывать серьезное влияние как на характеристики работы и поведение отдельного работника, так и на действия и поведение других членов организации.

Результаты анализа рабочего персонала показали, что 100% работников салона - мужчины.

Рис. 2.1 - Численность работников по возрастным группам в ООО «Тектил»

В соответствии с данными, представленными в рисунке 2.1., можно сделать вывод, что в салоне работники в возрасте от 23 до 35 лет составляют 66%, от 35 - 48 лет - 34%.

Оценим состав работников ООО «Тектил» по стажу (рисунок 2.2.).

Рис. 2.2. Структура персонала по стажу ООО «Тектил»

Таким образом, можно сделать вывод, что в салоне большинство (40, 9%) сотрудников, работающих относительно недавно (40, 9%).

Семейные люди составляют 50% работников салона.

Квалификационный уровень работников во многом зависит от их возраста, стажа работы, образования. Проведем анализ уровня образования и квалификации (рисунок 2.3).

Рис. 2.3. - Структура персонала по уровню образования

Образование работников соответствует профилю организации: среднее профессиональное - 23%, незаконченное высшее образование имеют 27%, высшее образование - 36%; прочее образование, в том числе и специальные курсы - 14%.

Таким образом, ООО «Тектил» - это современный техцентр, оборудованный профессиональной техникой для высокоточной диагностики и качественного ремонта автомобилей отечественного и иностранного производства.

Миссия технического центра ООО «Тектил» заключается в качественном и быстром техническом обслуживании автомобилей клиентов квалифицированными специалистами с использованием современного технологического оборудования.

Цель деятельности ООО «Тектил» - постоянное совершенствование и развитие фирмы для достижения высокой конкурентоспособности и получения максимальной прибыли.

В ООО «Тектил» работает 23 человека. Задача руководства организации заключается в том, чтобы использовать ту структуру, которая наиболее соответствует целям и задачам организации, которая наилучшим образом позволяет взаимодействовать с высшей средой, продуктивно и целесообразно распределять и направлять усилия своих сотрудников и, таким образом удовлетворять потребность клиентов и достигать своих целей наиболее эффективно.

Далее будет проведен анализ организации управленческого труда в исследуемом техническом центре.

.2 Анализ системы управления в организации

Проведем анализ управленческих качеств директора ООО «Тектил».

Руководителю коллектива 55 года. Это человек с большим опытом руководительской работы, который прошел все ступени карьерной лестницы до высших руководящих постов. При постановке той или иной задачи он ориентируется, в первую очередь, на уровень зрелости исполнителя либо группы исполнителей. Директор осуществляет текущее руководство деятельностью фирмы, обеспечивает выполнение решений, соблюдает требования устава организации, полностью несет ответственность за результаты работы. Директор ООО «Тектил» обеспечивает выполнение планов экономической деятельности предприятия, нанимает и увольняет работников в соответствии с условиями трудовых договоров и законодательством; распоряжается имуществом и средствами организации. Руководитель в соответствии с правилами внутреннего трудового распорядка принимает меры поощрения и налагает дисциплинарные взыскания, заключает договора. Директор техцентра издает приказы и дает указания, обязательные для исполнения всеми работниками организации.

Система взаимодействий основных подразделений техцентра выражена потоками (информационными, документальными, финансовыми). Положительные стороны взаимодействия:

-       анализируются действия, в результате которых должны быть достигнуты определенные результаты;

-       определяется тот уровень выполнения работ, который директор фирмы с достаточным основанием ожидает от своих сотрудников;

-       устанавливается степень решения каждого аспекта поставленной проблемы.

Понятие «стиль руководства» было введено в социальную психологию К. Левиным в 1947 г. С 1974 г. понятие «стиль руководства» начинает разрабатываться в отечественной психологии В.Ф. Рубахиным и А.Л. Журавлевым, которые разработали методику, ставшую популярной в изучении особенностей стиля деятельности руководителя. Именно эта методика была выбрана, для того чтобы определить стиль руководства в ООО «Тектил».

В анкетировании принимало участие 20 человек. В основном это были сотрудники центра, которые больше общаются с директором.

В таблице 2.1 представлены результаты исследования.

Таблица 2.1 - Результаты исследования

Преобладающий стиль руководства согласно ответам

Количество человек

Соотношение, %

1

2

3

Директивный (авторитарный) - Д

37

74%

Коллегиальный (демократический) - К

9

18%

Либеральный (бюрократический) - Л.

4

8%

Всего:

50

100%


Опрошенные сотрудники больше охарактеризовывали директора центра так:

-       всегда очень строго контролирует работу подчиненных и коллектив в целом;

-       просьбы руководителя не отличаются от приказа;

-       не любит, когда его критикуют, и не старается скрыть этого;

-       отсутствие руководителя не замечается исполнителями;

-       всегда что-нибудь приказывает, распоряжается, наставляет, но никогда не просит;

-       руководитель умеет поддерживать дисциплину и порядок;

-       в присутствии руководителя людям всегда приходится работать с напряжением;

-       иногда руководитель навязывает свое мнение, а говорит, что это мнение большинства;

-       обычно советуется с заместителями и нижестоящими руководителями, но не с рядовыми сотрудниками;

-       о нем можно сказать, что он бывает слишком строгим и даже придирчивым;

-       поддерживая нововведения в сфере производства, с большим трудом меняет характер общения с людьми;

-       большинство вопросов за коллектив решает сам руководитель;

-       увлеченно занимается своим делом и не думает о том, как его оценивают.

Таким образом, можно сделать вывод, что директор ООО «Тектил» обладает авторитарным стилем руководства.

В ООО «Тектил» нет глубокого анализа результатов управленческой деятельности руководителя в коллективе, что является следствием применения авторитарного стиля руководства, а ведь только на их основе анализа деятельности можно сделать широкие обобщения, что явится исходным пунктом действий по совершенствованию стиля и методов работы.

В организации во взаимодействии подразделений отсутствуют оригинальные творческие решения применительно к конкретной ситуации. Это является негативной стороной, так как давно очевиден тот факт, что оригинальность и творчество стимулируют сотрудника, увеличивая тем самым производительность.

Руководитель техцентра строг, ответственен, опытен, действия согласованные и четкие, однако, любая структура постепенно меняется в зависимости от обстоятельств.

Директор предприятия практически находится вне группы, он дает краткие, четкие, деловые распоряжения, его тон неприветлив, его голос решающий. Действия подчиненных строго контролируются, руководитель не дает возможности проявлять им инициативу.

Руководитель очень чувствителен к неуважению и невниманию, проявляет большой интерес к символам статуса власти, внешним признакам успеха и постоянно озабочены тем, какое впечатление он произведет на окружающих. Отсюда их болезненная нетерпимость к критике.

Собеседование с будущими работниками проводит лично сам, очень долго разговаривая с каждым, причём подробно обсуждается как тема прошлых трудовых отношений, так и личная жизнь человека.

