Анализ и рекомендации по совершенствованию системы планирования запасов на торговом предприятии ООО 'ДНС'
Реферат
Макарова Марина Николаевна. Анализ и управление запасами на
предприятии.
Место дипломирования: Сибирская государственная геодезическая
академия.
Руководитель: канд. эконом. наук, доцент Прищенко Е.А.
г., специальность 080502 "Экономика и управление на
предприятии (в машиностроении)", квалификация 65 -
Экономист-менеджер".
_____ с., 19 табл., 14 рис., 20 источников.
ЗАПАСЫ, СТРАХОВЫЕ ЗАПАСЫ, ТЕКУЩИЙ ЗАПАС, НОРМИРОВАНИЕ
ЗАПАСОВ, СИСТЕМЫ УПРАВЛЕНИЯ ЗАПАСАМИ, ОБОРАЧИВАЕМОСТЬ ЗАПАСОВ
Целью дипломной работы является проведение анализа системы
управления запасами на коммерческом предприятии и разработка рекомендаций по ее
совершенствованию.
Функционирование любого российского предприятия в рыночных
условиях обусловлено неопределенностью и неустойчивостью. Применявшиеся ранее
концепции управления уже не оправдывают себя. В связи со сложившейся сегодня
экономической ситуацией и подготовкой России к вступлению во всемирную торговую
организацию многие предприятия начали переход на логистические методы управления
или рассматривают возможность перехода. В связи с этим особую актуальность
приобретает сегодня вопрос управления запасами на основе логистического
подхода.
В дипломной работе рассмотрены основные теоретические аспекты
проблемы управления запасами на коммерческом предприятии и методические основы
управления запасами, проведен анализ и даны рекомендации по совершенствованию
системы управления запасами на торговом предприятии.
Содержание
Реферат
Введение
1. Теоретические аспекты управления запасами на предприятии
1.1 Понятие, виды и необходимость создания запасов
1.2 ABC и XYZ-анализ как основа управления запасами
1.2.1 Анализ АBС
1.2.2 Анализ XYZ
1.3 Классификация систем управления запасами на предприятии
1.3.1 Использование модели с фиксированным объемом заказа
1.3.2 Система с фиксированным интервалом времени между заказами
1.3.3 Система с установленной периодичностью пополнения запасов до
установленного уровня
1.3.4 Система "Минимум-максимум"
1.4 Анализ и нормирование запасов
2. Анализ и рекомендации по совершенствованию системы планирования
запасов на торговом предприятии ООО "ДНС"
2.1 Краткая характеристика предприятия ООО "ДНС"
2.2 АВС и XYZ-анализ ассортимента предприятия
2.3 Анализ существующей системы планирования запасов на ООО
"ДНС"
2.4 Рекомендации по совершенствованию системы планирования запасов
на ООО "ДНС"
3. Вопросы безопасности жизнедеятельности
3.1 Организация обучения и проверка знаний по охране труда
руководителей и специалистов
3.2 Противопожарная профилактика на предприятии
Заключение
Список использованных источников
Введение
Функционирование любого российского предприятия в рыночных
условиях обусловлено неопределенностью и неустойчивостью. Применявшиеся ранее
концепции управления уже не оправдывают себя в новых условиях. В связи со сложившейся
сегодня экономической ситуацией и подготовкой России к вступлению во всемирную
торговую организацию (ВТО) многие российские предприятия начали переход на
логистические методы управления или рассматривают возможность перехода в
ближайшее время. В связи с этим особую актуальность приобретает сегодня вопрос
управления запасами на основе логистического подхода.
Управление материальными запасами представляет собой
совокупность мероприятий по обеспечению рационального (а идеале - оптимального)
их уровня в производственно-коммерческих системах, неотъемлемой составной
частью которых являются логистические системы, позволяющие реализовать
стратегические и тактические целевые установки.
Логистика пришла к нам из стран с развитой рыночной
экономикой. Одно из преимуществ этого метода управления предприятием
заключается в том, что оптимизация финансовых, материальных, информационных и
т.д. потоков на предприятии производится не по отдельности для каждого из них,
а всех в комплексе. Путем многовариантных расчетов их совместной организации
находится такой способ, который обеспечивал бы получение минимальных суммарных
издержек организации всех этих потоков и процессов.
Российские предприятия, которые вероятно уже в ближайшем
будущем вынуждены будут переходить на логистические методы управления,
столкнутся с совершенно новой для них методологией организации снабжения,
транспортировки материальных ресурсов, производства и сбыта готовой продукции,
формирования запасов и т.д. Это потребует от каждого предприятия сформировать
для себя необходимое логистическое окружение из надежных поставщиков и
транспортных организаций, что и является одной из важнейших стратегических
задач. Препятствием этому будут служить особенности сложившейся за много лет
структуры материально-технического снабжения предприятий в России.
Многие российские руководители признают, что система
снабжения их предприятия далека от идеала, но при этом считают, что она вполне
соответствует текущим условиям рынка и совершенствоваться может только
эволюционным путем. Подобная недооценка собственных возможностей дорого
обходится компаниям, и они теряют деньги практически на всех этапах процесса
снабжения: при планировании потребности в материалах и оборудовании, при
организации закупок, управлении запасами и отпуске материалов, при их
использовании в производстве и вторичном обороте. По данным некоторых
информационных агентств потери, вызванные неэффективным управлением сферой
снабжения, могут по отдельным категориям достигать 30 - 40% от общих затрат на
снабжение. Оптимизируя снабженческую деятельность, можно заметно улучшить
финансовые показатели бизнеса: при снижении этих затрат на 10% вполне реально
увеличить прибыльность компании на 10 - 20%.
Цель дипломной работы заключается в анализе системы
управления запасами на коммерческом предприятии и разработке рекомендаций по ее
совершенствованию.
Основными задачами работы являются:
изучение основных теоретических аспектов проблемы управления
запасами на коммерческом предприятии;
изучение методических основ управления запасами на
предприятии;
анализ и рекомендации по совершенствованию системы управления
запасами на торговом предприятии.
Объектом исследования является коммерческое предприятие ООО
"ДНС", сфера деятельности которого - розничная торговля товарами
широкого потребления.
Предмет исследования - система управления запасами на
предприятии.
В соответствии с поставленными задачами работа состоит из
трех глав.
В первой главе дипломной работы проводится изучение основных
теоретических аспектов проблемы управления запасами на коммерческом
предприятии, в частности, приводится понятие материальных запасов и системы
управления материальными запасами на предприятии, особенности управления
запасами в торговле. Так же проводится изучение методических основ управления
запасами на коммерческом предприятии: АВС и XYZ-анализа и их
декомпозиции, как основы управления запасами предприятия, основных систем
управления запасами.
Во второй главе работы проводится анализ существующей системы
управления запасами на предприятии ООО "ДНС" и ее ассортимента с
использованием методик, рассмотренных в первой главе работы, а также приводятся
рекомендации по совершенствованию данной системы.
В третьей главе проводится изучение экономического эффекта
мероприятий по улучшению условий и охраны труда, а так же защиты населения в
чрезвычайных ситуациях военного и мирного времени.
торговый запас планирование коммерческий
1.
Теоретические аспекты управления запасами на предприятии
1.1 Понятие,
виды и необходимость создания запасов
Понятие материального запаса является одним из ключевых в
логистике. Взятое из природы сырье, прежде чем в виде готового изделия попасть
к конечному потребителю, перемещается, соединяется с другими материалами,
подвергается производственной обработке. Продвигаясь по материалопроводящей
цепи сырье (а впоследствии полуфабрикат и готовый продукт) периодически
задерживается, ожидая своей очереди вступления в ту или иную производственную
или логистическую операцию.
Общепринятая формулировка гласит: материальные запасы - это
находящиеся на разных стадиях производства и обращения продукция
производственно-технического назначения, изделия народного потребления и другие
товары, ожидающие вступления в процесс производственного или личного
потребления [1].
Если бы вся цепь участников, обеспечивающих превращение
первичного сырья в изделия народного потребления и продвижения этих изделий,
работала как единый механический конвейер, время ожидания можно было бы
практически свести к нулю. Однако в реальной жизни обойтись без такого ожидания
нельзя. Создание запасов всегда сопряжено с расходами [2]. Перечислим основные
виды затрат, связанных с созданием и содержанием запасов:
замороженные финансовые средства;
расходы на содержание специально оборудованных помещении;
оплата труда специального персонала;
постоянный риск порчи, хищения.
Наличие запасов - это расходы. Однако отсутствие запасов -
это тоже расходы, только выраженные в форме разнообразных потерь. К основным
видам потерь, связанных с отсутствием запасов, относят:
потери от простоя производства;
потери от отсутствия товара на складе в момент предъявления
спроса;
потери от закупки мелких партий товаров по более высоким
ценам и др.
Несмотря на то, что содержание запасов сопряжено с
определенными затратами, предприниматели вынуждены их создавать, так как
отсутствие запасов может привести к еще большей потери прибыли [1].
Необходимость создания материальных запасов.
Основные мотивы, которыми руководствуются предприниматели,
создавая материальные запасы:
а) вероятность нарушения установленного графика поставок. В
этом случае запас необходим для того, чтобы не остановился производственный
процесс, что особенно важно для предприятий с непрерывным циклом производства.
б) возможность колебания спроса. Спрос на какую-либо группу
товаров можно предсказать с большой долей вероятности. Однако прогнозировать
спрос на конкретный товар гораздо сложнее. Поэтому, если не иметь достаточного
запаса этого товара, не исключена ситуация, когда платежеспособный спрос не
будет удовлетворен, то есть клиент уйдет с деньгами и без покупки.
в) сезонные колебания производства некоторых видов товаров. В
основном это касается продукции сельского хозяйства. Например, урожай картофеля
в России убирается в начале осени. Потоки же этого клубнеплода идут по
товаропроводящим цепям круглый год. Следовательно, где-то должен накапливаться
запас.
г) скидки за покупку крупной партии товаров также могут стать
причиной создания запасов (некоторые наши соотечественники хранят дома
сравнительно большие запасы продовольствия именно по этой причине).
д) спекуляция. Цена на некоторые товары может резко возрасти.
Предприятие, сумевшее предвидеть этот рост, создаст запас с целью получения
прибыли за счет повышения рыночной цены.
е) издержки, связанные с оформлением заказа. Процесс
оформления каждого нового заказа сопровождается рядом издержек:
) административного характера (поиск поставщика,
проведение переговоров с ним, командировки и т.п.);
2) на транспортировку заказа. Снизить эти затраты можно
сократив количество заказов, что равносильно увеличению объема заказываемой
партии и, соответственно, повышению размера запаса.
ж) возможность равномерного осуществления операций по
производству и распределению. Эти два вида деятельности тесно взаимосвязаны
между собой: распределяется то, что производится. При отсутствии запасов
интенсивность материальных потоков в системе распределения колеблется в
соответствии с изменениями интенсивности производства. Наличие запасов в
системе распределения позволяет осуществлять процесс реализации более
равномерно, вне зависимости от ситуации в производстве. В свою очередь, наличие
производственных запасов сглаживает колебания в поставках сырья и
полуфабрикатов, обеспечивает равномерность процесса производства [2].
и) возможность немедленного обслуживания покупателей. Выполнить
заказ покупателей можно одним из следующих способов:
) произвести заказанный товар;
2) закупить заказанный товар;
) выдать заказанный товар немедленно из имеющегося
запаса.
Последний способ является, как правило, наиболее дорогим, так
как требует содержания запаса. Однако в условиях конкуренции возможность
немедленного удовлетворения заказа может оказаться решающей в борьбе за
потребителя.
к) сведение к минимуму простоев производства из-за отсутствия
запасных частей. Поломки оборудования, разнообразные аварии могут привести при
отсутствии запасов деталей к остановке производственного процесса. Особенно это
важно для предприятий с непрерывным процессом производства, так как в этом
случае остановка производства может обойтись слишком дорого.
л) упрощение процесса управления производством. Речь идет о
создании запасов полуфабрикатов на различных стадиях производственного процесса
внутри предприятия. Наличие этих запасов позволяет снизить требования к степени
согласованности производственных процессов на различных участках, а,
следовательно, и соответствующие издержки на организацию управления этими
процессами [1].
Перечисленные причины свидетельствуют о том, что
предприниматели, как в торговле, так и в промышленности вынуждены создавать
запасы, так как в противном случае увеличиваются издержки обращения, то есть
уменьшается прибыль. В то же время запас не должен превышать некоторой
оптимальной величины [3].
Виды материальных запасов.
Как уже отмечалось, понятие запаса пронизывает все области
материального производства, так как материальный поток на пути движения от
первичного источника сырья до конечного потребителя может накапливаться в виде
запаса на любом участке. Причем, управление запасами на каждом из участков
имеет свою специфику [1].
Классификация запасов по месту нахождения.
Все запасы, имеющиеся в экономике, определены как совокупные.
Они включают в себя сырье, материалы, основные и вспомогательные,
полуфабрикаты, детали, готовые изделия, а также запасные части ля ремонта
средств производства. Основная часть совокупных запасов производства
представляет собой предметы производства, входящие в материальный поток на
различных стадиях его технологической переработки.
Совокупные запасы производства подразделяются на два вида:
производственные и товарные запасы.
Производственные запасы формируются в
организациях-потребителях.
Товарные запасы находятся у организаций-изготовителей на
складах готовой продукции, а также в каналах сферы обращения. Запасы в каналах
сферы обращения разбиваются на запасы в пути и запасы на предприятиях торговли.
Запасы в пути (или транспортные запасы) находятся на момент учета в процессе
транспортировки от поставщиков к потребителям. Каждая отдельная организация в
логистической цепочке поставщиков и потребителей является, с одной стороны,
организацией поставщиком, а с другой - организацией-изготовителем.
Следовательно, производственные и товарные запасы всегда имеются на
предприятии.
Классификация запасов по исполняемой функции.
Производственные запасы предназначены для производственного
потребления. Они должны обеспечивать бесперебойность производственного
процесса. Производственные запасы учитываются в натуральных,
условно-натуральных и стоимостных измерителях. К ним относятся предметы труда,
поступившие к потребителю различного уровня, но еще не использованные и не
подвергнутые переработке.
Товарные запасы необходимы для бесперебойного обеспечения
потребителей материальными ресурсами. Производственные и товарные запасы
подразделяются на текущие, подготовительные, страховые, сезонные и переходящие
[3].
Текущие запасы обеспечивают непрерывность снабжения
производственного процесса между двумя поставками, а также организаций торговли
и потребителей. Текущие запасы составляют основную часть производственных и
товарных запасов. Их величина постоянно меняется.
Подготовительные запасы (или запасы буферные) выделяются из
производственных запасов при необходимости дополнительной их подготовки перед
использованием в производстве (сушка леса, например). Подготовительные запасы
товарных средств производства формируются в случае необходимости подготовить
материальные ресурсы к отпуску потребителям [4].
Гарантийные запасы (или запасы страховые) предназначены для
непрерывного снабжения потребителя в случае непредвиденных обстоятельств:
отклонения в периодичности и в величине партий поставок от запланированных,
изменения интенсивности потребления, задержки поставок в пути. В отличие от
текущих запасов размер гарантийных запасов - величина постоянная. При
нормальных условиях работы эти запасы неприкосновенны.
Сезонные запасы образуются при сезонном характере
производства продуктов, их потребления или транспортировки. Сезонные запасы
должны обеспечить нормальную работу организации во время сезонного перерыва в
производстве, потреблении или в транспортировке продукции.
Переходящие запасы - это остатки материальных ресурсов на
конец отчетного периода. Они предназначаются для обеспечения непрерывности
производства и потребления в отчетном и следующем за отчетным периоде до
очередной поставки [1].
