Исследование свойств случайных величин, планирование многофакторного эксперимента, получение модельных данных и проведение дисперсионного анализа с целью проверки влияния факторов на показатели качества строительной продукции
КУРСОВАЯ
РАБОТА
Исследование
свойств случайных величин, планирование многофакторного эксперимента, получение
модельных данных и проведение дисперсионного анализа с целью проверки влияния
факторов на показатели качества строительной продукции
Содержание
Введение
. Одномерные случайные величины
1.1 Функция
отклика показателя качества. Выборка объёмом 15
1.1.1 Среднее
и дисперсия выборки объёмом 15
1.1.2 Оценка
нормальности
1.1.3 Определение доверительных интервалов для математического
ожидания
1.1.4 Определение
доверительных интервалов для дисперсии
.2 Выборка
объёмом 50
.2.1 Проверка
нормальности выборки объёмом 50
1.2.2 Среднее
и дисперсия выборки объёмом 50
.2.3 Проверка
гипотезы о равенстве математических ожиданий двух выборок при условии равенства
их генеральных дисперсий
.2.4 Оценка
доверительных интервалов для среднего первой выборки, используя данные второй
выборки
2 Двумерные
случайные величины
.1 Корреляционное
поле
2.2 Изучение
зависимости выбранного Y от
одного из факторов Х
2.2.1 Условные
средние Y для фиксированных значений Х
2.2.2
Условные дисперсии Y для
фиксированных значений Х
.2.3 Линия
регрессии Y по Х
3 Дисперсионный
анализ и планирование эксперимента
.1 Легенда
(описание) эксперимента
3.2 Число
и наименование факторов (Х) и показателей качества (Y). Их шкалы и единицы измерений
.3 План
эксперимента в виде латинской таблицы
.4 Матрица
эксперимента и график выполнения его в соответствии с выбранным планом
.5 Модельные
эксперименты с назначенными (фиксированными) значениями факторов
.6 Дисперсионный
анализ
.7 Анализ по
критерию Дункана
3.7.1 Анализ
по критерию Дункана для ПК Y1 фактора Х4
3.7.2 Анализ
по критерию Дункана для ПК Y2 фактора X4
4.
Корреляционный анализ
.
Регрессионный анализ
.1
Определение коэффициентов
.2 Оценивание
значимости коэффициентов регрессии
.3 Проверка
адекватности уравнения по критерию Фишера
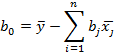
Заключение
Список
литературы
Введение
Целью данной курсовой работы является изучение показателей качества, как
случайных величин, и доказательство факта влияния на них нескольких факторов,
действующих одновременно, проверка различных статистических гипотез. Этому
будут посвящены первые два раздела работы. В третьем разделе будут рассмотрены
показатели качества (ПК) конструкционного газобетона как случайные величины и
влияющие на него факторы, действующие одновременно. Значения показателей
качества будут получены в результате имитационного (машинного) эксперимента для
исследуемой продукции.
Задачей данного раздела является выявление тех факторов и их градаций, которые
достоверно влияют на выбранные показатели качества. На основании этого анализа
можно будет выделить такие технологические приемы, которые будут достоверно
влиять на прочность и морозостойкость и смоделировать оптимальную с точки
зрения получения высококачественной продукции технологию изготовления.
1. Одномерные случайные величины
.1 Функция отклика показателя качества. Выборка объёмом 15
По заданию получим функцию отклика любого показателя качества (ПК) и
определим выборку объёмом 15.
ПК(Y1)-прочность ячеистого бетона.
Представим выборку в виде таблицы:
Таблица 1- Выборка объёмом 15
|
№
|
Y1
|
|
1
|
18,55
|
|
2
|
18,87
|
|
3
|
20,52
|
|
4
|
18,69
|
|
5
|
19,66
|
|
6
|
19,71
|
|
7
|
20,28
|
|
8
|
18,50
|
|
9
|
18,64
|
|
10
|
18,97
|
|
11
|
18,09
|
|
12
|
18,61
|
|
13
|
18,77
|
|
14
|
20,8
|
|
15
|
17,74
|
1.1.1 Среднее и дисперсия выборки объёмом 15
Определяем среднее арифметическое результатов наблюдений:
, (1)
где n - объем выборки;
yi - наблюдаемые значения выборки.
18,55+18,87+20,52+18,69+19,66+19,71+20,28+18,5+18,64+18,97+18,09+18,61+18,77+20,80+17,74/15
= 19,09.
Определяем
дисперсию:
, (2)
D=((18,55-19,09)2+(18,87-19,09)2
+(20,52-19,09)2 +(18,69-19,09)2 +(19,66-19,09)2
+(19,71-19,09)2 +(20,28-19,09)2 +(18,50-19,09)2
+(18,64-19,09)2 +(18,97-19,09)2 +(18,09-19,09)2
+(18,61-19,09)2 +(18,77-19,09)2 +(20,80-19,09)2
+(17,74-19,09)2 )/14=0,81.
.1.2 Оценка нормальности распределения по составному критерию
Проверку согласия между нормальным законом распределениями
экспериментальными данными при числе наблюдений 10<n<50 рекомендуется вести с использованием следующих
критериев.
Критерий 1.
По
данным наблюдений y1,y2…yn вычисляют
величину
по формуле
, (3)
где
- смещенная оценка среднего квадратического
отклонения.
Гипотеза
согласуется с данными наблюдений, если
, (4)
где
и
-
процентные точки распределения статистики, которые находят по таблице по
и
;
- выбираемый заранее уровень значимости критерия.
Критерий
2.
Число
наблюдений, отклонения которых от среднего арифметического значения превышает
величину
, не должно быть больше одного при
и более двух, если
. Здесь
- верхняя
-
процентная точка нормированной функции Лапласа;
-
доверительная вероятность, определяемая по таблице по выбранному уровню
значимости критерия
и по
.
Уровень
значимости составного критерия
. (5)
Применим
критерий 1. По формуле (3), используя данные таблицы 2, определяем значение
. Выбираем уровень значимости
. По таблице находим значения
и
для
. Проверим, выполняется ли неравенство:
.
Применим критерий 2. Число наблюдений, отклонения которых от среднего
арифметического значения превышает величину σzα/2, не должно быть больше одного при n≤20
и более двух, если 20<n<50.
Здесь σzα/2 - верхняя 100α/2 - процентная точка нормированной
функции Лапласа; α- доверительная вероятность,
определяемая по выбранному уровню значимости критерия q и пo n.
Для уровня значимости q=2%
при числе наблюдений n=15
находим α=0,99,
zα/2=2,624.
Таблица 2 - Составной критерий
|
№
|
Y
|
|
|
|
1
|
18,55
|
0,54
|
0,29
|
|
2
|
18,87
|
0,22
|
0,05
|
|
3
|
20,52
|
1,43
|
2,04
|
|
4
|
18,69
|
0,40
|
0,16
|
|
5
|
19,66
|
0,57
|
0,32
|
|
6
|
19,71
|
0,62
|
0,38
|
|
7
|
20,28
|
1,19
|
1,42
|
|
8
|
18,50
|
0,59
|
0,35
|
|
9
|
18,64
|
0,45
|
0,20
|
|
10
|
18,97
|
0,12
|
0,01
|
|
11
|
18,09
|
1
|
1
|
|
12
|
18,61
|
0,48
|
0,23
|
|
13
|
18,77
|
0,32
|
0,10
|
|
14
|
20,8
|
1,71
|
2,92
|
|
15
|
17,74
|
1,35
|
1,82
|
|
∑
|
|
10,99
|
11,29
|
σzα/2=0,87*2,624=2,283
По данным таблицы 2 видно, что ни одно наблюдение не превосходит 2,283.
Следовательно, гипотеза о нормальности согласуется с данными наблюдений.
Уровень значимости составного критерия
q=qI+qII (6)
q≤0,02+0,02=0,04,
т.е. гипотеза о нормальности согласуется с данными наблюдений с
вероятностью не менее 0,96.
1.1.3 Определение доверительного интервала для математического ожидания
Определим
интервальную оценку математического ожидания. Рассмотрим случайную величину
, которая согласно следствию из теоремы о
распределении выборочных характеристик распределена по закону Стьюдента
. При заданном значении
,
пользуясь таблицей, вычислим значение
из
условия:
, (7)
где
- надежность интервальной оценки.
α - генеральное среднее.
Из
условия ( ) получаем:
(8)
Таким образом, интервальная оценка надежности
для неизвестной генеральной средней,
а имеет границы:
(9)
Выразим
границы интервала через исправленную дисперсию
.Так как
=
,то
. Поэтому
. (10)
Значит, границы доверительного интервала можно записать так:
, (11)
а точность интервальной оценки определить соотношением:
(12)
Центр
интервала находится в точке
, но
длина интервала 2
является случайной величиной, принимающей тем меньшие
значения, чем больше значение n. Это объясняется тем, что наличие большей информации yi,…,yn о генеральной совокупности Y позволяет
сузить интервал.
