Финансирование инвестиционных проектов
Теоретическая часть контрольной
работы
Вопрос. Бюджетная и социальная
эффективность инвестиционных решений
Инвестиционные проекты обычно
оцениваются при их разработке или экспертизе для решения трех типов задач:
оценка конкретного проекта;
обоснование целесообразности участия
в проекте;
сравнение нескольких проектов
(вариантов проекта) и выбор лучшего из них.
Методы оценки инвестиционных
проектов вытекают их соответствующих принципов:
) принцип денежного потока CF
(cash-flow). Этот принцип может быть реализован с помощью графического
изображения соответствующих денежных потоков. При этом все денежные потоки
делятся на:
денежные потоки с ординарными
поступлениями, когда затраты предшествуют поступлениям;
неординарные денежные потоки,
предполагающие чередование затрат и поступлений.
) принцип временной стоимости денег
и связанные с ним методы наращивания и дисконтирования. С помощью этих методов
осуществляется приведение денежных сумм, относящихся к различным временным
периодам, требуемому моменту времени, в настоящем или будущем. При этом в
качестве нормы приведения используется %-ная ставка r (rate). Использование
процентной ставки означает, что инвестиционный проект должен обеспечить
доходность не меньшую, чем доход на вложенную в банк сумму денежных средств.
При этом используются 2 операции:
) операция наращивания, т.е.
увеличения первоначальной суммы в результате начисления %. Это позволяет
определить будущую величину (FV) текущей суммы PV через некоторый промежуток
времени t, исходя из заданной ставки % (r):
= PV (1+ r · t) - простой процент;=
PV (1 + r)t - сложный процент.
) дисконтирование - это процесс
нахождения величины на заданный момент времени по ее известному или
предполагаемому значению в будущем с учетом заданной ставки %:
= FV / (1 + r * t);= FV / (1 + r)t.
) принцип приростных денежных
потоков. Исходя из этого принципа, величина денежного потока CF находится как
разность между всеми поступлениями (притоками денежных средств) и их
расходованием (оттоками денежных средств) на конкретном временном отрезке
проведения финансовой операции.
) принцип учета альтернативных
издержек, предполагающих учет упущенных выгод как альтернативных затрат.
) принцип исключения необратимых
затрат, т.е. понесенные в прошлом затраты являются необратимыми по отношению к
данному инвестиционному проекту, и в нем не учитываются.
) принцип последовательности при
учете инфляции.
В данном случае используются
реальные процентные ставки для расчета инвестиционного проекта сопоставимых
цен, и номинальные процентные ставки - для расчета инвестиционного проекта в
текущих ценах.
р = rн - инфляция.
Оценка эффективности инвестиционного
проекта может быть 2-х видов:
) финансовая;
) экономическая. [5, с.354]
В случае финансовой оценки
анализируется ликвидность проекта в ходе его реализации, т.е. задачей является
установление достаточности финансовых ресурсов конкретного предприятия для
реализации проекта в установленный срок и выполнения всех финансовых
обязательств.
В случае экономической оценки акцент
делается на потенциальную способность инвестиционного проекта сохранять
покупательную ценность вложенных средств и обеспечивать достаточный темп их
прироста.
Оценка конкретного проекта
предусматривает решение двух задач:
оценку финансовой реализуемости
проекта;
оценку выгодности реализации проекта
или участия в нем с точки зрения субъектов инвестиционной деятельности. Такие
расчеты носят название расчетов абсолютной эффективности инвестиций.
При наличии нескольких
альтернативных проектов или вариантов одного проекта важной становится задача
их сравнения и выбора лучшего из них.
Полная оценка состоятельности
инвестиционного проекта возможна только при тщательном и глубоком анализе его
финансовой реализуемости и экономической эффективности.
Эффективность участия в проекте
характеризуется:
) эффективностью участия предприятия
в проекте;
) эффективностью инвестирования в
акции предприятия;
) эффективностью участия в проекте
структур более высокого уровня по отношению предприятия к участникам
инвестиционных проектов, в том числе:
а) региональной и
народно-хозяйственной эффективностью для отдельных регионов народного хозяйства
России;
б) отраслевой эффективностью для
отдельных отраслей народного хозяйства финансово-промышленных групп,
объединений предприятий и холдинговых структур;
в) бюджетной эффективностью
инвестиционного проекта, т.е. эффективностью участия государства в проекте с
точки зрения расходов и доходов бюджетов всех уровней.