Руководитель соблюдает дистанцию в отношениях с подчиненными и информирует их только о тех фактах, которые они обязательно должны знать для выполнения своих задач. Преобладающими методами управления являются приказы, наказания, замечания, выговоры.

В техцентре «Тектил» используют следующие методы управления: административные, экономические, социально-психологические.

Административные методы управления персоналом, применяемые в ООО «Тектил» представлены в табл. 2.2.

Таблица 2.2. - Административные методы управления персоналом, применяемые в ООО «Тектил»

№ п/п

Разновидность метода управления

Краткое описание метода

Конкретные реализации

1.

Организационные воздействия

Основаны на подготовке и утверждении внутренних нормативных документов, регламентирующих деятельность персонала

Устав, Коллективный договор, Правила внутреннего трудового распорядка, Положение о структурном подразделении, организационная структура управления, штатное расписание, должностные инструкции сотрудников

2.

Распорядительные воздействия

Направлены на достижение поставленных целей, соблюдение нормативных документов

Приказы, Распоряжения, Указания, Инструкции, нормирование труда, координация работ, контроль исполнения

3.

Материальная ответственность и взыскания

Выражается в обязанности возместить ущерб, причиненный работником предприятию своим действием или бездействием

Возмещение ущерба, удержание из зарплаты, депремирование

4.

Дисциплинарная ответственность и взыскания

Применяются при нарушении трудового законодательства, неисполнении или ненадлежащее исполнение трудовых, служебных обязанностей.

Замечание, выговор, понижение в должности, увольнение


Трудовая дисциплина - это обязательное для всех работников подчинение правилам внутреннего трудового распорядка, т.е. правилам поведения, определенным в соответствии с Законодательством, локальными нормативными актами деятельности.

Распорядительные воздействия руководства в техцентре «Тектил» выражены в виде приказов, распоряжений, инструкций, положений по производству, обязательных к выполнению работниками производства, направлены на организацию четкой, правильной, отлаженной и бесперебойной работы. К ним относятся:

-       приказы о приеме на работу, переводе внутри организации, увольнения с работы;

-       распоряжения о работе в выходные и праздничные дни при необходимости;

-       присвоение категории и разрядов.

Экономические методы управления занимают ведущее и доминирующее место, они представляют собой способы реализации требований экономических законов путем применения экономических критериев, оценок, рычагов и стимулов и базируются на действии экономических механизмов мотивации и стимулирования активной производственной деятельности.

Среди методов экономического воздействия на персонал техцентра главное место занимает оплата труда, которая обеспечивает связь между результатами труда и его процессом, отражает количество и сложность труда рабочих различной квалификации. Это основной мотив трудовой деятельности и денежный измеритель стоимость рабочей силы.

Заработная плата работникам начисляется и выплачивается за фактически отработанное ими время с периодичностью полмесяца, не позднее 5-го и 20-го числа каждого месяца. При совпадении дня выплаты с выходными или нерабочим праздничным днем, выплата заработной платы производиться накануне этого дня.

Сроки выплаты нерегулярных денежных вознаграждений, компенсаций и иных выплат работникам устанавливаются директором техцентра в соответствии с действующим законодательством.

При предоставлении гарантий и компенсаций соответствующие выплаты производятся в размере и в порядке, оговоренном действующим законодательством РФ.

Премия начисляется на должностной оклад за фактически отработанное время и на доплаты за совмещение профессий (должностей), выполнение обязанностей временно отсутствующего работника, расширение зоны обслуживания и увеличение объема выполняемых работ, приемку смены оперативным персоналом, работу во вредных условиях труда, работу в вечернее время.

Показатели, периодичность выплат и размер премирования зависят от категории работника, наименования подразделения и профессии (должности).

Компенсации выплачиваются в следующих случаях:

-       при направлении в служебные командировки;

-       при совмещении работы с обучением;

-       при вынужденном прекращении работы не по вине работника;

-       при предоставлении ежегодного оплачиваемого отпуска;

-       в некоторых случаях прекращения трудового договора;

-       в связи с задержкой по вине работодателя выдачи трудовой книжки при увольнении работника;

-       в других случаях, предусмотренных Трудовым Кодексом РФ и иными федеральными законами.

Социально-психологические методы управления - это такие способы воздействия на объект управления, которые основаны на использовании социально-психологических факторов и направлены на управление социально-психологическими отношениями, складывающимися в коллективе, для достижения поставленных перед организацией целей.

Положительно на формирование микроклимата внутри организации влияет активное участие сотрудников техцентра во всех мероприятиях, организуемых в ООО «Тектил».

С целью создания новых, сохранения и поддержания лучших трудовых традиций проводятся:

-       праздники ко Дню Победы, Дню защитника отчества, Международному женскому дню, Новому году;

-       молодежные праздники: «День молодой семьи», «День молодежи», «День защиты детей».

Недостатком управленческого труда в ООО «Тектил» является то, что руководитель не в полной мере использует социально-психологические методы.

Психологические методы играют очень важную роль в работе с персоналом, так как направлены на конкретную личность рабочего. Главной их особенностью является обращение к внутреннему миру человека, его личности, интеллекту, чувствам, образам и поведению с тем, чтобы направить внутренний потенциал человека на решение конкретных задач предприятия.

Вследствие того, что руководитель предприятия пренебрегает социально-психологическими методами, в коллективе наблюдается:

-       плохое настроение в коллективе;

-       не доброжелательность;

-       необъективность оценки работы исполнителей;

-       отсутствие единства действий в коллективе;

-       недоверие между членами коллектива;

-       отсутствие взаимопомощи членов коллектива в различных ситуациях;

-       давление руководителей на подчиненных;

-       не достаточная информированность членов коллектива о его задачах и состоянии дел;

-       не доброжелательная критика;

-       наличие в коллективе затянувшихся, дисфункциональных конфликтов;

-       низкая степень взаимопомощи и пр.

Поэтому можно сделать вывод, что стиль руководства ООО «Тектил» не благоприятно влияет на деятельность персонала. Поэтому стиль и методы руководства предприятия нуждается в преобразовании.

Таким образом, можно сделать вывод, что директор ООО «Тектил» обладает авторитарным стилем руководства. Данный стиль руководства имеет свои плюсы, но также имеет недостатки.

Проведенный анализ показал, что применение методов управления персоналом в условиях ООО «Тектил» носит не всегда однозначный характер. Какие-то методы используются чаще какие-то реже или совсем не используются. Следует отметить, что руководство техцентра чаще всего использует хорошо разработанные и привычные административные методы управления, в виде приказов распоряжений инструкций и т.п. С одной стороны это хорошо, так как стандартизированная и четко спланированная работа, как правило, самая эффективная. С другой стороны, на практике, получается иначе, так как сильное влияние на процедуры управления оказывают субъективные факторы.

Именно здесь кроется слабость управленческого труда в техцентре «Тектил». Дело в том, что современные подходы к управлению отличаются использованием именно косвенных методов управления персоналом. Особенный упор делается на экономические методы.

Но еще более слабо проработанными в практике управления в ООО «Тектил» являются методы социально-психологического воздействия на персонал. Они не систематизированы, нигде не заявлены в качестве основных и, вообще, редко используются.