Классификация запасов по времени.
Данная классификация позволяет выделить различные
количественные уровни запасов. Их соотношение показано на рисунке 1.
Рисунок 1 - Виды запасов по времени учета
Максимальный желательный запас определяет уровень запаса,
экономически целесообразный в данной системе управления запасами. Этот уровень
может превышаться. В различных системах управления максимальный желательный
запас используется как ориентир при расчете объема заказа.
Пороговый уровень запаса используется для определения момента
времени выдачи очередного заказа.
Текущий запас соответствует уровню запаса в любой момент учета. Он
может совпасть с максимальным желательным уровнем, пороговым уровнем или
гарантийным запасом.
Гарантийный запас (или запас страховой) аналогичен гарантийному
запасу в классификации по исполняемой запасом функции и предназначен для
непрерывного снабжения потребителя в случае непредвиденных обстоятельств [3].
Можно также выделить неликвидные запасы - так называют длительно
неиспользуемые производственные и товарные запасы. Они образуются вследствие
ухудшения качества товаров во время хранения, а также морального износа. Это
единственный вид запаса, который не соответствует определенным выше критериям
[2].
1.2 ABC и
XYZ-анализ как основа управления запасами
1.2.1 Анализ
АBС
Управление в логистике характеризуется, как правило, большой
номенклатурой управляемых объектов: широкий ассортимент товаров, большое число
покупателей или поставщиков, разнообразные грузы и т.п. В процессе работы с
каждым отдельным объектом, например, позиция ассортимента, предприниматель
получает какую-то часть намеченного результата. При этом с точки зрения вклада
в общий результат управляемые объекты не равноценны.
В логистике ABC-анализ применяют, ставя цель сокращения
величины запасов, сокращения количества перемещений на складе, общего
увеличения прибыли предприятия, а также преследуя другие цели [1].
Сущность метода АВС заключается в том, что все виды
материальных ресурсов распределяются на три множества А, В, С в зависимости от
их значимости в затратах [5].
В экономике широко известно так называемое правило Парето
(20/80), согласно которому лишь пятая часть (20%) от всего количества объектов,
с которыми обычно приходится иметь дело, дает примерно 80% результатов этого
дела. Вклад остальных 80% объектов составляет только 20% общего результата.
Например, в торговле 20% наименований товаров дает, как
правило, 80% прибыли предприятия, остальные 80% наименований товара - лишь
необходимое дополнение, обязательный ассортимент.
Правило Парето действует не только в экономике. Если
разделить всех студентов вузовского потока по признаку сложности управления, то
получится, что 20% студентов потока создают 80% всех хлопот деканата. Из всего
количества поставщиков предприятия лишь 20% создают 80% всей опасности потерь
от связей с недобросовестным контрагентом. Можно привести и другие примеры [1].
Суть принципа Парето состоит в том, что в процессе достижения
какой-либо цели нерационально уделять объектам, образующим малую часть вклада,
то же внимание, что и объектам первостепенной важности.
Согласно методу Парето множество управляемых объектов делится
на две неодинаковые части. Широко применяемый в логистике метод ABC предлагает
более глубокое разделение - на три части. При этом предварительно все
управляемые объекты необходимо вначале оценить по степени вклада в результат
деятельности [5].
При построении кривой по оси ОХ откладывают объекты
управления в порядке убывания значимости их вклада в конечный результат, выраженные
в процентах к общему количеству объектов.
По оси OY отмечают вклад каждого объекта в конечный
результат, исчисленный нарастающим итогом, также выраженный в процентах.
В качестве примера использования метода ABC на предприятиях
розничной торговли может служить избирательное сокращение ассортимента рядом
магазинов после известных событий августа 1998г. Вынужденные непопулярные меры
применялись в первую очередь к товарам группы С. Некоторые магазины сократили
тогда ассортимент с 5000 до 1500 наименований. Высоколиквидные и
конкурентоспособные позиции, значимые с точки зрения участия в формировании
прибыли, сохранялись (примерно 30% от всего ассортимента). Остальными позициями
было предложено торговать арендаторам [4].
Графически метод АВС представлен на рисунке 2.
Рисунок 2 - Кривая анализа АBC
Определение метода ABC, приведенное в работе гласит: метод ABC -
способ нормирования и контроля за состоянием запасов, заключающийся в разбиении
номенклатуры N, реализуемых товарно-материальных Ценностей на три неравномощных
подмножества А, В, и С на основании некоторого формального алгоритма.
Товары (материалы) класса А - это немногочисленные, но важнейшие
товары, на которые приходится большая часть денежных средств, вложенных в
запасы. Размеры запасов по позициям группы А постоянно контролируют, точно
определяют издержки, связанные с закупкой, доставкой и хранением, а также
размер и момент заказа [1].
Товары (материалы) класса В занимают срединное положение в
формировании запасов предприятия и по сравнению с группой А требуют к себе
меньшего внимания.
Общий алгоритм проведения анализа ABC приводится на рисунке 3.
Формулирование цели анализа
Идентификация объектов управления,
анализируемых методом АВС
Выделение признака, на основе которого
будет осуществлена классификация объектов управления
Оценка объектов управления по выделенному
классифицированному признаку
Группировка объектов управления в порядке
убывания значения признака
Разделение совокупности объектов
управления на три группы: группа А, группа В и группа С
Рисунок 3 - Порядок проведения анализа ABC
Здесь осуществляется обычный контроль и сбор информации о
запасах, который должен позволить своевременно обнаружить основные изменения в
использовании запасов. Товары (материалы) класса С, составляющие, как правило,
большую часть ассортимента, относят к второстепенным. На долю этих товаров
приходится наименьшая часть всех финансовых средств, вложенных в запасы. Точные
оптимизационные расчеты размера и периода заказа с товарами данной группы не
выполняются. Пополнение запасов регистрируется, но текущий учет уровня запасов
не ведется. Проверка наличных запасов проводится лишь периодически, например,
один раз в шесть месяцев. Вероятность возникновения спроса на товары из
подмножеств А, В и С подчинена различным законам распределения. Установлено,
что в большинстве торговых фирм примерно 75% стоимости запасов охватывает около
10% ассортиментных позиций (подмножество А), 20% стоимости - соответственно 25%
позиций ассортимента и 5% стоимости - 65% ассортимента (подмножество С) [6].
1.2.2 Анализ
XYZ
Анализ ABC позволяет дифференцировать ассортимент
(номенклатуру ресурсов, а применительно к торговле - ассортимент товаров) по
степени вклада в намеченный результат. Принцип дифференциации ассортимента в
процессе анализа XYZ иной - здесь весь ассортимент (ресурсы) делят на три
группы в зависимости от степени равномерности спроса и точности прогнозирования
[1].
В группу X включают товары, спрос на которые равномерен, либо
подвержен незначительным колебаниям. Объем реализации по товарам, включенным в
данную группу, хорошо предсказуем.
В группу Y включают товары, которые потребляются в
колеблющихся объемах. В частности, в эту группу могут быть включены товары с
сезонным характером спроса. Возможности прогнозирования спроса по товарам
группы Y средние.
В группу Z включают товары, спрос на которые возникает лишь
эпизодически. Прогнозировать объемы реализации товаров группы Z сложно.
Признаком, на основе которого конкретную позицию ассортимента
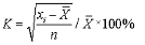
относят к группе X, Y или Z, является коэффициент вариации спроса (ν) по этой позиции [2]. Среди относительных показателей вариации
коэффициент вариации является наиболее часто применяемым показателем
относительной колеблемости, и он рассчитывается по формуле (1)
, (1)
где xi - i-ое значение спроса по оцениваемой позиции;
- среднее значение спроса по оцениваемой позиции за период n;
n - величина периода, за который произведена оценка.
ОРЗ = 30000× 59/
360= 4917
Общий алгоритм проведения анализа XYZ приводится на рисунке 4.
|
Определение коэффициентов
вариации по отдельным позициям ассортимента ↓ Группировка объектов
управления в порядке возрастания коэффициента вариации ↓ Построения
кривой XYZ ↓ Разделение совокупности объектов управления на три группы:
группа X, группа Y и группа Z
|
Рисунок 4 - Порядок проведения анализа XYZ
Разделение на группы X, Y и Z может быть осуществлено,
например, на основе алгоритма, представленного в таблице 1.
Таблица 1 - Возможный алгоритм дифференциации ассортимента на
группы X, Y и Z
|
Группа
|
Интервал
|
|
X
|
0 ≤ ν ≤
10%
|
|
У
|
10% ≤ ν ≤ 25%
|
|
Z
|
25% ≤ ν < ∞
|
Построение кривой XYZ осуществляется в прямоугольных
координатах, как показано на рисунке 5.
Рисунок 5 - Кривая анализа XYZ
По оси ОХ откладывают позиции ассортимента в порядке возрастания
коэффициента вариации спроса, выраженные в процентах к общему количеству
позиций ассортимента [1].
После разделения запасов на группы, фирмы регулярно корректируют
номенклатуру групп А, В, С добиваясь, чтобы она всегда отражала текущее состояние
спроса. Очевидно, что вся деятельность в области маркетинга концентрируется на
товарах группы А и В, которые обеспечивают основную массу товарооборота.
Поскольку основная доля товарооборота приходится на эти две группы товаров,
важно, чтобы по ним поддерживались необходимые уровни запасов. многие товары
отнесенные к группе С, со временем морально устаревают, поэтому уровень их
запасов держат под контролем, особенно если они относятся по стоимости к
группам Х и Y [4].
Запасы по группам X, Y и Z уточняют не
менее раза в год. В ходе любой программы сокращения запасов наиболее тщательно
обследуют запасы группы X, поскольку
именно на них приходится основная доля общей стоимости запасов. В случае
медленного движения товаров группы X
проводится тщательный анализ. "Мертвый", или бездействующий, запас
изделий группы X на складах ликвидируют [1].
Минимальный уровень запасов поддерживают путем интенсивного
контроля изделий групп АХ и эффективного контроля запасов групп ВY, то есть применяют выборочный контроль запасов [3].
Наложение результатов анализа XYZ на данные анализа АВС (таблица 2) позволяет разбить запасы на
девять подгрупп, каждая из которых имеет две характеристики: стоимость запасов
и точность прогнозирования потребности в них [7].
Наложение результатов анализа АВС и XYZ отражено в таблице 2.
Таблица 2 - Наложение результатов анализа XYZ и АВС
|
Группа А
|
Группа В
|
Группа С
|
|
Группа X
|
AX
|
BX
|
CX
|
|
Группа Y
|
AY
|
BY
|
CY
|
|
Группа Z
|
AZ
|
BZ
|
CZ
|
В управлении этими подгруппами существуют определенные
закономерности [1].
Подгруппы AX, AY требуют индивидуального управления, определения
оптимального размера заказа, ежедневный контроль наличия запасов на складе и
применение поставок точно в срок.
Подгруппы CX, CY и CZ управляются одинаково - планирование таких
запасов можно выполнять на год, с ежемесячным контролем наличия.
А для категории AZ эффективнее использовать систему снабжения
по запросам с обязательным расчетом величины страхового запаса.
В подгруппах ВХ, BY и BZ, могут быть совпадения и различия в методах
контроля. Анализы АВС и XYZ программируются и выполняются ежемесячно или
ежеквартально [5].
1.3
Классификация систем управления запасами на предприятии
1.3.1
Использование модели с фиксированным объемом заказа
Само название говорит об основополагающем параметре системы.
Это - размер заказа. Он строго зафиксирован и не меняется ни при каких условиях
работы системы. Определение размера заказа является, поэтому первой задачей,
которая решается при работе с данной системой управления запасами.
В отечественной практике зачастую возникает ситуация, когда
размер заказа определяется по каким-либо частным организационным соображениям.
Например, удобство транспортировки или возможность загрузки складских помещений
[2].
Между тем в системе с фиксированным размером заказа объем закупки
должен быть не только рациональным, но и оптимальным, т.е. самым лучшим.
Поскольку мы рассматриваем проблему управления запасами в логистической системе
отдельной организации или экономики в целом, то критерием оптимизации должен
быть минимум совокупных затрат на хранение запасов и повторение заказа. Данный
критерий учитывает три фактора, действующих на величину названных совокупных
затрат:
используемая площадь складских помещений;
издержки на хранение запасов;
стоимость оформления заказа.
Эти факторы тесно взаимосвязаны между собой, причем само
направление их взаимодействия неодинаково в разных случаях. Желание максимально
сэкономить затраты на хранение запасов вызывает рост затрат на оформление
заказов. Экономия затрат на повторение заказа приводит к потерям, связанным с
содержанием излишних складских помещений, и, кроме того, снижает уровень
обслуживания потребителя. При максимальной загрузке складских помещений
значительно увеличиваются затраты на хранение запасов, более вероятен риск
появления неликвидных запасов [8].
Использование критерия минимизации совокупных затрат на
хранение запасов и повторный заказ не имеют смысла, если время исполнения
заказа чересчур продолжительно, спрос испытывает существенные колебания, а цены
на заказываемые сырье, материалы, полуфабрикаты сильно колеблются. В таком
случае нецелесообразно экономить на содержании запасов. Это вероятнее всего
приведет к невозможности непрерывного обслуживания потребителя, что не
соответствует цели функционирования логистической системы управления запасами.
Во всех других ситуациях определение оптимального размера заказа обеспечивает
уменьшение издержек на хранение запасов без потери качества обслуживания [7].
Оптимальный размер заказа по критерию минимизации совокупных
затрат на хранение запаса и повторение заказа рассчитывается по формуле Уилсона
(2)
, (2)
где ОРЗ - оптимальный размер заказа, шт.,
А - затраты на поставку единицы заказываемого продукта, руб.;
S - потребность в заказываемом продукте, шт.;
i - затраты на хранение единицы заказываемого продукта, руб. /шт.
Затраты на поставку единицы заказываемого продукта (А) включают
следующие элементы:
стоимость транспортировки заказа;
затраты на разработку условий поставки;
стоимость контроля исполнения заказа;
затраты на выпуск каталогов;
стоимость форм документов.
Формула (2) представляет собой первый вариант формулы Уилсона. Он
ориентирован на мгновенное пополнение запаса на складе. В случае если
пополнение запаса на складе производится за некоторый промежуток времени, то
формула (2) корректируется на коэффициент, учитывающий скорость этого
пополнения - формула (3)
, (3)
где k - коэффициент, учитывающий скорость
пополнения запаса на складе.
Графическая иллюстрация функционирования системы с фиксированным
размером заказа приведена на рисунке 6.
- момент заказа; 2 - время поставки; 3 - время задержки поставки
Рисунок 6 - График движения запасов в системе управления запасами
с фиксированным размером заказа
Гарантийный (страховой) запас позволяет обеспечивать потребность
на время предполагаемой задержки поставки. При этом под возможной задержкой
поставки подразумевается максимально возможная задержка. Восполнение
гарантийного запаса производится в ходе последующих поставок через
использование второго расчетного параметра данной системы - порогового уровня
запаса [6].
Пороговый уровень запаса определяет уровень запаса, при достижении
которого производится очередной заказ. Величина порогового уровня
рассчитывается таким образом, что поступление заказа на склад происходит в
момент снижения текущего запаса до гарантийного уровня. При расчете порогового
уровня задержка поставки не учитывается.
Третий основной параметр системы управления запасами с
фиксированным размером заказа - максимальный желательный запас. В отличие от
предыдущих двух параметров он не оказывает непосредственного воздействия на
функционирование системы в целом. Этот уровень запаса определяется для
отслеживания целесообразной загрузки площадей с точки зрения критерия
минимизации совокупных затрат [5].