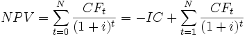
Вопрос. Чистая текущая стоимость
проекта: понятие, порядок расчета, сферы применения, недостатки
Чистая приведённая стоимость (чистая
текущая стоимость, чистый дисконтированный доход, англ. Net present value,
принятое в международной практике анализа инвестиционных проектов сокращение -
NPV или ЧДД) - это сумма дисконтированных значений потока платежей, приведённых
к сегодняшнему дню. Показатель NPV представляет собой разницу между всеми
денежными притоками и оттоками, приведенными к текущему моменту времени
(моменту оценки инвестиционного проекта). Он показывает величину денежных
средств, которую инвестор ожидает получить от проекта, после того, как денежные
притоки окупят его первоначальные инвестиционные затраты и периодические
денежные оттоки, связанные с осуществлением проекта. Поскольку денежные платежи
оцениваются с учётом их временной стоимости и рисков, NPV можно
интерпретировать, как стоимость, добавляемую проектом. Ее также можно
интерпретировать как общую прибыль инвестора. В пользу такой интерпретации
говорит то, что отношение NPV к совокупной величине дисконтированных
инвестиционных затрат называется Индекс прибыльности (англ. Profitability Index
или сокращенно PI).
Иначе говоря, для потока
платежей CF (Cash Flow), где
- платёж через
лет
(
)
и начальной инвестиции IC (Invested Capital) в размере
чистый
дисконтированный доход
рассчитывается
по формуле:
,
где
-
ставка дисконтирования.
В обобщенном варианте,
инвестиции также должны дисконтироваться, так как в реальных проектах они
осуществляются не одномоментно (в нулевом периоде), а растягиваются на
несколько периодов. Расчёт ЧДД - стандартный метод оценки эффективности
инвестиционного проекта и показывает оценку эффекта от инвестиции, приведённую
к настоящему моменту времени с учётом разной временно́й
стоимости денег. Если ЧДД больше 0, то инвестиция экономически эффективна, а
если ЧДД меньше 0, то инвестиция экономически невыгодна (то есть альтернативный
проект, доходность которого принята в качестве ставки дисконтирования требует
меньших инвестиций для получения аналогичного потока доходов). [2, с.123]
С помощью ЧДД можно
также оценивать сравнительную эффективность альтернативных вложений (при
одинаковых начальных вложениях более выгоден проект с наибольшим ЧДД). Но все
же для сравнительного анализа более применимыми являются относительные
показатели. Применительно к анализу инвестиционных проектов таким показателем
является внутренняя норма доходности.
В отличие от показателя
дисконтированной стоимости при расчете чистого дисконтированного дохода
учитывается начальная инвестиция. Поэтому формула чистого дисконтированного
дохода отличается от формулы дисконтированной стоимости на величину начальной
инвестиции
.(чистая
приведенная стоимость) определяется как "сегодняшняя" сумма денежных
средств, которая необходима для того, чтобы получить "завтра" сумму
средств, эквивалентную доходу от реализации инвестиционного проекта. Чтобы было
понятнее, при ставке депозита в 10%, 100 долларов "сегодня" равны 110
долларам в конце года. То есть нет никакой разницы от вложения 100 долларов на
депозит и в инвестиционный проект, который в конце года принесет 110 долларов.
Когда инвестиционный
проект рассчитан на несколько лет, то целесообразность вложений определяют,
приводя "завтрашние" деньги в конце каждого года к моменту начала
проекта. Таким образом, определяется сумма, которая "вернется"
инвестору, после чего она сравнивается с ожидаемыми затратами. [3, с.254]
В российской
экономической литературе термин NPV (чистая приведенная стоимость) иногда
обозначают как ЧДД - Чистый Денежный Доход.
Если дать
"академическую" формулировку, то NPV представляет собой остаток
денежных средств (разницу) между всеми денежными притоками и оттоками, сумма
которых приведена к начальному моменту времени (например, дате запуска инвестиционного
проекта).
Полученное итоговое
значение отражает величину денежных средств, которую инвестор получит (ожидает
получить) в результате реализации проекта. Часто в расчетах полученную сумму
считают как общую прибыль инвестора. При этом не принимается во внимание
остаточная стоимость проекта (предприятия).
Положительные качества
ЧДД:
Чёткие критерии принятия
решений.
Показатель учитывает
стоимость денег во времени (используется коэффициент дисконтирования в
формулах).
Показатель учитывает
риски проекта по средствам различных ставок дисконтирования. Большая ставка
дисконтирования соответствует большим рискам, меньшая - меньшим.
