Проверка статистических гипотез и доказательство гипотез о равенстве
Приднестровский государственный
университет им. Т.Г. Шевченко
Инженерно-технический институт
Кафедра информационных технологий и
автоматизированного управления производственными процессами
КУРСОВАЯ РАБОТА
по специальности
тема: «ПРОВЕРКА СТАТЕСТИЧЕСКИХ
ГИПОТЕЗ»
Работу
выполнил
студент
группы ИТ09Др62ИВ1
Голованенко
К.
Руководитель Бабич А. П.
Тирасполь, 2013
Введение
В настоящее время отмечены стремительным расширением области применения
теоретико-вероятностных и статистических методов. Они применяются в различных
науках: физике, техники, геологии, биологии, лингвистике, медицине, социологии,
управлении и т.д. Методы математической статистики используются при принятии
решения в условиях неопределенности. Один из основных разделов статистики -
теория проверки статистических гипотез. Понятие практической статистики,
процедура обоснованного сопоставления высказанной гипотезы относительно природы
или величины неизвестных статистических параметров анализируемого явления с
имеющимися в распоряжении исследователя выборочными данными (выборкой).
Статистическая проверка гипотез проводится с помощью некоторого
статистического критерия по общей логической схеме, включающей нахождение
конкретного вида функции от результатов наблюдения (критической статистики), на
основании которой принимается окончательное решение. Например, могут
рассматриваться гипотезы об общем законе распределения исследуемой случайной
величины, об однородности двух или нескольких обрабатываемых выборок, о
числовых значениях параметров исследуемой генеральной совокупности и др.
Результат проверки может быть либо отрицательным (данные наблюдения
противоречат высказанной гипотезе), либо неотрицательным. В первом случае
гипотеза ошибочна, во втором - ее нельзя считать доказанной: просто она не
противоречит имеющимся выборочным данным, однако таким же свойством могут
наряду с ней обладать и другие гипотезы. Для статистической проверки гипотез
используются разные критерии. В частности, когда проверяется согласие между
выборочным и гипотетическим распределениями, используется критерий согласия,
например, критерий Пирсона «хи-квадрат», критерий Колмогорова-Смирнова и др.
Статистические критерии приводятся вместе с указанием как тех областей,
где их применение вполне оправдано, так и тех областей, где применение требует
осторожности. Большое внимание уделено построению критериев, в том или ином
смысле наилучших.
Цель работы - привить навыки по обработке экспериментальных
данных, представленных несколькими выборками сравнительно небольшого объема,
доказательства гипотез о равенстве их средних арифметических и дисперсий, а
также о возможности их объединения в одну выборку суммарного объема.
Поставленная цель определила задачи работы:
. Определить сущность, понятие проверки статистических гипотез.
. Рассмотреть этапы проверки статистических гипотез.
. Рассмотреть критерии проверки статистических гипотез и применить их на
практике.
. Ознакомиться с различными проверками статистических гипотез.
. Определение актуальности данной тематики и возможности ее
перехода в ВКР, ее практической или научной значимости;
. Создание структуры ПО и необходимой сопроводительной документации.
Структура работы: данная работа состоит из введения, пяти глав,
заключения, списка литературы и приложения. Во введении изложен ход предстоящей
работы. 1 глава содержит теоретическое описание общих понятий проверки
статистических гипотез. Во 2 главе выбирается и обосновывается выбор
технологии, языка программирования и среды разработки для ПО. В третьей главе
описан алгоритм ПО. В четвертой приведены расчеты проверок различных типов
статистических гипотез. В заключении подведены итоги работы, сделаны выводы.
Список литературы включает литературные источники, используемые в ходе работы.
1. Проверка статистических гипотез
.1 Статистические гипотезы
Под статистическими гипотезами понимаются некоторые предположения
относительно характера распределения вероятностей генеральных совокупностей и
их параметров.
Проверка
гипотезы заключается в сопоставлении некоторых статистических показателей
(критериев проверки), вычисленных по данным выборки, со значением этих
показателей, определенных теоретически в предположении, что гипотеза верна. Как
правило, одновременно проверяются две гипотезы - нулевая (обозначается Н
) и альтернативная (обозначается H
).