По
выборке объёма 15 найдено среднее значение
=19,09.
Считая, что генеральная совокупность распределена по нормальному закону с
известным D=S=0,81, построим доверительный интервал для
математического ожидания с надёжностью γ=0,95.
Точность
интервальной оценки определяется по формуле. Пользуясь таблицей, находим
величину t(0.95;15) и определяем точность 
:
=
,
тогда
интервальная оценка имеет границы (
-0,45,
+0,45), которые зависят от двух случайных величин
и D. Получаем интервал:
(18,64<
<19,54).
1.1.4
Определение доверительного интервала для дисперсии
Пусть
случайная
, распределённая по закону χ² с (n-1) степенями свободы. Тогда
, (13)
где χ²лев,γ - квантиль χ²n-1- распределения уровня α/2,
χ²пр,γ- квантиль χ²n-1- распределения уровня 1-α/2.
α- уровень значимости
α=1-γ, где γ-надёжность интервальной оценки.
Тогда имеет место равенство
, (14)
Следовательно, интервал
(15)
является интервальной оценкой для σ² с надёжностью γ.
По выборке объёма 15 из нормально распределённой генеральной совокупности
вычислено значение дисперсии выборки D=S=0,81. Построим интервальную оценку
для параметра σ² надёжности γ=0,95.
Находим значение χ²лев,γ
,χ²пр,γ, из формулы:
0,475;
По
таблице квантилей χ²-
распределения находим
χ²лев,γ=23,70;
χ²пр,γ=6,57.
Тогда
интервальная оценка для дисперсии принимает вид
, 0,51
<
<1,85
.2 Выборка объёмом 50
.2.1 Проверка нормальности выборки (объемом 50)
Чтобы оценить нормальность выборки объёмом 50 более точным образом,
воспользуемся Критерием Пирсона.
Для этого необходима выборка большего объёма, но включающая в себя
выборку объёмом 50. Составим выборку У1 объёмом 60:
Таблица 5 - Выборка n=60
|
№
|
У1
|
№
|
У1
|
№
|
У1
|
№
|
У1
|
№
|
У1
|
№
|
У1
|
|
1
|
18,81
|
12
|
20,14
|
23
|
18,94
|
34
|
20,24
|
45
|
21,53
|
56
|
21,28
|
|
2
|
20,98
|
13
|
21,44
|
24
|
18,84
|
35
|
17,73
|
46
|
20,06
|
57
|
20,66
|
|
3
|
20,11
|
14
|
18,93
|
25
|
18,58
|
36
|
20,81
|
47
|
19,34
|
58
|
21,47
|
|
4
|
18,57
|
15
|
19,72
|
26
|
21,48
|
37
|
17,75
|
48
|
18,71
|
59
|
20,98
|
|
5
|
19,26
|
16
|
21,22
|
27
|
20,71
|
38
|
21,24
|
49
|
20,36
|
60
|
17,62
|
|
6
|
21,07
|
17
|
21,16
|
28
|
19,28
|
39
|
20,86
|
50
|
21,29
|
|
|
|
7
|
17,84
|
18
|
20,03
|
29
|
21,07
|
40
|
19,35
|
51
|
19,01
|
|
|
|
8
|
19,52
|
19
|
20,98
|
30
|
19,04
|
41
|
19,18
|
52
|
19,76
|
|
|
|
9
|
18,05
|
20
|
20,01
|
31
|
21,23
|
42
|
18,14
|
53
|
17,69
|
|
|
|
10
|
18,98
|
21
|
18,42
|
32
|
19,28
|
43
|
21,29
|
54
|
20,37
|
|
|
|
11
|
20,56
|
22
|
17,82
|
19,81
|
44
|
19,69
|
55
|
19,13
|
|
|
1.2.2 Проверка нормальности распределения по критерию Пирсона (χ2)
Для проверки согласия между предполагаемым нормальным и эмпирическим
распределением по критерию Пирсона (χ2) рекомендуется следующий порядок:
а) Результаты наблюдений группируются в интервальный вариационный ряд;
б) Определяется длина и количество интервалов;
в) Подсчитывается количества mi наблюдений, находящихся в каждом из интервалов. Если в
какой-либо интервал теоретически попадает меньше пяти наблюдений, то его
соединяют с соседним интервалом;
г) Нормируют случайную величину X, т.е. переходят к величине
z = (x-mx)/σx и вычисляют концы интервалов (zi,zi+1) по формулам
zi =(xi-mx)/σx, (21)
zi+1 = (xi+1-mx)/σx. (22)
Причем наименьшее значение z,
т.е. z1, полагают равным -∞, а наибольшее, т.е. z7, полагают равным +∞.
д) Для каждого интервала вычисляется теоретическая вероятность попадания
случайной величины в i-интервал
по формуле
Pi = F(zi+1)-F(zi), (23)
где F - функция нормального распределения,
равная
F(z) = Ф[(zв-mx)/σx] - Ф[(zн-mx)/ σx]. (24)
Здесь Ф - нормированная функция Лапласа;
zв и zн - соответственно верхняя и нижняя границы i-го интервала.
е) Определяется мера расхождения по формуле
χ2
= Σ(mi - nPi)2/nPi. (25)
Весь диапазон наблюдений значений x делится на интервалы, т.е. производится разделение ряда
экспериментальных данных от наименьшего xmin до наибольшего xmax на 6 интервалов, и подсчитывают
количество значений mi, приходящихся на каждый i-ый интервал. Это число делят на
общее число наблюдений n и
находят частоту, соответствующую данному интервалу:
Pi = mi /n (26)
Сумма частот всех интервалов должна быть равна единице.
Примем число интервалов равное 6.
Длина интервала h
вычисляется по формуле:
h = (xmax-xmin)/l (27)
h =
(21,53 - 17,62)/6 = 0,7
Найдем границы интервалов:
x0 = xmin = 17,62,
x1 = x0+h = 17,62+0,7=
18,32 ,
x2 = x1 +h = 18,32+0,7 = 19,02 , 3
= x2 +h = 19,02+0,7 = 19,72 ,4 = x3 +h =
19,72+0,7 = 20,42 ,5 = x4 +h = 20,42+0,7 = 21,12 ,6
= x5 +h = 21,12+0,7 = 21,82 .
z0=-∞,
z1=(x1-mх)/σ=-1,0352,2=-0,5423,
z3=-0,0493,
z4=0,4437,
z5=0,9366,
6=+∞
.
Найдем наблюдаемое значение критерия (по таблице 6).
Таблица 6
|
Номер интервала
|
Границы интервалов
|
ni
|
Теоретические границы
интервалов
|
Ф(zi)
|
Ф(zi+1)
|
PI =Ф(zi+1)-Ф(zi)
|
ni' = n∙Pi
|
(nI - ni')2/ni'
|
|
Хi
|
Xi+1
|
|
Zi
|
Zi+1
|
|
|
|
|
|
|
1
|
17,62
|
18,32
|
8
|
-∞
|
-1,0352
|
-0,5
|
-0,3508
|
0,1492
|
8,952
|
0,1012
|
|
2
|
18,32
|
19,02
|
10
|
-1,0352
|
-0,5423
|
-0,3508
|
-0,2054
|
0,1454
|
8,724
|
0,1866
|
|
3
|
19,02
|
19,72
|
11
|
-0,5423
|
-0,0493
|
-0,2054
|
-0,0199
|
0,1859
|
11,154
|
0,0022
|
|
4
|
19,72
|
20,42
|
10
|
-0,0493
|
0,4437
|
-0,0199
|
0,1700
|
0,1899
|
11,394
|
0,1705
|
|
5
|
20,42
|
21,12
|
10
|
0,4437
|
0,9366
|
0,1700
|
0,3264
|
0,1564
|
9,384
|
0,0404
|
|
6
|
21,12
|
21,82
|
11
|
0,9366
|
+∞
|
0,3264
|
0,5
|
0,1736
|
10,416
|
0,0327
|
|
Σ
|
|
|
60
|
|
|
|
|
1
|
60
|
0,5336
|
χ2набл= 0,5336
По таблице критических точек распределения χ2, по уровню значимости α = 0,05 и числу степеней свободы k=3 находим χ2кр(0,05;3) = 7,8.
Так как χ2набл < χ2кр, то есть основания принять нулевую
гипотезу о нормальности закона распределения с уровнем вероятности 0,95.