Далее проведем оценку эффективности управленческого труда в техническом центре «Тектил».

.3 Оценка эффективности управленческого труда

Руководитель ООО «Тектил» своим работникам ставит краткосрочные цели, такие как:

-       уменьшение постоянных и переменных расходов на 15% в месяц;

-       увеличение объема продаж в месяц на 10%;

-       увеличение клиентской базы на 5% в месяц.

Исходя из этого, эффективность деятельности руководителя отражается на финансовых результатах фирмы. В таблице 2.3. представлены показатели деятельности предприятия за 2011-2012 год.

Таблица 2.3. - Анализ основных показателей деятельности фирмы ООО «Тектил» за 2011-2012 год.

Показатели (тыс. руб.)

2011 г.

2012 г.

Отклонение (+ -)

Тр%

1

2

3

4

5

Выручка от продаж

24061

48102

24041

199,9

Уровень себестоимости%

91,46

89,32

-2,14

-

Валовая прибыль

2054

5137

3083

250,1

Уровень валовой прибыли%

8,549

10,68

2,14

-

Управленческие расходы

-635

-416

-1051

-65,5

Уровень управленческих расходов

7,20

6,34

-0,86

-

Прибыль от продаж

322

2087

1765

648,1

Уровень прибыли от продаж

1,34

4,34

3

-

Прочие расходы

34

107

73

314,7

Прибыль доналогооблажения

288

1980

1692

687,5

Налог на прибыль

-

546

-

-

Чистая прибыль

253

1434

1181

566,8

Уровень чистой прибыли

1,05

2,98

1,93

-


На основе произведенных расчетов можно сделать следующий вывод: выручка от продажи товаров, работ, услуг в 2012 году по сравнению с 2011 годом увеличилась на 99,9%, что в сумме составило 24041 тыс. руб.

Сумма валовой прибыли увеличилась на 3083 тыс. руб., а ее уровень повысился на 2,14%.

Финансовым результатом деятельности фирмы ООО «Тектил» в 2012 г. является: прибыль в сумме 2087 тыс. руб., т.е. по сравнению с прошлым годом прибыль от продаж увеличилась в 6,5 раз или на 1765 тыс. руб.

Прибыль до налогообложения составила 1980 тыс. руб., т.е. увеличилась в 6,9 раз или на 1692 тыс. руб.

Чистая прибыль возросла на 1181 тыс. руб., а ее уровень - на 1,93%.

На увеличение чистой прибыли оказали влияние следующие факторы:

. увеличение выручки на 24041 тыс. руб.;

. увеличение чистой прибыли на 322,2 тыс. руб.;

. сокращение уровня управленческих расходов на 0,86%;

В целом можно сказать, что деятельность организации рентабельна.

Рассчитаем производительность труда в фирме ООО «Тектил» (таблица 2.4.).

Таблица 2.4. - Анализ экономических показателей фирмы

Показатели

2007 год

2008 год

Темп роста; в%

Отклонение; тыс. руб.

Оборот от продажи; тыс. руб.

24061

48102

199,9

24041

Прибыль; тыс. руб.

288

1980

687,5

1692

Производительность труда; тыс. руб.

776

1551

199,8

775


Таким образом, проанализировав таблицы 2.3. и 2.4. можно сказать следующее: прибыль от продаж увеличилась в 6,5 раз или на 1765 тыс. руб. это означает, что фирма заняла устойчивое положение на рынке, и, не смотря на большое число конкурентов, получает хорошую прибыль.

Проведем анализ оплаты труда и примерирования сотрудников (табл. 2.5.).

Таблица 2.5. - Оплата труда и премирование работников (2009-2011 гг.)

Показатели

Ед. изм.

2009

2010

2011

1

2

3

4

5

1) Фонд заработной платы, всего

тыс. руб.

74610

93330

270440

2) Среднемесячная заработная плата (не включая премии и вознаграждения):

руб.

16 000

18 000

19 000

3) Средний размер премий и вознаграждений:

руб.

3 000

3 500

4 000


По данным таблицы 2.5. видно, что средняя заработная плата за 2 года увеличилась на 3000 руб., а размер премии на 1000 руб., что положительно влияет на работу персонала салона.

Используя экономические методы воздействия, руководство ООО «Тектил» старается повысить качество предоставляемых услуг и повысить прибыльность: своевременно индексируется заработная плата с учетом инфляции и увеличения объемов производства, происходит премирование персонала в зависимости от выполнения (перевыполнения) плана, выплачивается материальная помощь работникам с учетом его личности и различных ситуаций.

В таблице 2.6. представлена динамика численности персонала в ООО «Тектил».

Таблица 2.6. - Динамика численности персонала в ООО «Тектил»

Показатель

Величина


2011

2012

1

2

3

Плановая численности персонала

24

23

Среднесписочная численность персонала

21

22

Нехватка персонала

-3

-1

Количество принятого персонала

2

3

Количество уволившихся работников

4

2

Количество уволившихся по собственному желанию и за нарушение трудовой дисциплины

3

2

Количество работников, проработавших весь год

15

16

Коэффициент текучести

14,2

9

Коэффициент оборота по приему

0,09

0,13

Коэффициент оборота по выбытию

0,19

0,09

Коэффициент постоянства состава

0,71

0,72


По данным таблицы 2.6., видно, что произошли изменения во всех показателях. Но можно сделать вывод, что уровень текучести кадров в ООО «Тектил» не превышает допустимый уровень.

Основная причина ухода из ООО «Тектил» - это нестабильная зарплата, недостаточная мотивация персонала, отсутствие карьерного роста.

Итак, учитывая сферу ответственности руководителя техцентра, определим критерии для оценки эффективности его труда:

1.    Наличие стратегического плана фирмы;

2.      Наличие краткосрочного плана;

.        Выполнение планов;

.        Количество привлечённых поставщиков;

.        Количество привлечённых покупателей;

.        Количество делегированных управленческих задач;

.        Наличие системы оценки персонала фирмы;

.        Наличие связи между системой оценки и мотивацией персонала фирмы.

В процессе наблюдения был проведен анализ эффективности управленческого труда руководителя по вышеперечисленным критериям. Результаты анализа представлены в таблице 2.7.

Таблица 2.7. - Оценка эффективности труда руководителя ООО «Тектил»

Показатели

Фактические результаты

Наличие стратегического плана

-

Наличие краткосрочного плана

+

Выполнение плана по прибыли от продаж

+

Наличие системы оценки персонала

-

Контроль за выполнением управленческих решений

-


Далее проведем процедуру экспертной диагностики среды, позволяющей описать основные тенденции ее развития, сформулировать базовые гипотезы о перспективах деятельности организации и определить поле альтернативных направлений ее дальнейшего развития, а именно проведем SWOT - анализ. Матрица возможностей и угроз внешней среды, сильных и слабых сторон ООО «Тектил» представлена в таблице 2.8.

Таким образом, анализируя систему управления в ООО «Тектил», были выявлены сильные и слабые стороны.

