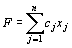
|
Постачальники
|
Споживачі
|
Запаси
|
|
B1
|
B2
|
...
|
Bn
|
|
|
A1
|
C11 x11
|
C12 x12
|
...
|
C1n x1n
|
a1
|
|
A2
|
C21 x21
|
C22 x22
|
...
|
C2n x2n
|
a2
|
|
...
|
...
|
...
|
...
|
...
|
...
|
|
Am
|
Cm1 xm1
|
Cm2 xm2
|
...
|
Cmn xmn
|
am
|
|
Потреби
|
b1
|
b2
|
...
|
bn
|
|
Вартість всього плану виразиться
подвійною сумою:
Z =
.
(1.24)
Систему обмежень одержуємо з
наступних умов задачі:
б) всі потреби повинні бути
задоволені, тобто
(j =
1,2,3...,n) (рівняння виходять із стовпців таблиці).
Таким чином, математична
модель транспортної задачі має наступний вигляд.
Знайти найменше значення
лінійної функції:
=
( 1.25)
при обмеженнях
, i = 1, 2 ..., m (1.26)
, j = 1,2,3...,n (1.27)³ 0 ( j =
1,2,3 ..., m; i = 1,2,3 ..., n).
В розглянутій моделі
передбачається, що сумарні запаси рівні сумарним потребам, тобто
(1.28)
Така модель називається
закритою.
Для вирішення транспортної
задачі за допомогою дельта-методу використовується наступний алгоритм.
Алгоритм дельта-методу.
Перетворимо таблицю Сij в
таблицю приростів
, вибираючи
в кожному стовпці найменшу вартість і віднімаючи її зі всіх вартостей стовпця.
Значення
записуємо
під відповідними значеннями
.
Таблицю
перетворюємо
в таблицю 
ij, вибираючи в кожному рядку
найменший приріст і віднімаючи його зі всіх приростів рядка; результати
записуємо під значеннями
ij . Якщо в
якому-небудь рядку вже є нульовий приріст після першого перетворення, то в
цьому рядку приросту залишаємо без зміни і перетворимо прирости рядків, що не
містять нульових приростів.
Проглядаємо стовпці, що
містять один нульовий приріст, і в клітки, що містять його, записуємо потреби
bj, не звертаючи уваги на величину запасів постачальників.
Потім проглядаємо стовпці, що
містять два нульові прирости, і в клітки, що містять їх, заповнюємо, враховуючи
раніше проведене закріплення і запаси постачальників. Потім переходимо до
стовпців, що містять три, чотири і т.д. нульових прирости.
Процес закріплення споживачів
за постачальниками продовжуємо до тих пір, поки всі об'єми потреб не будуть
закріплені за постачальниками.
Підраховуємо для рядків
,
i=1,2...,m. Якщо все
i = 0, та
побудова плану закінчена. Він же є оптимальним, оскільки всі вантажі
перевозяться з найменшими приростами вартостей. В загальному випадку одержуємо:
а) для одних рядків
i= 0 (такі
рядки називаються нульовими);
б) для інших
i < 0
(такі рядки називаються надлишковим і наголошуються знаком “-” );
в) для третіх
i > 0
(такі рядки називаються недостатніми і наголошуються знаком “+” ).
Відзначаємо знаком “ V “ стовпці,
що мають зайняті клітки в надмірних рядках.
Для кожного недостатнього і
нульового рядка порівнюємо
ij, що стоять у відзначених
стовпцях, вибираємо найменше і проставляємо в останню графу таблиці .
В останній графі таблиці
проглядаємо
ij,
недостатніх рядків вибираємо найменше і порівнюємо його з
i0j для
нульових рядків . При цьому можуть бути два випадки:
а) для кожного нульового
рядка min
ij
i0j ;
б) для деяких нульових рядків
min
ij >
i0j .
Якщо виконується умова а), то
проводиться безпосередній перерозподіл потреби з надлишкового рядка в
недостатню клітку відзначеного стовпця, якій відповідає min( xij ; ain ), де
xij - величина перевезення, що стоїть у відзначеному стовпці надлишкового рядка
;
in -
величина різниць, що стоять в надлишковому і недостатньому рядках .
Якщо для деякого нульового
рядка виконується умова б), то перерозподіл перевіряємо по ланцюжках, що йдуть
через цей нульовий рядок з надлишкового рядка в недостатній. Для побудови
ланцюжка в нульовому рядку у відзначеному стовпці знаходимо клітку, для якої
i0j < min
ij, і
відзначаємо її знаком “+”, в цьому ж стовпці знаходимо зайняту клітку, що
стоїть в надлишковому рядку, і відзначаємо її знаком “-“- початок ланцюжка.
Починаючи рух по побудованій
ланці ланцюжка від ”-“ до “+”, потрапляємо до зайнятої клітки і відзначаємо її
знаком ”-“, далі по стовпцю переходимо в клітку недостатнього рядка і
відзначаємо її знаком “+” . Ланцюжок побудований.
Якщо матриця містить велике
число нульових рядків, то ланцюжки перерозподілу можуть проходити через дещо
нульових рядків і їх кількість значно зростає, тому керуємося наступним
правилом. При переході з одного нульового рядка в інший визначаємо отриману
суму приростів і порівнюємо її з мінімумом приростів у виділених стовпцях
даного рядка. Якщо отримана сума перевищує цей мінімум, то продовження ланцюжка
по даному рядку не розглядаємо. Очевидно також, що якщо сума приростів,
отримана при переході в недостатній рядок, менше ніж при переході в будь-який
інший нульовий рядок, то не слід розглядати продовження ланцюжка переходом в
нульовий рядок .
Складаємо для кожного
ланцюжка суму алгебри приростів
ij, беремо їх негативними, якщо ж
вони стоять в клітці, відзначеній знаком “-“, і позитивними, якщо клітка
відзначена знаком “+”. Отриману суму порівнюємо з min
ij :
а) якщо 
ij
min
ij всіх побудованих ланцюжків, то
відкидаємо їх і проводимо безпосередній перерозподіл ;
б) якщо 
ij < min
ij, то
перерозподіл проводимо по ланцюжку, для якого ця сума найменша .
При цьому можливий об'єм
перерозподілу по ланцюжку рівний min ( xik jp ;
in )
, де xik jp - числа, вказуючі на
перевезення, які стоять в клітках, відзначених знаком “-“, 1
k
m , 1
p
n ;
in -
різності, що стоять в надлишковому і недостатньому рядках, в яких починається і
закінчується ланцюжок, 1
r
m. Слідуючи
по ланцюжку, віднімаємо величину перерозподілів з чисел, поміщених в клітках,
відзначених знаком “-“, і додаємо до чисел, які стоять в клітках, відзначених
знаком “+”, на цю ж величину змінюємо
in . В результаті одержуємо нове
закріплення споживачів за постачальниками
Після перерозподілу
перевіряємо можливість виключення відзначених стовпців . Стовпці виключаємо з
відзначених в тому випадку, якщо зайнята клітка надлишкового рядка
перетворилася на незайняту або надмірний рядок перетворився на нульову . В
цьому випадку наступну ітерацію слід починати з п.6 алгоритму. Якщо кількість
відзначених стовпців залишилася без зміни, то наступна ітерація починається з
п.7 алгоритму .
Процес перезакріплення
продовжується до тих пір, поки всі рядки не перетворяться на нульові. При
рішенні задачі дельта-методом кількість ітерацій залежить в основному від числа
рядків, тому при m<n споживачів закріплюють за постачальниками, при m>n -
постачальників за споживачами. Дельта-метод дозволяє вирішувати відкриту
модель, не приводячи її до закритої, проте це можливо тільки в тому випадку,
якщо обчислення абсолютно правильні і всі перерозподіли проведені по найкращих
ланцюжках.
Метод потенціалів.
Цей метод дозволяє
автоматично виділяти цикли з негативною ціною і визначати їх ціни.
Нехай є транспортна задача з
балансовими умовами
å xi,j = ai ( i=1..m ; j=1..n );
å xi,j =bj ( j=1..n ; 1..m ),
причому å ai = å bj
- умова закритої задачі.
Вартість перевезення одиниці
вантажу з Ai в Bj рівна Ci,j; таблиця вартостей задана. Вимагається знайти план
перевезень (xi,j), який задовольняв би балансовим умовам і при цьому вартість
всіх перевезень бала мінімальна.
Ідея методу потенціалів для
вирішення транспортної задачі зводитися до наступного. Уявимо собі, що кожний з
пунктів відправлення Ai вносить за перевезення одиниці вантажу (все рівно куди)
якусь суму ai ;
у свою чергу кожний з пунктів призначення Bj також вносить за перевезення
вантажу (куди завгодно) суму bj . Ці платежі передаються деякій третій особі
(“перевізнику“). Позначимо ai + bj = ci,j ( i=1..m ;j=1..n) і називатимемо
величину ci,j
“псевдовартістю” перевезення одиниці вантажу з Ai в Bj. Зазначимо, що платежі ai і bj не
обов'язково повинні бути позитивними; не виключено, що “перевізник” сам платить
тому або іншому пункту якусь премію за перевезення. Також треба відзначити, що
сумарна псевдовартість будь-якого допустимого плану перевезень при заданих
платежах (ai і bj ) одна і
та ж і від плану до плану не міняється.
Дотепер ми ніяк не зв'язували
платежі (ai і bj ) і
псевдовартості ci,j
з істинними вартостями перевезень Сi,j. Тепер встановимо між ними зв'язок.
Припустимо, що план (xi,j) невироджений (число базисних кліток в таблиці
перевезень рівно (m + n -1). Для всіх цих кліток xi,j >0. Визначимо платежі
(ai і bj ) так, щоб
у всіх базисних клітках псевдовартості були рівні вартостям:
ci,j = ai + bj = сi,j,
при xi,j >0.
Що стосується вільних кліток
(де xi,j = 0), то в них співвідношення між псевдовартостями і вартостями може
бути яке завгодно.
Виявляється співвідношення
між псевдовартостями і вартостями у вільних клітках показує, чи є план
оптимальним або ж він може бути поліпшений. Існує спеціальна теорема: Якщо для
всіх базисних кліток плану (xi,j > 0)
ai + bj = ci,j=
сi,j
а для всіх вільних кліток (
xi,j =0)
ai + bj = ci,j?
сi,j
то план є оптимальним і ніякими
способами поліпшений бути не може. Неважко показати, що це теорема справедлива
також для виродженого плану, і деякі з базисних змінних рівні нулю. План, що
володіє властивістю :
ci,j= сi,j (для всіх
базисних кліток ) (1.29)
ci,j?
сi,j ( для всіх вільних кліток ) (1.30)
називається потенційним планом, а
відповідні йому платежі ( ai і bj
) - потенціалами пунктів Ai і Bj ( i=1...,m ; j=1...,n ). Користуючись цією
термінологією вищезазначену теорему можна сформулювати так: Всякий потенційний
план є оптимальним. Отже, для вирішення транспортної задачі нам потрібне одне -
побудувати потенційний план. Виявляється його можна побудувати методом
послідовних наближень, задаючись спочатку якоюсь довільною системою платежів,
що задовольняє умові (2.14). При цьому в кожній базисній клітці вийти сума
платежів, рівна вартості перевезень в даній клітці; потім, покращуючи план слід
одночасно міняти систему платежів. Так, що вони наближаються до потенціалів.
При поліпшенні плану нам допомагає наступна властивість платежів і
псевдовартостей: Яка б не була система платежів (ai
і bj ) задовольняюча умові (2.14), для
кожної вільної клітки ціна циклу перерахунку рівна різниці між вартістю і
псевдовартістю в даній клітці : gi,j= сi,j - ci,j.
Таким чином, при користуванні
методом потенціалів для вирішення транспортної задачі відпадає самий трудомісткий
елемент розподільного методу: пошуки циклів з негативною ціною.
Процедура побудови потенційного
(оптимального) плану полягає в наступному.
Як перше наближення до оптимального
плану береться будь-який допустимий план (наприклад, побудований способом мінімальної
вартості по рядку). В цьому плані m + n - 1 базисних кліток, де m - число
рядків, n - число стовпців транспортної таблиці. Для цього плану можна
визначити платежі (ai і bj
), так, щоб в кожній базисній клітці виконувалася умова :
ai + bj
= сi,j (1.31)
Рівнянь (2.15) всього m + n - 1, а
число невідомих рівно m + n. Отже, одну з цих невідомих можна задати довільно
(наприклад, рівної нулю). Після цього з m + n - 1 рівнянь (2.15) можна знайти
решта платежів ai bj,
а по них обчислити псевдовартості: ci,j=
ai
+ bj для кожної вільної клітки.