Таблица 7 - Выборка объемом 50
|
№
|
У1
|
№
|
У1
|
№
|
У1
|
№
|
У1
|
№
|
У1
|
|
1
|
18,81
|
12
|
20,14
|
23
|
18,94
|
34
|
20,24
|
45
|
21,53
|
|
2
|
20,98
|
13
|
21,44
|
24
|
18,84
|
35
|
17,73
|
46
|
20,06
|
|
3
|
20,11
|
14
|
18,93
|
25
|
18,58
|
36
|
20,81
|
47
|
19,34
|
|
4
|
18,57
|
15
|
19,72
|
26
|
21,48
|
37
|
17,75
|
48
|
18,71
|
|
5
|
19,26
|
16
|
21,22
|
27
|
20,71
|
38
|
21,24
|
49
|
20,36
|
|
6
|
21,07
|
17
|
21,16
|
28
|
19,28
|
39
|
20,86
|
50
|
21,29
|
|
7
|
17,84
|
18
|
20,03
|
29
|
21,07
|
40
|
19,35
|
51
|
|
|
8
|
19,52
|
19
|
20,98
|
30
|
19,04
|
41
|
19,18
|
52
|
|
|
9
|
18,05
|
20
|
20,01
|
31
|
21,23
|
42
|
18,14
|
53
|
|
|
10
|
18,98
|
21
|
18,42
|
32
|
19,28
|
43
|
21,29
|
54
|
|
|
11
|
20,56
|
22
|
17,82
|
33
|
19,81
|
44
|
19,69
|
55
|
|
Поскольку выборка объемом 50 сформирована из выборки объемом 60, имеющей
нормальное распределение, то и сама выборка объемом 50 имеет нормальное
распределение.
Рисунок 2 - Гистограмма распределения для n=50
.2.2 Среднее и дисперсия выборки объёмом 50
Вычисляем
среднее арифметическое результатов наблюдений по формуле (1):
=19,79.
Вычисляем
дисперсию по формуле (2): D=1,35.
.2.3
Проверка гипотезы о равенстве математических ожиданий двух выборок при условии
равенства их генеральных дисперсий
Пусть
генеральные совокупности X и Y объёмом n и m соответственно
распределены по нормальному закону, причём средние квадратические отклонения их
известны и равны соответственно
и
. Требуется по двум независимым выборкам y1..yn и y’1..y’m
из генеральных совокупностей Y и Y’ соответственно проверить гипотезу о равенстве
генеральных средних, т.е. основная гипотеза имеет вид:
Н0: М(Y)=М(Y’), (28)
Построим
критерий проверки этой гипотезы, основываясь на следующем соображении: так как
приближённое представление о математическом ожидании даёт выборочное среднее,
то в основе проверки гипотезы должно лежать сравнение выборочных средних
. Найдём закон распределения разности
. Эта разность является случайной величиной.
Если
гипотеза Н0 верна, то
, (29)
Пользуясь
свойствами дисперсии, получим:
Так
как случайная величина
является линейной комбинацией независимых нормально
распределенных случайных величин Y1,…,Yn, Y’1,…,Y’m,
то случайная величина
распределена по нормальному закону с параметрами а=0,
. В качестве критерия выберем пронормированную
случайную величину
, т.е.
, (30)
Таким образом, если гипотеза верна , случайная величина К имеет
нормальное распределение N
(0,1).
Теперь зададимся уровнем значимости α и перейдём к построению критических
областей и проверки гипотезы для трёх видов альтернативной гипотезы Н1.
1) Альтернативная гипотеза имеет вид
Н1: М(Х)>М(Y). (31)
В
этом случаи критическая область есть интервал (Yпр,α,+∞); где критическая точка Yпрα определяется из условия Р(N(0.1)> Yпрα)=α. Подставляем числовые значения, найдём значение
случайных величин
и значение критерия Кнаб. Если Кнаб>
Yпрα, то гипотезу Н0 отвергаем и принимаем
гипотезу Н1. Поступая таким образом, можно допустить ошибку первого
рода с вероятностью α.
)
Альтернативная гипотеза имеет вид
Н1: М(Y)<М(Y’). (32)
В этом случаи критическая область имеет вид (-∞, Yлев,α), где критическая точка Хлев,α находится из уравнения P(N(0.1)< Yлев,α)=α.
Вычислим числовое значение
Кнаб. Если оно попадает в критическую область, то принимается
гипотеза Н1, в противном случае - гипотеза Н0.
3) Альтернативная гипотеза имеет вид
Н1: М(Y)≠М(Y’). (33)
В этом случае наибольшая мощность критерия достигается при двусторонней
критической области, состоящей из двух интервалов (-∞, Yлев,α) и (Yпр,α,+∞).
Р (N(0,1)< Yлев,α/2)=α/2; (34)
P (N(0,1)> Yпр,α/2)=α/2. (35)
В силу симметрии плотности распределения N(0,1) относительно нуля имеет место лев,α/2=-Yпр,α/2. Если числовые значения критерия Кнаб,
вычисленное по формуле (7), попадает в интервал (-∞, Yлев,α/2) или в (Yпр,α/2,+∞), то принимаем гипотезу Н1;
если Yлев,α/2<Кнаб< Yпр,α/2 , то принимаем гипотезу Н0.
По
двум независимым выборкам, объёмы которых равны n=15, m=50,
извлечённым из нормальных генеральных совокупностей, вычислены средние значения
=19,09,
При
уровне значимости α=0,05
проверить гипотезу Н0: М(Y)=М(Y’)
при конкурирующей гипотезе
Н1:
М(Y)≠М(Y’).
Наблюдаемое
значение критерия равно
(36)
По таблице определяем Хпр,α/2 из условия
Ф(Yпр,α/2)=(1-α)/2=0,475.
Получаем Yпр,α/2=1,96, Yлев,α/2=-1,96. Так как -1,96<0.5<1.96,
то наблюдаемое значение попало в область допустимых значений. Поэтому гипотеза
Н0 о равенстве математических ожиданий подтверждается на уровне
значимости α=0,05.
.2.4 Проверка гипотезы о равенстве генеральных дисперсий
При обработке наблюдений часто возникает необходимость сравнить две или
несколько выборочных дисперсий. Основная гипотеза, которая при этом
проверяется: можно ли считать сравниваемые выборочные дисперсии оценками одной
и той же генеральной дисперсии.
Рассмотрим две выборки Y и Y’, средние значения которых
соответственно равны 19,09 и 19,79, выборочные дисперсии 0,81 и 1,35. Требуется
выяснить, являются ли выборочные дисперсии значимо различными или же полученные
выборки можно рассматривать как взятые из генеральных совокупностей с равными
дисперсиями. Предположим, что первая выборка сделана из генеральной
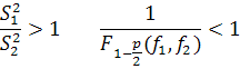
совокупности с дисперсией σ12, а вторая - из генеральной совокупности с дисперсией σ22. Проверяется нулевая гипотеза о равенстве генеральных
дисперсий Hо: σ12= σ22. Чтобы отвергнуть эту гипотезу, нужно доказать
значимость различия между S12 и S22 при выбранном уровне значимости р. В качестве
критерия значимости обычно используется критерий Фишера. В условиях нулевой
гипотезы σ12= σ22 и σ12/σ22=1 и, следовательно,
F-распределение
может быть непосредственно использовано для оценки отношения выборочных
дисперсий S12/S22. При доверительной вероятности 1-р двусторонняя
доверительная оценка величины F
имеет вид
Fp/2(f1,f2)≤F≤F1-p/2(f1,f2) (37)
В условиях нулевой гипотезы F= S12/S22, следовательно, с вероятностью 1-р должно выполняться
двухстороннее неравенство
(38)
Вероятность неравенства равна уровню значимости р, они образуют
критическую область для нулевой гипотезы. Если полученное дисперсионное
отношение попадает в критическую область, различие между дисперсиями нужно считать
значимым.
Двусторонний критерий значимости (26) применяется для альтернативной
гипотезы Н1: σ12≠σ22, т.е. когда соотношение между генеральными
дисперсиями неизвестно. При этом в неравенстве (26) надо проверять только
правую часть, так как левая часть всегда выполняется по условию
(39)
При этом различие между дисперсиями следует считать значимым, если
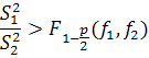
(40)
Дисперсионное
отношение F=0,81/1,35=0,6 надо сравнить с табличным для уровня
значимости р=0,05 и чисел степеней свободы f1=49 и f2=14. 
=2,1.
,47≤0,6≤2,1
Т.к.
дисперсионное отношение попадает в доверительную область, с вероятностью 0,95
можно сказать, что полученные выборки можно рассматривать как взятые из
генеральных совокупностей с одинаковыми дисперсиями.