Сильные стороны: определены цели и задачи деятельности фирмы, закреплены функциональные обязанности, ответственность, дисциплина.

Таблица 2.8 - SWOT - анализ ООО «Тектил»

Сильные стороны 1. Стабильное положение на рынке 2. Разумная ценовая политика 3. Разнообразие услуг 4. Высококвалифицированный персонал 5. Высокое качество товара 6. Хорошее впечатление, сложившееся о фирме у покупателей

Возможности 1. Рост уровня жизни населения, повышение платежеспособности потребителей 2. Появление молодого квалифицированного персонала 3. Увеличение доли рынка 4. Расширение ассортимента товара и услуг

Слабые стороны 1. Пассивная рекламная компания 2. Низкий уровень организационной культуры 3. Отсутствие долгосрочного плана

Угрозы 1. Жесткая конкуренция на данном рынке 2. Возникновение новых потребностей клиентов в более совершенных услугах, технологиях


У фирмы ООО «Тектил» имеется более ста конкурентов. Фирма выдерживает такое число конкурентов за счет квалифицированного персонала, качественной работы.

К недостаткам управленческого труда можно отнести:

-       отсутствие долгосрочного плана;

-       отсутствие системы оценки персонала;

-       нет контроля за выполнением управленческих решений;

-       не в полной мере использование социально-психологических методов мотивации;

-       стиль руководства не благоприятно влияет на деятельность персонала.

Поэтому стиль и методы управленческого труда в ООО «Тектил» нуждаются в преобразовании.

Итак, в конце данной главы сделаем необходимые выводы.

ООО «Тектил» - это современный техцентр, оборудованный профессиональной техникой для высокоточной диагностики и качественного ремонта автомобилей отечественного и иностранного производства.

Миссия технического центра ООО «Тектил» заключается в качественном и быстром техническом обслуживании автомобилей клиентов квалифицированными специалистами с использованием современного технологического оборудования.

Цель деятельности ООО «Тектил» - постоянное совершенствование и развитие фирмы для достижения высокой конкурентоспособности и получения максимальной прибыли.

В ООО «Тектил» работает 23 человека. Задача руководства организации заключается в том, чтобы использовать ту структуру, которая наиболее соответствует целям и задачам организации, которая наилучшим образом позволяет взаимодействовать с высшей средой, продуктивно и целесообразно распределять и направлять усилия своих сотрудников и, таким образом удовлетворять потребность клиентов и достигать своих целей наиболее эффективно.

Директор ООО «Тектил» обладает авторитарным стилем руководства. Данный стиль руководства имеет свои плюсы, но также имеет недостатки.

Проведенный анализ показал, что применение методов управления персоналом в условиях ООО «Тектил» носит не всегда однозначный характер. Какие-то методы используются чаще какие-то реже или совсем не используются. Следует отметить, что руководство техцентра чаще всего использует хорошо разработанные и привычные административные методы управления, в виде приказов распоряжений инструкций и т.п. С одной стороны это хорошо, так как стандартизированная и четко спланированная работа, как правило, самая эффективная. С другой стороны, на практике, получается иначе, так как сильное влияние на процедуры управления оказывают субъективные факторы.

Именно здесь кроется слабость управленческого труда в техцентре «Тектил». Дело в том, что современные подходы к управлению отличаются использованием именно косвенных методов управления персоналом. Особенный упор делается на экономические методы.

Но еще более слабо проработанными в практике управления в ООО «Тектил» являются методы социально-психологического воздействия на персонал. Они не систематизированы, нигде не заявлены в качестве основных и, вообще, редко используются.

Анализируя эффективность управленческого труда в ООО «Тектил», были выявлены сильные и слабые стороны.

Сильные стороны: определены цели и задачи деятельности фирмы, закреплены функциональные обязанности, ответственность, дисциплина.

У фирмы ООО «Тектил» имеется более ста конкурентов. Фирма выдерживает такое число конкурентов за счет квалифицированного персонала, качественной работы.

К недостаткам управленческого труда можно отнести:

-       отсутствие долгосрочного плана;

-       отсутствие системы оценки персонала;

-       нет контроля за выполнением управленческих решений;

-       не в полной мере использование социально-психологических методов мотивации;

-       стиль руководства не благоприятно влияет на деятельность персонала.

Поэтому стиль и методы управленческого труда в ООО «Тектил» нуждаются в преобразовании.

3. Разработка предложений по совершенствованию управленческого труда в ООО «Тектил»

3.1 Проблемы организации управленческого труда в ООО «Тектил»

Основными проблемами, выявленными в ходе оценки уровня организации труда управленческого персонала являются:

. отсутствие долгосрочного плана. Оправдывая отсутствие долгосрочных планов руководство ООО «Тектил» зачастую ссылаются на полную непредсказуемость ситуации в стране. Однако, особая «непредсказуемость» российской действительности - это миф.

2. отсутствие системы оценки персонала, но управлять персоналом - это, прежде всего, разумно, систематически, целесообразно, последовательно воздействовать на работника с целью вызвать его на активность с определенными показателями качества и интенсивности. Воздействие такого рода, исходящее от руководства, и есть оценка персонала. Оценка персонала тесно увязана практически со всеми кадровыми процессами: при подборе, найме и расстановке кадров, продвижениях работников, обучения и создания резерва на руководящую работу, оплаты труда, высвобождения. Объективная, построенная на научной основе, оценка персонала представляет собой определенную систему, позволяющую выполнять регулятивную и контрольную функции в отношении персонала организации.

. отсутствие контроля за выполнением управленческих решений. Принятие решений является важной частью любой управленческой деятельности. Эффективность управления во многом обусловлена качеством таких решений. В решениях фиксируется вся совокупность отношений, возникающих в процессе трудовой деятельности и управления организацией. Анализ и контроль выполнения решения - это встраивание в решение механизма получения информации о ходе выполнения решения. Основой такого механизма должна стать система обнаружения ошибок и достижений в действиях по выполнению решения. Когда система такого отслеживания отклонений работает эффективно, тогда проблемы в выполнении решений могут быть предотвращены до того, как они проявятся.

. не в полной мере использование социально-психологических методов мотивации. Зная особенности поведения, характера каждого отдельного человека, можно прогнозировать его поведение в нужном для коллектива направлении. Это связано с тем, что каждой группе свойствен свой психологический климат. Поэтому существенным условием образования и развития трудовых коллективов является соблюдение принципа психофизиологической совместимости. Таким образом, необходимость использования в практике управления организацией социально-психологических методов руководства очевидна.

. стиль руководства не благоприятно влияет на деятельность персонала. Эффективность управленческой деятельности во многом зависит от руководителя, от его способностей. Основным показателем эффективности труда руководителя как организатора и воспитателя является результаты труда коллектива в целом и каждого члена в отдельности. Они измеряются различными производственно-экономическими показателями, на которые сказывают влияние технические, экономические и организационные решения. Лучший стиль руководства тот, который ориентирован на реальность. «Эффективным» считается тот стиль руководства, который изменяется в зависимости от ситуации. Эффективным является руководитель, который может приспособить принципы руководства к текущим нуждам производства, с учетом непредвиденных ситуаций.