Якщо виявилося, що всі ці
псевдовартості не перевершують вартостей
ci,j <= сi,j
то план потенційний і, значить,
оптимальний. Якщо ж хоча б в одній вільній клітці псевдовартість більше
вартості (як в нашому прикладі), то план не є оптимальним і може бути
поліпшений перенесенням перевезень по циклу, відповідному даній вільній клітці.
Ціна цього циклу рівна різниці між вартістю і псевдовартістю в цій вільній
клітці.
Отже, приходимо до наступного
алгоритму рішення транспортної задачі методом потенціалів.
Узяти будь-який опорний план
перевезень, в якому відзначені m + n - 1 базисних кліток (решта кліток вільна).
Визначити для цього плану платежі (ai
і bj ) виходячи з умови, щоб в
будь-якій базисній клітці псевдовартості були рівні вартостям. Один з платежів
можна призначити довільно, наприклад, покласти рівним нулю.
Підрахувати псевдовартості ci,j
= ai + bj
для всіх вільних кліток. Якщо виявиться, що всі вони не перевищують вартостей,
то план оптимальний.
Якщо хоча б в одній вільній клітці
псевдовартість перевищує вартість, слід приступити до поліпшення плану шляхом
перекидання перевезень по циклу, відповідному будь-якій вільній клітці з
негативною ціною (для якої псевдовартість більше вартості).
Після цього наново підраховуються
платежі і псевдовартості, і, якщо план ще не оптимальний, процедура поліпшення
продовжується до тих пір, поки не буде знайдений оптимальний план.
Таким чином, поліпшення
господарської діяльності досліджуваного підприємства можливо за рахунок оптимізації
перевезень.
Оптимізація перевезень відноситься
до класу задач лінійного програмування, а саме до транспортної задачі. В даному
розділі проведений аналіз існуючих моделей лінійного програмування і показано
місце транспортних задач в загальній иерерхии лінійного програмування. Існує
велика кількість транспортних задач, основною з яких можуть бути задачі по
скороченню часу і задачі по скороченню вартості. Для вирішення транспортної
задачі використовується ряд методів? до яких відносяться: метод північно-західного
кута; метод мінімального елемента; метод Фогеля; симплекс-метод, дельта-метод;
метод потенціалів; мережний метод.
Кожний з перерахованих методів
володіє певними достоїнствами і недоліками, вираженими, перш за все, в
можливості використовування і трудомісткості обчислень. В даному розділі
розглянуті алгоритми кожного з методів. Надалі в дипломній роботі
розглядатимемо дві різних методу, які грунтуються на різному використовуванні
математичного апарату: симплекс метод (вирішуваний за допомогою MS Excel) і
мережний метод.
2. ТЕОРЕТИЧНИЙ АНАЛІЗ ОБ’ЄКТУ
ДОСЛІДЖЕННЯ
.1 Загальна характеристика
підприємства
транспортний задача
планування перевезення
Донецьке АТП 11480 організоване у
відповідності наказу Народного Комісаріату по Будівництву СРСР № 2 від
14.09.1973г. в м. Донецьк і мало найменування: "Транспортна Контора
Монтажної Частини” Потім перейменовано в Донецьке АТП 11480 на підставі Наказу
Міністра промислового будівництва УРСР № 97. Головною задачею було виконання
задач по забезпеченню технічного прогресу на автомобільному транспорті і повне
задоволення потреб будівельних організацій, підприємств Міністерства
будівництва.
За станом на 1980 рік парк АТП
складався з 400 машин різної потужності і вантажопідйомності. Була укладена
безліч договорів.
Підприємство вважалося лідируючим по
місту Донецьк. Метою діяльності підприємства є:
Отримання прибутку шляхом
задоволення попиту на ринку на продукції, роботу і послуги, які надає
підприємство; реалізація на основі отриманого прибутку програм розвитку підприємства
і задоволення соціально-економічних інтересів членів трудового колективу.
Предметом діяльності є:
надання послуг з виконання
пасажирських і вантажних транспортних перевезень;
організація сервісного ремонту
автомобілів технічного обслуговування (прибирання, миття, сушка автомобілів,
заміна масел,
антикорозійна обробка і т.д.),
складної побутової техніки; виконання будівельних, будівельно-монтажних,
ремонтних робіт на об'єктах соціально-побутового призначення, житлової
фундації, промислових об'єктах; здійснення оптової, роздрібної,
аукціонної, посилочної торгівлі
паливом, маслами, автозапчастями і іншими матеріалами, здійснення діяльності у
сфері цивільного забезпеченян та побутового обслуговування населення;
здійснення торгово-закупівельних і комерційно-посередницької діяльності і
пов'язаних з нею робіт і послуг (маркетинг, інформаційні послуги і ін.) як на
території України, так і за її межами;
надання платних послуг населенню;
організація і експлуатація
автозаправних станцій;
виробництво і експлуатація
будівельних матеріалів, товарів народного споживання, а також приладів, машин,
устаткування, виробів виробничо-технічного призначення;
інші види діяльності, не заборонені
законодавством.
Майном підприємства є основні фонди
і оборотні кошти, а також цінності, вартість яких відображається в балансі
підприємства.
Підприємство здає в аренду
підприємствам, організаціям і установам, удома, споруди, транспортні засоби,
інвентар, сировина і інші матеріали і цінності, які йому належать.
Підприємство самостійно планує свою
діяльність, визначає стратегію і основні напрями свого розвитку відповідно до
галузевих науково-технічних прогнозів і пріоритетів, кон'юнктурі ринку
продукції товарів, робіт послуг і економічної ситуації.
Господарська і соціальна діяльність
підприємства.
Основним узагальненим показником
господарської і виробничої діяльності підприємства є прибуток.
Підприємство створило цільові
фундації, призначені для покриття витрат, зв'язаних з своєї діяльністю:
фонд розвитку виробництва;
фонд споживання;
резервний фонд;
інші фонди.
Фонд розвитку виробництва
створюється за засоби відрахувань від чистого прибутку. Засоби фонду
використовуються для розвитку матеріальної і технічної бази підприємства. Шляхи
використовування витрат фонду визначаються кошторисом.
Фонд споживання створюється в
розмірах, які визначаються законодавством.
Джерелом засобів на оплату праці
працівникам підприємства є частина фонди, отримані в результаті його
господарської діяльності.
Керівник вибирає форми і системи
оплати праці, встановлює працівникам конкретні розміри тарифних ставок,
посадових окладів, винагород, надбавок доплат з умовами передбачених
колективним договором. Мінімальна заробітна платня працівників не може бути
нижчою встановленого Верховною Радою України мінімального розміру заробітної
платні (оплата праці, і матеріальне
забезпечення керівника здійснюється згідно умов передбачених контрактом, за
рахунок засобів підприємства, які направлені на виплату заробітної платні).
Резервний фонд створюється у розмірі
5% фондів споживання і призначається для покриття витрат, які пов'язані з
відшкодуванням збитків і позапланових витрат.
Джерелом формування фінансових
ресурсів підприємства також є, амортизаційні відрахування, засоби, отримані від
внесків членів трудового колективу, підприємств, організацій, громадян, і інші
надходження у тому числі централізовані капітальні вкладення і кредити.
І так, підприємство займається
наданням послуг з перевезення вантажів будівельним організаціям, останніми
роками Автобаза співробітничає також з ТОВ «Донецький цукровий завод» по
перевезенню овочів.
Для оцінки виробничо-господарської
діяльності підприємства розглянемо в таблиці 1.1 динаміку об'єму перевезень
вантажів по основних замовниках за останні 5 років.
Таблиця 2.1 - Динаміка об'єму
перевезень вантажів по основних замовниках АТП 11480
|
Найменування
|
Один виміру
|
Рік
|
Динаміка, %
|
|
|
2007
|
2008
|
2009
|
2010
|
2011
|
2008/2007
|
2009/ 2007
|
2010/2007
|
2011/ 2007
|
|
ТОВ Донецькбуд
|
Тыс. т
|
19,0
|
15,2
|
8,3
|
10,5
|
9,0
|
47,37
|
59,21
|
108,4
|
85,71
|
|
Снежнянський маш. завод
|
Тыс. т
|
12,5
|
14,0
|
10,0
|
13,2
|
10,5
|
84,00
|
75,00
|
105,0
|
79,55
|
|
Гормаш
|
Тыс. т
|
10,0
|
16,0
|
9,0
|
12,5
|
15,0
|
150,0
|
93,75
|
166,6
|
120,0
|
|
Енергобудінвест
|
Тыс. т
|
52,0
|
39,5
|
30,0
|
42,0
|
41,5
|
79,81
|
105,1
|
138,3
|
98,81
|
|
ТОВ Реста
|
Тыс. т
|
-
|
16,2
|
-
|
18,0
|
18,0
|
-
|
-
|
-
|
-
|
|
ТОВ «Донецький цукровий завод»
|
Тыс. т
|
-
|
7,0
|
5,0
|
10,0
|
6,0
|
-
|
-
|
-
|
-
|
За період з 2007 року по 2011 рік
об'єми перевезень істотно коливалися: в 2009 році був найнижчий об'єм
перевезень, оскільки підприємству довелося продати самі ходові машини, із за не
сплати податків. З ТОВ «Реста» в 2009 році був перерваний договір, оскільки
вони не оплачували послуги, які надавало підприємство.
Перевезення будівельних матеріалів є
дуже трудомісткою роботою, велике навантаження на водіїв і автомобілі. Машинам
вимагається постійні огляди. В даний час на території підприємства розташовані
такі цехи і корпуси:
Головний виробничий корпус, в якому
проводиться капітальні ремонти машин.
Агрегатний і шиномонтажный корпус
проводиться ремонт агрегатів і демонтаж шин.
Мийка, перш ніж відправити
автомобіль на ремонт або огляд він проходить через мийку на, якій вимиваються
всі зовнішні деталі, на другому поверсі знаходиться вентиляційна камера.
Пункт щоденних відходів.
Пост діагностики. Перевірка приладів
і механізмів машини.
Цех нової техніки. Перевірка і ремонт
нової техніки
Гаражі.
Матеріальний склад.
Головна задача технічної служби
автобази полягає в попередженні можливих відмов і несправностей шляхом
проведення контрольно-осмотровых, крепежно-регулировачных і смазно-очисних
операцій зі встановленою періодичністю залежно від пробігу. Заміна окремих
деталей, вузлів і агрегатів в більшості випадків здійснюється після надходження
заявки на усунення несправності або відмови в автомобілі.
Автомобіль на ТО треба ставити
тільки після його проходження через контрольний пункт на якому здійснюється
поверхневий огляд автомобілів. При контрольних і діагностичних операціях
основних агрегатів автомобіля (двигуна, зчеплення, коробки передач, переднього
моста, кабіни і ін.) часто виявляється необхідність ремонту великої трудомісткості,
виконання якого спільно з ТО викликає значні коливання трудомісткості робіт на
постах, втрату робочого часу і порушення ритмічної роботи постів.
Одночасне виконання на
універсальному посту контрольних і регулювальних операцій за системою живлення
і електроустаткуванні автомобіля, пов'язаних з пуском двигуна, з операціями
змащувальними і заправними, а також з технічним обслуговуванням гальм, шин і
трансмісії не забезпечує вимог Правил техніки безпеки.
Після виконання прибирально-мийних
робіт і ремонту великої трудомісткості (заміни або ремонту агрегатів),
виявленого механіком на посту контролю (діагности) технічного стану основних
агрегатів до постановки автомобіля в технічне обслуговування. Контрольні і
діагностичні операції виконуються на спеціальному посту діагностики перед
постановкою автомобіля в ТЕ і направляти автомобілі на пости ТО тільки після
усунення виявлених при діагностиці ремонтів великої трудомісткості (заміни і
ремонту основних агрегатів).