Порядок расчета параметров системы управления запасами с
фиксированным размером заказа приведен в таблице 3.
Таблица 3 - Расчет параметров системы управления запасами с
фиксированным размером заказа
|
Строка
|
Показатель
|
Порядок расчета
|
|
1
|
2
|
3
|
|
1
|
Потребитель,
шт.
|
-
|
|
2
|
Оптимальный
размер заказа, шт.
|
|
|
3
|
Время поставки,
дни
|
-
|
|
4
|
Возможная
задержка поставки, дни
|
-
|
|
5
|
Ожидаемое
дневное потребление, шт. /день
|
стр.1
/количество рабочих дней
|
|
6
|
Срок
расходования заказа, дни
|
стр.2/стр.5
|
|
7
|
Ожидаемое
потребление за время поставки, шт.
|
стр.3
× стр.5
|
|
8
|
Максимальное
потребление за время поставки, шт.
|
(стр.3 + стр.4)
× стр.5
|
|
9
|
Гарантийный
запас, шт.
|
стр.8 - стр.7
|
|
10
|
Пороговый
уровень запаса, шт.
|
стр.9 + стр.7
|
|
11
|
Максимальный
желательный запас, шт.
|
стр.9 + стр.2
|
|
12
|
Срок
расходования запаса до порогового уровня, дни
|
(стр.11 -
стр.10) / стр.5
|
|
Примечание -
стр. - строка.
|
|
|
Исходные данные для расчета параметров системы следующие:
потребность в заказываемом продукте, шт.;
оптимальный размер заказа, шт.;
время поставки, дни;
возможная задержка поставки, дни.
1.3.2 Система
с фиксированным интервалом времени между заказами
Система с фиксированным интервалом времени между заказами -
вторая и последняя система управления запасами, которая относится к основным.
Классификация систем на основные и прочие вызвана тем, что обе рассматриваемые
системы лежат в основе всевозможных иных систем управления запасами.
В системе с фиксированным интервалом времени между заказами,
как ясно из названия, заказы делаются в строго определенные моменты времени,
которые отстоят друг от друга на равные интервалы, например, 1 раз в месяц, 1
раз в неделю, 1 раз в 14 дней и т.п. [2].
Определить интервал времени между заказами можно с учетом
оптимального размера заказа. Оптимальный размер заказа позволяет минимизировать
совокупные затраты на хранение запаса и повторение заказа, а также достичь
наилучшего сочетания взаимодействующих факторов, таких, как используемая
площадь складских помещений, издержки на хранение запасов и стоимость заказа
[9].
Расчет интервала времени между заказами можно производить по
формуле (4)
, (4)
где N - количество рабочих дней в году, дни;
S - потребность в заказываемом продукте, шт.;
ОРЗ - оптимальный размер заказа, шт.
Полученный с помощью формулы (4) интервал времени между заказами
не может рассматриваться как обязательный к применению. Он может быть
скорректирован на основе экспертных оценок.
Гарантийный (страховой) запас, как и для случая, о котором
говорилось выше, позволяет обеспечивать потребность на время предполагаемой
задержки поставки (под возможной задержкой поставки также подразумевается
максимально возможная задержка).
Порядок расчета всех параметров системы управления запасами с
фиксированным интервалом времени между заказами представлен в таблице 4.
Таблица 4 - Расчет параметров системы управления запасами с
фиксированным интервалом времени между заказами
|
Строка
|
Показатель
|
Порядок расчета
|
|
1
|
2
|
3
|
|
1
|
Потребность,
шт.
|
-
|
|
2
|
Интервал
времени между заказами, дни
|
|
|
3
|
Время поставки,
дни
|
-
|
|
4
|
Возможная
задержка поставки, дни
|
-
|
|
5
|
Ожидаемое
дневное потребление, шт. /день
|
стр.1/
|
|
6
|
Ожидаемое
потребление за время поставки, шт.
|
стр.3
× стр.5
|
|
7
|
Максимальное
потребление за время поставки, шт.
|
(стр.3 + стр.4)
× стр.5
|
|
8
|
Гарантийный
запас, шт.
|
стр.7 - стр.6
|
|
9
|
Максимальный
желательный запас, шт.
|
стр.8 + стр.2
× стр.5
|
Исходные данные для расчета параметров системы следующие:
потребность в заказываемом продукте, шт.;
интервал времени между заказами, дни;
время поставки, дни;
возможная задержка поставки, дни.
Восполнение гарантийного запаса производится в ходе
последующих поставок через пересчет размера заказа таким образом, чтобы его
поставка увеличила запас до максимального желательного уровня [2].
Так как в рассматриваемой системе момент заказа заранее
определен и не меняется ни при каких обстоятельствах, постоянно пересчитываемым
параметром является именно размер заказа. Его вычисление основывается на
прогнозируемом уровне потребления до момента поступления заказа на склад
организации [10].
Графическая иллюстрация функционирования системы управления
запасами с фиксированным интервалом времени между заказами представлена на
рисунке 7.
- момент поставки; 2 - время поставки; 3 - время задержки поставки
Рисунок 7 - График движения запасов в системе управления запасами
с фиксированным интервалом времени между заказами
Расчет размера заказа в системе с фиксированным интервалом времени
между заказами производится по формуле (5)
РЗ = МЖЗ - ТЗ + ОП, (5)
где РЗ - размер заказа, шт.;
МЖЗ - максимальный желательный заказ, шт.;
ТЗ - текущий заказ, шт.;
ОП - ожидаемое потребление за время поставки, шт.
Как видно из формулы (5), размер заказа рассчитывается таким
образом, что при условии точного соответствия фактического потребления за время
поставки ожидаемому поставка пополняет запас на складе до максимального
желательного уровня.
Действительно, разница между максимальным желательным и текущим
запасом определяет величину заказа, необходимую для восполнения запаса до
максимального желательного уровня на момент расчета, а ожидаемое потребление за
время поставки обеспечивает это восполнение в момент осуществления поставки
[2].
Сравнение систем управления запасами.
Сравнение систем управления запасами отражено в таблице 5.
Таблица 5 - Сравнение основных систем управления запасами
|
Система
|
Преимущества
|
Недостатки
|
|
С фиксированным
размером заказа
|
Меньший уровень
максимального желательного запаса; экономия затрат на содержание запасов на
складе за счет сокращения площадей под запасы.
|
Введение
постоянного контроля за наличием запасов на складе.
|
|
С фиксированным
интервалом времени между заказами
|
Отсутствие
постоянного контроля за наличием запасов на складе.
|
Высокий уровень
максимального желательного запаса; повышение затрат на содержание запасов на
складе за счет увеличения площадей под запасы.
|
Использование той или иной системы управления запасами
зависит от следующих обстоятельств:
если издержки управления запасами значительнее и их можно
вычислить, то следует применять систему с фиксированным размером заказа.
если издержки управления запасами незначительные, то более
предпочтительной оказывается система с постоянным уровнем запасов.
однако, если налагаются ограничения, связанные с
грузоподъемностью транспортных средств, то более предпочтительной является
система с постоянным уровнем запасов.
система с постоянным уровнем запасов более предпочтительна и
в том случае, когда поставка товаров происходит в установленные сроки.
Система управления запасами с фиксированным размером заказа
часто выбирается тогда, когда необходимо быстро реагировать на изменение сбыта
[11].
1.3.3 Система
с установленной периодичностью пополнения запасов до установленного уровня
В данной системе, как и в системе с фиксированным интервалом
времени между заказами, входным параметром является период времени между
заказами. В отличие от основной системы, она ориентирована на работу при
значительных колебаниях потребления. Чтобы предотвратить завышение объемов
запасов, содержащихся на складе, или их дефицит, заказы производятся не только
в установленные моменты времени, но и при достижении запасом порогового уровня.
Таким образом, рассматриваемая система включает в себя элемент системы с
фиксированным интервалом времени между заказами (установленную периодичность
оформления заказа) и элемент системы с фиксированным размером заказа
(отслеживание порогового уровня запасов) [2].
Гарантийный (страховой) запас позволяет обеспечивать
потребителя в случае предполагаемой задержки поставки. Под возможной задержкой
поставки, как уже отмечалось выше, подразумевается максимально возможная
задержка. Восполнение гарантийного запаса производится во время последующих
поставок через пересчет размера заказа таким образом, чтобы его поставка
увеличила запас до максимального желательного уровня. Гарантийный запас не
оказывает непосредственного воздействия на функционирование системы в целом.
Порядок расчета всех параметров системы представлен в таблице
6.
Таблица 6 - Расчет параметров системы управления запасами с
установленной периодичностью пополнения запасов до постоянного уровня
|
Строка
|
Показатель
|
Порядок расчета
|
|
1
|
Потребность,
шт.
|
-
|
|
2
|
Интервал
времени между заказами, дни
|
|
|
3
|
Время поставки,
дни
|
-
|
|
4
|
Возможная
задержка поставки, дни
|
-
|
|
5
|
Ожидаемое
дневное потребление, шт. /день
|
стр.1/количество
рабочих дней
|
|
6
|
Ожидаемое
потребление за время поставки, шт.
|
стр.3 × стр.5
|
|
7
|
Максимальное
потребление за время поставки, шт.
|
(стр.3 +
стр.4) × стр.5
|
|
8
|
Гарантийный
запас, шт.
|
стр.7 - стр.6
|
|
9
|
Пороговый
уровень запаса, шт.
|
стр.8 + стр.6
|
|
10
|
Максимальный
желательный запас, шт.
|
стр.9 + стр.2 × стр.5
|
11 Размер заказа, шт.
(в зафиксированные моменты заказов),
|
(в момент достижения порогового уровня)
|
|
|
Примечание -
стр. - строка.
|
Исходные данные для расчета параметров системы таковы:
потребность в заказываемом продукте, шт.;
интервал времени между заказами, дни;
время поставки, дни;
возможная задержка поставки, дни.
Для определения интервала времени между заказами (или
периодичности пополнения запасов) можно воспользоваться рекомендациями для
расчета интервала времени между заказами (см. пункт 1.3.2).
Графическая иллюстрация функционирования системы управления
запасами с установленной периодичностью пополнения запасов до постоянного
уровня приведена на рисунке 8.
- момент заказа; 2 - время поставки; 3 - время задержки поставки
Рисунок 8 - График движения запасов в системе управления запасами
с установленной периодичностью пополнения запасов до постоянного уровня.
Из системы управления запасами с фиксированным размером заказа
рассматриваемая система заимствовала параметр порогового уровня запаса.
Пороговый уровень запаса определяет уровень запаса, при достижении которого
производится очередной заказ. Величина порогового уровня рассчитывается исходя
из значения ожидаемого дневного потребления таким образом, что поступление
заказа происходит в момент снижения текущего запаса до гарантийного уровня [2].
Таким образом, отличительной особенностью системы является то, что заказы
делятся на две категории. Плановые заказы производятся через заданные интервалы
времени. Возможны дополнительные заказы, если наличие запасов на складе доходит
до порогового уровня. Очевидно, что необходимость дополнительных заказов может
появиться только при отклонении темпов потребления от запланированных [6].
Максимальный желательный запас представляет собой тот постоянный
уровень, пополнение до которого считается целесообразным. Этот уровень запаса
косвенно (через интервал времени между заказами) связан с наиболее рациональной
загрузкой площадей склада при учете возможных сбоев поставки и необходимости
бесперебойного снабжения потребления.
Постоянно рассчитываемым параметром системы управления запасами с
установленной периодичностью пополнения запасов до постоянного уровня является
размер заказа. Как и в системе с фиксированными интервалом времени между
заказами, его вычисление основывается на прогнозируемом уровне потребления до
момента поступления заказа на склад организации [9].
Расчет размера заказа в рассматриваемой системе производится либо
по формуле (6) - в зафиксированные моменты заказов
РЗ = МЖЗ - ТЗ + ОП, (6)
либо по формуле (7) - в момент достижения порогового уровня
РЗ = МЖЗ - ПУ + ОП, (7)
где РЗ - размер заказа, шт.;
МЖЗ - максимальный желательный заказ, шт.;
ПУ - пороговый уровень запаса, шт.;
ОП - ожидаемое потребление до момента поставки, шт.
Как видно из данной формулы, размер заказа рассчитывается таким
образом, что при условии точного соответствия фактического потребления (до
момента поставки) прогнозируемому поставка пополняет запас на складе до
максимального желательного уровня [2].
1.3.4 Система
"Минимум-максимум"
Эта система, как и система с установленной периодичностью
пополнения запасов до постоянного уровня, содержит в себе элементы основных
систем управления запасами. Как и в системе с фиксированным интервалом времени
между заказами, здесь используется постоянный интервал времени между заказами.
Система "Минимум - максимум" ориентирована на ситуацию, когда затраты
на учет запасов и издержки на оформление заказа настолько значительны, что
становятся соизмеримы с потерями от дефицита запасов. Поэтому в рассматриваемой
системе заказы производятся не через каждый заданный интервал времени, а только
при условии, что запасы на складе в этот момент оказались равными или меньше
установленного минимального уровня [6].
В случае выдачи заказа его размер рассчитывается так, чтобы
поставка пополнила запасы до максимального желательного уровня. Таким образом,
данная система работает лишь с двумя уровнями запасов - минимальным и
максимальным, чему она и обязана своим названием [12].
Гарантийный (страховой) запас позволяет обеспечивать
потребителя в случае предполагаемой задержки поставки. Как и система с
установленной периодичностью пополнения запасов до постоянного уровня,
гарантийный запас используется для расчета порогового уровня запаса.
Пороговый уровень запаса в системе
"Минимум-максимум" выполняет роль "минимального" уровня.
Если в установленный момент времени этот уровень пройден, то есть наличный
запас равен пороговому уровню, или не достигает его, то заказ оформляется. В
противном случае заказ не выдается, и отслеживание порогового уровня, а также
выдача заказа будут произведены только через заданный интервал времени.
Порядок расчета параметров системы
"Минимум-максимум" представлен в таблице 7.
Таблица 7 - Расчет параметров системы управления запасами
"Минимум-максимум"
|
Строка
|
Показатель
|
Порядок расчета
|
|
1
|
Потребность,
шт.
|
-
|
|
2
|
Интервал
времени между заказами, дни
|
|
|
3
|
Время поставки,
дни
|
-
|
|
4
|
Возможная
задержка поставки, дни
|
-
|
|
5
|
Ожидаемое
дневное потребление, шт. /день
|
стр.1/
|
|
6
|
Ожидаемое
потребление за время поставки, шт.
|
стр.3 × стр.5
|
|
7
|
Максимальное
потребление за время поставки, шт.
|
(стр.3 +
стр.4) × стр.5
|
|
8
|
Гарантийный
запас, шт.
|
стр.7 - стр.6
|
|
9
|
Пороговый
уровень запаса, шт.
|
стр.8 + стр.6
|
|
10
|
Максимальный
желательный запас, шт.
|
стр.9 + стр.2 × стр.5
|
|
11
|
Размер заказа,
шт.
|
РЗ = МЖЗ - ПУ
|
|
Примечание -
стр. - строка.
|
Исходные данные для расчета параметров системы таковы:
потребность в заказываемом продукте, шт.;
интервал времени между заказами, дни;
время поставки, дни;
возможная задержка поставки, дни.
Для определения интервала времени между заказами следует
воспользоваться рекомендациями для расчета интервала времени между заказами
(см. пункт 1.3.2).
Максимальный желательный запас в системе
"Минимум-максимум" выполняет роль "максимального" уровня.
Его размер учитывается при определении размера заказа. Он косвенно (через
интервал времени между заказами) связан с наиболее рациональной загрузкой
площадей склада при учете возможных сбоев поставки и необходимости
бесперебойного снабжения потребления [2].