Отрицательные качества
ЧДД:
Во многих случаях
корректный расчёт ставки дисконтирования является проблематичным, что особенно
характерно для многопрофильных проектов, которые оцениваются с использованием
NPV.
Хотя все денежные потоки
(коэффициент дисконтирования может включать в себя инфляцию, однако зачастую
это всего лишь норма прибыли, которая закладывается в расчетный проект)
являются прогнозными значениями, формула не учитывает вероятность исхода
события.
Для того чтобы оценить
проект с учётом вероятности исхода событий поступают следующим образом:
Выделяют ключевые
исходные параметры. Каждому параметру устанавливают ряд значений с указанием
вероятности наступления события. Для каждой совокупности параметров
рассчитывается вероятность наступления и NPV. Дальше идет расчет
математического ожидания. В итоге получаем наиболее вероятностное NPV.
Вопрос. Методы
формирования пакета инвестиций
Портфель инвестиций -
это совокупность всех инвестиций человека или компании, управляемых как единое
целое в соответствии с выбранной целью. В то же время портфель может состоять
из определенного числа субпортфелей, например, инвестор может иметь портфель
ценных бумаг и портфель имущества.
В широком смысле
инвестиционный портфель - это все активы предприятия (портфель ценных бумаг и
проектов, недвижимость, запасы товарно-материальных ценностей, прочие). В узком
смысле - портфель ценных бумаг и паев фондов.
В настоящее время
применяют два подхода к управлению портфелем.
) Традиционный подход
) Современная
портфельная теория, разработанная Гарри Марковицем в 1950-е гг
Выделяют несколько
ключевых этапов инвестиционного процесса и управления портфелем ценных бумаг.
) Определение
инвестиционных целей и типа портфеля.
) Определение стратегии
управления портфелем.
) Проведение анализа
ценных бумаг и формирование портфеля.
) Оценка эффективности
портфеля.
) Ревизия портфеля.
Рассмотрим эти этапы
более подробно.
Первый этап -
определение инвестиционных целей
Типы инвестиционных
портфелей:
. Портфель
консервативного роста
Основная цель: получение
сравнительно невысокого стабильного дохода при максимальной надежности вложений
с возможностью изъятия средств в любой момент и с минимальным риском потери
доходности.
Задача такой стратегии -
сохранение капитала от инфляции. Если вкладывать в бумаги с наибольшим сроком
погашения, то прибыль может вырасти в несколько раз.
Основная цель: получение
среднего стабильного дохода при невысоком риске.
. Портфель умеренно
консервативного роста
Основная цель: получение
достаточно высокого прироста стоимости капитала при заранее известном сроке
инвестиций с возможностью проведения ограниченного круга рискованных
инвестиций.
В этом случае акции
предприятий составляют большую часть портфеля. Долгосрочные вложения в акции
предприятий с хорошей перспективой в стратегически важных отраслях
промышленности, а также реинвестиции (вложения промежуточной прибыли) обеспечат
достижение цели инвестора. При такой стратегии портфель в большей степени
подвержен риску изменения курсовой стоимости акций и в меньшей степени -
процентному риску.
. Портфель долгосрочного
роста
Основная цель: получение
значительного прироста стоимости капитала в долгосрочной перспективе при
заранее известном сроке инвестирования с возможностью проведения рискованных
операций.
О возможностях такой
стратегии говорит тот факт, что в течение 2003-2005 гг. индекс РТС рос почти на
50-60% в год. (Этот индекс представляет собой совокупное изменение рыночных цен
на акции 22 ведущих российских предприятий.) Основную часть портфеля составляют
акции предприятий, а небольшую - госбумаги.
. Портфель агрессивного
роста
Основная цель:
достижение максимального прироста капитала при согласии инвестора на очень
высокий риск. Это обеспечивается проведением высокорискованных и спекулятивных
операций, не рекомендуемых при остальных стратегиях.
Как видно из таблицы,
такую в полном смысле этого слова роскошь могут себе позволить только очень
богатые и беспечные люди. К тому же без помощи профессионала здесь не обойтись.
Поэтому мы коснемся такого подхода только в общих чертах.
Основной объект
инвестиций - недооцененные акции и/или фьючерсные контракты. Основные операции
- наиболее рискованные краткосрочные спекулятивные операции, позволяющие
получить высокий доход при среднем сроке вложений, и менее рискованные операции
типа «купил и жди».
