Межотраслевой баланс
Содержание
Ведение
1. Общая структура межотраслевого баланса
2. Статическая межотраслевая модель
3. Модель межотраслевого баланса затрат труда
4. Пример расчета межотраслевого баланса
Список использованных источников
Теоретические основы
межотраслевого баланса были разработаны в СССР
в 1923-1924 гг. В 1930-е годы Василий
Леонтьев применил метод анализа межотраслевых связей с
привлечением аппарата линейной
алгебры для исследования экономики США.
Метод стал известен под названием "затраты - выпуск". Во время Второй
мировой войны, разработанная Леонтьевым матрица "затраты - выпуск"
для экономики Германии служила для выбора целей ВВС США. Аналогичный баланс для
СССР, разработанный Леонтьевым, использовался властями США для принятия решения
об объемах и структуре Ленд-лиза.
За 1959 год ЦСУ СССР разработало
отчетный межотраслевой баланс в стоимостном выражении (по 83 отраслям) и первый
в мире межотраслевой баланс в натуральном выражении (по 257 позициям). Одновременно
развернулись прикладные работы в центральных плановых органах (Госплане и
Госэкономсовете) и их научных организациях. Первые плановые межотраслевые
балансы в стоимостном и натуральном выражении были построены в 1962г. Далее
работы были распространены на республики и регионы. По данным за 1966г. межотраслевые
балансы были построены по всем союзным республикам и экономическим районам РСФСР.
Советскими учеными были созданы заделы для более широкого применения
межотраслевых моделей (в том числе динамических, оптимизационных,
натурально-стоимостных, межрегиональных и др.)
В 70-х и 80-х годах в СССР на
основе данных межотраслевых балансов разрабатывались более сложные
межотраслевые модели и модельные комплексы, которые использовались в прогнозных
расчетах и частично входили в технологию народнохозяйственного планирования. По
ряду направлений советские межотраслевые исследования занимали достойное место
в мировой науке.
В то же время, Леонтьев
отчетливо понимал, что теоретические разработки советских ученых не находят
практического применения в реальной экономике, где все решения принимались
исходя из политической конъюнктуры.
Центральным элементом матричных
моделей является так называемый межотраслевой баланс. Он представляет собой
таблицу, характеризующую связи между различными отраслями экономики страны. Общая
структура межотраслевого баланса представлена в таблице 3.1
Таблица 3.1 - Общая структура
межотраслевого баланса
Производственная сфера экономики
представлена в балансе в виде совокупности n отраслей.
Баланс состоит из четырех
разделов (квадрантов).
Первый квадрант представляет
собой матрицу, состоящую из (n+1) строки и (n+1) столбца. Этот раздел является
важнейшей частью баланса, поскольку именно здесь содержится информация о
межотраслевых связях. Величина xij, находящаяся на пересечении i-й
строки и j-го столбца, показывает, сколько продукции i-й отрасли было
использовано в процессе материального производства j-й отрасли. Величины xij
характеризуют межотраслевые поставки сырья, материалов, топлива и энергии,
обусловленные производственной деятельностью.
В i-й строке величины xi1,
xi2,..., xij,..., xin описывают распределение
продукции i-й отрасли как средства производства для других отраслей.
Величины x1j, x2j,...,
xij,..., xnj j-го столбца в этом случае будут описывать
потребление j-й отраслью сырья, материалов, топлива и энергии на
производственные нужды.
Таким образом, первый раздел
баланса дает общую картину распределения продукции на текущее производственное
потребление всех n отраслей материального производства.
В зависимости от того, в каких
единицах измеряются потоки продукции в балансе, существуют различные его
варианты: в натуральном выражении, в денежном (стоимостном) выражении, в
натурально-стоимостном, в трудовых измерителях. Мы рассмотрим баланс в
стоимостном выражении, в котором потоки продукции измеряются на основе
стоимости произведенной продукции в некоторых фиксированных ценах. Поскольку в
этом случае величины xij отражают стоимость продукции, т.е. измеряются
в одних и тех же единицах, их можно просуммировать.
Величина
представляет собой сумму всех
поставок i-й отрасли другим отраслям.
Сумма по столбцу
характеризует производственные
затраты j-й отрасли на приобретение продукции других отраслей.
