Предпринимательский риск, его сущность, виды и особенности в России
Федеральное государственное
образовательное бюджетное учреждение высшего профессионального образования
"ФИНАНСОВЫЙ УНИВЕРСИТЕТ
ПРИ ПРАВИТЕЛЬСТВЕ РОССИЙСКОЙ
ФЕДЕРАЦИИ"
(Финансовый университет)
Кафедра "Микроэкономика"
Курсовая работа
на тему:
"Предпринимательский риск: его
сущность, виды и особенности в России "
Выполнила: студентка группы ДКО1-1
Карпова Е.О.
Научный руководитель: д. э. н., профессор
Вафина Н.Х.
Москва 2013г.
План
Введение
1. Значение риска в предпринимательской деятельности
1.1 Понятие предпринимательский риск
1.2 Функции предпринимательских рисков
2. Классификация предпринимательских рисков
2.1 Политический риск
2.2 Технический риск
2.3 Производственный риск
2.4 Коммерческий риск
2.5 Финансовый риск
2.6 Отраслевой риск
2.7 Инновационный риск
3. Особенности предпринимательских рисков в России
3.1 Основные предпринимательские риски в России
3.2 Страхование предпринимательских рисков в России
3.3 Оценка, расчет и снижение предпринимательских рисков
3.3.1 Расчет риска
3.3.2 Технический риск
3.3.3 Риски взаимодействия с контрагентами и партнерами
3.3.4 Риск ошибочного выбора стратегии продаж продукта
3.3.5 Риск упущенной финансовой выгоды
3.3.6 Риск банкротства
3.3.7 Способы снижения риска
Заключение
Список используемой литературы
Приложения
Введение
Общественное развитие и связанное с ним
повышение чувствительности общества к опасностям привели во второй половине XX в. к тому, что в недрах
существующей цивилизации зародилась и интенсивно развивается новая цивилизация,
которую можно назвать цивилизацией знаний и риска. Желанию безопасного
обеспеченного существования противостоит свойственное человеку стремление к
развитию, повышению качества жизни. Это требует от каждого человека готовности
рисковать, а от народа - выбирать более или менее рискованные цели, а также
пути и способы их достижения. Кроме того, развитие требует внедрения инноваций,
часто связанных с риском. "Золотая середина" обеспечивается выбором
направления деятельности с обоснованным, приемлемым риском.
Отношение людей к риску колеблется в
широком диапазоне: от активной готовности рисковать до крайней осторожности и
осмотрительности. Оно определяется мировоззрением, системой ценностей, присущих
определенной цивилизационной единице, например этносу, жизненными обстоятельствами
и многими другими социальными факторами. Его реализация приводит к необратимым
негативным изменениям в социально-экономической системе, бывшей до этого
момента комфортной средой обитания и жизнедеятельности данного этноса. Такие
обстоятельства, в частности, исторически складывались, возникают и будут иметь
место у любого этноса, вовлеченного в военное или экономическое соперничество.
Понятно, что переход к устойчивому
развитию на Земле невозможен, пока не появится общечеловеческая система ценностей
и целей, определяющих характер и динамику отношений между отдельными людьми,
территориальными и социальными общностями людей, обществом и природой. Только в
этих условиях могут прекратиться кровопролитные войны (в том числе и под
предлогом насаждения во всех странах демократии определенного, например,
западного образа жизни) и обеспечивающее их материальную базу экономическое
соперничество.
Современное общество, устранив массовые
опасности прошлого - голод, холод, эпидемии, - подошло к необходимости борьбы с
опасностями, которые реализуются в виде редких событий, приводящих к
значительным ущербам, т.е. оцениваются риском. К тому же в современном
обществе, добившемся высоких стандартов качества жизни, повысилась
чувствительность населения к негативным событиям со значительным ущербом и,
следовательно, возросло неприятие населением обусловленных ими рисков.
Наука и сопряженное с ней образование
играют ключевую роль в формировании идеологии и политики современного общества.
На данном этапе развития человечества (вторая половина XX в. - начало XXI в.), который можно
назвать этапом знаний и риска, т.е. в период резкого расширения и ускорения
производства рисков, в том числе стратегических (или мегарисков согласно
терминологии некоторых авторов), существенно изменяется роль науки в
социально-общественной жизни и политике.
Дело в том, что многие риски
антропогенного происхождения, например радиационные или связанные с
непредсказуемыми и неконтролируемыми последствиями генной инженерии, не
воспринимаются непосредственно органами чувств человека. Подобные риски
существуют в форме знаний о них. При этом знания создаются либо теоретическим
путем либо путем анализа сведений, полученных с использованием приборов и
измерительных систем. Все это является реальной базой для того, чтобы
специалисты, способные и уполномоченные определять степень рискогенности новых
технологий и технических систем, начали занимать ключевые социальные и
политические позиции.
Резко возрастает также роль средств
массовой информации (СМИ), распространяющих знания о рисках.
предпринимательский риск россия страхование
К сожалению, и специалисты, и СМИ
испытывают влияние различных социальных групп и политических течений, что резко
снижает объективность информации о рисках. Эксперты (упомянутые специалисты)
определяют уровень социально - и эколого-экономической приемлемости риска для
общества и отдельного человека. В конечном счете, приемлемость риска всегда
является политическим вопросом, неким компромиссом.
С момента возникновения и особенно за
последние 30 лет теория рисков получила значительное развитие, став научной
дисциплиной. Особенно значительны ее достижения в следующих приложениях:
экономика, в частности страховой и финансовый риск-менеджмент. Подтверждением
служит не только развитость страхового рынка, но и множество появившихся с
начала 70-х гг. XX в. (как реакция на возрастание нестабильности мировой экономики)
финансовых инструментов, направленных на снижение финансовых рисков;
техносфера, особенно обеспечение безопасности таких потенциально опасных
объектов, как ядерные реакторы. Подтверждением является переход к
законодательному регулированию техногенной безопасности (например, принятие
Федеральных законов "О промышленной безопасности опасных производственных
объектов" от 21 июля 1997 г. № 116-ФЗ и "О техническом
регулировании" от 27 декабря 2002 г. № 184-ФЗ), которое обычно начинается
лишь после достаточной научной проработки соответствующих вопросов.
Управление риском стало объективно
необходимым во многих ключевых сферах деятельности, определяющих современную
цивилизацию. Это требует подготовки большего числа специалистов в области наук
о рисках и безопасности, а также ориентирующихся в вопросах анализа и
управления рисками. Проблемы рисков все шире рассматриваются и в учебных
дисциплинах, касающихся обеспечения конкретных видов безопасности (природной,
техногенной, промышленной, безопасности в ЧС, безопасности жизнедеятельности,
экономической, экологической, национальной).
Степень разработанности проблемы - тема
риски и их измерители широко проанализированы такими авторами, как Лапуста М.Г.
[3], Райзберг Б.А. [4], Вишняков Я.Д. [5], Буянов В.П. [6], Хохлов Н.В. [7] и
др.
Цель работы - рассмотрение теоретических и практических основ
рисков.
Задачи работы:
. Раскрыть сущность и классификацию рисков.
. Показать подходы к принятию решений в условиях
неопределенности и риска.
Методы исследования:
- Изучение и анализ научной литературы;
- Моделирование, сравнение, анализ, синтез.
Практическая значимость исследования заключается в
возможности использования результатов исследования рисков в практической
деятельности.
1. Значение
риска в предпринимательской деятельности
Осуществление экономического предпринимательства в его любой
форме связано с риском, который принято называть хозяйственным или предпринимательским.
Под предпринимательским понимается риск, присущий любому виду деятельности. Он
связан с производством различного рода продукции, ее реализацией,
товарно-денежными, и финансовыми операциями. Также его неотъемлемой частью
является осуществление социально-экономических и научно-технических проектов.
При анализе экономических систем общества выделяют следующие
их уровни: мега-, макро-, мезо - и микроэкономика.
На каждом уровне возникают свои специфические риски:
- мегаэкономические - риски для
функционирования мировой экономики а целом или для нижестоящих систем, но
обусловленные тенденциями развития мировой экономики;
- макроэкономические - риски экономической
системы данного государства, а также для функционирующих в данном государстве
организаций;
- мезоэкономические - риски, формируемые на
уровне отдельных отраслей экономики и специфических сфер бизнеса (для этих
отраслей и функционирующих в них организаций);
- микроэкономические (внутрифирменные).