Графическая иллюстрация функционирования системы управления
запасами "Минимум-максимум" приведена на рисунке 9.
- момент заказа; 2 - время поставки; 3 - время задержки поставки
Рисунок 9 - График движения запасов в системе управления запасами
"Минимум-максимум".
Постоянно рассчитываемым параметром системы
"Минимум-максимум" является размер заказа. Как и в предыдущих
системах управления запасами, его вычисление основывается на прогнозируемом
уровне потребления до момента поступления заказа на склад организации [13].
Расчет размера заказа производится по формуле (8)
РЗ = МЖЗ - ПУ + ОП. (8)
1.4 Анализ и
нормирование запасов
При дефиците оборотных средств самым важным фактором для
управления ими является скорость оборачиваемости товарных запасов. Некоторые
менеджеры складов, опасаясь возможной нехватки товаров, систематически создают
избыточные запасы в целях подстраховки. Это приводит к излишним расходам и
сокращению прибыли.
Товарные запасы являются наименее ликвидными краткосрочными
активами и это подвергает их опасностям, которым не подвержены другие статьи
оборотных средств. Запасы - это замороженные средства, это деньги, которыми
нельзя пользоваться. Большинство предприятий избегают больших запасов с низкой
оборачиваемостью, так как это связано с риском. Вместо этого предпочтительно
иметь больше свободных средств путем ускорения оборачиваемости запасов.
Фирмы стремятся увеличить оборачиваемость запасов, чтобы при
меньшей площади складов и меньших затратах на содержание запасов получить
наибольший объем продажи и, следовательно, прибыли. Поскольку оборот товарных
запасов находится в прямой зависимости от объема реализации, финансовый
директор предприятия должен использовать все возможные методы стимулирования
сбыта и ускорения оборачиваемости товарных запасов. Одним из методов
стимулирования сбыта является либерализация условий кредита, с тем чтобы
покупатели могли приобретать больше товаров в кредит. В случае, если
предприятие уже имеет больше дебиторской задолженности, чем она может себе
позволить, финансовый директор может передать счета дебиторов факторинговой
компании для продолжения продаж в кредит [4].
Другим способом ускорения оборачиваемости товарных запасов
является расчет показателей оборачиваемости товарных запасов, с тем чтобы
определить, какой темп оборачиваемости является наилучшим для каждого
наименования товара [14].
Оборачиваемость товарных запасов определяется по формуле (9)
, (9)
где Котз - коэффициент оборачиваемости товарных
запасов;
Стз - стоимость товарных запасов;
Qос -
чистый объем оборотных средств.
Оборачиваемость производственных запасов рассчитывается по формуле
(10)
, (10)
где Копз - коэффициент оборачиваемости товарных
запасов;
ВР - выручка от реализации продукции, товаров, работ, услуг;
- среднегодовая стоимость производственных запасов.
Срок хранения запасов рассчитывается по формуле (11)
T1= Т2
×
/Cрп, (11)
где Т1 - срок хранения запасов;
Т2 - длительность анализируемого периода;
- средняя величина запасов.
Чем выше оборачиваемость запасов, тем меньше вероятность убытков
из-за морального износа товаров и их порчи, тем выше ликвидность предприятия и
предприятие может спокойно проводить операции с более низким коэффициентом
ликвидности [15].
Высокая оборачиваемость запасов требует более строгого контроля
над запасами, обеспечивающего минимальные вложения средств в них [16].
Достижение высокой оборачиваемости - нелегкая задача для крупных
предприятий, поскольку они вынуждены хранить на складах часть запасов
номенклатуры нерегулярного спроса. Если для экономически эффективной торговли
необходимо поддерживать высокий уровень оборачиваемости запасов, то для
обеспечения спроса на любой товар, включенный в торговую номенклатуру,
необходимо хранить широкий ассортимент редко продающихся товаров, что тормозит
оборачиваемость запасов [4].
Одной из причин низкой оборачиваемости запасов является большой
объем "мертвых" и бездействующих товаров, или "спящих",
запасов. К "мертвым" запасам относят товары, на которые вообще не
было спроса в течение года, к бездействующим - товары, спрос на которые был
случайным или очень редким.
Получить точную картину средней оборачиваемости можно, только
выявив и те и другие. После избавления от этих запасов оборачиваемость
возрастает [16].
При увеличении оборачиваемости возрастают объем реализации и
прибыль. Стоимость содержания запасов на складах растет из года в год
вследствие инфляции, роста стоимости аренды помещений, расходов на заработную
плату, накладных расходов и т.д., что вызывает естественное стремление снизить
уровень запасов за счет более частого заказа товаров меньшими партиями.
Однако если в результате снижения уровня хранимых запасов склад
потеряет возможность удовлетворять запросы клиентов, то потерянная при этом
прибыль может превысить стоимость содержания соответствующих запасов [4].
Значительный отток денежных средств, связанный с расходами на
формирование и хранение запасов, делает необходимым поиск путей их сокращения.
Такая задача не может быть решена в условиях стихийного формирования запасов -
необходима налаженная система контроля и анализа состояния запасов.
Основные цели контроля и анализа состояния запасов: обеспечение и
поддержание ликвидности и текущей платежеспособности; сокращение издержек
производства путем снижения затрат на создание и хранение запасов; уменьшение
потерь рабочего времени и простоев оборудования из-за нехватки сырья и
материалов; предотвращение порчи, хищений и бесконтрольного использования
материальных ценностей [17].
Нормирование товарных запасов в оптовой торговле и розничной сети.
Одним из важнейших направлений повышения эффективности сферы
товарного обращения становится задача управления товарными запасами, их
оптимизация [7].
Продвижение продукта из сферы производства в сферу потребления
осуществляется при непрерывно происходящих и возобновляющихся актах купли-продажи,
которые обусловлены спросом на товары, развиваются в зависимости от него и
направлены на удовлетворение потребностей с одной стороны, и извлечение прибыли
- с другой. В соответствии с этим организация товароснабжения розничной
торговой сети должна быть построена таким образом, чтобы товарная масса
доходила до своего конечного потребителя в необходимом объеме и ассортименте,
реализовывалась в удобном для приобретения месте, при высоком уровне
обслуживания, то есть в максимально подготовленном к потребителю виде [2].
Весьма важное значение имеет выбор места преобразования
производственного ассортимента в торговый. В зависимости от этого в
промышленности, оптовом или розничном звеньях создаются определенные товарные
запасы и соответствующая им материально техническая база. Выбор места
подсортировки связан, в первую очередь, с объемом затрат и предопределяет форму
товароснабжения розничного звена сферы товарообращения: транзитную или
складскую.
На первый взгляд, представляется наиболее целесообразным осуществлять
подсортировку товаров в местах их производства или конечной реализации, то есть
на промышленных предприятиях или в розничном звене. Складывается впечатление,
что, во-первых, это обеспечивает формирование и изменение ассортимента под
непосредственным воздействием спроса населения, во-вторых, упрощает связи между
производством и потребителем, усиливает их взаимодействие, что обеспечивает
более полное удовлетворение спроса. Однако чрезмерное увлечение этим течением
приводит к концентрации в розничном звене сферы товарного обращения
экономически необоснованной части товарных запасов [5].
В этой связи думается, что не всегда целесообразно применять в
качестве критерия оптимальности минимизацию числа звеньев товародвижения.
Условия товароснабжения магазинов достаточно разнообразны: по ассортименту
товаров, срокам их хранения, размеру торговых и складских помещений и т.п.
Оптимальный вариант, обеспечивающий минимальный размер запасов и затрат, не
зависит от числа звеньев продвижения. Не исключена возможность того, что при
доставке товара на дальние расстояния в магазины с небольшой торговой площадью
или палатки может оказаться целесообразным товароснабжение через два и более
складских звена [2].
Транзитный завоз, как правило, целесообразен только по товарам простого
ассортимента, скоропортящимся и некоторым другим. Таким образом, для основной
массы товаров сложного ассортимента наиболее целесообразно осуществлять
подсортировку в оптовом звене торговли [15].
Существуют различные методы оценки оптимальности товарных запасов,
но общее у них то, что итогом является получение такого товарного запаса (в
сумме или днях), который бы обеспечил бесперебойное обращение товарной массы
при заданном минимуме затрат.
К этим методам оценки относятся: опытно-статистический метод и
методы экспертных оценок, объединенные в группу эвристических методов; метод
технико-экономических расчетов и группа экономико-математических методов [18].
Общий норматив товарных запасов устанавливается организациями
ежегодно, он используется в качестве расчетного показателя.
Нормативы товарных запасов определяются по отдельным товарным
группам и товарам с учетом их потребительских свойств, с ориентацией на
повышение доли запасов в оптовой торговле [7].
При действующем порядке нормирования (с преобладанием
централизованного решения на верхнем уровне системы планирования) сначала
оценивается оборот розничной торговой сети в четвертом квартале планового года
(
). Затем проводится анализ удельного веса
этого квартала в общем годовом объеме продажи за предшествующие годы,
выявляются факторы, способствующие более равномерному распределению
товарооборота по кварталам. В итоге определяется товарооборот четвертого
квартала.
Далее рассчитывается среднедневной оборот четвертого квартала по
формуле (12)
. (12)
В результате расчет норматива запасов текущего хранения в денежном
измерении производится по формуле (13)
, (13)
где
- средневзвешенная норма оборачиваемости
запаса. Для определения можно воспользоваться формулой (14)
= Ii Ni / m, (14)
где m - общее число торговых систем;
Ii Ni - сумма
оптимумов товарного запаса i-го
наименования товара.
Общий норматив товарных запасов рассчитывается по формуле (15)
NZ = z + z1, (15)
где z - норматив, рассчитанный для основных
торговых систем;
z1 - запасы
в организациях розничной торговли, нормы оборачиваемости для которых не
устанавливаются.
Если средневзвешенная норма оборачиваемости на плановый год по
сравнению с текущим годом не меняется, товарные запасы будут возрастать в
соответствии с ростом товарооборота розничной торговой сети. Для определения
общей величины и прироста товарных запасов в розничной торговле и общественном
питании на плановый год необходимо учитывать запасы сезонного хранения и
досрочного завоза в розничных торговых организациях и запасы на предприятиях
общественного питания [19].
Нормативы товарных запасов определяются в денежном выражении и
днях оборота отдельно для оптовой и розничной торговли. Общий норматив запасов
товаров должен соответствовать нормативу, установленному в финансовых планах
торговых организаций.
Нормирование проводится по составным элементам: текущему
(торговому) запасу, запасу пополнения и страховому (гарантийному) запасу.
Величина первого элемента норматива текущего запаса определяется в зависимости
от количества товарных разновидностей в ассортиментном наборе, представленном в
торговом зале, и в запасе, хранящемся в подсобно-складских помещениях и
необходимом на время приемки и подготовки товаров к продаже, то есть для
текущего пополнения. Величина ассортиментного набора зависит от специализации
предприятия, объема товарооборота и количества потребительских признаков,
характеризующих ассортиментную разновидность. При небольшом количестве товарных
групп и разновидностей товаров, продаваемых в магазинах (специализированных при
узком ассортименте), норматив определяют как произведение суммарного числа
разновидностей по каждой товарной группе и средней розничной цены.
Запас для текущего пополнения обеспечивает бесперебойную продажу
товаров в период между двумя очередными поставками.
Период и частота завоза товаров зависят от числа дней продажи,
которые обеспечиваются поставкой, величины затрат, связанных с оформлением
заказа и сроков хранения, вероятности отсутствия товаров в случае отклонения
спроса от нормального уровня. Частота завоза продовольственных товаров
значительно выше, чем непродовольственных. Завоз некоторых продуктов питания
осуществляется ежедневно.
Пример расчета норматива товарных запасов приведен в таблице 8.
Таблица 8 - Алгоритм расчета нормы товарного запаса в
розничной торговле
|
Наименование
показателя
|
Формула расчета
|
Условные
обозначения
|
|
1
|
2
|
3
|
|
Общая стоимость
ассортиментного набора, тыс. руб.
|
―
|
|
|
Норма запаса
товаров в объеме ассортиментного набора, дни.
|
m - однодневный товарооборот, тыс. руб.
|
|
|
Запас в размере
однодневного оборота, тыс. руб.
|
―
|
|
|
Норма запаса в
размере однодневного товарооборота, дни.
|
―
|
|
|
Норма на
приемку, подготовку товаров к продаже, дни.
|
 - определяется в ходе фотографии рабочего времени
|
|
|
Запас,
находящийся в приемке, подготовке товаров к продаже, тыс. руб.
|
Зn = Дn× m
|
―
|
|
Запас
"текущего пополнения", т
|
Q - размер партии поставки в денежном выражении, тыс. руб.
|
|
|
Норма запаса
"текущего пополнения", дни.
|
―
|
|
|
Страховой
запас, тыс. руб.
|
 - среднее квадратичное отклонение однодневного товарооборота
|
|
|
Норма
страхового запаса, дни
|
Дстр =
Зстр / m
|
―
|
|
Норма на
приемку и складирование товара
|
Дпр
|
Дпр
- определяется в ходе фотографии рабочего времени
|
|
Запас,
находящийся в приемке и складировании
|
―
|
|
, (16)
. (17)
Определение страхового (гарантийного) запаса имеет особенности для
продовольственных и непродовольственных товаров. Для продовольственных товаров
он устанавливается в среднем 50 - 100% величины текущего запаса, для
непродовольственных - до 50%. В практике нормирования запасов учитывается также
период нахождения товаров в пути. Он составляет для непродовольственных товаров
от одного до десяти дней [7].
2. Анализ и
рекомендации по совершенствованию системы планирования запасов на торговом
предприятии ООО "ДНС"
2.1 Краткая
характеристика предприятия ООО "ДНС"
Общество с ограниченной ответственностью "ДНС" (г.
Новосибирск) представляет собой коммерческое предприятие, занимающееся
розничной торговлей товарами широкого потребления. Предприятие создано в 2000
году. На сегодняшний день ассортимент предприятия представлен несколькими
группами: тканями, постельными принадлежностями, верхней и легкой одеждой.
Цель деятельности предприятия - извлечение прибыли от
торговой деятельности и ее максимизация в долгосрочной перспективе. Миссия
предприятия - удовлетворение потребностей потребителей в качественных товарах,
создание благоприятных условий для своих работников и повышения их творческого
потенциала.
Для удовлетворения нужд потребителей ООО "ДНС"
стремится к повышению качества реализуемых товаров по средствам улучшения
системы снабжения и сбыта, снижению издержек обращения, чтобы удерживать цены
на приемлемом уровне и делать товары доступными для различных групп
потребителей.
Снижение торговых затрат предприятие стремится обеспечить за
счет горизонтальной и вертикальной интеграции с поставщиками в целях снижения
издержек обращения, экономии на масштабе и рационального использования
ресурсов.
В целях создания благоприятных условий жизнедеятельности для
своих работников ООО "ДНС" поставило задачи обеспечения для них
достойных условий труда, достойного уровня оплаты труда, возможности обучения,
развития карьеры каждого работника.
Предприятие ООО "ДНС" работает с четырьмя
поставщиками тканей и постельных принадлежностей: ООО "Диана-Плюс"
(г. Уральск, Казахстан), ОАО "Тернопольское объединение Текстерно"
(г. Тернополь, Украина), ОАО "Текстильторг" (г. Москва), ЗАО
"ИВАНТЕКС" (Ивановская обл., г. Иваново) и двумя местными
поставщиками одежды: ОАО "Эстэль" и ООО "Ткани".
По степени отдаленности склада поставщика от склада ООО
"ДНС" всех поставщиков данного предприятия можно разделить на три
группы:
значительной удаленности (Украина, Казахстан);
средней удаленности (г. Москва, г. Иваново);
местные (г. Новосибирск).