На стоянці стоять автомобілі, які
вимагають більш детального ремонту, а також автомобілі до яких немає певних
деталей і агрегатів. В зоні поточного ремонту відбувається ремонт деталей і
агрегатів які не вимагають ретельного ремонту, тобто розбирання агрегатів
автомобіля. Прохідність вузлів і агрегатів автомобілів ЗІЛ і КамАЗ дозволяє
виявити основні причини відмов і несправностей і найголовніше - визначити
пробіги, досягши яких найбільша частина однойменних виробів підлягає поточному
ремонту із зняттям або без зняття з автомобіля. Комплекс операцій ТО при
організації технологічного процесу, доцільно розчленовувати на групи для
виконання їх на спеціалізованих постах з урахуванням наступних чинників:
технологічної однорідності операцій
виходячи із спільності устаткування і прийомів робіт, що використовується;
технологічної послідовності
виконання операцій;
підвищення якості робіт технічного
обслуговування;
скорочення втрат від несинхронної
роботи виконавців ТО і передчасного вибраковування агрегатів;
зниження витрат на оснащення постів
устаткуванням;
створення умов для спеціалізації, і
механізації робіт; забезпечення техніки безпеки, санітарних умов праці і ін.
Таке розчленовування
операцій на групи дозволяє
розглянути класифікацію робіт ТО, що складається з п'яти основних груп.
Класифікація робіт технологічного
процесу ТО для тупикових постів і потокових ліній з урахуванням основних вимог
наукової організації праці: раціонального розділення і кооперації праці,
раціональної організації робочих місць, забезпечення найсприятливіших умов
праці, техніки безпеки і ін.
група - операції контрольні і
діагностичні за визначенням технічного стану і ресурсу роботи основних
агрегатів і вузлів перед обслуговуванням;
П група - операції по обслуговуванню
системи живлення і електроустаткуванні, пов'язані з пуском двигуна;
Ш група - операції по обслуговуванню
решти агрегатів, вузлів і систем, пов'язаних з пуском двигуна;
У група - операції змащувальні,
заправні і очисні;
У група - операції контрольні і
регулювальні після обслуговування.
Підприємство має для ТО чотири
спеціалізованих постів (по одному посту на кожну групу операцій).
Призначення постів потокової лінії I
типу наступне:
пост № 1-обслуговування системи
живлення і електроустаткуванні (карбюратора, паливного насоса, реле-регулятора
і ін.), пов'язані з пуском двигуна;
пост № 2 - обслуговування вузлів і
агрегатів автомобіля, а також електротехнічні роботи і роботи за системою
живлення, які не пов'язані з пуском двигуна;
пост № 3 - виконання змащувальних,
заправних і очисних операцій;
пост № 4 - виконання контрольних і
регулювальних операцій після технічного обслуговування автомобіля, а також
перевірка ОТК, якості виконання робіт технічного обслуговування. Біля тупикових
постів розміщений проміжний склад і виробничі ділянки, які забезпечують
потокову лінію деталями і вузлами, необхідними для виконання ремонтів спільно з
ТО.
Технічне обслуговування виконується
на потоковій лінії з несучим конвейєром, обладнаної підйомниками, пневматичними
гайковертами, автоматичною воздухораздаточной колонкою для підкачки шин,
механізованим маслохозяйством з пневматичною роздачею масел і установкою для їх
очищення. Рівень механізації робіт на лінії складає 40%. Роботи під автомобілем
виконуються робітниками, що знаходяться на майданчиках механізованих постів.
Кожний такий пост переміщається уздовж автомобіля і фіксується в зручному для
роботи положенні. Є чотири спеціалізованих по різних видах робіт постів, які
обладнані монтажними захватками для агрегатів, місткостями для зливу масел і
охолоджуючих рідин, підйомниками для вивішування вузлів і агрегатів,
спеціальними гайковертами, шафами для інструменту. Заправка агрегатів свіжими
маслами здійснюється пересувною маслозаправочной установкою, створеною на базі
електрокара. Встановлені краны-штабелеры, механізовані стелажі елеваторного
типу, механізований склад для нормалей, що дозволяє понизити трудомісткість
складських операцій на 45%. Відповідно до характеру виконуваних робіт на постах
ТО підібрано технологічне устаткування для механізації трудомістких і важких
робіт, сприяюче поліпшенню умов праці робітників і підвищенню продуктивності.
Устаткування, яке існує на підприємстві для ТО, дозволяє механізувати приблизно
12% робіт від загальної нормативної трудомісткості ТО.
При виборі устаткування до нього
пред'являлися наступні вимоги:
забезпечення вільного доступу до
місць технічного обслуговування;
висока продуктивність;
автоматична і напівавтоматична дія;
простота надійність і економічність
конструкції;
зниження трудомісткості і поліпшення
умов праці;
універсальність конструкції;
поліпшення організації робочого
місця.
На підприємстві встановлено, що ТО-2
є трудомістким і складним видом технічного обслуговування. Комплекс операцій
ТО-2 вантажних автомобілів ГАЗ і ЗІЛ містить близько 200 операції загальною
трудомісткістю близько 12-14 чел-ч.
На підставі аналізу і практичної
перевірки операційно-технологічних карт ТО-2 автомобілів ГАЗ-51А і ЗІЛ-164А
було встановлене що виконання всіх операцій цього виду технічного
обслуговування на одному посту приводить до того, що захаращується поста
технологічним устаткуванням, не дозволяє встановити постійні об'єми робіт на
робочих місцях і не забезпечує умов необхідних для раціональної організації
робочих місць, спеціалізації і механізації робіт.
2.2 Аналіз виконання плану
перевезень
Виконання перевезень є основною
задачею АТП 11480. Результати виконання перевезень не можуть не відобразитися
на виконанні плану по цілому ряду показників. Аналіз виконання перевезень
включає:
при перевезенні вантажів - оцінку
заданого об'єму перевезень як в цілому, так і по основних видах вантажів,
характеристику виконання плану по
клієнтах, а також термінам перевезень;
оцінку впливу окремих чинників на
виконання заданого об'єму перевезень;
вивчення втрат і резервів зростання
об'єму перевезень;
При аналізі виконання плану перевезень
спочатку розглядаємо загальні підсумки виконання плану по тоннах і
тонно-километрам і зіставляють їх з результатами попередніх періодів. Таке
порівняння дозволяє судити про динаміку і темпи зростання об'єму перевезень і
вантажообігу.
Виконання плану перевезень в
порівнянні з попередніми роками показано в табл. 2.2. Виконаний аналіз показує,
що фактичний об'єм перевезень вантажів нижче за плановий рівень і виконання
плану перевезень виконано не на 100%, а на 78,9% в порівнянні з 2010 роком в
якому виконання плану перевищило 100% і склало 129,6%, що пояснюється
труднощами по ремонту машин і не оновленням парку. Заводи по виготовленню
необхідних деталей не працюю, а закупляти за межами України дорого, на
підприємстві немає засобів.
Таблиця 2.2 - Виконання плану
перевезень по АТП 11480
|
Показник
|
Звітний період
|
2011г.
|
|
2007
|
2008
|
2009
|
2010
|
План
|
Факт
|
Виконання плану, %
|
|
Обсяг перевезень, тис.т.
|
134,2
|
159,0
|
146,2
|
189,5
|
190,0
|
150,0
|
78,9
|
|
Абсолютний приріст, тис.т.
|
-
|
24,8
|
-12,8
|
43,3
|
0,5
|
-40,0
|
|
|
Темп росту, %
|
-
|
118,5
|
91,9
|
129,6
|
100,3
|
78,9
|
|
Перш, ніж остаточно оцінити зусилля
підприємства, направлені на виконання плану, необхідно проаналізувати виконання
плану перевезення кожного виду вантажів, а також виконання плану перевезень по
клієнтах в натуральному і вартісному виразі. Аналіз виконання плану перевезень
по видах вантажів і клієнтах у вартісному виразі показаний в табл. 2.3.
Відхилення по виконанню плану по
закріпленій клієнтурі коливається від 15,20 до 50,00%. Причини такого
нерівномірного виконання плану виявляють з листування автотранспортного
підприємства з підприємствами, для яких виконувалися перевезення. Ці причини
можуть бути найрізноманітнішими:
Таблиця 2.3 - Виконання плану
перевезень по видах вантажів і клієнтах у вартісному виразі
|
Клієнт
|
Вид грузу
|
Ціна перевезень, грн.
|
Обсяг перевезень, тис. грн.
|
Відхилення
|
|
|
|
План
|
Факт
|
Абс.
|
Відн,%
|
|
ТОВ Донецькбуд
|
Металеві конструкції
|
8,32
|
113,43
|
66,76
|
-46,67
|
-41,14
|
|
Снежнянський маш. завод
|
Кирпич
|
8,36
|
122,56
|
78,75
|
-43,81
|
-55,63
|
|
Гормаш
|
Залізобетонні вироби
|
8,29
|
174,66
|
110,65
|
-64,01
|
-36,65
|
|
Енергобудінвест
|
Грунт
|
8,29
|
157,29
|
106,99
|
-50,3
|
-31,98
|
|
Щебень
|
8,3
|
130,79
|
88,72
|
-42,07
|
-32,17
|
|
Кирпич
|
8,25
|
165,52
|
109,65
|
-55,87
|
-33,75
|
|
Донецький торговий університет
|
Песок
|
8,33
|
123,95
|
77,75
|
-46,2
|
-37,27
|
|
Грунт
|
8,34
|
87,83
|
55,82
|
-32,01
|
-36,45
|
|
Щебень
|
8,3
|
165,52
|
99,98
|
-65,54
|
-39,59
|
|
Кирпич
|
8,44
|
160,29
|
98,68
|
-61,61
|
-38,44
|
Металл
|
8,26
|
209,39
|
131,87
|
-77,52
|
-37,02
|
|
Райвиконком
|
Послуги населенню
|
8,52
|
35,73
|
22,93
|
-12,8
|
-35,82
|
|
ТОВ «Донецький цукровий завод»
|
Овочі
|
8,37
|
79,60
|
44,86
|
-34,74
|
-43,64
|
|
Нерозподілений обсяг
|
|
8,72
|
10,14
|
3,65
|
-6,49
|
-64,00
|
|
ВСЬОГО по АТП
|
|
1736,71097,0-639,64-36,83
|
|
|
|
Таблиця 2.4 - Виконання плану
перевезень по видах вантажів і клієнтах в натуральному виразі
|
Клієнт
|
Вид грузу
|
Обсяг перевезень, тис. грн.
|
Відхилення
|
|
|
План
|
Факт
|
Абс.
|
Относ., %
|
|
ТОВ Донецькбуд
|
Металеві конструкції
|
12,3
|
9,0
|
-3,3
|
-26,8
|
|
Снежнянський маш. завод
|
Кирпич
|
13,3
|
10,5
|
-2,8
|
-21,05
|
|
Гормаш
|
Залізобетонні вироби
|
19,0
|
15,0
|
-4,0
|
-21,05
|
|
Енергобудінвест
|
Грунт
|
17,1
|
14,5
|
-2,6
|
-15,20
|
|
Щебень
|
14,2
|
12,0
|
-2,2
|
-15,49
|
|
Кирпич
|
18,0
|
15,0
|
-3,0
|
-16,66
|
|
Донецький торговий університет
|
Песок
|
13,4
|
10,5
|
-2,9
|
-21,64
|
|
Грунт
|
9,5
|
7,5
|
-2
|
-21,74
|
|
Щебень
|
18,0
|
13,5
|
-4,5
|
-25,00
|
|
Кирпич
|
17,1
|
13,5
|
-3,6
|
-21,05
|
|
ТОВ Реста
|
Металл
|
22,8
|
18,0
|
-4,8
|
-21,05
|
|
Райвиконком
|
Послуги населенню
|
3,8
|
3,0
|
-0,8
|
-21,05
|
|
ТОВ «Донецький цукровий завод»
|
Овочі
|
8,6
|
6,0
|
-2,6
|
-30,23
|
|
Нерозподілений обсяг
|
|
1,0
|
0,5
|
-0,5
|
-50,0
|
|
ВСЕГО по АТП
|
190,0
|
150,0
|
-40,0
|
-21,05
|
не виконується план підприємствами
постачальниками, продукція низької якості і від неї відмовляються підприємства
споживачі;
відсутність необхідного
спеціалізованого рухомого складу;
подані неточні заявки на перевезення
при складанні плану;
відсутня необхідна документація
(наприклад, наряди-замовлення на реалізацію продукції) і т.д.
Аналіз виконання плану по
експлуатації рухомого складу приведений нижче в табл. 2.5.