С точки зрения риск-менеджмента выделяют следующие виды
рисков:
- управляемые, входящие в программу
риск-менеджмента;
- пренебрегаемые (управляемые в принципе, но
не входящие в программу риск-менеджмента данной организации);
- неуправляемые в принципе, неосознанные или
неизвестные риски.
1.1 Понятие
предпринимательский риск
Предпринимательский риск из-за нестабильности внешней среды
по отношению к субъектам предпринимательской деятельности имеет объективную
основу. Внешняя среда вынуждена приспосабливаться в рамках объективные
экономических, социальных и политических условий, которые являются неотъемлемой
ее частью. В соответствии с большинством трактовок риск ассоциируется с
неблагоприятными экономическими последствиями хозяйствования. В этом случае
предпринимательским риском можно назвать возможность потери ресурсов или
недополучения доходов по сравнению с ожидаемым вариантом, рассчитанным на
эффективное использование ресурсов в предпринимательской деятельности в типовых
условиях. Однако, хозяйственный риск связан не только с отрицательными результатами,
иначе готовность предпринимателя к нему была бы необъяснима. Предприниматель
идет на риск, невзирая на возможные потери, поскольку существует мощный стимул
- повышенная прибыль. Бизнес - это принятие на себя рисков в расчете на
удовлетворительное вознаграждение. Таким образом, предпринимательский риск
связан с неопределенностью получения ожидаемого дохода от вложения средств.
Принятое в мировой практике законодательство о предприятиях и
предпринимательской деятельности определяет предпринимательство как
инициативную, самостоятельную деятельность граждан и их объединений,
направленную на получение прибыли, осуществляемую на свой риск и под свою
имущественную ответственность.
Проанализировав множество определений
риска, можно выявить несколько основных положений, являющихся характерными для
рисковой ситуации:
· невозможно предугадать,
какой результат мы получим в реальности;
· возможность
прогнозирования исходов и результатов;
· наличие альтернативных
решений;
· вероятность получения
дополнительной прибыли;
· вероятность возникновения
убытков.
Хотя предпринимательский риск чаще всего отождествляют с
возможностью финансовых потерь или недополучением ожидаемой прибыли, иногда он
рассматривается и как вероятность преувеличения ожидаемой прибыли.
1.2 Функции
предпринимательских рисков
В экономической литературе часто
встречаются такие функции риска, как инновационная, регулятивная, защитная и
аналитическая.
Инновационная функция риска
проявляется в том, что возможность возникновения риска и его отрицательных
последствий становится условием поиска предпринимателем нетрадиционных решений
стоящих перед ним проблем, способствует внедрению нововведений в
производственный процесс, применению новых технологий, оборудования, сырья,
материалов, с тем, чтобы с меньшими издержками произвести больше продукции.
Инновационная функция риска стимулирует предпринимателей для совершенствования
управления и производства, планирования своей деятельности. Благодаря
инновационным рисковым решениям возрастает эффективность производства, что
положительно влияет и на производителей, и на потребителей, и на общество в
целом.
Регулятивная функция проявляется в
воздействии на предпринимателей в процессе принятия ими решений на всех стадиях
жизненного цикла фирмы, поэтому она связана с принятием таких решений,
реализация которых поможет избежать (или уменьшить последствия) риска.
Защитная функция риска делает
нормальным терпимое отношение к неудачам, если для предпринимателя состояние
риска стало естественным. Предпринимателям, чтобы решиться на риск, нужна
социальная защита, правовые, политические и экономические гарантии. Он должен
быть уверен, что возможный просчет никак не повлияет ни его дело, ни его имидж.
По гражданскому законодательству все последствия предпринимательского риска несет
сам предприниматель, поэтому он объективно использует защитную функцию
риска посредством разработки обоснованного бизнес-плана, заключения договоров с
добросовестными хозяйствующими партнерами, выполнения в срок обязательства
перед бюджетами всех уровней, чтобы избежать банкротства.
Также нуждается в рассмотрении и аналитическая
функция предпринимательского риска, связанная с анализом всех факторов и
условий осуществления успешной предпринимательской деятельности. Она выражается
в форме выбора "меньшего из зол" для разрешения рисковых ситуаций. В
простых ситуациях предприниматель, как правило, опирается на интуицию и
жизненный опыт. Но при рациональном решении той или иной сложной хозяйственной
задачи необходимо использовать специальные методы анализа, такие как
экономико-математические расчеты предполагаемых последствий риска,
использование теории вероятности и закона повторяемости экономических событий.
При рассмотрении функций
предпринимательского риска, необходимо помнить, что, как бы значительны ни были
потери, которыми сопровождается риск, он, несомненно, является и источником
возможной прибыли. В связи с этим основная задача предпринимателя заключается
не в отказе от рискованных действий, а выборы наиболее рациональных решений,
связанных с риском.
2.
Классификация предпринимательских рисков
Риски в предпринимательской деятельности связаны:
§ со всеми сферами управления - производством,
маркетингом, финансами, кадровым потенциалом;
§ фазами воспроизводства - от покупки необходимых
средств производства (машин, оборудования, сырья и т.д.) до изготовления
товаров и их реализации;
§ функциями менеджмента - планированием,
организацией, оперативным управлением, использованием персонала, экономическим
и финансовым контролем.
Риски, с которыми сталкивается в процессе своей деятельности
предприниматель, классифицируют по сферам возникновения, положению негативных
факторов относительно предприятия (организации), характеру последствий, уровню
рассматриваемой экономической системы, факторам возникновения, источникам
неопределенности и другим признакам (см. приложение 1).
По сфере возникновения (предпринимательской
деятельности) различают следующие виды рисков: производственный, коммерческий,
финансовый (как часть коммерческого), посреднический и страховой. Методология
анализа и управления наиболее проработана в отношении финансовых и страховых
рисков.
По характеру последствий (возможному результату)
различают риски:
· чистые (простые, статические) - влекущие
за собой только экономические потери (потери дохода и капитала) и упущенную
выгоду, когда организация по сложившимся объективным и субъективным причинам не
может осуществлять запланированную финансовую операцию. Например, при снижении
кредитного рейтинга организация не может получить необходимый кредит и использовать
эффект финансового левериджа (рычага) (см. приложение 2).
· спекулятивные (динамические) - связаны с
возможностью получения как отрицательного, так и положительного результата
(прибыли) вследствие спекулятивных (агрессивных) финансовых операций. Их
предпосылками являются ценовые колебания (см. приложение 3).
По факторам возникновения различают риски:
· политические, обусловленные изменением
политической обстановки, влияющей на предпринимательскую деятельность. Являются
составной частью странового риска, который в свою очередь влияет на
инвестиционный риск;
· законодательные, связанные с изменением
налогового законодательства, условий лицензирования деятельности и пр.;
· экономические (связаны с убытками,
измеряемыми в денежном выражении), обусловленные неблагоприятными изменениями в
экономике предприятия или страны;
По источнику неопределенности предпринимательские
риски подразделяют на две группы:
· случайные, возникающие вследствие
зависимости результата деятельности от большого числа влияющих факторов,
возможность реализации, уровни и соотношение которых неизвестны точно (имеет
место "природная" неопределенность);
· иерархические, связанные с возможностью
наступления некоторого события, хотя и предопределенного на более высоком
уровне социальной организации общества, но непредсказуемого для
рассматриваемого объекта (см. приложение 4).
По положению относительно организации все факторы, влияющие на
риск в проекте, можно условно подразделить на:
· внешние, непосредственно не зависящие от
деятельности организации или его контактной аудитории;
· внутренние, связанные с деятельностью
самого предприятия и его контактной аудитории.
К возникновению подобных рисков приводят
неэффективная маркетинговая политика и ошибки менеджмента, а также
внутрифирменные. Эти риски возникают в случае неэффективного управления,
неправильно построенной маркетинговой политики, а также в результате нарушений,
происходящих внутри фирмы.
Далее рассмотрим, в чем суть следующих
рисков, по наиболее полной, на мой взгляд, классификации:
· политический риск;
· технический риск;
· производственный риск;
· коммерческий риск;
· финансовый риск;
· отраслевой риск;
· инновационный риск.
2.1
Политический риск
Политический риск - это возможность возникновения убытков или
сокращения размеров прибыли, являющихся следствием государственной политики.
