Теория статистики
1. Статистическое наблюдение, его формы, виды и способы
Статистическое наблюдение - это массовое, планомерное, научно
организованное наблюдение за социально-экономическими явлениями и процессами,
заключающееся в регистрации необходимых признаков у каждой единицы изучаемой
совокупности. Массовый характер проявляется в том, что при проведении
наблюдения необходимо получить данные от максимально возможного числа изучаемых
единиц совокупности. Планомерность проведения статистического наблюдения: любое
исследование проводится по заранее разработанному плану, который включает в
себя ряд вопросов, касающихся подготовительных работ, непосредственного сбора
необходимой информации и обработки полученных данных. Принцип научной
организации лежит в основе любого этапа статистического исследования и
заключается в комплексном применении статистической методологии сбора и
обработки данных.
Основная цель статистического наблюдения - это сбор статистической
информации о социально-экономических явлениях и процессах для получения
обобщающих характеристик.
На современном этапе в статистике существует 3 основные формы
статистического наблюдения: - отчетность; - специально организованное
статистическое наблюдение; - регистры.
Отчетность - это способ получения статистической информации от
юридических лиц. Отчетность представляет собой специально разработанные формы,
включающие в себя те признаки, которые подлежат регистрации
В период формирования рыночной экономики особое место в системе сбора
статистической информации стали занимать специально организованные
статистические наблюдения, которые проводятся для получения каких-либо данных,
не содержащихся в предоставляемой отчетности или которые необходимы для
проверки или уточнения данных, содержащихся в отчетах.
Особо следует выделить такой вид специально организованного наблюдения,
как перепись.
Перепись - это специально проводимые широкомасштабные работы по сбору необходимой
статистической информации об изучаемых объектах в границах отрасли, региона или
страны в целом.
Регистровое наблюдение представляет собой постоянный мониторинг состояния
и развития наблюдаемых единиц, заключающийся в первичном размещении и
своевременной актуализации информации в ведущейся базе данных.
Виды статистического наблюдения
по охвату единиц совокупности: сплошное, несплошное (выборочное, метод
основного массива, монографическое)
по срокам регистрации по источникам сведений: непрерывное, прерывное
(периодическое, единовременное)
По источникам сведений: непосредственное наблюдение, документальное
наблюдение, опрос
По охвату единиц совокупности: сплошное и несплошное.
При сплошном наблюдении обследованию подвергаются все единицы изучаемой
совокупности. Виды несплошного статистического наблюдения: выборочное,
метод основного массива, монографическое обследование. Выборочным
называют наблюдение, основанное на принципе случайного отбора тех единиц
изучаемой совокупности, которые должны быть подвергнуты наблюдению. Выборочное
наблюдение, при правильной его организации и проведении, дает достаточно
достоверные данные для характеристики изучаемой совокупности в целом. При этом
обеспечивается значительная экономия средств, затрачиваемых на сбор и обработку
данных.
Монографическое обследование представляет собой детальное,
глубокое изучение и описание отдельных, характерных в каком-либо отношении
единиц совокупности, как правило, по расширенной программе. Монографическое
исследование проводится с целью выявления имеющихся или намечающихся тенденций
в развитии явления, для выявления имеющихся резервов, оценки результатов
экономических экспериментов.
Метод основного массива заключается в том, что обследованию подвергаются
наиболее крупные единицы, которые вместе взятые имеют преобладающий удельный
вес в совокупности по основному для данного исследования признаку.
По срокам регистрации наблюдение может быть непрерывным (текущим) и
прерывным: периодическое и единовременное
По источнику сведений различают непосредственное наблюдение,
документальное наблюдение и опрос. В статистике применяются следующие
способы сбора сведений: - отчетный, - экспедиционный, - самоисчисление, -
анкетный, - корреспондентский.
. Программно-методологические вопросы статистического наблюдения
Цель наблюдения - получение достоверной информации для выявления
закономерностей развития явлений и процессов. Задача наблюдения предопределяет
его программу и формы организации. Под объектом наблюдения понимается некоторая
статистическая совокупность, в которой протекают исследуемые
социально-экономические явления и процессы. Объектом наблюдения может быть совокупность
физических лиц (население отдельного региона, страны; лица, занятые на
предприятиях отрасли), физические единицы (станки, машины, жилые дома),
юридические лица (предприятия, фермерские хозяйства, коммерческие банки,
учебные заведения). В статистике единицей наблюдения (в зарубежной литературе
используется термин «элементарная единица») называют составной элемент объекта,
являющийся носителем признаков, подлежащих регистрации. Например, при
демографических обследованиях единицей наблюдения может быть человек, но может
быть и семья; при бюджетных обследованиях - семья или домашнее хозяйство.
Единицу наблюдения следует отличать от отчетной единицы. Отчетной единицей
выступает субъект, от которого поступают данные о единице наблюдения. ля
определения состава регистрируемых признаков разрабатывают программу
наблюдения. Программа наблюдения - это перечень признаков, (или вопросов),
подлежащих регистрации в процессу наблюдения. От того, насколько хорошо
разработана программа статистического наблюдения, во многом зависит качество
собранной информации. К программе статистического наблюдения предъявляются
следующие требования.• Программа должна содержать существенные признаки,
непосредственно характеризующие изучаемое явление, его тип, основные черты,
свойства. Не следует включать в программу признаки, имеющие второстепенное
значение по отношению к цели обследования или значения которых заведомо будут
недостоверны или отсутствовать, например, в представлении такой информации,
которая является предметом коммерческой тайны.• Вопросы программы должны быть
точными и недвусмысленными (иначе полученный ответ может содержать неверную
информацию), а также легкими для понимания во избежание лишних трудностей при
получении ответов.• При разработке программы следует не только определить
состав вопросов, но и их последовательность. Логичный порядок исследования
вопросов (признаков) поможет получить достоверные сведения о явлениях и
процессах.• В программу целесообразно включать вопросы контрольного характера
для проверки и уточнения собираемых данных. Вопросы в программе задаются в
различной форме. Они могут быть закрытые и открытые. Статистический формуляр -
это документ единого образца, содержащий программу и результаты наблюдения. Mecтo и время наблюдения. Выбор места проведения обследования
зависит главным образом от цели наблюдения. Выбор времени наблюдения
заключается в решении двух вопросов: установление критического момента (даты)
или интервала времени;• определение срока (периода) наблюдения. Под критическим
моментом (датой) понимаются конкретный день года, час дня, по состоянию на
который должна быть проведена регистрация признаков по каждой единице
исследуемой совокупности. Срок (период) наблюдения - это время, в течение
которого происходит заполнение статистических формуляров, т. е. время,
необходимое для проведения массового сбора данных.
Важнейшее место в организационной работе занимает подготовка кадров, в
процессе которой проводятся различного рода инструктажи с сотрудниками
статистических органов, с организациями, представляющими данные,, по вопросам
заполнения статистических документов, подготовки материалов наблюдения к
автоматизированной обработке и т. д. В период подготовки большая роль отводится
массово-разъяснительной работе: проведению лекций, бесед, организации
выступлений в печати, по, радио и телевидению о значении, целях и задачах
предстоящего обследования. Для согласования деятельности всех служб, занятых
подготовкой и проведением наблюдения, целесообразно составить календарный план,
представляющий собой перечень (наименование) работ и сроки их исполнения
отдельно для каждой организации, занятой в проведении обследования.
. Статистические таблицы, их виды и правила построения
Результаты сводки и группировки материалов статистического наблюдения,
как правило, излагаются в виде таблиц. Таблица является наиболее рациональной,
наглядной й компактной формой представления статистического материала.
Статистическую таблицу от других табличных форм отличает следующее:
• она должна содержать результаты подсчета эмпирических данных;
• она является итогом сводки первоначальной информации.
Таким образом, статистической называется таблица, которая содержит
сводную числовую характеристику исследуемой совокупности по одному или
нескольким существенным признакам, взаимосвязанным логикой экономического
анализа.
По логическому содержанию таблица представляет собой «статистическое
предложение», основными элементами которого являются подлежащее и сказуемое.
Подлежащим статистической таблицы называется объект характеризующийся цифрами.
Это могут быть отдельные единицы совокупности (фирмы, объединения) в порядке их
перечне или сгруппированные по каким-либо признакам. Обычно подлежащее таблицы
дается в левой части, в наименовании строк. Сказуемое статистической таблицы
образует система показателей, которыми характеризуется объект изучений, т. е:
подлежащее таблицы. Сказуемое формирует верхние заголовки и составляет
содержание граф с логически последовательным расположением показателей слева
направо.
Виды таблиц по характеру подлежащего. В зависимости от структуры
подлежащего и группировки в нем единиц объекта различают статистические таблицы
простые и сложные, а последние, в свою очередь, подразделяются на групповые и
комбинационные. В простой таблице в подлежащем дается простой перечень
каких-либо объектов или территориальных единиц, т. е. в подлежащем нет
группировки единиц совокупности. Простые таблицы бывают монографические и
перечневые. Монографические таблицы характеризуют не всю совокупность единиц
изучаемого объекта, а только одну какую-либо группу из него, выделенную по
определенному, заранее сформулированному признаку. простыми перечневыми
таблицами называются таблицы, подлежащее которых содержит перечень единиц
изучаемого объекта.
Простые таблицы не дают возможность выявить социально-экономические типы
изучаемых явлений, их структуру, а также взаимосвязи и взаимозависимости между
характеризующими их признаками. Эти задачи более полно решаются с помощью
сложных: групповых и особенно комбинационных таблиц. Групповыми называются
статистические таблицы, подлежащее которых содержит группировку единиц
совокупности по одному количественному или атрибутивному признаку. Простейшим
видом групповых таблиц являются атрибутивные и вариационные ряды распределения.
Такие таблицы часто используются в целях сопоставления обобщающих показателей
по группам, что позволяет делать определенные практические выводы.
Комбинационными называются статистические таблицы, подлежащее которых содержит
группировку единиц совокупности одновременно по двум и более признакам: каждая
из групп, построенная по одному признаку, разбивается, в свою очередь, на
подгруппы по какому-либо другому признаку и т. д.
Виды таблиц по разработке сказуемого. В сказуемом статистической таблицы,
как уже говорилось приводятся показатели, которые являются характеристикой
изучаемого объекта. Эту характеристику можно давать небольшим числом
показателей или целой системой показателей. По структурному строению сказуемого
различают статистические таблицы с простой и сложной его разработкой. При
простой разработке сказуемого показатель, определяющий его, не подразделяется
на подгруппы, и итоговые значения получаются путем простого суммирования
значений по каждому признаку отдельно независимо друг от друга. Сложная
разработка сказуемого предполагает деление признака, формирующего его, на
подгруппы. При сложной разработке сказуемого получается более полная и
подробная характеристика объекта. Однако сложная разработка сказуемого может
привести к безмерному увеличению размерности статистических таблиц, что, в свою
очередь, снижает их наглядность, чтение и анализ.
. Классификация статистических группировок. Построение группировки по
количественному признаку
Группировкой называется разбиение общей совокупности единиц объекта
наблюдения по одному или нескольким существенным признакам на однородные
группы, различающиеся между собой в количественном и качественном отношении и
позволяющие выделить социально-экономические типы, изучить структуру
совокупности и проанализировать связи между отдельными признаками. Группировки
являются важнейшим статистическим методом обобщения статистических данных,
основой для правильного исчисления статистических показателей.
С помощью метода группировок решаются следующие задачи: • выделение
социально-экономических типов явлений; • изучение структуры явления и
структурных сдвигов, происходящих в нем; • выявление взаимосвязи и
взаимозависимости между явлениями.
В соответствии с познавательными задачами, решаемыми в ходе построения
статистических группировок, различают следующие их виды: типологические,
структурные, аналитические.
Типологическая группировка - это разбиение разнородной совокупности единиц
наблюдения на отдельные качественно однородные группы и выявление на этой
основе социально-экономических типов явлений. При построении группировки этого
вида основное внимание должно быть уделено идентификации типов и выбору
группировочного признака. Структурной называется группировка, которая
предназначена для изучения состава однородной совокупности по какому-либо варьирующему
признаку, а также структуры и структурных сдвигов, происходящих в нем.
Группировка, выявляющая взаимосвязи между изучаемыми явлениями и признаками, их
характеризующими, называется аналитической группировкой. Единицы
статистической совокупности группируются по факторному признаку; каждая
выделенная группа характеризуется средними величинами результативного признака.
По способу построения группировки бывают простые и комбинационные.
Простой называется группировка, в которой группы образованы только по одному
признаку.
Комбинационной называется группировка, в которой разбиение совокупности на
группы производится по двум и более признакам, взятым в сочетании (комбинации).
Принципы построения статистических группировок
Определение группировочного признака.
Определение числа групп.
Расчет ширины интервала группировки.
Определение признаков, которые в комбинации друг с другом будут
характеризовать каждую выделенную группу.
Построение группировки начинается с определения группировочного признака.
Группировочным признаком называется признак, по которому проводится разбиение
единиц совокупности на отдельные группы. В основание группировки могут быть
положены как количественные, так и качественные признаки. После того, как
определено основание группировки, следует решить вопрос о количестве групп,
на которые необходимо разбить исследуемую совокупность единиц наблюдения. Число
групп зависит от задач исследования и вида показателя, положенного в основание
группировки, объема изучаемой совокупности и степени вариации признака. При
определении числа групп необходимо принять во внимание размах вариации признака
(R): R=Xmax-Xmin Определение числа групп можно осуществить несколькими
способами. Формально-математический способ предполагает использование формулы
Стерджесса:
n = 1 + 3,322 × lg N, n - число групп; N - число единиц совокупности.
(n>50).
Когда определено число групп, то следует определить интервалы
группировки. Интервал - это значения варьирующего признака, лежащие в
определенных границах. Каждый интервал имеет верхнюю и нижнюю границы или одну
из них. В зависимости от величины интервалы группировки бывают:
равные и неравные. В свою очередь, неравные интервалы подразделяются на
прогрессивно возрастающие, прогрессивно убывающие, произвольные и
специализированные.
Интервалы группировок могут быть закрытыми и открытыми.
Закрытыми называются интервалы, у которых имеются обе границы: верхняя и
нижняя границы. Открытые - это интервалы, у которых указана только одна
граница: как правило, верхняя - у первого интервала и нижняя - у последнего.
. Графическое представление данных
Таким образом, статистический график - это чертеж, на котором
статистические совокупности, характеризуемые определенными показателями,
описываются с помощью условных геометрических образов или знаков. Представление
данных таблицы в виде графика производит более сильное впечатление, чем цифры,
позволяет лучше осмыслить результаты статистического наблюдения, правильно их
истолковать, значительно облегчает понимание статистического материала, делает его
наглядным и доступным. Это, однако, вовсе не означает, что графики имеют лишь
иллюстративное значение. Они дают новое знание о предмете исследования, являясь
методом обобщения исходной информации. При построении графического изображения
следует соблюдать ряд требований. Прежде всего график должен быть достаточно
наглядным, так как весь смысл графического изображения как метода анализа в том
и состоит, чтобы наглядно изобразить статистические показатели. Кроме того,
график должен быть выразительным, доходчивым и понятным. Существует множество
видов графических изображений. Их классификация основана на ряде признаков: а)
способ построения графического образа; б) геометрические знаки, изображающие
статистические показатели; в) задачи, решаемые с помощью графического
изображения. По способу построения статистические графики делятся на диаграммы
и статистические карты. Диаграммы - наиболее распространенный способ
графических изображений. Это графики количественных отношений. Статистические
карты - графики количественного распределения по поверхности. По своей основной
цели они близко примыкают к диаграммам и специфичны лишь в том отношении, что
представляют собой условные изображения статистических данных на контурной
географической карте.
При построении точечных диаграмм в качестве графических образов
применяются совокупности точек; при построении линейных - линии. Основной
принцип построения всех плоскостных диаграмм сводится к тому, что
статистические величины изображаются в виде геометрических фигур и, в свою
очередь, подразделяются на столбиковые, полосовые, круговые, квадратные и
фигурные. В зависимости от круга решаемых задач выделяют диаграммы сравнения,
структурные диаграммы и диаграммы динамики. Особым видом графиков являются
диаграммы распределения величин, представленных вариационным рядом, -
гистограмма, полигон, огива, кумулята. Наиболее распространенными диаграммами
сравнения являются столбиковые диаграммы, принцип, построения которых состоит в
изображении статистических показателей в виде поставленных по вертикали
прямоугольников-столбиков. Структурные диаграммы.
Основное назначение структурных диаграмм заключается в графическом
представлении состава Статистических совокупностей, характеризующихся как
соотношение различных частей каждой из совокупностей. Графическое изображение
состава совокупности по абсолютным и относительным показателям способствует
проведению более глубокого анализа и позволяет проводить международные
сопоставления и сравнения социально-экономических явлений. Диаграммы динамики. Для изображения и внесения суждений о
развитии явления во времени строятся диаграммы динамики. Для наглядного
изображения явлений в рядах динамики используются диаграммы: столбиковые,
ленточные, квадратные, круговые, линейные, радиальные и др. Статистические
карты. Статистические карты представляют собой вид графических изображений
статистических данных на схематической географической карте, характеризующих
уровень или степень распространения того или иного явления на определенной
территории. Средствами изображения территориального размещения являются
штриховка, фоновая раскраска или геометрические фигуры. Различают картограммы и
картодиаграммы. Картограмма - это схематическая географическая карта, па
которой штриховкой различной густоты, точками или окраской определенной степени
насыщенности показывается сравнительная интенсивность какого-либо показателя в
пределах каждой единицы нанесенного на карту территориального деления
(например, плотность населения по областям или республикам, распределение
районов по урожайности зерновых культур и т. п.). Картограммы делятся на
фоновые и точечные. Картограмма фоновая - вид картограммы, на которой
штриховкой различной густоты или окраской определенной степени насыщенности
показывают интенсивность какого-либо показателя в пределах территориальной
единицы. Картограмма точечная - вид картограммы, где уровень выбранного явления
изображается с помощью точек. Точка изображает одну единицу совокупности или
некоторое их количество, показывая на географической карте плотность или
частоту проявления определенного признака. Вторую большую группу статистических
карт составляют картодиаграммы, представляющие собой сочетание диаграмм с
географической картой. Изолинии (от греч. isos - равный, одинаковый, подобный) - это линии равного значения
какой-либо величины в ее распространении на поверхности, в частности на
географической карте или графике.
6. Абсолютные и относительные статистические показатели
Исходной, первичной формой выражения статистических показателей являются
абсолютные величины. Статистические показатели в форме абсолютных величин
характеризуют абсолютные размеры изучаемых статистикой процессов и явлений,
отражают их временные характеристики, а также могут представлять объем
совокупности, т.е. число составляющих ее единиц.
Индивидуальные абсолютные показатели получают непосредственно в процессе
статистического наблюдения как результат оценки интересующего количественного
признака. Сводные объемные показатели, характеризующие объем признака или объем
совокупности как в целом по изучаемому объекту, так и по какой-либо его части,
получают в результате сводки и группировки индивидуальных значений.
Абсолютные статистические показатели всегда выражаются в натуральных,
стоимостных или трудовых единицах измерения (тонны, килограммы, квадратные,
кубические и простые метры, мили, километры, галлоны, литры, штуки и т.д.)
В условиях рыночной экономики наибольшее значение и применение имеют
стоимостные единицы измерения, позволяющие получить денежную оценку
социально-экономических явлений и процессов (ВВП) При анализе и сопоставлении
стоимостных показателей необходимо иметь в виду, что в условиях высоких или
относительно высоких темпов инфляции они становятся несопоставимыми.
К трудовым единицам измерения относятся человеко-дни и человеко-часы.
Относительный показатель представляет собой результат деления одного
абсолютного показателя на другой и выражает соотношение между количественными
характеристиками социально-экономических процессов и явлений. Относительный
показатель, полученный в результате соотнесения разноименных абсолютных
показателей, в большинстве случаев должен быть именованным. (например,
производство какой-либо продукции в соответствующих единицах измерения в
расчете на душу населения). Все используемые на практике относительные
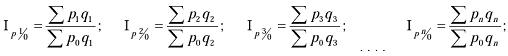
статистические показатели можно подразделить на следующие виды: 1) динамики; 2)
плана; 3) реализации плана; 4) структуры; 5) координации; 6) интенсивности и
уровня экономического развития; 7) сравнения.
Относительный показатель динамики (ОПД) = Текущий показатель /
Предшествующий или базисный показатель показывает, во сколько раз текущий
уровень превышает предшествующий (базисный) или какую долю от последнего
составляет. Различают относительные показатели динамики с постоянной и
переменной базой сравнения. Относительные показатели плана (ОПП) и
реализации плана (ОПРП). ОПП = Показатель, планир. на (i + 1) период / Показатель, достигн. в
i-м периоде. ОПРП = Показатель,
достигн.в (i + 1) периоде / Показатель, планир.
на (i + 1) период. Первый из этих показателей
характеризует напряженность плана, т.е. во сколько раз намечаемый объем
производства превысит достигнутый уровень или сколько процентов от этого уровня
составит. Второй показатель отражает фактический объем производства в процентах
или коэффициентах по сравнению с плановым уровнем.Между относительными
показателями плана, реализации плана и динамики существует следующая
взаимосвязь: ОПП ⋅ ОПРП = ОПД. Относительный показатель структуры (ОПС)=
Показатель, характеризующий часть совокупности / Показатель по всей
совокупности в целом.
Относительный показатель координации ОПК = Показ., характериз. i-ю часть совокупн. / Показ.,
характериз. часть совокупн., выбранную в качестве базы сравнения. Относительный
показатель интенсивности характеризует степень распространения изучаемого
процесса: ОПИ = Показатель, характеризующий явление А / Показатель,
характеризующий среду распространения явления А. Разновидностью относительных
показателей интенсивности являются относительные показатели уровня
экономического развития, характеризующие производство продукции в расчете
на душу населения и играющие важную роль в оценке развития экономики
государства. Относительный показатель сравнения представляет собой
соотношение одноименных абсолютных показателей, характеризующих разные объекты
(предприятия, фирмы, районы, области, страны и т.п.):ОПСр = Показатель,
характеризующий объект А / Показатель, характеризующий объект В. Для выражения
данного показателя могут использоваться как коэффициенты, так и проценты.
. Средние статистические показатели. Структурны средние
Наиболее распространенной формой статистических показателей, используемой
в экономических исследованиях, является средняя величина, представляющая собой
обобщенную количественную характеристику признака в статистической совокупности
в конкретных условиях места и времени. Показатель в форме отражает уровень
признака, отнесенный к единице совокупности. Сущность средней в том и
заключается, что в ней взаимопогашаются отклонения значений признака отдельных
единиц совокупности, обусловленные действием случайных факторов, и учитываются
изменения, вызванные действием факторов основных. Это позволяет средней
отражать типичный уровень признака и абстрагироваться от индивидуальных
особенностей, присущих отдельным единицам. Средние д.б. рассчитаны по
качественно однородным группам.
На практике определить среднюю во многих случаях можно через исходное
соотношение средней (ИСС) или ее логическую формулу: ИСС = Суммарное
значение или объем осредняемого признака / Число единиц или объем совокупности
Перечисленные средние объединяются в общей формуле средней степенной
(при различной величине k):
,
- средняя величина исследуемого признака;
- i-й вариант осредняемого признака,
- вес i-го варианта
Свойства
средней арифметической:
1.
Произведение средней на сумму частот равно сумме произведений отдельных
вариантов на соответствующие им частоты:
. 2.
Сумма отклонений индивидуальных значений признака от средней арифметической
равна нулю:
. 3. Сумма квадратов отклонений индивидуальных
значений признака от средней арифметической меньше, чем сумма квадратов их
отклонений от любой другой произвольной величины С. 4. Если все осредняемые
варианты уменьшить или увеличить на постоянное число А, то средняя
арифметическая соответственно уменьшится или увеличится на ту же величину. 5.
Если все варианты значений признака уменьшить или увеличить в А раз, то средняя
также соответственно увеличится или уменьшится в А раз. 6. Если все веса
уменьшить или увеличить в А раз, то средняя арифметическая от этого не
изменится.
Средняя
гармоническая взвешенная - известен числитель исходного соотношения средней, но
неизвестен его знаменатель:
Средняя
гармоническая невзвешенная может использоваться вместо взвешенной в тех
случаях, когда значения wi для
единиц совокупности равны (например,рабочий день у сотрудников одинаковый).
Средняя
геометрическая:
или
Наиболее
широкое применение этот вид средней получил в анализе динамики для определения
среднего темпа роста.
Средняя
квадратическая. В основе вычислений ряда сводных расчетных показателей лежит
средняя квадратическая:
-
невзвешенная
- взвешенная
Наиболее
широко этот вид средней используется при расчете показателей вариации.
Структурные
средние. Мода представляет собой значение изучаемого признака, повторяющееся с
наибольшей частотой. Медианой называется значение признака, приходящееся на
середину ранжированной (упорядоченной) совокупности.
и
.
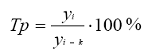
Аналитические показатели временного ряда
На практике для количественной оценки динамики явлений широко применяется
ряд основных аналитических показателей. К таким показателям относятся:
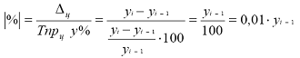
абсолютный прирост, темп роста и прироста, абсолютное значение одного процента
прироста. При этом принято сравниваемый уровень называть отчетным, а уровень, с
которым происходит сравнение - базисным.
Абсолютный прирост (Δ) характеризует размер увеличения (или уменьшения)
уровня ряда за определенный промежуток времени. Он равен разности двух
сравниваемых уровней и выражает абсолютную скорость роста. В общем случае
абсолютный прирост может быть представлен в виде:
где
yi - текущий уровень ряда динамики; i = 2,3,…,n; k = 1,2,…,n-1.
При k = 1 от текущего уровня yi вычитается предыдущий уровень yi-1, и
получается формула для расчета цепного абсолютного прироста:
базисный абсолютный прирост определяется относительно начального уровня ряда:
Базисный абсолютный прирост определяется не всегда относительно первого
уровня, он также может быть определен относительно уровня ряда динамики,
принятого за базу сравнения.
Показатель интенсивности изменения уровня ряда - в зависимости от того,
выражается ли он в виде коэффициента или в процентах, принято называть
коэффициентом роста или темпом роста. Разница между ними заключается только в
единице измерения. Коэффициент роста показывает, во сколько раз данный уровень
ряда больше базисного уровня (если этот коэффициент больше единицы) или какую
часть базисного уровня составляет уровень текущего периода за некоторый
промежуток времени (если он меньше единицы). Темпы роста характеризуют
отношение двух сравниваемых уровней ряда в виде:
где yi - текущий уровень ряда динамики; i = 2,3,…,n; k = 1,2,…,n-1.
Цепной:
Базисный:
где y1 - уровень ряда динамики, принятый за базу сравнения.
Темп прироста характеризует абсолютный прирост в относительных величинах.
Определенный в процентах темп прироста показывает, на сколько процентов
изменился сравниваемый уровень по отношению к уровню, принятому за базу
сравнения:
Если темп роста всегда положительное число, то темп прироста может быть
положительным, отрицательным и равным нулю. Зависимость цепного темпа
прироста от цепного темпа роста:
где Трц - цепной темп роста.
Базисный темп прироста равен отношению базисного абсолютного прироста к уровню
ряда, принятому за базу сравнения:
Зависимость базисного темпа прироста
от базисного темпа роста:
На практике часто проводят сопоставление показателей абсолютного прироста
и темпа прироста за одни и те же периоды времени. Для этого рассчитывают
абсолютное значение одного процента прироста. Оно представляет собой одну сотую
часть базисного уровня и в то же время - отношение абсолютного прироста к
соответствующему темпу прироста:
Таким образом, базисные показатели динамики характеризуют окончательный
результат всех изменений в уровнях ряда от периода, к которому относится
базисный уровень, до данного (i-го) периода. Цепные показатели динамики
характеризуют интенсивность изменения уровня от периода к периоду в пределах
изучаемого промежутка времени.
13. Методы выявления тенденции по видам во вр. рядах
Тенденция - осн направление, закономерность в развитии явлений или процессов.
Анализ и моделирование тенденции временного ряда целесообразно начинать с
выявления наличия тенденции в целом по ряду динамики. Для этой цели наиболее
эффективны и дают хорошие результаты такие методы как: 1) Кумулятивный
Т-критерий позволяет определить наличие не только самой тенденции, но и ее
математического выражения - тренда.
,
где: Zn - накопленный итог отклонений эмпирических значений уровней
исходного ряда динамики от среднего его уровня;
- накопленные суммы отклонений от
тренда; σ2у - общая сумма квадратов отклонений, определяемая по
формуле:
,
yt
- исходные значения признака;
- средний
уровень исходного ряда динамики; n - длина временного ряда (число уровней).
Если анализир. достаточно длинный врем. ряд, можно использовать нормиров.
отклонение:
Расчетные
значения кумулятивного Т-критерия и tp сравниваются с критическими при заданном
уровне значимости α. Если Tp > Ткр, то гипотеза об отсутствии
тенденции отвергается, следовательно, в исходном временном ряду существует
тенденция, описываемая трендом.
Тенденция
исходного ряда динамики может быть
трех видов: тенденция среднего уровня, дисперсии и автокорреляции. Тенденция
среднего уровня может быть выражена с помощью графического метода. Аналитически
тенденция выражается с помощью некоторой математической функции f(t), вокруг
которой варьируют эмпирические значения исходного временного ряда изучаемого
социально-экономического явления. При этом теоретические значения, то есть
значения, полученные по трендовым моделям в отдельные моменты времени, являются
математическими ожиданиями временного ряда. Тенденция дисперсии представляет
собой тенденцию изменения отклонений эмпирических значений уровней временного
ряда от теоретических, полученных по уравнению тренда. Тенденция автокорреляции
выражает тенденцию изменения корреляционной связи между отдельными,
последовательными уровнями временного ряда.
)
Метод сравнения средних уровней временного ряда предполагает, что исходный
временной ряд разбивается на две приблизительно равные части по числу членов
ряда, каждая из которых рассматривается как самостоятельная, независимая
выборочная совокупность, имеющая нормальное распределение.