Второй этап -
определение стратегии управления портфелем
Различают следующие
стратегии:
активная или пассивная
стратегия управления портфелем;
управление собственными
силами или передача портфеля в доверительное управление;
различные технологии
управления портфелем и правила принятия решений о купле-продаже бумаг.
Третий этап формирования
портфеля - проведение анализа ценных бумаг и их приобретение
Фундаментальный анализ
основывается на изучении общеэкономической ситуации, состояния отраслей
экономики, положения отдельных компаний, ценные бумаги которых обращаются на
рынке. Это дает возможность решить вопрос о том, какие финансовые инструменты
инвестиционно привлекательны, а какие из тех, что уже приобретены, необходимо
продать. Фундаментальный анализ необходим при стратегических вложениях в
крупные пакеты акций. Технический анализ связан с изучением динамики цен на
финансовые инструменты, т.е. результатов взаимодействия спроса и предложения. В
отличие от фундаментального анализа он не предполагает рассмотрения финансового
состояния предприятия. Технические специалисты изучают биржевую статистику,
выявляют тенденции изменения курсов фондовых инструментов в прошлом и на этой
основе предсказывают будущее движение цен. Поэтому технический анализ больше
востребован трейдерами, занимающимися спекулятивными операциями на рынке ценных
бумаг. Методы фундаментального и технического анализа не являются
взаимоисключающими, они могут дополнять друг друга, но, как правило, существуют
аналитики, специализирующиеся на том или ином методе.
Четыре шага формирования
портфеля
Шаг 1- определение типов
ценных бумаг для приобретения (акции, облигации, денежная наличность...)
Шаг 2 - определение
размера средств для инвестирования в каждый тип ценных бумаг (доли в %)
Шаг 3 - определение
конкретных эмитентов акций, облигаций и других ценных бумаг для вложения
средств в соответствии с целями клиента (инвестора).
Шаг 4 - определение
суммы средств, которая будет инвестирована в бумаги конкретного эмитента.
Четвертый этап - оценка
эффективности портфеля
Четвертый этап процесса
управления портфелем ценных бумаг связан с периодической оценкой эффективности
портфеля с точки зрения фактически полученного дохода и риска, которому
подвергался инвестор, и сопоставления полученных результатов с целями клиента
(инвестора). С этой целью рассчитываются показатели доходности и надежности
портфеля и сопоставляются с принятыми критериями его эффективности.
Пятый этап - ревизия
портфеля
Портфель подлежит
периодической ревизии (пересмотру), с тем, чтобы его содержимое не пришло в
противоречие с изменившейся экономической обстановкой, инвестиционными качествами
отдельных ценных бумаг, а также целями инвестора. Институциональные инвесторы
проводят ревизию своих портфелей довольно часто, нередко - ежедневно. [4,с.452]
Расчетная часть
контрольной работы
. Расчет потребности в
инвестиционных ресурсах и определение источников финансирования
Исходя из определенных
исходных данных, заполняем таблицу 1 «Исходная информация», таблицу 2 «Общие
инвестиции» и таблицу 3 «Источники финансирования».
Таблица 1- Исходная
информация для примера
|
ДАННЫЕ О ПРОЕКТЕ
|
|
|
1
|
2
|
|
Цена единицы изделия, тыс. д.е.
|
60
|
|
Полная мощность, тыс. шт. в год
|
28
|
|
Капитальные вложения, млн. д.е.:
|
|
Земля и подготовка площади
|
15
|
|
Здания и сооружения
|
34
|
|
Оборудование и лицензионная технология
|
175
|
|
Затраты по подготовке производства
|
15
|
|
Оборотный капитал
|
70
|
|
Источники финансирования проекта, млн. д.е.:
|
|
|
Акционерный капитал, млн. д.е.:
|
140
|
|
Дивиденды, % годовых
|
20
|
|
Банковский кредит
|
|
|
% годовых;
|
18
|
|
Производственные издержки, млн. д.е.:
|
|
|
Суммарные издержки распределяются:
|
|
|
Прямые издержки на материалы на изделие, тыс. д.е.
|
16
|
|
Прямые издержки на персонал на изделие, тыс. д.е.
|
18
|
|
Накладные расходы (без амортизации) в год на весь объем, млн.