Нулевая гипотеза заключается в утверждении равенства чего-то чему-то, например,
запись Н0:
= М[X] означает нулевую гипотезу, состоящую в утверждении
равенства выборочного среднего арифметического математическому ожиданию
генеральной совокупности. Альтернативная гипотеза, напротив, заключается в
утверждении неравенства этих же величин, чему соответствует запись
.
При
проверке гипотезы предварительно задаются некоторым уровнем значимости q
(обычно q=1, 2 или 5 %), то есть степенью риска, при котором
может быть принята неправильная гипотеза. Тогда вероятность попадания критерия
проверки в область допустимых значений (доверительная вероятность) равна Рдов
= = 1 - q /100. Если значения критерия, вычисленные по данным
выборкам, окажутся в критической области, то нулевая гипотеза Н0
бракуется и принимается альтернативная гипотеза H
. При значении критерия, принадлежащих области
допустимых значений, ничего нельзя утверждать категорически, а можно лишь
сделать заключение, что данные выборки не противоречат нулевой гипотезе Н0.
1.2 Сравнение центров двух выборочных распределений
Одна из наиболее часто
встречающихся задач статистической проверки гипотез заключается в
сравнении центров распределений двух нормально распределенных величин X
и Х
, то есть
Н0:
;
.
Для
ее решения предварительно определяются оценки математического ожидания,
(средние арифметические)
и
, а также
эмпирические дисперсии
и
, а в
качестве критерия берется t-распределение
Стьюдента
где
- средневзвешенная
дисперсия с числом степеней свободы
, а
и
-
соответствующие объемы выборок.
По
таблице критических значений (Приложения Д) для выбранного уровня значимости q
находим t
(q,v). Если t < t
,то гипотеза Н0
о равенстве центров распределения принимается, если нет - отвергается и
принимается альтернативная гипотеза
.
С
помощью критерия Стьюдента можно решать задачи не только о равенстве
(неравенстве) центров распределения двух выборок, но и о равенстве
(неравенстве) центра распределения выборки некоторому числу (в том числе и
нулю), а также о доверительных границах и интервалах.
.3 Сравнение центров нескольких выборочных распределений
Если встречается задача о сравнении центров нескольких выборочных
распределений, то ее можно решить поочередным сравнением центра каждой выборки
всеми другими с помощью критерия Стьюдента. Однако эта достаточно длительная
процедура может быть сокращена с помощью одного из методов множественных
сравнений. Рассмотрим один из наиболее простых таких методов - метод Тьюки.
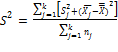
Пусть
имеются k выборок
одинакового объема n, имеющих свои средние
арифметические
и эмпирические дисперсии S
. Тогда в случае, если выборки взяты из нормальных
совокупностей, существует некоторый интервал
, внутри которого центры
выборок статистически неразличимы
(1.2)
где
Q(q; k; v) = R/S = (
) / S - стьюдентизированный размах (таблица 4
Приложения);
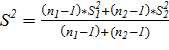
-
средняя выборочная дисперсия с v = k(n-1) числом степеней свободы.
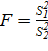
.4 Сравнение выборочных дисперсий
Весьма
часто встречается задача о равенстве двух выборочных (эмпирических) дисперсий,
когда надо определить, взять ли две выборки из двух генеральных совокупностей с
одинаковыми дисперсиями (или даже из одной генеральной совокупности). По данным
двух выборок находят эмпирические дисперсии (оценки дисперсий) S
с v1 =
степенью
свободы и S
с v2 =
степенью свободы. В этом случае нулевая гипотеза,
подлежащая проверке, запишется как H
: S
= S
, а
альтернативная ей как Н
: S
S
.
Для
проверки нулевой гипотезы составляют дисперсионное отношение
, (1.3)
которое
представляет собой F-распределение Фишера. При этом в числитель всегда
следует ставить большую дисперсию, так как теоретически распределение F
всегда больше единицы. Затем по выбранному уровню значимости q и
степеням свободы
и
находим
табличное (критическое) значение
(q;
,
) (таблица 6 Приложения).
Если F 
. То
нулевая гипотеза Н0 о равенстве выборочных дисперсий принимается, если F >
, то
нулевая гипотеза Н0 отвергается и принимается альтернативная
гипотеза
.