,
II.
Если временной ряд имеет тенденцию, то дисперсии, вычисленные для каждой
совокупности в отдельности, должны существенно и значимо различаться между
собой.
и
Если
, то
Если
, то
)
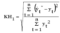
Метод Фостера-Стюарта основан на двух характеристиках S и d.
, где
Если
значение уровня ряда превышает по своей величине каждый из предыдущих уровней,
то величине Ut присваивается значение 1, в остальных случаях она равна 0:
Наоборот,
если значение уровня ряда меньше всех предыдущих, то lt
присваивается значение 1.
применяется
для обнаружения тенденции изменения в дисперсиях, d - для обнаружения тенденции
в средней. Гипотезы проверяются на основе t-критерий Стьюдента:
.
,
где:
μ
- математическое ожидание величины S,
определенное для случайного расположения уровней во времени; σ1 - средняя квадратическая ошибка величины S; σ2 - средняя квадратическая ошибка величины d. Значения
μ, σ1, σ2 табулированы.
Если
td > tкр (α; ν = n -
1), то гипотеза об отсутствии тенденции в средней отвергается, следовательно в
исходном временном ряду существует тренд.
Если
ts > tкр (α; ν = n -
1), то гипотеза об отсутствии тенденции в дисперсиях отвергается, следовательно
существует тенденция дисперсии и существует тренд.
)
Фазочастотный критерий знаков разностей Валлиса и Мура.
По
данному критерию предполагается расчет разностей уровней временного ряда (yt+1
- yt). Н0: знаки этих разностей образуют случайную
последовательность. Последовательность одинаковых знаков разностей называется
фазой и рассчитывается число фаз h (без первой и последней фазы). Если знаки
образуют случайную последовательность, то фактическое значение критерия
запишется формулой:
при
n>30:
При
больших выборах (n>30) поправка на непрерывность может быть опущена и
формула расчета будет следующая.
,
где: n - число уровней временного ряда, распределенных нормально; tф
- фазочастотный критерий разностей; h - число фаз Если tф > 3,
следовательно, данная последовательность случайна.
)
Критерий Кокса-Стюарта: исходный временной ряд делится на 3 группы уровней.
Численность первой и третьей групп должны быть равны между собой и составлять
n/3 уровней каждая (при n, не делящемся на три, средняя треть уменьшается на
одно и два значения).
При
этом осуществляется фиксация знаков отклонения каждого уровня третьей группы от
соответствующего уровня первой группы. Из полученной суммы (S) положительных
или отрицательных знаков (при возрастающем или убывающем тренде,
соответственно) вычисляется ожидаемое значение n/6. Считается, что вычисленная
разность распределена нормально со стандартным отклонением:
, то есть:
или
при малых объемах (n<30) в эту формулу вносится поправка Иейтса:
ф
сравнивают его с табличным Zα. При Zф
>Zα
гипотеза о наличие (возрастающего или
убывающего) тренда принимается. Таким образом, рассмотренные выше критерии
основаны на определении знаков разностей последовательных уровней временных
рядов или разностей определенных групп уровней ряда, то есть с их помощью
предполагается определение наличия возрастающей или убывающей тенденции.
Данные
критерии дают удовлетворительные результаты, как правило, только для временных
рядов, не характеризующихся резкими колебаниями. При наличии ярко выражающихся
колебаний в развитии социально-экономических явлений эти критерии могут давать
противоречивые результаты.
10. Определение сезонной компоненты в уровнях временных рядов
При рассмотрении квартальных и месячных данных часто обнаруживаются
периодические колебания, вызываемые сменой времен года. Их называют сезонными.
Сезонность можно понимать как внутригодовую динамику вообще. При рассмотрении
квартальных или месячных данных многих социально-экономических явлений часто
обнаруживаются определенные, постоянно повторяющиеся колебания, которые
существенно не изменяются за длительный период времени. Они являются
результатом влияния природно-климатических условий, общих экономических
факторов, а также ряда многочисленных разнообразных факторов, которые частично
являются регулируемыми. В статистике периодические колебания, которые имеют
определенный и постоянный период, равный годовому промежутку, носят название
«сезонные колебания», или «сезонные волны», а динамический ряд в этом случае
называют тренд-сезонным, или просто сезонным рядом динамики.
Сезонные колебания характеризуются специальными показателями, которые
называются индексами сезонности (Is). Совокупность этих показателей отражает сезонную волну. Индексами
сезонности являются процентные отношения фактических внутригодовых уровней к постоянной
или, переменной средней. Для каждого месяца рассчитывается средняя величина
уровня, например за три года (у{), затем из них вычисляется среднемесячный
уровень для всего ряда (у), и в заключение определяется процентное отношение
средних для каждого месяца к общему среднемесячному уровню ряда, т. е.
Совокупность исчисленных индексов сезонности характеризует сезонную волну
развития числа браков, расторгнутых населением города, во внутригодовой
динамике. Для наглядного получения представления о сезонной волне желательно
изобразить полученные данные в виде линейной диаграммы. Если же ряд динамики
содержит определенную тенденцию в развитии, то, прежде чем вычислить сезонную
волну, фактические данные должны быть обработаны так, чтобы была выявлена общая
тенденция. Обычно для этого прибегают к аналитическому выравниванию ряда
динамики.
При использовании способа аналитического выравнивания ход вычислений
индексов сезонности следующий: • по соответствующему полиному вычисляются для
каждого месяца (квартала) выравненные уровни на момент времени (t) (гр. 2); • определяются отношения
фактических месячных (квартальных) данных; (у{) к соответствующим
выравненным данным (yt) в
процентах (гр. 3); Ii = (у,: yt) • 100; • находятся средние
арифметические из процентных соотношений, рассчитанных по одноименным периодам
в процентах (гр. 4): I = (Ii+l2+l3+'...+I„): n, где n -
число одноименных периодов.
|
Методы измерения сезонных волн, основанные на применении
|
Наименование методов вычисления сезонных волн
|
|
I. Средней арифметической
|
1. Метод абсолютных разностей 2. Метод отношений средних
помесячных к средней за весь период 3. Метод отношений помесячных уровней к
средней данного года
|
|
II. Относительных величин
|
1. Метод относительных величин 2. Метод относительных
величин на основе медианы 3. Метод У. Персона (цепной
метод)
|
|
III. Механического выравнивания
|
1. Метод скользящих средних 2. Метод скользящих сумм и
скользящих средних
|
|
IV. Аналитического выравнивания
|
1. Выравнивание по прямой 2. Выравнивание по параболе и
экспоненте 3. Выравнивание по ряду Фурье
|
Процедуру построения тренд-сезонных моделей можно описать в виде
следующей последовательности шагов. 1. Оценивание сезонной составляющей по
описанной схеме (4.1)-(4.7) с учетом характера сезонности (аддитивной или
мультипликативной). 2. Сезонная корректировка {десезоналшация) исходных данных.
3. Расчет параметров тренда на основе временного ряда, полученного на втором
шаге. 4. Моделирование динамики исходного ряда с учетом трендовой и сезонной
составляющих. 5. Оценка точности и адекватности полученной модели. 6.
Использование построенной модели для прогнозирования.
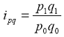
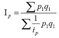
. Индивидуальные и сводные индексы, их взаимосвязи
Индексом называют показатель относительного изменения данного уровня
исследуемого явления по сравнению с другим его уровнем, принятым за базу
сравнения. Индексы являются незаменимым инструментом исследования, когда
необходимо сравнить во времени или пространстве две совокупности, элементы
которых непосредственно суммировать нельзя.
Индексный метод направлен на решение следующих задач:
. характеристика общего изменения уровня сложного
социально-экономического явления; 2. анализ влияния каждого из факторов на
изменение индексируемой величины путем элиминирования (исключение из
рассмотрения в процессе анализа факторов, заведомо не связанных с изучаемым,
явлением) воздействия прочих факторов; 3. анализ влияния структурных сдвигов на
изменение индексируемой величины.
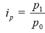
Простейшим показателем является индивидуальный индекс, который
характеризует изменение во времени экономических величин, относящихся к одному
объекту:
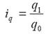
- индекс цены,
-индекс физ. объема реализации;
- товарооборот.
Изменение стоимостного объема товарооборота по данному товару отразится в
значении индивидуального индекса товарооборота. Товарооборот текущего периода
сравнивается с товарооборотом предыдущего.
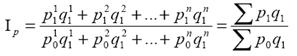
Индивидуальные индексы, в сущности, представляют собой относительные
показатели динамики или темпы роста, и по данным за несколько периодов времени
могут рассчитываться в цепной или базисной формах. В отличие от индексов
индивидуальных, сводные индексы позволяют обобщить показатели по нескольким
товарам. Исходной формой сводного индекса является агрегатная форма. Агрегатная
форма индекса позволяет найти для разнородной совокупности такой общий
показатель, в котором можно объединить все ее элементы. При анализе динамики
цен индивидуальные цены различных товаров складывать неправомерно, но
суммировать товарооборот по этим товарам вполне допустимо. В текущем периоде
такой товарооборот по n товарам составит:
Аналогично для базисного периода:
Если мы сравним товарооборот в текущем периоде с его величиной в базисном
периоде, то получим сводный индекс товарооборота:
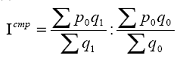
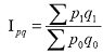
индекс цен (по методу Пааше):
Числитель данного индекса содержит фактический товарооборот текущего
периода. Знаменатель же представляет собой условную величину, показывающую
каким был бы товарооборот в текущем периоде при условии сохранения цен на
базисном уровне.
сводный индекс цен, построенный по методу Ласпейреса, когда веса или объемы продаж
фиксируются на уровне базисного, а не текущего периода:
Средние формы сводных индексов. При расчете индексов часть необходимой
информации может отсутствовать или базироваться на результатах выборочных
обследований. В подобных случаях вместо индексов в агрегатной форме удобнее
использовать средние арифметические и средние гармонические индексы. Любой
сводный индекс можно представить как среднюю взвешенную из индивидуальных
индексов. Можно использовать следующую замену:
Это значение сводного индекса цен в среднегармонической форме,
соответствующее сводному индексу Пааше в агрегатной форме.
12. Системы индексов с переменными и постоянными весами
Расчет сводных индексов за последовательные периоды. Если сравнивать цены каждого периода
с ценами предшествующего периода получаемая индексная система будет включать
цепные индексы, отражающие изменение цен за каждый из периодов рассматриваемого
временного интервала. При этом в качестве весов можно использовать объемы
реализации каждого конкретного периода или же постоянные объемы какого-либо
периода, принятого в качестве базисного. Тогда индексная система будет включать
индексы, соответственно, с переменными или с постоянными весами. Цепные
индексы цен с переменными весами имеют следующий вид:
При использовании постоянных весов система преобразуется:
Если сравнивать цены каждого периода с ценами какого-либо базисного
периода, получаемая индексная система будет включать базисные индексы,
отражающие изменение цен накопленным итогом, т.е. с начала рассматриваемого
временного интервала. Система базисных индексов с переменными весами имеет
следующий вид:
Базисные индексы цен с постоянными весами рассчитываются по
формулам:
Использование постоянных весов приводит базисные и цепные индексы к
сопоставимому виду.
Индексный анализ влияния структурных изменений
Индексы позволяют оценить динамику показателей, характеризующих
разнородные в качественном отношении совокупности, как правило, товарные
группы. Однако, даже если рассматриваемая совокупность однородна (товар или вид
продукции одного вида) на величине результативного показателя будет отражаться
влияние структурных изменений, например, изменений в структуре производства или
реализации данного товара по территориям.
Индекс цен переменного состава представляет собой соотношение средних
значений за два рассматриваемые периода:
Иными словами, на динамике средней цены данного товара могут отражаться
структурные сдвиги в рассматриваемой совокупности. Оценить воздействие этого
фактора можно с помощью индекса структурных сдвигов: Первая часть в этом
индексе позволяет ответить на вопрос, какой была бы средняя цена в настоящем,
если бы цены в каждом регионе сохранились на уровне предыдущего года. Вторая
часть формулы отражает фактическую среднюю цену за предыдущий год. В целом по
полученному значению индекса мы можем сделать вывод, на сколько процентов
повысились или снизились цены за счет структурных сдвигов.Последним в данной
системе является индекс цен фиксированного состава, который не учитывает
влияние структуры:
Индекс позволяет сделать вывод о том, на сколько бы возросла/снизилась
средняя цена, если бы структура реализации товара «Х» по регионам не
изменилась.
Взаимодействие рассматриваемых факторов отражается в следующей взаимосвязи:
. Методы выявления тенденции по видам во вр. рядах
Тенденция исходного ряда динамики может быть трех видов: тенденция среднего
уровня, дисперсии и автокорреляции. Тенденция среднего уровня может быть
выражена с помощью графического метода. Аналитически тенденция выражается с
помощью некоторой математической функции f(t), вокруг которой варьируют
эмпирические значения исходного временного ряда изучаемого
социально-экономического явления. При этом теоретические значения, то есть
значения, полученные по трендовым моделям в отдельные моменты времени, являются
математическими ожиданиями временного ряда. Тенденция дисперсии представляет
собой тенденцию изменения отклонений эмпирических значений уровней временного
ряда от теоретических, полученных по уравнению тренда. Тенденция автокорреляции
выражает тенденцию изменения корреляционной связи между отдельными,
последовательными уровнями временного ряда.
) Метод сравнения средних уровней временного ряда предполагает, что
исходный временной ряд разбивается на две приблизительно равные части по числу
членов ряда, каждая из которых рассматривается как самостоятельная, независимая
выборочная совокупность, имеющая нормальное распределение.

,
II. Если временной ряд имеет тенденцию, то дисперсии, вычисленные для
каждой совокупности в отдельности, должны существенно и значимо различаться
между собой.
и
Если
, то
Если
, то
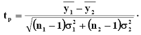
) Метод Фостера-Стюарта основан на двух характеристиках S и d.
, где
Если значение уровня ряда превышает по своей величине каждый из
предыдущих уровней, то величине Ut присваивается значение 1, в остальных
случаях она равна 0:
Наоборот, если значение уровня ряда меньше всех предыдущих, то lt
присваивается значение 1.
применяется для обнаружения тенденции изменения в дисперсиях,
d - для обнаружения тенденции в средней. Гипотезы проверяются на основе
t-критерий Стьюдента:
.
,
где: μ - математическое ожидание величины S, определенное для
случайного расположения уровней во времени; σ1 - средняя квадратическая ошибка
величины S; σ2 - средняя квадратическая ошибка величины d. Значения μ, σ1, σ2 табулированы.
Если td > tкр (α; ν = n - 1), то гипотеза об отсутствии
тенденции в средней отвергается, следовательно в исходном временном ряду
существует тренд.
Если ts > tкр (α; ν = n - 1), то гипотеза об отсутствии
тенденции в дисперсиях отвергается, следовательно существует тенденция
дисперсии и существует тренд.
14. Методы выбора формы трендовой модели
Для отображения основной тенденции развития явлений во времени или модели
этого процесса применяются полиномы разной степени, экспоненты, логистические
кривые и другие функции.
Полиномы
имеют следующий вид: полином первой степени
, полином
второй степени
, полином n-й степени
.
Наиболее
простым путем решения проблемы выбора формы трендовой модели можно назвать
графический, на базе общей конфигурации графика фактических уровней ряда. В
несложных случаях подход графического выбора может дать вполне приемлемые
результаты. Подбор класса выравнивающих кривых для временного ряда производится
на основе качественного анализа представленного им процесса, а также если
известны: Δ1, Δ2, Δ3…….Δi -
первые, вторые, третьи и т.д. разности или абсолютные ускорения; TpΔ′ -
темпы роста первых абсолютных приростов уровней; Δ′ lgyi - первые абсолютные приросты
логарифмов уровней; Тр - темпы роста. В этих случаях критерии выбора
типа кривой следующие
Критерии
выбора класса выравнивающих кривых
|
Показатель
|
Изменение уровней временного ряда
|
Формула уравнения
|
Наименование функции
|
|
Δ′
|
более или менее постоянные
|
линейная
|
|
|
Δ′
|
уменьшающиеся
|
гиперболическая
|
|
|
Δ′
|
изменяющиеся с насыщением (быстрое развитие в начале ряда,
затихание в последнем уровне)
|
логистическая
|
|
|
Δ′′
|
постоянны
|
параболическая 2-ой степени
|
|
|
Δ′′′
|
постоянны
|
параболическая 3-ой степени
|
|
|
Δ′′′′
|
постоянны
|
параболическая 4-ой степени
|
|
|
TpΔ1
|
постоянны
|
экспоненциальная
|
|
|
TpΔ′
|
сначала быстро растут, а затем рост изменяется
|
полулогарифмическая парабола
|
|
|
Δ′ lgyi
|
изменяется с постоянным темпом роста
|
кривая Гомперца
|
|
− метод разностного исчисления (суть: определяются последовательные
разности - цепные, абсолютные приросты - Δ′ равны, а Δ′′ (отклонения м/у
последовательными значениями цепных абс приростов) = 0, линейный тренд)
− расчет и анализ средней квадратической ошибки;
,
k
− число параметров уравнения.Чем меньше значение средней квадратической
ошибки, тем функция наилучшим образом описывает тенденцию исходного временного
ряда.
Критерий
наименьшей суммы квадратов отклонений эмпирических уровней от теоретических
→ min также предполагает, что наилучшим образом
тенденция описывается трендом, которому соответствует наименьшее значение суммы
квадратов отклонений.
Дисперсионный
метод анализа основывается на сравнении дисперсий. Преимущество: знаем
вероятность ошибки. Суть метода в следующем: общая вариация временного ряда
делится на две части: • вариация вследствие тенденции Vf(t); •
случайная вариация Vε: Vобщ = Vf(t) + Vε
,
, Vf(t) = Vобщ - Vε,
, если
>
.
. Модели временных рядов с периодическими колебаниями
При рассмотрении квартальных и месячных данных часто обнаруживаются
периодические колебания, вызываемые сменой времен года. Их называют сезонными.
Изучение сезонных колебаний имеет самостоятельное значение как исследование
особого типа динамики.
Сезонность можно понимать как внутригодовую динамику вообще.
Во многих случаях сезонность приносит ущерб народному хозяйству в связи с
неравномерным использованием оборудования и рабочей силы, с неравномерной
нагрузкой транспорта, поставкой сырья для других отраслей, связанных с
сезонными отраслями.
Моделью периодически изменяющихся уровней служит ряд Фурье:
, (6.1)
где
k - определяет номер гармоники ряда Фурье и может быть взята с разной
степенью точности (чаще от ‘‘1’’ до ‘‘4’’).
Параметры
уравнения определяются методом наименьших квадратов, то есть по условию
. Решая систему нормальных уравнений, получим:
. (6.2)
Для
изучения сезонности берется (n = 12) по числу месяцев в году.
Как
правило, при выравнивании по ряду Фурье рассчитывают не более четырех
гармоник и затем уже определяют, какая гармоника наилучшим образом отражает
периодичность изменения уровней ряда.
Так,
при k=1:
;
k=2:
. (6.3)
Рассчитав
остаточные дисперсии
для 2-х случаев, можно сделать вывод, какая гармоника
Фурье наиболее близка к фактическим уровням ряда.
Моделирование
сезонности проводится в следующей последовательности:
1. Определяется тенденция исходного ряда
динамики и ее аналитическое выражение, например, в виде линейного тренда:
.
Динамика
объема строительно-монтажных работ, выполненных
собственными
силами, наилучшим образом описывается уравнением следующего вида:
.
.
Определяются
- теоретические уровни ряда динамики;
.
Определяется (
) - по месяцам года.
.
Определяются средние арифметические по месяцам года. Получается ряд индексов,
характеризующих сезонную волну.
3. Определяется модель сезонной волны:
- ряд
Фурье.
-
порядковый номер гармонии.
16. Методы построения моделей авторегрессионных
преобразований
Основными моделями связных рядов динамики являются модели авторегрессии,
или модели авторегрессионных преобразований. В настоящее время разработано 3
способа исключения автокорреляции:
. Основан на использовании, так называемых, последовательных или конечных
разностей.
Основан на определении цепных абсолютных (последовательные) или базисных
абсолютных (конечных) разностей. ∆yt+1 = a0 + a1∆x1, t+1 + a2∆x2, t+1 +... + ak∆xk, t+1. При коррелировании разностей в
общем виде функция зависимости результативного признака от факторных может быть
представлена в следующем виде: ∆y = f(∆x). Показателем тесноты связей между
изучаемыми признаками, представленными последовательными разностями, является
коэффициент корреляции разностей:
. Метод отклонений эмпирических значений признака от теоретических по
уравнению тренда полученных. Определяется тенденция исходных рядов динамики.
Рассчитывается тренд, и его величина исключается из каждого уровня. Оценка
степени тесноты связи осуществляется на основе расчета и анализа коэффициента
корреляции отклонений. Коэффициент корреляции отклонений характеризует степень
связи между отклонениями фактических уровней сравниваемых рядов от
соответствующих, им выравненных, уровней коррелируемых рядов динамики.
. Метод Фриша-Воу
Этот
метод заключается в ведении времени как дополнительного факторного признака.
Это возможно только в случае, если основные тенденции временных рядов
одинаковы. В общем виде модель Ф-В имеет вид:
.
Даже при наличии парной зависимости при реализации метода Ф-В парные связи
обращаются в многофакторные и модель оценки влияния одного фактора на изменение
результативного показателя будет иметь вид:
.
Коэффициент корреляции рассчитывается как множественный:
,
,
- остат.
дисперсия;
- общ. дисперс.
Недостатком
3-х методов является то, что
теоретически слабо обоснованы интерпретация и экономическое содержание
параметров.
Исходя
из этого в рядах динамики, имеющих небольшие периодические колебания, данная
методика построения моделей авторегрессионных преобразований не используется.
Наибольшее преимущество в экономическом анализе отдается методы Ф-В, т.к. позволяет
наиболее точно и без проведения дополнительных вычислительных работ
интерпретировать параметры исходной модели. Применение методов
авторегрессионных преобразований для анализа связных рядов динамики осложняется
наличием временных лагов. Наиболее четко временные лаги прослеживаются в
строительстве, при модернизации оборудования и т.д.
Под
временным лагом следует понимать несинхронность совпадения связных между собой
социально-экономических явлений. Временные лаги различаются на основе различных
периодов, сдвигов во времени, изменяя показатели.
Различают
лаги со сдвигом 1,2 и более периодов времени. Однако, при сдвиге лага более чем
на 10 периодов времени, уже не имеет смысла применение методов анализа связных
между собой социально-экономических явлений. При наличии временного лага
коэффициент корреляции рассчитывается при условии, что один их рядов
исследуемого связного ряда динамики будет сдвинут на несколько периодов
времени. Данный коэффициент корреляции определяется как:
,
Vx - ряд
фактического признака, Vy - ряд динамики результативного признака, сдвинутого
на определенное количество лет во времени.
Следует
отметить, что уравнение авторегрессии также строится при условии сдвига одного или
нескольких показателей, связных между собой во времени. Однако, в этих случаях
всегда принимается во внимание, что лаг является дискретной величиной. В то же
время практика показывает, что временные лаги - это непрерывные величины.
17.
Классификация статистических прогнозов
В современных условиях управляющие решения должны приниматься лишь на
основе тщательного анализа имеющейся информации. Например, банк или совет
директоров корпорации примет решение о вложении денег в какой-то проект лишь
после тщательных расчетов, связанных с прогнозами состояния рынка, с
определением рентабельности вложений и с оценками возможных рисков. В противном
случае могут опередить конкуренты, умеющие лучше оценивать и прогнозировать
перспективы развития.
Для решения подобных задач, связанных с анализом данных при наличии
случайных воздействий, предназначен мощный аппарат прикладной статистики,
составной частью которого являются статистические методы прогнозирования. Эти
методы позволяют выявлять закономерности на фоне случайностей, делать
обоснованные прогнозы и оценивать вероятность их выполнения.
Под прогнозом понимается научно обоснованное суждение о возможных
состояниях объекта в будущем, а также альтернативных путей и сроков
достижения этого состояния. Процесс разработки прогнозов называется
прогнозированием (от греч. prognosis- предвидение, предсказание).
Прогнозирование соотносится с более широким понятием - предвидения.
Различают 3 формы предвидения: гипотезу, прогноз, план.
Гипотеза характеризует научное предвидение на уровне общей теории, т.е.
исходную базу построения гипотезы составляют теория и открытые на ее основе
закономерности и причинно-следственные связи функционирования и развития
исследуемых объектов. На уровне гипотезы дается качественная характеристика
объектов.
Прогноз имеет значительно большую определенность, т.к. основан не
только на качественных, но и на количественных параметрах. Прогноз выражает
предвидение на уровне конкретно-прикладной теории. Прогноз отличается от
гипотезы меньшей степенью неопределенности и большей достоверностью. Прогноз
носит вероятностный характер.
План представляет собой постановку точно определенной цели и предвидение
конкретных событий исследуемого объекта. В нем фиксируются пути и средства
развития в соответствии с поставленными задачами, обосновываются принятые
управленческие решения. Отличительная черта плана - определенность. План
основывается на результатах и достижениях конкретно прикладной теории.
В зависимости от объектов прогнозирования принято разделять прогнозы на научно-технические,
экономические, социальные, военно-политические и т.д. Однако такая
классификация носит условный характер, т.к. между этими прогнозами, как
правило, существует множество прямых и обратных связей.
Классификация экономических прогнозов
В зависимости от масштабности объекта прогнозирования экономические
прогнозы могут охватывать все уровни: от микроуровня (рассматривающего прогнозы
развития отдельных предприятий, производств и т.д.) до макроуровня
(анализирующего экономическое развитие в масштабе страны) или - до глобального
уровня (где существующие закономерности рассматриваются в мировом масштабе).
Важной характеристикой является время упреждения прогноза -отрезок
времени от момента, для которого имеются последние статистические данные об изучаемом
объекте, до момента, к которому относится прогноз.
По времени упреждения экономические прогнозы делятся на:
· оперативные (с периодом упреждения до одного месяца),
· краткосрочные (период упреждения- от одного, нескольких
месяцев до года),
· среднесрочные (период упреждения более 1 года, но не
превышает 5 лет),
· долгосрочные (с периодом упреждения более 5 лет).
Оперативные прогнозы основаны на предположении о том, что в
прогнозируемом периоде не произойдет существенных изменений в исследуемом объекте.
В них преобладают детально количественные оценки ожидаемых событий.
Краткосрочные прогнозы предполагают только количественные изменения.
Оценка событий дается количественная.
Смотри вопросы №№18-24.
. Простейшие методы прогнозирования
К простейшим методам прогнозирования относятся: метод среднего уровня
ряда; метод среднего абсолютного прироста; метод среднего темпа роста.
Метод
прогнозирования на основе среднего уровня ряда используется для случаев, когда
изменение значений уровней временных рядов носит стационарный характер. При
построении прогноза данным методом используется принцип, согласно которому
значения всех последующих прогнозируемых уровней принимаются равными среднему
значению уровней ряда в прошлом, то есть:
Таким
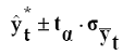
образом, получают точечный прогноз. Целесообразно определить доверительный интервал:
,
-
табличное значение;
- СКО средней, к-ая определяется по ф-ле
;
- СКО.
. Полученный таким образом доверительный интервал
учитывает колеблемость выборочных средних и предполагает, что каждая следующая
прогнозная оценка будет равна среднему уровню ряда динамики. При этом
упускается из вида возможность колебания эмпирических значений признака вокруг
средней, то есть в определении доверительного интервала. В расчете дисперсии
необходимо учесть как колеблемость выборочных средних, так и степень
варьирования индивидуальных эмпирических значений признака вокруг средней. В
этом случае доверительный интервал прогнозной оценки можно определить по выражению
вида:
Прогнозирование
методом среднего абсолютного прироста предполагает, что общая тенденция
развития изучаемого социально-экономического явления наилучшим образом
аппроксимируется линейной формой аналитического выражения. Применение данного
метода прогнозирования возможно при предварительной проверке следующих
предпосылок:
.
Абсолютные цепные приросты должны быть приблизительно одинаковыми;
.
Должно выполняться неравенство вида:
, где
- остаточная дисперсия:
;
,
- цепные
абс приросты ур исходн ряда динам
После
проверки и подтверждения выполнения данной предпосылки можно приступать к
прогнозированию методом среднего абсолютного прироста, общая модель прогноза:
,
где
L - период упреждения прогн.,
- последний уровень ряда динамики,
- средний абсолютный прирост, который определяется по
формулам вида
или
,
-последний, а
- первый
уровень исходного ряда динамики
Прогнозирование
методом среднего темпа роста осуществляется в случае, если темпы роста цепные,
рассчитанные по данным исходного ряда динамики за исследуемый период времени,
имеют приблизительно одинаковое цифровое значение, а тенденция развития явления
подчиняется геометрической прогрессии и может быть описана показательной
(экспоненциальной) кривой.
Модель
прогноза методом среднего темпа роста имеет вид:
- средний
темп роста, определяемый:
или
, где ПТРц
- произведение цепных темпов роста.
Коэффициенты
несоответствия и СКО по методам: КН
ср абс прир =
; КН ср темп роста =
;
ср абс прир =
;
ср темп роста =
.
19.
Прогнозирование на основе экстраполяции тренда
Наиболее
распространенным методом прогнозирования выступает аналитическое выражение
тренда. При этом для выхода за границы исследуемого периода достаточно
продолжить значения независимой переменной - времени. При таком подходе к
прогнозированию предполагается, что ход развития явления связывается не с
какими-либо конкретными факторами, а с течением времени, то есть:
Экстраполяция
дает возможность получить точечное значение прогноза.
Точечный
прогноз - оценка прогнозируемого показателя в точке (в конкретном году, месяце,
дне) по уравнению, описывающему тенденцию показателя. Совпадение фактических
данных и прогностических оценок - явление маловероятное, поэтому целесообразно
определить доверительные интервалы прогноза. Величина доверительного интервала
определяется следующим образом:
,
-
СКО тренда;
- расчет прогноз знач уровня; tα -
доверит. значение критерия Стьюдента.
Метод
прогнозирования на основе экстраполяции тренда базируется на следующих
предпосылках:
.
исходный временной ряд должен описываться плавной кривой, тогда прогн м.б.
осуществлен на достат длит период времени; 2. общие условия, определяющие
тенденцию развития изучаемого явления в прошлом и настоящем не должны
претерпевать значительных изменений в будущем; 3. исходный ряд динамики должен
иметь достаточное число уровней, с тем, чтобы отчетливо проявилась тенденция.
Трендовые модели выражаются различными функциями
, на основе которых строятся модели прогноза и
осуществляется их оценка.
На
практике наибольшее распространение получили следующие виды трендовых моделей:
)
линейная
)
параболы различных степеней:
2-го
порядка
3-го
порядка (кубическая)
и
т.д.
)
показательная:
;
;
)
логарифмическая:
Выбор
трендовой модели осущ любым из методов оценки качества модели: графич,
последоват разностей, дисперсионный метод анализа, критерий серий, на основе
СКО, КН (коэф несоотв). При этом наиболее существенным вопросом прогнозирования
по трендовым моделям является проблема точного прогноза.
Точная
оценка прогноза весьма условна в силу следующих причин:
.
Выбранная для прогнозирования функция дает лишь приближенную оценку тенденции,
так как она не является единственно возможной.
.
Статистическое прогнозирование осуществляется на основе ограниченного объема
информации, что, в свою очередь, сказывается на величине доверительных
интервалов прогноза.
.
Наличие в исходном временном ряду случайного компонента приводит к тому, что
любой прогноз осуществляется лишь с определенной долей вероятности.
Рассматривая
получение интервальных или точечных оценок прогноза следует учитывать, что в
отдельных случаях получение более точных оценок не гарантирует надежности
прогноза.
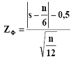
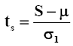
Прогноз
по аналитическому выражению тренда имеет один существенный недостаток,
который иногда приводит к большим ошибкам: в данном случае прогнозируется
только детерминированная составляющая ряда динамики и не учитывается случайный
компонент. Чтобы избежать этой ошибки и сделать прогноз более точным, надо
отыскать закономерность изменения во времени случайного компонента. Для этого
принято вначале находить отклонения от тренда и определять закономерность их
изменения во времени, а затем делать прогноз случайной составляющей
динамического ряда. Результаты обоих прогнозов объединяются.
20.
Прогнозирование с учетом дисконтирования информации
Принцип
дисконтирования предполагает, что более поздняя информация имеет больший уд вес
по степени информативности для построения точных и надежных прогнозов, чем инфо
более ранняя.
Эти
методы м б исп только в случае, если выполняются след предпосылки их реализации:
ряд
динамики должен быть дост длинным с тем, чтобы более четко проявилась тенденция
изменения явлений. - в рядах динамики должны отсутствовать скачки в развитии
явления. - должен соблюдаться принцип инертности, согласно которому тенденция и
закономерность прошлого и настоящего м б продлены на будущее. - значение функции
автокорреляционных преобразований д уменьшаться с увеличением числа членов ряда
(надо посчитать к-ты автокорреляции).
Принцип
дисконтирования предполагает взвешивание инфо на протяжении всего исходного
ряда динамики. На принципе дисконтирования реализуется неск методов:
1.Метод
простого экспоненциального сглаживания.
Общая идея заключ в том, что уровни исх ряда динамики взвешиваются с помощью
средней, веса которой подчиняются экспоненциальному закону распределения.
Принцип дисконтирования в этом случае будет выражаться в том, что прогноз
осуществляется по наиболее важным последним наблюдениям. Прогнозирование
данным методом реализуется в случае выполнения перечисленных предпосылок в след
последовательности:
.
Предполагается, что тенденция исх ряда динамики описывается уравнением
линейного тренда (сумма t не д б равна 0!!!) 2. Определяются начальные условия
первого и второго порядков (порядок начальных условий зависит от числа
параметров трендовой модели, кот наилучшим образом аппроксимирует реально
сущ-ие тенденции и закономерности)
Начальные
условия 1 и 2 порядка:
,
где
альфа - параметр взвешивания 0,1<альфа<0,3, альфа = 2/(n+1)
или строится серия моделей при заданных различных альфа. На основе СКО или др
пок-ля опред модель прогноза.
.
Определяются экспоненциальные средние 1 и 2 порядка:
и
4.
Определяются оценки модели прогноза
,
,
.
Ошибка прогноза опред по след фор-ле:
,
где
- СКО
Данным
методом определяется как точечный, так и интервальный прогноз. На практике
исп-ие данного метода ограничено в связи с тем, что 1. не принимается во внимание
влияние внешних факторов на изменения моделируемого пок-ля, 2. прогнозируемые
явления рассматриваются лишь как функция времени.
Отсутствие
учета влияния внеш факторов не позволяет осущ прогноз на долгосроч перспективу.
2.Метод
гармонических весов базируется на
идее построения так называемых скользящих средних трендов. Предполагается, что
выполняются ранее перечисленные предпосылки. Для опред-ия скользящего тренда
исх ряд динамики разбивают на фазы (к). Число фаз д б меньше длины исх ряда.
Обычно длина фазы равна 3-5 уровням. Для каждой фазы в отдельности опред
уравнение тренда, которое наилучшим образом опис тенденции, присущие данной
фазе изменения явления. Для каждой фазы рассчит линейный тренд. На основе
полученных уравнений тренда опред значения скользящего тренда. Определяются
цепные абс приросты из теоретич значений (выровненных), полученных по
скользящим трендам.
.
Прогноз
осущ по модели:
.
В
методе гармонических весов ср абс прирост не явл величиной постоянной, т.е.
после получения каждого следующего прогнозного уровня процедура реализации
метода повторяется заново.
21. Прогнозирование на основе кривых роста Гомперца и Перля-Рида
Прогнозирование социально-экономических явлений на основе кривых роста
(кривых насыщения) стало применяться сравнительно недавно. Кривые роста хорошо
себя зарекомендовали и при прогнозировании социально-экономических явлений. Их
применение в этом случае требует соблюдения определенных условий.
. Исходный временной ряд должен быть достаточно длинным (30-40 лет).
2.Исходный временной ряд не должен иметь скачков, и тенденция такого ряда
должна описываться достаточно плавной кривой. 3.Использование кривых роста в
прогнозировании социально-экономических явлений может давать достаточно хорошие
результаты, если предел насыщения будет определен сравнительно точно.
Кривые роста отражают кумулятивные возрастания к определенному заранее
максимальному пределу. Особенностью кривых роста является то, что
абсолютные приращения уменьшаются по мере приближения к пределу. Однако процесс
роста идет до конца. Значение кривых роста как методов статистического
прогнозирования социально-экономических явлений состоит в том, что они
способствуют эмпирически правильному воспроизведению тенденции развития
исследуемого явления. Наиболее распространенными кривыми роста, используемыми в
статистической практике прогнозирования, являются кривая роста Гомперца и
кривая роста Перля-Рида. Обе кривые, в общем, похожи одна на другую и
графически изображаются S-образной кривой. Особенностью уравнений этих кривых
является то, что их параметры могут быть определены методом наименьших
квадратов лишь приближенно. Для расчета параметров этих кривых используется ряд
искусственных методов, основанных на разбиении исходного ряда динамики на
отдельные группы. Например, для того чтобы осуществить прогноз на основе кривой
роста Гомперца необходимо выполнить следующее:
1.
кривая описывается уравнением:
.
прологарифмировав уравнение, получаем:
,где: lg
a - логарифм максимального значения, к которому приближается прогнозный уровень
явления; lg b - расстояние, которое отделяет в каждый данный момент значение
уровня от его максимального значения; с - имеет значение от нуля до единицы; х
- начало на шкале х, к которому относится первое значение уровня (t = 0, 1, 2,
…, n);
.
затем весь ряд динамики разбивается на три приблизительно равные части:
длины
ряда;
.
для каждой выделенной части рассчитываются суммы логарифмов значений уровней
;
.
затем определяются первые разности по этим суммам:
.
на основании этих расчетов получим параметры уравнения с,
которые рассчит. следующим образом:
где:n - число уровней ряда в каждой части;
, можно прогнозировать, если
,
Наряду
с кривой роста Гомперца достаточно широкое распространение получила кривая
роста Перля-Рида, которая в прогнозировании социально-экономических явлений
впервые была использована для демографических расчетов американским учеными -
биологом Р. Перлем и математиком Л. Ридом. Эта кривая выражает модифицированную
геометрическую прогрессию, в которой возрастание затухает по мере приближения к
некоторому определенному пределу. Так же, как и кривая Гомперца, кривая
Перля-Рида использует тот же искусственный прием для определения параметров
кривой. Однако следует отметить, что по сравнению с кривой Гомперца прогнозные
данные, полученные по этой кривой, имеют некоторую неопределенность. Кривая
роста Перля-Рида описывается уравнением:
Параметры
уравнения находятся следующим образом:

.
Автокорреляция: причины возникновения и способы выявления
Автокорреляция
- это наличие сильной корреляционной зависимости между последовательными
уровнями временного ряда. Если при выявлении и моделировании тенденции такая
зависимость имеет положительный характер, т.к. при её наличии тренд проявляется
более четко, то при моделировании связных рядов динамики (рядов динамики,
характеризующих взаимосвязь 2 или более показателей, экономически зависимых во
времени) наличие автокорреляции приводит к тому, что прямые методы построения
регрессионных моделей не могут быть использованы. Причинами автокорреляции
м.б.: не учтен в модели существенный фактор, при этом его влияние отражается на
величине отклонений, которые в этом случае показывают закономерность в
изменении, связанную с изменением неучтенного фактора. В модели не учитывается
несколько факторов, влияние каждого из которых в отдельности не существенно, но
при совпадении изменений этих факторов по направлению и по фазе в отклонениях
может возникнуть автокорреляция. Автокорреляция в отклонениях может появиться в
случае, когда неправильно выбрана форма связи между y и x. Неверно выбран
порядок авторегрессионой модели. Вследствие специфичности внутренней структуры
случайного компонента.
Схема
анализа автокорреляции в уровнях ряда динамики имеет следующий вид:
)
оценка наличия автокорреляции на основе коэффициента автокорреляции или
критерия Дарбина-Уотсона; 2) Выявление причин автокорреляции; 3) построение
моделей авторегрессионных преобразований, исключающих автокорреляцию;
Оценка
автокорреляции может быть осуществлена на основе расчета и анализа коэффициента
автокорреляции, который определяется на основе формулы коэффициента корреляции
для парной (линейной) связи между уровнями исходного ряда и того же ряда, но
сдвинутого на τ
шагов во времени:
где
yt - эмпирические значения уровней ряда;
Возникает
проблема заполнения последнего уровня ряда y t+1. В данном случае
возможны два варианта:
1.
Если значение последнего уровня мало отличается от первого, то чтобы ряд не
укорачивался, его можно условно дополнить
. Тогда
2.
Значение уровня ряда остается незаполненным и ставится прочерк.
Проверка
на наличие автокорреляции заключается в сравнении расчетных значений с его
критическим или табличным значениями.
Если
ra > ra кр при заданном уровне значимости α и n, то в исходном временном ряду существует
автокорреляция, в противном случае она отсутствует.
Для
проверки автокорреляции в уровнях ряда также используется и критерий
Дарбина-Уотсона. Гипотеза о наличии автокорреляции проверяется с помощью
случайной величины:
Если
автокорреляции в ряду нет, то значения критерия d колеблются вокруг 2.
Эмпирическое
значение d сравнивается с табличным значением. При отрицательной автокорреляция
d изменяется от 2 до 4, и для проверки её наличия
рассчитывается d‘ = 4 - dрасчет.
Иногда
приходится при анализе рядов динамики исследовать вопрос о наличии или
отсутствии автокорреляции не между самими уровнями ряда, а между их
отклонениями эмпирических значений признака от теоретических, полученных по
уровню тренда.
Из
этого следует сделать вывод, что прежде чем проводить
корреляционно-регрессионый анализ временных рядов, необходимо исключить из
исследуемых рядов автокорреляцию.
В
настоящее время разработано 3 способа исключения автокорреляции
)
последовательных или конечных разностей:
)
Метод Фриша-Воу.
)
По отклонениям эмпирических значений от выравненных по тренду
. Прогнозирование связных временных рядов
Связными наз ряды динамики, которые хар-ют взаимосвязь 2 или более пок-ей, эк-ки
зависимых во времени. Модели связных рядов динамики выражаются моделями
регрессии. Характерной особенностью связных рядов динамики в большинстве
случаев явл наличие автокорреляции (авторегрессии) в уровнях.
Исходное
уравнение регрессии, на основе кот осущ прогноз по связным временным рядам
определяется по функции вида:
, где к -
кол-во факторных признаков, исп-ых для прогнозирования. Это ур-ние описывает
связь между прогнозируемой величиной и факторными признаками в моментном
временном ряду. Все входящие в модель факторные признаки, как правило,
автокоррелированы, а в большинстве случаев коррелированны их остатки. Значит,
прогнозирование непосредственно по исх модели приведет к нарушению 1 из
основных условий прогнозирования, а именно независимости факторных признаков.
Т.о., если осущ прогнозирование по модели данного вида, то это приводит к
сильному возрастанию дисперсии к-тов регрессии. И значит расчеты не м б
пригодны для построения прогнозов. Наличие автокорреляции часто приводит к
возникновению ложной связи между прогнозируемым пок-лем и отобранными
факторными признаками. Исключение авторегрессии м осущ неск методами: (см
вопрос 8)
1.
метод последовательных и конечных разностей
.
метод отклонений эмпирических значений от выровненных по уравнению тренда
.
метод Фриша - Воу
Чтобы
исключить автокорреляцию и реализовать прогноз методом последовательных
разностей, модель связных рядов строят не по исх значениям признака, а по
цепным абс приростам данных признаков. При этом теряются не только
прогностические, но и познавательные св-ва таких моделей, тк в обоих случаях
исключается основная тенденция развития.
Более
сильными прогнозными св-вами обладают модели, в кот в кач-ве дополнительного
фактора исп время (модели методом Фриша-Воу). Но в этом случае прогнозные св-ва
модели будут базироваться на том, что все факторные признаки описываются только
одной ф-ой тренда. Фактор времени заводится в линейной форме. На практике
возможно допущение, что фактор времени опред не линейной функцией. Это
допущение возможно в случае, если на основе перебора различных форм трендовых
моделей исследователем доказано, что большинство (70%), если не все факторные
признаки и результативный изменяются по 1 и тому же полиному, отличному от
линейного.
В
отд случаях для расширения прогностических св-в исходных данных и исключения
автокорреляции идут на значительное увеличение исходных наблюдений. То исп-ется
искусственный метод «заводо-лет». Модели, построенные по связным рядам
динамики, обладают слабыми прогностическими св-вами и м б исп-ны для построения
краткосрочных прогнозов. А в отд случаях - среднесрочных, при выполнении след
условий:
.
все факторные признаки и моделируемый д иметь тенденцию, описываемую линейным
трендом.
.
Наличие дост длинных рядов динамики с тем, чтобы получить ряды к-тов регрессии,
на основе которых определять прогнозные оценки факторных признаков с
последующим включением их в прогнозную модель.
. Оценка точности и надежности прогнозов
О точности прогн. можно говорить лишь как об интервале ожидаемых
результатов. Надежность прогноза - оценка доверит интервалов прогноза
для заданной вероятности его осуществления. При оценке точности необходимо
учитывать время упреждения, надежность, величину ошибки прогноза. Эмпирической мерой
точности прогноза, служит величина его ошибки, которая определяется как
разность между прогнозными
и фактическими
значениями исследуемого показателя
(СКО, мах 9,9%) Данный подход возможен только в двух случаях:
а) период упреждения известен, уже закончился, и исследователь
располагает необходимыми фактическими значениями прогнозируемого показателя; б)
строится ретроспективный прогноз, то есть рассчитываются прогнозные значения
показателя для периода времени, за который уже имеются фактические значения.
Абсолют. и относит. ошибки прогноза м.б. рассчитаны в случае наличия
данных ретроспективного прогноза.
Все показатели оценки точности статистических прогнозов условно можно
разделить на три группы:
аналитические; - сравнительные; - качественные.
Аналитические показатели точности прогноза позволяют количественно определить
величину ошибки прогноза. К ним относятся: Абсолютная ошибка прогноза (Δ*) определяется как разность между
эмпирическими и прогнозными значениями признака и вычисляется по формуле:
, где:
- прогнозное значение признака; уt
- фактическое значение признака
Относительная ошибка прогноза (dош) может быть определена как отношение
абсолютной ошибки прогноза (Δ*):
а) к фактическому значению признака (уt):
б) к прогнозному значению признака
:
Поэтому на практике иногда определяют не ошибку прогноза, а некоторый коэффициент
качества прогноза (Кк), который показывает соотношение между числом
совпавших (с) и общим числом совпавших (с) и несовпавших (н) прогнозов и
определяется по формуле: Кк = с/(с+н), [0;1]
Средним показателем точности прогноза является средняя абсолютная
ошибка прогноза
,
которая определяется как средняя арифметическая простая из абсолютных ошибок
прогноза по формуле вида:
,
где: n - длина временного ряда.
Для оценки точности прогноза используется средняя квадратическая
ошибка прогноза, определяемая по формуле: (при прогн методом экстраполяции
трендов или методами, содержащими полиномы различн степеней, в знаменателе
будет (n-k-1), k-
число параметров модели)
, [0;
]
, [0;
]
Размерность
средней квадратической ошибки прогноза также соответствует размерности
изучаемого признака. Между средней абсолютной и средней квадратической ошибками
прогноза существует следующее примерное соотношение:
.
Определяют
среднюю ошибку аппроксимации:. Данный показатель является относительным
показателем точности прогноза и не отражает размерность изучаемых признаков,
выражается в процентах и на практике используется для сравнения точности
прогнозов полученных как по различным моделям, так и по различным объектам.
Интерпретация
оценки точности
,%: < 10 - высокая;
[10 -
20] - хорошая;
[20 -
50] - удовлетворительная; > 50 - не удовлетворительная
Одним
из показателей оценки точности статистических прогнозов является коэффициент
несоответствия (КН), который был предложен Г. Тейлом и может рассчитываться
в различных модификациях.
. Основные понятия теории выборочного наблюдения
Разновидностью несплошного наблюдения является выборочное, которое
в условиях развития рыночных отношений в России находит все более широкое
применение. Под выборочным понимается такое несплошное наблюдение, при котором
статистическому обследованию подвергаются единицы изучаемой совокупности,
отобранные по специально разработанной схеме, базирующейся, как правило, на
принципе случайности. Выборочное наблюдение ставит перед собой задачу - по
обследуемой части дать характеристику всей совокупности единиц, при условии
соблюдения всех правил и принципов поведения статистического наблюдения и
научно организованной работы по отбору единиц. Теория выборочных
обследований базируется на принципе, исключающем субъективность и
тенденциозность поведения отбора единиц для их последующего изучения по заранее
разработанной программе. Она исходит из следующих положений: − выбор той
или иной конкретной единицы для обследования должен быть независим от воли,
субъективного подхода лица, производящего отбор; − выбор должен быть
независим от значений изучаемых статистических характеристик (показателей),
которыми обладают отдельные единицы совокупности; − процесс отбора должен
быть организован так, чтобы все единицы совокупности имели равные шансы, равные
вероятности быть отобранными.
Предметом выборочного обследования является количественная сторона
массовых социально экономических явлений в неразрывной связи с качественной
стороной в конкретных условиях места и времени, исследуемая на основе принципов
выборочного метода. Методология включает: 1. Выборочное наблюдение - на этом
этапе собираются сведения о каждой единице совокупности, сформированные на
основе того или иного способа отбора из общей совокупности единиц. 2. Сводка и
группировка полученных на основе выборочного обследования материалов - на этом
этапе сведения, относящиеся к каждой единице выборочной совокупности,
объединяются в группы и подгруппы по заранее разработанной программе. 3.
Собранные и сгруппированные данные анализируются и распространяются на всю
изучаемую совокупность, при этом рассчитываются абсолютные, относительные,
средние показатели.
Необходимым условием применения методологии выборочного наблюдения
является решение таких вопросов, как предварительная оценка необходимого объема
выборки и, когда это возможно, ее точности.
Метод отбора определяет возможность продолжения участия отобранной
единицы в процедуре отбора. Бесповторным или отбором без возвращения называется
такой отбор, при котором попавшая в выборку единица не возвращается в
совокупность, из которой осуществляется дальнейший отбор.
При повторном отборе или отборе с возвращением попавшая в выборку единица
после регистрации наблюдаемых признаков возвращается в исходную (генеральную)
совокупность для участия в дальнейшей процедуре отбора. При этом методе отбора
объем генеральной совокупности на всем протяжении процедуры выборки остается
неизменным, что обусловливает постоянною вероятность попадания в выборку для
всех единиц совокупности. Повторный метод отбора применяется в тех случаях,
когда характер исследуемого явления предполагает возможность повторной
регистрации единиц.
В мировой практике выборочных обследований наибольшее распространение
получили следующие выборки:• собственно-случайная (простая случайная);•
механическая (систематический отбор);• типическая (расслоенная,
стратифицированная);• серийная (гнездовая);• комбинированная;
Выборочная доля - доля единиц в выборочной совокупности, обладающих
определенным вариантом или вариантами изучаемого признака.
Выборочная совокупность - совокупность отобранных для обследования
единиц.
Выборочная средняя - среднее значение изучаемого признака по выборочной
совокупности.
Выборочное наблюдение - несплошное наблюдение, при котором признаки
регистрируются у отдельных единиц изучаемой стат. совокупности, отобранных с
использованием спец. методов, а полученные в процессе обследования результаты с
определенным уровнем вероятности распространяются на всю исходную совокупность.
Генеральная доля - доля единиц в генеральной совокупности, обладающих
определенным вариантом или вариантами изучаемого признака. Генеральная
совокупность - исходная изучаемая стат. совокупность, из которой на основе
отбора единиц или групп единиц формируется выборочная совокупность. Генеральная
средняя - среднее значение изучаемого признака по генеральной совокупности.
Метод отбора - алгоритм извлечения единиц или групп единиц из генеральной
совокупности, реализующий принцип случайности отбора и лежащий в основе того или
иного способа формирования выборочной совокупности (вида выборки).
Объем выборочной совокупности - планируемое или фактическое число единиц
ген. совокупности, отбираемых ля регистрации наблюдаемых признаков. Ошибка
репрезентативности - расхождение между стат. хар-ками выборочной совокупности и
генеральной совокупностей, обусловленное нарушением принципов формирования
выборки или случайными факторами.
26. Алгоритмы формирования выборочной совокупности
Реализация выборочного метода базируется на понятиях генеральной и
выборочной совокупностей.
По виду различают индивидуальный, групповой и комбинированный отбор. При
индивидуальном отборе в выборочную совокупность отбираются отдельные единицы
генеральной совокупности, при групповом отборе - группы единиц, а
комбинированный отбор предполагает сочетание группового и индивидуального
отбора.
Метод отбора определяет возможность продолжения участия отобранной
единицы в процедуре отбора. Бесповторным или отбором без возвращения
называется такой отбор, при котором попавшая в выборку единица не возвращается
в совокупность, из которой осуществляется дальнейший отбор. Повторный
метод отбора применяется в тех случаях, когда характер исследуемого явления
предполагает возможность повторной регистрации единиц. В мировой практике
выборочных обследований наибольшее распространение получили следующие
выборки:• собственно-случайная (простая случайная);• механическая
(систематический отбор);• типическая (расслоенная, стратифицированная);•
серийная (гнездовая);• комбинированная;
Собственно-случайная или простая случайная выборка заключается в отборе единиц из
генеральной совокупности в случайном порядке без каких-либо элементов
системности. Необходимо убедиться, что все без исключения единицы генеральной
совокупности имеют абсолютно равные шансы попадания в выборку. Следует также
установить четкие границы генеральной совокупности таким образом, чтобы
включение или не включение в нее отдельных единиц не вызывало сомнений.
Для реализации простой случайной выборки могут применяться различные
алгоритмы отбора.
Алгоритм случайной сортировки.• каждой единице совокупности
присваивается случайное число u, полученное с помощью процессора случайных
чисел в интервале от 0 до 1 (полученные случайные числа должны в той или иной
степени соответствовать закону равномерного распределения), • единицы
совокупности ранжируются в порядке убывания (возрастания) u;• отбираются n
первых единиц.Недостаток: требуется относительно долгая процедура
сортировки в случае большого объема N (генеральной совокупности). Достоинства
данного метода заключаются в простом алгоритме отбора единиц, а также в
возможности формирования нескольких выборок без перекрытия или с контролируемым
перекрытием.
Алгоритм прямой реализации.• все единицы генеральной совокупности нумеруются от 1
до N;• образуют n чисел в интервале от 1 до N в соответствии с законом
равномерного распределения (с помощью процессора случайных чисел); • из
сформированного списка единиц генеральной совокупности отбираются единицы, по
номеру соответствующие образованным числам. Преимущество: требует только
одного считывания файла (в случае ранжирования n случайных чисел).
Алгоритм
метода отбора-отказа.•
последовательно образуют случайные числа u1, u2... в соответствии с законом
равномерного распределения в интервале от 0 до 1;• если u1 < n/N,
то первая из списка единица извлекается в выборку, в противном случае -
отбрасывается;• для последующих единиц: если
, то
единица (k+1) извлекается, в противном случае - отбрасывается; где k - число
просмотренных единиц; nk - число отобранных единиц среди первых k
просмотренных единиц. • процедура заканчивается, когда nk = n, т.е.
когда выборка необходимого объема полностью сформирована. Преимущество:
является наиболее экономичным, так как при его реализации происходит только
одно считывание файла без каких-либо предварительных сортировок единиц
генеральной совокупности или случайных чисел. После проведения отбора
для определения возможных границ генеральных характеристик рассчитываются
средняя и предельная ошибки выборки.
Механическая
выборка (систематический отбор)
применяется в случаях, когда генеральная совокупность каким-либо образом
упорядочена, т.е. имеется определенная последовательность в расположении единиц.
Для
проведения механической выборки устанавливается пропорция отбора, которая
определяется соотнесением объемов выборочной и генеральной совокупностей.
Серийный
отбор или гнездовой способ отбора удобен
в тех случаях, когда единицы совокупности объединены в небольшие группы или
серии. Сущность серийной выборки заключается в собственно-случайном либо
механическом отборе серий, внутри которых производится сплошное обследование
единиц.
Многоступенчатым
называется отбор, при котором из
генеральной совокупности сначала извлекаются укрупненные группы, потом - более
мелкие и так до тех пор, пока не будут отобраны те единицы, которые
подвергаются обследованию.
В
отличии от многоступенчатой, многофазная выборка предполагает сохранение
одной и той же единицы отбора на всех этапах его проведения, при этом
отобранные на каждой стадии единицы подвергаются обследованию (на каждой
последующей стадии отбора программа обследования расширяется).
27.
Простая случайная выборка
Простая
случайная выборка заключается в отборе единиц из генеральной совокупности в
целом, без разделения ее на группы, подгруппы или серии отдельных единиц. При
этом единицы отбираются в случайном порядке, не зависящем ни от
последовательности расположения единиц, ни от значений их признаков. прежде чем
производить собственно-случайный отбор, необходимо убедиться, что все без
исключения единицы генеральной совокупности имеют абсолютно равные шансы
попадания в выборку. Следует установить четкие границы генеральной совокупности
таким образом, чтобы включение или невключение в нее отдельных единиц не
вызывало сомнений.
Технически
собственно-случайный отбор проводят методом жеребьевки или по таблице случайных
чисел. При отборе по таблицам случайных чисел каждая единица генеральной
совокупности должна иметь порядковый номер. В выборочную совокупность
отбираются единицы с порядковыми номерами, соответствующими числам выбранного
столбца.
После
проведения отбора рассчитываются:
средняя
ошибка повторной выборки
; при бесповторной выборке
предельная
ошибка выборки с учетом выбранного уровня вероятности и соответствующего ему
значения t
необходимый
объем для повторной случайной выборки
; для
бесповторной выборки
28. Систематическая выборка
Систематическая (механическая) выборка может быть применена в тех
случаях, когда ген. совокупность каким-либо образом упорядочена. Для проведения
мех выборки устанавливается пропорция отбора, которая определяется соотнесением
объемов выборочной и ген. совокупностей. Отбор единиц осуществляется в
соответствии с установленной пропорцией через равные интервалы (например,
каждая 50-я единица). Опасность систематической ошибки при механической выборке
также может появиться вследствие случайного совпадения выбранного интервала и
циклических закономерностей в расположении единиц генеральной совокупности.
Именно по этой причине, а также в связи с трудоемкостью предварительной
сортировки, данный способ отбора не имеет большого распространения в практике
статистических работ.
Средняя ошибка и необходимый объем при бесповторном отборе определяются
также как при простой случайной выборке.
После проведения отбора рассчитываются:
-
средняя ошибка повторной выборки
; при
бесповторной выборке
предельная
ошибка выборки с учетом выбранного уровня вероятности и соответствующего ему
значения t
необходимый
объем для повторной случайной выборки
; для
бесповторной выборки
. Расслоенная выборка
Также называется типический или стратифицированный отбор. Применяется в
тех случаях, когда все единицы ген. совокупности объединены в несколько крупных
типических групп (области, районы, возрастные группы). Рассматривать
генеральную совокупность в разрезе нескольких крупных единиц имеет смысл только
в том случае, если средние значения изучаемых признаков по группам существенно
различаются. При обследованиях населения такими группами могут быть, например,
районы, социальные, возрастные или образовательные группы, при обследовании
предприятий - отрасль и подотрасль, форма собственности и т.п.
Поскольку в выборочную совокупность в той или иной пропорции обязательно
попадают представители всех групп, типизация генеральной совокупности позволяет
исключить влияние межгрупповой дисперсии на среднюю ошибку выборки, которая в
этом случае определяется только внутригрупповой вариацией. Данный способ отбора
при переводе реального сектора на несплошные методы наблюдения, должен быть
основным, так как он позволяет учесть региональные и отраслевые классификации
субъектов финансово-хозяйственной деятельности.
Отбор единиц в типическую выборку может быть организован либо
пропорционально объему типических групп, либо пропорционально внутригрупповой
дифференциации признака (оптимальное размещение Чупрова - Неймана). Отбор
единиц в выборочную совокупность из каждой типической группы осуществляется
простым случайным или механическим способом.
При
выборке, пропорциональной объему групп, число единиц, подлежащих отбору из
каждой группы, определяется по ф-ле:
, где Ni -
объем i-ой группы, n(i) - объем
выборки из i-ой группы.
Средняя
ошибка определяется по ф-лам:
повторный
отбор
, - бесповторный отбор
,
где
- средняя из внутригрупповых дисперсий.
При
определении необходимого объема используются ф-лы:
повторный
отбор
, бесповторный отбор
При
отборе единиц, пропорциональном вариации признака число наблюдений по каждой
группе рассчитывается по ф-ле:
Средняя
ошибка рассчитывается по ф-лам:
-
повторный отбор
,
бесповторный
отбор
.
30. Кластерная (сериальная) выборка
Сущность серийной выборки заключается в собственно-случайном или
механическом отборе групп единиц (серий), внутри которых производится сплошное
обследование. Единицей отбора служит группа или серия.
Средняя ошибка серийной выборки рассчитывается по ф-лам:
-
повторный отбор
, бесповторный отбор
,
где r - число отобранных серий, R - общее число
серий.
Межгрупповая
дисперсия при равновеликих группах вычисляется след образом:
,
где
x(i) - средняя i - ой серии, x -
общая средняя по всей выборочной совокупности.
Для
определения необходимого объема выборки при заданной предельной ошибке
используются след ф-лы:
повторный
отбор
, бесповторный отбор
.
. Случайные величины. Закон
распределение вероятностей дискретной случайной величины
Случайная величина - это измеримая функция, заданная на каком-либо
вероятностном пространстве. Случайная величина - одно из основных понятий
теории вероятностей.
Наряду со случайными событиями, как фактами в схеме испытаний,
характеризующими её качественно, результаты опытов можно описать количественно.
Это и ведёт к понятию случайной величины в теории вероятностей. Фактически,
всегда результаты опытов со схемой можно представить количественно с помощью
одной или нескольких числовых величин. Так, в конечных схемах описаний вместо самих
элементарных исходов можно рассматривать их номиналы (идентификаторы).
Например, при бросании монеты «решка» - это 0, а «орел» - это 1; при бросании
игральной кости результаты - суть номера граней от 1 до 6 и т. п.
Переменная величина называется случайной, если в результате опыта она
может принимать действительные значения с определёнными вероятностями.
Случайная величина Х называется дискретной, если существует такая
неотрицательная функция
которая ставит в соответствие значению хi переменной Х вероятность рi, с которой она принимает это
значение. Дискретные случайные величины X и Y
называются независимыми, если события Х = хi и Y = yi при произвольных i и j являются независимыми.
Случайная величина Х называется непрерывной, если для любых a < b существует такая неотрицательная функция f ( x ), что
Закон распределения вероятностей дискретной случайной величины
Законом распределения случайной дискретной величины (X) называется всякое
соотношение, устанавливающее связь между возможными значениями случайной
величины (x1,x2,...xn) и соответствующими им
вероятностями (p1,p2,...,pn). При этом события
(x1,x2,...xn) образуют полную группу (т.е.
появление одного из них является достоверным событием), что означает
(1)
Про случайную величину X в таком случае говорят, что она подчинена
данному закону распределения.
Если множество возможных значений Х бесконечно (счетно), то ряд
сходится
и его сумма равна единице.
Простейшей формой задания этого закона является таблица, в которой
перечислены возможные значения случайной величины и соответствующие им
вероятности:
|
Возможное значение X
|
X1
|
Х2
|
...
|
Хn
|
|
Вероятность
|
Р1
|
Р2
|
...
|
Рn
|
Такая таблица называется таблицей распределения (вероятностей) случайной
величины X.
. Функция распределения и плотность вероятности случайной величины, их
свойства
Каждая случайная величина полностью определяется своей функцией
распределения.
Случайная величина Х называется непрерывной, если для любых a < b существует такая неотрицательная функция f ( x ), что
Функция f ( x ) называется плотностью распределения непрерывной случайной
величины.
Вероятность того, что случайная величина Х принимает значение меньшее х,
называется функцией распределения случайной величины Х и обозначается F ( x ):
F ( x ) = Р ( X
x ).
Общие свойства функции распределения:
. Основные числовые характеристики случайной величины и их свойства
Случайные величины, помимо законов распределения, могут описываться
числовыми характеристиками.
Математическим ожиданием дискретной случайной величины Х принимающей
конечное число значений хi
с вероятностями рi,
называется сумма:
М ( Х ) = х1 · р1 + х2 · р2 +
х3 · р3 +... + хn· рn.
Свойства математического ожидания:
Математическое ожидание постоянной равно самой постоянной:
М(С) = С
Постоянный множитель можно выносить за знак математического ожидания:
М ( с · Х ) = с · М ( Х ), c
R
Математическое ожидание суммы двух случайных величин ( зависимых или
независимых ) равно сумме математических ожиданий слагаемых:
М ( Х + Y ) = М ( Х ) + М ( Y ), Х, Y
Е
Математическое ожидание произведения двух независимых случайных величин
равно произведению их математических ожиданий:
М ( Х · Y ) = М ( Х ) М ( Y ) для независимых случайных величин
Х и Y
Дисперсией (рассеянием) случайной величины называется математическое
ожидание квадрата ее отклонения от ее математического ожидания.
Дисперсией случайной величины Х называется число:
D ( Х
) = М{ [ Х - М ( Х )] 2 }= М ( Х 2 ) - [М ( Х )] 2.
Свойства дисперсии:
) Дисперсия постоянной величины С равна нулю: D (C) = 0.
) Постоянный множитель можно выносить за знак дисперсии, возведя его в
квадрат: D(CX) = C²D(X).
) Дисперсия суммы двух независимых случайных величин равна сумме их
дисперсий: D(X + Y) = D(X) + D(Y). 4) Дисперсия разности двух
независимых случайных величин равна сумме их дисперсий: D(X - Y) = D(X) + D(Y). Дисперсия дает среднее значение
квадрата отклонения случайной величины от среднего; для оценки самого
отклонения служит величина, называемая средним квадратическим отклонением.
Средним квадратичным отклонением σ случайной величины Х называется
квадратный корень из дисперсии:
34.Биноминальный
закон распределения случайной величины
Биномиальное распределение
Дискретная
случайная величина
распределена по биномиальному закону с параметрами
и
, если
она принимает значения
с вероятностями
.
n-число
испытаний, m- число испытаний, в котором произошло интересующее
нас событие А.
Корректность
распределения:
Математическое
ожидание биномиально распределенной случайной величины
, дисперсия
.
Биноминальный
закон распределения широко используется в теории и практике статистического
контроля качества продукции, при описании функционирования систем массового
обслуживания, при моделировании цен активов, в теории стрельбы, других
отраслях.
35.
Нормальный закон распределения случайной величины
Нормальное распределение (закон Гаусса)
Непрерывная
случайная величина
распределена по нормальному закону с параметрами
и
, если
плотность вероятности данной величины имеет вид:
.
Данное
распределение вероятностей принято обозначать символом
.
Нормальный закон распределения с параметрами
, 
называется
стандартным или нормированным (обозначается
).
График
плотности нормального распределения симметричен относительно вертикальной прямой,
проходящей через точку оси абсцисс
, и
достигает в указанной точке максимума, равного
; имеет
две точки перегиба
.
Математическое
ожидание случайной величины
,
подчиненной нормальному закону распределения, равно параметру
, а её среднее квадратическое отклонение - параметру
:
,
.
Коэффициенты
асимметрии
и эксцесса
случайной
величины, подчиненной нормальному закону распределения, равны нулю.
Медиана
и мода
нормально
распределенной случайной величины совпадают с её математическим ожиданием.
Интегральная
функция распределения случайной величины
,
подчиненной нормальному закону распределения, связана с функцией Лапласа
следующим соотношением:
.
«Правило
трех сигм». X … (a-3σ,
a+3σ).
Нормальное
распределение является наиболее часто встречающимся в приложениях
распределением. Причина такого широкого распространения этого закона
заключается в том, что практически важные случайные величины слагаются из очень
большого числа независимых случайных величин, каждая из которых лишь
незначительно влияет на их сумму. Подобные суммы распределены почти по нормальному
закону.
36. Парные и частные коэффициенты корреляции, их свойства
Корреляционный анализ является одним из методов оценки взаимосвязи между
переменными величинами на основе выборочных данных.
При построении корреляционных моделей исходят из условия нормальности
многомерного закона распределения генеральной совокупности, что обеспечивает
линейный характер связи между изучаемыми признаками.
Двумерная
корреляционная модель. Изучается корреляционная зависимость между признаками
и
.
Построение двумерной корреляционной модели предполагает, что распределение
двумерной случайной величины
является
нормальным, а независимая повторная выборка из генеральной совокупности -
репрезентативной. Плотность двумерного нормального закона распределения
:
-
парный коэффициент корреляции, характеризующий тесноту линейной связи между
величинами
и
.
- математическое ожидание
;
-
математическое ожидание
;
-
дисперсия
;
-
дисперсия
;
Замечание. Парный коэффициент корреляции
является одним из самых распространенных способов измерения
связи между случайными величинами.
Величина
не имеет размерности и, следовательно, может быть
использована для сопоставления различных статистических рядов. По мере
приближения
к единице условные дисперсии стремятся к нулю, что
свидетельствует о меньшем рассеянии значений переменных относительно
соответствующих линий регрессии и о более тесной связи между переменными.
Значение
свидетельствует о наличии функциональной линейной
зависимости между рассматриваемыми признаками. Если
, то линейная связь между
и
отсутствует,
однако это не означает их вероятностную независимость. В этом случае не
исключается возможность существования иной формы зависимости между переменными.
Частный
коэффициент корреляции
.
где
- определитель матрицы, получающейся из матрицы
удалением
-ой
строки и
-го столбца.
В
случае трехмерной корреляционной модели для переменных
можно определить три частных коэффициента корреляции.
Частный коэффициент корреляции, например между
и
при фиксированном
служит
показателем связи между переменными
и
независимо от влияния фиксируемой переменной
.
Напомним,
что парный коэффициент корреляции показывает тесноту связи между переменными
и
на фоне
действия
.
Частный
коэффициент корреляции обладает всеми свойствами парного коэффициента
корреляции, т.к. является коэффициентом корреляции
для их условного двумерного распределения.
Если
парный коэффициент корреляции между данными случайными величинами отличен от
соответствующего частного коэффициента, то, следовательно, фиксированные
величины усиливает (или ослабляют) взаимосвязь между изучаемыми переменными.
37.
Множественные коэффициенты корреляции и детерминации, их свойства
Мерой
тесноты линейной взаимосвязи между переменной
и
совокупностью остальных переменных служит множественный коэффициент корреляции
(обобщение парного коэффициента корреляции
):
,
где
- определитель матрицы
;
-
определитель матрицы, получающейся из матрицы
удалением
-ой строки и
-го
столбца.
В
случае трехмерной корреляционной модели для переменных
можно рассчитать три множественных коэффициента
корреляции. В частности,
статистический вероятность дискретный экономический
.
Точечная
оценка
- выборочный множественный коэффициент корреляции:
Выборочный
множественный коэффициент детерминации.
показывает долю дисперсии случайной величины
,
обусловленную изменением остальных переменных.
Свойства
множественного коэффициента корреляции
.
Если
, то связь между
и
остальными переменными является функциональной. В частном случае трехмерной
корреляционной модели точки
расположены
в плоскости регрессии
на
.
Если
, то случайная величина
независима
от других рассматриваемых переменных.
Множественный
коэффициент корреляции не уменьшается при введении в модель дополнительных
признаков и не увеличивается при исключении отдельных признаков из модели.
Для
коэффициента детерминации функциональная связь возникает при значении равном 1,
а отсутствие связи - 0. При значениях показателей тесноты связи меньше 0,7
величина коэффициента детерминации всегда будет ниже 50%. Это означает, что на
долю вариации факторных признаков приходится меньшая часть по сравнению с
остальными неучтенными в модели факторами, влияющими на изменение
результативного показателя. Построенные при таких условиях регрессионные модели
имеют низкое практическое значение.
38. Понятие
генеральной совокупности и выборки из нее
Множество результатов всех обусловленных данным реальным комплексом
условий мыслимых наблюдений над значениями одного или нескольких признаков
называется генеральной совокупностью. Генеральная совокупность может содержать
как конечное, так и бесконечное число объектов.
Часть объектов генеральной совокупности, отобранных для изучения,
называется выборочной совокупностью объектов.
Сущность выборочного метода состоит в вынесении научно обоснованного
суждения об объективных свойствах генеральной совокупности по выборочной
совокупности. Для того чтобы по содержащейся в выборочных данных информации
можно было сделать правильные выводы обо всей генеральной совокупности,
выборочная совокупность должна быть репрезентативной, т.е. верно отражать
пропорции генеральной совокупности. Реально это достигается случайностью
отбора, когда все объекты генеральной совокупности имеют одинаковые шансы стать
отобранными.
Выборка
В математической теории выборочного метода, абстрагируясь от природы
объектов генеральной совокупности, под выборкой понимается множество значений
наблюдаемого признака, соответствующее конечной выборочной совокупности
объектов, образованной последовательным случайным выбором элементов.
Любой
рассматриваемой генеральной совокупности отвечает некоторое вероятностное
пространство, по отношению к которому интересующий признак
обладает интегральной функцией распределения
.
Пусть
определен комплекс
условий, осуществление которых дает возможность
наблюдать значение признака
, тогда
последовательность
значений, принятых наблюдаемым признаком
в результате
независимых
повторений испытания
, называется независимой повторной выборкой объема
из генеральной совокупности с функцией распределения
.
Если
заново провести серию
таких испытаний, то вместо числа
(равно как и вместо любого из остальных элементов
выборки), возможно, появится некое другое число - одно из допустимых значений
случайной величины
. Поэтому, набор чисел
интерпретируется
как конкретное воплощение набора из
случайных
величин
("копий"
) с одной
и той же функцией распределения
.
Таким
образом, каждая независимая повторная выборка
объема
есть реализация случайного
-мерного вектора
с
независимыми и одинаково распределенными компонентами.
. Определение точечной оценки (статистики) и основные требования,
предъявляемые к точечной оценке (несмещенность, состоятельность, эффективность)
Точечная
оценка в математической статистике - это число, вычисляемое на основе
наблюдений, предположительно близкое оцениваемому параметру. Пусть
- выборка из распределения, зависящего от параметра qÎ Q. Тогда статистику 
называют
точечной оценкой параметра 
.
Существует
несколько методов определения оценок. Наиболее распространен метод
максимального правдоподобия, теоретически обоснованный математиком Р. Фишером.
Идея метода заключается в следующем. Вся получаемая в результате многократных
наблюдений информация об истинном значении измеряемой величины и рассеивании
результатов сосредоточена в ряде наблюдений
, где n -
число наблюдений. Их можно рассматривать как n независимых
случайных величин с одной и той же дифференциальной функцией распределения 
.
Вероятность 
получения
в эксперименте некоторого результата 
,
лежащего в интервале 
, где 
-
некоторая малая величина, равна соответствующему элементу вероятности 
.
Независимость
результатов наблюдений позволяет найти априорную вероятность появления
одновременно всех экспериментальных данных, т.е. всего ряда наблюдений
как произведение этих вероятностей:

Если
рассматривать Q и 
как
неизвестные параметры распределения, то, подставляя различные значения Q и 
в эту
формулу, мы будем получать различные значения вероятности 
при
каждом фиксированном ряде наблюдений
. При
некоторых значениях 
и 
вероятность
получения экспериментальных данных 
достигает
наибольшего значения. В соответствии с методом максимального правдоподобия
именно эти значения и принимаются в качестве точечных оценок истинного значения
и среднеквадратического отклонения результатов наблюдений.Таким образом, метод
максимального правдоподобия сводится к отысканию таких оценок 
и 
, при
которых функция правдоподобия 
достигает
наибольшего значения. Постоянный сомножитель 
не
оказывает влияния на решение и поэтому может быть отброшен. Полученные оценки 
и 
истинного
значения и среднеквадратического отклонения называются оценками максимального
правдоподобия.
Наряду
с методом максимального правдоподобия при определении точечных оценок широко
используется метод наименьших квадратов. В соответствии с этим методом среди
некоторого класса оценок выбирают ту, которая обладает наименьшей дисперсией,
т. е. наиболее эффективную оценку. Легко заметить, что среди всех линейных
оценок истинного значения вида 
, где 
-
некоторые постоянные, именно среднее арифметическое 
обращает
в минимум дисперсию 
. Поэтому
для случая нормально распределенных случайных погрешностей оценки, получаемые
методом наименьших квадратов, совпадают с оценками максимального правдоподобия.
Формально
статистика может не иметь ничего общего с интересующим нас значением параметра θ. Её полезность для получения практически приемлемых
оценок вытекает из дополнительных свойств, которыми она обладает или не
обладает.
Свойства
точечных оценок:
Оценка

называется
несмещённой, если ее математическое ожидание равно оцениваемому параметру
генеральной совокупности: 
, где E
обозначает математическое ожидание.
Оценка

называется
эффективной, если она обладает минимальной дисперсией среди всех возможных
точечных оценок.

Оценка

называется
состоятельной, если она по вероятности с увеличением объема выборки n стремится
к параметру генеральной совокупности: 
, 
по
вероятности при 
.
40. Метод
моментов и метод наибольшего правдоподобия для построения точечных оценок
Точечная
оценка в математической статистике - это число, вычисляемое на основе
наблюдений, предположительно близкое оцениваемому параметру. Пусть
- выборка из распределения, зависящего от параметра qÎ Q. Тогда статистику 
называют
точечной оценкой параметра 
.
Свойства
точечных оценок:
1.Оценка

называется
несмещённой, если ее математическое ожидание равно оцениваемому параметру
генеральной совокупности:
.Оценка

называется
эффективной, если она обладает минимальной дисперсией среди всех возможных
точечных оценок.
.
Оценка 
называется
состоятельной, если она по вероятности с увеличением объема выборки n стремится
к параметру генеральной совокупности.
Существует
несколько методов определения оценок.
Наиболее
распространен метод максимального правдоподобия, теоретически обоснованный
математиком Р. Фишером. Идея метода заключается в следующем. Вся получаемая в
результате многократных наблюдений информация об истинном значении измеряемой
величины и рассеивании результатов сосредоточена в ряде наблюдений
, где n - число наблюдений. Их можно рассматривать как n
независимых случайных величин с одной и той же дифференциальной функцией
распределения 
.
Вероятность 
получения
в эксперименте некоторого результата 
,
лежащего в интервале 
, где 
-
некоторая малая величина, равна соответствующему элементу вероятности 
.
Независимость
результатов наблюдений позволяет найти априорную вероятность появления
одновременно всех экспериментальных данных, т.е. всего ряда наблюдений
как произведение этих вероятностей:

Если
рассматривать Q и 
как
неизвестные параметры распределения, то, подставляя различные значения Q и 
в эту
формулу, мы будем получать различные значения вероятности 
при
каждом фиксированном ряде наблюдений
. При
некоторых значениях 
и 
вероятность
получения экспериментальных данных 
достигает
наибольшего значения. В соответствии с методом максимального правдоподобия
именно эти значения и принимаются в качестве точечных оценок истинного значения
и среднеквадратического отклонения результатов наблюдений. Таким образом, метод
максимального правдоподобия сводится к отысканию таких оценок 
и 
, при
которых функция правдоподобия 
достигает
наибольшего значения. Постоянный сомножитель 
не
оказывает влияния на решение и поэтому может быть отброшен. Полученные оценки 
и 
истинного
значения и среднеквадратического отклонения называются оценками максимального
правдоподобия.
Метод
моментов К.Пирсона. Любой теоретический начальный или центральный момент случайной
величины, распределение которой зависит от параметра, также зависит от этого
параметра.Оценка компонент
векторного
параметра по методу К.Пирсона осуществляется по определенному количеству
моментов различных порядков (начальных, центральных
или тех и других). В качестве оценки (приближения) параметра
принимается такой вектор
, при котором каждый из выбранных теоретических
моментов совпадает с соответствующим эмпирическим моментом, вычисленным по
выборке
. Приравниваем выборочные и теоретические моменты:
41-44.
Интервальные оценки параметров генеральной совокупности
Дана выборка (x1, x2, …, xn) объема n из генеральной совокупности с генеральным средним a и генеральной дисперсией 2.
Ищется интервал [Θ1, Θ2], в котором a может находиться с доверительной вероятностью γ.
Доверительный
интервал для неизвестного математического ожидания a при известной
дисперсии
Предполагая,
что предварительно определена точечная оценка a - выборочное
среднее
, в качестве статистики для получения Θ1 = Θ1(x1, x2, …, xn) и
Θ2=Θ2(x1, x2, …, xn)
рассмотрим нормированное выборочное среднее
, имеющее
нормальное распределение (
).
, где
- функция Лапласа.
Полагаем
.
доверительный
интервал:
.
Точность
оценки:
.
Доверительный
интервал для неизвестного математического ожидания
при неизвестной дисперсии
рассматривается
нормированное выборочное среднее
,
где
- несмещенная оценка
при
неизвестном
. Величина z имеет не зависящее от
распределение Стьюдента с
степенями свободы.
Доверительный
интервал:
.
Точность
оценки:
.
Доверительный
интервал для неизвестной дисперсии
при известном
математическом ожидании
В
качестве статистики рассматривается величина
,
где
- несмещенная оценка
при
известном
. Функция имеет не зависящее от
распределение
с
степенями свободы.
доверительный
интервал:
Доверительный
интервал для неизвестной дисперсии
при неизвестном
математическом ожидании
.
45.
Статистические гипотезы и правила их проверки. Статистические критерии
Основные типы гипотез, проверяемых в ходе статистического анализа и
моделирования: гипотезы о типе закона распределения исследуемой случайной
величины, гипотезы об однородности двух или нескольких обрабатываемых выборок
или некоторых характеристик анализируемых совокупностей, гипотезы о числовых
значениях параметров исследуемой генеральной совокупности, гипотезы об общем
виде модели, описывающей статистическую зависимость между признаками.
Пусть
- независимая повторная выборка объема
из некоторой генеральной совокупности с неизвестной
функцией распределения
.
Под
статистической гипотезой понимается всякое предположение о виде или параметрах
неизвестного закона распределения. Гипотеза есть определенное утверждение,
которое по отношению к реальной ситуации является или истинным, или ложным
высказыванием. Простой статистической гипотезой называется предположение о
соответствии неизвестной функции распределения
некоторому
конкретному распределению вероятностей. Сложной статистической гипотезой
называется предположение о том, что неизвестное распределение принадлежит
некоторому множеству распределений, состоящему более чем из одного элемента.
Если удается выдвинуть две взаимоисключающие статистические гипотезы,
содержащих в своей совокупности верное суждение о неизвестном распределении, то
проверяемую гипотезу
принято называть основной (или нулевой), а
противоположную гипотезу
- альтернативой (или конкурирующей гипотезой). Этапы
проверки статистических гипотез. Формулировка основной гипотезы H0 и
конкурирующей гипотезы H1. Гипотезы должны быть чётко формализованы
в математических терминах. Задание уровня значимости α, отвечающей ошибкам первого рода, на котором в
дальнейшем и будет сделан вывод о правдивости гипотезы. Расчёт статистики K
критерия. Построение критической области. Вывод об истинности гипотезы.
Наблюдаемые значения выборки подставляются в статистику K и
по попаданию (или непопаданию) в критическую область W выносится
решение об отвержении (или принятии) выдвинутой гипотезы H0. Статистический
критерий. Правило, определяющее условия, при которых статистическая гипотеза
отвергается или не отвергается, называется статистическим критерием.
Математическую основу критерия составляет выбираемая с учетом особенностей
поставленной конкретной задачи специальная статистика
, точное или приближенное распределение которой при
выполнении гипотезы
известно. В области возможных значений статистики
критерия
выделяется множество
,
называемое критической областью (областью отвержения гипотезы). При проверке
гипотезы
руководствуются следующим правилом: если значение
статистики критерия
для выборки
принадлежит
критической области
, то гипотеза
отвергается,
в противном случае - не отвергается. В результате проверки гипотезы
при заданном критерии
;
возможны верные решения двух следующих видов: истинная гипотеза
не отвергается; ложная гипотеза
отвергается. Ошибка первого рода совершается, когда
основная гипотеза
верна, но отвергается в соответствии с заданным
критерием
. Вероятность
ошибки
первого рода называется уровнем значимости (или размером) критерия
:
. На
практике уровень значимости критерия задается изначально, исходя из
потребностей реальных приложений и потенциальных последствий вероятных ошибок.
Ошибка второго рода допускается, когда альтернативная гипотеза
верна, но отвергается в соответствии с заданным
критерием
(т.е. если основная гипотеза
не верна, но не отвергается). Величина
, где
-
вероятность ошибки второго рода:
,
называется мощностью критерия
. Статистические критерии подразделяются на следующие
категории: Критерии согласия
(Пирсона, Колмогорова-Смирнова) - проверка факта о том, что исследуемая
случайная величина подчиняется предполагаемому закону. Критерии согласия можно
также воспринимать, как критерии значимости. Критерии однородности (Смирнова,
Вилкоксона-Манна-Уитни, Стьюдента, критерий дисперсионного анализа, критерий
однородности дисперсий, критерий Бартлетта) - случайные величины исследуются на
факт взаимного соответствия их законов распределения (подчиняются ли эти
величины одному и тому же закону). Критерии проверки гипотез о числовых
значениях параметров.
46 - 48.
Статистическая проверка гипотез
О
генеральных долях. Имеются две генеральные совокупности
и
, доли
признака в которых равны соответственно
.
Требуется по двум независимым выборкам объемов
и
из данных совокупностей проверить сложную гипотезу о
равенстве
.
Пусть
и
- доли
признака в выборках;
- доля признака в объединении выборок
|
H0
|
услов
|
Стат, распр
|
Обл отв Н0
|
|

достаточно
большие
и 
О генеральных дисперсиях нормально распределенных совокупностей.
и
- случайные величины, имеющие нормальные
распределения c неизвестными дисперсиями
и
. Требуется по двум независимым выборкам
и
проверить
гипотезу
.
Используются
статистика
,
где
;
-
исправленные выборочные дисперсии. Если, что выборка с большей исправленной
дисперсией имеет объем
, и c меньшей -
.
|
H0
|
H1
|
услов
|
Стат, распр
|
Обл отв Н0
|
|


не
известны
………………

О
генеральных средних нормально распределенных совокупностей
и
-
нормальные генеральные совокупности. Требуется по двум независимым выборкам
и
из
генеральных совокупностей
и
проверить
сложную гипотезу о равенстве генеральных средних:
|
H0
|
H1
|
услов
|
Стат, распр
|
Обл отв Н0
|
|

известны
……………………

не
известны
……………………
49. Сущность
дисперсионного анализа. Основные задачи, решаемые с его помощью
Дисперсионный анализ (от латинского Dispersio - рассеивание) -
статистический метод, позволяющий анализировать влияние различных факторов на
исследуемую переменную. Целью дисперсионного анализа является проверка
значимости различия между средними с помощью сравнения дисперсий. Дисперсию
измеряемого признака разлагают на независимые слагаемые, каждое из которых
характеризует влияние того или иного фактора или их взаимодействия. Последующее
сравнение таких слагаемых позволяет оценить значимость каждого изучаемого
фактора, а также их комбинации.
Основные понятия дисперсионного анализа
В процессе наблюдения за исследуемым объектом качественные факторы
произвольно или заданным образом изменяются. Конкретная реализация фактора
(например, определенный температурный режим, выбранное оборудование или
материал) называется уровнем фактора или способом обработки. Модель
дисперсионного анализа с фиксированными уровнями факторов называют моделью I,
модель со случайными факторами - моделью II. Благодаря варьированию фактора
можно исследовать его влияние на величину отклика. В настоящее время общая
теория дисперсионного анализа разработана для моделей I.
В
основе дисперсионного анализа лежит разделение дисперсии на части или
компоненты. Вариацию, обусловленную влиянием фактора, положенного в основу
группировки, характеризует межгрупповая дисперсия σ2. Она
является мерой вариации частных средних по группам
вокруг общей средней
и
определяется по формуле:
,
где
k - число групп;
nj - число
единиц в j-ой группе;
- частная
средняя по j-ой группе;
- общая
средняя по совокупности единиц.
Вариацию,
обусловленную влиянием прочих факторов, характеризует в каждой группе
внутригрупповая дисперсия σj2.
.
Между
общей дисперсией σ02, внутригрупповой дисперсией σ2 и
межгрупповой дисперсией
существует соотношение:
σ02 =
+ σ2.
Внутригрупповая
дисперсия объясняет влияние неучтенных при группировке факторов, а межгрупповая
дисперсия объясняет влияние факторов группировки на среднее значение по группе.
Однофакторный
комплекс
Изучается
влияние на нормально распределенный результативный признак
одного контролируемого фактора
, имеющего
уровней
.
Под
уровнем фактора подразумевается его мера или состояние, т.е. некоторое
количественное или качественное значение.
Двухфакторный
комплекс
Изучается
влияние на нормально распределенный результативный признак
фактора
,
имеющего
уровней
и
фактора
с
уровнями
.
. Определение оценок параметров классической линейной модели
множественной регрессии с помощью метода наименьших квадратов
Регрессионный анализ - это статистический метод исследования зависимости
случайной величины Y от переменных Xj (j = 1, 2,..., k), рассматриваемых в
регрессионном анализе как неслучайные величины независимо от истинного закона
распределения Xj.
Наиболее часто используемая множественная линейная модель регрессионного
анализа имеет вид:
y = β0
+β1хi1
+...+βjxij+...+βkxik+εi (2.1)
где εi - случайные ошибки наблюдения,
независимые между собой, имеют нулевую среднюю и дисперсию σ2
В матричной форме регрессионная модель имеет вид:
Y = Xβ + ε (2.2)
где Y - случайный вектор - столбец размерности (n x 1) наблюдаемых
значений результативного признака (y1, y2,..., yn); X - матрица размерности [n
x (k+1)] наблюдаемых значений аргументов. Элемент матрицы xij рассматривается
как неслучайная величина (i =1,2,...,n; j=0,1,2,...k; x=1); β-вектор - столбец размерности [(k+1) x
1] неизвестных, подлежащих оценке параметров (коэффициентов регрессии) модели; ε-случайный вектор - столбец
размерности (n x 1) ошибок наблюдений (остатков). Компоненты вектора ε
независимы между собой,
имеют нормальный закон распределения с нулевым математическим ожиданием (Mε=0)
и неизвестной дисперсией
σ2 (D εi =
σ2).
Для оценки вектора β наиболее часто используют метод наименьших квадратов
(МНК), согласно которому в качестве оценки принимают вектор b, который
минимизирует сумму квадратов отклонения наблюдаемых значений yi от модельных значений ŷ,
т. е. квадратичную форму:
Дифференцируя,
с учетом квадратичную форму Q по вектору β:
и
приравнивая производные нулю, получим оценку метода наименьших квадратов:
Получаем
вектор оценок b, где b=(b0 b1...bk)T.
Оценка
ковариационной матрицы коэффициентов регрессии вектора b определяется из
выражения:
,
где
51-52.
Точечные и интервальные оценки парных, частных и множественных коэффициентов
корреляции, проверка их значимости
Парный коэффициент корреляции характеризует меру статистической
зависимости между величинами.
- парный
коэффициент корреляции,
Частный
коэффициент корреляции характеризует линейную связь между двумя переменными
случайными величинами независимо от влияния остальных случайных переменных.
Точечные
оценки:

;
;
;


интервальные
оценки:
для
парных коэффициентов используют статистику Фишера:
, надежность
, доверительный интервал:
,
-
находится по таблице Лапласа для
Множественный
коэффициент корреляции характеризует меру связи между одной случайной величиной
и остальными. Множественный коэффициент детерминации (квадрат коэф-та корр-ции)
показывает долю дисперсии случайной величины х, обусловленную изменением
остальных случайных величин.
Точечные
оценки:

;
;
;
;
;
;
проверка значимости:
,
для
множественного R v=n-p.
проверка значимости множественного коэффициента детерминации (а также и
множественного коэффициента корреляции) осуществляется с помощью F-распределения. Вычисляется:
далее
с заданным уровнем значимости α и
числами степеней свободы ν1=p-1, и ν2=n-p
находим Fтабл. Если
Fnabl>Fтабл, то
гипотеза H0:ρ2=0
отвергается с вероятностью ошибки α, то есть ρ2 значимо отличается от нуля.
53. Факторный
и компонентный анализ как методы снижения размерности
Компонентный и факторный анализы проводятся с несколькими целями. Как методы
снижения размерности они позволяют выявить закономерности, которые
непосредственно не наблюдаются. Эта задача решается по матрице нагрузок, как и
классификация признаков в пространстве главных компонент (или общих факторов).
А индивидуальные значения используются для классификации объектов (не по
исходным признакам, а по главным компонентам или общим факторам) и для
построения уравнения регрессии на эти обобщенные показатели. Интерпретируются
главные компоненты и общие факторы, которым соответствуют дисперсии больше 1, и
которые имеют хотя бы одну весомую нагрузку. Выбор критической величины, при
превышении которой элемент матрицы нагрузок признается весовым и оказывает
влияние на интерпретацию главной компоненты или общего фактора, определяется по
смыслу решаемой задачи и может варьировать в пределах от 0,5 до 0,9 в
зависимости от получаемых промежуточных результатов. Формальные результаты
должны хорошо интерпретироваться.
Факторный анализ - более мощный и сложный аппарат, чем метод главных
компонент, поэтому он применяется в том случае, если результаты компонентного
анализа не вполне устраивают. Но поскольку эти два метода решают одинаковые
задачи, необходимо сравнить результаты компонентного и факторного анализов,
т.е. матрицы нагрузок, а также уравнения регрессии на главные компоненты и
общие факторы, прокомментировать сходство и различия результатов.
Компонентный анализ предназначен для преобразования системы k исходных
признаков, в систему k новых показателей (главных компонент). Главные
компоненты не коррелированны между собой и упорядочены по величине их
дисперсий, причем, первая главная компонента, имеет наибольшую дисперсию, а
последняя, k-я, наименьшую. При этом выявляются неявные, непосредственно не
измеряемые, но объективно существующие закономерности, обусловленные действием
как внутренних, так и внешних причин.
Компонентный анализ является одним из основных методов факторного
анализа. В задачах снижения размерности и классификации обычно используются m
первых компонент (m< k).
Модель компонентного анализа имеет вид:
(1),
Где aiν - “вес”, факторная нагрузка, ν-ой главной компоненты на j-ой
переменной; fiν - значение ν-й главной компоненты для i-го
наблюдения (объекта), где ν=1,2,...,k.
При наличии результативного показателя Y может быть построено уравнение
регрессии на главных компонентах.
Обычно для анализа используют m первых главных компонент, суммарный вклад
которых превышает 60-70%.
Уравнение регрессии на главных компонентах строится по алгоритму пошагового
регрессионного анализа, где в качестве аргументов используются главные
компоненты, а не исходные показатели. К достоинству последней модели следует
отнести тот факт, что главные компоненты не коррелированы. При построении
уравнений регрессии следует учитывать все главные компоненты.
54.
Кластерный анализ как метод многомерной классификации
Кластерный анализ наиболее ярко отражает черты многомерного анализа в
классификации, факторный анализ - в исследовании связи.
Большое достоинство кластерного анализа в том, что он позволяет
производить разбиение объектов не по одному параметру, а по целому набору
признаков. Кроме того, кластерный анализ в отличие от большинства
математико-статистических методов не накладывает никаких ограничений на вид
рассматриваемых объектов, и позволяет рассматривать множество исходных данных
практически произвольной природы.
Кластерный анализ позволяет рассматривать достаточно большой объем
информации и резко сокращать, сжимать большие массивы социально-экономической
информации, делать их компактными и наглядными.
Как и любой другой метод, кластерный анализ имеет определенные недостатки
и ограничения: В частности, состав и количество кластеров зависит от выбираемых
критериев разбиения. При сведении исходного массива данных к более компактному
виду могут возникать определенные искажения, а также могут теряться
индивидуальные черты отдельных объектов за счет замены их характеристиками
обобщенных значений параметров кластера. При проведении классификации объектов
игнорируется очень часто возможность отсутствия в рассматриваемой совокупности
каких-либо значений кластеров.
Задача кластерного анализа заключается в том, чтобы на основании данных,
содержащихся во множестве Х, разбить множество объектов G на m (m - целое)
кластеров (подмножеств) Q1, Q2, …, Qm, так, чтобы каждый объект Gj принадлежал
одному и только одному подмножеству разбиения и чтобы объекты, принадлежащие
одному и тому же кластеру, были сходными, в то время, как объекты,
принадлежащие разным кластерам были разнородными.
55. Метод
наименьших квадратов (МНК). Свойства МНК-оценок в множественном регрессионном
анализе
Общий
вид КЛММР:
Постулируется
взаимная некоррелированность случайных регрессионных остатков (
для i
j). Тот факт,
что для всех остатков ε1, ε2,…, εn
выполняется соотношение E εi2=σ2, где
величина σ2 от
номера наблюдения I не зависит, означает неизменность дисперсий
регрессионных остатков. Это свойство принято называть гомоскедастичностью
регрессионных остатков.
Матричная
форма записи КЛММР имеет вид:
МНК
Для
оценки вектора β
наиболее часто используют метод
наименьших квадратов (МНК), согласно которому в качестве оценки принимают
вектор b, который минимизирует сумму квадратов отклонения наблюдаемых значений
yi от модельных
значений ŷ, т. е. квадратичную форму:
Дифференцируя,
с учетом квадратичную форму Q по вектору β:
и
приравнивая производные нулю, получим оценку метода наименьших квадратов:
Получаем
вектор оценок b, где b=(b0 b1...bk)T.
Оценка
ковариационной матрицы коэффициентов регрессии вектора b определяется из
выражения:
,
где
Свойства
МНК-оценок.
)
состоятельность
(по вероятности)
n→∞
для
ε,
δ>0, n0, что для
всех объемов выборки выполняется
p
2) несмещенность
. Беря
мат. Ожидание от левой и правой частей с учетом того, что величины
неслучайны, а средние значения остатков равны 0, то
получаем:
. Тем самым показано, что МНК-оценки
неизвестных параметров КЛММР являются несмещенными.
)
эффективность; 4) линейность.
57.
Интервальное оценивание коэффициентов уравнения регрессии
Интервальное оценивание коэффициентов уравнения регрессии
Регрессионный анализ - это статистический метод исследования зависимости
случайной величины Y от переменных Xj (j = 1, 2,..., k), рассматриваемых в
регрессионном анализе как неслучайные величины независимо от истинного закона
распределения Xj.
Наиболее часто используемая множественная линейная модель регрессионного
анализа имеет вид:
y = β0
+β1хi1
+...+βjxij+...+βkxik+εi (2.1)
где εi - случайные ошибки наблюдения,
независимые между собой, имеют нулевую среднюю и дисперсию σ2
В матричной форме регрессионная модель имеет вид:
Y = Xβ + ε (2.2)
Значимость уравнения регрессии, т. е. гипотеза H0:
β=0 (β0=β1=...=βk=0), проверяется по F-критерию,
наблюдаемое значение которого определяется по формуле:
,
где QR=(Xb)T(Xb), Qост=(Y-Xb)T(Y-Xb)=Σ(yi-ŷi)2.
По
таблице F-распределения для заданных α, ν1=κ+1,
ν2=n−κ−1 находят Fкр.
Для
проверки значимости отдельных коэффициентов регрессии, т. е. гипотез H0: βj=0, где j=1,2,...k, используют t-критерий и вычисляют:
. По таблице t-распределения для заданного α и ν= n-k-1, находят
tкр.
Гипотеза
H0 отвергается с
вероятностью α,
если tнабл>tкр. Из этого следует, что соответствующий коэффициент
регрессии βj значим, т. е. βj ≠0. В противном случае коэффициент регрессии
незначим и соответствующая переменная в модель не включается. Тогда реализуется
алгоритм пошагового регрессионного анализа, состоящий в том, что исключается
одна из незначимых переменных, которой соответствует минимальное по абсолютной
величине значение tнабл. После
этого вновь проводят регрессионный анализ с числом факторов, уменьшенным на
единицу. Алгоритм заканчивается получением уравнения регрессии со значимым
коэффициентами.
Наряду
с точечными оценками bj генеральных
коэффициентов регрессии βj, регрессионный анализ позволяет получать и
интервальные оценки последних с доверительной вероятностью γ.
Интервальная
оценка с доверительной вероятностью γ для параметра βj имеет вид:
,
где
tα находят
по таблице t-распределения при вероятности α =1−γ
и числе степеней свободы ν=n−κ−1.
58. Гомо- и
гетероскедастичность остатков в регрессионных моделях
Термин
гетероскедастичность в широком смысле означает предположение о дисперсии
случайных ошибок регрессионной модели. Случайная ошибка - отклонение в модели
линейной множественной регрессии:
. Величина
случайной регрессионной ошибки является неизвестной, поэтому вычисляется
выборочная оценка случайной ошибки регрессионной модели по формуле:
, где
-
остатки регрессионной модели. Нормальная линейная регрессионная модель строится
на основании следующих предположения о случайной ошибке: Матожидание случайной
ошибки уравнения регрессии равно 0 во всех наблюдениях:
, где
. Дисперсия
случайной ошибки уравнения регрессии является постоянной для всех наблюдений:
. Случайные ошибки уравнения регрессии не коррелированны
между собой, то есть ковариация случайных ошибок любых двух разных наблюдений
равна 0:
, где
. Условие
трактуется как гомоскедастичность (однородный
разброс) дисперсий случайных ошибок регрессионной модели. Гомоскедастичность -
это предположение от том, что дисперсии случайной ошибки
является известной постоянной величиной для всех
наблюдений регрессионной модели. Предположение о том,
что дисперсии случайных ошибок являются разными величинами для всех наблюдений,
называется гетероскедастичностью (неоднородный разброс).
, где
. Условие
гетероскедастичности можно записать через ковариационную матрицу случайных
ошибок регрессионной модели.
, где
. Обнаружение гетероскедастичности. Существует несколько
тестов на обнаружение гетероскедастичности в регрессионной модели. Тест
Глейзера. На первом этапе строится обычная регрессионная модель:
Методом наименьших квадратов вычисляются оценки коэффициентов
построенной модели:
На следующем этапе вычисляются остатки регрессионной
модели:
. Полученные регрессионные остатки возводятся в
квадрат
. С целью обнаружение гетероскедастичности
определяется коэффициент Спирмена. Коэффициент Спирмена является аналогом
парного коэффициента корреляции, но позволяет выявить взаимосвязь между
качественным и количественным признаками:
, где d -
ранговая разность (
-
); n - количество пар вариантов. Значимость
коэффициента Сирмена проверяется с помощью t-критерия
Стьюдента.
Критическое значение определяется по таблице
распределения Стьюдента:
. Если
, то
основная гипотеза отвергается, и между переменной
и остатками регрессионной модели
существует взаимосвязь, то есть в модели присутствует
гетероскедастичность. Устранение гетероскедастичности. Наиболее простым
методом устранение гетероскедастичности является взвешивание параметров
регрессионной модели. Суть метода состоит в том, что отдельным наблюдениям
независимой переменной с максимальным среднеквадратическим отклонением
случайной ошибки придается больший вес, а остальным наблюдениям с минимальным
среднеквадратическим отклонением случайной ошибки придается меньший вес.
Благодаря этому оценки коэффициентов уравнения остаются эффективными. Модель
регрессии при таком подходе называется взвешенной регрессией с весами
. После нахождения оценок дисперсий остатков можно
воспользоваться доступным обобщенным или взвешенным методом наименьших
квадратов для вычисления оценок коэффициентов уравнения регрессии, которые
различаются лишь оценкой
. Если нельзя выполнить коррекцию
гетероскедастичности, то вполне возможно вычислить оценки коэффициентов
уравнения регрессии по обычному МНК, но корректировать ковариационную матрицу
оценок коэффициентов
, так как условие гетероскедастичности приводит к
увеличению данной матрицы.
59.
Обобщенный метод наименьших квадратов (ОМНК). Свойства ОМНК-оценок
Состоятельные, несмещенные и эффективные оценки коэффициентов
регрессионной модели с гетероскедаскичными или коррелированными случайными
ошибками определяется с помощью ОМНК.
Нормальная линейная регрессионная модель строится на основании следующих
предпосылок о случайных ошибках:
Дисперсия
случайной ошибки уравнения регрессии является величиной, постоянной для всех
наблюдений:
Случайные
ошибки уравнения регрессии не коррелированны между собой, то есть ковариация
случайных ошибок любых двух разных наблюдений равна 0:
, где
В
случае гетероскедастичности остатков нарушается первое из перечисленных свойств
, где
, а в
случае автокорреляции остатков нарушается второе свойство
. Регрессионная модель, для которой не выполняются
указанные свойства, называется обобщенной линейной регрессионной моделью.
В
матричном виде обобщенную линейную регрессию можно записать так:
, где Х - неслучайная матрица факторных переменных;
- случайная ошибка регрессионной модели с нулевым
матожиданием
и дисперсией
,
,
-
ковариационная матрица случайных ошибок обобщенного регрессионного уравнения.
Для
нормальной регрессионной модели дисперсия случайной ошибки определялась из
условия постоянства дисперсий случайных ошибок.
В
обобщенной регрессионной модели ковариационная матрица случайных ошибок
строится исходя из условия непостоянства дисперсий регрессионных остатков
:
В
ковариационной матрице случайных ошибок и заключается основное отличие
обобщенной линейной регрессионной модели от нормальной линейной модели
регрессии.
Теорема
Айткена.
В
классе линейных несмещенных оценок неизвестных коэффициентов обобщенной
регрессионной модели оценка
будет
иметь наименьшую ковариационную матрицу.
Формула
для расчета матрицы ковариаций ОМНК - оценок обобщенной регрессии:
.
-
является неизвестным параметром модели, который нужно оценить:
.
Где
n,p -размерность матрицы.
60.
Дискриминантный анализ как метод многомерной классификаций с обучением
Дискриминантный анализ является одним из методов многомерного
статистического анализа. Цель дискриминантного анализа состоит в том, чтобы на
основе различных характеристик (признаков, параметров) объекта классифицировать
его, то есть отнести к одной из нескольких групп (классов) некоторым
оптимальным способом. Отличительным свойством дискриминантного анализа является
то, что исследователю заранее известно число групп (классов) на которые нужно
разбить рассматриваемую совокупность объектов. Задача состоит в том, чтобы
построить решающее правило, позволяющее по результатам измерений параметров объекта
указать группу, к которой он принадлежит. Рассматривая задачу классификации при
наличии обучающих выборок («классификации с обучением» как ее еще называют) в
терминах статичного варианта задания исходных статистических данных на «входе»
задачи нужно иметь n классифицируемых
объектов, представленных данными вида:
Когда
каждая i-я строка матрицы отражает значения p
характеризующих i-й объект признаков
,
,…,
. Обучающие
выборки
, j=1, 2,…,k, каждая j-я из которых определяет значения
анализируемых признаков
на
объектах
(то есть i=1, 2,…,n), о которых априори известно, что все они принадлежат
j-му классу, причем число k различных
выборок равно общему числу всех возможных классов (так, что каждый класс
представлен своей порцией выборочных данных). На «выходе» задачи мы должны
иметь результат следующей формы: если число классов k и их смысл
известен заранее, то каждое из n классифицируемых многомерных наблюдений должно быть
снабжено «адресом» (номером) класса, к которому оно принадлежит.
Дискриминантный анализ применяется, когда исследователь имеет информацию о
характере распределения в группах. При использовании дискриминантного анализа
вначале формируются обучающие выборки, которые являются носителями информации о
распределении внутри каждого класса. Данные обучающих выборок формируются на
этапе предварительного анализа экспертами в конкретной рассматриваемой области.
На основе обучающих выборок определяются дискриминантные и классификационные
функции, позволяющие с минимальной вероятностью ошибки отнести каждый объект к
тому или иному классу. Узловым моментом в задаче многомерной классификации является
выбор метрики расстояния, от которого решающим образом зависит окончательный
вариант разбиения объектов на классы при заданном алгоритме разбиения. При этом
решение данного вопроса зависит в основном от цели исследования, физической и
статистической природы k-мерного вектора наблюдений Х, полноты априорных
сведений о характере вероятностного распределения Х. Здесь k -
число рассматриваемых показателей.
Расстояние
Махаланобиса:
. Здесь k и l - номера объектов, xk, xl - их векторы признаков, С - ковариационная матрица признаков. Основные
характеристики: Учитывает возможную корреляцию между переменными. Если
корреляция между переменными отсутствует, то расстояние Махаланобиса равно
расстоянию Евклида.
Евклидово
расстояние:
. Здесь k и l - номера объектов, xk, xl - их векторы признаков. Основные характеристики. Каждая переменная
вектора признаков дает одинаковый вклад наряду с остальными - считается что они
ортогональны. Если между переменными имеется корреляция, то они будут иметь
непропорциональное влияние на результаты анализа. На первоначальном этапе
анализа правильности формирования обучающих выборок, она проверяется на корректность
на основе статистических критериев: расстояния Махаланобиса и апостериорной
вероятности. Предполагая, что распределение внутри каждой группы подчиняется k-мерному
нормальному закону распределения, опеределяется вероятность попадания
отдельного i-Го наблюдения в каждую группу (апостериорная
вероятность). Отнесение экспертом i-го объекта в j-ю
группу считается ошибочным, если расстояние Махаланобиса от объекта до центра
его группы значительно выше, чем от него до центра других групп, а
апостериорная вероятность попадания в свою группу ниже критического значения. В
этом случае объект считается некорректно отнесенным и должен быть исключен из
выборки. Составляется классификационная матрица, в которой указывается процент
корректно отнесенных к группе наблюдений, число правильно и неправильно
отнесенных объектов. Из рассмотрения исключается не корректно отнесенной
наблюдение, которому соответствует максимальное значение расстояния
Махаланобиса и минимальная апостериорная вероятность правильной классификации. Для
оставшихся n-1 наблюдений процедура тестирования повторяется.
Процедура продолжается до тех пор, пока общий коэффициент корректности в
классификационной матрице не достигнет 100%, то есть все наблюдения обучающих
выборок будут правильно отнесены к соответствующим группам. Полученные на
последнем шаге обучающие выборки используются для получения дискриминантных и
классификационных функций (классификаторов), которые в дальнейшем могут
использоваться для соотнесения новых объектов к той или иной группе.
61. Предмет, задачи и система показателей макроэкономической
статистики
Предметом макроэкономической статистики (МЭС) является количественная
характеристика массовых социально-экономических явлений и процессов и их
результатов, в совокупности характеризующих состояние и развитие экономики
страны, региона, группы стран, их экономические взаимосвязи.
Задачи МЭС определяются ее предметом и объектом исследования, а также
экономическими проблемами, решение которых на каждом определенном этапе
экономического развития ставит перед макроэкономической статистикой новые
задачи.
Задачи МЭС как самостоятельной отрасли статистической науки и практики (в
агрегированном виде) включают:
1.
разработку и постоянное совершенствование (в соответствии с потребностями
развития экономики) системы показателей социально-экономических процессов, их
результатов и эффективности, методологии их исчисления и анализа, внедрение в
отечественную практику методологических положений ООН;
2.
разработку и обоснование источников получения информации по каждому показателю
системы;
3.
характеристику социально-экономического потенциала и его составляющих: трудовых
ресурсов - носителей трудового потенциала; национального богатства, лежащего в
основе оценки материально-технического и природно-ресурсного потенциала и др.,
на основе разработанной методологии их оценки и анализа;
4.
характеристику трудовых ресурсов и экономически активного населения,
функционирования рынка труда, занятости и безработицы; определение ущерба от
безработицы;
5.
характеристику национального богатства, произведенных и непроизведенных,
материальных и нематериальных активов (основных и оборотных фондов, имущества
домашних хозяйств, природных и других ресурсов) - носителей
социально-экономического потенциала;
6.
характеристику государственного управления, его эффективности и роли в
обеспечении экономической безопасности страны;
7.
характеристику экономической деятельности и ее результатов на основе разработки
системы показателей и методологии их исчисления; особую проблему при этом
составляет разработка методологии учета результатов функционирования так
называемой теневой экономики;
8.
характеристику текущих и авансированных затрат (инвестиций) в экономику;
9.
характеристику финансов, цен и инфляции;
10.
характеристику уровня жизни населения;
11.
оценку и анализ эффективности использования ресурсов экономического потенциала
и затрат, связанных с достижением полученных результатов, а также факторов,
определивших уровень эффективности, и степень их влияния;
12.
исследование внешнеэкономических связей и их влияния на экономику страны
(регионов);
13.
разработку направлений и методологии анализа системы показателей МЭС и их
анализ;
14.
выявление основных тенденций развития экономики в динамике, а также
неиспользуемых резервов.
Решение стоящих перед ней задач МЭС осуществляет на основе формирования
системы взаимосвязанных показателей. Системой они являются в том случае, если
соблюдены следующие принципы:
− показатели взаимосвязаны;
− ориентированы на достижение цели исследования;
− построены на единых методологических принципах.
Обобщающие показатели функционирования экономики в целом принято называть
макроэкономическими. В агрегированном виде систему показателей можно
представить следующими подсистемами:
Каждая подсистема состоит из отдельных показателей, в совокупности
призванных обеспечить комплексную характеристику изучаемых явлений и процессов.
Все показатели системы - стоимостные, комплексные (сводные), всесторонняя
характеристика их требует применения метода группировок. Это обусловливает тот
факт, что все макроэкономические показатели разрабатываются в различных
группировках.
62. Социально-экономический потенциал и проблемы его
статистической характеристики
Социально-экономический потенциал (СЭП) - совокупная способность наличных
трудовых, материально-технических, природных и других ресурсов обеспечивать
максимальный в данных условиях объем производства продукции и услуг (ВВП) в
целях наиболее полного удовлетворения личных и общественных потребностей и
создания условий для дальнейшего поступательного развития экономики.
Социально-экономический
потенциал страны целесообразно исследовать в различных группировках: по
компонентам, по регионам, секторам и отраслям экономики, по формам
собственности и др.
Проблема
состоит, прежде всего, в разработке системы показателей, характеризующих
потенциал, и методов их исчисления, в определении общего объема СЭП и его
компонентов; в выявлении факторов его роста в рыночной экономике и разработке
методов определения их влияния.
Разработка
методологии статистической оценки и анализа социально-экономического потенциала
России и его реализации в условиях рынка, анализ современного уровня и состава
потенциала развития России и оценка эффективности его использования, выявление
потерь - важные перспективные направления развития МЭС.
Достижение
цели требует решения следующих основных задач: определения
социально-экономического потенциала (СЭП) и его компонентов как экономических
категорий и объектов статистического изучения; выявления состава и объема его
компонентов; разработки системы показателей СЭП и методов их исчисления с целью
характеристики объема ресурсов, их качества, сбалансированности и других
параметров, определяющих потенциал; характеристики трудового потенциала;
определения национального богатства, составляющего основу
материально-технического потенциала, в соответствии с международной
методологией СНС; разработки методологии оценки социально-экономического
потенциала сферы услуг и его характеристики; разработки методологии оценки
потерь социально-экономического потенциала; решения методологических проблем
статистической характеристики потенциала незаконной и скрытой деятельности;
разработки методологии оценки эффективности использования ресурсов
СЭП;определения факторов наращивания СЭП в условиях рынка и разработки методов
определения их влияния и др.
Основными
факторами, определяющими наращивание социально-экономического потенциала,
являются следующие: рост объема ресурсов - трудовых,
материально-технических, финансовых, природных и других - носителей потенциала
(экстенсивный фактор); повышение качества всех видов ресурсов, позволяющее
увеличить потенциал не экстенсивным, а интенсивным путем (интенсивный фактор);
усиление сбалансированности всех видов ресурсов и всех компонентов потенциала,
обеспечивающее возможность его наиболее полной реализации (интенсивный фактор);
повышение эффективности использования социально-экономического потенциала и его
компонентов (интенсивный фактор) и др.
63.
Статистическое исследование результатов экономической деятельности
В соответствии с рекомендацией Статистической комиссии ООН по составлению
системы национальных счетов (вариант 1993 г.) экономическая деятельность
(деятельность, приносящая доход) трактуется как деятельность по производству
материальных благ и услуг, удовлетворяющих потребности общества и отдельных его
членов, она охватывает все виды деятельности, приносящие доход в денежной или
натуральной форме. Не относятся к производственной деятельности:
бесплатные домашние услуги; криминальная деятельность (кражи, рэкет, взятки);
обслуживание, ремонт жилья и предметов длительного пользования силами
владельцев.
Результатом экономической деятельности является создание материальных
благ и услуг. ВВ - стоимость материальных благ и услуг, созд в экономике
за опред период времени; включает в себя стоимость: произведенных продуктов,
платных и бесплатных услуг (за исключением условно-исчисленной продукции
финансовых посредников), условно-исчисленной продукции финансовых посредников,
а также бесплатных услуг. В=В(П)+В(У). ПП, которое включает в себя
стоимость материальных благ и услуг, потребленных в процессе производства
других материальных благ и услуг; ВДС, представляющая собой разность между валовым
выпуском и промежуточным потреблением ВДС=В−ПП+ЧНП+ЧНИ. Σ
ВДС отраслей и секторов
внутренней экономики = ВВП, который является основным показателем результатов
экономической деятельности.
ВВП=ΣВДС=ΣВ−ΣПП+ΣЧНП+ΣЧНИ=ΣВДСотраслей=ΣВДСсекторов
ВНП -вал нац прод = Σ ВВП + СФД (сальдо факторных доходов
из-за рубежа)
ПОК
включает в себя амортизацию основного капитала и недоамортизованную стоимость
основного капитала. При определении ПОК используют не фактически начисленную
амортизацию, а расчетную, которую находят на основе линейной формулы начисления
амортизации;ЧВП = ВВП - ПОК
ВВ, ВВП и НД м.б. рассчитаны по факторным ценам (стоимость затрат
факторов), по основным ценам (факторные + чист и косв налоги на производство),
по рыночным ценам ((основные + чист и косв налоги на прод и импорт). РНД
(распол. Нац. Доход) РНД=НД+ЧТТ (сальдо текущих трансфертов из-за рубежа
(разность между полученными из-за границы и переданными за границу подарками,
пожертвованиями, наследством, гуманитарной помощью и т. д.);
ВРНД = РНД+ПОК отражает объем материальных и денежных ресурсов, который
нация может либо использовать на текущее потребление, либо направить на
сбережение; КП (конечное потребление) включает в себя конечное потребление и
валовые сбережения. Конечное потребление состоит из: конечного потребления
домашних хозяйств; конечного потребления органов управления (государства);
конечного потребления некоммерческих организаций, обслуживающих население.
Валовые сбережения (ВС) = ВРНД - КП, используются либо на финансирование
валового образования постоянного капитала (основных фондов), либо на прирост
запасов материальных благВаловой внутренний продукт можно определить на
различных стадиях воспроизводства:
а)на стадии производства - как разность между валовым выпуском и
промежуточным потреблением (или как сумму валовой добавленной стоимости всех
отраслей и секторов экономики);
б)на стадии распределения - как сумму доходов факторов
производства. В этом случае суммируются доходы по труду (жалованье и зарплата,
начисления на зарплату, комиссионные, гонорары, чаевые, натуральные доходы),
доходы от собственности (прибыль, рента, дивиденды, проценты, арендные платежи
и т. п.), смешанные доходы (доходы фермеров, лиц свободных профессий, доходы от
индивидуальной трудовой деятельности, от личного подсобного хозяйства);
в)на стадии конечного использования ВВП можно определить двумя
способами - как сумму конечных доходов участников экономической деятельности
(домашних хозяйств; органов управления; некоммерческих организаций,
обслуживающих население) и как сумму конечного потребления, накопления, сальдо
экспорта и импорта.
При исследовании показателей результатов экономической деятельности
большое значение имеет анализ их структуры и динамики.
Структура изучается при помощи группировок, важнейшими из которых
являются:
Исследование динамики показателей результатов экономической деятельности
осуществляется путем расчета соответствующих индексов физического объема по
общеизвестной формуле
64.
Статистическое исследование трудового потенциала и трудовых ресурсов
Трудовые ресурсы − часть населения, которая по возрастному признаку
и по состоянию здоровья фактически занята или способна к труду.
Трудовой потенциал любой страны (региона) характеризуется совокупной
способностью ее трудовых ресурсов к производству максимально возможного в
данных условиях объема продуктов и услуг, необходимых для удовлетворения
потребностей и обеспечения поступательного развития экономики.
Факторами, определяющими трудовой потенциал страны в современных условиях, являются:
рост численности экономически активного населения (экстенсивный фактор); рост
качества трудовых ресурсов; рационализация их распределения по отраслям,
территориям, секторам экономики; повышение эффективности использования трудовых
ресурсов; удельного веса экономически активного населения в численности
трудовых ресурсов, а также увеличении доли занятых в численности экономически
активного населения и другие интенсивные факторы.
Задачи статистики трудовых ресурсов: • характеристика наличия, состава и
структуры трудовых ресурсов и ЭАН; • характеристика занятости и безработицы; •
характеристика естественного воспроизводства трудовых ресурсов; •
характеристика миграции и факторов, ее определяющих; • расчет перспективной
численности трудовых ресурсов; • характеристика состояния и развития рынка
труда, спроса и предложения, конъюнктуры и напряженности на рынке труда; •
анализ получаемой информации.
Расчет численности трудовых ресурсов производят двумя
методами:
1) демографическим (по источникам формирования); Т = Нтв − ИI,II + Рп + Рпенс.
) экономическим (по фактической занятости). Т = Нз + Тдх + Ту + Тб + Тнз.
При этом общая численность занятых и безработных составляет категорию
“экономически активного населения” (ЭАН), широко применяемую в международной
практике, т.е. ЭАН=Нз+Тб.
Безработные − трудоспособные лица в трудоспособном возрасте, не
работающие (не имеющие доходного занятия), активно ищущие работу и готовые в
любой момент приступить к ней.
Система показателей статистики трудовых ресурсов включает абсолютные и
относительные, моментные и интервальные показатели. Она состоит из следующих
подсистем: − показатели численности и состава; − показатели
воспроизводства; − показатели естественного движения; − показатели
механического движения; − показатели занятости и безработицы и другие.
общий прирост трудовых ресурсов
ΔTобщ. =
ΔTест. + ΔTмех.., где Tест.= ЕП - ЕВ, ΔTмех. = МП - МВ
При этом под естественным пополнением трудовых ресурсов (ЕП)
понимается число вступивших в рабочий возраст; а под естественным выбытием
- число умерших в рабочем возрасте и достигших пенсионного возраста (55 лет −
для женщин и 60 лет − для мужчин), а также получивших инвалидность I и II
группы. Механическое пополнение − число прибывших (приехавших) на
данную территорию, механическое выбытие − число выбывших
(уехавших) с данной территории.
Методы расчетов перспективной численности трудовых ресурсов
Перспективная численность трудовых ресурсов определяется на основе
расчета перспективной численности всего населения и удельного веса в нем
трудовых ресурсов.
Наиболее простым и достаточно надежным методом краткосрочного
прогнозирования является экстраполяция. В этом случае расчет прогнозных
значений производится по следующей формуле:
Sn = S0 (1+К)n,
S0 - численность
населения, трудовых ресурсов или активного населения на начало прогнозируемого
года n; Sn -
прогнозируемая численность; К - коэффициент общего прироста населения, трудовых
ресурсов или активного населения, который складывается из коэффициента
естественного прироста и коэффициента механического прироста. Используют также метод
передвижки возрастов, основанный на повозрастных показателях дожития
населения и трудовых ресурсов в течение исследуемого периода (года). Формула
этого метода имеет следующий вид:
, где lX - численность населения, живущего в возрасте x, lX+1
- численность населения возраста x
лет, доживающего до возраста х+1; PX - вероятность дожития
населения, живущего в возрасте лет, до следующей возрастной группы
х+1.Коэффициенты дожития определяются обычно на основе данных переписей
населения и составления демографических таблиц смертности (доживаемости).
Группировки
показателей трудовых ресурсов. Для
характеристики качественного состава трудоспособного населения применяют ряд
группировок, важнейшими среди которых являются группировки по уровню
образования и квалификации, по занятиям и профессии и др. Трудовые ресурсы
также рассматриваются в группировке по полу, возрасту, занятости, отраслям,
секторам экономики, формам собственности, регионам, роду занятий, стажу работы
и в других группировках.
65.
Статистическое исследование эффективности общественного производства
Экономическая эффективность общественного производства - комплексная
экономическая категория. Она отражает степень достижения цели - получение
максимальных в данных условиях конечных результатов экономической деятельности
на единицу затрат или ресурсов экономического потенциала. Заслуженный профессор
международной экономики (Восточный колледж, Пенсильвания, США) Линвуд Т. Гайгер
определяет экономическую эффективность (ecoomic efficiency) как «эффективность, означающую, что
общество производит максимум продукции с учетом спроса со стороны
потребителей». Статистическое изучение эффективности общественного производства
связано с использованием системы показателей, исчисляемых как соотношение
результатов и факторов производства (ресурсов) или результатов и затрат,
связанных с их достижением. Эффективность может быть охарактеризована и на
основе обратных показателей: ресурсо- и затратоемкости.
Показателем конечных результатов производственной деятельности по
методологии, принятой в международной практике, является валовой внутренний
продукт (ВВП) на макроэкономическом уровне или валовая добавленная стоимость
(ВДС) - на уровне отраслей, секторов и предприятий. В качестве показателя
результата (эффекта) может быть также использован и показатель национального
дохода (на уровне отрасли - чистой добавленной стоимости).
Объем текущих затрат на производство ВВП, эффективность использования
которых предстоит определить, складывается из используемых факторов
производственной деятельности и измеряется показателями их затрат: рабочей силы
- фондом оплаты труда (ФОТ), средств труда - потреблением основного капитала
(ПОК), предметов труда - расходами сырья, материалов и услуг на производство
ВВП, которые составляют промежуточное потребление. Показатели ресурсов
представлены соответственно показателями: среднегодовой численности активного
населения (или трудовых ресурсов); среднегодового объема основного капитала
(основных фондов) и среднегодового объема материальных оборотных средств.
• обобщающий показатель эффективности затрат и • обобщающий показатель
эффективности ресурсов