д.е.
|
42
|
|
Административные издержки в год, млн. д.е.
|
12
|
|
Издержки на сбыт и распределение в год, млн. д.е.:
|
|
|
в первый год
|
12
|
|
в последующие годы
|
14
|
|
Амортизационные отчисления (равномерно):
|
|
|
здания и сооружения, %
|
4
|
|
оборудование, %
|
10
|
|
График реализации проекта, лет:
|
|
|
период сооружения
|
0
|
|
общий период производства
|
5
|
|
Освоение мощности, %:
|
|
|
2-ой год реализации проекта
|
75
|
|
последующие годы
|
100
|
Таблица 2- Общие инвестиции, млн.
д.е.
|
Категория инвестиций
|
Годы расчетного периода
|
Итого
|
|
Строи тельство
|
Освое ние
|
Полная производственная мощность
|
|
|
0 %
|
75 %
|
100%
|
100%
|
100%
|
100%
|
|
|
0-й год
|
1-й год
|
2-й год
|
3-й год
|
4-й год
|
-й год
|
|
|
Первоначальные инвестиции
|
|
|
|
|
|
|
|
|
Земля
|
12
|
|
|
|
|
|
12
|
|
Подготовка площадки
|
3
|
|
|
|
|
|
3
|
|
Здания, сооружения
|
34
|
|
|
|
|
|
34
|
|
Технология
|
35
|
|
|
|
|
|
35
|
|
Машины, оборудование
|
140
|
|
|
|
|
|
140
|
|
Замещение основных фондов
|
|
|
|
|
|
|
|
|
Капитальные затраты на подготовку производства
|
15
|
|
|
|
|
|
15
|
|
Прирост оборотного капитала
|
52,5
|
17,5
|
|
|
|
|
70
|
|
Общие инвестиции
|
291,5
|
17,5
|
|
|
|
|
309
|
Прирост оборотного капитала:
в 0-ой год (на стадии строительства)
составляет 75 % общей величины оборотных средств или 70*0,75= 52,5
в 1-ый год - остальные 25 %, то есть
на стадии освоения дополняем сумму 17,5 млн. д.е.
Таблица 3- Источники финансирования,
млн. д.е.
|
Категория инвестиций
|
Годы расчетного периода
|
Итого
|
|
Строи тель ство
|
Освое ние
|
Полная производственная мощность
|
|
|
0 %
|
75 %
|
100 %
|
100 %
|
100 %
|
100 %
|
|
|
Учредители (акционерный капитал)
|
140
|
|
|
|
|
|
140
|
|
Коммерческие банки
|
199,9
|
|
|
|
|
|
199,9
|
|
Текущие пассивы
|
|
|
|
|
|
|
|
|
Итого по всем источникам
|
339,9
|
|
|
|
|
|
339,9
|
. Построение прогноза текущих
издержек и отчета о чистых доходах
В таблице 4 «Издержки производства и
реализации продукции» определяем значения:
Прямые издержки на материалы =
производственная мощность, тыс. шт. х прямые издержки на материалы на изделие,
тыс. д.е., следовательно:
×
16 = 448 млн. д.е..
Прямые издержки на персонал
определим аналогично: аналогично:
×18
= 504 млн. д.е.
В первый год мощность осваивается на
75 %, следовательно, в первый год прямые издержки на материалы = 336 млн. д.е.;
прямые издержки на персонал составят 378 млн. д.е.
Управленческие и коммерческие
расходы приведены в исходных данных (табл. 1).
Функционально - административные
издержки равны сумме всех издержек.
Начисленная амортизация составит:
по зданиям - 4%: 34 × 0,04 = 1,36
по оборудованию -10%: 140 × 0,1 = 14
по лицензионной технологии 35 × 0,20 = 7
Итого: 1,36 + 14 + 7 = 22,36 млн.
д.е.
Общие издержки на производство и
реализацию продукции равны сумме функционально - административных издержек и
начисленной амортизации.
инвестиционный проект финансирование
Таблица 4 - Издержки на производство
и реализацию продукции
|
Категория инвестиций
|
Годы расчетного периода
|
Итого
|
|
освоение
|
Полная производственная мощность
|
|
|
75 %
|
100 %
|
100 %
|
100 %
|
100 %
|
|
|
1. Прямые издержки на материалы
|
336
|
448
|
448
|
448
|
448
|
2128
|
|
2. Прямые издержки на персонал
|
378
|
504
|
504
|
504
|
504
|
2394
|
|
3. Накладные расходы (производственные)
|
42
|
42
|
42
|
42
|
42
|
210
|
|
4. Затраты на производство
|
|
|
|
|
|
|
|
5.Управленческие расходы
|
12
|
12
|
12
|
12
|
12
|
60
|
|
6. Коммерческие расходы
|
12
|
14
|
14
|
14
|
14
|
68
|
|
7. Функционально- административные издержки (строки 1+2+3+5+6)
|
780
|
1020
|
1020
|
1020
|
1020
|
4860
|
|
8. Амортизационные отчисления
|
22,36
|
22,36
|
22,36
|
22,36
|
22,36
|
111,8
|
|
9. Общие издержки на производство и реализацию продукции
|
802,36
|
1042,36
|
1042,36.
|
1042,36
|
1042,36
|
4971,8
|
К таблице 5 «Отчёт о прибылях и
убытках»:
Доход от продаж = объем продаж, тыс.