Таблиця 2.5 - Аналіз виконання плану
по експлуатації рухомого складу
|
Показники
|
План
|
Факт
|
Виконання плану, %
|
Відхилення
|
|
|
|
|
Абс.
|
Від, %
|
|
Середньосписочна кількість автомобілей
|
163
|
156
|
95,71
|
-7
|
-4,29
|
|
Коефіцієнт випуску автомобілів на лінію
|
0,031
|
0,032
|
103,23
|
-0,001
|
-3,23
|
|
Автомобілі-дні роботи
|
8400
|
7560
|
90,00
|
-840
|
-10,00
|
|
Час в наряді, годин.
|
60581
|
60492
|
99,85
|
-89
|
-0,15
|
|
Технічна швидкість, км/год
|
25
|
25
|
100
|
0
|
0,00
|
|
Коефіцієнт використання пробігу
|
0,491
|
0,487
|
99,18
|
-0,004
|
-0,81
|
|
Середня вантажопідйомність, т
|
7,5
|
7,5
|
100
|
0
|
0,00
|
|
Коефіцієнт використання вантажопідйомності, т
|
0,975
|
0,975
|
100
|
0
|
0,00
|
|
Середня відстань пробігу, км
|
19
|
16
|
84,21
|
-3
|
-15,79
|
|
Час простою під погруз кою, ч
|
0,1
|
0,145
|
145
|
0,045
|
45
|
|
Загальний пробіг, тис.км
|
1365,8
|
1138,2
|
83,34
|
-227,6
|
-16,66
|
|
Обсяг перевезень, т
|
190,0
|
150,0
|
78,95
|
-40
|
-21,05
|
|
Всього перевезено, тис. т
|
190,0
|
150,0
|
78,95
|
-40
|
-21,05
|
|
Грузообіг, тис. км.
|
1300,0
|
1279,2
|
98,4
|
-20,8
|
-1,6
|
Невиконання плану перевезень
вантажів нерозподіленого об'єму (інші перевезення), як правило означає
незадоволені потреби в перевезеннях вантажів дрібних замовників (невеликих
підприємств, установ, учбових закладів і т.п.). Вказані в таблиці причини не
пояснюють, як використовувався пересувний склад підприємства в процесі
перевезень. Це з'ясовується при аналізі основних технико-експлуатаційних
показників, що характеризують використовування автомобілів, тягочей, причепів і
напівпричепів за часом і продуктивності.
На цьому етапі аналізу виявлені ті
причини, які пояснюють зміни об'єму перевезень по клієнтурі і видам вантажів.
Серед них є такі, які не залежать від підприємства. Наприклад неточність
заявок, відмова одержувачів від неякісного вантажу, невиконання зобов'язань
постачальниками і т.д.
Час в наряді. На величину часу в
наряді робить вплив територіальне розташування грузообразующих і
грузопоглощающих точок, режим роботи підприємств і організацій, обслуговуваних
Автобазою, терміновість перевезень. На звітне значення цього показника може
додатково впливати незабезпеченість заявками на перевезення, наявність
наднормового годинника, спізнення з виходом і ранні повернення автомобілів з
лінії із технічних або організаційних причин і т.д. Середня величина час в
наряді розраховується по такій формулі:
Тн = Тн1*АДраб1 + Тн2*Адраб2 +
+Тнn*АДрабn (2.1),
АДраб1 + Адраб2 + +АДрабn
де Тн1 час надходження автомобілів в
наряді, год
АДраб1 кількість автомобіле-днів
роботи.
Тн = 60492 * 7560 = 60492, 7560
За допомогою цієї формули можна
визначити, на скільки змінився час в наряді за рахунок зміни кількості
автомобілів, що працюють з різним режимом, але оскільки Автобаза працює в
одному режимі, тобто в одну зміну, тому середня величина часу в наряді не
змінилася.
Цей розрахунок не врахує передчасні
повернення з лінії і спізнення з виходом. Зміна часу в наряді за рахунок
раннього повернення з лінії і спізнення з виходом на лінію визначається так:
ΔТ
н1= АЧ11
Адраб(2.2),
где АЧ11 сумарна кількість
автомобіле годин,
ΔТ
н1= -1436,4 = 0,19с, или на - -1,9%
Аналогічно розраховується зміна часу
в наряді за рахунок роботи в наднормовий час
ΔТ
н11= АЧ11
Адраб(2.3),
гдеАЧ11 - наднормовий час.
ΔТ
н11= +7938 = +1,05 або на +10,5%
За планом передбачалося, що машини
працюватимуть в одну зміну тобто 8 годин. Насправді унаслідок зміни режиму
роботи клієнтури путні листи 8-ми годинним робочим днем закривалися як 5-ти
вартові. Сумісний вплив всіх причин на якийсь час в наряді зумовив його зміну
таким чином:
ΔТ
н = Т н ф - Т н пл + ΔТ
н1 + ΔТ н11(2.4),
деТ н ф - час в наряді по факту
Т н пл - час в наряді по плану
ΔТ
н = 60492 - 60581 - 0,19 + 1,05 = - 88,14 ч.
В результаті аналізу з'ясовано, що
однією з основних причин зміни часу в наряді з'явилася зміна режиму роботи
клієнтури.
Ця причина викликала зменшення
виїзду кількості автомобілів. Технічна швидкість. Значення технічної швидкості
залежить від величини тих дійсних швидкостей, з якими автомобіль проходить
різні ділянки шляху, а також від числа короткочасних зупинок в дорозі за умов
регулювання руху. Тому при малих відстанях перевезень такі затримки можуть
зробити значний вплив на величину технічної швидкості, особливо при роботі в
міських умовах. Для всіх марок автомобілів АТП встановлена технічна швидкість
по місту 25 км/ч, за містом 30 км/ч
Коефіцієнт використовування пробігу.
На величину коефіцієнта використовування пробігу впливає територіальне
розташування грузообразующих і грузапоглащающих крапок і організація маршрутів,
характер вантажопотоків (одностороннє, двостороннє), рід вантажу, що
перевозиться..
Коефіцієнт використовування пробігу
прийнято розраховувати розподілом пробігу з вантажем на загальний пробіг.
Пробіг з вантажем це половина загального пробігу.
В = 569,1/1138,2 = 0,5
В аналізованому підприємстві
коефіцієнт використовування пробігу невеликий, менше 0,5. Пояснюється це тим,
що пересувний склад зайнятий в основному перевезенням грунту, що складає 88,4%.
Перевезення грунту здійснюється по графіку на невелику відстань. При такій
умові скрутно будувати кільцеві маршрути, оскільки майже повністю виключається
можливість знайти попутні вантажі. Вантажопідйомність рухомого складу.
Вантажопідйомність є однією з найважливіших показників, що визначають
продуктивність рухомого складу. Чим більше вантажопідйомність рухомого складу,
тим вище при незмінних інших показниках його продуктивність.
Середня вантажопідйомність ходового
автомобіля залежить від структури автомобільного парку і коефіцієнта випуску
автомобілів на лінію. Час простою під вантаженням і розвантаженням. Тривалість
простою рухомого складу під вантаженням і розвантаженням залежить від роду
вантажів, виду тари, способу виробництва навантажувально-розвантажувальних
робіт (ручний, напівмеханізований, механізований), вантажопідйомності і
вантажомісткості кузова автомобіля, його спеціалізації, що перевозяться. В
основному затримка автомобілів відбувається з вини замовників, тобто утруднення
маневрування рухомого складу при під'їзді і з'їзді з постів, нечіткої
організації праці вантажників, порушення графіків подачі рухомого складу,
відсутності точної інформації у вантажовідправників і вантажоодержувачів про
прибуття автомобілів і т.п. На нашому підприємстві вдалося добитися практично
чіткого дотримання графіка роботи, який в процесі організації перевезень
переглядався унаслідок збільшення продуктивності вантажних механізмів.
Довжина їзди і відстань перевезення.
Автомобілям при роботі доводиться скоювати їзду на різні відстані. Середня
довжина їзди з вантажем характеризує відстань на яку в середньому переміщається
пересувний склад з вантажем при роботі на лінії, а середні відстань перевезення
- відстань, на яку в середньому переміщається кожна тонна вантажу. В
аналізованому підприємстві скорочення середньої відстані перевезення викликано
зміною місця розташування пунктів вивезення металу.
Вплив експлуатаційних показників на
виконання плану перевезень вантажів. Основні чинники, що вплинули на величину
технико-експлуатаційних показників, розглянуті в табл. 2.6.
Таблиця 2.6 - Основні чинники, що
впливають на величину техніко-експлуатаційних показників
|
Показник
|
Виконання плану, %
|
Основні причини
|
|
Час в наряді
|
12,5
|
Зміна роботи клієнтів
|
|
Технічна швидкість
|
100
|
|
|
Коефіцієнт використання пробігу
|
99,2
|
Використання нульових пробігов
|
|
Середня грузопідйомність
|
100
|
|
|
Коефіцієнт використання грузопідйомності
|
100
|
|
|
Середня відстань перевезення
|
0,84
|
Зміна місця розташування пунктів вивозу
металів
|
|
Час простою від погруз кой-розгрузкой
|
145
|
Дотримання графіків праці
|
|
Середнєсписочна кількість автомобілей
|
95,7
|
Спис автомобілів
|
|
Коефіцієнт випуску автомобілів на лінію
|
103,2
|
Необезпеченість шинами та деталями для ремонту
|
Основними напрямами в даному випадку
повинні бути:
виявлення технічно обґрунтованої і
економічно вигідної межі перевантаження автомобілів при перевезення металу,
вживання заходів по забезпеченості шинами;
оптимізація вантажоперевезень за
допомогою економіко-математичних методів.
2.3 Планування показників діяльності
підприємств
В звітному періоді підприємство
зазнавало великі труднощі з виходом автомобілів на лінію, річ у тому, що 50%
автомобілів парку не може виходити на лінію із за браки коштів для ремонту
навіть дрібних поломок. Планування на підприємстві направлений на своєчасне
задоволення потреб будівельних організацій і народного господарства в
перевезеннях, а також підвищення економічної ефективності його роботи.
Необхідно усувати нераціональні перевезення, скорочувати терміни доставки
вантажів і забезпечувати їх збереження; прискорювати упровадження передової
техніки і технології; підвищувати темпи оновлення рухомого складу; укріплювати
матеріально - технічну базу; широко застосовувати централізовані перевезення
вантажів; підняти рівень комплексної механізації
навантажувально-розвантажувальних робіт; усилити заходи щодо безпеки руху,
знижувати негативну дію транспорту на оточуючу середовище і т.д. В комплексі
задач по поліпшенню господарського управління передбачено істотне розширення
клієнтури.
Виконання поставлених задач
нерозривний пов'язано з вдосконаленням планування на підприємстві з якісним
економічним обгрунтовуванням всіх розділів плану на основі прискорення
науково-технічного прогресу. План перевезень розробляється по видах перевезень
і вантажів, що перевозяться, з урахуванням основних положень Статуту
підприємства, який регламентує права і обов'язки підприємства і клієнтури, що
користується послугами АТП.
Таблиця 2.7 - Планування плану по
видах вантажів і клієнтах у вартісному виразі
|
Клієнт
|
Вид грузу
|
Ціна перевезень, грн.
|
Обсяг перевезень, тис. грн.
|
Відхилення
|
|
|
|
Факт
|
Проект плану
|
Абс.
|
Відн,%
|
|
ТОВ Донецькбуд
|
Металеві конструкції
|
8,32
|
66,76
|
76,78
|
10,02
|
15,01
|
|
Снежнянський маш. завод
|
Кирпич
|
8,36
|
78,75
|
86,75
|
8,00
|
10,16
|
|
Гормаш
|
Залізобетонні вироби
|
8,29
|
110,65
|
121,60
|
10,95
|
9,89
|
|
Енергобудінвест
|
Грунт
|
8,29
|
106,99
|
117,99
|
11,00
|
10,28
|
|
Щебень
|
8,3
|
88,72
|
101,21
|
12,49
|
14,08
|
|
Кирпич
|
8,25
|
109,65
|
130,98
|
21,33
|
19,45
|
|
Донецький торговий університет
|
Песок
|
8,33
|
77,75
|
89,23
|
11,48
|
14,77
|
|
Грунт
|
8,34
|
55,82
|
63,95
|
8,13
|
14,56
|
|
Щебень
|
8,3
|
99,98
|
10,35
|
10,35
|
|
Кирпич
|
8,44
|
98,68
|
119,52
|
20,84
|
21,12
|
|
ТОВ Реста
|
Металл
|
8,26
|
131,87
|
152,21
|
20,34
|
15,42
|
|
Райвиконком
|
Послуги населенню
|
8,52
|
22,93
|
29,43
|
6,49
|
28,30
|
|
ТОВ «Донецький цукровий завод»
|
Овочі
|
8,37
|
44,86
|
51,86
|
7,00
|
15,60
|
|
Нерозподілений обсяг
|
|
8,72
|
3,65
|
-
|
-
|
-
|
|
ТОВ «Промстрой»
|
Кирпич
|
-
|
-
|
618,0
|
-
|
-
|
|
ВСЕГО по Автобазе
|
|
1097,061869,56772,570,42
|
|
|
|
Відповідно до Статуту АТП
зобов'язане: своєчасно забезпечувати перевезення вантажів; подавати пересувний
склад в справному стані; гарантувати доставку вантажу і видавати його
уповноваженому; вимагати у вантажовідправника товаро-транспортну накладну; у
разі узятих зобов'язань здійснювати навантажувально-розвантажувальні операції;
проводити завантаження автомобіля до повного використовування
вантажопідйомності.