Критерий
Фишера используется при проверке точности измерений одних и же величин в разных
сериях опытов или разными операторами, приборами и т.п. Иногда в статистических
расчетах приходится иметь дело с несколькими выборками, относительно которых
надо решить вопрос об однородности их эмпирических дисперсий. Другими словами,
надо решить вопрос, в одинаковых ли условиях (с одинаковой ли точностью,
погрешностью) получены выборки и, следовательно, можно ли сравнивать их между
собой.
Для
проверки гипотезы об однородности эмпирических дисперсий следует пользоваться
критерием Кохрена, который основан на законе распределения отношения
максимальной эмпирической дисперсии
к сумме всех дисперсий, то есть
. (1.4)
Это
распределение имеет степени свободы v1 =
(где n -
объем одной выбор и v2 = k,
(где k - число выборок) и меняется в пределах 0 < G
< 1. Важным условием применения критерия Кохрена является одинаковый объем n во
всех k выборках. Затем по выбранному уровню значимости q и
степеням свободы
и
входим
таблицу критических значений (таблица 3 Приложения) и определяем
q;
;
). Если вычисленное значение G 
, то
принимается нулевая гипотеза
об
одинаковости (однородности, статистической
неразличимости) всех эмпирических дисперсий.
В этом случае можно считать, что любая выборка имеет среднюю
дисперсию
. (1.6)
Если
выполняется соотношение G >
, то
нулевая гипотеза отвергается и принимается альтернативная
, то есть максимальная дисперсия существенно
отличается от остальных.
В
случаях, когда приходится решать вопрос об однородности эмпирических дисперсий
нескольких выборок неодинакового объема из нормально распределенных генеральных
совокупностей, следует прибегать к критерию Бартлетта
, (1.5)
где
- поправочный коэффициент;
-
средневзвешенная дисперсия;
- число
степеней свободы всех выборок;
и
- дисперсия и число степеней свободы j-й выборки.
Поскольку
критерий Бартлетта Q распределяется по закону
,то
вычисленное по формуле (2.5) значение сравнивается с табличным
или
(Р
,
), где v2=k - 1
(таблица 5).
Если
Q
,то
принимается нулевая гипотеза
. В этом
случае впредь вместо любой дисперсии можно использовать средневзвешенную S
с ее
числом степеней свободы v. Если Q >
или Q
< 0, то принимается альтернативная гипотеза
, которая
утверждает, что, по крайней мере, одна из дисперсий (либо самая маленькая, либо
самая большая) существенно отличаются от остальных.
.5 Правило объединения выборок
статистический программирование дисперсия математический
Всегда следует стремиться иметь выборку как можно большего объема. Это
объясняется тем, что при выборках малого объема чрезмерно велики ошибки
(статический разброс) выборочных параметров, особенно дисперсий, что может
приводить к неточностям при принятии решений, а то и прямо к неверным решениям.
Так, статистический разброс выборочного среднеквадратичного отклонения (СКО) в
относительных единицах может быть подсчитан как
. (1.6)
Таблица
1.1 Относительная ошибка при различных объемах выборок.
|
Объем выборки, n
|
10
|
20
|
50
|
100
|
500
|
|
Относительная ошибка, 23,216,110,17,13,2
|
|
|
|
|
|
Другими словами, ошибка в определении СКО может достигать
Две и более выборок могут быть объединены в одну выборку суммарного
объема тогда и только тогда, когда одновременно доказаны статистическая
неразличимость их дисперсий и средних арифметических. При этом параметры
объединенной выборки могут быть подсчитаны непосредственно или по формулам
, (1.7)
. (1.8)
где
,
, n
-
средняя арифметическая, выборочная дисперсия и объем j-й выборки
соответственно.
2. Выбор технологии, языка и среды
разработки
.1 Концепция объектно-ориентированного программирования
Для реализации программы планируется использовать
объектно-ориентированное программирование.
Объектно-ориентированное программирование или ООП (object-oriented
programming) -методология программирования, основанная на представлении
программы в виде совокупности объектов, каждый из который является реализацией
определенного типа, использующая механизм пересылки сообщений и классы,
организованные в иерархию наследования.
Первым бросающимся в глаза отличием ООП от структурного программирования
является использование классов. Класс - это тип, определяемый программистом, в
котором объединяются данные и функции их обработки.
В наиболее общей и классической постановке объектно-ориентированный
подход базируется на концепциях:
объекта и идентификатора объекта;
атрибутов и методов;
классов;
иерархии и наследования классов.