Таким образом, политический риск связан с возможными изменениями в курсе
правительства, переменами в приоритетных направлениях его деятельности. Для
стран с неустоявшимся законодательством, отсутствием традиций и культуры
предпринимательства, учет данного вида риска особенно важен. Понятие
"политический риск" появилось в лексиконе американских корпораций в
1959 г. после прихода к власти на Кубе Ф. Кастро. Одна из первых работ по этой
проблеме - книга Ф. Рута "Бизнес США за рубежом и политический риск",
где был проанализирован политический риск, которому подвергается деятельность
американских компаний в других странах.
Выделяют четыре группы политических рисков:
· риск трансферта;
· риск национализации без адекватной
компенсации;
· риск разрыва контракта из-за действий
властей страны, в которой находится компания-контрагент;
· риск военных действий и гражданских
беспорядков.
Риск трансферта связан с конвертацией местной валюты в
иностранную. Примером может служить ситуация, когда предприятие, получающее
прибыль в национальной валюте, при расчете за кредит не имеет возможности
перевести данную сумму в валюту инвестора по ряду объективных причин.
Риском национализации называют весь спектр
действий правительства от экспроприации до принудительного выкупа имущества,
направленный на присвоение частной собственности государству или просто
отстранения инвесторов от управления активами. Власти любой страны никогда не
станут рекламировать возможность экспроприации или национализации имущества,
поэтому иногда возникают сложности с определением риска национализации.
Следствием этого является ситуация, при которой ни в одном документе юридически
точно не указано, чем, например, различаются экспроприация и конфискация.
Риск разрыва контракта возникает в ситуациях,
при которых по независящим от партнеров причинам контракт признается
недействительным, например, при изменении национального законодательства страны
одного из участников сделки.
Последний из группы, но отнюдь не по значению, политический
риск - это риск военных действий и гражданских беспорядков. Последствия
его могут быть очень обширны: от больших потерь нанесенных фирме до ее
разорения.
Политический риск также подразделяется на страновой,
региональный и международный. Страновым политическим риском является
нестабильность внутриполитической обстановки страны, из-за которой возрастает
риск банкротства разного рода фирм.
Особенно это влияет на различные формы предприятий малого
бизнеса, так как напряженная политическая ситуация в стране нарушает процесс
налаживания производственных связей, что приводит к их необеспеченности сырьем,
материалами и оборудованием.
Нестабильность политической обстановки в определенном регионе
называют региональным политическим риском. Она влияет на результаты
деятельности предпринимательских фирм, например, вероятность в данном регионе
потерь из-за военных действий, а также вмешательства региональных органов
управления в хозяйственную деятельность. Политический риск следует отнести к
группе внешних рисков, поскольку предприниматель не может оказывать на них
непосредственного влияния, вследствие того, что их возникновение от результатов
его деятельности никоим образом не зависит.
2.2
Технический риск
Как правило, эффективная предпринимательская деятельность не
может существовать без новой техники и технологии, поиска резервов, повышения
интенсивности производственной деятельности. Однако существенно возрастает
опасность техногенных катастроф, причиняющих ущерб не только природе и человечеству,
но и дальнейшему производству. В таком случае следует говорить о техническом
риске.
Определяющими факторами технического риска выступают: степень
организации производства, проведение превентивных мероприятий, возможность
проведения ремонта оборудования силами фирмы.
К техническим рискам относятся:
· вероятность потерь вследствие
отрицательных результатов научно-исследовательских работ;
· вероятность потерь в результате сбоев и
поломки оборудования;
· вероятность потерь в результате
возникновения при использовании новых технологий и продуктов, побочных или
отсроченных во времени проявления проблем;
· вероятность потерь в результате низких
технологических возможностей производства, что не позволяет освоить результаты
новых разработок;
· вероятность потерь в результате не
достижения запланированных технических параметров в ходе конструкторских и
технологических разработок.
Технический риск также относится к группе внутренних рисков,
поскольку возникновение их, как правило, зависит от деятельности самого предпринимателя,
который может непосредственно влиять на них.
2.3
Производственный риск
Производственный риск это вероятность убытков или
дополнительных издержек, связанных со сбоями или остановкой производственных
процессов, нарушением технологии выполнения операций, низким качеством сырья
или работы персонала и т.д.
К основным причинам производственного риска относятся:
· снижение намеченных объемов производства и
реализации продукции;
· снижение цен, по которым планировалось
реализовывать продукцию или услугу;
· увеличение расхода материальных затрат;
· рост фонда оплаты труда за счет превышения
намеченной численности либо выплат более высокого уровня заработной платы
отдельным сотрудникам;
· увеличение налоговых платежей и других
отчислений;
· низкая дисциплина поставок, перебои с
топливом и электроэнергией;
· физический и моральный износ оборудования
отечественных предприятий.
2.4
Коммерческий риск
Коммерческий риск - это риск, возникающий в процессе
реализации товаров и услуг, произведенных или купленных предпринимателем.
Основные причины коммерческого риска:
· снижение объемов реализации в результате
падения спроса или потребности на товар, реализуемый предпринимательской
фирмой, вытеснение его конкурирующими товарами, введение ограничений на
продажу;
· повышение закупочной цены товара в
процессе осуществления предпринимательского проекта;
· непредвиденное снижение объемов закупок, в
сравнении с намеченными, что уменьшает масштаб всей операции и увеличивает
расходы на единицу объема реализуемого товара (за счет условно постоянных
расходов);
· потери товара;
· потери качества товара в процессе
обращения (транспортировки, хранения), что приводит к снижению его цены;
· повышение издержек обращения, в сравнении
с намеченными, в результате выплаты штрафов, непредвиденных пошлин и
отчислений, что приводит к снижению прибыли предпринимательской фирмы.
Коммерческий риск включает в себя:
. риск, связанный с реализацией товара (услуг) на
рынке;
2. риск, связанный с транспортировкой товара
(транспортный);
. риск, связанный с приемкой товара (услуг)
покупателем;
. риск, связанный с платежеспособностью покупателя;
. риск форс-мажорных обстоятельств.
Следует отметить тот факт, что в отечественной экономической
литературе часто коммерческий риск отождествляется с предпринимательским
риском, однако коммерческий риск - это один из видов риска
предпринимательского.
2.5
Финансовый риск
Финансовая деятельность предприятия во всех ее формах
сопряжена с многочисленными рисками, степень влияния которых на результаты этой
деятельности существенно возрастает с переходом к рыночной экономике. Риски,
сопровождающие эту деятельность, выделяются в особую группу финансовых рисков,
играющих наиболее значимую роль в общем "портфеле рисков"
предприятия. Возрастание степени влияния финансовых рисков на результаты
финансовой деятельности предприятия связано с быстрой изменчивостью
экономической ситуации в стране и конъюнктуры финансового рынка, расширением
сферы финансовых отношений и ее "раскрепощением", появлением новых
для нашей хозяйственной практики финансовых технологий и инструментов и рядом
других факторов.
Целью предпринимательства является
получение максимальных доходов при минимальных затратах капитала в условиях
конкурентной борьбы. Реализация указанной цели требует соизмерения размеров
вложенного (авансированного) в производственно-торговую деятельность капитала с
финансовыми результатами этой деятельности.
Вместе с тем при осуществлении любого вида хозяйственной
деятельности объективно существует риск потерь, объем которых обусловлен
спецификой конкретного бизнеса.
Финансовый риск - риск того, что потоки наличности окажутся
недостаточными для выполнения финансовых обязательств предприятия.
К финансовому риску относятся:
1. Валютные риски. Представляют собой
опасность валютных потерь, связанных с изменением курса одной иностранной
валюты по отношению к другой при проведении внешнеэкономических, кредитных и
других валютных операций. Валютный курс, устанавливаемый с учетом покупательной
способности валют, весьма подвижен.
Состояние платежного баланса является одним из основных
факторов, влияющих на курс валют. Необходимо также выделить, уровень инфляции и
межотраслевую миграцию краткосрочных капиталов. В целом на движение валютных
курсов оказывает воздействие соотношение спроса и предложения каждой валюты.
Помимо экономических, на валютный курс влияют и политические факторы.
В свою очередь валютный курс оказывает серьезное воздействие
на внешнеэкономическую деятельность страны, являясь одной из предпосылок
эквивалентности международного обмена.
Валютный риск включает в себя три разновидности:
· Изменение валютного курса влияет на
изменение стоимости активов и пассивов предпринимательской фирмы в большую или
меньшую сторону, что вызывает опасность возникновения экономического риска. Это
также касается и инвесторов, зарубежные инвестиции которых приносят прибыль в
иностранной валюте.