Важливим розділом плану перевезень є
розділ централізованих перевезень, який розробляється по видах вантажів і
вантажовідправниках. Планування плану по видах вантажів і клієнтах у вартісному
виразі в табл. 2.7
В планованому періоді доходи
підприємства від перевезень вантажів значно збільшиться, а саме на 772,5 тис.
грн.
В табл. 2.8 показано планування
плану по видах вантажів і клієнтах в натуральному виразі.
Таблиця 2.8 - Виконання плану
перевезень по видах вантажів і клієнтах
|
Клієнт
|
Вид грузу
|
Обсяг перевезень, тис. грн.
|
Відхилення
|
|
|
Факт
|
Проект плану
|
Факт
|
Проект плану
|
|
ТОВ Донецькбуд
|
Металеві конструкції
|
9,0
|
10,0
|
1,0
|
11,11
|
|
Снежнянський маш. завод
|
Кирпич
|
10,5
|
12,0
|
1,5
|
14,28
|
|
Гормаш
|
Залізобетонні вироби
|
15,0
|
15,5
|
0,5
|
3,33
|
|
Енергобудінвест
|
Грунт
|
14,5
|
16,5
|
2,0
|
13,79
|
|
Щебень
|
12,0
|
13,5
|
1,5
|
12,5
|
|
Кирпич
|
15,0
|
16,5
|
1,5
|
10,00
|
|
Донецький торговий університет
|
Песок
|
10,5
|
12,5
|
2,0
|
19,05
|
|
Грунт
|
7,5
|
8,5
|
1,0
|
13,33
|
|
Щебень
|
13,5
|
14,5
|
1,0
|
7,41
|
|
Кирпич
|
13,5
|
14,0
|
0,5
|
3,7
|
|
ТОВ Реста
|
Металл
|
18,0
|
18,5
|
0,5
|
2,78
|
|
Райвиконком
|
Послуги населенню
|
3,0
|
3,0
|
0,0
|
0,00
|
|
ТОВ «Донецький цукровий завод»
|
Овочі
|
6,0
|
10,0
|
4,0
|
66,66
|
|
Нерозподілений обсяг
|
|
0,5
|
-
|
-
|
-
|
|
ТОВ «Промстрой»
|
Кирпич
|
-
|
60,0
|
-
|
-
|
|
ВСЬОГО по Автобазі
|
150,0
|
225,0
|
75,0
|
50,00
|
В планованому періоді очікується
зростання об'єму перевезень вантажів на 50,00%, що пов'язано із збільшенням
об'єму перевезень в натуральному виразі, а також збільшенням виходу автомобілів
на лінію в результаті упровадження заходу. Планування по експлуатації
автомобільного парку відбувається виходячи з провізних можливостей - об'єму
перевезень і вантажообігу, які може здійснити підприємство в планованому році
наявним парком. При цьому слід враховувати такі показники як, коефіцієнт
випуску на лінію, середня тривалість перебування автомобіля в наряді, час на
навантажувально-розвантажувальні роботи, технічна швидкість, коефіцієнт
використовування пробігу і вантажопідйомності.
Таблиця 2.9 - Планування показників
по експлуатації рухомого складу
|
Показники
|
План
|
Факт
|
Виконання плану, %
|
Відхилення
|
|
|
|
|
Абс.
|
Від, %
|
|
Середньосписочна кількість автомобілей
|
156
|
156
|
0
|
0,00
|
156
|
|
Коефіцієнт випуску автомобілів на лінію
|
0,032
|
0,488
|
0,456
|
1425
|
0,032
|
|
Автомобілі-дні роботи
|
7560
|
7600
|
40
|
0,53
|
7560
|
|
Час в наряді, годин.
|
60492
|
60581
|
89
|
0,15
|
60492
|
|
Технічна швидкість, км/год
|
25
|
25
|
0
|
0,00
|
25
|
|
Коефіцієнт використання пробігу
|
0,487
|
0,487
|
0
|
0,00
|
0,487
|
|
Середня вантажопідйомність, т
|
7,5
|
7,5
|
0
|
0,00
|
7,5
|
|
Коефіцієнт використання вантажопідйомності, т
|
0,975
|
0,975
|
0
|
0,00
|
0,975
|
|
Середня відстань пробігу, км
|
16
|
16
|
0
|
0,00
|
16
|
|
Час простою під погруз кою, ч
|
0,145
|
0,145
|
0
|
0,00
|
0,145
|
|
Загальний пробіг, тис.км
|
1138,2
|
1168,58
|
30,38
|
2,67
|
1138,2
|
|
Обсяг перевезень, т
|
150000
|
225000
|
75000
|
50,00
|
150000
|
|
Всього перевезено, тис. т
|
150,0
|
225,0
|
75
|
0,5
|
150,0
|
|
Грузообіг, тис. км.
|
1279,2
|
1879,14
|
599,94
|
46,9
|
1279,2
|
В планованому періоді очікується
зростання вантажообігу на 46,9%, що пов'язано із зростанням об'ємів перевезень,
а також збільшення коефіцієнта випуску автомобілів на лінію за рахунок швидкого
щоденного і поточного ремонту автомобілів в результаті упровадження заходу.
Дані по плануванню рухомого складу приведені в табл. 2.9.
Також за рахунок збільшення об'єму
перевезень змінюються доходи від реалізації послуг, а значить зміняться
показники використовування основних фундацій Показники використовування
основних фундацій приведені в табл. 2.10.
Таблиця 2.10 - Показники використовування
основних фундацій
|
Показник
|
Факт
|
Проект плану
|
План к фак-ту, %
|
|
Доходи від реалізації послуг, тис.грн.
|
1097,06
|
1869,56
|
170,42
|
|
Вартість ВФ, тис.грн.
|
6221,8
|
6236,8
|
100,16
|
|
Фондовіддача грн./грн.
|
0,18
|
0,3
|
166,6
|
|
Фондоміскість, грн./грн.
|
5,67
|
3,34
|
58,73
|
|
Чисельність робітників, чел.
|
262
|
262
|
100
|
|
В тому числі робочих,чел.
|
207
|
207
|
100
|
|
Фондовооружлність, тис.грн./чел.
|
|
|
|
|
Одного робітника
|
23,75
|
23,78
|
100,51
|
|
Одного робочого
|
30,06
|
30,11
|
100,17
|
Плановане збільшення рівня
фондовіддачі пов'язано з приростом валових доходів в планованому періоді.
Показник фондовооруженности
залишився на тому ж рівні і пояснюється це, тим, що не було збільшення вартості
основних фондів. Тому в планованому періоді чисельність працівників
підприємства залишається на рівні звітного року і складе 132 чіл., у тому числі
водії - 45, ремонтні і допоміжні робітники - 27, інший виробничий персонал -
32, керівники і службовці - 28.
В результаті зростання об'ємів
перевезень збільшується продуктивність праці. Планування продуктивності праці
працюючих підприємства виконано в таблиці 2.11.
Таблиця 2.11 - Планування
продуктивності праці
|
Показник
|
Факт 2011г.
|
Проект плану
|
План к факту, %
|
|
Доходи від реалізації послуг, тис.грн.
|
1097,06
|
1869,56
|
170,42
|
|
Персонал робітники, чел
|
132
|
132
|
100
|
|
В тому числі робочі
|
107
|
107
|
100
|
|
Продуктивність праці, тис.грн./чел.
|
|
|
|
|
Одного робітника
|
8,31
|
14,16
|
170,41
|
|
Одного робочого
|
10,25
|
17,47
|
170,69
|
Як показали розрахунки,
продуктивність праці працюючих збільшилася на 70,41%. Це з'явилося слідством
збільшення об'єму перевезень а відповідно і доходів в планованому періоді на
70,42% при незмінній чисельності працюючих.
Аналіз діяльності Донецького АТП
11480 свідчить, що на підприємстві відбувається погіршення його
виробничо-господарських показників, що обумовлено як зростанням конкуренції на
ринку автоперевозок, так і за рахунок неефективного менеджменту в області
перевезень.
Ліквідація даних проблем можлива при
застосуванні економіко-математичного підходу до планування перевезень.
Даний підхід дозволяє оптимізувати
перевезення здійснювані АТП, що може привести до скорочення вартості
перевезень, або до зменшення часу затрачуваного на перевезення
3. МОДЕЛЬ ТРАНСПОРТНИХ ПЕРЕВЕЗЬ ДЛЯ
АТП 11480
.1 Загальна постановка задачі
транспортних перевезень
Аналіз діяльності АТП 11480 дозволив
визначити наступних постачальників і споживачів по цеглині, які забезпечуються
АТП: Снежнянській машинобудівний завод, Енергостройінвест, Донецький торговий
університет, ТОВ «Промстрой». Відповідно потреба даних споживачів складе: 12 т,
16,5 т., 14,0., 60 т.
Як постачальники продукції, яку
перевозить Донецьке АТП виступають: фірма «Строймак», фірма «Еліта», фірма
«Олімп», фірма «Цеглинка». Тарифи перевозів одиниці продукції від кожного
постачальника кожному споживачу задаються матрицею:
Можливості поставки складають
30 т., 20 т., 40 т., 40 т.
Складемо математичну модель
задач.
Маємо:(i=1,2.,4) -
постачальники продукції.- кількість одиниць продукції «i»
постачальника.(j=1,2.,4) - споживачі- потреби «j» споживача- вартість
перевезення 1 умовної одиниці продукції від «i» постачальника до «j» споживача.
Для даної задачі існують
наступні обмеження.
Балансове обмеження.
Передбачається, що сума всіх
запасів (ai) рівна сумі всіх заявок (bj):
(3.1)
Слід зазначити, що для даної
постановки задачі дана умова не виконується, оскільки
(3.2)
(3.3)
Тобто спостерігається
перевищення об'єму по постачальниках над об'ємам по споживачах.
Таким чином, слід ввести
додаткового споживача на об'єм перевищення (на 27,7 тонн). Нехай дана фірма
носить назву «Фіктів». Даною фірмою необхідно поставити 27, т вугілля. І його
необхідно пов'язати зі всіма постачальниками.
Цього споживача необхідно
пов'язати зі всіма постачальниками, причому вартість перевезення повинна бути
достатньо великої і однакової для всіх споживачів. Приймемо її рівній 20 грн.
Таким чином, матриця вартостей прийме вигляд:
(3.4)
Ресурсне обмеження.
Сумарна кількість вантажу,
направленого від кожного постачальника до всіх споживачів, повинна бути рівна
запасу вантажу у даного постачальника. Це дасть m - умов рівності:
(3.5)
Тобто,
(3.6)
Для нашої задачі таке
обмеження буде рівне
(3.7)
3 Планове обмеження.
Сумарна кількість вантажу, що
доставляється кожному споживачу призначення від всіх постачальників повинне
бути рівна заявці (bj), поданої даним споживачем. Це дасть нам n - умов
рівності:
(3.8)
Тобто
(3.9)
Для нашої задачі таке
обмеження буде рівне.
(3.10)
Реальність плану перевезень.