шт. × цена единицы продукции,
тыс. д.е. или: 28 × 60= 1680 млн. д.е. для полного использования производственной
мощности.
Общие издержки на производство и
реализацию продукции получим из табл.4
Таблица 5 - Отчет о прибылях и
убытках, млн. д.е.
|
Категория инвестиций
|
Годы расчетного периода
|
|
освоение
|
Полная производственная мощность
|
|
75 %
|
100 %
|
100 %
|
100 %
|
100 %
|
|
1. Доход от продаж
|
1260
|
1680
|
1680
|
1680
|
1680
|
|
2. Общие издержки на производство и реализацию продукции
|
802,36
|
1042,36
|
1042,36
|
1042,36
|
1042,36
|
|
3. Прибыль к налогообложению
|
457,64
|
637,64
|
637,64
|
637,64
|
|
4. Налоги
|
109,83
|
153,03
|
153,03
|
153,03
|
153,03
|
|
5. Чистая прибыль
|
347,81
|
484,61
|
484,61
|
484,61
|
484,61
|
|
6. Дивиденды
|
28
|
28
|
28
|
28
|
28
|
|
7. Нераспределенная прибыль
|
319,41
|
456,61
|
456,61
|
456,61
|
456,61
|
|
8. Нераспределенная прибыль нарастающим итогом
|
319,81
|
776,42
|
1233,03
|
1689,64
|
2146,25
|
Прибыль к налогообложению = доход от
продаж - издержки на производство и реализацию продукции.
Налоги платим с первого года после
ввода в эксплуатацию объекта:
налог на прибыль 0,24 × 457,64=109,83 млн. д.е.
Чистая прибыль = прибыль к
налогообложению за вычетом налогов: 457,64- 109,83 =347,81 млн. д.е.
Дивиденды составят 20% от суммы
акционерного капитала:
×
0,20 = 28 млн. д.е.
Нераспределенная прибыль = чистая
прибыль - дивиденды, или:
,81 -28 =319,81
Аналогично расчеты выполнены для
последующих периодов.
. Прогнозирование движения денежных
потоков для финансового планирования и оценки инвестиционной привлекательности
К таблице 6 «Денежные потоки для
финансового планирования»:
Источники финансирования определены
нами в табл.3.
Доход от продаж - данные табл. 5.
Ликвидационная стоимость,
учитываемая в денежных потоках в конце пятого года и возникающая при ликвидации
объекта равна = 12 + (34 - 34*0,04*5) + (140 - 140*0,10*5) + (35 - 35*0,20*5) =
12 + 27,2 + 70 = 109,2млн. д.е.
Таблица 6- Денежные потоки для
финансового планирования
|
Категория инвестиций
|
Годы расчетного периода
|
Итого
|
|
Строи тель ство
|
Освое ние
|
Полная производственная мощность
|
|
|
0 %
|
75 %
|
100 %
|
100 %
|
100 %
|
100 %
|
|
|
0 год
|
1-й год
|
2-й год
|
3-й год
|
4-й год
|
5-й год
|
|
|
1. Приток наличности
|
|
|
|
|
|
|
|
|
2.Источники финансирования
|
339,9
|
|
|
|
|
|
339,9
|
|
3. Доход от продаж
|
|
1260
|
1680
|
1680
|
1680
|
1680
|
7980
|
|
4.Ликвидационная стоимость
|
|
|
|
|
|
109,2
|
109,2
|
|
5. Отток наличности
|
|
|
|
|
|
|
|
|
6. Общие активы
|
291
|
17,5
|
|
|
|
|
309
|
|
7.Функционально-административные издержки
|
|
780
|
1020
|
1020
|
1020
|
1020
|
4860
|
|
8. Возврат банковских кредитов
|
|
199,9
|
|
|
|
|
199,9
|
|
9. Проценты за кредит
|
|
35,98
|
|
|
|
|
35,98
|
|
10. Налоги
|
|
109,83
|
153,03
|
153,03
|
153,03
|
153,03
|
721,95
|
|
11. Дивиденды
|
|
28
|
28
|
28
|
28
|
28
|
140
|
|
12.Превышение/дефицит
|
48,4
|
88,79
|
506,97
|
506,97
|
506,97
|
506,97
|
2246,27
|
|
13.Кумулятивная наличность
|
48,4
|
137,19
|
644,16
|
1151,13
|
1658,1
|
2246,27
|
|
Превышение /дефицит определяют как
разность притоков и оттоков для каждого интервала расчетного периода (для
каждого года).