Таким образом, успешная работа той или иной организации складывается из нескольких факторов и, прежде всего, из слаженного и грамотно выстроенного взаимодействия сотрудников и начальства. При этом большая часть ответственности за последнее лежит на плечах руководства. Поэтому далее будут предложены направления совершенствования системы управления в ООО «Тектил».

3.2 Направления совершенствования системы управления в организации

Главной задачей руководителя ООО «Тектил» является достижение целей организации путем умножения своих интеллектуальных и физических сил на коллективные усилия его подчиненных. Современное развитие общества показывает, что успешная деятельность организации во многом зависит от умелого и грамотного руководства.

К направлениям совершенствования управленческого труда можно отнести:

-       разработку механизма эффективного управленческого взаимодействия между руководителями и подчиненными;

-       совершенствование процессов формирования управленческого потенциала в организации;

-       совершенствование организационных процессов управленческого труда в организации;

-       совершенствование мотивационного процесса управленческого труда в организации.

Далее предложим мероприятия по совершенствованию управленческого труда.

Совершенствование стиля управления реальная необходимость для каждого руководителя, которая реализуется через требовательность к себе, самокритичность, профессионализм и проявление постоянных усилий по совершенствованию личностных качеств. Руководители, которые имеют неадекватную самооценку рискуют остаться непонятыми подчиненными как личность, поскольку авторитет руководителя во многом зависит от стиля и методов управления.

Идеальной формой управления служебным коллективом для исследуемой организации является комплексная форма руководства.

Директор ООО «Тектил» использует авторитарный стиль руководства. У этого стиля есть сильные и слабые стороны, но в данном случае придерживаться одним стилем руководства будет не выгодным, так как человеческие ресурсы будут использованы не полностью. Лучшим выходом из положения будет сочетание демократического стиля и авторитарного. Комбинирования данных стилей руководства приведет к улучшению связей между начальником и подчинёнными. Она предполагает проявления жесткости и демократизма в нужной пропорции в зависимости от ситуации.

С авторитарными методами управления, если не производить переход к демократизму могут нарушиться основные условия, необходимые для формирования коллектива, способного выполнять социализирующие функции.

Таким образом, руководителю ООО «Тектил» следует обратить внимание на следующие личностно-деловые и профессиональные качества:

. оперативное руководство;

. ведение деловых бесед;

. вежливость и тактичность;

. предприимчивость;

. преданность делу;

. работоспособность;

. быстрая реакция;

. честность и порядочность;

. самообладание и сдержанность и др.

При проведении исследований было выявлено, что в ООО «Тектил» на настоящий момент личности человека уделяется недостаточно внимания, как этого требуют современные тенденции развития организации и общества. Работа с персоналом ведется на недостаточно высоком уровне и необходимы меры, которые позволят изменить ситуацию.

Социально-психологические аспекты взаимодействия между руководителем и подчиненным являются одним из решающих факторов в данной проблеме. Потому как в основе нового подхода лежит управление персоналом именно при помощи психологических и социальных методов.

Для того чтобы повысить эффективность применения руководством социально-психологических методов управления персоналом можно предложить такое мероприятие, как создание документа «Права и гарантии предприятия».

Разработка документа «Права и гарантии предприятия» позволит рассматриваемой фирме не просто достичь цели повышения эффективности социально-психологического управления, но и создать документацию, регламентирующую социально-психологическую сферу отношений персонала организации. Реализация данного решения себя оправдывает, потому как имеет множество преимуществ не только для предприятия в целом, но и для каждого человека в отдельности, который помимо того, что является членом коллектива этой организации, еще и представляет собой индивида со своими собственными интересами и потребностями.

Также можно разработать программу снятия психо-эмоционального напряжения (например, обучение сотрудников навыкам саморегуляции в условиях профессионального стресса; функционирование комнаты психологической разгрузки и т.п.).

Успех предпринимательской деятельности организации ООО «Тектил» предопределяется в первую очередь тем, насколько тщательно продуманы и определены цели бизнеса и средства их достижения. Планирование особенно важно для оптимизации решений, поскольку предполагает системность в работе. Принятие правильных управленческих решений, обеспечение их эффективности в условиях рынка невозможны без использования планирования. Не случайно планирование считается одной из ключевых функций менеджмента. Планирование выступает как совокупность действий, таких как исследование, анализа и других осуществляемых с целью определения комплекса решений, направленных на достижение поставленных организацией целей.

Поэтому в ООО «Тектил» руководителем должен быть разработан стратегический план развития. Данный план должен быть составлен с перспективой на 5 лет и представлен сотрудникам для изучения.

Ранее было выявлено, что в ООО «Тектил» отсутствует система оценки работы персонала, что является отрицательным показателем.

Оценка результатов деятельности требует, чтобы руководитель ООО «Тектил» собирал информацию о том, насколько эффективно каждый работник выполняет делегированные ему обязанности. Сообщая эти сведения своим подчиненным руководитель должен информировать их о том, как хорошо они справляются со своей работой и дает им возможность исправить свое поведение, если оно не соответствует принятому. Вместе с тем, оценка результатов деятельности позволит руководству техцентра определить наиболее выдающихся работников и реально поднять уровень их достижений, переводя их на более привлекательные и ответственные должности.

Также система оценки труда персонала должна быть тесно связана с системой мотивации. Вначале труд оценивается, а затем стимулируется в зависимости от его уровня и качества. Более качественный труд должен быть более оплачиваемым, а способные специалисты должны продвигаться по иерархической лестнице (делать карьеру). Если этот процесс не будет осуществляться, то сотрудники организации, достигнув определённый уровень профессионального образования будут искать более выгодный вариант работы, где их труд оценят соответствующим образом.

Одним из недостатков управленческого труда в ООО «Тектил» является отсутствие контроля выполнения управленческого решения.

Процесс принятия управленческого решения должен включать в себя следующие этапы:

-     выработку и постановку цели;

-       изучение проблемы на основе получаемой информации;

-       выбор и обоснование критериев эффективности (результативности) и возможных последствий принимаемого решения;

-       обсуждение со специалистами различных вариантов решения проблемы (задачи);

-       выбор и формулирование оптимального решения;

-       принятие решения;

-       конкретизацию решения для его исполнителей.

На каждое управленческое решение должна заводиться контрольная карточка (приложение 4), в которой указывается само решение, исполнитель, срок исполнения, а затем фиксируется дата фактического выполнения задания.

Анализ выполнения управленческих решений подразумевает подсчёт на конец отчётного периода общего числа решений, и числа выполненных решений. Далее выводится процент выполнения управленческих решений. Данный показатель характеризует качество контроля со стороны руководителя за ходом работы всей организации.

Эффективность работы с персоналом во многом определяется возможностью побуждения работников к активной и производительной трудовой деятельности. Эта сторона работы с персоналом традиционно связывается со стимулированием.