Перевезення не можуть бути
негативними числами
(3.11)
Вимагається скласти такий
план перевезень, при якому всі заявки б були виконані і при цьому загальна
вартість всіх перевезень би була мінімальна, тому цільова функція або критерій
ефективності:
(3.12)
3.2 Використання мереженого
планування для рішення транспортної задачі
Оптимізація за допомогою сіті
дозволяє прослідити всі ітерації і перерозподіл поставок від постачальників до
споживачів. Представимо початкову задачу у вигляді сіті, в якій всі споживачі
матимуть порядкові номери від I до IV, а всі постачальники від V до VIII. Таким
чином, сіть має вигляд (рис. 3.1).
Рисунок 3.1 - Представлення
транспортної задачі у вигляді сіті
Рисунок 3.2- Первинний план
перевезень
Для вирішення даної транспортної
задачі побудуємо первинний план. Первинний план і цільова функція прикмет
вигляд (рис. 3.2).
Вартість перевезень на першому кроці
складе за вирахуванням фіктивної поставки:
Розрахуємо потенціали. Їх
розрахунок приведений на рис. 3.3
На основі отриманих потенціалів
розрахуємо різниці потенціалів між всіма вершинами, для яких не існує поставок.
Різниці потенціалів приведені в табл. 3.1
Рисунок 3.3 - Розрахунок потенціалів
Таблиця 3.1 - Різниці потенціалів
|
Вершина, i
|
Вершина, j
|
|
|
I
|
V
|
0.5
|
|
VII
|
1.7
|
|
VIII
|
1.1
|
|
II
|
V
|
-0,6
|
|
VII
|
-1
|
|
III
|
V
|
-1.6
|
|
VIII
|
-1,2
|
|
IV
|
VI
|
0
|
|
VIII
|
1.3
|
|
IX
|
V
|
-0,6
|
|
VI
|
-0,1
|
|
VII
|
-0,1
|
Як бачимо, між вершинами III і VI
існує найменша негативна різниця потенціалів, тобто необхідно ввести поставку,
перерахувати нові потенціали (рис. 3.4).
Рисунок 3.4 - Перерахунок сіті
Тоді вартість поставки складе
Нова різниця потенціалів
наведена в табл. 3.2
Таблиця 3.2 - Різниця
потенціалів
|
Вершина, i
|
Вершина, j
|
|
|
I
|
V
|
2.1
|
|
VII
|
3.3
|
|
VIII
|
1.1
|
|
II
|
V
|
1
|
|
VII
|
0.6
|
|
III
|
VII
|
1.6
|
|
VIII
|
-1,2
|
|
IV
|
VI
|
0
|
|
VIII
|
1.3
|
|
IX
|
V
|
1
|
|
VI
|
-0,1
|
|
VII
|
1.5
|
Як бачимо, рішення не є актуальним,
тобто необхідно ввести поставку VIII® III (рис.
3.5).
Рисунок 3.5 - Перерахунок сіті
Тоді вартість складе
Як бачимо вартість постійно
зменшується, тобто оптимізація проходить правильно.
Нова різниця потенціалів
наведена в табл. 3.3
Таблиця 3.3 - Різниця
потенціалів
|
Вершина, i
|
Вершина, j
|
|
|
I
|
V
|
2.1
|
|
VII
|
3.3
|
|
VIII
|
1.1
|
|
II
|
V
|
1
|
|
VII
|
0.6
|
|
III
|
VI
|
1,2
|
|
VII
|
1,6
|
|
IV
|
VI
|
-0,4
|
|
VIII
|
0,9
|
|
IX
|
V
|
-0,2
|
|
VI
|
-0,1
|
|
VII
|
0,3
|
Рисунок 3.6 - Перерахунок мережі
Аналіз табл. 3.3 показав
необхідність ввести поставку VI ® IV .
Перерахуємо нову мережу (рис. 3.6)
Тоді вартість складе
Нова різниця потенціалу приведена
а табл. 3.4
Таблиця 3.4 - Різниця
потенціалів
|
Вершина, i
|
Вершина, j
|
|
|
I
|
V
|
0,5
|
|
VII
|
1,7
|
|
VIII
|
1.1
|
|
II
|
V
|
-0,6
|
|
VII
|
-1
|
|
III
|
VI
|
1,2
|
|
VII
|
1,6
|
|
VIII
|
0,4
|
|
IV
|
VI
|
1,3
|
|
IX
|
V
|
-0,6
|
|
VI
|
-0,1
|
|
VII
|
-0,1
|
Аналіз табл. 3.4 показав
необхідність ввести поставку VII ® II.
Перерахуємо нову мережу (рис. 3.7).
Рисунок 3.7- Перерахунок сіті
Нова вартість складе
Нова різниця потенціалів наведена в
табл. 3.5
Таблиця 3.5 - Різниця потенціалів
|
Вершина, i
|
Вершина, j
|
|
|
I
|
V
|
0,5
|
|
VII
|
1,7
|
|
VIII
|
0,1
|
|
II
|
V
|
0,4
|
|
VI
|
1
|
|
III
|
VI
|
1,6
|
|
VII
|
1,6
|
|
VIII
|
-0,6
|
|
IV
|
VI
|
0,3
|
|
IX
|
V
|
0,4
|
|
VI
|
0,9
|
|
VII
|
0,4
|
Аналіз табл. 3.5 показав
необхідність ввести поставку VIII ® III.
Перерахуємо нову мережу (рис. 3.7)
Нова вартість складає
Нова різниця потенціалів
наведена в табл. 3.6
Таблиця 3.6 - Різниця
потенціалів
|
Вершина, i
|
Вершина, j
|
|
|
I
|
V
|
0,5
|
|
VII
|
1,7
|
|
VIII
|
0,7
|
|
II
|
V
|
0,4
|
|
VI
|
1
|
|
VIII
|
0.6
|
|
III
|
VI
|
1,6
|
|
VII
|
1,6
|
|
IV
|
VI
|
0,3
|
|
IX
|
V
|
-0.2
|
|
VI
|
0.3
|
|
VII
|
0.3
|
Рисунок 3.7 - Перерахунок сіті
Аналіз табл. 3.6 показав
необхідність ввести поставку V ® IX.
Перерахуємо нову мережу (рис. 3.8)
Нова різниця потенціалів
наведена в табл. 3.7
Таблиця 3.7 - Різниця
потенціалів
|
Вершина, i
|
Вершина, j
|
|
|
I
|
V
|
0,5
|
|
VII
|
1,7
|
|
VIII
|
0,5
|
|
II
|
V
|
0,4
|
|
VI
|
1
|
|
VIII
|
0.4
|
|
III
|
V
|
0.2
|
|
VI
|
1.8
|
|
VII
|
1,8
|
|
IV
|
VI
|
0,7
|
|
IX
|
VI
|
0.5
|
|
VII
|
0.5
|
Рисунок 3.8 - Перерахунок сіті
Таким чином, опорний план є
оптимальним і загальна вартість перевезень складає 547.7 тис. грн.
Проведемо аналіз оптимального плану
перевезень і плану, який існувало на підприємстві. Існуючий план представлений
на рис.3.9.
Рисунок 3.9 - Існуючий план
Вартість перевезень складає:
Таким чином, економія при
оптимізації складає 71,35 тис. грн. на рік, яка може бути використана на
оновлення парку автомобілів.
Також проведений аналіз
показав, що деякі маршрути є оптимальними. Однак кількість перевезень не
оптимальна.
3.3
Вирішення транспортної задачі з використанням симплекс-методу
Для оптимізації
вантажоперевезень скористаємося пакетом MS Excel і запрограмуємо симплекс метод
в даному пакеті. Для цього скористаємося методом «Пошук рішень».
Для вирішення в пакті MS
Excel скористаємося наступним алгоритмом
) Введення початкових даних:
введення вартості перевезень
(в рядки B3:F6). Введення даних представлено на рис. 3.10
введення об'єму запасів на
складах постачальників (в рядки G3:G6) (рис 3.11);
введення об'єму споживання (в
рядки B7:F7) (рис. 3.12).
Таким чином, початкові дані
мають вигляд (рис. 3.13).
Рисунок 3.10 - Введення
вартості перевезень
Рисунок 3.11 - Запаси
постачальників
Рисунок 3.12 - Об'єми
споживання
Рисунок 3.13 - Початкові дані
2) Введення обмежень:
Виберемо як змінні рядки, рядок
B11:F14 (рис. 3.14)
Тоді можна ввести системи обмежень
(3.7) і (3.10). Для введення систем обмежень необхідно порахувати наступні
суми:
Рисунок 3.14 - Змінні ряд
в рядку G11: сума рядків B11:F11
в рядку G12: сума рядку B12:F12
в рядку G13: сума рядку B13:F13
в рядку G14: сума рядку B14:F14
в рядку В15: сума рядку B11:В14
в рядку С15: сума рядку С11:С14
в рядку D15: сума рядку D11:D14
в рядку E15: сума рядку E11:E14
Дані суми представлені на рим. 3.15
Рисунок 3.15 - Введення обмежень
3) Встановлення цільової функції
Скористаємося формулою 3.11 і
встановимо цільову функцію в рядку Н3 (Н3=СУММПРОИЗВ(B3:F6;B11:F14)) (рис.
3.16).
Рисунок 3.16 - Цільова функція
Початкове значення цільової функції
рівно 0, оскільки ще жодна одиниця товару не перевезена
) Використання пошуку рішень.
Вікно пошуку рішень має вигляд (рис.
3.17):
Рисунок 3.17 - Чисте вікно пошуку
рішень
Встановимо цільову функцію рівної
мінімальному значенню.
Як змінні рядки виберемо наступні:
B11:F14
Як обмеження виберемо наступні
обмеження:
обмеження по постачальниках:
G11:G14=G3:G6
обмеження по споживачах:
B7:F7=B15:F15
обмеження позитивності B11:F14>=0
Таким чином, пошук рішень приме
вигляд (рис. 3.18).
Рисунок 3.18 - Пошук рішень при
введенні всіх даних
Проведемо прогін рішення за
допомогою методу Ньютона і проаналізуємо всі ітерації. Ітерація 1. Ітерація
представлена на рис. 3.19.
Рисунок 3.19 - Ітерація 1
Цільова функція рівна 504 тис. грн
Ітерація 2. Ітерація представлена на
рис. 3.20.
Рисунок 3.20 - Ітерація 2
Цільова функція рівна 658 тис. грн
Ітерація 3. Ітерація представлена на
рис. 3.21.
Рисунок 3.21 - Ітерація 3
Ітерація 4. Ітерація представлена на
рис. 3.22.
Рисунок 3.22 - Ітерація 4
Цільова функція рівна 962 тис. грн.
Ітерація 5. Ітерація представлена на
рис. 3.23.
Рисунок 3.23 - Ітерація 5
Цільова функція рівна 1103 тис. грн
Ітерація 6. Ітерація представлена на
рис. 3.24.
Рисунок 3.24 - Ітерація 6
Цільова функція рівна 1130 тис. грн
Ітерація 7. Ітерація представлена на
рис. 3.25.
Рисунок 3.25 - Ітерація 7
Цільова функція рівна 1126 тис. грн
Ітерація 8. Ітерація представлена на
рис. 3.26.
Рисунок 3.26 - Ітерація 8
Цільова функція рівна 1122 тис. грн
Ітерація 9. Ітерація представлена на
рис. 3.27.
Рисунок 3.27 - Итерация 9
Як видно з ітерацій вже на шостій
ітерації почали виконуватися всі умови.
Проаналізуємо межі стійкості (рис.
3.28 і рис. 3.29 відповідно)
Рисунок 3.28 - Анализ межі
Аналіз меж показує, що межі і
знайдені рішення співпадають. Аналіз стійкості також свідчить про наявність
стійких рішень.
Таким чином, можна зробити ряд
висновків:
) аналізованому підприємству
необхідно здійснювати перевезення по наступному маршруту:
фірма «Еліта» ®
Снежнянський машинобудівний завод (12 тонн);
фірма «Олімп» ®
Енергобудінвест (16,5 тонн);
Рисунок 3.29 - Аналіз стійкості
фірма «Цеглинка» ®
Донецький торговий університет (14 тонн)
фірма «строймак» ®
ТОВ «Промстрой» (28,5 тонн)
фірма «Еліта» ®
ТОВ «Промстрой» (8 тонн)
фірма «Олімп» ®
ТОВ «Промстрой» (23,5 тонн)
фірма «строймак» ®
фіктивній фірмі (1,5 тонни)
фірма «Цеглинка» ®
фіктивній фірмі (26 тонн)
Представимо у вигляді графа, дані
перевезення (рис. 3.30):
Значення цільової функції складе з
урахуванням фіктивних перевезень 1097,7 тис. грн, без урахування фіктивних
перевезень 547,7 тис. грн.