.2.4 Оценка доверительных интервалов для среднего первой выборки,
используя данные второй выборки
По
выборке объёма 50 найдено среднее значение
=19,79.
Считая, что генеральная совокупность распределена по нормальному закону с
известным D=0,81, построить доверительный интервал для
математического ожидания с надёжностью γ=0,95.
Пользуясь
таблицей, находим величину t(0.95;15) и определяем точность
:
,
тогда
интервальная оценка имеет границы (
-0,45,
+0,45), которые зависят от двух случайных величин
и D. Получаем интервал
(19,34<
<20,24)
Доверительный
интервал покрывает истинное значение математического ожидания с надежностью
0,95.
2. Двумерные случайные величины
2.1 Корреляционное поле
Корреляционное поле используется для выявления и демонстрации
зависимостей между двумя связанными наборами данных и для подтверждения
предполагаемых зависимостей между ними.
Корреляционное поле представляет графически исследуемые зависимости между
двумя связанными наборами данных. Корреляционное поле показывает пары чисел как
скопление точек. Зависимости между связанными наборами данных устанавливают по
форме этих скоплений.
Положительная зависимость между Y1 и Y2 означает, что увеличение значений Y1 связано с увеличением значений Y2. При отрицательной зависимости увеличение Y1 связано с уменьшением Y2.
Таблица 6 - Значения Y1 и Y2 при постоянных уровнях всех действующих факторов
|
№
|
Y1
|
Y2
|
№
|
Y1
|
Y2
|
№
|
Y1
|
Y2
|
№
|
Y1
|
Y2
|
|
1
|
18,81
|
-93,86
|
26
|
21,48
|
-93,93
|
51
|
19,01
|
-96,39
|
76
|
21,19
|
-101,53
|
|
2
|
20,98
|
-98,11
|
27
|
20,71
|
-97,52
|
52
|
19,76
|
-94,30
|
77
|
19,78
|
-97,16
|
|
3
|
20,11
|
-101,81
|
19,28
|
-97,67
|
53
|
17,69
|
-98,65
|
78
|
20,93
|
-101,39
|
|
4
|
18,57
|
-99,01
|
29
|
21,07
|
-100,73
|
54
|
20,37
|
-98,11
|
79
|
20,39
|
-100,68
|
|
5
|
19,26
|
-101,81
|
30
|
19,04
|
-96,02
|
55
|
19,13
|
-99,10
|
80
|
19,00
|
-96,94
|
|
6
|
21,07
|
-94,95
|
31
|
21,23
|
-96,07
|
56
|
21,28
|
-101,29
|
81
|
18,46
|
-98,70
|
|
7
|
17,84
|
-97,59
|
32
|
19,28
|
-99,07
|
57
|
20,66
|
-101,48
|
82
|
19,31
|
-100,21
|
|
8
|
19,52
|
-96,09
|
33
|
19,81
|
-95,98
|
58
|
21,47
|
-96,06
|
83
|
18,90
|
-100,85
|
|
9
|
18,05
|
-99,50
|
34
|
20,24
|
-100,07
|
59
|
20,98
|
-95,68
|
84
|
18,35
|
-99,50
|
|
10
|
18,98
|
-97,42
|
35
|
17,73
|
-98,06
|
60
|
17,62
|
-97,75
|
85
|
19,73
|
-94,95
|
|
11
|
20,56
|
-99,03
|
36
|
20,81
|
-95,31
|
61
|
19,22
|
-96,50
|
86
|
19,83
|
-95,60
|
|
12
|
20,14
|
-94,75
|
37
|
17,75
|
-95,54
|
62
|
21,55
|
-101,53
|
87
|
20,20
|
-99,50
|
|
13
|
21,44
|
-95,18
|
38
|
21,24
|
-100,12
|
63
|
17,76
|
-95,24
|
88
|
18,76
|
-95,31
|
|
14
|
18,93
|
-98,53
|
39
|
20,86
|
-101,08
|
64
|
17,65
|
-99,65
|
89
|
19,35
|
-101,26
|
|
15
|
19,72
|
-95,35
|
40
|
19,35
|
-97,55
|
65
|
20,90
|
-99,15
|
90
|
21,03
|
-98,81
|
|
16
|
21,22
|
-95,38
|
41
|
19,18
|
-98,42
|
66
|
20,54
|
-100,72
|
91
|
20,04
|
-99,38
|
|
17
|
21,16
|
-95,14
|
42
|
18,14
|
-96,94
|
67
|
18,16
|
-95,85
|
92
|
17,74
|
-94,95
|
|
18
|
20,03
|
-101,12
|
43
|
21,29
|
-98,02
|
68
|
20,63
|
-95,54
|
93
|
19,35
|
-99,11
|
|
19
|
20,98
|
-100,60
|
44
|
19,69
|
-98,53
|
69
|
19,40
|
-94,89
|
94
|
21,41
|
-100,14
|
|
20
|
20,01
|
-99,34
|
45
|
21,53
|
-93,90
|
70
|
19,75
|
-98,43
|
95
|
18,27
|
-101,37
|
|
21
|
18,42
|
-93,87
|
46
|
20,06
|
-98,68
|
71
|
17,75
|
-96,08
|
96
|
20,14
|
-96,68
|
|
22
|
17,82
|
-97,43
|
47
|
19,34
|
-93,90
|
72
|
19,51
|
-96,18
|
97
|
19,78
|
-99,95
|
|
23
|
18,94
|
-101,12
|
48
|
18,71
|
-101,51
|
73
|
20,39
|
-95,64
|
98
|
18,88
|
-101,64
|
|
24
|
18,84
|
-96,63
|
49
|
20,36
|
-97,28
|
74
|
19,59
|
-100,74
|
99
|
18,84
|
-100,25
|
|
25
|
18,58
|
-99,53
|
50
|
21,29
|
-94,95
|
75
|
20,50
|
-96,93
|
100
|
20,48
|
-95,38
|
Строим корреляционное поле по данным таблицы 6.
Рисунок - Корреляционное поле Y1, Y2
По виду корреляционного поля можно сделать вывод, что между y1 и y2
существует
корреляция, близкая к линейной функциональной.
2.2 Изучение зависимости выбранного Y от одного из факторов Х
Таблица 7- Зависимость Y1 от Х1
|
№
|
Х1=1
|
Х1=2
|
Х1=3
|
Х1=4
|
Х1=5
|
|
1
|
13,31
|
9,16
|
7,39
|
3,89
|
0,94
|
|
2
|
13,34
|
10,27
|
5,52
|
3,71
|
1,36
|
|
3
|
12,46
|
9,69
|
7,02
|
4,24
|
2,12
|
|
4
|
11,30
|
8,88
|
5,76
|
5,45
|
2,67
|
|
5
|
13,44
|
7,50
|
6,76
|
3,33
|
0,58
|
|
6
|
9,77
|
11,20
|
9,00
|
3,41
|
2,88
|
|
7
|
11,78
|
10,09
|
6,59
|
6,36
|
4,16
|
|
8
|
13,55
|
8,13
|
5,30
|
6,81
|
3,72
|
|
9
|
13,26
|
10,86
|
6,58
|
4,75
|
1,53
|
|
10
|
11,09
|
9,72
|
9,01
|
3,27
|
3,19
|
|
11
|
10,60
|
7,77
|
7,94
|
4,81
|
2,67
|
12,18
|
11,04
|
8,54
|
3,41
|
0,62
|
|
13
|
13,38
|
8,16
|
6,41
|
3,40
|
2,81
|
|
14
|
13,54
|
8,09
|
8,51
|
5,71
|
0,67
|
|
15
|
11,86
|
8,41
|
7,47
|
5,23
|
2,98
|
|
16
|
12,60
|
9,98
|
7,64
|
4,45
|
1,26
|
|
17
|
10,53
|
8,77
|
7,98
|
3,01
|
3,72
|
|
18
|
11,83
|
9,52
|
5,48
|
5,29
|
1,19
|
|
19
|
11,91
|
9,29
|
8,52
|
3,63
|
1,38
|
|
20
|
10,88
|
10,64
|
6,84
|
5,64
|
2,39
|
.2.1 Условные средние Y для
фиксированных значений Х
Вычисляем среднее арифметическое результатов наблюдений по формуле (1):
(Х=1)=
12,13
(Х=2)=
9,36
(Х=3)=
7,21
(Х=4)=
4,49
(Х=5)=
2,14
2.2.2 Условные дисперсии Y для
фиксированных значений Х
Вычисляем дисперсии результатов наблюдений по формуле (2):
D(X=1) =1,36
D(X=2) =1,27
D(X=3) =1,39
D(X=4) =1,28
D(X=5) =1,27
.2.3 Линия регрессии Y по Х
Используя возможности программы EXCEL, построим линию регрессии У1 по Х1.