где ФОТ - фонд оплаты труда; ПП - промежуточное потребление; ПОК -
потребление основного капитала, в отечественной статистике оно пока
представлено объемом амортизации основных фондов, хотя это и не тождественные
показатели: ТР - трудовые ресурсы; ОФ - основные фонды; ОбФ - оборотные.
Группа частных показателей эффективности использования ресурсов
характеризует эффективность использования затрат прошлого труда: фондоотдача,
фондоемкость, материалоемкость и проч.
Методика расчета этих показателей такова: производительность
общественного труда: ВВП/ТР, где ТР - среднегодовая численность занятых
трудовых ресурсов; фондоотдача: ВВП/ОФ; фондоемкость: ОФ/ВВП; материалоемкость:
ПП/ВВП и др. Причем производительность труда (ПТ) равна произведению
показателей фондовооруженности (ФВ) и фондоотдачи (ФО), соответственно индекс
производительности равен произведению индексов фондовооруженности и
фондоотдачи: IПТ = IФВ ∙ IФО.
Уровень рентабельности определяется как отношение суммы прибыли к
среднегодовой стоимости основных производственных фондов и нормируемых
оборотных средств. Самостоятельное значение в экономическом анализе
рентабельности может иметь отношение валовой прибыли экономики (ВПЭ) к ВВП: Кр
= ВПЭ/ВВП.
Система показателей эффективности затрат живого труда может быть
дополнена показателями относительной экономии (перерасхода):
а) фонда оплаты труда: ЭФОТ = ФОТ1 - ФОТ0
(IФО ВВП);
б) численности занятых:
ЭТ = Т1 - Т0 (IФО ВВП); \
где
ЭФОТ - относительная экономия фонда оплаты труда; ФОТ - фонд
оплаты труда соответственно отчетного (ФОТ1) и базисного (ФОТ0)
периодов; IФО ВВП - индекс физического объема ВВП: IФО
ВВП =
. ЭТ - относительная экономия численности
занятых; Т1 и Т0 - среднегодовая численность занятых
соответственно в отчетном и базисном периодах.
Для
решения задачи определения влияния отдельных факторов на рост ВВП используется
индексный метод.
Для
исследования влияния на эффективность общественного производства различных
факторов применяют также корреляционно-регрессионный анализ.
66. Понятие и
система показателей национального богатства и его роль в характеристике
социально-экономического потенциала
Наиболее развитой может считаться страна, где наилучшим образом
используются как природные, так и накопленные трудом предшествующих поколений
материальные и духовные ресурсы. Важнейшей составной частью экономического
потенциала страны является национальное богатство. Национальное богатство - это
совокупность материальных ресурсов, накопленных продуктов прошлого труда и
учтенных и вовлеченных в экономический оборот природных богатств, которыми
общество располагает на определенный момент времени.
Статистика национального богатства решает задачи, связанные с разработкой
системы показателей и обоснованием методологии их исчисления как для всего
богатства, так и для отдельных его элементов, а также задачи практической
организации статистического наблюдения и обработки полученной информации на
разных уровнях в соответствии с принятой системой показателей и методологией их
исчисления. Система показателей статистики национального богатства,
используемая в анализе, включает в себя следующие основные характеристики:
1) наличия (объема) и структуры богатства;
2) воспроизводства важнейших его частей;
) динамики всего богатства и его составных элементов;
) размещения богатства на территории страны;
) охраны природных ресурсов и их восполнения.
Пользуясь этой системой, можно охарактеризовать изменения в объеме и
составе всего богатства с различных сторон, построив соответствующие
группировки, ряды динамики, исчислив индексы и составив баланс национального
богатства и отдельных его частей.
Статистика национального богатства в целом строится как статистика
накопленного богатства и статистика природных ресурсов.
Накопленное богатство выступает в форме совокупности материальных благ
различного назначения и использования. Категория эта тесно связана с другой -
общественного продукта. Непрерывное пополнение богатства (его простое и
расширенное воспроизводство) осуществляется за счет произведенного продукта. Показатели
богатства характеризуют материальные условия общественного производства и жизни
общества в целом в каждый данный момент, а объем общественного продукта
выступает как результат процесса производства за определенный период времени, а
также как источник возмещения потребленных элементов богатства и его
увеличения. В то же время показатели объема накопленного богатства и
общественного продукта отражают экономическую мощь, экономический потенциал
страны. Объем и состав накопленного богатства в различных аспектах изучаются
статистикой в денежном и натуральном измерении. Натуральные измерения
используются для характеристики отдельных элементов богатства или некоторой их
однородной совокупности, а стоимостные - для исчисления всего накопленного
богатства и его отдельных составных частей, анализа натурально-вещественного
состава и его динамики в различных группировках.
Широко используется группировка элементов богатства по особенностям их
кругооборота - основные производственные фонды; оборотные производственные
фонды; фонды обращения, материальные резервы и страховые запасы; основные
непроизводственные формы; принадлежащее населению личное имущество длительного
пользования; текущие запасы предметов потребления кратковременного пользования
в отраслях непроизводственной сферы и в домашнем хозяйстве населения.
Строение национального богатства по натурально-вещественному составу.
Важнейшими его элементами выступают: основные фонды - совокупность
произведенных общественным трудом материально-вещественных ценностей, которые в
своей натуральной форме в течение длительного времени используются в народном
хозяйстве; оборотные фонды - целиком потребляемые в каждом производственном
цикле предметы труда, стоимость которых полностью переносится на изготовляемую
продукцию; личное имущество населения - часть национального богатства,
находящаяся в собственности населения и предназначенная для удовлетворения его
потребностей; природные ресурсы - естественные ресурсы, часть всей совокупности
природных условий жизни общества, которая может быть вовлечена в процесс
общественного производства.
67.
Статистическое исследование товарно-денежных отношений
Социально-экономическая сущность статистики денежного обращения отражает
общественно-производственные отношения физических и юридических лиц - субъектов
экономики - в процессе материального производства и обращения. Статистическое
изучение сферы денежного обращения связано с анализом функционального,
экономического и формального содержания денежных потоков. В соответствии с
первым критерием анализ осуществляется в зависимости от функции денег. В
экономике деньги выступают в роли: стоимостного измерителя, что определяет
статистическое изучение натуральных показателей и их трансформации в
стоимостные, меры обращения, где статистическому анализу подвергается процесс
производства товаров и услуг, их реализации, т.е. показатели, связанные со
спецификой и скоростью обращения денежных потоков; платежных средств.
В этом направлении основной задачей статистики является анализ в статике
и динамике таких показателей, как золотовалютные резервы страны (в том числе
денежных властей), размер квоты и резервная позиция в Международном валютном
фонде, СДР, прочие активы и пассивы денежных властей, иностранные активы и
пассивы кредитных учреждений в конвертируемой и неконвертируемой валюте, а
также накопления и сбережения населения; средств международных расчетов. Форма
расчетов может быть наличной или безналичной.
Основные показатели статистики денежного обращения..
Количественная теория денег - это экономическая доктрина, объясняющая
взаимосвязь между уровнем цен на товары (услуги) и стоимостью денег, т.е. между
уровнем инфляции и количеством денежных знаков в обращении. M V=P Y. Кейнсианство. Основные постулаты
этой теории могут быть сформулированы следующим образом: нарушение координации
между рынками, даже если они характеризуются собственной внутренней
эффективностью и ликвидностью, отражается на уровне инфляции и безработицы;
уровень занятости трудоспособного населения зависит от объема производства конкретных
товаров, который, в свою очередь, зависит от спроса на них и воли
предпринимателей; общий спрос не обязательно соответствует объему платежных
средств (предложению). Но, в свою очередь, величина спроса на деньги растет с
падением нормы ссудного процента (кредитной процентной ставки). Основные
положения монетаристской теории: функция спроса на деньги является более
стабильной и лучше определена статистически, чем многие составляющие
совокупности спроса; деньги являются товаром, замещающим множество других
товаров. Из этого следует вывод, что денежно-кредитная политика оказывает
прямое воздействие на совокупный спрос, в отличие от кейнсианской теории, в
соответствии с которой денежно-кредитная политика оказывает прямое воздействие
только на динамику финансовых активов; существует жесткая положительная
зависимость между величиной и скоростью изменения номинальной денежной массы и
уровнем цен и хозяйственной конъюнктурой в целом; изменение номинальной
денежной массы в стране оказывает влияние на уровень производства реального
сектора и уровень безработицы, а следовательно, и на величину валового
национального продукта; в отличие от кейнсианской теории, согласно которой
проблема платежного баланса является проблемой только товарных рынков,
монетаризм считает, что эта проблема связана с динамикой валютных резервов,
респективно - с денежным обращением.
Блок статистического анализа денежной массы, в котором рассматриваются
денежные агрегаты, их состав с точки зрения включаемых в них финансовых
инструментов и их экономическое содержание. Денежная масса. Агрегаты М1-М4.
Важное направление социально-экономического статистического анализа
денежного обращения - это анализ структуры денежных доходов и расходов
населения в статике (ежемесячно) и динамике. Он осуществляется по нескольким
направлениям.
Кроме того, в рамках статистики денежного обращения в Банке России
сбережения населения структурируются следующим образом: собственно сбережения в
банках и банковских учреждениях; наличные деньги на руках у населения; покупка
и продажа иностранной валюты.
Разница между доходами и расходами физических лиц - это сальдо, размер и
динамика которого дают возможность анализировать покупательную способность
населения.
68.
Статистическое исследование цен и ценообразования
Особое значение имеет анализ структуры розничных цен и их динамика. В
статистике цен применяются индивидуальные индексы, индексы Ласпейреса, Паше,
агрегатные и средние из индивидуальных индексов, индекс Фишера, а также индекс
пространственно-территориальных сопоставлений (индекс Эджворта-Маршалла).
Индекс Лайспейреса, как правило, больше индекса Паше. ИПЦ, рассчитанный по ф-ле
Лайспейреса, показывает, как изменились бы потребительские расходы в текущем
периоде по сравнению с базисным, если бы уровень и структура потребления
остались без изменений. Однако структура потребительских расходов изменяется,
поэтому принято считать, что индекс Лайспейрес завышает, а индекс Паше -
занижает инфляцию.
Индекс потребительских цен включает: 1. сводный ИПЦ, характеризующий
изменение стоимости фиксированного (базового) полного набора потребительских
товаров и услуг, приобретаемых в среднем на одну семью (по структуре
потребления семей по данным бюджетных обследований); 2. сводный ИПЦ,
показывающий изменение стоимости фиксированного набора товаров и услуг без
товаров необязательного пользования; 3. ИПЦ для отдельных
социально-экономических групп населения, характеризующих изменение стоимости
фиксированного набора потребительских товаров и услуг, приобретаемых группами
населения (пример пенсионеров) могут исчисляться групповыми индексами цен;4.
индекс стоимости прожиточного минимума, характеризующий изменение стоимости
фиксированного набора потребительских товаров и услуг, соответствующего
минимальному потребительскому бюджету;5. сводные индексы цен в целом по группам
продовольственных, непродовольственных товаров и услуг, а также ИПЦ по региону,
экономическому району.
Данными для расчета ИПЦ являются данные об изменении цен, полученных
путем регистрации цен и тарифов на потребительском рынке, и данных о
фактической структуре потребительских расходов населения за предыдущий год.
Индексы цен производителей продукции характеризуют динамику изменения цен
и определяются на основе наблюдения за их изменением путем регистрации цен на
товары-представители. Регистрации подлежат фактические цены на производственную
и отгруженную продукцию без НДС, акцизов и др. налогов.
Динамика средних цен на однородную продукцию определяется по формулам:
изменение
средних цен м. б. вызвано изменением цен в разных формах торговли и
структурными сдвигами. Для характеристики влияния этих процессов исчисляются
индексы фиксированного состава и структурных сдвигов:
Для
разных видов товаров и услуг помимо общеизвестных вычисляется индексы по
методикам:
Эджворта-Маршалла
-
Фишера
(«идеальная« формула)
Статистика
вариации цен. Для изучения собственно вариации цен используются традиционные
методы анализа, основанные на вычислении таких показателей, как размах
вариации, среднее линейное отклонение, дисперсия, среднее квадратическое
отклонение, коэффициент вариации.
Связанная
(зависимая от факторов) вариация цен изучается с помощью дисперсионного
анализа.
При
наличии эмпирической зависимости между уровнем цен и влияющих на него факторов анализ
дополняется расчетом коэффициента эластичности.
Применяемый
для фактических данных эмпирический коэффициент эластичности А. Маршалла
вычисляется по ф-ле:
, где
и
-абсолютные приросты соответственного факторного
признака и цены; х и р - базовые значения соответственно факторного признака и
цены (в качестве факторного признака может быть принят, например уровень
доходов населения).
69. Статистическое исследование внешней экономической деятельности
Внешне экономическая деятельность - предпринимательская деятельность в
области международного обмена товарами, работами, услугами, информацией,
результатами интеллектуальной деятельности, в том числе исключительными правами
на них (интеллектуальная собственность). Внешняя торговля - это операции,
связанные с передвижением товарных масс и услуг через таможенные границы,
увеличивающие (импорт) или уменьшающие (экспорт) материальные ресурсы страны.
Внешняя торговля складывается из экспортно-импортных операций. Международная
статистика внешней торговли имеет две характерные черты: 1. учитывает
только те товарные массы и услуги, которые пересекают таможенные границы; 2.
учитывает любое движение через таможенную границу (по весу) товарных масс на
коммерческой и некоммерческой основе. Основа таможенного учета - таможенная
декларация, а также некоторые другие товарно-сопроводительные документы: счета;
паспорт сделки и т. д. Ряд товаров при пересечении границы не попадает под
внешнеторговый учет: прямой транзит (без складирования); багаж
дипломатических миссий и частных лиц, включая багаж переселенцев; возвратная тара
(контейнеры, стеклянные емкости) и образцы; товары, перемещаемые по договору
текущей аренды сроком менее одного года; монетарное золото, а также другие
монеты, ценные бумаги, банкноты, находящиеся в обращении; товары, временно
ввозимые и вывозимые: театральные декорации; спортивный инвентарь; машины;
товары, предназначенные для выставок, ярмарок и аукционов; прокат кинофильмов;
гарантийные поставки товаров; ремонтные работы транспортных средств и другого
оборудования; реэкспорт без завоза товара; стоимость услуг (нематериальных);
улов рыбы, произведенный в нейтральных и иностранных территориальных водах в
рамках концессии. Под импортом товаров понимают: 1. товары для
внутреннего потребления или переработки; проходят таможенную очистку - комплекс
мероприятий, связанных с выпуском товаров на внутреннее потребление; 2. товары,
предназначенные для дальнейшего реэкспорта, т.е. экспорт иностранных товаров,
не подвергшихся в стране переработке; помещаются на приписные таможенные
склады. 3. товары, ввозимые для переработки на приписных таможенных складах;
подвергаются переработке - операции, при которой товар меняет внешний вид или
потребительские свойства, что не относится к распаковке и упаковке.
При экспорте имеют дело с: 1. товарами, произведенными, добытыми
или существенно переработанными в стране-экспортере; 2. товарами после
переработки под таможенным контролем; 3. вывезенными товарами с приписных
таможенных складов; 4. национализированными товарами: товарами, объявленными
при ввозе для внутреннего потребления, в связи с этим прошедшими таможенную
очистку, выпущенными на внутренний рынок, затем без переработки вывезенными. Услуги
являются второй составной частью счета текущих операций в платежном балансе
после товаров. Отличительной чертой услуг является взаимосвязь между
производством и потреблением. Основными видами международных услуг
являются: транспортные услуги, туристические услуги, услуги связи, строительные
услуги, страховые услуги, финансовые услуги, компьютерные и информационные
услуги, лизинговые вознаграждения, прочие деловые услуги, услуги физическим
лицам и услуги в сфере культуры и отдыха, образования, медицины,
государственные услуги и прочие виды услуг, не вошедшие в вышеперечисленные. Транзит
можно условно разделить на две категории: прямой; косвенный. В качестве
отправной точки при формировании цены сделки используют базисные, или так
называемые прейскурантные, цены на идентичные сделки за прошлые периоды. «FOB»,
«FOB-порт отправления», «FOB-франко-сухопутная граница», а импортируемые
товары - к стоимости «CIF», «CIF-порт назначения», «CIF-франко-сухопутная
граница страны назначения». Стоимость FOB (Free On Board) складывается на
границе страны-продавца и включает: контрактную стоимость товара плюс все
расходы, связанные с доставкой товара на борт судна, плюс погрузка, включая
экспортную пошлину. Стоимость FOB записывается в итоги внешней торговли и
означает стоимость, которую экспортер должен получить от партнера. Импортная
стоимость CIF (cost, insurance, freight) складывается на границе страны-импортера.
При поставке товаров на условиях CIF в цену реализации включаются: цена самого
товара плюс затраты на транспортировку товара до порта назначения (фрахт) плюс
затраты на страхование товара. При поставках на условиях CIF до выгрузки всю
ответственность за товар несет продавец, после выгрузки - покупатель. При
определении цен FOB и CIF в международной практике за основу берут цену CAF
(Cost and Freight), в которую входят только цена товара и расходы по
транспортировке.
Наиболее важными стоимостными показателями внешней торговли служат:
. Внешнеторговый товарооборот - сумма стоимостей экспорта и
импорта;
. Сальдо торгового баланса - стоимость экспорта минус стоимость импорта.
. (Стоимость экспорта)/(Стоимость импорта) = Коэффициент покрытия.
. Торговый баланс - соотношение стоимостей экспорта и импорта за
какой-либо период времени (обычно год) по данным статистики внешней торговли
страны. Торговый баланс может быть благоприятным (активным) и неблагоприятным
(пассивным).
. Платежный баланс напрямую связан с торговым балансом и отражает
соотношение платежей и поступлений какой-либо страны за определенный период
времени (обычно год).
70. Понятие и содержание СНС, связь и отличие от БНХ
БНХ и СНС - системы взаимосвязанных экономических показателей,
представленные в особой форме в виде таблиц, счетов или в сочетании и тех, и
других. Они являются моделями годового экономического оборота на макроуровне.
При оценке БНХ следует отметить два момента. Во-первых, общепринято, что
новаторские разработки в области БНХ, осуществленные в СССР в 20-е годы,
оказали существенное влияние на развитие макроэкономических исследований, в том
числе и на СНС. Известно, что таблица первого БНХ СССР за 1923/24 годы
содержала черты межотраслевого баланса. Во-вторых, несмотря на различия в
основополагающих концепциях СНС и БНХ, между ними существует много общего в
методах упорядочения данных с целью выяснения наиболее значимых результатов и
закономерностей экономического процесса. Например, в обеих системах проводится
различие между потоками товаров и потоками доходов; потоками и запасами
ресурсов; промежуточным и конечным потреблением; доходами, созданными в
производстве, и доходами, полученными от перераспределения; текущими и
единовременными расходами; произведенными и непроизведенными активами. Между
БНХ и СНС существует много различий в задачах: 1) БНХ обслуживал потребности
централизованного планирования общественного производства, его основная задача
- наблюдение за процессом производства и движением материальных ресурсов;2) СНС
отвечает потребностям рыночной экономики, где на первый план выдвигаются
финансово-денежные отношения.
Также есть различия и в концепциях: 1) трактовка стоимостного состава
продукта: в БНХ - это перенесенная стоимость (затраты предметов труда и износ
основных фондов) и вновь созданная стоимость (первичные доходы участников
производства: населения, занятого в сфере материального производства, и
предприятия этой сферы, то есть оплата труда, чистая продукция личного
подсобного хозяйства, прибыль и другие элементы прибавочного продукта); в СНС:
затраты на предметы труда, оплату факторов производства; 2) трактовка
производственной деятельности: в БНХ - это деятельность в сфере материального
производства, в СНС - это любая деятельность, приносящая доход.
Наиболее крупные различия методологического характера заключаются: 1) в
содержании показателей производства в результате неодинакового подхода к
определению сферы создания национального дохода (продукта), а также в
содержании показателей потребления (промежуточного и конечного), распределения
и перераспределения доходов, внешней торговли; 2) в подходе к трактовке
финансовых потоков (займы, кредиты и т.п.): в БНХ они рассматриваются как формы
временного перераспределения национального дохода, а в СНС - как вид инвестиций
отдельных секторов экономики; 3) в подходе к классифицированию доходов и
расходов, а также в определении категории сбережений: в СНС проводится четкое
разграничение текущих доходов и расходов, которые балансируются с помощью
показателя “сбережения”, рассматриваемого как источник финансирования
капитальных затрат; в БНХ такого четкого деления доходов и расходов на текущие
и единовременные не предусмотрено, и поэтому нет позиций “сбережения” как
разницы между текущими доходами и расходами, в то же время отдельные виды
сбережений (например, прирост денежной наличности, прирост вкладов в банках и
т.д.) рассматриваются в форме перераспределения национального дохода.
Есть различия и в форме представления данных: 1) СНС - в виде
совокупности взаимосвязанных двусторонних счетов и таблиц. Заимствован из
бухучета принцип двойной записи: каждый показатель записывается дважды - в
дебете одного счета и в кредите другого; 2) БНХ - в виде таблиц, где
показываются ресурсы и использование материальных доходов и благ; 3) БНХ - это
более замкнутая система показателей, так как ограничивается отражением движения
доходов лишь в той степени, в какой оно связано с движением материальных благ;
4) СНС - более развитая модель экономического оборота, так как позволяет проследить
его от производства продуктов и услуг и образования, перераспределения и
использования доходов до получения конечных финансовых результатов - изменения
финансовых активов и пассивов и характеристики их состава.
Несмотря на все указанное выше между СНС и БНХ имеется много общего. Обе
системы показателей ставят такие задачи: а) обеспечить концептуальную основу
для системного анализа макроэкономических показателей, то есть определить
систему показателей, характеризующих развитие экономики, их содержание,
взаимосвязи; б) координировать экономическую статистику, то есть обеспечить
методологическое единство показателей макроэкономической статистики и других
разделов статистики (труда, отраслевых, финансовой, банковской,
внешнеэкономической), то есть единство классификаций, содержания показателей.
Общность СНС и БНХ касается не только целей, ради которых они разрабатываются,
но и ряда методологических подходов к обработке и упорядочению данных для
выявления наиболее существенных характеристик экономического процесса. Между
СНС и БНХ есть много общего в подходах к оценке показателей (в текущих и
постоянных ценах), в трактовке деятельности подсобных хозяйств населения, в
методах оценки продукции, не принимающей товарно-денежной формы.
71. Сводный
счет «Производство», его назначение и система показателей
Счет производства является одним из наиболее важных в СНС. Показатели
этого счета описывают результат производства (выпуск товаров и услуг в
ресурсном разделе) и использование товаров и услуг при производстве (промежуточное
потребление в разделе использования). Счет производства может быть составлен по
отраслям, секторам и для экономики в целом (т.е. консолидированный). Цель его
составления заключается в том, чтобы охарактеризовать затраты и результаты
деятельности экономических единиц, входящих в состав отрасли, сектора или
экономики в целом непосредственно на стадии производства товаров и услуг.
Сводный (консолидированный) счет производство
|
Использование
|
Ресурсы
|
|
Промежуточное потребление
|
Выпуск товаров и услуг
|
|
ВВП в рыночных ценах - балансир статья- в т.ч. - ПОК - ЧВП
|
Чистые налоги на продукты и импорт
|
|
Всего
|
Всего
|
Выпуск товаров и услуг складывается из выпуска товаров, нерыночных и
рыночных услуг резидентов. В объем рыночного производства текущего
периода включаются товары и услуги, которые были произведены в этом же периоде
и которые: - реализованы по рыночным ценам; - обменены по бартеру на другие
товары и услуги; - предоставлены работодателями своим работникам в качестве
оплаты труда в натуральной форме; - оставлены в виде запасов материальных
оборотных средств производителем для рыночного использования в последующих
периодах; - переданы внутри предприятия одним заведением другому для
производственного использования в текущем или последующих периодах.
Нерыночное производство охватывает произведенные в текущем периоде товары и
услуги, которые: - использованы для собственного конечного потребления или
накопления основного капитала;
предоставлены другим институцион. единицам бесплатно или по ценам не
влияющими на спрос;
оставлены в виде запасов материальных оборотных средств производителем
для нерыночного использования в последующих периодах.
К ним также относят жилищные услуги, оказанные владельцами домов, квартир
для собственного потребления. Формула определения рыночного выпуска в
развернутом виде может быть представлена следующим образом: РВ=Р+Б+ОТН+РЗ+ГП+НЗП,
где РВ - рыночный выпуск; Р - товары и услуги, реализованные по экономически
значимым ценам; Б - товары и услуги, обмениваемые по бартеру на другие товары,
услуги или активы; ОТН - товары и услуги, предоставляемые работодателями своим
работникам в качестве оплаты труда в натуральной форме; РЗ - товары или услуги
переданные одним подразделением (заведением) другому подразделению (заведению)
этого же предприятия для производственного использования в том же или
последующем периодах; ГП - изменение запасов готовой продукции у
производителей, предназначенной для рыночного использования; НЗП - изменение
незавершенного производства. Выпуск рыночных услуг определяется по величине
выручки от их реализации. Оценка выпуска товаров и оказанных услуг в СНС
осуществляется в ценах производителей и в основных ценах. Цена производителя
включает налоги на продукты, за исключением НДС и налога на импорт, и не
включает субсидии на продукты. Основная цена не включает налоги на продукты, но
включает субсидии на продукты. Взаимосвязь между основной ценой и ценой
производителя такова: ОЦ=ЦП-ДНП+СП, где ОЦ - основные цены; ЦП - цена
производителя; ДНП - другие налги на продукты (налоги на продукты, включенные в
цену производителя, т.е. налоги на продукты, за исключением НДС); СП - субсидии
на продукты. Основной принцип оценки рыночного выпуска товаров и оказания услуг
состоит в использовании цен, преобладающих в период, к которому относится
процесс производства. Изменение запасов незавершенного производства и
готовой продукции рекомендуется определять как разность между стоимостью
продукции, поступившей в запасы и изъятой из запасов, исходя из цен,
действовавших соответственно в момент поступления товаров в запасы или изъятия
их из запасов. В графе «Использование» счета производства отражается промежуточное
потребление, под которым понимается стоимость в процессе производства
товаров (за исключением основного капитала) и рыночных услуг в течение данного
периода. Промежуточное потребление включает материальные затраты (товары и
материальные услуги), оплату нематериальных услуг, командировочные расходы в
части оплаты жилья и транспортных услуг. Промежуточное потребление оценивается в
ценах покупателя, включающих не вычитаемый НДС.
72.
Методология исчисления валового внутреннего продукта и национального дохода
Согласно принятому в международных указаниях по СНС ООН определению, ВВП
представляет собой валовую стоимость всех продуктов и услуг, созданных на
территории данной страны в течение определенного срока, за вычетом стоимости их
промежуточного потребления. ВВП не предназначен для измерения производства,
которое имеет место за пределами экономической территории страны. ВВП не учитывает
стоимость, созданную резидентами за пределами экономической территории страны.
Методы расчета ВВП и его оценки. 1. На стадии производства товаров и
услуг ВВП рассчитывается производственным методом: а) как сумма
валовой добавленной стоимости всех отраслей (∑ВДСо) или
секторов экономики (∑ВДСс) по рыночным ценам, т.е. включая
чистые налоги на продукты и импорт: ВВП = ∑ ВДСо = ∑ ВДСс
б) как сумма выпуска продуктов и услуг всех отраслей экономики в
рыночных ценах за минусом общего объема промежуточного потребления (ПП), чистых
налогов на продукты (ЧНП) с учетом налога на добавленную стоимость) и чистых
налогов на импорт (ЧПИ):
ВВП=ΣВДС=ΣВВ−ΣПП+ΣЧНП+ΣЧНИ
Валовая добавленная стоимость - показатель конечных результатов
функционирования отраслей и секторов экономики - исчисляется как разность между
выпуском товаров (В) и промежуточным потреблением (ПП): ВДС = ВВ - ПП. Термин
“валовая” указывает на то, что показатель ВДС включает стоимость ПОК (в
результате его физического и морального износа). ПОК представлено пока
показателем начисленной амортизации (А). Чистые налоги определяются как разница
между налогами и субсидиями. Субсидии - текущие некомпенсируемые выплаты из
государственного бюджета предприятиям при условии производства ими определенных
товаров и услуг. ВВП рассчитывается в рыночных ценах, т.е. включая чистые
налоги на продукты и импорт.
. На стадии распределения доходов ВВП рассчитывается распределительным
методом: как сумма первичных доходов, распределенных экономическими
единицами - резидентами между производителями товаров и услуг: сумма оплаты
труда наемных работников (ОТ), чистых налогов на производство (ЧНП) и импорт
(ЧНИ), прибыли экономики (ПЭ), смешанных доходов (от собственности и
предпринимательства) (СД) и потребления основного капитала (ПОК):
ВВП = ОТ + ЧНП + ЧНИ + ПЭ + СД + ПОК
ВВП на стадии распределения отражает и затраты факторов производства
(основного капитала, рабочей силы) и распределение ВДС между ее
производителями.
. На стадии использования товаров и услуг ВВП рассчитывается методом
конечного использования: как сумма конечного потребления (КП), валового
накопления (ВН) и внешнеторгового сальдо (Э - И):
ВВП = КП + ВН + (Э - И)
Расчет ВВП на стадии производства отражает источники производства
и заключается в том, что учитывает за отчетный период ВДС производственных
единиц всех отраслей и секторов экономики, т.е. позволяет охарактеризовать их
вклад в создание ВВП, отразить отраслевую структуру и характер развития
экономики.
ВВП, рассчитанный на стадии первичного распределения, отражает
состав и структуру первичных доходов, т.е. доходов населения, предприятий и
организаций и государства от прямого и косвенного участия их в производстве
продуктов и услуг. Конечное потребление складывается из расходов на
конечное потребление домашних хозяйств, расходов на конечное потребление
государственных учреждений и некоммерческих организаций, обслуживающих домашние
хозяйства. Этот метод исчисления ВВП отражает структуру его использования,
показывает расходы на конечное потребление и позволяет определить вклад
результатов труда данного года в увеличение национального богатства (на основе
показателя валового сбережения).
Национальный доход и другие показатели результатов. Чистый внутренний
продукт равен: ЧВП = ∑ ВВП - ∑ ПОК. ВВП + первичные доходы,
полученные резидентами данной страны из-за границы (доходы от собственности,
оплата труда, налоги на производство)- первичные доходы, выплаченные за границу
= ВНД
ВНД + сальдо текущих трансфертов, полученных резидентами данной страны
из-за границы (гуманитарная помощь, подарки из-за границы) и др. = ВНРД Валовой
национальный располагаемый доход является источником доходов, потребления и
сбережения, необходимого для дальнейшего развития экономики и увеличения
национального богатства. ВНРД равен сумме валовых располагаемых доходов всех
секторов.
Валовое национальное сбережение (ВНС) − часть ВНРД, которая не
входит в конечное потребление. В него также входит чистое сальдо (положительное
или отрицательное), которое представляет собой разницу между изменениями
страховых резервов в пенсионных фондах отечественных домашних хозяйств,
находящихся в зарубежных страховых организациях, и изменениями страховых
резервных фондов иностранцев, находящихся в отечественных страховых
организациях; равно сумме валовых сбережений всех секторов (ВС): ВНС = ∑
ВСс
Чистое национальное сбережение (ЧНС) равно разности между ВНС и
потреблением основного капитала (ПОК):
ЧНС = ВНС − ПОК
. Межотраслевой баланс производства и распределения продукции в СНС
С 1992 г. Госкомстат России перешел на составление межотраслевых балансов в
концепции системы национальных счетов (МОБ СНС). Принципиальное отличие МОБ СНС
от МОБ БНХ - баланс народ хоз-ва - заключается в расширении трактовки сферы
производства, включающей в СНС как рыночные, так и нерыночные нематериальные
услуги, и в экономическом содержании конечного продукта. Являясь частью СНС,
МОБ СНС детализирует счета товаров и услуг, производства, образования,
использования доходов и операций с капиталом на уровне отраслевых групп продуктов
и услуг. МОБ СНС позволяет выявлять главные экономические пропорции и
межотраслевые связи в экономике, изучать структурные сдвиги в производстве и
спросе, особенности ценообразования и многое другое.
Классификация отраслей, используемая в МОБе, строится на основе
классификатора отраслей народного хозяйства (ОКОНХ). При этом принципы
классификации отраслей в МОБе существенно отличаются от принятых в
статистической практике. В статистике под отраслью понимается
совокупность предприятий, сгруппированных по признаку отраслевой принадлежности
продукции, преобладающей в производстве ("хозяйственная" отрасль). МОБ
составляется по "чистым" отраслям, которые представляют собой
совокупность однородных продуктов и услуг. На основе межотраслевого баланса (в
западной терминологии - таблица "Затраты-выпуск") проводится
системный анализ взаимосвязей между отраслями, выявляются главные экономические
пропорции, изучаются структурные сдвиги и особенности ценообразования в
экономике, исследуется экономическая эффективность производства.
В наиболее агрегированной схеме МОБ СНС выделяют три основные части, или
квадранта. I квадрант характеризует сложившиеся производственные связи между
отраслями и представляет собой шахматную таблицу, в строках и столбцах которой
в одинаковой последовательности выделены "чистые" отрасли МОБ.
Столбцы I квадранта по каждой отрасли отражают затраты на производство
продукции и услуг (стоимость сырья, материалов, топлива, энергии, услуг), а
строки - использование продуктов и услуг на промежуточное (производственное)
потребление в отраслях экономики.II квадрант характеризует конечное
(непроизводственное) использование продуктов и услуг каждой отрасли на конечное
потребление (домашних хозяйств, органов государственного управления,
некоммерческих организаций, обслуживающих домашние хозяйства); валовое
накопление (валовое накопление основного капитала, изменение запасов
материальных оборотных средств, чистое приобретение ценностей); экспорт товаров
и услуг.III квадрант отражает стоимостную структуру валового внутреннего
продукта. Столбцы III квадранта соответствуют отраслям экономики, а строки -
основным стоимостным компонентам валового внутреннего продукта (оплата труда
наемных работников, валовая прибыль, валовый смешанный доход, налоги и
субсидии, связанные с производством, потребление основного капитала, налоги и
субсидии на продукты).
Таким образом, если рассматривать данные МОБ по вертикали, то по
колонкам отражается стоимостная структура валового выпуска отдельных отраслей,
включающая промежуточное потребление (квадрант I) и валовую добавленную
стоимость (квадрант III). По горизонтали, т.е. по строкам, отслеживается
натурально-вещественный состав валового выпуска, используемого на промежуточное
потребление (квадрант I) и конечное использование (квадрант II).
В основе математической модели МОБ лежит система линейных уравнений,
отражающих количественное выражение экономических связей. МОБ СНС - инструмент
глубокого внедрения СНС в статистическую практику, стабилизирующий обновляемую