На сегодняшний день предприятие предлагает большой
ассортимент блузочных, костюмных и джинсовых тканей, а также различную
искусственную кожу и замшу. Учитывая то, что поставки тканей осуществляются
достаточно большими партиями напрямую с фабрик-производителей, предприятие
предлагает покупателям большой ассортимент тканей в различной цветовой гамме по
относительно невысоким ценам.
Ассортимент и цены на ткани, постельные принадлежности,
одежду рассчитаны на покупателя со средним уровнем дохода.
Основными структурными подразделениями предприятия ООО
"ДНС" являются: торговая база (склад), магазины и офис.
Торговый отдел является самостоятельным подразделением ООО
"ДНС" и возглавляется заместителем генерального директора по
коммерческой работе. Основными задачами торгового отдела являются:
обеспечение выполнения плана товарооборота;
осуществление коммерческой работы с предприятиями оптовой
торговли и другими поставщиками товаров;
организация четкого товароснабжения в целях наиболее полного
удовлетворения спроса населения;
осуществление контроля за ценообразованием;
осуществление мероприятий по развитию розничной сети,
внедрению прогрессивных форм и методов продажи товаров.
От поставщиков все товары поступают на торговую базу (склад)
предприятия, расположенную в Новосибирске.
Организационная структура предприятия приведена на рисунке
10.
Рисунок 10 - Организационная структура ООО "ДНС"
Торговая база организована в составе предприятия, ее задачи:
хранение текущих запасов;
сдача в аренду излишних складских площадей.
С торговой базы товары распределяются в розничные магазины
города. Магазины ООО "ДНС" ("ДНС", "Каприз")
специализируются на реализации тканей, постельных принадлежностей, женской
одежды.
Перечень товарных групп, на продаже которых специализируется
предприятие, их удельный вес в составе товарооборота за период с 2007 по 2009
годы представлены в таблице 9.
Таблица 9 - Анализ розничного товарооборота ООО
"ДНС"
|
Группы товаров
|
2009 г.
|
2010 г.
|
2011 г.
|
Изменение за
2009-2011 гг.
|
|
Тыс. руб.
|
Уд. вес, %
|
Тыс. руб.
|
Уд. вес, %
|
Тыс. руб.
|
Уд. вес, %
|
Тыс. руб.
|
Уд. веса, %
|
|
Ткани
|
7225
|
49,1
|
8362
|
53,5
|
8545
|
50,1
|
1320
|
1,1
|
|
Постельные принадлежности
|
3261
|
22,1
|
3562
|
22,8
|
4122
|
24,2
|
861
|
2,0
|
|
Верхняя женская
одежда
|
1582
|
10,7
|
1465
|
9,4
|
1618
|
9,5
|
36
|
-1,3
|
|
Легкая женская
одежда
|
2658
|
18,0
|
2232
|
14,3
|
2760
|
16,2
|
102
|
-1,9
|
|
Всего
|
14726
|
100,0
|
15621
|
100,0
|
17045
|
100,0
|
2319
|
-
|
Товарооборот ООО "ДНС" в 2009 - 2011 гг. увеличился
на 2319 тыс. руб. или на 15,7 процентных пункта. Основную долю в структуре
товарооборота занимают ткани (50,1). В 2009 - 2011 гг. увеличилась доля
постельных принадлежностей (на 2 процентных пункта) и тканей (на 1,1 процентных
пункта), доля одежды, соответственно, снизилась.
Таким образом, основными ассортиментными группами в продажах
предприятия являются ткани и постельные принадлежности.
2.2 АВС и
XYZ-анализ ассортимента предприятия
Ассортиментный перечень предприятия ООО "ДНС"
насчитывает 420 наименований товаров. Ассортимент тканей представлен различными
видами, типами тканей и их цветовой гаммой, насчитывает порядка 84 видов.
Ассортимент верхней одежды представлен демисезонными пальто,
полупальто, куртками; легкий ассортимент - костюмами, платьями, футболками,
комплектами, жакетами, жилетами, блузками, брюками, юбками. Ассортимент
постельных принадлежностей представлен комплектами постельного белья,
полотенцами, матрацами, халатами, пледами, одеялами и подушками, насчитывает
порядка 186 видов.
АВС-анализ ассортимента состоит из следующих этапов:
выбор классификационного признака;
определение масштаба оценки и проведение расчетов;
группировка ресурсов в порядке убывания по классификационному
признаку;
выделение трех групп ресурсов: А, В, С.
В качестве классификационного признака для АВС-анализа
ассортимента ООО "ДНС" для товарной группы "ткани"
выступает объем продаж в натуральных единицах изменения.
Масштаб расчетов ограничим двумя основными товарными группами
- тканями и постельными принадлежностями, составляющим вместе 74,3% от общего
объема продаж в 2011 году.
В категорию А ассортимента тканей входят такие виды тканей,
как: джинс, костюмная ткань, лен, ситец, сукно, твид, вельвет, шифон, плащевка.
В категорию А ассортимента постельных принадлежностей входят
в основном: КПБ (комплекты постельного белья), покрывала, пледы и скатерти.
Для данных номенклатурных позиций категории А тканей и
постельных принадлежности необходимы: регулярная оценка достоверности как
самого прогноза товародвижения, так и его методов; периодический подсчет
запасов с жесткими допусками, ежедневное обновление данных в базе данных;
постоянные отслеживание и анализ требований спроса, объемов заказываемых партий
и размера страхового запаса, преследующие цель общего уменьшения размера
заказов, а значит, снижения издержек, связанных с хранением изделий на складах;
тщательное отслеживание и сокращение длительности функционального цикла.
Категория В ассортимента тканей представлена такими видами
тканей, как: шерсть, крек. В категорию В ассортимента постельных
принадлежностей входят: полотенца, пижамы, пододеяльники, шторы для ванной. Для
данных товаров применяются те же меры, что и для категории А, но они
осуществляются реже и с большими приемлемыми допусками.
Категория С ассортимента ООО "ДНС" представлена
менее популярными среди покупателей видами тканей и постельных принадлежностей:
парадиз, лайкра, некоторые виды вельвета, трикотажа; простыни, подушки,
наволочки, халаты, коврики. Данные изделия обязательно должны быть в наличии,
поскольку дефицит товаров категории С может сорвать планы сбыта категории А.
Так, например, покупатель при приобретении матраца или одеяла (товар категории
С) чаще всего приобретает к нему и комплекты постельного белья, покрывала, пледы
(товар категории А). При отсутствии нужного ему основного товара (матраца или
одеяла) он не будет покупать и сопутствующий товар (КПБ, покрывала, пледы), а
лучше обратится в другой магазин с более широким ассортиментом и наличием
товара. По ассортиментной группе тканей к категории С относятся также
сопутствующие или вспомогательные материалы к основным тканям, относящимся к
категории А или В.
Фиксация информации о товаре категории С должна быть простой,
контроль объема запасов производится посредством периодического осмотра.
Проведем анализ ассортимента предприятия ООО "ДНС"
на основе XYZ-методики. XYZ-анализ состоит из следующих этапов:
определяются коэффициенты вариации по отдельным позициям в
ассортименте;
ассортимент товаров группируется в порядке возрастания
коэффициента вариации;
совокупность товаров ассортимента разделяется на три группы:
X, Y, Z.
Рассчитаем коэффициенты вариации по отдельным позициям
ассортимента тканей и постельных принадлежностей по формуле (1). При этом в
качестве "xi" примем объем продаж по i-ой позиции ассортимента.
Пример расчета коэффициента вариации по товару ассортимента
тканей "коттон стрейч" приведен ниже:
,
Аналогично рассчитывается коэффициент вариации по остальным
товарам ассортиментного перечня предприятия.
Так как спрос на ткани менее стабилен по сравнению с
постельными принадлежностями и другими ассортиментными группами, алгоритм
дифференциации ассортимента тканей на группы X, Y, Z отличается от алгоритма
дифференциации постельных принадлежностей. Коэффициент вариации по тканям
изменяется от 0,02 до 1,31 (от 2% до 131%), при этом основные продажи
приходятся на группу товаров с коэффициентом вариации 0,12 - 0,2. Поэтому для
данной группы товаров принимается следующий алгоритм классификации:
группа Х: ν ≤ 20%;
группа Y: 20% < ν ≤ 35%;
группа Z: ν > 35%.
Запасы товаров по группе Х, спрос на которые относительно
других товаров данной ассортиментной группы равномерен, либо подвержен
незначительным колебаниям, включают такие виды тканей, как: костюмная,
плащевка, шифон, стрейч, джинс, джерси.
Группа Y, запасы товаров по которой потребляются в
колеблющихся объемах, представлена следующими видами товаров: трикотаж, лайкра,
некоторые виды джинсовой ткани, твид, лен, стрейч, вельвет.
Группа Z включает запасы, спрос на которые возникает
эпизодически: вельвет, некоторые виды трикотажа, джинсовой ткани, жатка, сукно.
Коэффициент вариации по постельным принадлежностям изменяется
от 0,05 до 0,49 (от 5% до 49%).
К группе Х относятся в основном: КПБ, покрывала, некоторые
полотенца и скатерти. Группу Y составляют: полотенца и их наборы, одеяла,
пододеяльники и наволочки, простыни, пледы, халаты, шторы. К группе Z относятся
в основном пижамы производства Казахстан.
Наиболее ценными являются запасы групп АХ, АY, AZ, так как по
ним зафиксирован наибольший объем продаж (спроса). К ним относятся ткани:
костюмная ткань, джинс, шифон, трикотаж, лен, вельвет; постельные
принадлежности: КПБ, покрывала, скатерти, пледы. Их потребление носит
постоянный характер, т.е. есть возможность определить точную потребность.
Различаются данные группы по уровню стабильности спроса.
Средними по стоимости являются запасы товаров групп BX, BY,
BZ. К ним относятся ткани: шерсть, стрейч, некоторые виды трикотажа и джинсовой
ткани, вельвета, костюмных тканей, крек, жатка, сукно; постельные
принадлежности: полотенца, наволочки, пододеяльники, подушки, одеяла, матрацы,
шторы, пижамы. Их потребление имеет тенденции к повышению или понижению, либо
подвержено сезонным колебаниям.
Самыми небольшими являются запасы товаров по группам CX, CY,
CZ. К ним относятся ткани: некоторые виды джинса, вельвета, джерси, твид,
парадиз, лукра; постельные принадлежности: простыни, коврики, халаты.
Потребление данных видов товаров носит нерегулярный характер.
Группы запасов АХ, АY, AZ (костюмная ткань, джинс, шифон,
трикотаж, лен, вельвет; КПБ, покрывала, скатерти, пледы) требуют наибольшего
внимания, для них необходимо более тщательное планирование потребности,
нормирование расхода, ежедневный учет и контроль, постоянный анализ отклонений
от запланированных показателей. Стратегия управления данными группами запасов
характеризуется особой тщательностью при определении момента подачи заказа и
определении очередной партии поставки, а также строгим контролем их наличия на
складе.
Таким образом, в результате проведения АВС и XYZ-анализа
выявлены ключевые, наиболее важные товарные группы предприятия ООО
"ДНС" и установлены на этой основе приоритеты при управлении их
запасами на складе.
2.3 Анализ
существующей системы планирования запасов на ООО "ДНС"
Система управления материальными запасами в ООО
"ДНС" целенаправленна на повышение уровня обслуживания покупателей,
снижение затрат на выполнение заказов и поддержание необходимого уровня
запасов. Управление материальными запасами на рассматриваемом предприятии
организовано по следующим направлениям:
отслеживание и учет наличных запасов и заказов по принятой
модели товароснабжения;
прогнозирование спроса в виде динамики изменения нормы
дневного потребления, включая определение возможных ошибок прогноза;
оперативное получение информации о возможностях поставщика
при выполнении заказа, о сроках производства и поставки;
оценка стоимости поддержания запасов, стоимости заказов,
расходов (потерь) из-за недостаточности запасов;
классификация и анализ запасов с использованием распределения
АВС, отражающего потребительские свойства запасов.
В функции управления запасами входят: организация,
координация, планирование, анализ, регулирование запасов. Данные функции
распределены между различными структурными подразделениями ООО "ДНС"
(таблица 10).
|
Наименование
функции
|
Содержание
|
Ответственный
за выполнение
|
|
Организация
|
Установление определенной
последовательности выполнения функции управления и их распределение между
структурными подразделениями
|
Генеральный
директор
|
|
Координация
|
Обеспечение
согласованного выполнения функций управления
|
Заместитель
генерального директора по коммерческой работе
|
|
Планирование
|
Установление
цели, прогнозирование ее выполнения в условиях ограничения во времени и
ресурсах; определение размера, структуры и динамики запасов для
удовлетворения спроса потребителей
|
Торговый отдел
|
|
Аналитическая
|
Выявление
тенденций и отклонений в движении запасов
|
Торговый отдел,
торговая база, магазины, бухгалтерия
|
|
Регулирующая
|
Целенаправленное
экономическое воздействие на организационные условия поставки; поддержание
определенного уровня и структуры запасов с целью предотвращения образования
аномальных запасов
|
Торговый отдел
|
Из таблицы видно, что стратегическим управлением
материальными запасами на предприятии занимается генеральный директор. Он
отслеживает функционирование системы управления запасами в организации,
результаты ее работы. Оперативную работу подразделений по управлению
материальными запасами координирует заместитель генерального директора по
коммерческой работе. В его подчинение входит торговый отдел, который занимается
планированием, оценкой и регулированием материальных запасов, а также торговая
база и магазины, которые заняты оперативным контролем материальных запасов.
Планирование запасов в торговом отделе ООО "ДНС"
строится на избирательном распределении ресурсов по пяти признакам, к которым
относятся:
сегментация потребительского рынка (состава потребителей);
формирование необходимого ассортимента продукции;
интеграция грузоперевозок;
определение временных потребностей, требований конкуренции.
Стратегия управления запасами в ООО "ДНС" нацелена
на удовлетворение запросов каждой из ключевых групп потребителей. Быстрая
доставка товаров для полного выполнения запросов потребителей является важной
движущей силой логистики предприятия. Используемые в связи с данной
необходимостью модели снабжения на предприятии в реальном времени призваны
сокращать общий объем запасов за счет создания таких условий, которые позволяют
своевременно и точно реагировать на возникающие потребности розничной торговли.
Мониторингом состояния запасов в ООО "ДНС"
занимаются работники торговой базы (склада) предприятия, которые
непосредственно взаимодействуют со специалистами торгового отдела в целях
непрерывного сравнения нормативных параметров с фактическими, обеспечивая тем
самым единую "следящую систему".
Разработку правил определения момента и объема заказа,
определение приоритетов при пополнении запасов осуществляют также специалисты
торгового отдела. С помощью данных правил и приоритетов регулируются параметры
заказов системы товароснабжения.
Другой важнейшей функцией управления запасами, которую
выполняют специалисты торгового отдела, является контроль за ходом выполнения
заказов, обеспечивающий обратную связь для принятия персоналом фирмы
эффективных решений по закупкам.
В торговом отделе ООО "ДНС" разработаны различные
модели управления запасами. Применение той или иной модели обусловлено
условиями транспортировки и характером потребительского спроса на данный товар.
Так, для планирования запасов тканей и постельных
принадлежностей, поставляемых из Украины и Москвы, используется смешанная система:
для тканей - система с фиксированным размером заказа, так как условия поставок
данного вида товара не позволяют получать товары различными по величине
партиями; для постельных принадлежностей - система с фиксированным интервалом
времени между заказами, так как отгрузка постельных принадлежностей происходит
совместно с поставкой тканей (одной автомашиной) - в установленные периоды
времени.