Любая сущность реального мира моделируется в виде объекта. Любой объект при своем создании получает генерируемый
системой уникальный идентификатор, который связан с объектом во все время его
существования и не меняется при изменении состояния объекта.
Каждый объект имеет состояние и поведение. Состояние объекта - набор
значений его атрибутов. Поведение объекта - набор методов (программный код),
оперирующих над состоянием объекта. Значение атрибута объекта - это тоже
некоторый объект или множество объектов. Состояние и поведение объекта
инкапсулированы в объекте; взаимодействие между объектами производится на
основе передачи сообщений и выполнении соответствующих методов.
Множество объектов с одним и тем же набором атрибутов и методов образует
класс объектов. Допускается порождение нового класса на основе уже
существующего класса - наследование. В этом случае новый класс, называемый
подклассом существующего класса (суперкласса) наследует все атрибуты и методы
суперкласса. В подклассе, кроме того, могут быть определены дополнительные
атрибуты и методы.
Различаются случаи простого и множественного наследования. В первом
случае подкласс может определяться только на основе одного суперкласса, во
втором случае суперклассов может быть несколько. Если в языке или системе
поддерживается единичное наследование классов, набор классов образует
древовидную иерархию.
Одной из более поздних идей объектно-ориентированного подхода является
идея возможного переопределения атрибутов и методов суперкласса в подклассе
(перегрузки методов).
Таким образом, все эти свойства и дали преимущество
объектно-ориентированной технологии. Этот подход является наиболее гибким и
удобным в настоящее время, что предопределило мой выбор в технологии
программирования.
.2 Выбор языка программирования, среды разработки
В соответствие с заданием языком программирования был выбран С#, среда
разработки Visual Studio 2008.
Язык C# является наиболее известной новинкой в области создания языков
программирования. Явившись на свет в недрах Microsoft, он с первых своих шагов
получил мощную поддержку.
Язык признан
международным сообществом.
Компиляторы Microsoft строятся в соответствии с международными
стандартами языка.
Язык C# является молодым языком и продолжает интенсивно развиваться.
Каждая новая версия языка включает принципиально новые свойства.
Руководителем группы, создающей язык C#, является сотрудник Microsoft Андреас Хейлсберг. Как отмечал сам
Андреас Хейлсберг, C# создавался как
язык компонентного программирования, и в этом одно из главных достоинств языка,
направленное на возможность повторного использования созданных компонентов.
Создаваемые компилятором компоненты являются само документируемыми, помимо кода
содержат метаинформацию, описывающую компоненты, и поэтому могут выполняться на
различных платформах.
Отметим следующие важные факторы, которые повлияли на выбор данного языка
программирования:
C# создавался и развивается параллельно с каркасом Framework.Net и в
полной мере учитывает все его возможности;
C# является полностью объектно-ориентированным языком;
C# является мощным объектным языком с возможностями наследования и
универсализации;
C# является наследником языка C++. Общий синтаксис, общие операторы языка
облегчают переход от языка С++ к C#. Сохранив основные черты своего родителя,
язык стал проще и надежнее;
Благодаря каркасу
Framework.Net, ставшему надстройкой над операционной системой, программисты C# получают преимущества работы с виртуальной машиной.
Framework.Net поддерживает разнообразие типов приложений на C#;
Реализация, сочетающая построение надежного и эффективного кода, является
немаловажным фактором, способствующим успеху C#.
Как уже отмечалось, принципиальной новинкой этой версии является возможность построения новых типов программных
проектов, что обеспечивается новой версией каркаса Framework.Net 3.5. Если не
считать этой важной особенности, то идейно Visual Studio 2008 подобна
предыдущим версиям
Visual Studio 2005 и Visual Studio 2003.
Основной причиной выбора Visual Studio 2008 является ее открытость. Это
означает, что наряду с языками программирования, включенными в среду фирмой
Microsoft, в среду могут добавляться любые языки программирования, компиляторы
которых создаются другими фирмами.