На пересечении (n+1) - й строки
и (n+1) - го столбца находится величина
- так называемый промежуточный продукт
экономики.
Второй раздел посвящен конечному
продукту. Столбец конечного продукта - (n+2) - й столбец. Величина yi
- потребление продукции i-й отрасли, не идущее на текущие производственные
нужды. В конечную продукцию, как правило, включаются: накопление, возмещение
выбытия основных средств, прирост запасов, личное потребление населения,
расходы на содержание государственного аппарата, здравоохранение, оборону и т.д.,
а также сальдо экспорта и импорта.
Ко второму разделу относится
также столбец валовых выпусков (Xi). В пределах первого и второго
разделов справедливо соотношение:

(3.1)
Третий квадрант межотраслевого
баланса отражает стоимостную структуру валового продукта отраслей. В (n+2) - й
строке таблицы отражена условно чистая продукция (Vj),
представляющая собой разницу между величиной валовой продукции отрасли и
суммарными затратами отрасли:
(3.2)
Условно чистая продукция
подразделяется на амортизационные отчисления и чистую продукцию отрасли. Важнейшими
составляющими чистой продукции отрасли являются заработная плата, прибыль и
налоги.
Можно показать, что суммарный
конечный продукт равен суммарной условно чистой продукции (
).
Из соотношений (3.1) и (3.2):
Просуммируем первое равенство по
i, а второе - по j:
Левые части выражений равны,
значит равны и правые:
откуда
что и требовалось доказать.
Таким образом, в третьем разделе
также фигурирует конечный продукт, но если во втором разделе он разбивается на
величины yi, характеризующие структуру потребления, то в третьем
разделе величины Vj показывают, в каких отраслях произведена
стоимость конечного продукта.
Четвертый раздел располагается
под вторым. Он характеризует перераспределительные отношения в экономике,
осуществляемые через финансово-кредитную систему. В плановых расчетах четвертый
раздел, как правило, не используется, и поэтому в пределах нашего курса
рассматриваться не будет.
Итак, рассмотренный нами
межотраслевой баланс - это способ представления статистической информации об
экономике страны. Он строится на основе агрегирования результатов деятельности
отдельных предприятий. Такой баланс называют отчетным. Кроме этого строятся
плановые балансы, предназначенные для разработки сбалансированных планов
развития экономики.
Статистические межотраслевые
модели используются для разработки планов выпуска и потребления продукции и
основываются на соотношениях межотраслевого баланса.
При построении модели делают
следующие предположения:
1) все продукты, производимые
одной отраслью, однородны и рассматриваются как единое целое, т.е. фактически
предполагается, что каждая отрасль производит один продукт;
2) в каждой отрасли имеется
единственная технология производства;
3) нормы производственных затрат
не зависят от объёма выпускаемой продукции;
4) не допускается замещение
одного сырья другим.
В действительности эти
предположения, конечно, не выполняются. Даже на отдельном предприятии обычно
выпускаются различные виды продукции, используются различные технологии,
удельные затраты зависят от объема выпуска и в тех или иных пределах
допускается замена одного сырья другим. Следовательно, эти предположения тем
более неверны для отрасли. Однако такие модели получили широкое распространение
и, как показала практика, они вполне адекватны и применимы для составления
планов выпуска продукции.
При этих предположениях величина
xij может быть представлена следующим образом:
(3.3)
Величина aij
называется коэффициентом прямых материальных затрат. Она показывает, какое
количество продукции i-й отрасли идет на производство единицы продукции j-й
отрасли. Коэффициенты aij считаются в межотраслевой модели
постоянными.
Подставляя выражение (3.3) в
формулу (3.1), получим:
Это соотношение можно записать в
матричном виде:
X = AX + Y, (3.4)
где X = (X1, X2,...,
Xn) - вектор валовых выпусков;
Y = (y1, y2,...,
yn) - вектор конечного продукта;
A =
-
матрица коэффициентов прямых
материальных затрат.