Кумулятивная наличность определяется
нарастающим итогом по сумме превышения (дефицита) по интервалам расчетного
периода.
4. Расчет показателей эффективности
инвестиционного проекта (чистой текущей стоимости, индекса выгодности,
внутренняя норма дохода)
Комментарии по таблице 7 «Таблица
денежных потоков»: данные по притокам и оттокам денежных средств по
соответствующим составляющим можно получить из табл. 6.
Таблица 7 - Таблица денежных
потоков, млн. д.е.
|
Годы расчетного периода
|
ИТОГО
|
|
0
|
1
|
2
|
3
|
4
|
5
|
|
|
1. Приток наличности:
|
|
|
|
|
|
|
|
|
1.1. Доход от продаж
|
|
1260
|
1680
|
1680
|
1680
|
1680
|
7980
|
|
1.2. Ликвидационная стоимость
|
|
|
|
|
|
109,2
|
109,2
|
|
2. Отток наличности:
|
|
|
|
|
|
|
|
|
2.1. Инвестиции в основной капитал
|
239
|
|
|
|
|
|
239
|
|
2.2. Инвестиции в оборотный капитал
|
52,5
|
17,5
|
|
|
|
|
70
|
|
2.4. Функционально-административные издержки
|
|
780
|
1200
|
1200
|
1200
|
1200
|
4860
|
|
2.6. Налоги
|
|
124,23
|
177,03
|
177,03
|
177,03
|
-177,03
|
832,35
|
|
3. Чистый денежный поток (NCF)
|
-291,5
|
462,5
|
660
|
660
|
660
|
660
|
|
|
Кумулятивный NCF
|
291,5
|
171
|
831
|
1491
|
2151
|
2920,2
|
2920,2
|
|
Коэффициент дисконтирования при ставке сравнения 0,10
|
1
|
0,9090
|
0,8264
|
0,7513
|
0,6830
|
0,6209
|
|
|
4. Текущая стоимость (PV)
|
-291,5
|
420,4
|
545,42
|
495,85
|
450,78
|
477,5
|
2098,47
|
|
5. NPV нарастающим итогом
|
-291,5
|
128,9
|
674,32
|
1170,17
|
1620,95
|
2098,45
|
2098,45
|
Инвестиции в оборотный капитал - см.
табл.2 «Общие инвестиции», Инвестиции в основной капитал = общие инвестиции -
инвестиции в оборотный капитал.
Чистый денежный поток (NCF)
определяется как разность между притоком и оттоком наличности для
соответствующего интервала расчетного периода. Кумулятивный NCF определяется в
следующем порядке:
в 0-ой год он равен NCF;
в 1-ый год равен кумулятивному NCF
0-го года + NCF 1-го года;
во 2-ой год - кумулятивному NCF 1-го
года + NCF 2-го года и т.д. Ставка дисконтирования с учетом рисков проекта в
размере 10%. Величина инфляции в не учитывается.
Коэффициент дисконтирования при
соответствующей ставке сравнения составит:
для периода 0 1/ (1+0,10)0 =1;
для периода 1 1/(1+0,10)1 = 0,9090;
для периода 2 1/(1+0,10)2 = 0,8264
В качестве t для каждого года
выступают значения 0, 1, 2, 3, 4, 5.
Текущая стоимость денежного потока
(PV) определяется перемножением чистого денежного потока для соответствующего
периода CF и коэффициента дисконтирования при выбранной ставке сравнения в
каждом году. Так, для года 1 получим 1178,27×0,9090=1071,04 млн. д.е.