Открытость среды не означает полной свободы. Все разработчики
компиляторов при включении нового языка в среду разработки должны следовать
определенным ограничениям. Главное ограничение, которое можно считать и главным
достоинством, состоит в том, что все языки, включаемые в среду разработки
Visual Studio.Net должны использовать единый каркас - Framework.Net. Благодаря
этому достигаются многие желательные свойства: легкость использования
компонентов, разработанных на различных языках; возможность разработки
нескольких частей одного приложения на разных языках; возможность бесшовной
отладки такого приложения; возможность написать класс на одном языке, а его
потомков - на других языках. Единый каркас приводит к сближению языков
программирования, позволяя вместе с тем сохранять их индивидуальность и
имеющиеся у них достоинства. Преодоление языкового барьера - одна из важнейших
задач современного мира. Visual Studio.Net, благодаря единому каркасу, в
определенной мере решает эту задачу в мире программистов.
3. Определение структуры программного
продукта
Для начала рассмотрим этапы проверки гипотезы:
) Формулируется проверяемая гипотеза Н0 .
) Выбирается критерий проверки - X.
) Выбирается уровень значимости α и критическая область Q, так, чтобы
условная вероятность попадания критерия в Q при условии справедливости гипотезы
равнялась α, т.е. Р{X Ε Q/H0) = α.
) Выполняем эксперимент и находим экспериментальное значение
критерия Хэ.
) Если критерий не попадает в критическую область, гипотеза
принимается, если X Ε Q, то отвергается.
Исходные выборки пользователь может вводить вручную или импортировать из приложения Excel.
Результат оформляется так: гипотеза Н0 проверена по критерию Х
на уровне значимости α и принята (или отвергнута).
На рисунке 3.1 показана структурная схема приложения.
Рисунок 3.1. Алгоритм программного продукта
5. Контрольный пример
.1 Сравнение средних арифметических двух выборок
Для сравнения среднего арифметического двух выборок, воспользуемся
критерием Стьюдента. Из исходной выборки (таблица 1 Приложение А)
выделяем с помощью таблицы равномерно распределенных случайных чисел (таблица 8
Приложение З) две частные выборки, объемами n1=12 и n2=16.
Таблица 5.1- Исходные выборки
|
X1
|
223
|
217
|
343
|
213
|
151
|
193
|
158
|
255
|
273
|
243
|
197
|
144
|
|
|
|
|
|
X2
|
299
|
153
|
254
|
204
|
299
|
241
|
153
|
245
|
197
|
243
|
175
|
222
|
261
|
309
|
274
|
209
|
Теперь докажем для этих выборок статистическую неразличимость
(различимость) средних арифметических, то есть необходимо принять или
опровергнуть следующие гипотезы:
Н0:
;
.
Для
этого определим параметры выборок
,
Для определения среднего арифметического воспользуемся
формулой:
;
Получим следующие результаты:
;
Для определения выборочной дисперсии воспользуемся формулой:
,
Получим следующие результаты:
.
В качестве критерия возьмем t-распределение Стьюдента:
,
где
- средневзвешенная дисперсия с числом степеней свободы
, а
и
- соответствующие объемы выборок. В нашем случае
=12 и
=16.
,
;
После вычислений получили: t=0,8023, а tтаб = 2,059 (таблица 5 Приложение). Т.к. t < tтаб,
то принимаем гипотезу о статистической неразличимости средних арифметических
этих выборок.
.2 Сравнение дисперсий при помощи критерия Фишера
Для сравнения выборочных дисперсий воспользуемся критерием Фишера. В этом
случае нулевая гипотеза, подлежащая проверке, запишется как H0
, а альтернативная ей H1:
.
Для проверки нулевой гипотезы составляем дисперсионное отношение
, которое представляет собой
F-распределение Фишера;
.таб=2,54 (таблица 6 Приложение Е) при
степенях свободы
и
.
Т.к. F < Fтаб , то мы принимаем нулевую гипотезу, т.е.
гипотезу о равенстве выборочных дисперсий.
.3 Объединение выборок
Т. к. мы доказали статистическую неразличимость дисперсий и средних
арифметических данных двух выборок, то мы можем их объединить. Параметра
объединенной выборки подсчитаем непосредственно и по формулам:
,,
где
<#"661708.files/image084.gif"> <#"661708.files/image085.gif"> <#"661708.files/image086.gif"> ,
.
Параметры подсчитанные по формулам:
,
.