Коэффициенты прямых материальных
затрат являются основными параметрами статической межотраслевой модели. Их
значения могут быть получены двумя путями:
1) статистически. Коэффициенты
определяются на основе анализа отчётных балансов за прошлые годы. Их
неизменность во времени определяется подходящим выбором отраслей;
2) нормативно. Предполагается,
что отрасль состоит из отдельных производств, для которых уже разработаны
нормативы затрат; на их основе рассчитываются среднеотраслевые коэффициенты.
Выражение (3.4) принято называть
балансом распределения продукции. Его можно использовать для анализа и
планирования структуры экономики. Если известны коэффициенты прямых материальных
затрат, то, задав конечный продукт по каждой отрасли, можно определить
необходимые валовые выпуски отраслей. В этом заложена основная идея
использования матричных моделей для планирования производства.
Преобразуем выражение (3.4):
X - AX = Y,
X (E - A) = Y,
где E - единичная матрица.
До начала планирования следует
выяснить, существует ли матрица, обратная матрице (E-A), и не будут ли получены
отрицательные значения выпуска по отраслям.
Установим некоторые свойства
коэффициентов прямых материальных затрат.
1. Неотрицательность, т.е. aij
≥ 0,
Это утверждение следует из
неотрицательности величин xij и положительности валовых выпусков Xj.
2. Сумма элементов матрицы A по
любому из столбцов меньше единицы, т.е.
Доказать это утверждение
несложно.
Для любой отрасли условно чистая
продукция есть величина положительная, поскольку включает в себя заработную
плату, амортизацию, прибыль и т.д., т.е. Vj>0. Поэтому, используя
соотношение (3.2), можно записать:
из соотношения (3.3):
откуда безусловно следует:
таким образом, утверждение
доказано.
Можно показать, что при
выполнении этих двух условий матрица B = (E - A) - 1 существует и
если ее элементы неотрицательны. Говорят, что в этом случае матрица прямых
затрат А является продуктивной.
Перепишем формулу (3.5):
X = BY, (3.6)
Матрица В носит название матрицы
полных материальных затрат, а ее элементы bij называют
коэффициентами полных материальных затрат. Коэффициент bij
показывает, каков должен быть валовый выпуск i-й отрасли для того, чтобы
обеспечить выпуск единицы конечного продукта j-й отрасли.
Можно показать, что
B = E + A + A2
+ A3 +... (3.7)
Умножим обе части на (E - A):
B (E - A) = (E
+ A + A2 + A3 +. .) (E - A),
B (E - A) = E +
A + A2 + A3 +. - A - A2 - A3 - ...,
B (E - A) = E,
B = E / (E - A),
B = (E - A) - 1.
Доказано.
Из соотношения (3.7) следует bij
≥ aij,
Таким образом, коэффициент
полных материальных затрат bij, описывающий потребность в выпуске
продукции i-й отрасли в расчете на единицу конечного продукта j-й отрасли, не
меньше коэффициента прямых материальных затрат aij, рассчитываемого
на единицу валового выпуска.
Кроме того, из соотношения (3.7)
для диагональных элементов матрицы B следует:
bii ≥ 1,
Взаимосвязь коэффициентов прямых
и полных материальных затрат проще всего проследить на примере: пусть единицей
выпуска хлебопекарной промышленности является хлеб (рисунок 3.1).
Рисунок 3.1 - Взаимосвязь
коэффициентов прямых и полных материальных затрат
Полные затраты электроэнергии
для нашего примера складываются из прямых затрат и косвенных затрат всех
уровней. Косвенные затраты высоких уровней являются незначительными и при
практических расчетах ими можно пренебречь.
Предполагается, что труд
выражается в единицах труда одинаковой степени сложности. Обозначим затраты
живого труда в производстве j-го продукта через Lj, объем выпущенной
продукции, как и прежде, Xj. Тогда коэффициент прямых затрат труда:
Определим полные затраты труда,
как сумму прямых затрат живого труда и затрат овеществленного труда,
перенесенного на продукт через израсходованные средства производства.
Формирование полных затрат труда
в модели происходит по схеме, представленной на рисунке 3.2
Рисунок 3.2 - Порядок
формирования полных затрат труда
где Tj - полные
затраты труда на единицу j-го продукта; tj - прямые затраты труда на
единицу j-го продукта; aijTi - затраты овеществленного
труда, перенесенного на j-й продукт через i-е средство производства.