Расчет чистой текущей стоимости
(чистый приведенный доход, чистый дисконтированный доход) - NPV. Определяют
дисконтированием (при постоянной ставке процента и отдельно для каждого года)
разницы между годовыми оттоками и притоками денег по проекту, накапливаемыми в
течение жизни проекта. Эта разница дисконтируется к моменту времени, когда
предполагается начало осуществления проекта
NPV =
,
(1)
где СFt - денежный поток
в году; Т - экономический срок жизни инвестиций; C0 - первоначальные
инвестиции.можно рассматривать и как разницу между отдачей капитала и вложенным
капиталом (если NPV > 0 проект одобряют, если NPV < 0 проект отклоняют).
Расчет индекса
рентабельности инвестиции PI,показывающего соотношение отдачи капитала и
вложенного капитала:
=
,
(2)
где
CFt
- финансовый итог в году t, подсчитанный без первоначальной инвестиции (если
они приходят на этот год); C0 - первоначальные инвестиции в году t начиная от
даты начала инвестиций.
Для примера по
табл.7:=(462,5*0,9090+660*0,8264+660*0,7513+660*0,6830+660*0,6209)/ (291,5) =
7,9
Для эффективности
проектов должно быть выполнено условие PI >1. Поэтому превышение над
единицей рентабельности нашего проекта означает его дополнительную доходность
при рассматриваемой ставке процентов. Таким образом, проект выгоден.
Расчет внутренней нормы
доходности, обозначаемой как IRR - нормы дисконта, при которой уравновешивается
текущая стоимость притоков денежных средств и текущая стоимость их оттоков,
образовавшихся в результате реализации инвестиционного проекта. Если IRR для
проекта больше требуемой инвестором отдачи, минимальной нормы доходности, то
проект принимают, если ниже - отклоняют.
Процедура расчета
определяется решением уравнения:
=
=0
(3)
Для упрощенных расчетов
используют метод секущей средней:
а) определяют значение
ставки сравнения (r1), при котором чистая текущая стоимость положительна (f1);
б) определяют также
подбором ставку сравнения (r2), при которой чистая текущая стоимость -
отрицательное число (f2);
в) рассчитывают величину
IRR по формуле:
Таблица 8- Исходные
данные для расчета IRR
|
Годы расчетного периода
|
Денежный поток (NCF)
|
r = 1,2 или 120 %
|
r =1,3 или 130 %
|
|
|
Коэффи циент дисконтирования
|
Дисконти рованный денежный поток
|
Коэффи циент дисконтирования
|
Дисконти рованный денежный поток
|
|
0
|
-291,5
|
1
|
-291,5
|
1
|
-291,5
|
|
1
|
171
|
0,45
|
73,02
|
0,43
|
74,83
|
|
2
|
831
|
0,21
|
175,71
|
0,19
|
75,81
|
|
3
|
1491
|
0,09
|
135,39
|
0,08
|
120,58
|
|
4
|
2151
|
0,04
|
87,24
|
0,04
|
87,34
|
|
5
|
2920,2
|
0,02
|
59,60
|
0,02
|
59,704
|
|
NPV
|
|
|
239,46
|
|
226,76
|
= 120 + (130 - 120) * 239,46 /
(239,46+226,76) = 120 + (2394,6/466,22) = 125,13%
Если стоимость капитала, намечаемая
для реализации проекта меньше, чем IRR проекта, то инвестирование средств в
проект выгодно.
В моем проекте при ставке сравнения
0,198 и IRR = 125,13 % инвестирование целесообразно.
Расчет срока окупаемости проекта
(PP) - это период, за который отдача на капитал достигает значения суммы
первоначальных инвестиций.
Срок окупаемости инвестиций по
анализируемому проекту лежит между годом 1 и годом 2 расчетного периода, что
видно из таблицы денежных потоков: нарастающим итогом сумма дисконтированных
денежных потоков в первом году - отрицательный показатель, а уже во втором году
- положительный.
Список использованных источников
1. Фокина О.М. Научно-техническое развитие и инвестиции:
Воронеж АОНО ВПО «ИММиФ», 2009, 192 с.
. Валинурова Л. С., О. Б. Казакова. Управление
инвестиционной деятельностью предприятия. М.: Кнорус. 2005 - 384 с.
. Ковалев В. В. Введение в финансовый менеджмент. М.:
Финансы и статистика, 2003
. Кузнецов Б.Т. Инвестиции: Учебное пособие: М.:
ЮНИТИ-ДАНА, 2010, - 623с.
. Игошин И.В. Инвестиции: Организация управления и
финансированияе: Учебник для вузов. 20е изд, перераб. И доп. - М.: ЮНИТИ-ДАНА,
2004. - 542 с.