в условиях перехода к рыночной экономике систему статистического наблюдения,
интегрирующий разные источники информационного обеспечения построения системы
макроэкономических показателей, классификации и группировки.
Возможны два варианта составления МОБ СНС: в виде одной таблицы
(структура которой позволяет в принципе произвести также расчеты показателей,
скоординированные с предшествующими разработками МОБ в концепции баланса
народного хозяйства) или в виде двух таблиц - МОБ СНС как основной
таблицы и отдельной таблицы - межотраслевого баланса в концепции баланса
народного хозяйства (МОБ БНХ). В последнем случае именно МОБ БНХ
методологически должен быть согласован с предыдущими построениями МОБ в
отечественной статистике.
Следует отметить, что МОБ широко используется не только для аналитических
целей, но и для проверки сбалансированности всей системы статистических данных,
охватывающих различные аспекты экономических процессов; более качественного
согласования производственного, распределительного методов и конечного использования
в расчетах ВВП, для исчисления индексов-дефляторов при пересчете отдельных
компонентов ВВП из текущих в постоянные цены и др.
Согласно принятому в международных указаниях по СНС ООН определению, ВВП
представляет собой валовую стоимость всех продуктов и услуг, созданных на
территории данной страны в течение определенного срока, за вычетом стоимости их
промежуточного потребления. ВВП не предназначен для измерения производства,
которое имеет место за пределами экономической территории страны. ВВП не
учитывает стоимость, созданную резидентами за пределами экономической
территории страны.
Методы расчета ВВП и его оценки. 1. На стадии производства товаров и
услуг ВВП рассчитывается производственным методом: а) как сумма
валовой добавленной стоимости всех отраслей (∑ВДСо) или
секторов экономики (∑ВДСс) по рыночным ценам, т.е. включая
чистые налоги на продукты и импорт: ВВП = ∑ ВДСо = ∑ ВДСс
б) как сумма выпуска продуктов и услуг всех отраслей экономики в
рыночных ценах за минусом общего объема промежуточного потребления (ПП), чистых
налогов на продукты (ЧНП) с учетом налога на добавленную стоимость) и чистых
налогов на импорт (ЧПИ):
ВВП=ΣВДС=ΣВВ−ΣПП+ΣЧНП+ΣЧНИ
Валовая добавленная стоимость - показатель конечных результатов
функционирования отраслей и секторов экономики - исчисляется как разность между
выпуском товаров (В) и промежуточным потреблением (ПП): ВДС = ВВ - ПП. Термин
“валовая” указывает на то, что показатель ВДС включает стоимость ПОК (в
результате его физического и морального износа). ПОК представлено пока
показателем начисленной амортизации (А). Чистые налоги определяются как разница
между налогами и субсидиями. Субсидии - текущие некомпенсируемые выплаты из
государственного бюджета предприятиям при условии производства ими определенных
товаров и услуг. ВВП рассчитывается в рыночных ценах, т.е. включая чистые
налоги на продукты и импорт.
2. На стадии распределения доходов ВВП рассчитывается распределительным
методом: как сумма первичных доходов, распределенных экономическими
единицами - резидентами между производителями товаров и услуг: сумма оплаты
труда наемных работников (ОТ), чистых налогов на производство (ЧНП) и импорт
(ЧНИ), прибыли экономики (ПЭ), смешанных доходов (от собственности и
предпринимательства) (СД) и потребления основного капитала (ПОК): ВВП = ОТ +
ЧНП + ЧНИ + ПЭ + СД + ПОК ВВП на стадии распределения отражает и затраты
факторов производства (основного капитала, рабочей силы) и распределение ВДС
между ее производителями.
. На стадии использования товаров и услуг ВВП рассчитывается методом
конечного использования: как сумма конечного потребления (КП), валового
накопления (ВН) и внешнеторгового сальдо (Э - И): ВВП = КП + ВН + (Э - И)
Расчет ВВП на стадии производства отражает источники производства и
заключается в том, что учитывает за отчетный период ВДС производственных единиц
всех отраслей и секторов экономики, т.е. позволяет охарактеризовать их вклад в
создание ВВП, отразить отраслевую структуру и характер развития экономики. ВВП,
рассчитанный на стадии первичного распределения, отражает состав и
структуру первичных доходов, т.е. доходов населения, предприятий и организаций
и государства от прямого и косвенного участия их в производстве продуктов и
услуг. Конечное потребление складывается из расходов на конечное
потребление домашних хозяйств, расходов на конечное потребление государственных
учреждений и некоммерческих организаций, обслуживающих домашние хозяйства. Этот
метод исчисления ВВП отражает структуру его использования, показывает расходы
на конечное потребление и позволяет определить вклад результатов труда данного
года в увеличение национального богатства (на основе показателя валового
сбережения).
Национальный доход и другие показатели результатов. Чистый внутренний
продукт равен: ЧВП = ∑ ВВП - ∑ ПОК. ВВП + первичные доходы,
полученные резидентами данной страны из-за границы (доходы от собственности,
оплата труда, налоги на производство)- первичные доходы, выплаченные за границу
= ВНД
ВНД + сальдо текущих трансфертов, полученных резидентами данной страны
из-за границы (гуманитарная помощь, подарки из-за границы) и др. = ВНРД Валовое
национальное сбережение (ВНС) − часть ВНРД, которая не входит в конечное
потребление.: ВНС = ∑ ВСс. Чистое национальное сбережение
(ЧНС) равно разности между ВНС и потреблением основного капитала (ПОК):
ЧНС = ВНС - ПОК.
75. Предмет,
метод, функции и система показателей социальной статистики
Социальная статистика - общественная наука, являющаяся особой отраслью
статистики. Социальная статистика представляет собой относительно
самостоятельную отрасль единой статистической науки и практики. В основном, она
изучает социальные (в узком смысле слова), то есть неэкономические явления и
процессы (массовые). Кроме того, социальная статистика изучает социальные
стороны экономики.
Предмет исследования социальной статистики состоит в изучении количественной
стороны массовых социальных явлений и процессов в неразрывной связи с их
качественной стороной в целях выявления складывающихся особенностей, тенденций
и закономерностей. Социальная статистика изучает государственное устройство,
экономическую и политическую систему, социальную структуру общества, вопросы
личности, семьи, образования и здравоохранения. Предметом исследования
социальной статистики является так же изучение проблем социальных условий
жизни и труда. (численность занятого населения на определенную дату, уровень
реальных доходов на душу населения, объем потребления материальных благ и услуг
на душу населения и т.д.) К числу наиболее значимых направлений исследования
в социальной статистике относятся: социальная и демографическая структура
населения и ее динамика, уровень жизни населения, уровень благосостояния,
уровень здоровья населения, культура и образование, моральная статистика,
общественное мнение, политическая жизнь. Вместе с тем все эти направления дают
в конечном счете единую последовательную и интегрированную информацию о картине
социальной жизни, о тенденциях и закономерностях развития общества.Основная цель
социальной статистики - построение и использование системы статистических
показателей для изучения социальной ситуации в различных ее аспектах,
направлениях и формах проявления.
МЕТОДЫ: Социальная статистика включает определение источников данных для
решения той или иной проблемы, сбор данных, их обработку, анализ и
интерпретацию результатов.Методы, применяемые в социальной статистике - это
весь арсенал статистических методов, известных из теории статистики. Если
социальная статистика изучает явление или процесс, то она проходит те же этапы:
1. Статистическое наблюдение 2. Сводки и группировки 3. В ходе
анализа информации решается ряд специфических статистических задач:1)
оценка статистической взаимосвязи (в том числе с использованием таких методов,
как корреляционный, регрессионный, дисперсионный и др.);2) выявление факторов,
в том числе латентных, с помощью факторного анализа, компонентного анализа,
кластерного анализа признаков и т.д.3) особая классификация объектов
совокупности с применением дискриминантного анализа, кластерного анализа
объектов;4) моделирование социальных явления на основе построения и объяснения
математической модели изучаемого социального явления, методов прогнозирования и
т.д.).
ЗАДАЧИ социальной статистики: мониторинг ситуации в социальной сфере; анализ
тенденций и закономерностей развития отраслей социальной инфраструктуры;
изучение уровня и условий жизни населения; анализ динамики и прогнозирование
социальных процессов; исследование факторов, под влиянием которых сложилась
данная ситуация; исследование взаимодействия социальных процессов с другими
составляющими общественного развития. Кроме того, существуют особые задачи,
присущие именно социальной статистике: 1. Преодоление
автономности отдельных направлений социальной статистики и несопоставимости
многих статистических показателей; действительное формирование единой
взаимосвязанной системы социальной статистики. 2. Достижение соответствия
ряда статистических показателей оценке сущности социальных явлений и
процессов, так как часто используемые показатели не дают их качественных
характеристик. 3. Разработка показателей, построение моделей,
оценка гипотез, дифференцирование для наиболее характерных
социально-культурных, социально-этнических, социально-демографических групп
населения. 4. Моделирование социально-экономических связей с
целью обнаружения механизмов взаимодействия в общественной системе, оценки роли
социальных процессов в экономическом развитии и влиянии объективно существующих
ограничительных факторов. 5. Расширение круга показателей и сфер
использования статистики общественного мнения. ИНФОРМАЦИОННАЯ БАЗА система взаимоувязанных: 1. Общество,
его основные характеристики и дифференциация
.1. Основные социально-экономические характеристики общества:
а) характеристика
источников удовлетворения потребления общества и населения; б) структура
расходов государственного бюджета и региональных бюджетов; в) Объем ВВП, РВП, в
том числе на душу населения; г) структура непроизводственных инвестиций. 1.2.
Общественная система: а) законодательные и другие выборные органы, их
структура; б) политические, общественные и прочие организации и их структура 1.3.
Демографическая и социальная структура и процессы: а) население
(численность, пол, возраст, воспроизводство); б) характеристика состояния
здоровья населения; в) семья и домашнее хозяйство; г) национальная структура;
д) миграция (внутренняя и внешняя); е) социальная структура и социальная
мобильность населения. 2. Условия жизни. 2.1. Условия труда: а) занятые
и рабочие места; б) безработица и поиск работы; в) специфические и ухудшенные
условия труда; г) баланс рабочего времени; д) состояние здоровья занятых; е)
социальные условия на предприятиях; ж) поездки на работу.2.2. Окружающая
среда: а) структура и густота заселения; б) структура земельных угодий; в)
уровень загрязнения отдельных элементов окружающей среды; г) зоны отдыха; д)
жилой фонд и жилищные условия населения; е) инфраструктура поселений 2.3.
Условия для удовлетворения потребностей населения во внерабочее время: а)
дошкольное воспитание; б) начальные и средние школы; в) высшие учебные
заведения и послевузовское образование; г) здравоохранение (учреждения и
служба); д) культурные и просветительные учреждения; е) культурные и
просветительные мероприятия; ж) продукция радио, телевидения, аудио-видео
продукция; з) выпуск книг, периодических изданий; и) социальное обеспечение и
решение социальных проблем; к) пассажирский транспорт; л) связь; м) торговля и
платные услуги.
. Уровень жизни (материальная сторона) 3.1. Общие (суммарные)
характеристики уровня жизни: а) общие характеристики потребления; б)
интегральные показатели уровня жизни. 3.2. Доходы, расходы и личное
потребление населения.: а) размер и структура доходов и расходов населения;
б) сбережения и вклады населения; в) займы и кредиты; г) потребление продуктов
питания; д) потребление промышленных товаров; е) потребление населением платных
услуг; ж) обеспеченность населения предметами длительного пользования.
. Способ жизни и качественные аспекты жизни 4.1. Виды
жизнедеятельности: а) использование фонда времени; б) трудовая
деятельность; в) общественная и политическая деятельность; г) образование; д)
культурная и спортивная деятельность, удовлетворение интересов; е) отдых; ж)
социальное общение; з) отрицательные явления в обществе (преступность,
алкоголизм и т.д.). 4.2. Субъективная оценка условий жизни (статистика
общественного мнения): а) отношение к основным политическим и общественным
проблемам; б) система ценностей и предпочтений; в) удовлетворенность отдельными
областями общественной жизни; г) оценка общественных мероприятий, мер, решений
и т.п.
|
Вид шкалы
|
Показатели связи
|
|
Номинальная
|
Коэффициенты ассоциации, контингенции, коллигации, взаимной
сопряженности Чупрова, Пирсона, Крамера
|
|
Порядковая
|
Ранговые коэффициенты корреляции Спирмена, Кэнделла,
коэффициент конкордации
|
|
Интервальная и относительная
|
Линейный коэффициент корреляции, корреляционные отношения,
биноминальный коэффициент корреляции, множественные коэффициенты корреляции и
др.
|
Критерий
устанавливает наличие или отсутствие связи между
признаками.
:
Число
степеней свободы: 
= (r - 1)
(c - 1),где r - число строк в таблице; с - число столбцов в таблице.
Коэффициенты
взаимной сопряженности Пирсона и Чупрова определяют степень тесноты связи между
признаками и определяются по формулам:
-
коэффициент Пирсона;
-
коэффициент Чупрова,
где
n - обычно количество признаков (или число респондентов); r - число столбцов; с
- число строк. Оба коэффициента изменяются от 0 до 1. При значении
и 
0,3 можно
говорить о наличии связи между признаками. Расчет коэффициентов корреляции
Кэндела
и Спирмена
. [-1;1]
коэффициент
Спирмена
,
коэффициент
Кендела
di
- разность между i-ми парами рангов, n - число ранжируемых значений переменной,
то есть сопоставляемых пар рангов. где S=R+ + R-, причем
R+ - положительное число, R- - отрицательное число.
Расчет коэффициентов конкордации (коэффициент множественной ранговой
корреляции). Коэффициент Кэндела и Смита - W. m - число групп (индивидов),
которые ранжируются; n - число ранжируемых переменных.
76. Статистическое исследование
социальной структуры и социальной мобильности населения
Построение целостной социально-экономической политики (в частности,
налоговой политики, политики в сфере занятости и политики в области социальной
защиты) невозможно осуществить без знания характера расслоения населения,
представления о распределении доходов и структуре занятости, ценностных (в том
числе политических) ориентаций и настроений различных слоев общества.
Социальная структура включает целый ряд разновидностей (срезов) среди которых
выделяют социально-классовую, социально-демографическую, образовательную,
профессиональную, этническую, территориальную и другие структуры.
Обычно при анализе социальной структуры общества в социальной статистике
понимается именно социально-классовая структура - иерархическое
разделение общества на относительно различные и гомогенные группы по критериям
отношений, ценностей и жизненных стилей. Основными статистическими приемами
при изучении сдвигов, происходящих в социальной структуре, являются
исчисление абсолютных приростов и темпов роста численности отдельных социальных
групп, анализ структурных различий, построение балансов
Для изучения профессионального статуса чаще всего выделяют следующие
группы: руководители, специалисты, служащие, квалифицированные и
неквалифицированные рабочие. По роду занятия: наемные работники;
предприниматели; самостоятельно занятые, фермеры; учащиеся; пенсионеры;
домохозяйки, находящиеся в отпуске по уходу за ребенком; временно не
работающие, безработные. Социальный статус: владельцы собственного дела,
руководители предприятий (организаций) и структурных подразделений,
специалисты, служащие, квалифицированные рабочие, неквалифицированные рабочие,
пенсионеры. По статусу в занятости: работающие по найму, работающие не
по найму (в том числе: работодатели; члены кооперативов и других коллективных
предприятий; самостоятельно обеспечивающие себя работой; безвозмездно
работающие члены семьи).
При измерении социально-классовой структуры общества
(социально-экономической стратификации) применяется несколько моделей измерения
социального статуса. При этом выделяются однокритериальные и
мультикритериальные показатели. Чаще всего критериями выделения социальных
групп выступают: - отношение к собственности на средства производства; - место
в организации труда; - размер дохода; - образование; - место жительства.
Под социальной мобильностью
понимается переход индивидов из одних социальных групп и слоев,
социально-професссиональных групп в другие, изменение места, занимаемого ими в
социальной структуре общества. Наряду с термином «социальная мобильность»
употребляются так же термины «социальные перемещения» и «социальная
подвижность». Причиной социального перемещения может выступать повышение
общеобразовательного и профессионального уровня, изменение
социально-демографических параметров, поступление и уход с работы, перемена
работы, уход на пенсию и т.д. Основная цель статистики при исследовании
социальных перемещений - разработка и использование статистических показателей
для оценки тенденций, структуры, интенсивности социальных перемещений, их
последствий и эффективности с точки зрения социально-экономического развития
страны, демографического потенциала и благосостояния населения.
Анализ социальных перемещений позволяет выявить направленность и
интенсивность перехода людей из одной социальной группы в другую, определить
направление движения. Важнейшим направлением этого анализа является изучение
особенностей процесса в регионах, этнических и половозрастных группах.
Особого внимания заслуживают вопросы измерения интенсивности
социальных перемещений.
Эта интенсивность рассчитывается с помощью системы индексов, которые
могут рассчитываться двумя способами:
. путем соотношения коэффициентов по отдельным группам и общих
коэффициентов перемещений;
. через отношение соответствующей доли каждой группы в общей численности
лиц, осуществляющих перемещения, к соответствующей доли данной группы в
населении.
Важным и интересным направлением исследования является анализ границ
возрастов, в которых социальные перемещения наиболее интенсивны, изучение
повозрастных вероятностей изменения социального статуса, а также других
социально-демографических и социально-экономических факторов социальных
перемещений. Например, таких, как уровень рождаемости, миграционные потоки,
различие социально-профессиональных статусов супругов, место проживания (город,
село), уровень дохода, уровень образования родителей и др.
77.
Статистическое исследование жизненного уровня населения
Уровень жизни населения - сложная социально-экономическая категория,
которая характеризует: 1. социально-экономические отношения по поводу
распределения и потребления материальных благ и услуг населения; 2. степень
удовлетворения рациональных потребностей в этих благах и услугах; 3. условия
создания в обществе и государстве для полноценного развития личности.
Жизненный уровень представляет собой сложную экономическую категорию,
которую невозможно охарактеризовать при помощи какого-либо одного показателя.
Поэтому Статистическая комиссия ООН рекомендует выделять ряд групп
показателей, а именно: а) демографические характеристики населения
(рождаемость, смертность, заболеваемость, продолжительность жизни и т. д.); б)
санитарно-гигиенические условия жизни; в) потребление продуктов питания; г)
жилищные условия и обеспеченность потребительскими благами длительного
пользования (автомобиль, холодильник, телевизор и т. д.); д) образование и
культура; е) занятость и условия труда; ж) доходы и расходы населения; з)
стоимость жизни и потребительские цены; и) транспортные средства; к)
организация отдыха, физкультура и спорт; л) социальное обеспечение; м) свобода
человека. В качестве одного из обобщающих показателей жизненного уровня
населения применяют производство национального дохода на душу населения (в
долларах США или евро). В статистической практике различных стран для
исследования жизненного уровня населения чаще всего используются следующие
показатели: номинальная и реальная заработная плата; номинальные и реальные
доходы населения; величина и структура расходов населения и его сбережения;
обеспеченность населения жильем и предметами длительного пользования;
потребление населением важнейших видов продовольственных и непродовольственных
товаров; занятость и безработица; показатели условий труда; показатели
образования, здравоохранения, культуры, физкультуры и спорта, туризма и отдыха.
Рассмотрим наиболее важные из них:
Для адекватной оценки доходов и уровня жизни нужны уровневые,
динамические, структурные и обобщающие показатели. Необходимо, чтобы показатели
отвечали следующим требованиям:
Важнейшими показателями являются следующие: располагаемый доход домашних
хозяйств, фактическое конечное потребление домашних хозяйств, расходы на
конечное потребление домашних хозяйств, денежные доходы населения, денежные
расходы и сбережения населения. Среднедушевые денежные доходы
исчисляются делением общей суммы денежного дохода за отчетный период на
численность наличного населения. Реальные располагаемые денежные доходы
определяются исходя из денежных доходов текущего периода за минусом
обязательных платежей и взносов, скорректированных на индекс потребительских
цен. Среднемесячная начисленная заработная плата работающих в отраслях
экономики определяется делением начисленного месячного фонда заработной платы
на среднесписочную численность работающих. Социальные пособия, получаемые
работающими из государственных и негосударственных внебюджетных фондов не
включаются в фонд заработной платы и среднюю заработную плату. Покупательная
способность денежных доходов населения отражает потенциальные возможности
населения по приобретению товаров и услуг и выражается через товарный
эквивалент среднедушевых денежных доходов населения и соотношение денежных
доходов населения с величиной прожиточною минимума.
Распределение населения по уровню среднедушевых денежных
доходов характеризует
дифференциацию населения по уровню материального достатка и представляет собой
показатели численности (или долей) населения, сгруппированного в заданных
интервалах по уровню среднедушевых денежных доходов. Коэффициенты
дифференциации доходов населения: устанавливают размер превышения денежных
доходов высокодоходных групп по сравнению с низкодоходными группами населения.
Различаются: коэффициент фондов (соотношение между средними значениями доходов
внутри сравниваемых групп населения или их долями в общем объеме доходов) и
децильный коэффициент дифференциации (отношение уровней доходов, ниже и выше
которых находятся десятые доли совокупности в разных концах ряда распределения
населения по уровню среднедушевых денежных доходов). Коэффициент
концентрации доходов (индекс Джини): устанавливает степень отклонения
фактического объема распределения доходов населения от линии их равномерного
распределения.
Заработная плата представляет собой доход наемных работников, заключивших
контракт, и включает в себя все денежные и натуральные выплаты за отработанное
и неотработанное время.
Расчет индекса потребительских цен.
При характеристике жилищных условий населения международная статистика прежде
всего выделяет владельца жилья. Показатели занятости и безработицы также
имеют важное значение для исследования жизненного уровня населения. Показатели
условий труда. Уровень образования и культуры населения
Показатели здравоохранения.
78.
Статистическое исследование дифференциации населения по денежным доходам
Денежные доходы населения включают оплату по труду всех категорий
населения, пенсии, пособия, стипендии и другие социальные трансферты,
поступления от продажи продуктов сельского хозяйства, доходы от собственности в
виде процентов по вкладам, ценным бумагам, дивидендов, доходы лиц, занятых
предпринимательской деятельностью, а также страховые возмещения, ссуды, доходы
от продажи иностранной валюты и другие доходы. Среднедушевые денежные доходы
исчисляются делением общей суммы денежного дохода за отчетный период на
численность наличного населения. Реальные располагаемые денежные доходы
определяются исходя из денежных доходов текущего периода за минусом
обязательных платежей и взносов, скорректированных на индекс потребительских
цен. Распределение населения по уровню среднедушевых денежных доходов
характеризует дифференциацию населения по уровню материального достатка и
представляет собой показатели численности (или долей) населения,
сгруппированного в заданных интервалах по уровню среднедушевых денежных
доходов. Коэффициенты дифференциации доходов населения устанавливают размер
превышения денежных доходов высокодоходных групп по сравнению с низкодоходными
группами населения. Различаются: коэффициент фондов (соотношение между средними
значениями доходов внутри сравниваемых групп населения или их долями в общем
объеме доходов) и децильный коэффициент дифференциации (отношение уровней
доходов, ниже и выше которых находятся десятые доли совокупности в разных
концах ряда распределения населения по уровню среднедушевых денежных доходов).
Коэффициент концентрации доходов (индекс Джини): устанавливает степень
отклонения фактического объема распределения доходов населения от линии их
равномерного распределения.
Изучение социальной дифференциации населения составляет одну из
актуальных задач статистики, тем более что становление рыночных отношений в
экономике объективно углубляет социальное расслоение общества. Дифференциация
доходов населения - процесс сложный и многоступенчатый, испытывающий влияние
многих, действующих в разных направлениях (увеличения и снижения) факторов.
Итоговая характеристика процесса дифференциации выявляется на стадии
формирования неравенства в уровнях среднедушевых доходов семейных бюджетов. Для
измерения этого неравенства в экономической науке используется целый ряд методов
и показателей. Весьма наглядным методом является распределение населения по
среднедушевому доходу, а также распределение общего объема доходов по группам
населения. Важным показателем, отражающим глубину расслоения, выступает
децильный коэффициент. Кроме того, используется кривая Лоренца и коэффициент
концентрации доходов (или индекс Джини). Кривая Лоренца отражает степень
неравномерности распределения населения по уровню доходов и строится на основе
сопоставления доли доходов, приходящихся на различные группы населения. Чем
больше дифференциация доходов, тем дальше отстоит кривая Лоренца от
биссектрисы, и тем больше коэффициент Джини, отражающий эту дифференциацию,
приближается к единице. Наиболее общими закономерностями, выявленными
измерением неравенства, являются более высокая степень неравенства в
распределении дохода в слаборазвитых странах, чем в развитых, а также более
значительное неравенство в распределении богатства (под которым понимаются
запасы денег, накопления, запасы реальных или финансовых активов), чем в
распределении доходов во всех странах. При равномерном распределении доходов
коэффициент Джини стремится к 0, чем выше степень поляризации общества, тем
ближе коэффициент к 1. К. Джини и Лоренца:
где
cum yi - кумулятивная доля дохода. Даются рассчитанные
данные о распределении населения по размеру среднедушевого совокупного дохода,
которые характеризуют дифференциацию населения по уровню материального
благосостояния. 1) Для определения концентрации доходов или коэффициента Джини
необходимо разделить ряд распределения методом вторичной перегруппировки по 20%
населения в каждой, начиная с низкодоходных групп к высокодоходным (на
квинтели). В каждой группе определяем средний доход, приходящийся на душу
населения по формуле среднеарифметической взвешенной. 2) Рассчитаем процентное
распределение доходов общества по квинтелям населения (в отношении к общей
сумме доходов). Определяем основные показатели, важные для вычисления
коэффициента концентрации дохода, такие как: а) частоты квинтельного интервала;
б) накопленная частота квинтельного интервала. Коэффициент Лоренца: В последние
годы для характеристики расслоения работников по уровню оплаты труда стали
применять коэффициент Лоренца Кl.
- удельный вес работников i-интервала, %
и
-
накопленный удельный вес фонда заработной платы i-го и i-1го
интервалов, %.
79. Статистика политической и общественной жизни
Статистика политической и общественной жизни представляет собой отрасль
социальной статистики, описывающей в количественных показателях структуру
государственной власти, отношения между государственными и общественными
институтами, социальными слоями, нациями и народностями, между государством и
отдельными гражданами по поводу власти и в связи с выработкой и осуществлением
политики, а так же политические нормы, политическое сознание, политическую и
правовую культуру. Статистика политической и общественной жизни изучает
количественную сторону явлений, происходящих в политической системе общества:
государство и политические партии, общественные движения, организации,
объединения и жизнь трудовых коллективов. Показатели статистики политической и
общественной жизни дают количественную оценку избирательной системе,
деятельности органов представительной власти, политическим партиям и общественным
организациям, формам социального протеста и политической борьбы, формированию
элитных групп и групп поддержки в различных социальных слоях населения России,
соотношению и взаимодействию законодательной, исполнительной и судебной власти
в различные периоды российской государственности и в настоящее время.
Статистика политической и общественной жизни основана, во многом, на данных
опросов избирателей об их намерениях голосовать за того или иного кандидата в
органы власти, результатах выборов, данных о составе избранных в
законодательные и исполнительные органы власти, в общественные организации.
Изучение политической системы и ситуации в обществе проводится с помощью
специальных выборочных исследований (прежде всего, социологических) по
следующим направлениям: 1. Политические ориентации граждан. 2. Отношение к
событиям политической жизни. 3. Отношение к институтам власти. 4. Политическая
информированность населения. отдельных социально-демографических групп.
Статистика политической и общественной жизни представлена следующими
разделами: статистика избирательной системы и выборных органов государственной
власти; статистика государственного управления и местного самоуправления;
статистика политических и массовых общественных организаций; статистика осуществления
политических прав граждан и прав личности; статистическая оценка социальной
напряженности. В системе государственной статистики разработана следующая
система показателей политической статистики.
. Организационная подсистема 2. Культурно-идеологическая подсистема 3.
Нормативная подсистема4. Информационно-коммуникативная подсистема Раздел 4.1.
Средства массовой информации (печать: принадлежность и политическая
направленность, число издаваемых газет, учредителями которых являются
политические партии, их тиражи и сфера распространения, выпуск книг и брошюр по
вопросам политики; радио, телевидение: принадлежность каналов, количество
передач, в аспекте их политической деятельности).
Можно рассмотреть некоторые показатели статистики средств массовой информации:газеты:
число и тираж; журналы: число и тираж; телевидение и радиовещание: число
телевизионные станции, объем вещания, число телевизоров на 100 семей, структура
теле- и радиопередач, число радиостанций, языки вещания; информационные сайты,
в том числе сайты печатных изданий, телевизионных и радиоканалов, количество
посетителей.
Статистические характеристики политического протеста. Среди многообразных
форм политической активности видное место занимают те из них, с помощью которых
люди непосредственно выражают свои мнения, требования, недовольство. Понятие
протеста - социального или собственно политического - зачастую охватывает
достаточно широкий круг явлений.
Общественное мнение - это способ проявления общественного сознания,
выраженного в суждениях, рекомендациях, требованиях. Общественное мнение, как
правило, представляет собой осознание населением социально-экономических
проблем жизни, которые необходимо решать. Иногда оно возникает в результате
высказывания мнений и суждений по наиболее острым социальным или экономическим
проблемам. Оно может поддерживать или осуждать проводимые
социально-экономические мероприятия. Общественное мнение может формироваться на
основе жизненного опыта, но может складываться под целенаправленным
воздействием на население различных организаций, учреждений, политических
партий. Значение общественного мнения определяется социальной структурой
государства, уровнем развития экономики, политической и общей культуры
населения. Общественное мнение является эффективным инструментом проведения
социальной политики.
Статистические методы анализа данных об общественном мнении. Обработка
данных об ОМ производится как традиционными методами общей теории статистики,
так и некоторыми нетрадиционными, прежде всего непараметрическими методами.
Широко используются сводка и группировка, средние и относительные величины,
исчисление различных показателей взаимосвязи.
80. Статистическое исследование сферы обслуживания и охраны
здоровья населения
СТАТИСТИКА СФЕРЫ ОБСЛУЖИВАНИЯ НАСЕЛЕНИЯ
. ПОНЯТИЕ СФЕРЫ ОБСЛУЖИВАНИЯ.
Сфера обслуживания включает предприятия, учреждения и организации ряда
отраслей, деятельность которых направлена на обслуживание, удовлетворение
потребностей населения в различных материальных благах и услугах.
Сфера обслуживания населения состоит из следующих отраслей и входящих в них
предприятий, учреждений и организаций: розничная торговля, общественное
питание, транспорт и связь в части обслуживания населения, бытовое
обслуживание, жилищно-коммунальное хозяйство, медицинские услуг, услуги в
системе образования, услуги учреждений культуры.
Каждая из перечисленных отраслей отличается многими особенностями своего
функционирования, однако общим признаком, на основании которого все эти отрасли
отнесены к сфере обслуживания, является то, что все они обеспечивают
обслуживание населения путем предоставления ему материальных благ и услуг.
Для характеристики сферы обслуживания в целом может быть использован
целый ряд показателей:
общий объем потребления материальных благ и услуг;
структура объема услуг, оказанных населению, по отдельным видам;
численность работников, занятых в сфере обслуживания;
стоимость основных фондов (всего, в расчете на одного занятого в сфере
обслуживания);
объем капитальных вложений на развитие сферы обслуживания;
ввод в эксплуатацию объектов сферы обслуживания.
СТАТИСТИКА ОХРАНЫ ЗДОРОВЬЯ НАСЕЛЕНИЯ
. ПОНЯТИЕ И СТРУКТУРА СТАТИСТИКИ ОХРАНЫ ЗДОРОВЬЯ НАСЕЛЕНИЯ
Статистика охраны здоровья населения - являясь отраслью социальной
статистики, включает в свой состав статистику здравоохранения, статистику
заболеваемости населения, статистику инвалидности, статистику производственного
травматизма.
Росстат собирает и обобщает статистические данные об учреждениях
здравоохранения, состоянии здоровья населения, учреждениях социального обслуживания,
состоянии инвалидности, травматизме на производстве.
Источниками информации являются периодические и годовые формы
федерального государственного статистического наблюдения, первичная учетная
медицинская и другая учетная документация, единовременные учеты, выборочные
обследования.
. СТАТИСТИКА ЗАБОЛЕВАЕМОСТИ
Статистика заболеваемости изучает распространенность и частоту
возникновения заболеваний по населению в целом и его демографическим группам (в
зависимости от возраста, пола).
Статистика инвалидности изучает количественные характеристики стойкой
утраты трудоспособности (инвалидности), а также количественные характеристики
учреждений социального обслуживания, спецпредприятий, использующих труд
инвалидов.
. СТАТИСТИКА ЗДРАВООХРАНЕНИЯ
Статистика здравоохранения изучает количественные характеристики развития
системы здравоохранения: сеть и деятельность учреждений здравоохранения, их
размещение, состояние и оснащенность, кадры врачей, среднего, младшего
медицинского персонала (распределение по специальностям, полу).
. СТАТИСТИКА ПРОИЗВОДСТВЕННОГО ТРАВМАТИЗМА
Статистика производственного травматизма изучает количественные
характеристики производственного травматизма: число пострадавших при несчастных
случаях на производстве, в том числе со смертельным исходом, число дней
нетрудоспособности у пострадавших на производстве.
81. Моральная
статистика
Моральная статистика как особая отрасль социальной статистики исследует
количественную сторону массовых явлений, характеризующих нравственное состояние
общества, отдельных социальных групп. Моральная статистика - раздел
статистики, где наиболее тесно соприкасаются такие области знания, как
статистика, социология и психология. Предметом изучения моральной статистики
являются такие общественные явления, как благотворительность, меценатство,
достижения в области культуры, науки и искусства, донорство, различные
поступки, характеризующиеся высокой гражданской ответственностью, а так же
такие виды поведения, как суицидальное, преступная активность, пьянство, алкоголизм,
наркомания, проституция. В последние годы проводится ряд исследований,
направленных на изучение деятельности маргинальных групп - в частности, нищих,
бомжей. Показатели моральной статистики можно разделить на две большие