Сравнение полученных результатов показывает, что средние арифметические
совпадают практически полностью, в то время как дисперсии в пересчете на
среднеквадратическое отклонение дают разницу в 1,88%, что вполне допустимо для
нашего объема.
.4 Сравнение по методу Тьюки
Для доказательства статической различимости (неразличимости) средних
арифметических более двух выборок воспользуемся критерием Тьюки. Из выборки,
приведенной в таблице 1 (Приложение), выделить с помощью таблицы равномерно
распределенных случайных чисел четыре (k=4) выборки объемом n= 6 каждая.
Таблица
5.3- Исходные данные
|
X1
|
X2
|
X3
|
X4
|
|
225
|
323
|
157
|
245
|
|
203
|
215
|
323
|
175
|
|
251
|
265
|
286
|
199
|
|
253
|
294
|
253
|
274
|
|
251
|
153
|
180
|
273
|
|
195
|
206
|
343
|
300
|
Докажем статистические неразличимости (различимости) средних
арифметических этих выборок. Для этого вычисляем средние арифметические
и эмпирические дисперсии
полученных выборок:
Таблица
4. Средние арифметические и дисперсии выборок
|
№ выборки
|
X1
|
X2
|
X3
|
X4
|
|
|
229,667
|
242,667
|
257
|
244,333
|
|
|
677,867
|
3947,47
|
5707,6
|
2332,667
|
Так как выборки взяты из нормальных совокупностей, то существует
некоторый интервал TS, внутри которого центры выборок статистически
неразличимы.
,
где
- стьюдентизированный размах.
- средняя выборочная дисперсия с
числом степеней свободы.
Для нашего случая имеем: Q(5%;4;20)=3,958 ;
;
.
Сопоставив найденный интервал с данными выборок, можно сделать вывод, что
все центры выборок попадают в интервал статистической неразличимости, а значит,
гипотеза о статистической неразличимости
средних арифметических этих выборок принимается.
.5 Проверка неразличимости дисперсий с помощью критерия Кохрена
Теперь докажем статистические неразличимости (различимости) выборочных
дисперсий. Для этого воспользуемся критерием Кохрена.
Доказательство
сводится к проверке нулевой гипотезы H0:
. Так как число выборок k=4 > 2, а объем каждой
выборки n=6 одинаков, то для проверки нулевой гипотезы используем критерий
Кохрена, который основан на законе распределения отношения максимальной
эмпирической дисперсии
<#"661708.files/image102.gif">
Это
распределение имеет степени свободы
, где n-
объем одной выборки и
, где k-число выборок; и меняется в пределах
<#"661708.files/image106.gif"> <#"661708.files/image107.gif">;
.
Т.к.
<#"661708.files/image100.gif">, т.е. доказана статистическая неразличимость
выборочных дисперсий.
Так
как было одновременно доказаны статистическая неразличимость дисперсий и
средних арифметических данных выборок, то мы имеем право объединить их в одну.
Параметры объединенной выборки подсчитаем сначала по формулам, приведенным в п
5.3:
,
Параметры объединенной выборки, подсчитанные непосредственно:
;
.
Сравнение полученных результатов показывает, что средние арифметические
совпадают полностью, в то время как дисперсии в пересчете на
среднеквадратическое отклонение дают разницу в 12,54%, что допустимо для нашего объема.
.6 Проверка неразличимости дисперсий по критерию Батлетта
Теперь докажем статистические неразличимости (различимости) эмпирических
дисперсий 6 выборок рассмотренных ранее и найдем средневзвешенную дисперсию.
Т.к. мы имеем частные выборки неодинакового объема, то для доказательства
статистической неразличимости (различимости) эмпирических дисперсий этих
выборок применим критерий Батлетта.
где
- поправочный коэффициент.
<#"661708.files/image118.gif"> <#"661708.files/image119.gif"> <#"661708.files/image120.gif"> <#"661708.files/image121.gif">
.
Т.к. Q >
, то все дисперсии признаются статистически различимыми. А
значит, объединить их в одну выборку нельзя.
Сравним теперь эмпирические дисперсии всех частных выборок, а также
первоначальной выборки (таблица 1 Приложение А).