Рисунок 3 - Линия регрессии Y1 по X1
3. Дисперсионный анализ и планирование эксперимента
.1 Легенда (описание) эксперимента
В качестве объекта исследования выберем материал - конструкционный
газобетон.
Газобетон относится к ячеистым бетонам (одна из разновидностей легкого
бетона). В его составе нет ни крупного, ни мелкого заполнителя, а их роль
выполняют мелкие сферические поры (ячейки).
Газобетон на 60-85% по объему состоят из замкнутых пор (ячеек) размером
0,2-2 мм. Ячеистые бетоны получают при затвердевании насыщенной газовыми
пузырьками смеси вяжущего, кремнеземистого заполнителя и воды.
Благодаря высокопористой структуре средняя плотность газобетона невелика
(1000 кг/м³), он имеет низкую теплопроводность (теплопроводность в сухом
состоянии - 0,29 Вт/(м·К)) при достаточной прочности (прочность на сжатие -
10МПа).
Вяжущими служат портландцемент марки не ниже 400 и известь (не ниже II сорта), с дисперсностью не менее 0,2
мм. Известь должна быть чистой, хорошо обожженной, со сроками гашения в
пределах 10-25 минут.
Кремнеземистый компонент - молотый кварцевый песок. Он должен содержать
не менее 75% свободного кварца, а примесей - не более 0,5%.
В качестве газообразователя применяется алюминиевая пудра марок ПАП1 и
ПАП2.
Так же в состав газобетона входят корректирующие добавки, например, такие
как гипсовый камень, жидкое стекло, суперпластификатор С-3, натр едкий
технический и т.д.
На заводе по производству газобетона необходимо подобрать оптимальный
состав смеси для изготовления качественного газобетона, чтобы обладало высокой
прочностью и достаточной морозостойкостью.
На подбор состава газобетона влияют факторы:
Х1 - вяжущее портландцемент (ПЦ);
Х2 - негашеная известь кальциевая;
Х3 -вода;
Х4 - кварцевый песок;
Х5 -алюминиевая пудра;
Х6 - добавки;
Х7 - температура растворной смеси в градусах Цельсия;
Х8 -содержание примесей;
Х9 - температура воды.
Х1,Х2,Х3,Х4,Х5,Х6 - изменяются на пяти уровнях: 1,2,3,4,5;
Х7,Х8,Х9 - исследуются на постоянном уровне 1.
План эксперимента: насыщенный греко-латинский квадрат размера 5х5,
четвёртого порядка. По этой модели проводится эксперимент из 25 опытов. Такая
модель наиболее оптимальна для данного количества факторов, то есть позволяет
учесть максимальное количество сочетаний факторов при минимальном количестве
опытов.
Исследуемые показатели качества:
Y1 -
предел прочности при сжатии от 7,5 до 100 МПа;
Y2 -
морозостойкость от 15 до 100 циклов.
3.2 Число и наименование факторов (Х) и показателей качества (Y). Их шкалы и единицы измерений
Х1 - вяжущее портландцемент (ПЦ):
1
- содержащий трехкальциевый алюминат (С
А) не
более 6%;
-
не должен содержать добавок трепела;
-
не должен содержать добавок пеплов;
-
не должен содержать добавок глиежа;
-
не должен содержать добавок глинита.
Х2
- негашеная известь кальциевая:
-
содержащая активные СаО+МgО более 70%;
-
содержащая "пережога" - менее 2%;
-
быстрогасящаяся;
-
среднегасящаяся;
-
скорость гашения 5 - 25 минут.
Х3
- вода:
-
не должна содержать органических примесей;
-
не должна содержать глинистых примесей;
-
нельзя использовать болотную воду;
-
нельзя использовать торфяную воду;
-
нельзя использовать морскую воду.
Х4
- кварцевый песок:
-
содержащий SiO
(общий) не менее 90%;
-
или кварца не менее 75%;
-
слюды - не более 0,5%;
-
илистых и глинистых примесей - не более 3%;
-
должен обладать стойкостью к химическому воздействию щелочей цемента.
Х5
-алюминевая пудра:
-
пудру изготовляют из первичного алюминия марки не ниже А5;
-
марок: ПАП-1, ПАП-2;
-
не должна содержать примесей железа;
-
содержание примесей;
-
требуемая влажность.
Х6
- добавки:
-
калий углекислый;
-
стекло жидкое натриевое;
-
триэтаноламин;
-
натр едкий технический;
-
кальцинированная техническая сода.
Х7
- температура растворной смеси в градусах Цельсия:
Х8
- содержание примесей
Х9
- температура воды, вводимый в раствор.
Показатели
качества:
Y1 - предел
прочности при сжатии в МПа;
Y2 -
морозостойкость в циклах.
.3
План эксперимента в виде латинской таблицы
Для
удобства расчёта используем обозначения:
Х1-А;
Х2-В;
Х3-С;
Х4-D;
X5-E;
X6-F.
Таблица
8 - План эксперимента
|
А
|
В
|
|
|
1
|
2
|
3
|
4
|
5
|
|
1
|
C=1 D=1 E=1 F=1
|
C=2 D=2 E=2 F=2
|
C=3 D=3 E=3 F=3
|
C=4 D=4 E=4 F=4
|
C=5 D=5 E=5 F=5
|
|
2
|
C=2 D=3 E=4 F=5
|
C=3 D=4 E=5 F=1
|
C=4 D=5 E=1 F=2
|
C=5 D=1 E=2 F=3
|
C=1 D=2 E=3 F=4
|
|
3
|
C=3 D=5 E=2 F=4
|
C=4 D=1 E=3 F=5
|
C=5 D=2 E=4 F=1
|
C=1 D=3 E=5 F=2
|
C=2 D=4 E=1 F=3
|
|
4
|
C=4 D=2 E=5 F=3
|
C=5 D=3 E=1 F=4
|
C=1 D=4 E=2 F=5
|
C=2 D=5 E=3 F=1
|
C=3 D=1 E=4 F=2
|
|
5
|
C=5 D=4 E=3 F=2
|
C=1 D=5 E=4 F=3
|
C=2 D=1 E=5 F=4
|
C=3 D=2 E=1 F=5
|
C=4 D=3 E=2 F=1
|
.4 Матрица эксперимента и график выполнения его в соответствии с
выбранным планом
|
№
|
A
|
B
|
C
|
D
|
E
|
F
|
|
1
|
1
|
1
|
1
|
1
|
1
|
1
|
|
2
|
2
|
1
|
2
|
3
|
4
|
5
|
|
3
|
3
|
1
|
3
|
5
|
5
|
4
|
|
4
|
4
|
1
|
4
|
2
|
2
|
3
|
|
5
|
5
|
1
|
5
|
4
|
3
|
2
|
|
6
|
1
|
2
|
2
|
2
|
2
|
2
|
|
7
|
2
|
2
|
3
|
4
|
5
|
1
|
|
8
|
3
|
2
|
4
|
1
|
3
|
5
|
|
9
|
4
|
2
|
5
|
3
|
1
|
4
|
|
10
|
5
|
2
|
1
|
5
|
4
|
3
|
|
11
|
1
|
3
|
3
|
3
|
3
|
3
|
|
12
|
2
|
3
|
4
|
5
|
1
|
2
|
|
13
|
3
|
3
|
5
|
2
|
4
|
1
|
|
14
|
4
|
3
|
1
|
4
|
2
|
5
|
|
15
|
5
|
3
|
2
|
1
|
5
|
4
|
|
16
|
1
|
4
|
4
|
4
|
4
|
4
|
|
17
|
2
|
4
|
5
|
1
|
2
|
3
|
|
18
|
3
|
4
|
1
|
3
|
5
|
2
|
|
19
|
4
|
4
|
2
|
5
|
3
|
1
|
|
20
|
5
|
4
|
3
|
2
|
1
|
5
|
|
21
|
1
|
5
|
5
|
5
|
5
|
5
|
|
22
|
2
|
5
|
1
|
2
|
3
|
4
|
|
23
|
5
|
2
|
4
|
1
|
3
|
|
24
|
4
|
5
|
3
|
1
|
4
|
2
|
|
25
|
5
|
5
|
4
|
3
|
2
|
1
|
При проведении эксперимента отклонений от заданного плана эксперимента не
обнаружено.