· Если активы фирмы выражены в иностранной
валюте, то при падении курса этой валюты стоимость данных активов падает. В
этом случае возникает риск перевода, который связан с разностью между активами
и пассивами фирмы. Следует иметь в виду, что риск перевода представляет собой
бухгалтерский эффект, но мало или совсем не отражает экономический риск сделки.
· Риск сделок представляет собой вероятность
убытков по конкретным операциям в иностранной валюте. Риск сделок возникает
из-за неопределенности стоимости в национальной валюте инвалютной сделки в
будущем. Данный вид риска существует как при заключении контрактов, так и при
получении (выдаче) кредитов. При этом возможно изменение величины платежей при
конвертировании в национальную валюту.
Таким образом, при заключении контрактов необходимо учитывать
возможные изменения валютных курсов.
2. Кредитный риск - опасность
неуплаты заемщиком основного долга и процентов, причитающихся кредитору.
Зарубежные экономисты выделяют имущественный, моральный и деловой кредитные
риски. Имущественный риск определяется тем, достаточно ли собственных активов
заемщика для покрытия объема кредита. Деловой риск, как правило, связывается со
способностями предпринимателя производить прибыль за определенный период
времени. Под моральным риском подразумевается та часть риска, которая имеет
отношение к займу денег и зависит от моральных качеств заемщика.
3. Инвестиционный риск определяется степенью
обесценивания капиталовложений из-за действий государственных органов власти и
управления. Данный вид риска связан со спецификой вложения предпринимательской
фирмой денежных средств в различные проекты. В отечественной экономической
литературе инвестиционные риски связывают с вложением средств в ценные бумаги.
Я считаю, что это понятие более широкое, включающее в себя все возможные риски,
связанные с инвестированием денежных средств.
2.6
Отраслевой риск
Для начала отметим различия в понятиях отрасль и рынок. В
соответствии с таблицей, представленной в приложении 9, отрасль и рынок
различаются совокупностью явлений и субъектами производственной деятельности,
которые являются основными в определении данных понятий.
Рассматривая рынок, нужно сказать, что это совокупность
условий сделок купли-продажи, в этом понятии объединяются заменяемые
производственные товары и товары, которые, по мнению потребителя, удовлетворяют
потребности.
Отрасль же в свою очередь представляет некоторое количество
предприятий, производящих схожие товары, а также использующих заменяемые с
точки зрения производителя технологии и ресурсы.
В экономической литературе отраслевой риск понимается как
вероятность потерь, произошедших в результате перемен в экономическом состоянии
отрасли, и определяется венчурными разработками и другими особенностями
отраслей реального производства. В данной ситуации основным источником
информации о положении предпринимательских фирм в данной отрасли, по сравнению
с фирмами других отраслей, является уровень внутриотраслевой конкуренции,
который, как правило, служит и оценкой отраслевого риска. Уровень
внутриотраслевой информации определяется также такими условиями как:
· рыночная способность покупателей и
поставщиков;
· степень ценовой и неценовой конкуренции;
· наличие или недостаток близких и
конкурентоспособных по цене заменителей;
· легкость или сложность вхождения
организации в отрасль;
· политическое и социальное окружение.
Однако данные условия подвержены неожиданным, иногда резким
изменениям, и так как они напрямую сказываются на функционировании отрасли,
предпринимательские фирмы обязаны непрерывно отслеживать опасность отраслевого
риска при любых видах деятельности.
2.7
Инновационный риск
Рассматривая определение инновационного риска следует
отметить, что это вероятность потерь, возникающих при инвестировании фирмой
средств на создание и разработку новых товаров и услуг, которые, возможно, не
будут пользоваться ожидаемым спросом у потребителей.
Инновационный риск появляется в таких ситуациях, при которых:
· при внедрении более дешевого метода
производства товара или услуги, по сравнению с уже использующимися;
· при создании нового товара или услуги на
старом оборудовании;
· при производстве нового товара или услуги
при помощи новой техники и технологии.
Инновационный риск особенно важен в современной
предпринимательской деятельности, которая находится на этапе увеличения
капиталов, используемых как для производства существующих товаров и услуг, так
и для создания новых, ранее не производимых.
3. Особенности
предпринимательских рисков в России
В настоящее время, в России очень широко, но далеко не
полностью идет развитие внутренних возможностей предпринимательства. Из
официальных источников известно, что на долю частных предпринимателей в общем
количестве сферы малого предпринимательства приходится 84%. Малые предприятия,
располагают всего 3,4% стоимости основных экономических средств России и 14%
числа всего трудоустроенного населения, и при этом производят 12% ВВП и дают
25% всей прибыли по народному хозяйству.
Развитие предпринимательства в России происходит в достаточно
неблагоприятных для бизнесменов условиях. Каковы же конкретные проблемы,
мешающие предпринимательской деятельности нормально развиваться?
Проблемы бизнеса подразделяются на следующие группы:
1.
Организационные.
Данные проблемы связаны с необходимостью юридического оформления, регистрацией,
а также открытием банковского счета.
2.
Материально-техническое
обеспечение. В первую очередь это потребность в производственных помещениях и
мощностях, а также низкоквалифицированный персонал.
3.
Финансовые
проблемы и проблемы капитализации сбережений индивидуальной ликвидности.
4.
Кредитная
необеспеченность.
Сами представители малых предприятий распределяют по важности
свои проблемы следующим образом:
1.
Недостатки
налоговой системы
2.
Отсутствие
оборотных средств
3.
Низкий
платежеспособный спрос населения
4.
Высокая
арендная плата
5.
Экономическая
политика государства
6.
Недоступность
кредитов
7.
Дороговизна
сырьевых ресурсов
8.
Слабое
развитие внутреннего рынка
9.
Высокие
тарифы на перевозки.
10.Отсутствие производственных площадей.
Доля работников малых предприятий в общей численности на
предприятии и в организациях всех отраслей экономики России составила 12,1% (в
2001 г. - 12,5%). А в таких отраслях, как общая коммерческая деятельность по
обеспечению функционирования рынка она составила 88,4% (85,4%), операции с
недвижимым имуществом - 56,1% (78,8%), информационно-вычислительное
обслуживание - 43,5% (50,8%), строительство - 36,3% (36,8%).
По сравнению с предыдущим годом среднесписочная численность
работников всех малых предприятий в 2002 г. уменьшилась на 4,7%.
Распределение общей численности занятых на МП по отраслям
экономики приводится на диаграмме (см. приложение 7).
Сегодня в малом бизнесе среднее количество наемных работников
примерно равно числу предпринимателей. Это соотношение, как мне кажется, и
является ключевым при построении политики поддержания занятости населения в
данной сфере.
Необходимо нацеливать людей как на увеличение общего числа
субъектов малого бизнеса, так и на расширение ими найма рабочей силы.
3.1 Основные
предпринимательские риски в России
В настоящее время мы являемся свидетелями
существенного изменения отношения общества к индустриализации и
научно-техническому прогрессу. В начале XX в. ускорение роста и
увеличение масштабов материального производства и потребления, активное
использование природных ресурсов рассматривались, безусловно, как положительные
тенденции развития цивилизации.
Но одновременно резко увеличивались число
и масштабы производственных аварий и катастроф. И сейчас, к сожалению, стало
обыденным словосочетание "экологическая катастрофа". Материальные
убытки общества от аварий и катастроф неуклонно возрастают, что подтверждается
диаграммой (см. приложение 8).
Таким образом, современное общество все
более четко осознает тот факт, что дальнейшее развитие цивилизации невозможно
без установления жесткого контроля над потенциально опасными производствами.
Вопросы обеспечения безопасности вышли на
первый план. Практически ни один новый проект не имеет шансов быть претворенным
в жизнь без строгой экологической экспертизы. Результатом формирования нового,
"безопасного" мышления стало возникновение и быстрое развитие новой
области знания - управления риском.
Управление рисками является составной
частью управления коммерческой организацией в целом, поэтому в ней должно быть
и функциональное подразделение или отдельное должностное лицо, отвечающее за
этот участок работы. При управлении рисками, в частности риском упущенной
выгоды, необходимо следовать некоторым правилам:
· нельзя рисковать большим,
чем может позволить собственный капитал;
· надо думать о
последствиях риска;
· нельзя рисковать многим
ради одного;
· положительное решение
принимается лишь при отсутствии сомнения;
· нельзя думать, что всегда
существует только одно решение. Возможно, есть и другие.