Таблица
5.5 Сравнение дисперсий частных выборок
|
Выборки
|
X1
|
X2
|
X3
|
X4
|
X5
|
X6
|
X7
|
X8
|
X10
|
|
Объемы
|
12
|
16
|
6
|
6
|
6
|
6
|
28
|
24
|
176
|
|
Дисперсии
|
3211,2
|
2446,3
|
1544
|
2772
|
804,8
|
3543,2
|
2733,3
|
2061,9
|
2517,8
|
|
Относительная ошибка
|
21,035
|
18,078
|
30,715
|
30,715
|
30,715
|
30,715
|
13,533
|
14,649
|
5,341
|
При выборках малого объема чрезмерно велики ошибки (статистический
разброс), что может приводить к неточностям при принятии решений, а то и прямо
к неверны решениям.
.7 Определение границ существования математического ожидания
Определим границы существования математического ожидания. Доверительный
интервал будем находить по формуле:
,
где
- уровень значимости,
-распределения, которое находят по таблице Стьюдента.
Таблица
6. Границы существования математического ожидания
|
Объём
|
Среднее
|
Дисперсия
|
t(табл.)
|
Нижняя граница
|
Верхняя граница
|
|
6
|
229,667
|
677,867
|
2,5706
|
202,34383
|
256,99017
|
|
6
|
242,667
|
3947,47
|
2,5706
|
176,73165
|
308,60235
|
|
6
|
257
|
5707,6
|
2,5706
|
177,71598
|
336,28402
|
|
6
|
244,333
|
2332,67
|
2,5706
|
193,64732
|
295,01868
|
|
12
|
217,5
|
3211,18
|
2,201
|
181,49508
|
|
16
|
233,625
|
2446,25
|
2,1314
|
207,27046
|
259,97954
|
|
24
|
221
|
2061,9
|
2,0687
|
201,82541
|
240,17459
|
|
28
|
226,714
|
2733,32
|
2,045
|
206,50926
|
246,91934
|
|
176
|
235,303
|
2517,78
|
1,9749
|
227,8333
|
242,7725
|
По данной таблице можно сделать вывод, что с увеличением объема выборки
величина доверительного интервала уменьшается.
Заключение
В процессе курсовой работы были выполнены все задачи, поставленные в
начале. Был написан алгоритм проверки статистических гипотез. Я приобрел навыки
по непосредственной обработке экспериментальных данных, представленных
несколькими выборками сравнительно небольшого объема. Так же были доказаны
гипотезы о равенстве (неравенстве) средних арифметических и дисперсий данных
выборок, о возможности их объединения в одну выборку суммарного объема.
Проведенная работа позволила сделать следующие общие выводы:
Под статистической гипотезой понимаются различного рода предположения
относительно характера или параметров распределения случайной переменной,
которые можно проверить, опираясь на результаты наблюдений в случайной выборке.
Смысл проверки статистической гипотезы состоит в том, чтобы по имеющимся
статистическим данным принять или отклонить статистическую гипотезу с
минимальным рисков ошибки. Эта проверка осуществляется по определенным
правилам.
Проверка гипотезы осуществляется на основе выявления согласованности
эмпирических данных с гипотетическими (теоретическими).
В статистике в настоящее время имеется большое число критериев для
проверки гипотез.
Проверка статистических гипотез - необходимая методика, используемая для
получения данных в статистике.
Список используемой литературы
1) Львовский Е.Н. Статистические методы построения эмпирических
формул: Учеб. пособие для втузов. - 2-е изд., перераб. и доп. - М.: Высш. шк.
1988. - 239 с. (с.23-25).
) Джонсон Н., Лион Ф. Статистика и планирование эксперимента в
технике и науке: Методы обработки данных / Пер. с англ.; Под ред. Э.К.Лецкого.
- М.: Мир, 1980.-610с. (С.155- 166, 259-282).
) Статистические методы обработки эмпирических данных:
Рекомендации.-М.: Изд-во стандартов. 1978. - 232 с. (С. 82-88. 93 - 94).
) Ликеш И., Ляга Й. Основные таблицы математической статистики
/Пер.с чешек. - М.: Финансы и статистика, 1985. - 356 с. (С. 16 - 19, 26 - 27,
30 - 34, 84 - 147, 160-163, 166- 167).
) Поллард Дж. Справочник по вычислительным методам
статистики /Пер. с англ. - М.: Финансы и статистика, 1982. - 344 с. (С. 139 -
143, 166 - 170, 201 - 204).