Рисунок 3.30 - Граф
перевезень
Таким чином, при
запланованому обсязі перевезень прибуток АТП складає
,6-547,7=1321,9 тис. грн
В даному розділі була
проведена оптимізація вантажоперевезень Торезського АТП 11480. Перш ніж
проводити дану оптимізацію, нам необхідно було коректно поставити задачу.
Внаслідок чого була здійснена математична і економічна постановка задачі.
На основі даних постановок
було реалізовано два методи рішення транспортних задач: симплекс метод за
допомогою пакету MS Excel і мережний метод. Гідністю першого методу є простота
в розрахунках, гідністю другого - їх візуалізація. Ці методи показали однакові
результати при дослідженні. В результаті дослідження було показано, що при
оптимізації вантажоперевезень загальна їх вартість складе 547,7 тис. грн, а
прибуток підприємства 1321,9 тис. грн. Слід зазначити, що при здійсненні
оптимізації економія складе 71,35 тис. грн. в рік.
4. ОХОРОНА
ПРАЦІ І НАВКОЛИШНЬОГО СЕРЕДОВИЩА
.1 Загальні
питання охорони праці
Державна політика в галузі
охорони праці базується на принципах:
пріоритету життя і здоров’я
працівників, повної відповідальності роботодавця за створення належних,
безпечних і здорових умов праці;
підвищення рівня промислової
безпеки шляхом забезпечення суцільного технічного контролю за станом
виробництв, технологій та продукції, а також сприяння підприємствам у створенні
безпечних та нешкідливих умов праці;
комплексного розв’язання
завдань охорони праці на основі загальнодержавної, галузевих, регіональних
програм з цього питання та з урахуванням інших напрямів економічної і
соціальної політики, досягнень в галузі науки і техніки та охорони довкілля;
соціального захисту
працівників, повного відшкодування шкоди особам, які потерпіли від нещасних
випадків на виробництві та професійних захворювань;
встановлення єдиних вимог з
охорони праці для всіх підприємств та суб’єктів підприємницької діяльності
залежно від форм власності та видів діяльності;
адаптації трудових процесів
до можливостей працівника з урахуванням його здоров’я та психологічного стану;
використання економічних
методів управління охороною праці, участі держави у фінансуванні заходів щодо
охорони праці, залучення добровільних внесків та інших надходжень на цілі,
отримання яких не суперечить законодавству;
інформування населення,
проведення навчання, професійної підготовки і підвищення кваліфікації
працівників з питань охорони праці;
забезпечення координації
діяльності органів державної влади, установ, організацій, об’єднань громадян,
що розв’язують проблеми охорони здоров’я, гігієни та безпеки праці, а також
співробітництва і проведення консультацій між роботодавцями та, їх
представниками, між усіма соціальними групами під час прийняття рішень з
охорони праці на місцевому та державному рівнях;
використання світового
досвіду організації роботи щодо поліпшення умов і підвищення безпеки праці на
основі міжнародного співробітництва [19].
4.2
Організація управління охороною праці
Відповідно до ст. 13 закону
України „Про охорону праці” [19] роботодавець зобов’язаний створити на робочому
місці в кожному структурному підрозділі умови праці відповідно до
нормативно-правових актів, а також забезпечити додержання вимог законодавства
щодо прав працівників у галузі охорони праці.
З цією метою роботодавець
забезпечує функціонування системи управління охороною праці, а саме:
створює відповідні служби і
призначає посадових осіб, які забезпечують вирішення конкретних питань охорони
праці, затверджує інструкції про їх обов’язки, права та відповідальність за
виконання покладених на них функцій, а також контролює їх додержання;
розробляє за участю сторін
колективного договору і реалізує комплексні заходи для досягнення встановлених
нормативів та підвищення існуючого рівня охорони праці;
забезпечує виконання
необхідних профілактичних заходів відповідно до обставин, що змінюються;
впроваджує прогресивні
технології, досягнення науки і техніки, засоби механізації та автоматизації
виробництва, вимоги ергономіки, позитивний досвід з охорони праці тощо;
забезпечує належне утримання
будівель і споруд, виробничого обладнання та устаткування, моніторинг за їх
технічним станом;
забезпечує усунення причин,
що призводять до нещасних випадків, професійних захворювань, та здійснення
профілактичних заходів, визначених комісіями за підсумками розслідування цих
причин;
організовує проведення аудиту
охорони праці, лабораторних досліджень, умов праці, оцінку технічного стану
виробничого обладнання та устаткування, атестацій робочих місць на
відповідність нормативно-правовим актам з охорони праці в порядку і строки, що
визначаються законодавством, та за їх підсумками вживає заходів до усунення
небезпечних і шкідливих для здоров’я виробничих факторів;
розробляє і затверджує
положення, інструкції, інші акти з охорони праці, що діють у межах
підприємства, та встановлюють правила виконання робіт і поведінки працівників
на території підприємства, у виробничих приміщеннях, на будівельних
майданчиках, робочих місцях відповідно до нормативно-правових актів з охорони
праці, забезпечує безоплатно працівників нормативно-правовими актами та актами
підприємства з охорони праці;
здійснює контроль за
додержанням працівником технологічних процесів, правил поводження з машинами,
механізмами, устаткуванням та іншими засобами виробництва, використанням
засобів колективного та індивідуального захисту, виконанням робіт відносно до
вимог з охорони праці;
організовує пропаганду
безпечних методів праці та співробітництво з працівниками у галузі охорони
праці;
вживає термінових заходів для
допомоги потерпілим, залучає за необхідності професійні аварійно-рятувальні
формування у разі виникнення на підприємстві аварій та нещасних випадків.
Роботодавець несе
безпосередню відповідальність за порушення зазначених вимог.
Служба охорони праці вирішує
задачі:
забезпечення безпеки
виробничих процесів, устаткування, будівель і споруд;
забезпечення працюючих
засобами індивідуального і колективного захисту;
професійної підготовки і
підвищення кваліфікації працівників з питань охорони праці, пропаганди
безпечних методів роботи;
вибору оптимальних режимів
праці і відпочинку працюючих;
професійного відбору
виконавців для певних видів робіт.
Служба охорони праці входить
в структуру підприємства, установи, організації як одна з основних
виробничо-технічних служб.
Ліквідація служби охорони
праці допускається тільки у разі ліквідації підприємства.
Служба охорони праці залежно
від чисельності працюючих може функціонувати як самостійний структурний
підрозділ так і у вигляді групи фахівців або одного фахівця, в тому числі і за
сумісництвом.
Служба охорони праці
комплектується фахівцями, що мають вищу освіту і стаж роботи за профілем
виробництва не менше 3-х років. Фахівці з середньою спеціальною освітою
приймаються в службу охорони праці у виняткових випадках. Обмеження не
стосуються: за виробничим стажем - осіб, що мають спеціальну освіту по охороні
праці; по рівню освіти - осіб, які прийняті на посаду до затвердження Типового
положення.
Перевірка знань по охороні
праці працівників служби охорони праці проводиться в установленому порядку до
початку виконання ними своїх функціональних обов'язків і періодично, один раз в
три роки.
Положення про службу охорони
праці міністерства, державного комітету, концерну, корпорації і іншого
об'єднання підприємств, освічених за галузевим, може відмінити у письмовій
формі тільки посадовець, якому підлегла служба охорони праці. Працівники служби
охорони праці не можуть притягуватися до виконання функції, не передбачених
Законом” Про охорону праці" і Типовим положенням. Перечень небезпечних і
шкідливих виробничих чинників, які зустрічаються на підприємстві, надані в
табл. 4.1[20].
Таблиця 4.1 - Перечень
небезпечних і шкідливих виробничих чинників
|
Найменування чинників
|
Джерела виникнення
|
Характер дії на організм людини
|
Нормований параметр
|
|
М'яке рентгенівське випромінювання
|
Монітори ЕОМ
|
Стомлення, захворювання органів зору,
серцево-судинної системи
|
Еквівалентна доза, Р, мкР/ч
|
|
Електромагнітне випромінювання
|
Монітори ЕОМ
|
Пониження кров'яного тиску, гальмування
рефлексів
|
Напруженість, Е, В/м
|
|
Ультрафіолетове, інфрачервоне випромінювання
|
Монітори ЕОМ
|
Головний біль, сонливість, запаморочення.
|
Інтенсивність теплових випромінювань Е, Вт/м2
|
|
Електростатичне поле
|
Комп'ютерна техніка
|
Головний біль, погіршення зору
|
Напруженість, Е, кВ/м
|
|
Яскравість екрану
|
Екран комп'ютера
|
Стомлення очей
|
Не більше 40 кд/м2
|
|
Підвищена іонізація повітря
|
Комп'ютер
|
Опромінювання
|
Кількість іонів в 1см3 n+
=1500 ÷ 3000 n- = 3000 ÷ 5000
|
|
Напруга в електромережі
|
Проводка, штучне освітлення
|
Поразка електричним струмом
|
Uпр
|
|
Шум
|
Принтери, сканери, системні блоки ЕОМ
|
Розлади ЦНС, зниження слуху
|
Рівень звуку Lр, дБА
|
|
Вібрація
|
Системні блоки ЕОМ
|
розлади серцево-судинної системи, ЦНС
|
Рівень віброшвидкісті Lv, дБ
|
|
Монотонність праці
|
Безперервна робота на ЕОМ
|
Стомлення ЦНС
|
-
|
4.3 Промислова санітарія
Робота виконувалась на підприємстві.
Категорія виконуваних робіт I а. Значення оптимальних та допустимих робіт
надані в табл.4.1 [36, 37].
Таблиця 4.2 - Значення оптимальних
та допустимих параметрів мікроклімату
|
Період року
|
Категорія робіт по енерговитратах
|
Температура, оС
|
Відносна вологість, %
|
Швидкість руху повітря, м/с
|
|
1
|
2
|
3
|
4
|
5
|
|
Холодний
|
Легка -I а
|
допустимі
|
|
|
21 - 25
|
75
|
0,1
|
|
Холодний
|
Легка -I а
|
оптимальні
|
|
|
22 - 24
|
40 - 60
|
0,1
|
|
Теплий
|
Легка -I а
|
допустимі
|
|
|
22-28
|
55
|
0,1-0,2
|
|
|
оптимальні
|
|
|
23-25
|
40-60
|
0,1
|
|
|
|
|
|
|
4.3.1 Вентиляція
Для забезпечення нормованих
параметрів мікроклімату на підприємстві застосована природна вентиляція.
4.3.2 Освітлення
Освітлення в приміщенні підприємства
природне та штучне. Природне освітлення двостороннє бічне, що здійснюється
через вікна в зовнішніх стінах. Штучне освітлення загальне рівномірне. Розряд
зорових робіт - ІІІ. Світильники розміщені рівномірно і симетрично. Світильники
типу РСПО2В. Лампи типу ДРЛ 80 [42]. Розрахуємо нормативне значення коефіцієнта
природної освітленості для умов експлуатації приміщення підприємства з
урахуванням пояса світлового клімату по формулі 4.1.
; % (4.1)
де енIV - коефіцієнт природної
освітленості (КПО) для IV пояса світлового клімату;нIII - коефіцієнт природної
освітленості для III пояса світлового клімату;- коефіцієнт світлового клімату
(0,9);- коефіцієнт сонячного клімату (1 ÷ 0,75).
нIII = 2%.
енIV = 2 · 0,9 · 1 = 1,8 %.
Визначимо нормативне значення
мінімальної освітленості Ен = 300 лк. Вибрані значення вказаних параметрів
занесемо в таблицю 4.2.
Таблиця 4.3 - Характеристика
освітлення
|
Найменування приміщення
|
Площа підлоги, м2
|
Розряд зорової роботи
|
Освітлення
|
|
|
|
природне
|
штучне
|
|
|
|
Вид освітлення
|
КПО,%
|
Нормована освітленість, Ен, лк
|
|
Кабінет
|
90 м2
|
ІІІ
|
бокове
|
1,8
|
300
|
4.3.3 Шум
Джерела шуму - вентиляційна система,
принтер. Допустимі рівні звукового тиску та звуку наведені в табл.4.3 [36].