Необходимо в первую очередь определить
максимально возможный объем убытка по риску или суммы неполучения прибыли, если
предприятие откажется рисковать.
В России существуют промышленные гиганты,
или, как сейчас принято говорить, системообразующие предприятия,
масштабы производственной деятельности которых порождают повышенные требования
к обеспечению безопасности их функционирования. Таким предприятиям присущи разнообразные
и значительные по величине риски, которыми необходимо грамотно управлять.
Управление рисками требует разработки
научно обоснованной стратегии, которая должна включать в себя следующие
основные моменты:
разработку единого подхода к классификации
рисков;
организацию отделов по управлению риском
на предприятиях;
создание и внедрение методики регистрации
убытков в материальном и экономическом выражении;
создание и внедрение методики
прогнозирования аварийных ситуаций, оценки возможных последствий;
формирование глобальной базы данных по
убыткам в рамках целой отрасли;
разработку методики оценки сравнительной
эффективности различных мер по управлению риском и рекомендаций по их
использованию в конкретных случаях;
активное использование страхования и самострахования.
В любой хозяйственной деятельности всегда
существует опасность денежных потерь, вытекающая из специфики тех или иных
хозяйственных операций. При рыночной экономике опасность таких потерь
представляют собой риски. Предпринимательства, вложения и распоряжения
капиталом без риска не бывает, любое действие сопровождается определенной
степенью риска, который в свою очередь обязательно должен быть рассчитан до
максимально допустимого предела. Однако полное отсутствие рисковых ситуаций
вовсе не показатель успешной работы предприятия, ведь цель любой организации -
увеличение доходов" а достижение этого практически всегда сопровождается
риском. Поэтому возникновение риска упущенной выгоды зачастую неблагоприятно
сказывается на деятельности предприятия. Любое неосуществленное мероприятие,
остановка хозяйственной деятельности лишат предприятие ожидаемых и возможных
доходов.
В настоящее время необходимо грамотно
управлять предприятием, тщательно следить за его работой, принимать эффективные
решения, которые сведут риск упущенной выгоды к минимуму.
Таким образом, изучение и внедрение
риск-менеджмента являются необходимыми условиями для осуществления успешной
деятельности практически в любой сфере рыночного хозяйства России.
3.2
Страхование предпринимательских рисков в России
Страхование предпринимательских рисков представляет собой
совокупность видов страхования, предусматривающих обязанности страховщика по
выплате страхового возмещения (в пределах страховой суммы)
страхователю-предпринимателю при наступлении страховых событий (случаев),
воздействующих на материальные, денежные ресурсы, результаты
предпринимательской деятельности и причиняющих убытки, потери дохода и
дополнительные расходы предпринимателю.
Определенная часть юридических лиц не занимается предпринимательской
деятельностью (некоммерческие организации, учреждения), но для них защита от
финансовых рисков не менее актуальна, чем для физических лиц. Поэтому
представляется целесообразным выделение отдельной подотрасли имущественного
страхования - страхование непредпринимательских финансовых рисков (юридических
и физических лиц). В связи с этим важно определить, что представляют собой
финансовый и предпринимательский риски (см. приложение 5).
Субъектами страхования предпринимательских рисков являются страхователь
и страховщик. Страхователем может быть юридическое или физическое лицо,
занимающееся предпринимательской деятельностью. По договору страхования
предпринимательского риска может быть застрахован предпринимательский риск
только самого страхователя и только в его пользу.
Страховщиком, как и по другим видам страхования, является
юридическое лицо - страховая организация, имеющая лицензию на проведение
страхования предпринимательских (финансовых) рисков.
Страхование предпринимательских рисков выделено по существу
новым Гражданским кодексом РФ в отдельную подотрасль (вид страховой
деятельности) имущественного страхования. Оно заменило страхование финансовых
рисков.
В классификации видов страховой деятельности страхование
финансовых рисков определяется как "совокупность видов страхования,
предусматривающих обязанности страховщика по страховым выплатам в размере
полной или частичной компенсации потери доходов (дополнительных расходов) лица,
о страховании которого заключен договор".
Страхование осуществляется от убытков, вызванных следующими
событиями:
· остановка производства или сокращение
объема производства в результате оговоренных событий;
· банкротство;
· потеря работы (для физических лиц);
· непредвиденные расходы;
· неисполнение (ненадлежащее исполнение)
договорных обязательств контрагентом застрахованного лица, являющегося
кредитором по сделке;
· понесенные застрахованным лицом судебные
расходы (издержки).
Под потерей доходов в зарубежной и российской практике
страхования подразумевают, как правило, неполученную страхователем прибыль
вследствие страхового события.
В соответствии с Гражданским кодексом РФ взамен страхования
финансовых рисков по договору имущественного страхования могут быть, в
частности, застрахованы следующие имущественные интересы:
· риск утраты (гибели), недостачи или
повреждения определенного имущества;
· риск ответственности по обязательствам,
возникающим вследствие причинения вреда жизни, здоровью или имуществу других
лиц, а в случаях, предусмотренных законом, также ответственности по договорам -
риск гражданской ответственности;
· риск убытков от предпринимательской
деятельности из-за нарушения своих обязательств контрагентами предпринимателя
или изменения условий этой деятельности по не зависящим от предпринимателя
обстоятельствам, в том числе риск неполучения ожидаемых доходов -
предпринимательский риск.
Страхование предпринимательских рисков обеспечивает
возмещение не только потери дохода (прибыли), но и убытков от неоплаты
(невозвращения) имущества в связи с неисполнением обязательства контрагентом
предпринимателя. Это предусматривается и в страховании финансовых рисков.
К предметам страхования предпринимательской деятельности
относятся:
· имущество фирмы, предприятия, организации,
индивидуального предпринимателя, сформированное в процессах создания
(учреждения) и функционирования предпринимательской структуры;
· гражданская ответственность
предпринимателя за несвоевременный или неполный возврат кредитов (с
процентами), займов, за непогашение обязательств и невыплату процентов по
выпущенным облигациям, дивидендов по привилегированным акциям, использованным в
качестве источника инвестиций при создании предпринимательской структуры;
· инновационные проекты и/или их конечные
результаты;
· работоспособность элементов и систем
производства в целом и/или убытки от остановок производства;
· гражданская ответственность
предпринимателя, возникающая вследствие причинения вреда жизни, здоровью или
имуществу третьих (других) лиц в результате производственной, любой иной
деятельности, произошедших при этом аварий, вредных выбросов и т.п.;
· гражданская ответственность
предпринимателя за невыполнение им договорных обязательств по оплате
поставленных товаров, выполненных работ, оказанных услуг перед производителями,
исполнителями, продавцами;
· снижение объема продаж, дополнительные
расходы и убытки от собственной предпринимательской деятельности, включая
убытки от внереализационных операций (например, от изменения курсовых разниц по
валютным счетам и операциям с иностранной валютой; исполнения обязательств по
выданным другим лицам; поручительствам и гарантиям);
· инвестиции в другие предпринимательские
структуры и проекты; вложения в акции, облигации, в государственные и
муниципальные ценные бумаги.
Объектами страхования предпринимательской деятельности
являются имущественные интересы, связанные с материальными, денежными ресурсами
и доходами от этой деятельности, подвергающимися воздействию опасных,
неблагоприятных событий (страховых случаев), которые наносят предпринимателям
убытки и обусловливают их потребность в дополнительных источниках средств для
возмещения ущерба.
Виды страхования предпринимательской деятельности в основном
соответствуют названию предметов страхования или последствий страховых событий.
Значительная часть имущественных интересов предпринимателей
обеспечивается страховой защитой ряда традиционных видов страхования, например,
страхованием имущества юридических, физических лиц, занятых предпринимательской
деятельностью, страхованием транспортных средств и грузов. Поэтому при страховании
предпринимательских рисков эти виды имущества предпринимателей не учитываются
как предметы страхования.
В качестве предметов страхования предпринимательских рисков в
части, продаваемого предпринимателем имущества остаются: товары (не подлежащие
страхованию в качестве грузов); выполненные работы, оказанные услуги;
неиспользуемые материальные топливно-энергетические ресурсы, оборудование;
нематериальные активы и ценные бумаги.
К предметам же страхования предпринимательских рисков
относятся денежные средства, хранящиеся на депозитных вкладах и на различных
счетах в банках, также выданные кредиты для банковских учреждений.