группы: первая - показатели нравственного состояния общества, вторая -
различные виды аномалий в нравственной жизни общества (преступность, алкоголизм
и др.), Количественное выражение этих показателей, особенно показателей первой
группы, имеет особые трудности. Доминирующее место в современной моральной
статистике занимает правовая статистика. Она учитывает правонарушения,
подразделяемые на административные, гражданские, уголовные. Девиантные
отклонения можно разделить на позитивные и негативные. Позитивные отклонения -
служат средством прогрессивного развития системы, повышения уровня ее
организованности: устраняя, преодолевая устаревшие, консервативные или
реакционные стандарты поведения (социальное творчество - научное, техническое,
художественное, общественно-политическое). Негативные отклонения -
дисфункциональны, нарушают функционирование системы, дезорганизуют ее, создавая
подчас угрозу ее существованию. Процессы организации и дезорганизации
необходимо сосуществуют.
К показателям моральной статистики, позволяющим в той или иной мере
отразить положительные стороны общественной морали, можно отнести следующие:
награждение орденами и медалями (численность лиц, награжденных орденами и
медалями);
Статистика социальных аномалий: Социальные процессы в сфере девиантного
поведения обладают своей спецификой: относительно высокая динамичность
социальной ситуации; нередкое противодействие объекта исследования получению
информации или же его пассивность, обуславливающие латентность (скрытность)
многих проявлений девиантного поведения; существенная зависимость состояния и
динамики объекта от среды (социальных, экономических, политических,
демографических, культурологических процессов).
Трудности изучения зачастую связаны с получением информации: отсутствует
единая система учета всех значимых проявлений; отсутствует либо носит
эпизодический характер статистика по некоторым видам девиантного поведения
(например, проституции, нищенства); зачастую несопоставимы данные российской
статистики и международной (например, возрастное распределение самоубийц), данные
различных ведомств;
многие проявления характеризует высокая латентность.
Это обуславливает необходимость проведения специальных выборочных
исследований.
. Состояние преступности - абсолютный количественный показатель,
отражающий число совершенных преступлений и лиц, их совершивших в конкретном
регионе за определенный период времени.
. Структура преступности - абсолютный или относительный показатель,
отражающий число или долю преступлений (преступников) определенных видов в их
общем количестве.
. Уровень преступности (и ее отдельных видов) - относительный показатель
распространенности, интенсивности преступности, выражающий соотношение числа
преступлений в расчете на 10000 или 100000 человек.
. Динамика преступности - показатели изменения во времени любой из
вышеназванных характеристик преступности.
. Коэффициент преступной (криминальной) активности - характеризует
степень пораженности различных социально-демографических групп населения
преступностью или отдельными ее видами. Выражается отношением доли (%)
определенной социально-демографической группы в контингенте преступников и доли
той же группы в составе всего населения региона.
В статистике применяется ряд показателей для оценки распространенности
пьянства и алкоголизма. В частности, потребление спиртных напитков -
потребление алкоголя в пересчете на чистый спирт в литрах на душу населения.
Перевод в «чистый алкоголь» осуществляется с помощью специальных коэффициентов.
Показатели наркомании (наркотизм)
Показатели суицида
Статистический анализ суицида опирается на такие показатели, как
количество самоубийств, суицидальных попыток; уровень (коэффициенты в расчете
на 100 тыс. человек). Возможно использование данных показателей с
распределением по полу, возрасту.
82. Предмет,
задачи и система показателей демографической статистики
Предметом демографической статистики служат количественные закономерности
демографических явлений и процессов. Демографические явления - это рождение,
смерть, брак и т.п., рассмотренные как единичные акты. В своей общей массе
демографические явления применительно к конкретным временным и пространственным
границам составляют демографические процессы: рождаемость, смертность,
брачность и т.п.
Методологическая база демографической статистики позволяет реализовать
целый ряд важнейших научно-практических задач. Основными среди них являются:
определение численности населения, изучение состава населения, характеристика
динамики населения, исследование естественного и миграционного движения
населения, оценка параметров воспроизводства населения, построение прогнозов
населения.
Фактическое решение перечисленных задач осуществляется на основе системы
показателей демографической статистики, в составе которой выделяются следующие
разделы:
. Показатели численности и состава населения;
. Показатели естественного движения населения;
. Показатели миграционного движения населения;
. Показатели динамики и воспроизводства населения;
. Показатели последствий демографического развития и эффективности
демографической политики.
Принципиально первый раздел системы показателей отражает состояние
населения, второй и третий разделы отражают развитие населения, четвертый и
пятый разделы - результаты развития населения.
83. Основные
источники статистических данных о населении
Информационная база статистики населения охватывает шесть основных
источников: переписи; выборочные обследования; текущий учет; регистры;
автоматизированный банк данных; анамнестические обследования.
Перепись - это специальное научно организованное обследование с целью
получения информации о численности и составе населения. Ее неоценимое
практическое значение заключается в том, что, с одной стороны, это важнейшее
государственное дело в плане обеспечения процесса управления обществом, с
другой стороны, это важнейшая статистическая операция в плане познания
закономерностей демографического развития. Современные переписи населения
проводятся в строгом соответствии с определенными принципами, к которым
относятся: всеобщий характер (охват всей территории и всего населения
государства); единство программы учета для всего населения страны;
одномоментный характер учета (регистрация всего населения по состоянию на одну
и ту же дату); предельно сжатые сроки учета; непосредственное получение
сведений у населения; индивидуализация сведений (сбор данных о каждом
человеке); самоопределение (население самостоятельно решает вопрос об отнесении
себя к той или иной группе в разрезе программы учета); централизация
(руководство переписью осуществляется из единого центра). Учет населения в
переписи производится по состоянию на конкретный момент времени, который
называется моментом регистрации. При этом используется принцип “мгновенной
фотографии”, т.е., например, родившиеся до момента регистрации войдут в
материалы переписи, а после него - нет. Фактически момент регистрации -
это определенный час суток, когда большая часть населения находится по месту
своего постоянного жительства (12 часов ночи). День (сутки), следующий за
моментом регистрации, называют датой переписи. К ней предъявляются
вполне конкретные требования: наименьшая подвижность населения (день недели,
месяц и сезон года), наиболее благоприятные условия для работы переписного
персонала, приближение во времени к началу года, учет интересов сопутствующих
обследований. Под сроком переписи понимается количество дней, в течение
которых производится регистрация населения. Особо важным вопросом организации
учета населения является выбор метода переписи. В статистике населения
существуют два основных метода проведение переписи - опрос и самоисчисление,
(явочный).
Выборочное обследование - это такая форма организации наблюдения, при
которой регистрации подлежит не все население, а лишь его определенная и строго
установленная часть. Оно может проводиться независимо от переписи и решать свои
конкретные задачи в соответствии с программой наблюдения. Выборочные
обследования имеют целый ряд преимуществ перед переписями по вполне конкретным
позициям. Во-первых, они дают значительное сокращение материальных и трудовых
затрат (вследствие неполного охвата населения уменьшаются срок регистрации,
численность переписного персонала, а также расходы на инструментарий).
Во-вторых, появляется возможность расширения программы обследования и получения
подробных данных о населении.
Текущий учет населения - это государственная система постоянного
наблюдения за естественным и миграционным движением общества. Он основывается
на трех главных принципах - всеобщности, непрерывности и обязательности
регистрации демографических событий.
Регистры - это специально организованная система индивидуальных карточек
для записи информации о населении, постоянно проживающем на данной территории.
Наибольшее распространение они получили в скандинавских странах и строятся по
следующим принципам: персонификация учета (сбор сведений о каждом человеке), непрерывный
характер наблюдения, обязательность для населения, соблюдение
конфиденциальности информации.
Автоматизированный банк данных (АБД) - это система сбора, разработки и
хранения данных о населении при помощи ЭВМ. АБД имеет перед регистрами
существенные преимущества. Во-первых, ЭВМ обладает неограниченным объемом
памяти. Во-вторых, появляется возможность компактного хранения информации на
машинных носителях (диски, дискеты и т.п.). В-третьих, устраняется дублирование
сведений. В-четвертых, упрощается процесс поиска данных и внесения изменений.
В-пятых, возникают условия для комбинированной разработки информации.
Анамнестическое обследование - это особый источник сведений о населении,
сущность которого заключается в опросе людей о событиях и фактах, происшедших в
далеком прошлом. При этом данные записываются со слов опрашиваемых на основе
воспоминаний (например, опрос женщин о всех случаях рождения и смерти
собственных детей).
В целом, все рассмотренные источники статистической информации о
населении обладают своими достоинствами и недостатками. В этой связи качество
демографической информационной базы в любом государстве земного шара
определяется тем, насколько отдельные источники получения данных увязаны между
собой и взаимно дополняют друг друга, компенсируя собственные слабые стороны.
84. Статистическое исследование численности, размещения и состава
населения
Численность населения является ключевым и базисным показателем
демографической ситуации. С одной стороны, характеристика любого государства,
как правило, начинается с оценки численности жителей. С другой стороны,
численность населения служит основой для расчета многих параметров
демографической статистики.По своему содержанию численность населения является
абсолютной моментной величиной, отражающей количественные границы человеческого
общества, проживающего на определенной территории. Среднее население - это
условная расчетная величина, отражающая численность человеческого общества за
период времени в целом.
Для характеристики размещения населения по территории в статистике
используются: 1) физическая плотность жителей (численность населения на 1 км2
территории); 2) удельный вес жителей, проживающих на данной территории, в общей
численности населения. Особой характеристикой размещения населения по
территории является его распределение между городом и селом. Главными
показателями, отражающими распределение жителей между городом и селом,
являются: численность городского и сельского населения, удельный вес городского
и сельского населения, численность городских жителей, приходящихся на 1000
сельских. Распределение общества на мужчин и женщин составляет половую
структуру населения. Для количественной оценки полового состава населения
применяется группа показателей: численность мужчин и женщин, удельный вес
мужчин и женщин в обществе, численность мужчин в расчете на 1000 женщин и др.
Собственно степень диспропорциональности половой структуры общества
устанавливается на основе шкалы-измерителя. Под возрастной структурой населения
понимается распределение людей по возрасту. Для этой цели в статистике
применяются одногодичные, пятилетние и десятилетние возрастные группы, а при
необходимости и группы с неравными возрастными интервалами. В статистической
практике для нахождения коэффициентов демографической нагрузки также могут
использоваться такие возрастные группы жителей, как 0-14, 15-59, 60 лет и
старше. Иными словами, поколения родителей и прародителей могут трактоваться
более широко по сравнению с классификацией Г. Сундберга. Аналогичным образом
могут быть определены коэффициенты трудовой нагрузки населения, связанные с
выделением лиц дотрудоспособного возраста, лиц трудоспособного возраста
(мужчины 16-59 лет, женщины 16-54 лет) и лиц послетрудоспособного возраста.
Обобщающую характеристику возрастной структуры общества получают при помощи
традиционных показателей теории статистики: среднего, медианного и модального
возраста жителей, каждый из которых отражает фактически сложившуюся ситуацию
одним числом. Детальное визуальное представление о возрастном составе населения
дает половозрастная пирамида. Оценку степени старости общества получают на
основе коэффициента старения, который представляет собой удельный вес лиц в
возрасте 60 лет и старше в общей численности населения. Для качественной
характеристики этого показателя привлекается специальная шкала Э. Россета. В
соответствии с ней, если коэффициент старости составляет до 8% - это
демографическая молодость, 8-10% - преддверие старости, 10-12% - собственно
старение, 12% и более - демографическая старость общества.Под социальным
составом населения понимается его распределение на общественные группы. Их
выделение на практике тесно увязывается с численностью и ролью конкретной
группы общества в социально-экономическом развитии страны. В широком аспекте
социальная структура населения определяется особенностями исторической
эволюции, уровнем экономического развития и демографической ситуацией в
государстве. Особо пристольное внимание статистика уделяет изучению семейного
населения, так как именно оно по преимуществу осуществляет демографическое
воспроизводство общества. Наиболее важными показателями семейного состава
населения являются число семей, численность и удельный вес семейных в общей
численности жителей, распределение семейного населения по размеру семьи, средний
размер семьи. Под образовательной структурой населения понимается распределение
общества по уровню образования. Она оценивается по удельному весу лиц, умеющих
читать и писать на каком-либо языке в определенном возрасте (например, от 9 до
49 лет). Для более точной статистической характеристики привлекаются показатели
численности лиц, имеющих высшее и среднее образование; численности лиц, имеющих
высшее и среднее образование в расчете на 1000 жителей в возрасте 10 лет и
старше; численности лиц, имеющих высшее и среднее образование в расчете на 1000
человек занятых в народном хозяйстве и др.
Отраслевая структура населения служит важнейшей характеристикой уровня
экономического развития страны. Для ее изучения привлекают показатели
численности и удельного веса занятых в каждой из отраслей общественного
производства. В непосредственной связи с отраслевой занятостью рассматривается
профессиональная структура населения, представляющая распределение жителей по
профессиям.
Реальное представление об экономической активности общества дает
распределение населения по источникам средств существования. В зависимости от
направления поступления доходов к населению в составе общества выделяют шесть
основных групп жителей.
85.
Статистическое исследование естественного движения населения
Естественное движение населения - обобщенное название совокупности
рождений и смертей, изменяющих численность населения так называемым
естественным путем. К естественному движению населения относятся также браки и
разводы; хотя они не меняют численности населения непосредственно, но
учитываются в том же порядке, что рождения и смерти.
В статистике широко используется показатель естественного прироста
населения, который определяют как разность между числом родившихся живыми и
числом умерших за определенный период, имея в виду прежде всего положительный
результат (число родившихся должно превышать численность умерших). Если разница
имеет отрицательный результат, то речь идет о показателе естественной убыли
населения.
Воспроизводство населения измеряется с помощью общего коэффициента
рождаемости и общего коэффициента смертности (рассчитываются на 1000 человек,
т.е. в промилле, ‰).
Общий коэффициент рождаемости характеризует интенсивность деторождения по
отношению к населению в целом (всех возрастов) и вычисляется как отношение
числа родившихся живыми в течение года (N) к среднегодовой численности
населения (
):
Интенсивность смертности населения измеряется общим коэффициентом
смертности, который представляет собой отношение общего числа умерших в течение
года (М) к среднегодовой численности населения:
В статистике населения используется также коэффициент естественного
прироста (убыли), который представляет собой разность между коэффициентом
рождаемости и коэффициентом смертности.
Большое значение для анализа естественного движения населения имеет
расчет возрастных коэффициентов рождаемости (коэффициентов для отдельных
возрастных групп женщин) и суммарного коэффициента рождаемости, который
характеризует среднее число детей, рожденных женщиной за свою жизнь. В
последние годы в России суммарный коэффициент рождаемости имеет тенденцию к
снижению (суммарный коэффициент рождаемости снизился с 2,00 в 1970 г. до 1,24 в
1998 г.).
Важнейшей частью статистической информации о смертности населения
является показатель смертности детей на первом году жизни. Речь идет о
коэффициенте младенческой смертности, который представляет собой отношение
числа умерших в возрасте до одного года (М0 ) к числу родившихся
живыми:
Обобщающим показателем является показатель средней продолжительности
предстоящей жизни, который может быть рассчитан для любой возрастной группы
населения путем деления суммы предстоящих человеко-лет, которые предстоит
прожить группе лиц от возраста х до предельного возраста включительно (Tx
), на численность изучаемого поколения, дожившего до возраста х (Lx
):
Среди факторов, определяющих рождаемость и смертность, выделяют
следующие:
) Половозрастная структура населения.
) Браки и разводы.
) Региональные и национальные традиции.
) Уровень жизни населения:
денежные доходы и расходы населения;
производство товаров народного потребления;
обеспеченность постоянной работой;
развитие системы здравоохранения;
обеспеченность жильем;
уровень образования.
) Экологическая обстановка.
) Способность к деторождению.
Перечисленные факторы рассматриваются во времени и пространстве. Степень
их влияния различна.
. Статистическое исследование миграционного движения населения
Механическое пополнение − число прибывших (приехавших) на данную
территорию, механическое выбытие − число выбывших (уехавших) с данной
территории.
Прирост численности за год (ΔT) рассчитывается как разность между
численностью на конец и на начало года: ΔT = Tк.г. − Tн.г.. Этот показатель отражает общий прирост
трудовых ресурсов (ΔTобщ.), который складывается под влиянием
естественного прироста (ΔTест.) и механического прироста (ΔTмех.) − миграции, т.е. ΔTобщ. =
ΔTест. + ΔTмех.. При этом величина абсолютных
показателей указанных приростов рассчитывается как разность соответствующих
показателей пополнения (естественного (ЕП) и механического (МП)) и выбытия
(естественного (ЕВ) и механического (МВ)), т.е.
ΔTест. = ЕП - ЕВ и ΔTмех. = МП - МВ
В макроэкономической статистике наибольшее распространение получили
относительные показатели - коэффициенты общего, естественного и механического
прироста, пополнения и выбытия. Относительные показатели движения трудовых
ресурсов рассчитываются по той же схеме, что и аналогичные показатели для всего
населения, т.е. как отношение соответствующего абсолютного показателя к
среднегодовой численности трудовых ресурсов, умноженное на 1000 человек, т.е.
выраженное в промиллях (‰). При этом к механическому движению (пополнению и
выбытию) относят изменение трудовых ресурсов за счет лиц, прибывших на данную
территорию или выбывших с данной территории на постоянное место жительства. Все
остальные причины изменения численности трудовых ресурсов относят к
естественным.
Система показателей естественного движения (воспроизводства) и
механического движения (миграции) трудовых ресурсов и методы их расчета
|
Абсолютный показатель (чел.)
|
Относительный показатель (‰)
|
|
Естественное пополнение (ЕП)
|
Коэффициент ЕП:
|
|
Естественное выбытие (ЕВ)
|
|
|
Естественный прирост (ЕП) ( )
|
|
|
Механическое пополнение (МП)
|
|
|
Механическое выбытие (МВ)
|
|
|
Механический прирост ( )
|
|
|
Общий прирост ( )
|
|
87.
Статистическое исследование воспроизводства населения
Демографический оптимум как цель демографической политики. 1.
Демографическая обстановка. Под демографической обстановкой следует понимать
состояние демографических процессов и состав населения за какое-либо
определенное время (обычно за год). Демографическая обстановка рассматривается
применительно к стране в целом или отдельным ее частям и характеризуется
системой различных показателей вследствие многообразия самих демографических
явлений. В этом случае говорят об обострении демографической обстановки,
которое проявляется в следующем: снижении рождаемости до уровня ниже
общественно необходимого; росте смертности в целом и в отдельных
возрастно-половых группах, ведущем к уменьшению средней продолжительности
предстоящей жизни; появлении диспропорций в возрастно-половом составе населения
страны в целом или ее части; невыгодных обществу направлениях и объемах
миграции; постоянном росте уровня разводимости.
. Демографическая политика - это целенаправленная деятельность общества в
области упорядочивания демографических процессов. Она призвана сохранить или
изменить тенденции динамики численности, состава, размещения населения, его
качества и миграции. Демографическую политику понимают в широком и узком
смысле. В широком смысле в понятие демографическая политика включается
воздействие общества на демографические процессы по двум направлениям:
изменение или сохранение уровня естественного воспроизводства населения; изменение
или сохранение направленности и объемов миграции населения.
В узком смысле, в котором чаще всего рассматривают это понятие,
демографическая политика включает в себя воздействие общества только на
естественное воспроизводство населения, в первую очередь на рождаемость.
. Под оптимумом населения следует понимать наилучшие и рациональные, с
точки зрения выбранного критерия, тип воспроизводства населения, пропорции
демографических структур, объемы и направленность миграции.Оптимум населения,
или демографический оптимум, чаще понимаемый как оптимальный тип
воспроизводства населения, надо рассматривать в качестве цели демографической
политики.
. Определение критерия демографического оптимума совершенно необходимо
при определении оптимального типа воспроизводства населения, его отдельных
размеров. Тип воспроизводства населения, подлежащий оптимизации, формируется
под воздействием ряда сложных факторов. Поэтому общий критерий оптимума
населения можно рассматривать как совокупность взаимосвязанных критериев. 5.
Параметры оптимального типа воспроизводства населения. При изучении оптимума
населения выделяют два его вида - статический и динамический. Статическому
оптимуму присущи неизменные в течение долгого времени демографические
показатели (одинаковые плотности рождений и смертей, отсутствие миграции). Это
приводит к постоянству численности населения, неизменности его возрастного
состава. Фактически такое население будет постоянным (стационарным).
Динамическому оптимуму присущи изменение уровней демографических процессов и
как следствие изменение демографических структур, в первую очередь возрастной.
Из этих видов оптимума наибольшее значение имеет определение динамического
оптимума, т.к. ни одно общество не может исключить возможности колебаний
демографических процессов и структур, вызываемых влиянием сил природы,
изменений в экономике, влияющих на социальные условия жизни людей, и других
факторов. Для определения желаемого для общества уровня воспроизводства
населения необходим показатель, отражающий степень взаимосменяемости поколений.
В этом качестве обычно используют показатель условного поколения -
нетто-коэффициент воспроизводства населения. 6. Требования, предъявляемые к
оптимальному типу воспроизводства населения. Обобщенно их можно представить
следующим образом. Формирование посредством демографической политики общего для
всей страны типа воспроизводства населения (в том числе отдельно уровней
рождаемости и смертности) с незначительными местными различиями. Оптимальный
тип воспроизводства населения предполагает изменение показателей
воспроизводства в небольших пределах, вызываемых обычно колебаниями структуры
населения. Необходимость сравнительной пропорциональности возрастного состава
населения страны в целом, так как перевес численности той или иной возрастной
группы может отрицательно сказаться на динамике экономики и социальном развитии
общества, на общих темпах роста материального благосостояния. Необходимое
условие для формирования оптимального типа воспроизводства в целом - совпадение
демографических идеалов оптимума семьи и общества. Учет длительности периода
формирования оптимального типа воспроизводства населения, обусловленной,
во-первых, большой инерционностью демографических процессов, а во-вторых,
возможностью значительного расхождения оптимального и фактического типов
воспроизводства населения. Оптимизации подлежит не только тип воспроизводства
населения, но и миграция и все виды демографических структур. Отсутствие
социальных и природных потрясений (войн, эпидемий и т.д.), разрушительно действующих
на демографические процессы и структуры.
88. Понятие,
принципы и методы демографического прогнозирования
В широком смысле слова под прогнозом населения понимают предсказание его
будущего состояния (совокупности параметров) в определенный момент времени. В
узком смысле слова прогноз населения обычно сводят к определению перспективной
численности жителей. Прогнозирование населения производится на основе целого
ряда принципов, к которым относятся: учет особенностей демографического
развития в прошлом, а также особенностей социально-экономической ситуации;
использование достоверной информационной базы прогноза и научных методов его
построения и др.
В статистике населения разработана классификация прогнозов населения. Она
строится по следующим признакам: 1) в зависимости от объекта - прогнозы
численности, прогнозы состава, прогнозы естественного движения, прогнозы
миграции населения и т.п.; 2) в зависимости от срока - краткосрочные прогнозы
(до 5 лет), среднесрочные прогнозы (от 5 до 25 лет), долгосрочные прогнозы (от
25 лет и более); 3) в зависимости от метода - прогнозы на основе математических
функций, прогнозы на основе демографических моделей, прогнозы на основе
статистических характеристик ряда динамики, прогнозы на основе вероятностной
передвижки возрастов.
) Модель экспоненциальной функции:
где St -
прогнозируемая численность населения; S0 - исходная численность населения; е - основание
натуральных логарифмов; k - коэффициент естественного прироста населения,
выраженный в долях единицы; t - срок прогноза. В этой математической модели
предполагается изменение численности населения в некоторой геометрической
прогрессии. Основным параметром модели, определяющим ее популярность в
статистике населения, является коэффициент естественного прироста. В реальной
действительности этот параметр не может оставаться постоянным в течение
длительного периода времени.
) Модель стабильного (стационарного) населения
где St -
численность стабильного (стационарного населения; Lx - среднее число доживающих до возраста х лет
в стационарном населении; е - основание натуральных логарифмов; k - коэффициент
естественного прироста населения, выраженный в долях единицы. В этой
демографической модели предполагается изменение численности населения в некоторой
геометрической прогрессии. При этом половозрастная структура общества и
коэффициент естественного прироста остаются стабильными. Если коэффициент
естественного прироста будет равен нулю, то модель стабильного населения
трансформируется в модель стационарного населения.
) Модель среднего абсолютного прироста населения
(здесь умножение!!!)
В этой статистической модели предполагается ежегодное равновеликое
изменение численности населения, которое было характерно для ретроспективного
ряда динамики. При этом фактически наблюдается замедление демографического
развития. Модель наиболее эффективна при простейших расчетах в краткосрочном
прогнозировании
) Модель среднего темпа роста населения
где St -
прогнозируемая численность населения; S0 - исходная численность населения; Tр - средний темп
роста численности населения; t - срок прогноза. В этой статистической модели
предполагается ежегодное изменение численности населения в одно и то же число
раз. При этом наблюдается демографическое развитие с некоторым ускорением
(замедлением), характерным для ретроспективного ряда динамики
) Модель вероятностной передвижки возрастов
где St -
прогнозируемая численность населения определенной возрастной группы; Sx - численность населения
смежной младшей возрастной группы; Px - вероятность дожития до следующей
старшей возрастной группы.
В этой вероятностной модели предполагается сохранение в будущем
существующего порядка вымирания населения. Она позволяет установить не только
численность, но и состав общества будущего. Целесообразно использовать метод с
разбивкой по полу. Слабая сторона вероятностей передвижки возрастов заключается
в необходимости дополнительного прогнозирования численности родившихся (первая
возрастная группа населения)
. Статистическое исследование занятости и безработицы
Трудоспособным населением называется совокупность людей, способных к
труду по возрасту и состоянию здоровья. В соответствии с законодательством
трудоспособным в нашей стране считается возраст для мужчин - от 16 до 59 лет и
для женщин - от 16 до 54 лет включительно. Население в трудоспособном возрасте
состоит из трудоспособного населения и населения, нетрудоспособного по состоянию
здоровья. В последнюю группу включаются неработающие инвалиды I и II групп
рабочего возраста, а также неработающие пенсионеры трудоспособного возраста,
получающие пенсию по возрасту на льготных условиях. Трудовые ресурсы - это
часть населения страны, которая фактически занята в экономике или же не занята,
но способна к труду по возрасту и состоянию здоровья. В состав трудовых
ресурсов (TP) включают:1) трудоспособное
население в трудоспособном возрасте; 2) фактически работающих подростков моложе
16 лет; 3) фактически работающих лиц старше трудоспособного возраста.
Численность трудовых ресурсов определяется следующим образом: из общей
численности лиц трудоспособного возраста исключают численность неработающих
инвалидов I и II групп (рабочего возраста), вычитают также численность
пенсионеров трудоспособного возраста, получающих пенсии по возрасту на льготных
условиях, и прибавляют численность фактически работающих подростков и лиц
пенсионного возраста. Под экономически активным населением согласно определению
Международной организации труда (МОТ) понимается часть населения страны в
возрасте от 15 до 72 лет, обеспечивающая предложение рабочей силы для
производства товаров и услуг.
Экономически активное население состоит из лиц, занятых экономической
деятельностью, и безработных. Занятыми экономической деятельностью считаются
лица, которые в рассматриваемом периоде: • выполняли работу по найму за
вознаграждение (хотя бы один час в неделю); • осуществляли приносящую доход
деятельность не по найму как с привлечением, так и без привлечения наемных
работников. Из числа занятых не исключаются лица, временно отсутствовавшие на
работе в обследуемом периоде из-за болезни, отпусков, ухода за больными,
забастовок и других подобных причин независимо от того, начислялась им заработная
плата за время их отсутствия или нет. В число занятых в экономике не включаются
лица, осуществляющие деятельность по производству товаров или услуг в
собственном домашнем хозяйстве только для собственного потребления
(приготовление пищи, пошив и ремонт одежды для членов домашнего хозяйства,
уборка дома, воспитание детей, уход за членами домашнего хозяйства). При
составлении баланса трудовых ресурсов: занятое население группируется по видам
деятельности и формам собственности. Это дает возможность анализировать
использование трудового потенциала в каждой отрасли, исследовать новые явления
и процессы, происходящие в экономике, становление и развитие новых секторов.
Состав занятых изучается также по полу, возрасту, семейному положению, видам
деятельности (в соответствии с Общероссийским классификатором видов
деятельности, продукции и услуг), группам занятий (в соответствии с
Общероссийским классификатором занятий), уровню образования. 1. Наемные
работники. 2. Работодатели. 3. Самостоятельно занятые. 4. Члены
производственных кооперативов. 5.
Неоплачиваемые работники семейных предприятий. К безработным, согласно
определению МОТ, относятся лица в возрасте, установленном для измерения
экономической активности населения, для которых в рассматриваемом периоде
соблюдались одновременно три критерия, перечисленных ниже:• не имели работы
(занятия, приносящего доход);• занимались поиском работы (самостоятельно или с
помощью служб занятости);• были готовы приступить к работе незамедлительно (в
течение ближайшего периода времени). Учащиеся, студенты, пенсионеры учитываются
в составе безработных, если для них выполняются два последних критерия. К
экономически неактивному населению относятся лица возраста от 55 до 72 лет,
которые не считаются занятыми экономической деятельностью или безработными в
течение рассматриваемого периода. 1. Коэффициент трудоспособного населения -
доля трудоспособного населения в общей численности населения. 2. Коэффициент
трудоспособности населения трудоспособного возраста - доля трудоспособного
населения в численности населения трудоспособного возраста. 3. Коэффициент
занятости населения - доля занятого населения в общей его численности. 4.
Коэффициент занятости населения трудоспособного возраста - соответственно доля
занятого населения трудоспособного возраста в общей численности населения
данного возраста. 5. Коэффициент занятости трудовых ресурсов - доля занятого
населения в численности трудовых ресурсов. 6. Коэффициент общей нагрузки -
число лиц нетрудоспособного возраста в расчете на 1000 чел. трудоспособного
возраста. 7. Коэффициент замещения трудовых ресурсов - число детей и подростков
до 16 лет в расчете на 1000 чел. трудоспособного возраста. 8. Коэффициент
пенсионной нагрузки - число лиц пенсионного возраста на 1000 чел.
трудоспособного возраста. 9. Уровень безработицы - отношение численности
безработных к численности экономически активного населения, выраженное в
процентах. 10. Уровень экономической активности населения - доля экономически
активного населения в общей численности населения соответствующей возрастной
группы (в возрасте 15-72 лет, в трудоспособном возрасте).
90.
Статистическое исследование экономико-демографической ситуации
Тип и уровень воспроизводства населения в значительной степени
определяются влиянием социально-экономических условий жизни. В то же время
изменения в уровнях демографических процессов и структурах населения оказывают
самое непосредственное влияние на экономические процессы, на воспроизводство
общественного продукта.
Взаимосвязи экономического развития и воспроизводства населения сложны и
многообразны. Для современной промышленной цивилизации важное значение
приобрели знания и исследования взаимодействия населения и экономики,
экономических и демографических процессов. Это обусловлено тем, что человеческий
фактор остается определяющим в производстве материальных благ.
Экономико-демографические проблемы развития общества, их исследование и решение
стоят в ряду наиболее важных проблем народонаселения. Это объясняется
необходимостью анализа динамики численности, возрастно-полового состава и
распределения трудовых ресурсов по территории государства.
Наукой, занимающейся изучением взаимодействия населения и экономики,
влияния демографических процессов и структур на экономику, является
экономическая демография.
Предмет экономической демографии можно рассматривать в широком и узком
смысле. В широком смысле предметом
экономической демографии можно определить проблемы взаимосвязи экономических и
демографических процессов.
В узком смысле предметом экономической демографии является изучение
особенностей влияния возрастно-полового состава населения и составляющих
естественного воспроизводства населения на процесс производства, распределения
произведенных обществом благ. При этом занятость выполняет роль связующего элемента
между ними.
Если какой-то регион нуждается в экономическом развитии и является
трудоизбыточным (либо, наоборот, трудонедостаточным) или регионом
экономического бедствия, то экономическая демография, как и отраслевые
экономики, исследует данную проблему со своей стороны, т.е. исследует состояние
трудовых ресурсов, источники их формирования, возрастно-половой,
профессиональный и отраслевой состав как всего населения, так и его
трудоспособной части, направленность миграционных потоков, состав мигрирующего
населения и др.