.3.4 Випромінення від екрану ПЕОМ
Випромінення від ПЕОМ включає типи:
гамма, рентгенівське, мікрохвильове, видиме, ультрафіолетове та інфрачервоне
випромінення. Рівні цих випромінень достатньо низькі і при правильній
організації умов праці на робочому місці не перевищують діючих норм.
Напруженість електростатичного поля дорівнює 20 кВ/м. Мінімально необхідний
рівень іонізації повітря приміщення при роботі ЕОМ та ПЕОМ складає n+ 400, n-
600 [38].
Таблиця 4.4 - Допустимі рівні
звукового тиску та звуку
|
Види трудової діяльності, приміщення, робочі
місця
|
Рівні звукового тиску в дБ в октавних смугах
зі середнєгеометричними частотами, Гц
|
Рівні звуку та еквівалентні рівні звуку
|
|
31,5
|
63
|
125
|
250
|
500
|
1000
|
2000
|
4000
|
8000
|
|
|
Крайні частоти в октавних смугах, Гц
|
22 45
|
45 90
|
90 180
|
180 360
|
360 720
|
720 1440
|
1440 2880
|
2880 5760
|
5760 11520
|
22 - 11520
|
|
Види трудової діяльності
|
|
|
|
|
|
|
|
|
|
|
|
Адміністративно-управлінська діяльність
|
93
|
79
|
70
|
63
|
58
|
55
|
52
|
50
|
49
|
60
|
4.4 Організація безпечних умов праці
на робочому місці
Перевірка відповідності параметрів
робочого місця (висота робочої поверхні, її розміри, висота сидіння крісла,
простори для ніг, підставки для ніг і інші) антропометричним характеристикам
операторів здійснюються за допомогою площинних манекенів (рис. 4.2 та рис. 4.3)
[47, 48].
За робочим місцем працюють жінки
групи населення Б, перцентили 5 і 95. Дані представлені в таблиці 4.5.
Таблиця 4.5 - Антропометричні
характеристики операторів
|
Найменування ознаки
|
Значення ознаки, см, відповідне перцентилям
для жінок
|
Величина поправки на одяг і взуття, см
|
|
5
|
95
|
|
|
1
|
2
|
3
|
4
|
|
Висота верхівки точки над сидінням
|
81,2
|
90
|
|
|
Висота очей над сидінням
|
69
|
77,8
|
0,5
|
|
Висота плечей над сидінням
|
52,5
|
60,7
|
0,5
|
|
Висота ліктя над сидінням
|
18,25
|
26
|
2,5
|
|
Висота коліна над підлогою
|
48,57
|
55,47
|
|
|
Ліктьова-пальцева III крапка - горизонтальна
відстань від вершини ліктьового відростка ліктьової кістки до пальцевої
третьої точки
|
41,09
|
46,65
|
0,5
|
|
Горизонтальна відстань від спинки до найбільш
виступаючої вперед точки надколінної чашки
|
53,02
|
62,52
|
0,5
|
|
Довжина стопи
|
22,13
|
25,92
|
3,0
|
|
Найбільший поперечний розмір тіла -
горизонтальна відстань між найбільш виступаючими убік точками зовнішньої
поверхні вільно опушених рук
|
41,87
|
51,52
|
|
При організації робочого місця
оператора за дисплеєм були отримані наступні розміри:
відстань від підлоги до сидіння крісла
дорівнює 440 мм;
відстань від сидіння крісла до
нижнього краю робочої поверхні 330 мм;
висота підставки під ноги оператора
мінімальних розмірів 190 мм;
відстань від очей оператора до
дисплея 550 мм;
простір для ніг 770 мм;
відстань від ніжки столу до краю
робочої поверхні столу 640 мм;
відстань М - це відстань між
передньою поверхнею тіла оператора і краєм робочої поверхні столу, воно
дорівнює 80 мм;
відстань від очей оператора до
документації 500 мм;
оптимальна зона моторного поля 360
мм;
висота робочої поверхні 800 мм;
висота сидіння для:
максимального оператора 440 мм;
мінімального оператора 540мм;
кут огляду документів 30о [47, 48].
Рисунок 4.1 - Розміщення оператора
на робочому місці
Рисунок 4.2 - Визначення оптимальної
зони моторного поля
(вид з верху)
4.5 Електробезпека
Параметри електричної мережі
підприємства[49]: род струму - змінний, напруга в мережі - 220 В, частота -
промислова (50 Гц).
Будівля підприємства відноситься до
приміщення з підвищеної небезпекою ІІ. Режим нейтралі питної мережі - трьох
фазна чотирьох провідна мережа з глухозаземленою нейтралю. Передбачено
занулення.
4.6 Пожежна безпека
Приміщення підприємства по категорії
приміщень по вибухопожежній і пожежної небезпеці [41] відноситься до категорії
В. Вогнестійкість будівлі ІІ. Зона класу приміщення П-ІІа. Ступінь захисту
обладнання ІР44. Первинні засоби пожежегасіння надані [41] в табл. 4.6.
Таблиця 4.6 - Перелік обов'язкових
засобів пожежогасіння
|
Приміщення
|
Площа, м2
|
Первинні засоби пожежегасіння (тип)
|
Кількість, шт.
|
|
Майстерня
|
90 м2
|
повітряно-пінний: ВВП-10
|
7 шт
|
4.7 Охорона навколишнього середовища
У приміщенні з офісною й
комп'ютерною технікою виділення шкідливих речовин не відбувається, і тому із
цієї сторони немає погрози забруднення навколишнього середовища.
ВИСНОВКИ
Оптимізація перевезень
автотранспортного підприємства є в сучасних умовах господарювання актуальною
темою, що пов'язано з необхідністю підприємствам самостійно ухвалювати рішення про
вантажоперевезення і як наслідок зазнавати збитки в результаті некомпетентного
ухвалення рішень.
Аналіз діяльності Донецького АТП
11480 свідчить, що на підприємстві відбувається погіршення його
виробничо-господарських показників, що обумовлено як зростанням конкуренції на
ринку автоперевозок, так і за рахунок неефективного менеджменту в області
перевезень.
Ліквідація даних проблем можлива при
застосуванні економіко-математичного підходу до планування перевезень. Даний
підхід дозволяє оптимізувати перевезення здійснювані АТП, що може привести до
скорочення вартості перевезень, або до зменшення часу затрачуваного на
перевезення
Таким чином, поліпшення
господарської діяльності досліджуваного підприємства можливо за рахунок
оптимізації перевезень.
Оптимізація перевезень відноситься
до класу задач лінійного програмування, а саме до транспортної задачі. В даному
розділі проведений аналіз існуючих моделей лінійного програмування і показано
місце транспортних задач в загальній иерерхии лінійного програмування. Існує
велика кількість транспортних задач, основною з яких можуть бути задачі по
скороченню часу і задачі по скороченню вартості. Для вирішення транспортної
задачі використовується ряд методів? до яких відносяться: метод
північно-західного кута; метод мінімального елемента; метод Фогеля;
симплекс-метод, дельта-метод; метод потенціалів; мережний метод.
Кожний з перерахованих методів
володіє певними достоїнствами і недоліками, вираженими, перш за все, в
можливості використовування і трудомісткості обчислень. В даному розділі
розглянуті алгоритми кожного з методів. Надалі в дипломній роботі
розглядатимемо дві різних методу, які ґрунтуються на різному використовуванні
математичного апарату: симплекс метод (вирішуваний за допомогою MS Excel) і
мережний метод.
В третьому розділі була проведена
оптимізація вантажоперевезень Донецького АТП 11480. В результаті дослідження
було показано, що при оптимізації вантажоперевезень загальна їх вартість складе
547,7 тис. грн, а прибуток підприємства 1321,9 тис. грн. Слід зазначити, що при
здійсненні оптимізації економія складе 71,35 тис. грн. в рік.
СПИСОК ДЖЕРЕЛ ІНФОРМАЦІЇ
1. Бурков
В.Н., Донев Б., Енакеев А.Н. и др. Большие системы: моделирование
организационных механизмов. - М.: Наука, 1989. - 246 с.
2. Бурков
В.Н., Кондратьев В.В. Механизмы функционирования организационных систем. - М.:
Наука, 1981. - 384 с.
. Бурков
В.Н., Новиков Д.А. Введение в теорию активных систем. - М.: ИПУ РАН, 1996. -
125 с.
. Бурков
В.Н., Черепов В.А. Модели и методы управления организационными системами. - М.:
Наука, 1994. - 270 с.
. В.С.
Немчинолова “Методы и алгоритмы решения транспортной задачи”
. Голубков
Е.П. Использование системного анализа в принятии плановых решений. - М.:
Экономика, 1982. - с.
. ГОСТ
12.0.003 - 74 ССБТ. Опасные и вредные производственные факторы. Классификация.
- Введ. 01.01.76.
. ГОСТ
12.1.002-84 ССБТ. Электрические поля промышленной частоты. Допустимые уровни
напряжённости на рабочих местах.
. ГОСТ
12.1.003-83* ССБТ. Шум. Общие требования безопасности.
. ГОСТ
12.1.005-88 ССБТ. Общие санитарно-гигиенические требования к воздуху рабочей
зоны. - Введ. 01.01.89.
. ГОСТ
12.1.045-84 ССБТ. Электростатические поля. Допустимые уровни на рабочих местах
и требования к проведению контроля.
. ГОСТ
17.1.3.03-77*. Правила выбора и оценка качества источников централизованного
хозяйственно-питьевого водоснабжения. - Введ. 01.07.78.
. Давыдов
В.Г. Исследование операций. - М.: Высш.шк., 1990. - 384 с.
. Дадаян
В.С. Моделирование народнохозяйственных процессов. - М.: экономика. 1973. - 479
с.
. ДБН
В.1.1 - 7 - 2002 Пожежна безпека об’єктів.
. ДБН
В.2.5-28-2006 Природне і штучне освітлення. К.: Мінбуд. Укр., 2006. - 74с.
. Денисов
А.А. Колесников Д.Н. Теория больших систем управления. Л.: Энергоиздат, 1982.
. Державні
санітарні правила і норми роботи з візуальними дисплейними терміналами
електронно-обчислювальних машин ДСанПіН 3.3.2.007, Київ 1998.
. Дубрев
А.М., Мхиторян В.С. Многомерные статистические методы. - М.: Финансы и
статистика. 1998. - 350 с.
. Дуганов
Г.В. и др. Охрана окружающей природной среды.- К.:Выща шк. 1988.- 304 с.
. Е.Г.
Гольштейн Д. Б. Юдин “Задачи линейного программирования транспортного типа”
. Закон
України «Про охорону праці», листопад 2002 р.
. Клебанова
Т.С., Забродский В.А. и др. Методы исследования операций. - Х.: ХГЭУ, 1999. -
158 с.
. Кузнецов
Ю.П., Кузубова В.И. и др. Математическое программирование. - М.: Высш.шк.,
1976. - 352 с.
. Методические
указания к созданию благоприятных условий труда пользователей ПЭВМ, работающих
с дисплеями на ИВЦ -Харьков: Минздрав УССР, 1986.
. НАПБ
Б.03.002-2007 Норми визначення категорій приміщень, будинків та зовнішніх
установок за вибухопожежною та пожежною небезпекою. Київ -2007.
. НПАОП
0.00 - 1.31 - 99 Правила охорони праці під час експлуатації ЕОМ.
. Одрин
В.М., Картавов С.С. Морфологический анализ систем. - Киев: Наукова думка. 1977.
- с.
. Правила
устройства электроустановок. Энергоатомиздат, 1987.
. Рейльян
Я.Р. Аналитическая основа принятия управленческих решений. - М.: ФиС, - 1989. -
208 с.
. СНиП
2.04.05-91 Нормы проектирования. Отопление, вентиляция и кондиционирование
воздуха. - М.: Стройиздат, 1991.
. Теория
систем и методы системного анализа в управлении и связи / В.Н. Волкова, В.А.
Воронов, А.А. Денисов. - М.: Радио и связь. 1983.
. Тян
Д.Б., Холод Б.І. Управління проектами. - Дніпропетровськ: ДАУ, 2000. - 224 с.
. Черняк
Ю.И. Системный анализ в управлении экономикой. - М.: Экономика, 1975.
. Ю.Н.
Кузнецов В.И. Кузубов А.Б. Волощенко “Математическое программирование”.
. Ю.Н.
Кузнецов «Линейного программирования».