В соответствии с этими предметами страхования могут быть
выделены следующие виды страхования предпринимательских рисков:
· страхование убытков по сделкам продажи
товаров, работ, услуг, иного имущества предпринимателя;
· страхование предпринимателем срочных
депозитов вкладов и денег на счетах в банках;
· страхование банком непогашения кредита
заемщиком средств.
Основные финансовые результаты предпринимательской
деятельности (выручка - объем продаж, издержки производства и обращения,
прибыль) и финансовые ресурсы предпринимательской структуры, естественно,
взаимосвязаны и взаимозависимы, но как экономические понятия не идентичны.
Поэтому можно считать, что состав видов страхования предпринимательских рисков
включает как виды страхования рисков убытков от непосредственных процессов
движения денежных средств (получения, использования, хранения или накопления),
так и виды страхования рисков убытков от производственных, экономических
процессов предпринимательской деятельности.
Указанные выше риски причинения различных убытков, потери
доходов вследствие безработицы физических лиц, их судебные расходы, утрату
денежных вкладов в банках целесообразно выделить в отдельные виды страхования
финансовых рисков физических лиц.
3.3 Оценка,
расчет и снижение предпринимательских рисков
Оценка риска - этап, на котором
идентифицированные опасности должны быть оценены на основе критериев
приемлемого риска с целью выделить опасности с неприемлемым уровнем риска, и
этот шаг послужит основой для разработки рекомендаций и мер по уменьшению
опасностей. При этом критерии приемлемого риска и результаты оценки риска могут
быть выражены как качественно, так и количественно.
Когда последствия риска незначительны и
частота его возникновения крайне мала, достаточно оценить один параметр.
Существуют четыре разных подхода к оценке
риска.
. Инженерный подход. Он опирается на
статистику поломок и аварий, на вероятностный анализ безопасности (ВАБ):
построение и расчет так называемых деревьев событий и деревьев отказов -
процесс основан на ориентированных графах. С помощью первых предсказывают, во
что может развиться тот или иной отказ техники, а деревья отказов, наоборот,
помогают проследить все причины, которые способны вызвать какое-то
нежелательное явление. Когда деревья построены, рассчитывается вероятность
реализации каждого из сценариев (каждой ветви), а затем - общая вероятность
аварии на объекте.
. Модельный подход - построение моделей
воздействия вредных факторов на человека и окружающую среду. Эти модели могут
описывать как последствия обычной работы предприятий, так и ущерб от аварий на
них.
. Экспертный подход. Первые два подхода
основаны на расчетах, однако для таких расчетов далеко не всегда хватает
надежных исходных данных. В этом случае применяется экспертный подход, при
котором вероятности различных событий, связи между ними и последствия аварий
определяют не вычислениями, а опросом опытных экспертов.
. Социологический подход. В рамках данного
подхода исследуется отношение населения к разным видам риска, например с
помощью социологических опросов.
3.3.1 Расчет
риска
После того как риски идентифицированы,
необходимо измерить степень воздействия каждого риска на предприятие. Этот
процесс включает оценку:
) частоты потерь (или вероятности потерь)
и 2) значимости потерь (денежную величину каждой потери). В общем случае
степень воздействия каждого риска больше зависит от значимости, чем от частоты
потерь. Риск с потенциалом катастрофического ущерба, даже если его вероятность
весьма мала, является более серьезной угрозой, чем риск, который по ожиданиям
происходит более часто, но приносит малые потери.
Для измерения частоты (вероятности) потерь
легко найти вероятность комбинаций рисков. Допустим, что вероятность
повреждения от бури для конкретного завода равна 0,03, от наводнения - 0,02, от
пожара - 0,01, и все эти три опасности независимы друг от друга. Шанс того, что
по крайней мере хоть одна опасность наступит в каком-либо году, определяется по
следующему алгоритму. Вероятность того, что не будет потерь от бури, равна 0,97
(1 - 0,03); вероятность избежания потерь от наводнения равна 0,98, а
вероятность отсутствия пожара - 0,99.
Таким образом, вероятность того, что ни
одна из этих опасностей не произойдет, равна 0,941 (0,97 х 0,98 х 0,99), или
94,1%.
Если вероятность отсутствия опасности
равна 94,1 %, то вероятность наступления хотя бы одной опасности равна 0,059 =
(1,00 - 0,941), или 5,9%.
Вероятность наступления всех трех опасностей
в один год составляет 0,000006 = (0,03 х 0,02 х 0,01), т.е. только шесть
случаев на миллион.
"Существует несколько способов
измерения тяжести потерь. Максимальная потеря - это денежная оценка размера
потерь, связанная со сценарием самого худшего случая, в то время как средняя
потеря - это денежная оценка размера потерь, связанная со случаем конкретной
опасности (например, пожар на заводе) с учетом широкого диапазона возможных
значений потерь, которые могут произойти.
Предположим, что максимальный размер
потерь от пожара на заводе оценивается в 10 млн руб., в то же время средний
размер таких потерь, рассчитанный по прошлой статистике пожаров, равен 500 тыс.
руб. Кроме того, если произошел пожар (у которого вероятность наступления равна
0,01), вероятность того, что пожар приведет к максимальным потерям, составляет
0,05, а вероятность наступления потери среднего размера - 0,40. Тогда в любом
году ожидаемая денежная оценка потерь для случая максимального ущерба равна
5000 руб. (0,01 х 0,05 х 10 000 000), а ожидаемая денежная оценка потерь для
случая среднего ущерба составит 2000 руб. (0,01 х 0,40 х 500 000).
Комбинируя вероятности наступления случаев
с денежными оценками потерь, управляющий рисками может получить полное
распределение вероятностей потерь от пожара, которое и является целью
определения типа риска и его измерения.
С установленным набором распределения
вероятностей потерь от пожара управляющий рисками может решить, какую величину
риска организации следует взять на себя и какую перевести на страховщика".
В этом примере вероятность того, что
потери от пожара превысят 100 000 руб. в любом году, равна 0,008 (0,01 х 0,80).
Если организация желает, чтобы риск всех
потерь от пожара был меньше, чем 100 000 руб., то ей следует купить страховой
полис на случай пожара с франшизой (освобождение страховщика от возмещения
убытков, не превышающих определенную сумму или процент от страховой оценки) на
100 000 руб. Тогда только риск, связанный с потерями от пожара, превышающими
100 000 руб., будет переведен на страховую компанию, а стоимость страхового
полиса будет значительно меньше, чем затраты на полное покрытие потерь.
Вероятность наступления события может быть
определена объективным или субъективным методом.
Объективный метод определения вероятности
основан на вычислении частоты, с которой происходит данное событие. Например,
если известно, что при вложении капитала в какое-либо мероприятие прибыль в
сумме 250 тыс. руб. была получена в 120 случаях из 200, то вероятность
получения такой прибыли составляет 0,6 (120: 200).
Субъективный метод определения вероятности
основан на использовании субъективных критериев, которые базируются на
различных предположениях. К таким предположениям могут относиться: суждение и
личный опыт оценивающего, оценка эксперта, мнение финансово консультанта и т.п.
Когда вероятность определяется субъективно, То разные люди могут
устанавливать разное ее значение для одного и того же события и
делать каждый свой выбор.
Важное место при этом занимает экспертная
оценка, т.е. проведение экспертизы, обработка и использование ее результатов
при обосновании значения вероятности.
Принятие экспертной оценки представляет
собой комплекс математико-статистических методов и процедур, связанных с
деятельностью эксперта по переработке необходимой для анализа и принятия
решения информации. Экспертная оценка основана на использовании способности
специалиста (его знаний, умения, опыта, интуиции и т.п.) находить нужное,
наиболее эффективное решение.
Для окончательного принятия решения
необходимо измерить колеблемость показателей, т.е. определить меру колеблемости
возможного результата. Колеблемость возможного результата представляет собой
степень отклонения ожидаемого значения от средней величины.
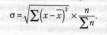
Для этого на практике обычно применяются
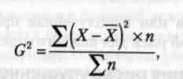
два близко связанных критерия: дисперсия и среднее квадратическое отклонение.
Дисперсия представляет собой
средневзвешенное из квадратов отклонений действительных результатов от средних
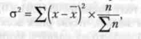
ожидаемых:
где σ2 - дисперсия; х - ожидаемое
значение для каждого случая наблюдения; х - среднее ожидаемое значение; п
- число случаев наблюдения (частота).