Таблица 9 - График проведения эксперимента
|
Дата
|
1
|
2
|
3
|
4
|
5
|
6
|
7
|
8
|
9
|
10
|
11
|
12
|
|
01.04
|
х
|
|
|
|
|
|
|
|
|
|
|
|
|
02.04
|
|
|
|
|
|
|
|
|
|
|
|
х
|
|
06.04
|
|
х
|
|
|
|
|
|
|
|
|
|
|
|
07.04
|
|
|
|
|
|
|
|
|
|
|
|
|
|
09.04
|
|
|
х
|
|
|
|
|
|
|
|
|
|
|
10.04
|
|
|
|
|
|
|
|
|
|
|
х
|
|
|
13.04
|
|
|
|
|
х
|
|
|
|
|
|
|
|
|
14.04
|
|
|
|
|
|
|
|
х
|
|
|
|
|
|
15.04
|
|
|
|
|
|
х
|
|
|
|
|
|
|
|
16.04
|
|
|
|
х
|
|
|
|
|
|
|
|
|
|
17.04
|
|
|
|
|
|
|
х
|
|
|
|
|
|
|
20.04
|
|
|
|
|
|
|
|
|
х
|
|
|
|
|
21.04
|
|
|
|
|
|
|
|
|
|
х
|
|
|
|
Дата
|
13
|
14
|
15
|
16
|
17
|
18
|
19
|
20
|
21
|
22
|
23
|
24
|
25
|
|
24.04
|
х
|
|
|
|
|
|
|
|
|
|
|
|
|
|
27.04
|
|
х
|
|
|
|
|
|
|
|
|
|
|
|
|
28.04
|
|
|
х
|
|
|
|
|
|
|
|
|
|
|
|
29.04
|
|
|
|
х
|
|
|
|
|
|
|
|
|
|
|
30.04
|
|
|
|
|
х
|
|
|
|
|
|
|
|
|
|
03.05
|
|
|
|
|
|
х
|
|
|
|
|
|
|
|
|
04.05
|
|
|
|
|
|
|
х
|
|
|
|
|
|
|
|
05.05
|
|
|
|
|
|
|
|
х
|
|
|
|
|
|
|
06.05
|
|
|
|
|
|
|
|
|
х
|
|
|
|
|
|
07.05
|
|
|
|
|
|
|
|
|
|
|
|
|
|
|
10.05
|
|
|
|
|
|
|
|
|
|
|
х
|
|
|
|
11.05
|
|
|
|
|
|
|
|
|
|
|
|
|
|
|
12.05
|
|
|
|
|
|
|
|
|
|
|
|
х
|
|
|
13.05
|
|
|
|
|
|
|
|
|
|
х
|
|
|
|
|
14.05
|
|
|
|
|
|
|
|
|
|
|
|
|
х
|
3.5 Модельные эксперименты с назначенными (фиксированными) значениями
факторов
Провести модельные эксперименты с назначенными (фиксированными)
значениями факторов, определив постоянные значения остальных факторов (условий
эксперимента) и заполнить матрицу эксперимента.
Таблица 10- Модельный эксперимент
|
№
|
А(Х1)
|
В(Х2)
|
С(Х3)
|
D(X4)
|
E(X5)
|
F(X6)
|
Y1
|
Y2
|
масштабированные
|
|
|
|
|
|
|
|
|
|
Y1
|
Y2
|
|
1
|
1
|
1
|
1
|
1
|
1
|
1
|
-15,75
|
-26,01
|
67,67
|
15
|
|
2
|
2
|
1
|
2
|
3
|
4
|
5
|
-16,14
|
-22,45
|
100,00
|
67
|
|
3
|
3
|
1
|
3
|
5
|
5
|
4
|
-15,87
|
-24,55
|
81,88
|
79
|
|
4
|
4
|
1
|
4
|
2
|
2
|
3
|
-16,79
|
-23,48
|
52,80
|
65
|
|
5
|
5
|
1
|
5
|
4
|
3
|
2
|
-15,83
|
-21,28
|
34,34
|
77
|
|
6
|
1
|
2
|
2
|
2
|
2
|
2
|
-15,15
|
-25,08
|
72,33
|
39
|
|
7
|
2
|
2
|
3
|
4
|
5
|
1
|
-16,36
|
-24,99
|
67,11
|
63
|
|
8
|
3
|
2
|
4
|
1
|
3
|
5
|
-16,68
|
-20,74
|
76,79
|
74
|
|
9
|
4
|
2
|
5
|
3
|
1
|
4
|
-15,58
|
-22,93
|
40,69
|
72
|
|
10
|
5
|
2
|
1
|
5
|
4
|
3
|
-14,05
|
-21,00
|
57,49
|
70
|
|
11
|
1
|
3
|
3
|
3
|
3
|
3
|
-14,45
|
-20,39
|
72,83
|
56
|
|
12
|
2
|
3
|
4
|
5
|
1
|
2
|
-13,89
|
-25,94
|
36,04
|
53
|
|
13
|
3
|
3
|
5
|
2
|
4
|
1
|
-14,58
|
-20,67
|
45,69
|
73
|
|
14
|
4
|
3
|
1
|
4
|
2
|
5
|
-15,64
|
-22,54
|
64,51
|
66
|
|
15
|
5
|
3
|
2
|
1
|
5
|
4
|
-14,79
|
-21,81
|
70,46
|
80
|
|
16
|
1
|
4
|
4
|
4
|
4
|
4
|
-15,55
|
-20,18
|
77,54
|
80
|
|
17
|
2
|
4
|
5
|
1
|
2
|
3
|
-14,83
|
-21,20
|
51,68
|
67
|
|
18
|
3
|
4
|
1
|
3
|
5
|
2
|
-17,46
|
-23,48
|
67,88
|
64
|
|
19
|
4
|
4
|
2
|
5
|
3
|
1
|
-14,30
|
-24,56
|
30,09
|
59
|
|
20
|
5
|
4
|
3
|
2
|
1
|
5
|
-13,94
|
-23,04
|
41,71
|
74
|
|
21
|
1
|
5
|
5
|
5
|
5
|
5
|
-14,87
|
-26,29
|
79,44
|
100
|
|
22
|
2
|
5
|
2
|
3
|
4
|
-17,68
|
-25,54
|
75,37
|
61
|
|
23
|
3
|
5
|
2
|
4
|
1
|
3
|
-15,62
|
-20,18
|
36,30
|
54
|
|
24
|
4
|
5
|
3
|
1
|
4
|
2
|
-13,96
|
-26,29
|
44,51
|
71
|
|
25
|
5
|
5
|
4
|
3
|
2
|
1
|
-14,14
|
-22,84
|
7,50
|
68
|
3.6 Дисперсионный анализ
Основным направлением дисперсионного анализа является оценка наличия
достоверного различия средних на основе разложения дисперсий, т.е. проверка
следующей гипотезы:
Н0:
. (41)
Дисперсионный анализ применяем в тех случаях, если:
а) члены анализируемой выборки случайной величины;
б) на фиксированном уровне факторов наблюдения распределение нормально;
в) дисперсия распределений при разных значениях факторов одинакова
(дисперсия неизвестна, работа производится с оценками).
Алгоритм дисперсионного анализа
) Сбор итогов для всех факторов на каждом уровне и оформим в таблицу 11.
Таблица 11
|
отклики
|
|
|
х1
|
|
|
|
|
1
|
2
|
3
|
4
|
5
|
|
у1
|
369,8086059
|
330,2023781
|
308,5365081
|
232,5956189
|
211,5021953
|
|
у2
|
290,72
|
343,75
|
343,75
|
332,93
|
367,68
|
|
отклики
|
|
|
х2
|
|
|
|
|
1
|
2
|
3
|
4
|
5
|
|
у1
|
336,6835551
|
314,4180175
|
289,5296463
|
268,8972555
|
243,1168319
|
|
у2
|
303,09
|
317,33
|
327,42
|
344,24
|
352,92
|
|
отклики
|
|
|
х3
|
|
|
|
|
1
|
2
|
3
|
4
|
5
|
|
у1
|
332,9241594
|
309,173214
|
308,0348822
|
250,6748108
|
251,83824
|
|
у2
|
275,35
|
298,13
|
342,95
|
340,04
|
388,51
|
|
отклики
|
|
|
х4
|
|
|
|
|
1
|
2
|
3
|
4
|
5
|
|
у1
|
311,1099082
|
287,9011087
|
288,8985929
|
279,8013671
|
284,9343294
|
|
у2
|
306,41
|
311,00
|
326,42
|
339,60
|
361,55
|
|
отклики
|
|
|
х5
|
|
|
|
|
1
|
2
|
3
|
4
|
5
|
|
у1
|
222,4085839
|
248,818515
|
289,4209248
|
325,2283107
|
366,7689718
|
|
у2
|
267,02
|
304,11
|
327,24
|
360,99
|
385,61
|
|
отклики
|
|
|
х6
|
|
|
|
|
1
|
2
|
3
|
4
|
5
|
|
у1
|
218,0563519
|
255,1030579
|
271,0881698
|
345,9384712
|
362,4592554
|
|
у2
|
277,40
|
304,48
|
311,98
|
371,39
|
379,73
|
2) сумма квадратов всех наблюдений:
(42)
3) сумма квадратов итогов по каждому из факторов:
(43)
(44)
(45)
(46)
(47)
(48)
n=5.