С целью повышения заинтересованности работников в результатах труда, можно предложить внедрить КТУ (коэффициент трудового участия).

Сводный коэффициент оплаты труда рассчитывается как сумма слагаемых коэффициентов

Кот = Ккол. + Ккач. +Квклад. + Кобр. + Кдисц.,

где Кот - коэффициент оплаты труда;

Ккол. - коэффициент количества, учитывающий объем индивидуальной работы, выполненной работником за месяц;

Ккач. - коэффициент, учитывающий качество выполненной работы;

Квклад.-коэффициент, учитывающий трудовой вклад работника в общий бюджет рабочего времени коллектива за месяц;

Кобр. - коэффициент, учитывающий уровень образования работника;

Кдисц. - коэффициент, учитывающий трудовую дисциплину работника.

В течение месяца директор фирмы сможет вести учет всех видов трудовой деятельности работника. Параллельный учет может вести и сам работник для того, чтобы по окончании месяца можно было самому проверить и рассчитать коэффициент оплаты труда

Управление любой организацией подразумевает решение множества задач. Если руководитель ООО «Тектил» будет всё решать сам, то у него не останется времени на осуществление других управленческих функций. Поэтому, умение руководителя переложить часть управленческих задач на других исполнителей является хорошим показателем эффективности труда руководителя. Делегирование должно осуществляться в зависимости от компетенции работников, на которых перекладывается выполнение той или иной задачи. Например, задача по поиску новых клиентов должна делегироваться менеджерам.

На основе совершенствования делегирования, следует разработать предложения по совершенствованию организации труда и улучшению использования рабочего времени (таблице 3.1.).

Таблица 3.1. План мероприятий по улучшению использования рабочего времени

Раздел плана

Наименование мероприятий

Какие меры по улучшению нужны

Вид контроля

1

2

3

4

1 Разделение и кооперация труда

Сокращение времени работы рекомендательного характера

Проведение системы мероприятий по делегированию полномочий менеджерам

Постоянно

2 Организация нормирования труда

2.1 Сокращение времени подготовительно-заключительной работы 2.2 Потери рабочего времени, зависящие от работника

Передать обязанность составление рабочего плана на заместителя директора, также перепоручить часть формальной переписки Провести наблюдение и определить время наименее интенсивного движения в течение рабочего дня и перенести служебные разъезды на это время

Постоянно

3 Организация рабочих мест и создание благо-приятных условий труда

3.1 Совершенствование компьютеризации рабочего места руководителя 3.2 Увеличение времени отдыха в течении рабочего дня для оптимизации состояния здоровья в процессе осуществления работы

Оснащение кабинета руководителя новейшим компьютерным оборудованием, обладающим широким пакетом поисковых программ, баз данных и прочего программного обеспечения Для соблюдения режима труда необходимо улучшать условия труда руководителя, провести анализ и аттестацию рабочего места (удобная мебель, совер-шенная техника, полноценное питание и отдых в обеденные перерывы)

Один раз в год   Постоянно


Согласно представленному плану мероприятий по улучшению использования рабочего времени руководителя предлагается, например, передать обязанность составление рабочего плана заместителя директора, также перепоручить на него и часть формальной переписки.

Или, например, для сокращения потерь рабочего времени, которые зависят от работника, предлагается провести наблюдение и определить время наименее интенсивного движения в течение рабочего дня и перенести служебные разъезды директора на это время. Кроме того, целесообразным представляется увеличение отдыха руководителя до 30 минут, что позволит повысить общую интенсивность труда руководителя отдела продаж. Ожидаемая общая экономия времени от предложенных мероприятий составит 1 час 8 минут (или 68 минут).

Определим влияние реализации предлагаемых мероприятий по совершенствованию организации труда и улучшению использования рабочего времени директора ООО «Тектил» на повышение эффективности его труда (Пэ):

Пэ = экономия времени / основное фактическое время х 100%, (1)

Основное фактическое время - это время основной работы равно 540 минутам.

Пэ = 68/459 х 100% = 14,8%.

Таким образом, реализация предлагаемых мероприятий по совершенствованию организации труда по направлению экстенсивности использования рабочего времени, фактически повысит эффективность труда руководителя на 14,8%.

При этом стоит отметить, что путём такой экономии увеличивается время отдыха руководителя в течение дня, что также будет способствовать эффективности труда.

Можно сделать вывод о том, что управление временем касается в большей степени организации рабочего времени, чем его экономии. Руководитель ООО «Тектил» должен стремиться к правильному распределению времени, исходя из личных интересов и интересов бизнеса. Нужно так использовать время, чтобы обеспечить выполнение максимального числа задач, которые в свою очередь обуславливают выполнение промежуточных задач, ведущих к реализации основной цели. Свои собственные планы времени руководитель техцентра должен согласовывать с планами подчиненных и непосредственного руководителя, чтобы достичь максимального эффекта. То, насколько успешно руководитель будет претворять в свою работу принципы эффективного использования времени, зависит в первую очередь от него самого и от его желания работать рационально. Так как для того, чтобы путем постановки ясных целей, правильного выбора приоритетов и планирования своего времени, добиться большей эффективности в работе, нужно приложить определенные усилия и затратить немного времени.

Таким образом, проведение этих мероприятий в фирме ООО «Тектил» позволит повысить эффективность руководства.

Итак, главной задачей руководителя ООО «Тектил» является достижение целей организации путем умножения своих интеллектуальных и физических сил на коллективные усилия его подчиненных.

Для директора ООО «Тектил» были разработаны мероприятия по совершенствованию управленческого труда.

. Совершенствование стиля управления. Идеальной формой управления служебным коллективом для исследуемой организации является комплексная форма руководства. Лучшим выходом из положения будет сочетание демократического стиля и авторитарного.

. Работа с персоналом ведется на недостаточно высоком уровне и необходимы меры, которые позволят изменить ситуацию. Для того чтобы повысить эффективность применения руководством социально-психологических методов управления персоналом можно предложить такое мероприятие, как создание документа «Права и гарантии предприятия».

Разработка документа «Права и гарантии предприятия» позволит рассматриваемой фирме не просто достичь цели повышения эффективности социально-психологического управления, но и создать документацию, регламентирующую социально-психологическую сферу отношений персонала организации.

Решение по разработке документа «Правила и гарантии» позволит повысить эффективность коммуникаций на предприятии, как на вертикальном, так и на горизонтальном уровнях, позволит достичь взаимопонимания в коллективе и снизят вероятность возникновения конфликтов. Соблюдение правил гарантирует успех и благополучие во взаимоотношениях персонала и в итоге эффективное развитие предприятия.

. В ООО «Тектил» руководителем должен быть разработан стратегический план развития. Данный план должен быть составлен с перспективой на 5 лет и представлен сотрудникам для изучения.

. В ООО «Тектил» должно быть примерно 70% делегированных задач от их общего числа. Управление временем касается в большей степени организации рабочего времени, чем его экономии. Руководитель ООО «Тектил» должен стремиться к правильному распределению времени, исходя из личных интересов и интересов бизнеса.