Для планирования запасов постельных принадлежностей,
поставляемых из Казахстана, используется система с фиксированным размером
заказа.
Поставки тканей и постельных принадлежностей из Украины и
Москвы осуществляются автомашинами по маршруту: г. Тернополь (Украина) - г.
Москва - г. Иваново (Ивановская обл.) - г. Новосибирск. Поставки постельных
принадлежностей из Казахстана осуществляются железнодорожными вагонами.
Рассмотрим существующую на ООО "ДНС" систему
планирования запасов тканей с фиксированным размером заказа.
Работа строится на плане продаж, который готовит торговый
отдел. План продаж показывает, сколько единиц товаров определенной позиции
продадут магазины за планируемый период. Он составляется на год с разбивкой по
месяцам с последующей ежемесячной корректировкой плана. На основании плана
продаж составляется план закупок. Основная задача специалиста торгового отдела
ООО "ДНС" - правильно и четко спланировать поставку продукции на
торговую базу предприятия, опираясь на план продаж. Для этого необходимо для
каждого вида товаров и поставщика определить оптимальный размер заказа,
рассчитать число заказов за планируемый период и составить график движения
запасов.
За планируемый период возьмем 2012 год. Ассортиментный
перечень содержит 84 наименований тканей. За 2012 год планируется продать 84350
м ткани, из которых товары группы А составляют 80% от всего объема продаж
(67480 м), товары группы В - 15% (12652 м), товары группы С - 5% (4218 м). План
продаж тканей на 2012 год по месяцам приведен в таблице 11.
Таблица 11 - План продаж тканей на 2012 год (м)
|
Месяц
|
Метр
|
Метр/день
|
|
Январь
|
7254
|
251
|
|
Февраль
|
6552
|
234
|
|
Март
|
7781
|
251
|
|
Апрель
|
7530
|
251
|
|
Май
|
7998
|
258
|
|
Июнь
|
7740
|
258
|
|
Июль
|
7936
|
256
|
|
Август
|
7440
|
240
|
|
Сентябрь
|
6960
|
232
|
|
Октябрь
|
7099
|
229
|
|
Ноябрь
|
6840
|
228
|
|
Декабрь
|
3220
|
104
|
|
Всего
|
84350
|
-
|
Рассчитаем оптимальный размер заказа. Для этого определим
основные издержки, связанные с заказом. Они складываются из транспортных
расходов по доставке товаров от поставщика, издержек хранения и транспортных
расходов по доставке товаров со склада в магазины предприятия.
В издержки хранения входят все затраты, связанные с хранением
товара на складе: амортизация основных средств, расходы на ГСМ, инструменты и
приборы, складской инвентарь, отопление склада, водопотребление,
электроэнергия, заработная плата работников склада, начисления на заработную
плату, оплата работы внештатных рабочих, расходные материалы, спецодежда,
оплата услуг по обслуживанию оборудования. Среднее значение издержек хранения
составляет 10% от стоимости запаса.
Средняя цена закупки одного метра ткани составляет 69 рублей.
Поставка производится автомашинами. Автотранспортный тариф на перевозку грузов
по рассматриваемому маршруту (на расстояние около 4 тыс. км) составляет 73,2
тыс. руб. Автомашина загружается тканями (88%) и постельными принадлежностями
(12%). Следовательно, стоимость перевозки, приходящаяся на ассортиментную
группу тканей, составляет 64,2 тыс. руб.
Одна машина вмещает около 15000 м ткани и 5000 ед. постельных
принадлежностей. Следовательно, для поставки 84350 метров ткани в год
потребуется 6 машин (по максимальной загрузке с учетом достаточности места для
другого товара). Если величина партии будет меньше 13000 м, то в год
потребуется 7 машин.
Расчет оптимального размера заказа представлен в таблице 12.
Таблица 12 - Расчет оптимального размера заказа тканей
(поставка г. Тернополь - г. Иваново - г. Новосибирск)
|
Количество
партий - количество заказов
|
1
|
2
|
3
|
4
|
5
|
6
|
7
|
|
Величина
партии, м
|
84350
|
42175
|
28117
|
21088
|
16870
|
14820
|
12050
|
|
Среднемесячный
заказ, м
|
42175
|
21088
|
14059
|
10544
|
8435
|
7410
|
6025
|
|
Стоимость
среднемесячных запасов, тыс. руб.
|
2910
|
1455
|
970
|
728
|
582
|
511
|
416
|
|
Издержки
хранения (10% от стоимости запаса), тыс. руб.
|
291
|
146
|
97
|
73
|
58
|
51
|
42
|
|
Издержки по
выполнению заказа
|
385
|
385
|
385
|
385
|
385
|
385
|
450
|
|
Итого издержек
по хранению и выполнению заказа
|
676
|
531
|
482
|
458
|
443
|
436
|
492
|
Издержки по выполнению заказа при 6 машинах: 64,2×6 = 385 тыс. руб.; при 7 машинах: 64,2×7 = 450 тыс. руб.
Годовая потребность в натуральном выражении: S = 84,35 тыс.
м.
Стоимость выполнения одного заказа: А = 64,2 тыс. руб.
Стоимость среднемесячных запасов: 7410×69 = 511 тыс. руб.
Издержки хранения: i = 51 тыс. руб.
По формуле Уилсона (1) рассчитываем оптимальный размер заказа
по критерию минимизации совокупных затрат на хранение запаса и повторение
заказа:
ОРЗ = = 14,82 тыс. м
Таким образом, оптимальный размер заказа тканей составляет 14820
метров.
Определим параметры системы с фиксированным размером заказа для
данной ассортиментной группы на январь - февраль 2010 г. (таблица 13).
Таблица 13 - Расчет параметров системы с фиксированным
размером заказа (поставка тканей) на январь - февраль 2010 г.
|
Показатель
|
Значение
|
|
Оптимальный
размер заказа, м
|
14820
|
|
Время поставки,
дни
|
8
|
|
Возможная
задержка поставки, дни
|
3
|
|
Ожидаемое
дневное потребление, м/день
|
234
|
|
Срок
расходования заказа, дни
|
14820/234 = 63
|
|
Ожидаемое
потребление за время поставки, м
|
8×234 =
1872
|
|
Максимальное
потребление за время поставки, м
|
(8+3) ×234 = 2574
|
|
Гарантийный
запас, м
|
3×234 =
702
|
|
Пороговый
уровень запаса, м
|
2574
|
|
Максимальный
желательный запас, м
|
702+14820 =
15522
|
|
Срок
расходования запаса до порогового уровня, дни
|
(15522-2574)
/234 = 55,3
|
Так как срок расходования заказа (63 дня) больше времени
поставки (8 дней), следующий заказ осуществляется после поставки товаров на
склад ООО "ДНС".
В марте - апреле 2012 года ожидается рост потребления до 251
м/день. Соответственно рассчитываются параметры системы (таблица 14).
Таблица 14 - Расчет параметров системы с фиксированным
размером заказа (поставка тканей) на январь - февраль 2012 г.
|
Показатель
|
Значение
|
|
Оптимальный
размер заказа, м
|
14820
|
|
Время поставки,
дни
|
8
|
|
Возможная
задержка поставки, дни
|
3
|
|
Ожидаемое
дневное потребление, м/день
|
251
|
|
Срок
расходования заказа, дни
|
14820/251 = 59
|
|
Ожидаемое
потребление за время поставки, м
|
8×251 =
2008
|
|
Максимальное
потребление за время поставки, м
|
(8+3) ×251 = 2761
|
|
Гарантийный
запас, м
|
3×251 =
753
|
|
Пороговый
уровень запаса, м
|
2761
|
|
Максимальный
желательный запас, м
|
753+14820 =
15573
|
|
Срок
расходования запаса до порогового уровня, дни
|
(15573-2761)
/251 = 51
|
Аналогичные расчеты производятся для остальных периодов.
Известно, что на 1 января 2012 года на торговой базе ООО
"ДНС" хранилось 14228 метров тканей. Таким образом, количество дней
оборота складских запасов тканей должно составлять на начало года 60,8 дней
(14228/234 = 60,8).
Построим график движения запасов на первый квартал 2012 года
(рисунок 11).
Рисунок 11 - График движения запасов тканей в первом квартале 2012
года
Таким образом, заказ планируется открыть 20 февраля, а первую
поставку на склад - 2 марта.
В течение года планируется пять поставок вместо шести, так как на
начало 2012 года на складе находится объем запаса, достаточный для одной
партии. В таблице 15 приведены планируемые даты заказов и поставок по партиям в
течение года.
Таблица 15 - Даты планируемых заказов и поставок тканей в 2012
году
|
Номер партии
|
Дата заказа
|
Планируемая
дата поставки
|
|
1
|
20 февраля
|
2 марта
|
|
2
|
21 апреля
|
29 апреля
|
|
3
|
17 июня
|
26 июня
|
|
4
|
15 августа
|
24 августа
|
|
5
|
18 октября
|
27 октября
|
На конец года по плану остаток запасов тканей составит 4459
метров. Количество дней оборота складских запасов тканей на 31.12.2012 составит
43 дня (4459/104=42,9). Таким образом, за счет четкого планирования и
составления графика движения товарных запасов по данному виду товаров удалось
снизить складские запасы с 14,228 до 4,459 метров при полном ассортименте:
каждая партия должна состоять из 80% товаров группы А, 15% товаров группы В и
5% товаров группы С. Продолжительность оборота складских запасов сократится на
18 дней (60,8 - 42,9=17,9).
Постельные принадлежности поставляются по двум схемам: из
Москвы (поставщик ОАО "Текстильторг") и из Казахстана. Из Москвы
постельные принадлежности поставляются в одной машине вместе с тканями.
Максимальная вместимость одной машины с учетом загрузки тканей соответственно
оптимальному размеру заказа (14820 м) - около 5000 ед. постельных
принадлежностей.
Для управления запасами постельных принадлежностей,
поставляемых из Москвы, на предприятии применяется система с фиксированным
интервалом времени между заказами. Интервал времени между заказами определяется
по максимальному периоду времени между заказами тканей, так как поставки
постельных принадлежностей зависят от поставок тканей (осуществляются одной
машиной).
Максимальный период времени между планируемыми поставками
(см. таблицу 15) составляет 59 дней. Рассчитаем оптимальный размер заказа
постельных принадлежностей в 2010 году. Для этого из формулы (2) выражаем
показатель ОРЗ - формула (18)
ОРЗ = S × i/ N, (18)
Потребность в постельных принадлежностях по плану на 2010 год
составляет 30 тыс. единиц товара.
ОРЗ = 30000×59/ 360 = 4917.
Таким образом, в среднем размер одного заказа должен
составлять 4917 ед. На год потребуется 30000 ед., поэтому необходимо
осуществить шесть поставок данного вида товаров (30000/4917). Однако остаток
постельных принадлежностей, поставляемых из Москвы, на 01.01.10 составляет 7235
ед., достаточный для одной партии, поэтому на 2010 год потребуется пять
поставок данных товаров, то есть столько же, сколько тканей.
Рассчитаем параметры системы с фиксированным интервалом
времени поставок для постельных принадлежностей. Учитывая, что данная группа
товаров отличается более стабильным спросом (это показал XYZ-анализ
ассортимента), в расчетах будем применять усредненное значение ожидаемого
дневного потребления за год: 30000/360 = 83 ед.
Расчет параметров системы с фиксированным интервалом времени
представлен в таблице 16.
Таблица 16 - Расчет параметров системы с фиксированным
интервалом времени (поставка постельных принадлежностей)
|
Показатель
|
Значение
|
|
Потребность,
ед.
|
30000
|
|
Интервал
времени между заказами, дни
|
59
|
|
Время поставки,
дни
|
8
|
|
Возможная
задержка поставки, дни
|
3
|
|
Ожидаемое
дневное потребление, ед. /день
|
83
|
|
Ожидаемое
потребление во время поставки, ед.
|
664
|
|
Максимальное
потребление за время поставки, ед.
|
913
|
|
Гарантийный
запас, ед.
|
249
|
|
Максимальный
желательный запас, ед.
|
5146
|
|
Размер заказа,
ед.
|
РЗ=МЖЗ-ТЗ+ОП
|
Первая поставка планируется на 2 марта. Период времени с
начала года до первой поставки составляет 59 дней. За это время объем
потребления товара составит 4897 ед. (59×83). Следовательно, остатки
товара на 2 марта составят 2338 ед. (7235 - 4897). Тогда размер заказа
постельных принадлежностей на 20 февраля должен быть равен:
РЗ = 5146 - 2338 + 664 = 3472 ед.
После поставки 2 марта объем запасов составит:
+ 2338 = 5810 ед.
На момент следующей поставки планируемые запасы на складе
составят 1079 ед.
Размер заказа постельных принадлежностей на 21 апреля должен
быть:
РЗ = 5146 - 1079 + 664 = 4731 ед.
Тогда на 29 апреля запасы постельных принадлежностей с учетом
поставки составят 5810 ед. Аналогично рассчитываются объемы заказов на
следующие периоды. Общий график движения запасов постельных принадлежностей в
2010 году приведен на рисунке 12.
Рисунок 12 - График движения запасов постельных принадлежностей в
2012 г. (поставщик ОАО "Текстильторг")
Величина заказываемых партий постельных принадлежностей по датам
заказов будет следующая: 20 февраля: 3472 ед.; 21 апреля: 4731 ед.; 17 июня:
4731 ед.; 15 августа: 4814 ед.; 18 октября: 5229 ед.
На конец 2010 года запасы постельных принадлежностей составят 415
единиц.
Таким образом, продолжительность оборота запасов постельных
принадлежностей в результате четкого планирования и составления графика
движения товарных запасов снизится на 82 дня, то есть увеличится их
оборачиваемость.
Поставки постельных принадлежностей из Казахстана осуществляются
на основе системы управления запасами с фиксированным размером заказа.
Перевозки производятся железнодорожными вагонами. Стоимость перевозки товаров в
пятитонном контейнере на расстояние 2 тыс. км составляет около 5 тыс. руб.
Годовая потребность в постельных принадлежностях производства
Казахстан по плану составляет в натуральном выражении: S = 8000 ед.
Стоимость выполнения одного заказа: А = 5 тыс. руб.
Стоимость среднемесячных запасов: 1600×0,07 = 112 тыс. руб.
Издержки хранения: i = 11,2 тыс. руб.
Таким образом, оптимальный размер заказа постельных
принадлежностей из Казахстана составляет (по формуле 2) 2670 единиц. Определим
параметры системы с фиксированным размером заказа для данной ассортиментной
группы на 2012 г. (таблица 17).
Таблица 17 - Расчет параметров системы с фиксированным
размером заказа (поставка постельных принадлежностей из Казахстан) на 2012 г.
|
Показатель
|
Значение
|
|
1
|
2
|
|
Оптимальный
размер заказа, ед.
|
2670
|
|
Время поставки,
дни
|
4
|
|
Возможная
задержка поставки, дни
|
1
|
|
Ожидаемое
дневное потребление, ед. /день
|
22
|
|
Срок
расходования заказа, дни
|
121
|
|
Ожидаемое
потребление за время поставки, ед.
|
88
|
|
Максимальное
потребление за время поставки, ед.
|
110
|
|
Гарантийный
запас, ед.
|
22
|
|
Пороговый
уровень запаса, ед.
|
110
|
|
Максимальный
желательный запас, ед.
|
2692
|
|
Срок
расходования запаса до порогового уровня, дни
|
(2692-110) /22
= 117
|
На начало 2010 года остаток товаров производства Казахстан на
складе предприятия составил 1038 единиц, которых хватит при ожидаемом
потреблении 22 ед. в день на 47 дней, то есть до 17 февраля. Следовательно,
заказ необходимо открывать 12 февраля, тогда 17 февраля на склад поступит
партия 2670 ед. постельных принадлежностей. График движения запасов на
планируемый год представлен на рисунке 13.