Среднее квадратическое отклонение
определяется по формуле:
Среднее квадратическое отклонение является
именованной величиной и указывается в тех же единицах, в каких измеряется
варьирующий признак. Дисперсия и среднее квадратическое отклонение являются
мерами абсолютной колеблемости.
Для анализа обычно используют коэффициент
вариации RVAr. Он представляет собой отношение среднего
квадратического отклонения к средней арифметической и показывает степень
отклонения полученных значений:
Коэффициент вариации - относительная
величина, поэтому на размер этого коэффициента не оказывают влияние абсолютные
значения изучаемого показателя. С его помощью можно сравнивать даже
колеблемость признаков, выраженных в разных единицах измерения".
Коэффициент вариации может изменяться от 0
до 100%. Чем больше коэффициент, тем сильнее колеблемость. Установлена
следующая качественная оценка различных значений коэффициента вариации: до 10%
- слабая колеблемость; 10-25% - умеренная колеблемость; свыше 25% - высокая
колеблемость.
Расчет дисперсии при вложении капитала в
мероприятия А и Б приведен в таблице (см. приложение 10).
Среднеквадратическое отклонение при
вложении капитала в мероприятие А составляет:
в мероприятие Б:
Коэффициент вариации для мероприятия А:
коэффициент вариации для мероприятия Б:
Коэффициент вариации при вложении капитала
в мероприятие А меньше, чем при вложении его в мероприятие Б, что
позволяет сделать вывод о принятии решения в пользу вложения капитала в
мероприятие А.
Можно применять также упрощенный метод
определения степени риска.
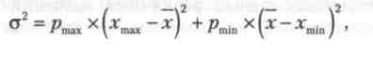
Количественно риск инвестора
характеризуется оценкой его вероятной величины максимального и минимального
доходов. При этом, чем больше диапазон между этими величинами при равной их
вероятности, тем выше степень риска.
Тогда для расчета дисперсии,
среднеквадратического отклонения и коэффициента вариации "можно использовать
следующие формулы:
где Рmах, Pmin - вероятность получения
максимального и минимального доходов;
Xmax, Xmin - соответственно
максимальная и минимальная величина дохода;
средняя ожидаемая величина дохода.
3.3.2
Технический риск
Эффективная предпринимательская
деятельность, как правило, сопряжена с освоением новой техники и технологии,
поиском резервов, повышением интенсивности производства.
Однако внедрение новой техники и
технологии ведет к опасности техногенных катастроф, причиняющих значительный
ущерб природе, людям, производству. В данном случае речь идет о техническом
риске.
Технический риск определяется степенью
организации производства, проведением превентивных мероприятий (регулярной
профилактики оборудования, мер безопасности), возможностью проведения ремонта
оборудования собственными силами предприятия.
К техническим рискам относятся:
· вероятность потерь
вследствие отрицательных результатов научно-исследовательских работ;
· вероятность потерь в
результате не достижения запланированных технических параметров в ходе
конструкторских и технологических разработок;
· вероятность потерь в
результате низких технологических возможностей производства, что не позволяет
освоить результаты новых разработок;
· вероятность потерь в
результате возникновения при использовании новых технологий и продуктов
побочных или отсроченных во времени проявления проблем;
· вероятность потерь в
результате сбоев и поломки оборудования и т.д.
Как уже отмечалось, технический риск
относится к группе внутренних рисков, поскольку предприниматель может оказывать
на данные риски непосредственное влияние и возникновение их, как правило,
зависит от деятельности самого предпринимателя.
Анализ технических рисков.
Вопросы оценки потенциальных технических
рисков приобрели особую актуальность в связи с вступлением в силу Федерального
закона от 27 декабря 2002 г. № 184-ФЗ "О техническом регулировании".
Эти оценки используются в области сертификации и стандартизации на основе
современной методологии анализа рисков при разработке технических регламентов.
Среди технических рисков наиболее важную
роль играют риски аварий, так как в этом случае речь идет о значительных
социально-экономических и экологических последствиях. Детальный анализ причин
аварий в сложных системах показывает, что устранение причин предусматривалось
технологической и организационной документацией, но не было выполнено
персоналом.
Анализ риска аварий является составной
частью управления промышленной безопасностью. Анализ риска заключается в
идентификации опасностей и оценки риска нежелательных событий.
Основными задачами этапа идентификации
опасностей являются выявление и описание всех источников опасностей. На стадии
идентификации опасностей рекомендуется применять методы качественного анализа и
оценки риска:
· "Что будет, если?.
";
· проверочный лист;
· анализ опасности и
работоспособности;
· анализ видов и
последствий отказов;
· анализ "дерева
событий".
На этапе идентификации опасностей важным
условием проведения оценки риска является наличие статистических данных. Их
недостаток или отсутствие может быть компенсирован использованием экспертной
оценки.
В практике метод экспертной оценки рисков
отражен в ГОСТ Р 27.310-93 "Анализ видов, последствий и критичности
отказов-Основные положения". Метод предусматривает обязательную
структуризацию объекта с определением и анализом выполняемых им функций.
Разбив объект по иерархическим уровням,
рассматриваем его как многоуровневую структуру. Составляем списки всех
элементов и выполняемых ими функций, устанавливаем взаимосвязи функций.
Для сравнения опасностей различной природы
незаменимы методу количественной оценки риска. Количественный анализ риска
позволяет оценивать и сравнивать различные опасности по единым показателям.
Количественная оценка риска представляет
собой процесс оценки цифровых значений вероятности и последствий возможных
нежелательных событий.
В настоящее время остро обстоит дело с
оценкой вероятности возникновения аварии.
"Интенсивность отказов легко
вычислить, если известна статистика аварий/отказов по предприятию, отрасли за
несколько последних лет:
где N - число аварий/отказов;
п - число объектов;
Г - период рассмотрения.
В случае если на предприятии отсутствует
подобная информация, целесообразно воспользоваться данными по интенсивности
отказов различных элементов технологических аппаратов, представленной в ГОСТ
12.1.004-91 "Пожарная безопасность".
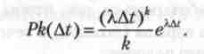
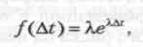
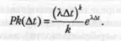
Известно, что вероятность Pk (Δt) наступления k событий-отказов для простого элемента (узла) за
интервал времени Δt выражается законом
распределения Пуассона:
Из формулы следует, что функция плотности
вероятности случайной величины Δt для простейшего потока
событий-отказов имеет вид показательного (экспоненциального)
распределения с параметром X:
где λ - интенсивность
(плотность) потока событий-отказов.
Если предположить, что аналогичное
распределение характерно для сложного объекта производственной среды, то
область ординат, принимаемых в рассмотрение при анализе риска объекта, будет
находиться очень близко к началу координат. При условии известной малости
интенсивности X и вероятности аварий можно пренебречь видом функции плотности
вероятности f (Δt) на интересующем участке и
принять ее постоянной, т.е.
Тогда справедливо следующее соотношение:
где РΔt (Аi) - это вероятность события Аi (наступления аварии в
течение года);
λ [Δt] - безразмерная величина и численно совпадает с интенсивностью
аварий λ.
Объем и методы проведения анализа риска во
многом определяются выбранными критериями приемлемого риска.
В общем случае под приемлемым риском
понимается риск, порог которого допустим и обоснован исходя из экономических и
социальных соображений".
Одной из наиболее часто употребляющихся
характеристик опасности является индивидуальный риск - частота поражения
отдельного человека в результате исследуемых факторов опасности.
Тот факт, что индивидуальный риск
характеризуется одним числом и является универсальной характеристикой опасности
для человека, - основа многочисленных попыток нормирования уровня приемлемого
индивидуального риска.
Порог приемлемого индивидуального риска
нормативно закреплен лишь в некоторых странах. Одной из таких немногих стран
является и Россия, где, согласно ГОСТ 12.1.010-76
"Взрывобезопасность" и ГОСТ 12.1.004-91 "Пожарная
безопасность", производственные процессы должны разрабатываться так, чтобы
вероятность воздействия опасных факторов взрыва (пожара) в течение года на
людей не превышала 10% на каждого человека.
Решение задачи на оптимизацию.
"Оценка вероятности
возникновения аварийной ситуации по модели Пуассона. На основе статистической
информации отказов различных элементов оборудования, приведенной в таблице,
проведем количественную оценку технического риска на некотором предприятии X по закону распределения
Пуассона. Для оценки вероятности возникновения аварийной ситуации в первую
очередь необходимо определить интенсивность отказов оборудования по формуле (см.