. Оценка персонала: нужно чтобы руководитель ООО «Тектил» собирал информацию о том, насколько эффективно каждый работник выполняет делегированные ему обязанности. Сообщая эти сведения своим подчиненным руководитель должен информировать их о том, как хорошо они справляются со своей работой и дает им возможность исправить свое поведение, если оно не соответствует принятому.

. Контроль за выполнением управленческих решений. На каждое управленческое решение должна заводиться контрольная карточка, в которой указывается само решение, исполнитель, срок исполнения, а затем фиксируется дата фактического выполнения задания.

. С целью повышения заинтересованности работников в результатах труда, можно предложить внедрить КТУ (коэффициент трудового участия).

Все советы носят рекомендательный характер и важно учитывать реальные условия, в которых работает руководитель. При организации работы необходимо учитывать все нюансы во всем объеме и тесной взаимосвязи.

Заключение

Управленческий труд - это специфический вид человеческой деятельности, обособившийся в процессе разделения и кооперации общественного труда. Это обособление является объективно необходимым условием развития не только общественного производства, но и общества в целом. По сравнению с другими видами труда в организации, управленческий труд обладает рядом специфических особенностей, которые выражаются в его характере, цели, предмете, результатах и используемых средствах.

Рационализация управленческого труда предполагает создание таких условий, при которых конечная цель управления достигается с наименьшими затратами труда. Она направлена на использование в процессе труда последних достижений науки и техники менеджмента, а также передового управленческого опыта.

Рациональная организация труда аппарата управления базируется на общих принципах - уровне оплаты и стимулирования труда; разделении и кооперации труда; техническом обеспечении и механизации; нормировании труда; благоприятном режиме и хороших условиях труда.

Учитывая специфический характер труда управленческих работников и его неоднозначное влияние на конечные производственные результаты, оценку эффективности следует производить комплексно, выделяя в качестве объектов оценки: совокупного работника; коллектив служащих функционального подразделения; индивидуального работника.

Повышение эффективности труда управленческого персонала и получение конкретных ее оценок - проблемы, от правильного решения которых во многом зависит развитие рыночных отношений в обществе.

В данной дипломной работы было проведено исследование на примере ООО «Тектил».

ООО «Тектил» - это современный техцентр, оборудованный профессиональной техникой для высокоточной диагностики и качественного ремонта автомобилей отечественного и иностранного производства.

Миссия технического центра ООО «Тектил» заключается в качественном и быстром техническом обслуживании автомобилей клиентов квалифицированными специалистами с использованием современного технологического оборудования.

Цель деятельности ООО «Тектил» - постоянное совершенствование и развитие фирмы для достижения высокой конкурентоспособности и получения максимальной прибыли.

В ООО «Тектил» работает 23 человека. Задача руководства организации заключается в том, чтобы использовать ту структуру, которая наиболее соответствует целям и задачам организации, которая наилучшим образом позволяет взаимодействовать с высшей средой, продуктивно и целесообразно распределять и направлять усилия своих сотрудников и, таким образом удовлетворять потребность клиентов и достигать своих целей наиболее эффективно.

Директор ООО «Тектил» обладает авторитарным стилем руководства. Данный стиль руководства имеет свои плюсы, но также имеет недостатки.

Проведенный анализ показал, что применение методов управления персоналом в условиях ООО «Тектил» носит не всегда однозначный характер. Какие-то методы используются чаще какие-то реже или совсем не используются. Следует отметить, что руководство техцентра чаще всего использует хорошо разработанные и привычные административные методы управления, в виде приказов распоряжений инструкций и т.п. С одной стороны это хорошо, так как стандартизированная и четко спланированная работа, как правило, самая эффективная. С другой стороны, на практике, получается иначе, так как сильное влияние на процедуры управления оказывают субъективные факторы.

Именно здесь кроется слабость управленческого труда в техцентре «Тектил». Дело в том, что современные подходы к управлению отличаются использованием именно косвенных методов управления персоналом. Особенный упор делается на экономические методы.

Но еще более слабо проработанными в практике управления в ООО «Тектил» являются методы социально-психологического воздействия на персонал. Они не систематизированы, нигде не заявлены в качестве основных и, вообще, редко используются.

Анализируя эффективность управленческого труда в ООО «Тектил», были выявлены сильные и слабые стороны.

Сильные стороны: определены цели и задачи деятельности фирмы, закреплены функциональные обязанности, ответственность, дисциплина.

У фирмы ООО «Тектил» имеется более ста конкурентов. Фирма выдерживает такое число конкурентов за счет квалифицированного персонала, качественной работы.

К недостаткам управленческого труда можно отнести:

-       отсутствие долгосрочного плана;

-       отсутствие системы оценки персонала;

-       нет контроля за выполнением управленческих решений;

-       не в полной мере использование социально-психологических методов мотивации;

-       стиль руководства не благоприятно влияет на деятельность персонала.

Поэтому стиль и методы управленческого труда в ООО «Тектил» нуждаются в преобразовании.

Главной задачей руководителя ООО «Тектил» является достижение целей организации путем умножения своих интеллектуальных и физических сил на коллективные усилия его подчиненных.

Для директора ООО «Тектил» были разработаны мероприятия по совершенствованию управленческого труда.

. Совершенствование стиля управления. Идеальной формой управления служебным коллективом для исследуемой организации является комплексная форма руководства. Лучшим выходом из положения будет сочетание демократического стиля и авторитарного.

. Работа с персоналом ведется на недостаточно высоком уровне и необходимы меры, которые позволят изменить ситуацию. Для того чтобы повысить эффективность применения руководством социально-психологических методов управления персоналом можно предложить такое мероприятие, как создание документа «Права и гарантии предприятия».

Разработка документа «Права и гарантии предприятия» позволит рассматриваемой фирме не просто достичь цели повышения эффективности социально-психологического управления, но и создать документацию, регламентирующую социально-психологическую сферу отношений персонала организации.

Решение по разработке документа «Правила и гарантии» позволит повысить эффективность коммуникаций на предприятии, как на вертикальном, так и на горизонтальном уровнях, позволит достичь взаимопонимания в коллективе и снизят вероятность возникновения конфликтов. Соблюдение правил гарантирует успех и благополучие во взаимоотношениях персонала и в итоге эффективное развитие предприятия.

. В ООО «Тектил» руководителем должен быть разработан стратегический план развития. Данный план должен быть составлен с перспективой на 5 лет и представлен сотрудникам для изучения.

. В ООО «Тектил» должно быть примерно 70% делегированных задач от их общего числа. Управление временем касается в большей степени организации рабочего времени, чем его экономии. Руководитель ООО «Тектил» должен стремиться к правильному распределению времени, исходя из личных интересов и интересов бизнеса.

. Оценка персонала: нужно чтобы руководитель ООО «Тектил» собирал информацию о том, насколько эффективно каждый работник выполняет делегированные ему обязанности. Сообщая эти сведения своим подчиненным руководитель должен информировать их о том, как хорошо они справляются со своей работой и дает им возможность исправить свое поведение, если оно не соответствует принятому.