Рисунок 13 - График движения запасов постельных принадлежностей
(Казахстан)
Таким образом, в течение года необходимо произвести три отгрузки -
12 февраля, 14 июня, 14 октября. Общая сумма транспортных расходов по
контейнерам составит 15 тыс. рублей (3×5).
Стоимость среднемесячных запасов в данной системе поставок
составляет 112 тыс. рублей. Следовательно, издержки хранения за год равны 134,4
тыс. руб. (112×0,1×12).
Остатки постельных принадлежностей (Казахстан) на начало года
составляют 1038 ед., значит, продолжительного оборота запасов данных товаров
составляет 47 дней (1038/22). Остатки на конец года составят 1106 ед.,
продолжительность оборота запасов - 50 дней.
Таким образом, для контроля за состоянием запасов по товарам,
занимающим основную долю в объемах продаж предприятия ООО "ДНС" -
тканей, используется система с фиксированным размером заказа. Проведен анализ
данной системы на примере расчета основных ее параметров и построения графика
движения запасов на планируемый год. Данная система позволяет экономить на
затратах по содержанию запасов, но требует постоянного учета и контроля
конечных остатков.
Система, выбранная для постельных принадлежностей, поставляемых из
Москвы (поставщик ОАО "Текстильторг") - с фиксированным интервалом
между заказами, наоборот не требует постоянного отслеживания остатков, но
характеризуется большим максимальным запасом. Данная система выбрана в связи с
тем, что данные товары поставляются вместе с тканями (одной автомашиной),
поэтому зависят от графика их поставок. То есть даты заказов постельных
принадлежностей зафиксированы.
Для контроля за состоянием запасов постельных принадлежностей,
поставляемых из Казахстана, используется система с фиксированным размером
заказа в целях экономии затрат хранения.
Выбранные системы управления запасами позволяют не только избежать
перебоев в ассортименте, но и значительно сократить складские запасы, повысить
их оборачиваемость. Составление четкого графика движения запасов позволяет
улучшить уровень обслуживания клиентов при снижении затрат на содержание
запасов.
2.4
Рекомендации по совершенствованию системы планирования запасов на ООО
"ДНС"
В ходе работы специалистов торгового отдела ООО
"ДНС" в 2012 году общий график движения запасов будет изменяться на
основе фактических данных. Основными причинами изменений будут являться:
изменение интенсивности потребления в ту или другую сторону,
то есть колебания спроса;
задержка или ускорение поставки; поставка незапланированного
объема заказа; ошибки учета фактического запаса, ведущие к неправильному
определению размера заказа.
В связи с этим запланированные графики движения запасов в
конце каждого месяца должны корректироваться. Анализ выявленных отклонений,
полученных в процессе сравнения планового и фактического графика, поможет найти
ошибки в планировании движения запасов и выявить факторы, неучтенные при
планировании.
Какой бы метод управления запасами не выбрала компания,
существуют минимальные требования, чтобы данная система просто была управляемой
и обеспечила возможность реализовать различные методы планирования запасов:
уточнены объемные, пространственные и временные параметры
запасов, стоимости хранения единицы запаса;
налажена система информационного мониторинга за состоянием
запасов и непрерывного контроля нормируемых параметров;
уточнены реальные стоимости и время выполнения заказов,
налажен управленческий учет параметров выполнения заказов и контроль хода их
прохождения;
разработаны правила определения момента и объема заказа.
В целях совершенствования системы планирования запасов на
предприятии необходимо, во-первых, повышать точность прогнозирования
товарно-групповой структуры потребительского спроса, так как от точности
прогнозирования зависит величина планируемого объема продаж товаров по каждой
позиции ассортиментного перечня. А плановый объем продаж - основа для
планирования поставок и управления запасами. Чем точнее будут плановые
показатели, тем выше оборачиваемость запасов и ниже издержки хранения и
выполнения заказов. В современной практике применяются различные подходы к
прогнозированию товарно-групповой структуры потребительского спроса:
генетический, нормативный, эвристический, сравнительный. Каждый из них
реализуется посредством определенных способов расчетов спроса. По возможности
необходимо использовать несколько подходов и способов расчета прогнозируемого
объема спроса.
Практически для каждой компании исходя из особенностей ее
торгово-закупочной деятельности, целесообразно строить индивидуальную систему
планирования и управления запасами, совмещающую оба похода. Причем в число
эффективных приемов позволяющих решить важную, но частную задачу управления
запасами, могут привлекаться и такие универсальные финансовые техники, как
бюджетирование. Применение бюджетирования, как средства систематического
оперативного планирования объемов реализации, закупок и запасов существенно
повышает точность предсказания, поскольку каждый при этом планирует в сфере
своей компетенции.
Во-вторых, необходимо снижать вероятность возникновения
ошибок учета фактического объема запасов, так как они ведут к неправильному
определению размера заказа товаров во всех системах планирования запасов. Для
этого использовать, например, современную учетную систему запасов на складе с
использованием компьютеров.
Мониторинг состояния запасов должен обеспечивать непрерывное
сравнение нормативных параметров с фактическими, то есть работать как
"следящая система". Определение соответствующих объемных,
пространственных и временных параметров запасов позволит перейти к оптимизации
размещения товаров на складе, а, следовательно, к минимизации затрат. А расчет
нормативных характеристик запасов (в натуральном выражении) позволит после
постановки бюджетирования (формирования бюджетов закупок и хранения) перейти к
оптимизации издержек, связанных с формированием и поддержанием запасов.
В-третьих, необходимо отслеживать эффективность
непосредственно самих систем планирования запасов. Так, например, за счет
применения системы с фиксированным размером заказа для постельных
принадлежностей, поставляемых из Казахстана, оборачиваемость запасов товаров
данной группы снизится, а продолжительность оборота запасов увеличится на 3
дня. Поэтому для данной группы товаров необходимо рассмотреть возможность
применения другой системы поставок, например, системы с фиксированным
интервалом времени между поставками. Обоснование применения указанной системы
для постельных принадлежностей заключается в том, что данные товары не требуют
значительных затрат на хранение и отличаются хорошей предсказуемостью спроса
(по данным XYZ-анализа). Кроме того, поставки данного вида товаров
осуществляются вагонами и контейнерами различного объема, поэтому у предприятия
есть возможность варьирования объема заказа.
Рассчитываем интервал между поставками:
.
Далее рассчитываем параметры системы с фиксированным
интервалом времени между поставками (таблица 18).
Таблица 18 - Расчет параметров системы с фиксированным
интервалом времени (поставка постельных принадлежностей из Казахстана)
|
Показатель
|
Значение
|
|
1
|
2
|
|
Потребность,
ед.
|
8000
|
|
Интервал
времени между заказами, дни
|
40
|
|
Время поставки,
дни
|
4
|
|
Возможная
задержка поставки, дни
|
1
|
|
Ожидаемое
дневное потребление, ед. /день
|
22
|
|
Ожидаемое
потребление во время поставки, ед.
|
88
|
110
|
|
Гарантийный
запас, ед.
|
22
|
|
Максимальный
желательный запас, ед.
|
22+40×22
= 902
|
|
Размер заказа,
ед.
|
РЗ=902-ТЗ+88
|
Последний заказ на поставку постельных принадлежностей из
Казахстана был произведен 7 декабря, а поставка - 11 декабря 2011 года.
Следующая поставка по плану должна быть через 40 дней, то есть 20 января 2012
года. Остатки товаров на 01.01.12 - 1038 ед. Планируемый ежедневный расход
составляет 22 единицы. Значит, на момент очередного заказа, 16 января, остатки
товаров составят 642 ед. Определяем размер заказа:
РЗ = 902-642+88 = 348 ед.
Аналогичные расчеты проводятся для оставшегося времени
планового периода.
В данной системе по сравнению с системой с фиксированным
размером заказа постоянным является интервал времени между заказами - 40 дней.
Соответственно, исходя из годовой потребности данного вида товаров (8 тыс.
ед.), потребуется 8 партий товара: первая объемом 348 единиц, остальные - по
968 единиц.
Транспортные расходы на доставку первой партии 348 ед.
(приблизительно 500 кг) на склад в Новосибирске составят 2,5 тыс. руб.,
остальных партий: 24,5 (3,5×7).
Среднемесячные остатки товаров на складе предприятия составят
466 ед. или 32620 рублей. Остатки товаров на конец года по плану - 308 ед.
Следовательно, продолжительность оборота складских запасов на конец года будет
равна 14 дней, а по среднемесячной стоимости запасов - 21 день.
График движения запасов постельных принадлежностей
производства ООО "Диана-Плюс" (Казахстан) в предлагаемой системе с
фиксированным интервалом времени между заказами приведен на рисунке 14.
Рисунок 14 - График движения запасов постельных принадлежностей
(Казахстан) в системе с фиксированным интервалом времени между заказами
Сравнение основных параметров систем управления запасами
постельных принадлежностей приводится в таблице 19.
Таблица 19 - Сравнение основных параметров систем управления
запасами постельных принадлежностей
|
Показатель
|
Система с
фиксированным размером заказа
|
Система с
фиксированным интервалом
|
|
1
|
2
|
3
|
|
Количество
партий в год
|
3
|
8
|
|
Максимальный
желательный запас, ед.
|
2692
|
902
|
|
Среднемесячные
остатки товаров на складе, ед.
|
1600
|
466
|
|
Среднемесячные
остатки товаров на складе, тыс. руб.
|
112
|
32,62
|
|
Издержки
хранения, тыс. руб.
|
11,2×12
= 134,4
|
3,26×12
= 39,1
|
|
Транспортные
расходы, тыс. руб.
|
5×3 = 15
|
27
|
|
Общие расходы,
тыс. руб.
|
149,4
|
66,1
|
|
Продолжительность
оборота складских запасов на конец года, дней
|
50
|
14
|
Таким образом, использование системы с фиксированным
интервалом времени для планирования запасов постельных принадлежностей,
поставляемых из Казахстана, позволит добиться снижения величины максимального
желательного запаса, среднемесячных остатков товаров на складе. Экономия
расходов на хранении составит 95,3 тыс. руб., а общие расходы снизятся на 83,3
тыс. рублей или на 56%. Продолжительность оборота складских запасов снизится на
36 дней, увеличится их оборачиваемость. По сравнению с началом года
продолжительность оборота запасов снизится на 33 дня. Следовательно, данная
система управления запасами является более эффективной.
3. Вопросы
безопасности жизнедеятельности
3.1
Организация обучения и проверка знаний по охране труда руководителей и
специалистов
Система управления охраной труда (СУОТ) - часть общей системы
управления
<http://slovari.yandex.ru/%7E%D0%BA%D0%BD%D0%B8%D0%B3%D0%B8/%D0%9E%D1%85%D1%80%D0%B0%D0%BD%D0%B0%20%D1%82%D1%80%D1%83%D0%B4%D0%B0/%D0%A1%D0%B8%D1%81%D1%82%D0%B5%D0%BC%D0%B0%20%D1%83%D0%BF%D1%80%D0%B0%D0%B2%D0%BB%D0%B5%D0%BD%D0%B8%D1%8F/>
(менеджмента) организации, обеспечивающая управление рисками
<http://slovari.yandex.ru/%7E%D0%BA%D0%BD%D0%B8%D0%B3%D0%B8/%D0%9E%D1%85%D1%80%D0%B0%D0%BD%D0%B0%20%D1%82%D1%80%D1%83%D0%B4%D0%B0/%D0%A0%D0%B8%D1%81%D0%BA/>
в области охраны здоровья
<http://slovari.yandex.ru/%7E%D0%BA%D0%BD%D0%B8%D0%B3%D0%B8/%D0%9E%D1%85%D1%80%D0%B0%D0%BD%D0%B0%20%D1%82%D1%80%D1%83%D0%B4%D0%B0/%D0%97%D0%B4%D0%BE%D1%80%D0%BE%D0%B2%D1%8C%D0%B5/>
и безопасности труда <http://slovari.yandex.ru/%7E%D0%BA%D0%BD%D0%B8%D0%B3%D0%B8/%D0%9E%D1%85%D1%80%D0%B0%D0%BD%D0%B0%20%D1%82%D1%80%D1%83%D0%B4%D0%B0/%D0%91%D0%B5%D0%B7%D0%BE%D0%BF%D0%B0%D1%81%D0%BD%D0%BE%D1%81%D1%82%D1%8C%20%D1%82%D1%80%D1%83%D0%B4%D0%B0/>,
связанными с деятельностью организации.
Обучение безопасности труда и виды инструктажа.
Обучение безопасным приёмам труда для работников проводится на
основании государственного стандарта - "ГОСТ 12.0.004-90 ССБТ. Организация
обучения по безопасности труда. Общие положения”. Обязательность обучения и
инструктирования работников по охране труда отражены в Трудовом кодексе
Российской Федерации.
Порядок обучения по охране труда и проверки знаний требований
охраны труда работников организаций утверждён совместным постановлением
Минтруда России и Минобразования России от 13 января 2003 года № 1/29.
Работодатель обязан организовать проведение инструктажей, обучение
и стажировку по безопасным методам выполнения работ, оказанию первой
доврачебной помощи пострадавшим.
Законодательно же закрепляется обязательность подготовки по охране
труда при изучении программ начального, среднего и высшего профессионального
образования.
В соответствии c ГОСТ 12.0.004-90 инструктажи по охране труда
подразделяют на следующие виды.
Вводный инструктаж - проводится со всеми вновь принимаемыми на
работу; с временными работниками; командированными; студентами на
производственной практике. Вводный инструктаж проводит инженер по охране труда
или лицо, на которое приказом возложены эти обязанности. Инструктаж проводится
по программе, утверждённой руководителем организации в кабинете охраны труда.
О проведении вводного инструктажа делают запись в журнале
регистрации вводного инструктажа с обязательной подписью инструктируемого и
инструктирующего. Дополнительно может быть использована личная карточка
прохождения обучения.
Первичный инструктаж на рабочем месте - проводится со всеми вновь
принятыми на предприятие; с работниками, выполняющими новую для них работу;
временными работниками; командированными; студентами на производственной практике.
Инструктаж проводиться непосредственно на рабочем месте по
программам, утверждённым руководителями подразделений.
От данного инструктажа освобождаются лица, которые не связаны с
обслуживанием и ремонтом оборудования, использованием инструмента, хранением и
применением сырья и материалов. Перечень профессий и должностей работников,
освобождённых от первичного инструктажа на рабочем месте, согласовывается с
профсоюзной организацией и утверждается работодателем.
Повторный инструктаж - проходят все работники, за исключением лиц,
освобождённых от первичного инструктажа на рабочем месте, не реже одного раза в
полугодие. Для некоторых категорий работников может быть установлен более
продолжительный (до 1 года) срок проведения повторного инструктажа при согласовании
с профсоюзной организацией и соответствующими органами надзора и контроля.
Внеплановый инструктаж - проводится:
при изменении вида работ;
при введении в действие новых или переработанных стандартов или
инструкций по охране труда;
при несчастном случае на производстве;
при нарушении требований безопасности труда;
по требованию органов надзора и контроля;
при перерывах в работе - 60 дней, а для работ, к которым
предъявляют повышенные требования безопасности труда - более 30 дней.
