Кривые Евклидова пространства
Содержание
1. Кривые Евклидова пространства
.1 Касательная прямая и нормальная
плоскость кривой. Практическая часть нахождения касательной прямой и нормальной
плоскости кривой
.2 Соприкасающаяся плоскость в
произвольной и в выбранной точке. Практическая часть нахождения соприкасающейся
плоскости в произвольной и в выбранной точке
.3 Кривизна и кручение в выбранной и
произвольной точке. Практическая часть вычисления кривизны и кручения в
произвольной и выбранной точке
.4 Построение кривой
. Поверхности Евклидова пространства
.1 Касательная плоскость и нормаль
поверхности. Нахождение касательной плоскости и нормали в произвольной и
выбранной точке
.2 Первая квадратичная форма в
выбранной и произвольной точке. Вычисление первой квадратичной формы в
произвольной и выбранной точке
.3 Вторая квадратичная форма в
выбранной и произвольной точке. Вычисление второй квадратичной формы
поверхности в произвольной и выбранной точке
.4 Полная и средняя кривизна
поверхности. Вычисление полной и средней кривизны поверхности
.5 Изображение поверхности
Список использованной литературы
касательная нормаль плоскость
кривизна
1. Кривые Евклидова пространства
Нам даны параметрические координаты
кривой: x= , y=
, z=-
. Найдем на ее примере касательную
прямую, нормальную плоскость, кривизну и кручение в произвольной и выбранной
точке. Построим кривую.
.1 Касательная прямая и нормальная
плоскость прямой в произвольной и в выбранной точке. Практическая часть
нахождения касательной прямой и нормальной плоскости кривой
Вектор 
(
) является вектором касательной
кривой 
в точке 
. Обозначим точку кривой 
, соответствующую значению параметра

, через P, т.е. P=P
. Плоскость, проходящая через точку P
кривой и перпендикулярная вектору 
, называется нормальной плоскостью
кривой в точке 
. По вектору 
= 
и точке P
запишем уравнения касательной
прямой и нормальной плоскости кривой 


+
=0.
Практическая часть нахождения касательной
прямой и нормальной плоскости кривой
Применим все вышесказанное к нашей
кривой: найдем касательную прямую и нормальную плоскость в произвольной и
выбранной точке.
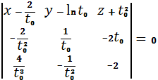
В уравнение касательной прямой:
подставим наши координаты: x, y и z вместо 
, 
и 
соответственно, и производные 
вместо 
, получим:
Мы получили уравнение касательной
прямой в общем виде, теперь найдем уравнение прямой в выбранной точке, приняв 
:
Нами получено уравнение касательной
прямой в выбранной точке. Теперь найдем уравнение нормальной плоскости кривой,
по аналогии с нахождением уравнения касательной прямой, подставив в формулу:

+
=0
наши координаты:

+=0.
Уравнение нормальной плоскости
кривой в произвольной точке найдено. Напишем уравнение в выбранной точке,
напомню, что 
. В итоге получаем:

+
=0.
Нами получено уравнение нормальной
плоскости кривой в выбранной точке.
.2 Соприкасающаяся плоскость в произвольной
и выбранной точке. Практическая часть нахождения соприкасающейся плоскости в
произвольной и в выбранной точке
Рассмотрим плоскости, проходящие
через касательную кривой
(t) в точке
Р=Р (t0) кривой.
При изменении параметра t получаем вектор 
. Для вектора 
имеет место формула Тейлора:

=
+ 
+ 
, 
0.
Точка М(t0+∆t) кривой и
касательная
P,
Δ(t0)
определяют
плоскость
=
P,
Δ(t0),
Δ (t0+∆t)
.
Нормальный вектор плоскости есть
Δ (t0)
Δ(t0+∆t).
Плоскость
P ,
Δ(t0),
Δ(t0)
называется
соприкасающейся плоскостью кривой в точке t0 .
Уравнение соприкасающейся плоскости:
Практическая часть нахождения
соприкасающейся плоскости в произвольной и в выбранной точке
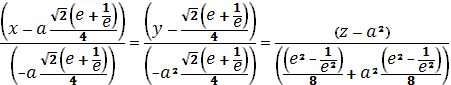
Найдем формулу соприкасающейся плоскости
в произвольной и выбранной точке:

=

=0.
Мы нашли формулу соприкасающейся
плоскости в произвольной точке. Теперь найдем в произвольной точке, которую мы
ранее приняли равной 
:

= 
=0.
Соприкасающаяся плоскость в
выбранной точке найдена.
.3 Кривизна и кручение кривой.
Вычислительные формулы для кривизны и кручения. Практическая часть вычисления
кривизны и кручения в произвольной и выбранной точке
Величина k1 называется
кривизной или первой кривизной кривой r(s) в точке Р;
функция k1 = k1(s) называется
функцией кривизны кривой r(s), k1 ≥ 0,
(s) -вектор
кривизны кривой
(s).
Величина k2 называется
кручением кривой
ꞌ(s) или второй
кривизной кривой
(s) в точке Р.
При движении точки Р по кривой
(s), т.е. с
изменением параметра s, имеем функцию k2= k2(s) - функцию
кручения. Знак величины k2 может быть и
положительным, и отрицательным
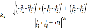
k1=
(1);
k2 = 
(2).
Практическая часть вычисления
кривизны и кручения в произвольной и выбранной точке
Вычислим, имея компоненты нашей
кривой: кривизну и кручение в произвольной и выбранной точке.
Кривизна кривой (
) в произвольной точке вычисляется
согласно формуле (1).Подставляем наши координаты в эту формулу, получаем:

Мы нашли кривизну кривой в
произвольной точке. Найдем кривизну выбранной точке, подставив вместо 
значение равное 1, которое мы
выбрали ранее.
Кривизна кривой в выбранной точке
найдена.
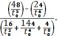
Кручение кривой (
) в произвольной точке вычисляется
согласно формуле (2).Подставляем наши координаты в эту формулу, получаем:

Кручение кривой в выбранной точке
найдена.
.4 Построение кривой
Изобразим нашу кривую; она будет
иметь следующий вид:
2. Поверхности евклидова пространства
Нам даны компоненты поверхности: x=
, y=
, z=
Найдем на ее примере уравнение
касательной плоскости и нормали, первую и вторую квадратичные формы в произвольной
и выбранной точке. Вычислим полную и среднюю кривизны поверхности. Изобразим
поверхность.
.1 Касательная плоскость и нормаль
поверхности. Нахождение касательной плоскости и нормали в произвольной и
выбранной точке
Пусть P - точка
регулярной поверхности
(u,v). В этой
точке имеем неколлинеарные векторы
. Для любой линии
(t) =
(u(t),v(t))
выполняется
.
Касательная прямая
P ,
ꞌ(t)
всякой
кривой
(t) =
(u(t),v(t))
поверхности
(u,v) лежит в
плоскости
.
Касательные всех линий поверхности
(u,v)
,проходящих через точку Р, образуют плоскость.
Пусть Р=(x0,y0,z0) и
производные
вычислены в
точке Р.
Тогда уравнение касательной
плоскости таково
.
Прямая
называется
нормалью поверхности
(u,v) в точке Р.
Ее уравнение
Нахождение касательной плоскости и
нормали в произвольной и выбранной точке
Вычислим производные по u и v. Получим
следующее:
Возьмем точки 
=
, 
=
.
Найдем касательную плоскость в
произвольной точке:

Уравнение касательной плоскости в
произвольной точке найдено.
Найдем в выбранной точке, подставив
значения 
и расписав
sh
и ch
:

Мы нашли уравнение касательной плоскости
в выбранной точке.
Теперь найдем уравнение нормали в
произвольной и выбранной точке, используя теоретическую часть нашего вопроса,
получим:
Получено уравнение нормали в произвольной точке.
Найдем в выбранной:
Уравнение нормали в выбранной точке найдено.
.2 Первая основная квадратичная форма
поверхности. Вычисление первой квадратичной формы в произвольной и выбранной
точке
В произвольной точке Р поверхности
(u,v) зададим направление, выбрав u=u(t), v=v(t). Отношение дифференциалов
определяет
направление на поверхности , имеем
.
Производная от
(u,v) по направлению du: dv имеет вид:
.
Малое смещение ds по кривой
(u(t),v(t)) на поверхности вычисляется на основании равенств
.
Отсюда
получаем ,вычисляя скалярный квадрат
=
,
ds2=
.
Введем
обозначения
,
.
Значения
этих скалярных произведений зависят от выбора точки Р поверхности . Выражение:
называется
первой квадратичной формой поверхности
(u,v).
Вычисление первой квадратичной формы в
произвольной и выбранной точке.
Вычислим первую квадратичную форму в выбранной
точке.
Найдем