. Контроль за выполнением управленческих решений. На каждое управленческое решение должна заводиться контрольная карточка, в которой указывается само решение, исполнитель, срок исполнения, а затем фиксируется дата фактического выполнения задания.

. С целью повышения заинтересованности работников в результатах труда, можно предложить внедрить КТУ (коэффициент трудового участия).

Все советы носят рекомендательный характер и важно учитывать реальные условия, в которых работает руководитель. При организации работы необходимо учитывать все нюансы во всем объеме и тесной взаимосвязи.

На современном этапе, искусство организации труда в сфере управления становится решающим условием, обеспечивающим конкурентоспособность предприятий и предпринимательский успех. Возникает острая потребность в подготовке квалифицированных специалистов, способных грамотно организовать свою работу и создавать благоприятные условия труда. Умение правильно организовать рабочие процессы в организации, создать благоприятный климат в коллективе, заинтересовать работников в выполнении их обязанностей наиболее эффективно и др. - все эти понятия составляют и характеризуют сущность организации управленческого труда.

Список литературы

управленческий труд организация результативность

1.      Басовский, Л.Е. Менеджмент: учеб. пособие для вузов / Л.Е. Басовский. - М.: ИНФРА-М, 2010. - 216 с.

2.      Беляев, В.И. Менеджмент: учеб. пособие / В.И. Беляев. - М.: Кнорус, 2009. - 250 с.

.        Бондаренко, В.В. Управление системой рационального труда управленческого персонала / В.В. Бондаренко // Инновации, 2006. - №3. - С. 101-102.

.        Бураканова, Г. Стиль руководителя и эффективность управления // Проблемы теории и практики управления, 2003. - N4. - С. 112-117.

.        Веснин, В.Р. Основы менеджмента: учебник / В.Р. Веснин. - М.: Проспект, 2011. - 306 с.

.        Глухов, В.В. Менеджмент: учеб. для экон. специальностей вузов / В.В. Глухов. - 3-е изд. - СПб.: Питер, 2009. - 601 с.

.        Горшкова, Л. Оценка управленческого персонала: параметры и методы // Человек и труд, 2003. - N3. - C.79-82.

.        Данилкина, А. Труд руководителя / А. Данилкина // Независимый библиотечный адвокат, 2009. - №2 (56). - С. 41-47.

.        Ефимов, А.Н. Менеджмент. Практикум: учеб. пособие для студентов вузов / А.Н. Ефимов, Е.Н. Барикаев. - М.: ЮНИТИ-ДАНА, 2009. - 120 с.

.        Жуковский, И. Стиль руководителя / И. Жуковский // Управление персоналом, 2005. - №4. - С. 67-71.

.        Зубань, С. Методические аспекты формирования должностных окладов управленческого персонала / Светлана Зубань // Человек и труд, 2007. - №2. - С. 36-37.

.        Карпов, Э.А. Организация производства и менеджмент: учеб. пособие для студентов вузов / Э.А. Карпов. - 4-е изд., стер. - Старый Оскол: Тонкие наукоемкие технологии, 2010. - 768 с.

.        Конышев, В.А. Эффективность менеджера - успех деятельности предприятия / Конышев В.А. // Вестник Оренбургского государственного университета. - 2012. - №2, февраль

.        Кожухар, В.М. Стили организационно-управленческих взаимодействий и проблемы их распознавания / В.М. Кожухар // Управление персоналом, 2008. - №5 (183). - С. 48-50.

.        Курлыкова, А.В. Управленческие решения: метод. указания к практ. занятиям / А.В. Курлыкова; М-во образования и науки Рос. Федерации, Гос. образоват. учреждение высш. и проф. образования «Оренбург. гос. ун-т». - Оренбург: Газпром-печать, 2010. - 36 с.

.        Лапыгин, Ю.Н. Стратегический менеджмент: учеб. пособие / Ю.Н. Лапыгин, Д.Ю. Лапыгин. - М.: Эксмо, 2010. - 431 с.

.        Лапыгин, Ю.Н. Стратегический менеджмент: учеб. пособие / Ю.Н. Лапыгин. - М.: ИНФРА-М, 2011. - 836 с.

.        Маленков, Ю.А. Стратегический менеджмент: учебник / Ю.А. Маленков. - М.: Проспект, 2011. - 224 с.

.        Омельченко, И.Б. Труд управленцев можно и нужно нормировать / И.Б. Омельченко // Справочник кадровика, 2008. - №8. - С. 88-96.

.        Переверзев, М.П. Менеджмент: учеб. пособие для вузов / М.П. Переверзев, Н.А. Шайденко, Л.Е. Басовский. - 2-е изд., доп. и перераб. - М.: ИНФРА-М, 2010. - 330 с.

.        Петров, А. Регламентация управленческой деятельности / Андрей Петров, Гасан Мамед-Заде // Кадровик, 2006. - №12. - С. 14-18.

.        Пирогов, В.И. Как измерить продуктивность менеджмента? / В.И. Пирогов, И.В. Львов, Л.В. Волкова // ЭКО. Экономика и организация промышленного производства, 2007. - №9. - С. 88-103.

.        Пирогов, В.И. Разделение труда руководителей и специалистов предприятия: как преодолеть противоречия? / В.И. Пирогов, С.К. Завьялов // ЭКО. Экономика и организация промышленного производства, 2007. - №4. - С. 89-102.

.        Поленова, С.Н. Оплата труда: организация, документальное оформление, учет численности персонала и отработанного времени / С.Н. Поленова // Все для бухгалтера, - 2007 №20. - С. 20-26.

.        Пономарева, И. Оценка стратегических приоритетов в системе управления мотивацией трудовой деятельности / Инна Пономарева // Кадровик, 2010. - №7. - С. 70-74.

.        Пономарева, И. Управление мотивацией руководителей и специалистов организации / И. Пономарева, С. Левина // Управление персоналом, 2010. - №3 (229). - С. 58-61.

.        Птуха, Н. Стиль руководителя и управление коллективом / Н. Птуха, И. Краснобаева, В. Кушнирык // Проблемы теории и практики управления, 2008. - №12. - С. 85-91.

.        Родина, Л. Управленческий труд в новых экономических условиях / Лариса Родина // Человек и труд, 2005. - №4. - С. 87-88.

.        Свистунов, В. Организация личной работы руководителей и специалистов / Василий Свистунов // Кадровик, 2007. - №6. - С. 8-15.

.        Тебекин, А.В. Менеджмент организации: учеб. для экон. вузов / А.В. Тебекин, Б.С. Касаев. - 3-е изд., перераб. и доп. - М.: КноРус, 2010. - 408 с.

.        Юрганова, Е. Управленческий труд: оценка, мотивация, стимулирование / Елена Юрганова // Человек и труд, 2005. - №2. - С. 73-75.

Похожие работы на - Анализ менеджмента в ООО 'Тектил'

 

Не нашли материал для своей работы?
Поможем написать уникальную работу
Без плагиата!
Без нейросетей!