Целевой инструктаж - проводится:
при производстве работ, на которые оформляется наряд-допуск;
при выполнении разовых работ, не связанных с прямыми обязанностями
по специальности (погрузка и разгрузка, уборка территории);
при ликвидации последствий аварий, стихийных бедствий и катастроф;
при выполнении работ вне территории предприятия;
при проведении экскурсии на предприятии, организации массовых
мероприятий и т.п.
Первичный инструктаж на рабочем месте, повторный, внеплановый и
целевой проводит непосредственный руководитель работ (мастер, преподаватель). О
проведении инструктажа лицо, проводившее инструктаж, делает запись в журнале
регистрации инструктажа. Целевой инструктаж фиксируется в наряде-допуске или
оформляется актом. Обучение по безопасности труда носит непрерывный и многоуровневый
характер, и проводиться как в образовательных учебных заведениях, так и на
предприятиях, в учреждениях и организациях. Вопросы безопасности труда должны
включаться в дипломные проекты (работы), контролем изучения данного курса
является экзамен.
При подготовке к рабочей профессии изучение безопасности труда
может быть как отдельной дисциплиной (повышенные требования безопасности), так
и путём включения соответствующих вопросов в программы других дисциплин.
Безопасность труда изучается при получении второй профессии.
Проверке знаний охраны труда в рамках должностных обязанностей
также подлежат:
работодатели и руководители предприятий, учреждений и организаций;
специалисты организаций, контролирующие работу оборудования
(производственный процесс) или имеющие в подчинении работников;
лица, занимающиеся предпринимательской деятельностью,
осуществляющих руководство, организацию, надзор и контроль работ, выполняемых
подчинёнными им работниками;
инженерные и педагогические работники профессиональных образовательных
учреждений, использующие в учебном процессе оборудование, руководящие практикой
студентов и др.;
руководители и специалисты при всех формах повышения квалификации
по специальности (профессии);
и другие категории.
Проверка знаний по охране труда, поступивших на работу
руководителей и специалистов, проводиться не позднее одного месяца после
назначения на должность, а для работающих - периодически, но не реже одного
раза в три года.
Внеочередная проверка знаний по охране труда руководителей и специалистов
организаций проводится:
при введении новых или переработанных (дополненных)
законодательных и иных нормативных актов по охране труда;
при изменениях технологических процессов, переводе на другую
работу, если это предусматривает изучение новых правил по охране труда;
после аварий и несчастных случаев;
при нарушениях законодательства по охране труда;
по требованию органов надзора и контроля;
при перерыве в работе более одного года.
Проверка знаний осуществляется комиссией в составе не менее чем из
трёх человек. Оформляется протокол. При успешной сдаче экзамена выдаётся
удостоверение, утверждённого Министерством труда и социального развития
Российской Федерации образца. Удостоверение действительно на территории России.
Руководители и специалисты, не прошедшие проверку знаний по охране труда из-за
неудовлетворительной подготовки, в соответствии с Трудовым кодексом РФ временно
отстраняются от должности без сохранения заработной платы и обязаны в срок не
позднее одного месяца пройти повторную проверку знаний. Повторная
неудовлетворительная проверка знаний охраны труда является основанием для
решения вопроса о соответствии занимаемой должности.
Дополнительно отметим, что в соответствии с Трудовым кодексом РФ и
вышеназванным порядком обучения по охране труда и проверки знаний требований
охраны труда работников организаций, работодатель обязан организовывать не реже
одного раза в год обучение работников оказанию первой помощи пострадавшим.
3.2
Противопожарная профилактика на предприятии
Противопожарная профилактика - комплекс организационных и
технических мероприятий по предупреждению, локализации и ликвидации пожаров, а
также по обеспечению безопасной эвакуации людей и материальных ценностей в
случае пожаров.
Пожарная безопасность - это такое состояние промышленного
объекта, при котором исключается возможность пожара, а в случае его
возникновения предупреждается влияние на людей опасных факторов и
обеспечивается защита материальных ценностей. Пожары наносят огромный
материальный ущерб, приводят к травмам и гибели людей, так как сопровождаются
возникновением опасных факторов, таких как открытый огонь, повышенная
температура, токсичные вещества, дым, недостаток кислорода, повреждение и
нарушение зданий, сооружений, взрывы технического оборудования и тому подобное.
Поэтому выполнение правил пожарной безопасности на предприятиях является
обязательным для всех должностных лиц и граждан. Основы пожарной безопасности
закладываются на стадии проектирования предприятия, здания, сооружения,
планирования технологического процесса, установления оснащения, то есть
учитывается инженерно - технологическими мероприятиями, которые представлены в
проектах при разработке проектной документации на строительство, и требует
сурового выполнения противопожарных правил в процессе эксплуатации. Пожарная
безопасность промышленных предприятий состоит из системы предупреждения
пожаров, системы пожарной защиты и организационно-технических мероприятий.
Система предупреждения пожаров - это комплекс организационных
и технических средств, направленных на исключение возможности возникновения
пожаров, на предотвращение образования горючей и взрывоопасной среды путем
регламентации содержимого горючих газов, паров и пыли в воздухе, а также
исключение возможности возникновения источников загорания или взрыва;
обеспечение пожарной безопасности технологических процессов, оборудования,
электрооборудования, систем вентиляции, сохранение сырья и других материалов.
Исключению и предотвращению пожаров содействует: герметизация
производственного оборудования, замена горючих веществ, которые применяются в
технологических процессах на негорючие, ограничение объемов веществ,
применяемых и сохраняемых на предприятии; контроль над концентрацией веществ в
воздухе в помещениях и технологическом оборудовании; применение рабочей и
аварийной вентиляции; отвод горючей среды в специальные устройства и безопасные
места; применение ингибирующих и флегматизирующих примесей; выбор безопасных
скоростных режимов движения среды и пр.
Система пожарной защиты обеспечивается применением
архитектурно-проектных решений, преград пути распространения пожара,
огнеотсекающих устройств на технологических коммуникациях, в системах
вентиляции, воздушного отопления и кондиционирования воздуха.
Организационно-технические мероприятия связаны с системами
предупреждения пожаров и системами противопожарной защиты и должны включать:
организацию пожарной охраны, организацию ведомственных служб в соответствии с
законодательством Украины и решениями местных органов самоуправления;
паспортизацию веществ, материалов, изделий, технологических процессов, зданий и
сооружений в части обеспечения
Все мероприятия пожарной безопасности производства по
назначению разделяются на четыре группы:
1). Мероприятия, которые обеспечивают пожарную безопасность
технологического процесса и оборудования, сохранение сырья и готовой продукции.
). Строительно-технические мероприятия, направленные на
исключение причин возникновение пожаров и на создание устойчивости ограждающих
конструкций и зданий, на предотвращение возможности распространения пожаров и
взрывов.
). Организационные мероприятия, которые обеспечивают
организацию пожарной охраны, обучение работающих методам предупреждения пожаров
и применения первичных способов тушения пожаров.
). Мероприятия по эффективному выбору способов тушения
пожаров, оснащения пожарного водоснабжения, пожарной сигнализации, создания
запаса средств тушения.
Противопожарная защита обеспечивается: выбором класса
огнестойкости объекта и пределов огнестойкости строительных конструкций;
ограничением распространения огня в случае возникновения очага пожара;
применением систем противодымной защиты; обеспечением безопасной эвакуации
людей; применением средств пожарной сигнализации, извещения и пожаротушения;
организацией пожарной охраны предприятия.
Заключение
Материальные запасы коммерческих предприятий относятся к
числу объектов, требующих значительных капиталовложений и поэтому представляют
собой один из факторов, определяющих политику предприятия и воздействующих на
уровень логистического обслуживания в целом. Однако многие предприятия не
уделяют ему должного внимания и недооценивают свои будущие потребности в
наличных запасах.
Целью управления запасами в торговле являются обеспечение
бесперебойной торговой деятельности при наименьших затратах и максимальном
удовлетворении спроса. Поддержание запасов на минимальном уровне является
средством увеличения прибыли, поэтому главной задачей является нахождение
оптимального уровня запасов для каждого вида товаров.
В дипломной работе представлены основные понятия теории
запасов, исследованы системы управления запасами, их сильные и слабые стороны.
Показано их применение на примере торгового предприятия ООО "ДНС".
Какую бы систему управления запасами не применяло
коммерческое предприятие сегодня, оно должно располагать всем
"инструментарием" для управления материальными запасами - необходимым
методическим обеспечением и компьютерными программами для формирования всей
нормативной базы и управления финансовыми и материальными потоками. В случае
необходимости и в связи с изменением спроса на рынках на реализуемую продукцию
это позволит быстро отреагировать - изменить ассортиментную политику,
сформировать новую нормативную базу, перестроить процессы снабжения и сбыта.
В результате проведения АВС и XYZ-анализа выявлены ключевые,
наиболее важные товарные группы предприятия ООО "ДНС" и установлены
на этой основе приоритеты при управлении их запасами на складе.
В торговом отделе ООО "ДНС" разработаны различные
модели управления запасами. Применение той или иной модели обусловлено
условиями транспортировки и характером потребительского спроса на данный товар.
Выбранные системы управления запасами позволяют не только
избежать перебоев в ассортименте, но и значительно сократить складские запасы,
повысить их оборачиваемость. Составление четкого графика движения запасов
позволяет улучшить уровень обслуживания клиентов при снижении затрат на
содержание запасов.
В целях совершенствования системы управления запасами на
предприятии ООО "ДНС" необходимо:
во-первых, повышать точность прогнозирования
товарно-групповой структуры потребительского спроса, так как плановый объем
продаж - основа для планирования поставок и управления запасами. Чем точнее
будут плановые показатели, тем выше оборачиваемость запасов и ниже издержки
хранения и выполнения заказов;
во-вторых, проводить мероприятия по снижению вероятности
возникновения ошибок учета фактического объема запасов, так как они ведут к
неправильному определению размера заказа товаров во всех системах управления
запасами. Для этого использовать, например, современную учетную систему запасов
на складе с использованием компьютеров;
в-третьих, необходимо отслеживать эффективность
непосредственно самих систем управления запасами. Так, например, за счет
применения системы с фиксированным размером заказа для постельных
принадлежностей, поставляемых из Казахстана, оборачиваемость запасов товаров
данной группы снизится, а продолжительность оборота запасов увеличится на 3
дня.
Поэтому для данной группы товаров необходимо рассмотреть
возможность применения другой системы поставок, например, системы с
фиксированным интервалом времени между поставками. Обоснование применения
указанной системы для постельных принадлежностей заключается в том, что данные
товары не требуют значительных затрат на хранение и отличаются хорошей
предсказуемостью спроса (по данным XYZ-анализа). Кроме того, поставки данного
вида товаров осуществляются вагонами и контейнерами различного объема, поэтому
у предприятия есть возможность варьирования объема заказа.
Использование системы с фиксированным интервалом времени для
управления запасами постельных принадлежностей, поставляемых из Казахстана,
позволит добиться снижения величины максимального желательного запаса,
среднемесячных остатков товаров на складе, расходов на хранение данных товаров,
продолжительности оборота складских запасов, увеличения их оборачиваемости.
По предложенным рекомендациям эффективность общей системы
контроля за состоянием запасов, сформированной в дипломной работе, для ООО
"ДНС" повысится за счет:
снижения уровня затрат на содержание запасов тканей и
постельных принадлежностей (оборачиваемость складских запасов тканей в
планируемом году увеличится с 6 до 8 оборотов в год, запасов постельных
принадлежностей - увеличится с 8 до 26 оборотов в год);
построения графиков движения запасов. Данные графики улучшают
качество работы торгового отдела, так как специалисты по закупкам получают
общую схему работы на каждый месяц планового года по каждому виду товаров,
упрощается процесс принятия решений по заказам (график показывает в какой
момент необходимо разместить заказ, чтобы покрыть плановую потребность в
товаре), работа становиться более прозрачной, что позволяет быстрее реагировать
на внешние изменения (покупательский спрос и условия поставки). Анализ
выявленных отклонений, полученных в результате сравнения планового и
фактического графика, поможет найти ошибки в планировании движения запасов или
выявить факторы, неучтенные при планировании.
Список
использованных источников
1. Гаджинский,
А.М. Логистика [Текст]: учебник / М.А. Гаджинский. - М.: Дашков и Ко,
2005. - 432 с.
2. Логистика
[Текст]: учебное пособие / под ред. Б.А. Аникина. - М.: ИНФРА-М, 1999. - 327 с.
. Зеваков,
А.М. Логистика производственных и товарных запасов [Текст]: учебное пособие /
А.М. Зеваков. - СПб.: Изд-во Михайлова В.А., 2002. - 320с.
. Волгин,
В.В. Склад: организация, управление, логистика [Текст]: учебное пособие / В.В.
Волгин. - М.: Дашков и Ко, 2006. - 732 с.
. Долгов,
А.П. Логистика запасов [Текст]: учебное пособие / А.П. Долгов. - СПб.: СПбГУЭФ,
2002. - 120с.
. Практикум
по логистике [Текст]: учебное пособие / под ред. Б.А. Аникина. / - М.: ИНФРА-М,
2006. - 276 с.
. Растова,
Ю.И. Нормирование запасов в логистике [Текст]: учебное пособие / Ю.И. Растова.
- М.: Изд-во Алтайского университета, 2006. - 88 с.
. Гаджинский,
А.М. Практикум по логистике [Текст]: учебное пособие / А.М. Гаджинский. - М.:
Дашков и Ко, 2009. - 312 с.
. Майзнер,
Н.А. Складская логистика [Текст]: учебное пособие / Н.А. Майзнер, М.Ю.
Николаева. - М.: ТГЭУ, 2006. - 180 с.
. Радионов,
А.Р. Логистика: нормирование сбытовых запасов и оборотных средств предприятия
[Текст]: учебное пособие / А.Р. Радионов, Р.А. Радионов. - М.: Дело, 2002. -
416 с.
. Миротин,
Л.Б. Логистика для предпринимателя: основные понятия, положения и процедуры [Текст]:
учебное пособие / Л.Б. Миротин, Ы.Э. Ташбаев. - М.: ИНФРА-М, 2003. - 252 с.
. Уотерс,
Д. Логистика. Управление цепью поставок [Текст]: учебник / Д. Уотерс. - М.:
ЮНИТИ-ДАНА, 2003. - 503 с.
. Стаханов,
В.Н. Торговая логистика [Текст]: учебное пособие / В.Н. Стаханов, Р.В.
Шеховцев. - М.: ПРИОР, 2000. - 112 с.
. Долгов,
А.П. Теория запасов и логистический менеджмент [Текст]: методология системной
интеграции и принятия эффективных управленческих решений / А.П. Долгов. - СПб.:
СПбГУЭФ, 2004. - 272 с.
. Ефимова,
О.В. Финансовый анализ [Текст]: учебное пособие / О.В. Ефимова. - М.:
Бухгалтерский учет, 1999. - 352 с.
. Костирко,
Р.О. Финансовый анализ [Текст]: учебное пособие / Р.О. Костирко. - М.: Фактор,
2007. - 784 с.
. Ионова,
А.Ф. Финансовый анализ [Текст]: учебник / А.Ф. Ионова, Н.Н. Селезнева. - М.:
Проспект, 2006. - 624 с.
. Финансовый
менеджмент [Текст]: учебное пособие / под ред. проф.Е.И. Шохина. - М.: ИД
ФБК-ПРЕСС, 2004. - 408 с.
. Вахрушина,
М.А. Управленческий анализ [Текст]: учебное пособие / М.А. Вахрушина. - М.:
Омега-Л, 2005 - 432 с.
. Ляпина,
О.П. Безопасность жизнедеятельности. Управление охраной труда и промышленной
безопасностью [Текст]: учебное пособие / О.П. Ляпина. - Новосибирск: СГГА,
2009. - 239 с.