)
корректирующий член:
, (49)
) общая сумма квадратов:
, (50)
) сумма квадратов, обусловленные фактором:
, (51)
, (52)
, (53)
, (54)
, (55)
. (56)
) остаточная сумма квадратов:
. (57)
) дисперсия фактора:
, (58)
) дисперсия ошибки:
. (59)
Таблица дисперсионного анализа (ДА) выглядит следующим образом:
Таблица 12 - Таблица ДА
|
Источник D
|
Число степеней свободы f
|
Сумма квадратов
|
Дисперсия фактора
|
Дисперсионное отношение
|
|
A
|
n-1
|
SS A
|
S2A
|
|
|
B
|
n-1
|
SS B
|
S2B
|
|
|
C
|
n-1
|
SS C
|
S2C
|
|
|
D
|
n-1
|
SS D
|
S2D
|
|
|
E
|
n-1
|
SS E
|
S2E
|
|
|
F
|
n-1
|
SS F
|
S2F
|
|
|
ОСТ
|
|
SSОСТ
|
S2ОШ
|
|
|
ОБЩ
|
n2-1
|
SSОБЩ
|
|
|
(60)
Т.к. fост=0, то для того чтобы найти S2ош мы отбросим фактор Х3 и
вычисляем SSост по формуле для Y1:
SSост=SSобщ-SSx1-SSx2- SSx4-
SSx3- SSx5 (61)
и по формуле:
SSост=SSобщ-SSx1-SSx2- SSx3-
SSx4- SSx5 (62)
для Y2 (выбросив фактор Х5).
Результаты расчётов для двух ПК приведены в таблице 13.
Таблица 13
|
для у1
|
|
для у2
|
|
|
SS1
|
94942,72398
|
SS1
|
468594,8933
|
|
SS2
|
87964,13857
|
SS2
|
411718,6541
|
|
SS3
|
85490,69001
|
SS3
|
407916,2384
|
|
SS4
|
85514,48413
|
SS4
|
405166,6104
|
|
SS5
|
84523,03949
|
SS5
|
406031,8455
|
|
SS6
|
87086,72722
|
SS6
|
405416,9068
|
|
SS7
|
87433,01526
|
SS7
|
400213,5239
|
|
SS8
|
84407,13543
|
SS8
|
394273,7044
|
|
|
|
|
|
SSA
|
3557,003142
|
SSA
|
17444,9497
|
|
SSB
|
1083,554576
|
SSB
|
13642,53397
|
|
SSC
|
115,9040536
|
SSC
|
11758,14114
|
|
SSD
|
115,9040536
|
SSD
|
11758,14114
|
|
SSE
|
2679,591789
|
SSE
|
11143,20243
|
|
SSF
|
3025,879823
|
SSF
|
5939,819519
|
|
SS общ
|
10535,58855
|
SS общ
|
74321,18885
|
|
SS ост
|
3514,754257
|
SS ост
|
20079,35066
|
|
|
|
|
|
S²A
|
889,2507856
|
S²A
|
4361,237424
|
|
S²B
|
270,8886441
|
S²B
|
3410,633493
|
|
S²C
|
28,97601341
|
S²C
|
2939,535284
|
|
S²D
|
28,97601341
|
S²D
|
2939,535284
|
|
S²E
|
669,8979473
|
2785,800607
|
|
S²F
|
756,4699556
|
S²F
|
1484,95488
|
|
S²ош
|
292,8961881
|
S²ош
|
1673,279222
|
FКР(0,95; 4;4)=6,39
Таблица 14 - Таблица ДА для Y1
|
источник
|
f
|
сумма кв.
|
средний кв.
|
Д.О.
|
|
А
|
4
|
3557,003142
|
889,2507856
|
3,04
|
|
В
|
4
|
1083,554576
|
270,8886441
|
0,924862307
|
|
С
|
4
|
115,9040536
|
28,97601341
|
0,098929295
|
|
D
|
4
|
115,9040536
|
28,97601341
|
0,098929295
|
|
E
|
4
|
2679,591789
|
669,8979473
|
2,28715147
|
|
F
|
4
|
3025,879823
|
756,4699556
|
2,582723799
|
|
ост.
|
|
3514,75
|
292,90
|
|
|
общ.
|
24
|
10535,58855
|
|
|
На Y1 не оказывает влияние ни один фактор
Таблица 15 - Таблица ДА для Y2
|
источник
|
f
|
сумма кв.
|
средний кв.
|
Д.О.
|
|
А
|
4
|
17444,9497
|
4361,237424
|
2,61
|
|
В
|
4
|
13642,53397
|
3410,633493
|
2,038293101
|
|
С
|
4
|
11758,14114
|
2939,535284
|
1,756751202
|
|
D
|
4
|
11758,14114
|
2939,535284
|
1,756751202
|
|
E
|
4
|
11143,20243
|
2785,800607
|
1,664874918
|
|
F
|
4
|
5939,819519
|
1484,95488
|
0,887451933
|
|
ост.
|
|
20079,35
|
1673,28
|
|
|
общ.
|
24
|
74321,18885
|
|
|
На Y2 не оказывает влияние ни один фактор
.7 Анализ по критерию Дункана
Вычисляем критерий Дункана по таким показателям качества, для которых
обнаружено факторное влияние. В данном случае анализ по критерию Дункана
необходимо провести для ПК Y1 . При расчёте по этому показателю
факторное влияние отсутствует, но теоретически мы предположим, что фактор Х1
оказывает влияние.
Для
этого найдем средние по градациям, расположим их в порядке возрастания и введем
новые обозначения, посчитаем
и
выпишем значимые ранги множественного рангового критерия Дункана при р=0,05.
=7,65
Для
удобства проведения анализа сведем все полученные значения в таблицу
Таблица
16 - Анализ по Критерию Дункана для Y1 X1
|
Градации
|
5
|
4
|
3
|
2
|
1
|
|
Обозначения
|
0
|
1
|
2
|
3
|
4
|
|
Средние
|
73,96
|
66,04
|
61,71
|
46,52
|
42,30
|
|
Ранги
|
|
2.95
|
3.1
|
3.18
|
3.25
|
|
НЗР* 22,5623,7124,3224,86
|
|
|
|
|
Далее находим разность средних и производим оценивание значимо ли их
различие:
х(0)-х(4)= 31,66> 24,86 значимо;
х(0)-х(3)= 27,44>24,32 значимо;
х(0)-х(2)=6,25< 23,71 не значимо;
х(0)-х(1)=7,92< 22,56 не значимо;
х(1)-х(4)= 23,74> 24,32 значимо;
х(1)-х(3)= 19,52< 23.71 не значимо;
х(1)-х(2)=4,33< 22,56 не значимо;
х(2)-х(4)= 19,41< 23,71 не значимо;
х(2)-х(3)= 15,19< 22,56 не значимо;
х(3)-х(4)= 4,22< 22,56 не значимо.
Вывод: Наибольшее влияние оказывают 3,4 градации фактора. Оптимальным
вариантом для подбора состава можно считать 3 градацию, значительно повышающую
значения показателя качества Y1.
газобетон
случайный дисперсионный качество
4. Корреляционный анализ
Если необходимо исследовать корреляционную связь между многими
величинами, то пользуются уравнениями множественной регрессии.
(63)
Уравнение представляет собой гиперповерхность при k>2, которая называется
поверхностью отклика. При построении поверхности отклика на координатных осях
факторного пространства откладываются численные значения факторов.
Таблица 17 - Исходный статический материал в натуральном масштабе
|
№
|
х1
|
х2
|
х3
|
у
|
|
1
|
1,03
|
-4,04
|
0,98
|
-14,87
|
|
2
|
-0,35
|
-5,64
|
2,53
|
-17,68
|
|
3
|
-0,09
|
-2,94
|
1,93
|
-15,62
|
|
4
|
-0,09
|
-3,34
|
1,84
|
-13,96
|
|
5
|
-0,10
|
-3,81
|
2,53
|
-14,14
|
|
6
|
1,00
|
-3,87
|
-0,43
|
-15,82
|
|
7
|
0,54
|
-3,53
|
2,10
|
-15,37
|
|
8
|
0,19
|
-3,88
|
2,95
|
-15,72
|
|
9
|
0,58
|
-4,64
|
0,26
|
-15,76
|
|
10
|
-0,92
|
-4,67
|
1,82
|
-16,90
|
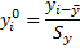
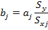
Перейдем от натурального масштаба к новому, проведя нормировку всех
значений случайных величин по формулам:
ё (64)

, (65)
где

, 
-
нормированные значения соответствующих факторов.