Теперь, когда найдены значения E,F и G, напишем
формулу первой квадратичной формы в произвольной точке:
Нами получена формула первой
квадратичной формы в произвольной точке.
Теперь, подставив наши значения 
в формулу первой квадратичной
формы, найдем ее значение в выбранной точке:
)
.3 Вторая квадратичная форма поверхности.
Вычисление второй квадратичной формы поверхности в произвольной и выбранной
точке
На поверхности
(u,v) рассмотрим
линию u=u(s), v=v(s) в
естественной параметризации :
.
Кривизна кривой :
(s) =
,
где k1 кривизна
кривой,
- единичный
вектор главной нормали кривой. Обозначим
- единичный вектор нормали
поверхности
(u,v) , это
вектор
.
Умножим скалярно
и
:
,
если
- угол между
и
. Величина
Называется нормальной кривизной
(s) на
поверхности
(u,v) или
нормальной кривизной поверхности
.
Вычислим kn в
окрестности точки Р=(x0,y0,z0) . Находим
,
,
,
здесь
и
, так как
. Обозначим
,
,
.
На основании формул:
и
имеем
Коэффициенты L,M,N вычислены в
точке Р поверхности .Выражение для нормальной кривизны линии на поверхности
таково:
.
Отсюда получаем
.
Воспользуемся значением ds2 из первой
квадратичной формы поверхности
.
Квадратичная форма
Называется второй квадратичной
формой поверхности.
Вычисление второй квадратичной формы
поверхности в произвольной и выбранной точке.
Найдем вторую квадратичную форму в
произвольной точке:
Вычислим, для начала чему равен 
, подставив ранее полученные
значения E, G и F для первой
квадратичной формы:
)
Найдем векторное произведение 
и
:

=
)
Затем вычислим

, 
и
:
Найдем коэффициенты второй
квадратичной формы, подставив в формулы
наши значения:
L=
M=

N=0
Теперь напишем формулу второй
квадратичной формы поверхности в произвольной точке
Вторая квадратичная форма в
произвольной точке найдена.
Подставив значения 
в нашу формулу, получим уравнение
второй квадратичной формы в выбранной точке:
Уравнение второй квадратичной формы
в выбранной точке найдено.
2.4 Полная и средняя кривизны поверхности.
Вычисление полной и средней кривизны поверхности
Рассмотрим регулярную
(u,v) в
окрестности точки Р.
.
Отсюда получаем
.
Дифференцируем это неравенство по x и по y
Главные направления в касательной
плоскости определяются этой системой уравнений, если она имеет ненулевые
решения, т.е. в случае ∆=0
Значение определителя
.
Главные кривизны
есть корни
выписанного уравнения. Воспользуемся теоремой Виета
,
где К- полная кривизна поверхности
(Гауссова кривизна),
Н- средняя кривизна поверхности.
Вычисление полной и средней кривизны поверхности
Мы вычислили полную и среднюю кривизну
поверхности.
2.5 Изображение поверхности
Изобразим нашу поверхность; она будет иметь
следующий вид:
Список
использованной литературы
.Долгарев А.И.
Элементы дифференциальной галилеевой геометрии и одуль галилеевых
преобразований. - Саранск: Средневолжское математическое общество, 2003(препринт
63). - 116 с.
.Долгарев А.И.
Классические методы в дифференциальной геометрии одулярных пространств. -
Пенза: Инф.-изд. Центр Пенз. гос. ун-та, 2004. - 306 с.
.Позняк Э.Г.
Дифференциальная геометрия. Первое знакомство / Э.Г. Позняк, Е.В. Шикин. - М.:
Изд-во МГУ, 1990.-384 с.
.Долгарев А.И.
Одулярное описание афинных преобразований плоскости: Деп. В ВИНИТИ 07.02.97,
№369 - В97. - 59 с.