Таким образом:
Иначе, если известны
коэффициенты полных материальных затрат bij, можно записать:
Более компактно соотношение
можно записать в матричном виде:
T = tB,
где T = (T1, T2,...,
Tn) - вектор-строка коэффициентов полных затрат труда;
t = (t1, t2,...,
tn) - вектор-строка коэффициентов прямых затрат труда.
Аналогично трудовым затратам в
межотраслевой модели могут быть учтены показатели фондоемкости изделий.
Василий Леонтьев, характеризуя
значение балансовых моделей, писал: "Чтобы прогнозировать развитие
экономики, нужен системный подход. Экономика каждой страны - это большая
система, в которой много различных отраслей, и каждая из них что-то производит
- промышленную продукцию, услуги и т.д., которые предлагаются другим отраслям. Каждое
звено, компонент системы может существовать только потому, что получает что-то
от других. Для производства каждого вида продукции нужно напрямую использовать
большое количество других товаров, а еще больше - опосредованно.
Мы изучаем одну страну, беря в
расчет 600-700 отдельных отраслей, японцы доходят до 2000".
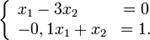
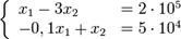
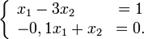
Рассмотрим 2 отрасли
промышленности: производство угля и стали. Уголь требуется для производства
стали и некоторое количество стали в виде инструментов требуется для добычи
угля. Предположим, что условия таковы: для производства 1 т. стали нужно 3 т. угля,
а для 1 т. угля - 0,1 т. стали.
|
Отрасль
|
Уголь
|
Сталь
|
|
Уголь
|
0
|
3
|
|
Сталь
|
0.1
|
0
|
Мы
хотим, чтобы чистый выпуск угольной промышленности был
тонн угля, а стальной
промышленность -
тонн стали. Если каждая из них будет производить лишь
и
тонн, то
часть продукции будет использоваться в другой отрасли. Для производства
тонн стали
требуется
тонн угля, а для производства
тонн угля
нужно
тонн стали. Чистый выход будет равен:
тонн угля и
тонн стали. Нам нужно
дополнительно производить уголь и сталь, чтобы использовать их в другой отрасли.
Обозначим x1 - количество угля, x2 - количество стали. Валовый
выпуск каждой продукции найдем из системы уравнений:
Решение:
(500000; 100000). Для систематического решения задач расчета межотраслевого
баланса находят, сколько угля и стали требуется для выпуска 1 т. каждого
продукта.
x1
= 1,42857 и x2 = 0,14286. Чтобы найти, сколько угля и стали нужно
для чистого выпуска
т. угля, нужно умножить эти цифры на
. Получим: (285714;
28571). Аналогично составляем уравнения для получения количества угля и стали
для выпуска 1 т. стали:
x1
= 4.28571 и x2 = 1.42857. Для чистого выпуска
т. стали нужно: (214286;
71429). Валовый выпуск для производства
тонн угля и
тонн стали: (285714
+ 214286; 28571 + 71429) = (500000; 100000).
1.
Герасенко В.П. Прогностические методы управления рыночной экономикой. Учебное
пособие. - Гомель, 1997
2.
Горелов С.А. Математические методы в прогнозировании. - М.: Прогресс,
2003
3.
Карасев А.И. Математические модели в планировании. - М., 2004
5.
Основы экономического и социального прогнозирования. / Под ред. Н.А. Мосина
- М.: Высшая школа, 2005
6.
Прогнозирование и планирование экономики. / Под ред. В.И. Борисевича, Г.А.
Кандауровой. - Мн., 2000
7.
Цыгичко В.А. Основы прогнозирования систем. - М.: Финансы и статистика,
2006.
8.
Леонтьев В.В. Экономические эссе. Теории, исследования, факты и политика:
Пер. с англ. / В.В. Леонтьев. - М.: Политиздат, 1990. - 415 с.
9.
М.Р. Ефремова, Е.В. Петрова "Общая теория статистики": учебник,
2007 г.
10.
Сироткина Т.С., Каманина А.М. Основы
теории статистики: учебное пособие. - М.: АО "Финстатинформ", 1995.