, (66)

. (67)
Таблица 18 - Исходный статистический материал в безразмерном масштабе
|
№
|
|
|
|
|
|
1
|
2,25
|
-0,01
|
-0,58
|
0,56
|
|
2
|
-1,39
|
-2,69
|
0,77
|
-1,64
|
|
3
|
-0,72
|
1,83
|
0,24
|
-0,03
|
|
4
|
-0,72
|
1,17
|
0,17
|
1,27
|
|
5
|
-0,75
|
0,37
|
0,76
|
1,13
|
|
6
|
2,18
|
0,28
|
-1,82
|
-0,18
|
|
7
|
0,95
|
0,84
|
0,39
|
0,17
|
|
8
|
0,04
|
0,27
|
1,14
|
-0,10
|
|
9
|
1,06
|
-1,01
|
-1,21
|
-0,14
|
|
10
|
-2,90
|
-1,06
|
0,15
|
-1,03
|
Выборочный коэффициент корреляции равен

, (68)

. (69)
Вычисленный
выборочный коэффициент корреляции равен коэффициенту корреляции между
переменными, выраженными в натуральном масштабе. Уравнение регрессии между
нормированными переменными не имеет свободного члена и принимает вид:

(70)
Коэффициенты
уравнения находятся из условия:
(71)
Условия
минимума функции S определяются так же, как для зависимости одной
переменой и система нормальных уравнений имеет вид:
(72)
Умножим левую и правую части системы уравнений на 1/(n-1). В результате при каждом
коэффициенте aj получается выборочный коэффициент
корреляции r*. Принимая во внимание, что:
(73)
Получаем систему нормальных уравнений в виде:
(74)
Составим систему нормальных уравнений с учетом вычисленных коэффициентов
a1 + 0.526a2 - 0.945a3 = 0.488,
.526a1 + a2 - 0.004a3 = 0.839,
0.945a1 + 0.004a2 + a3 = -0.025.
Решая систему получим
|
a1
|
-0,117
|
|
a2
|
0,901
|
|
a3
|
-0,139
|
Рассчитывают коэффициент множественной корреляции:
(75)
R =
0.838
Коэффициент множественной корреляции служит показателем силы связи для
множественной регрессии: 0≤R≤1.
От уравнения можно перейти к натуральному масштабу по формулам:
(76)
(64)
y =
-0.117x1 + 0.901x2 - 0.139x3
5. Регрессионный анализ
.1 Определение коэффициентов регрессии
При планировании по схеме полного факторного эксперимента (ПФЭ)
реализуются все возможные комбинации факторов на всех выбранных для
исследования уровнях, что и позволяет определить оптимальный состав АЦ смеси
для обеспечения нужной прочности. Для упрощения обработки данных перейдём от
переменных х1…хn к z1…zn , путем следующего линейного преобразования:
, (77)
где
- натуральное значение фактора на нулевом уровне;
-
интервал варьирования;
-
натуральное значение фактора.
Для переменных z1…zn верхний уровень равен +1, нижний
уровень - 1, а основной нулю. Число возможных комбинаций N из трёх факторов на двух уровнях
равно N
= 2³ = 8. План
проведения экспериментов (матрица планирования) приведен в таблице.
Таблица 19 - Расширенная матрица планирования полного факторного
эксперимента 2³
|
х0
|
х1
|
х2
|
х3
|
х1 х2
|
х1х3
|
х2 х3
|
х1 х2 х3
|
yмасш
|
|
+1
|
-1
|
-1
|
-1
|
+1
|
+1
|
+1
|
-1
|
24,99
|
|
+1
|
+1
|
-1
|
-1
|
-1
|
-1
|
+1
|
+1
|
23,06
|
|
+1
|
-1
|
+1
|
-1
|
-1
|
+1
|
+1
|
27
|
|
+1
|
+1
|
+1
|
-1
|
+1
|
-1
|
-1
|
-1
|
23,35
|
|
+1
|
-1
|
-1
|
+1
|
+1
|
-1
|
-1
|
+1
|
20,97
|
|
+1
|
+1
|
-1
|
+1
|
-1
|
+1
|
-1
|
-1
|
16
|
|
+1
|
-1
|
+1
|
+1
|
-1
|
-1
|
+1
|
-1
|
25,88
|
|
+1
|
+1
|
+1
|
+1
|
+1
|
+1
|
+1
|
+1
|
19,28
|
|
|
|
|
|
|
|
|
|
|
Используя данные, приведенные в таблице можно найти коэффициенты
регрессии следующего уравнения:
,
коэффициенты
находятся по формулам:
, (78)
, (79)
, (80)
где
- значение среднего показателя качества;
-
значение фактора;
- число
вариантов в матрице планирования.
.
Уравнение
регрессии приняло следующий вид:
.
.2
Оценивание значимости коэффициентов регрессии
Значимость
каждого коэффициента уравнения регрессии можно проверить по критерию Стьюдента,
исключив из уравнения незначимый коэффициент. При этом выборочные коэффициенты bi
оказываются так называемыми несмешанными оценками для соответствующих
теоретических коэффициентов βi , т.е. значения коэффициентов уравнения регрессии
характеризуют вклад соответствующего фактора в величину y.
Диагональные коэффициенты ковариационной матрицы равны между собой , поэтому
все коэффициенты определяются с одинаковой точностью:
, (81)
где
находится по формуле:
. (82)
Для
этого в центре плана поставлено три параллельных опыта и получены следующие
результаты y:
= 24,1;
= 23,98;
= 24,07,
= 24,05,
=
0,0039,
= 0,06,
= 0,02.
Оценим
значимость коэффициентов по критерию Стьюдента:
= 1103,

= 107,

= 65,

= 101,5,

= 21,

= 37,5,

= 37,

= 0,5.
Табличное
значение критерия Стьюдента для уровня значимости α = 0,05 и числа степеней свободы f = 2 tp(f) =
4,3. Таким образом, только коэффициент t123 незначим и
его следует исключить из уравнения. После исключения коэффициента уравнение
регрессии примет вид:
.
.3
Проверка адекватности уравнения по критерию Фишера
Адекватность
уравнения регрессии проверим по формуле:
, (83)
где
находим по формуле:
, (84)
где
l - число значимых коэффициентов в уравнении.
,
,
,
,
,
,
,
.
,
.
Табулированное
значение критерия Фишера для α = 0,05, f1 = 7, f2 =
2:
F0,05 (7,2) =
19,36
Т.к.
Fнабл>Fтабл, следовательно уравнение адекватно и обладает
эмпирическими данными.
Заключение
В
первой и второй частях курсовой работы были изучены свойства случайных величин,
получен опыт статистического анализа, что являлось основой для дальнейшего
планирования, проведения и анализа эксперимента.
Выбрав
показатели качества материала Y и, определив факторы X, которые
предположительно оказывают влияние на них, был спланирован и проведен модульный
эксперимент, после чего был проведен дисперсионный анализ с целью определения
достоверности влияния факторов на поведение выбранных показателей качества.
По
результатам ДА мы получили, что ни один из факторов не влияет на ПК. Развитие
рыночных отношений в строительном комплексе страны с каждым годом повышает
требования к качеству строительной продукции за счет конкуренции, борьбы
предприятий за свой потребительский рынок. Правильное, качественное
изготовление строительной продукции возможно на основе всестороннего учета
реальных условий их службы в сочетании с действительными физико-механическими и
строительно-физическими их свойствами. И сейчас, когда наука не стоит на месте
этого достичь можно гораздо быстрее.
Литература
1. Хикс
Ч. Основные принципы планирования эксперимента. - М.: Мир, - 1976
2. Налимов
В.В., Голикова Т.И. Логические основания планирования эксперимента. - М.: 1976.
. Налимов.
В.В., Чернова Н.А. Статистические методы планирования экстремальных
экспериментов, М., Наука, 1965.
. Шеффе
Г. Дисперсионный анализ. - М. : Наука, 1980.
. Конусова
Г.И., Иващенко Е.Н. Основы планирования инженерного эксперимента в
строительстве. Учебное пособие. Новосибирск, изд. НИСИ, 1991.
. Ахназарова
С.Л., Кафаров В.В. Методы оптимизации эксперимента в химической технологии:
Учеб.пособие для хим.-технол. спец.вузов. - М., Высш.шк., 1985
. Строительные
материалы: Учебник/под общей ред. В.Г. Микульского - М.: Изд-во АСВ, 2000. 536
с.