Модель межотраслевой экономики – модель Леонтьева

  • Вид работы:
    Контрольная работа
  • Предмет:
    Менеджмент
  • Язык:
    Русский
    ,
    Формат файла:
    MS Word
    36,78 Кб
  • Опубликовано:
    2013-05-06
Вы можете узнать стоимость помощи в написании студенческой работы.
Помощь в написании работы, которую точно примут!

Модель межотраслевой экономики – модель Леонтьева

Министерство образования и науки Российской Федерации

Федеральное государственное бюджетное образовательное учреждение

высшего профессионального образования

«Нижегородский государственный университет им. Н.И. Лобачевского»

Специальность «Государственное и муниципальное управление»






КОНТРОЛЬНАЯ РАБОТА

по дисциплине: Основы математического моделирования социально-экономических процессов

Выполнил студент 2 курса заочной формы обучения







г. Шахунья

г.

ЗАДАНИЕ №1

Модель межотраслевой экономики - модель Леонтьева.

Задача 1. Даны коэффициенты прямых затрат aij и конечный продукт Yi для двухотраслевой экономической системы. Данные приведены в таблице.

.        Определить коэффициенты полных затрат, вектор валового выпуска, межотраслевые поставки продукции;

.        Проверить продуктивность матрицы коэффициентов прямых затрат;

.        Составить и заполнить таблицу межотраслевого баланса.

.        Найти матрицу косвенных затрат.

Отрасль

Коэффициенты прямых затрат aij

Конечный продукт Yi


1

2


1

0,1*m

0,1

1000

2

0,3

0,1*n

500+100*n


Подставив данные варианта m = 4, n = 4, получим:

Отрасль

Коэффициенты прямых затрат aij

Конечный продукт Yi


1

2


1

0,4

0,1

1000

2

0,3

0,4

900


Из таблицы получаем:

0,4 0,1          1000

А= 0,3 0,4    ,                     Y=            900 .

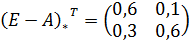
Найдем матрицу полных затрат:


Находим определитель:


А также матрицу миноров:


А затем матрицу алгебраических дополнений:


И соответствующую ей транспонированную матрицу:


Что позволяет найти обратную матрицу - матрицу полных затрат:


Так как все элементы матрицы полных затрат неотрицательны, а также сумма элементов матрицы А по всем строкам и столбцам <1, то матрица коэффициентов прямых затрат является продуктивной.

Найдем вектор валового выпуска:


Помножив первое уравнение на 6 и сложив первое уравнения со вторым, получим:


Откуда найдем:


Межотраслевые поставки считаем по формуле:


В итоге таблица межотраслевого баланса выглядит следующим образом:

Отрасль

Коэффициенты прямых затрат aij

Конечный продукт Yi

Валовой выпуск


1

2



1

0,3

0,1

1000

2090,909

2

0,3

0,4

900

2545,454


Найдем матрицу косвенных затрат:


ЗАДАНИЕ №2

Линейное программирование. Задача оптимального производства продукции

Задача 2. Предприятие планирует выпуск двух видов продукции: I и II. На производство расходуется три вида сырья: A, B и C. Потребность aij на каждую единицу j-го вида продукции i-го вида сырья, запас bi соответствующего вида сырья и прибыль cj от реализации единицы j-го вида продукции заданы таблицей:

Вид сырья

Виды продукции

Запас сырья


I

II


A

a11=n

a12=2

b1=mn + 5n

B

a21=1

a22=1

b2=m + n +3

C

a31=2

a32=m+1

b3=mn+4m+n+4

Прибыль

c1=m+2

c2=n+1


План (ед.)

x1

x2


затрата индексный решение excel

Подставив данные варианта, получим:

Вид сырья

Виды продукции

Запас сырья


I

II


A

4

2

36

B

1

1

11

C

2

5

40

Прибыль

6

5


План (ед.)

x1

x2



Целевая функция решения имеет следующий вид:


Система ограничений на целевую функцию:


Воспользовавшись сервисом «поиск решения» в программе MS Excel, получим оптимальный план производства продукции:

Определим максимальное значение целевой функции F(X) = 6x1 + 5x2 при следующих условиях-ограничений.

x1 + 2x2≤36+ x2≤11

x1 + 5x2≤40+ x2≥4

Для построения первого опорного плана систему неравенств приведем к системе уравнений путем введения дополнительных переменных (переход к канонической форме).

x1 + 2x2 + 1x3 + 0x4 + 0x5 + 0x6 = 36

x1 + 1x2 + 0x3 + 1x4 + 0x5 + 0x6 = 11

x1 + 5x2 + 0x3 + 0x4 + 1x5 + 0x6 = 40

x1 + 1x2 + 0x3 + 0x4 + 0x5-1x6 = 4

Введем искусственную переменную: в 4-м равенстве вводим переменную x7;

x1 + 2x2 + 1x3 + 0x4 + 0x5 + 0x6 + 0x7 = 36

x1 + 1x2 + 0x3 + 1x4 + 0x5 + 0x6 + 0x7 = 11

x1 + 5x2 + 0x3 + 0x4 + 1x5 + 0x6 + 0x7 = 40

x1 + 1x2 + 0x3 + 0x4 + 0x5-1x6 + 1x7 = 4

Для постановки задачи на максимум целевую функцию запишем так:

(X) = 6x1+5x2 - Mx7 → max

Из уравнения выражаем искусственную переменную:

= 4-x1-x2+x6

которую подставим в целевую функцию:

(X) = (6+M)x1+(5+M)x2+(-M)x6+(-4M) → max

Решим систему уравнений относительно базисных переменных:, x4, x5, x7,

Полагая, что свободные переменные равны 0, получим первый опорный план:= (0,0,36,11,40,0,4)

Базис

B

x1

x2

x3

x4

x5

x6

x7

x3

36

4

2

1

0

0

0

0

x4

11

1

1

0

1

0

0

0

x5

40

2

5

0

0

1

0

0

x7

4

1

1

0

0

0

-1

1

F(X0)

-4M

-6-M

-5-M

0

0

0

M

0


Текущий опорный план неоптимален, так как в индексной строке находятся отрицательные коэффициенты. В качестве ведущего выберем столбец, соответствующий переменной x1, так как это наибольший коэффициент по модулю. Вычислим значения Di по строкам как частное от деления: bi / ai1 и из них выберем наименьшее, 4-ая строка является ведущей. Разрешающий элемент равен 1 и находится на пересечении ведущего столбца и ведущей строки.

Базис

B

x1

x2

x3

x4

x5

x6

x7

min

x3

36

4

2

1

0

0

0

0

9

x4

11

1

1

0

1

0

0

0

11

x5

40

2

5

0

0

1

0

0

20

x7

4

1

1

0

0

0

-1

1

4

F(X1)

-4M

-6-M

-5-M

0

0

0

M

0

0


Получаем новую симплекс-таблицу:

Базис

B

x1

x2

x3

x4

x5

x6

x7

x3

20

0

-2

1

0

0

4

-4

x4

7

0

0

0

1

0

1

-1

x5

32

0

3

0

0

1

2

-2

x1

4

1

1

0

0

0

-1

1

F(X1)

24

0

1

0

0

0

-6

6+M


Текущий опорный план неоптимален, так как в индексной строке находятся отрицательные коэффициенты. В качестве ведущего выберем столбец, соответствующий переменной x6, так как это наибольший коэффициент по модулю. Вычислим значения Di по строкам как частное от деления: bi / ai6 и из них выберем наименьшее, 1-ая строка является ведущей. Разрешающий элемент равен 4 и находится на пересечении ведущего столбца и ведущей строки.

Базис

B

x1

x2

x4

x5

x6

x7

min

x3

20

0

-2

1

0

0

4

-4

5

x4

7

0

0

0

1

0

1

-1

7

x5

32

0

3

0

0

1

2

-2

16

x1

4

1

1

0

0

0

-1

1

-

F(X2)

24

0

1

0

0

0

-6

6+M

0


Получаем новую симплекс-таблицу:

Базис

B

x1

x2

x3

x4

x5

x6

x7

x6

5

0

-1/2

1/4

0

0

1

-1

x4

2

0

1/2

-1/4

1

0

0

0

x5

22

0

4

-1/2

0

1

0

0

x1

9

1

1/2

1/4

0

0

0

0

F(X2)

54

0

-2

11/2

0

0

0

M


Итерация №2.

Текущий опорный план неоптимален, так как в индексной строке находятся отрицательные коэффициенты. В качестве ведущего выберем столбец, соответствующий переменной x2, так как это наибольший коэффициент по модулю. Вычислим значения Di по строкам как частное от деления: bi / ai2 и из них выберем наименьшее, 2-ая строка является ведущей. Разрешающий элемент равен 1/2 и находится на пересечении ведущего столбца и ведущей строки.

Базис

B

x1

x2

x3

x4

x5

x6

x7

min

x6

5

0

-1/2

1/4

0

0

1

-1

-

x4

2

0

1/2

-1/4

1

0

0

0

4

x5

22

0

4

-1/2

0

1

0

0

51/2

x1

9

1

1/2

1/4

0

0

0

0

18

F(X3)

54

0

-2

11/2

0

0

0

M

0


Получаем новую симплекс-таблицу:

Базис

B

x1

x2

x3

x4

x5

x6

x7

x6

7

0

0

0

1

0

1

-1

x2

4

0

1

-1/2

2

0

0

0

x5

6

0

0

11/2

-8

1

0

0

x1

7

1

0

1/2

-1

0

0

0

F(X3)

62

0

0

1/2

4

0

0

M


Индексная строка не содержит отрицательных элементов - найден оптимальный план. Так как в оптимальном решении отсутствуют искусственные переменные (они равны нулю), то данное решение является допустимым. Оптимальный план можно записать так:

= 7

x2 = 4

F(X) = 5•4 + 6•7 = 62

Для решения графическим методом заменим неравенства уравнениями и построим их на координатной плоскости. Область решений обозначена штриховкой.


Добавим на график целевую функцию (на графике обозначена пунктирной линией):


Будем искать максимальное значение a, при котором целевая функция касается многоугольника решений. Получилось a=62 для значений x1 = 7 и x2 = 4.

Литература

1.      Красс М.С., Чупрынов Б.П. Математика для экономистов. - СПб.: Питер,2004.

.        Орлова И. В., Половников В.А. Экономико-математические методы и модели. - М.: Вузовский учебник, 2009.

.        Замков О.О. и др. Математические методы в экономике. - М.: Дело и сервис, 2009.

.        Шапкин А. С. Задачи по высшей математике, теории вероятностей, математической статистике, математическому программированию с решениями. - М.: «Дашков и К0», 2006.

Похожие работы на - Модель межотраслевой экономики – модель Леонтьева

 

Не нашли материал для своей работы?
Поможем написать уникальную работу
Без плагиата!
Без нейросетей!