) Долгов Ю.А. Статистическое моделирование : Учебник для вузов.-
Тирасполь: РИО ПГУ, 2002.- 280 с. (с. 19-31).
Приложения
Приложение А
Таблица 1-Исходные данные
Приложение Б
Таблица 2-Квантили распределения 2
Приложение В
Таблица 3-Критические точки распределения Стьюдента
|
Число степеней свободы k
|
Уровень значимости (двусторонняя критическая значимость)
|
|
0,10
|
0,05
|
0,02
|
0,01
|
0,002
|
0,001
|
|
1
|
6,31
|
12,7
|
31,82
|
63,7
|
318,3
|
637,0
|
|
2
|
2,92
|
4,30
|
6,97
|
9,92
|
22,33
|
31,6
|
|
3
|
2,35
|
3,18
|
4,54
|
5,84
|
10,22
|
12,9
|
|
4
|
2ДЗ
|
2,78
|
3,75
|
4,00
|
7,17
|
8,61
|
|
5
|
2,01
|
2,57
|
3,37
|
4,03
|
5,89
|
6,86
|
|
6
|
1,94
|
2,45
|
3,14
|
3,71
|
5,21
|
5,96
|
|
7
|
1,89
|
2,36
|
3,00
|
3,50
|
4,79
|
5,40
|
|
8
|
1,86
|
2,31
|
2,90
|
3,36
|
4,50
|
5,04
|
|
9
|
1,83
|
2,26
|
2,82
|
3,25
|
4,30
|
4,70
|
|
10
|
1,81
|
2,23
|
2,76
|
3,17
|
4,14
|
4,59
|
|
11
|
1,80
|
2,28
|
2,72
|
3,11
|
4,03
|
4,44
|
|
12
|
1,78
|
2,18
|
2,68
|
3,05
|
3,93
|
4,32
|
|
13
|
1,77
|
2,16
|
2,65
|
3,01
|
3,85
|
4,22
|
|
14
|
1,76
|
2,14
|
2,62
|
2,98
|
3,79
|
4,14
|
|
15
|
1,75
|
2,13
|
2,60
|
2,95
|
3,73
|
4,07
|
|
16
|
1,75
|
2,12
|
2,58
|
2,92
|
3,69
|
4,01
|
|
17
|
1,74
|
2,11
|
2,57
|
2,90
|
3,65
|
3,96
|
|
18
|
1,73
|
2,10
|
2,55
|
2,88
|
3,61
|
3,92
|
|
19
|
1,73
|
2,09
|
2,54
|
2,86
|
3,58
|
3,88
|
|
20
|
1,73
|
2,09
|
2,53
|
2,85
|
3,55
|
3,85
|
|
21
|
1,72
|
2,08
|
2,52
|
2,83
|
3,53
|
3,82
|
|
22
|
1,72
|
2,07
|
2,51
|
2,82
|
3,51
|
3,79.
|
|
23
|
1,71
|
2,07
|
2,50
|
2,81
|
3,49
|
3,77
|
|
24
|
1,71
|
2,06
|
2,49
|
2,80
|
3,47
|
3,74
|
|
25
|
1,71
|
2,06
|
2,49
|
2,79
|
3,45
|
3,72
|
|
26
|
1,71
|
2,06
|
2,48
|
2,78
|
3,44
|
3,71
|
|
27
|
1,71
|
2,05
|
2,47
|
2,77
|
3,42
|
3,69
|
|
28
|
1,70
|
2,05
|
2,46
|
2,76
|
3,40
|
3,66
|
|
29
|
1,70
|
2,05
|
2,46
|
2,76
|
3,40
|
3,66
|
|
30
|
1,70
|
2,04
|
2,46
|
2,75
|
3,39
|
3,65
|
|
40
|
1,68
|
2,02
|
2,42
|
2,70
|
3,31
|
3,55
|
|
60
|
1,07
|
2,00
|
2,39
|
2,66
|
3,23
|
3,46
|
Приложение Г
Таблица 4-Нормированная функция Лапласа
Приложение Д
Таблица 5-Стьюденизированный размах при q=5%
Приложение Е
Таблица 6-F-распределение
Фишера при q=5%
Приложение Ж
Таблица 7- G-распределение
Кохрена при q=5%
Приложение З
Таблица 8-Равномерно распределенные случайные величины