приложение 11)"
Интенсивность отказов по отдельным
элементам:
Общий показатель интенсивности отказов по
всем элементам:
Построим модель расчета вероятности
наступления отказов для простого элемента за интервал времени t (5 лет) по закону
распределения Пуассона:
Из формулы следует, что: f (Δt) = λ
.
Соответственно, при известной малости интенсивности λ и вероятности аварий можно пренебречь видом функции плотности
вероятности f (Δt) на интересующем участке и принять ее постоянной, т.е. f (Δt) = λ.
Тогда справедливо следующее соотношение:
Таким образом, вероятность аварии в течение года по отдельным
видам элементов будет равна (в год):
элемент 1: РΔt (A1) = 3,4;
элемент 2: РΔt (А2) = 2,2;
элемент 3: РΔt (Аз) = 1,8.
Вероятность аварии в течение года в целом по предприятию будет
равна (в год):
РΔt (А) = 2,4667.
В соответствии с представленными расчетами можно сделать вывод,
что вероятность возникновения аварий (отказов) оборудования по различным видам
элементов данного предприятия очень высока (2,46 в год). Из проанализированных
элементов наименее рисковым является элемент 3 с вероятностью 1,8 в год, а
наиболее рисковым - элемент 1. Вероятность его поломки равна 3,4 в год.
3.3.3 Риски
взаимодействия с контрагентами и партнерами
"В предпринимательской
деятельности необходимо наряду с непосредственно сбытовыми рисками учитывать
влияние других маркетинговых рисков.
Достаточно опасными для коммерческой
деятельности являются риски взаимодействия с контрагентами и партнерами в
процессе организации продаж.
Эту группу рисков можно подразделить на
подгруппы: риск вхождения в договорные отношения с недееспособными или
неплатежеспособными партнерами; риск задержки партнерами текущих договорных
обязательств; риск блокирования договорных отношений с партнерами".
Обоснование системы расчетов с
контрагентами.
Любая организация имеет множество
контрагентов, которых можно подразделить на две категории: дебиторы и
кредиторы. Дебиторы временно пользуются средствами, предоставленными им
организацией. Кредиторы, напротив, являются поставщиками ресурсов, и уже сама
организация временно пользуется чужими средствами.
Поскольку дебиторская задолженность
представляет собой, по сути, иммобилизацию, т.е. отвлечение из хозяйственного
оборота собственных оборотных средств организации, сопровождающуюся косвенными
потерями, любая организация заинтересована в максимально возможном ускорении
оборачиваемости омертвленных в дебиторах средств. С кредиторской задолженностью
дело обстоит иначе; это источник средств, поэтому организация заинтересована в
максимально длительном использовании чужих средств, т.е. в оттягивании срока
платежа.
Ситуация с платежной дисциплиной
усугубляется в периоды инфляции - любая непредусмотренная задержка в платежах
может обернуться как доходами, так и потерями. Косвенные доходы возникают в
связи с максимально возможным оттягиванием расчетов с кредиторами, когда может
оказаться выгодным уплатить штраф "облегченными" вследствие инфляции
деньгами; косвенные потери имеют место, в частности, из-за платности источников
средств.
Для того чтобы стимулировать ускорение
расчетов, многие организации применяют систему скидок, смысл которой состоит в
том, что в договоры купли-продажи, как правило, включают опцию о скидке с цены
при условии оплаты полученной продукции в достаточно сжатые сроки.
Если покупатель не пользуется опцией, т.е.
оплачивает товар с предусмотренной договором существенной отсрочкой платежа, у
него на некоторое время появляется дополнительный источник средств, но этот
источник уже не бесплатен, так как покупатель отказался от скидки.
Стандартизованный договор, содержащий
опцию, имеет вид: "d/k чисто n" (d/k net n), т.е. покупатель может получить скидку в размере d%, если он оплатит
покупку в течение k дней, в оставшиеся (n-k) дней оплата должна быть
сделана по полной цене. Значениями пап метров варьируют в зависимости от
надежности покупателя.
Стоимость источника "краткосрочная
кредиторская задолженность" Kcr в случае отказа от опции
рассчитывается по следующей формуле:
где d - скидка, которую можно
получить, оплатив товар в течение k дней, %
п - число дней, в течение
которых товар подлежит обязательной оплате.
Например, если договор имеет вид
"3/10 чисто 45", то стоимость источника равна 31,8% (3: 97 - 360: 35
- 100%). Логика рассуждений такова: допустим, что полная цена равна 100 руб.;
отказ от скидки означает, что за пользование дополнительным (в течение 35 дней)
источником придется платить больше на 3,093% (3: 97 х 100%).
Переход к характеристике стоимости в
терминах годовой процентной ставки как раз и дает величину 31,8%. Легко
заметить, что этот источник весьма дорогой; вот почему скидками чаще всего
пользуются.
Аналогичные рассуждения имеют место и в
отношении расчетов с дебиторами - в этом случае целесообразно предлагать
скидку, стимулируя более раннюю оплату поставленной продукции. Т.е. получение
преимуществ от повышения оборачиваемости средств и снижения потерь от инфляции;
полезно иметь в виду и еще одно обстоятельство, связанное с необходимостью
нести расходы по поддержанию источника покрытия дебиторской задолженности.
3.3.4 Риск
ошибочного выбора стратегии продаж продукта
Риск ошибочного выбора
стратегии продаж продукта - это риски, являющиеся следствием неопределенности
при принятии управленческих решений, которая может заключаться в допущении
ошибок (как в силу субъективных, так и объективных причин) при формировании
стратегии деятельности предприятия по продаже определенной продукции. Причинами
стратегических ошибок, а, следовательно, существования данной группы рисков
являются:
) ошибочный выбор приоритетов при создании
системы реализации своей продукции. Вероятность допущения ошибки при принятии
решения относительно того, как лучше организовать систему продаж продукции
(либо реализовать ее самостоятельно, либо воспользоваться услугами посредников
- дилеров или торговых агентов), существует всегда;
) неудачный выбор посредников (их типа или
количества) для сбыта данного товара в определенном сегменте рынка. Например,
если предприятие по производству лекарственных средств намерено продвигать свою
продукцию при помощи торговых агентов в каждом населенном пункте страны, то
возникает риск, что затраты на содержание такого количества посредников
превысят ожидаемую прибыль. В данном случае для производителя более
целесообразно использовать дилерскую сеть.
Риски ошибочного выбора стратегии продаж
отражаются не только на последующей деятельности фирмы в области сбыта, но и на
текущем положении дел.
Методика оценки степени риска ошибочного
выбора стратегии продаж продукта.
Управление рисками представляет собой
совокупность приемов и методов, уменьшающих вероятность появления этих рисков
или локализующих их последствия. Управление рисками является одним из важнейших
направлений деятельности финансового менеджера, требующим глубоких знаний
экономики и финансов предприятий, математических и статистических методов,
страхового дела и т.п. В крупных западных компаниях на управление рисками
финансовый менеджер затрачивает до 45% рабочего времени.
Процесс управления рисками включает
несколько этапов. На первом этапе происходит определение тех видов рисков, с
которыми может столкнуться предприятие; на втором проводятся анализ и
количественная оценка степени риска; на третьем осуществляется выбор методов
управления рисками; на четвертом - данные методы применяются на практике и
оцениваются результаты проведенных мероприятий.
Оценка рисков проводится с целью
определения вероятности и размера потерь, характеризующих величину (или степень)
риска. Она может осуществляться различными методами анализа: качественным,
количественным или комплексным. Рассмотрим количественный анализ.
При количественном анализе размеры
отдельных рисков определяются математико-статистическими методами:
) методом оценки вероятности ожидаемого
ущерба;
) методом минимизации потерь;
) путем использования дерева решений;
) методом анализа финансовых показателей
деятельности организации.
Статистический метод изучает статистику
потерь и прибылей на предприятии за определенный промежуток времени,
устанавливает величину и частоту получения определенного результата; на основе
этого составляется прогноз на будущее. С этой целью рассчитывают коэффициент
вариации, который характеризует изменение количественной оценки признака при
переходе от одного варианта к другому. Коэффициент вариации KVAR - относительная величина,
поэтому на его размер не оказывают влияния абсолютные значения изучаемого
показателя. Он представляет собой отношение среднеквадратического отклонения σ к средневзвешенному значению события х и определяется в
процентах:
Чем больше значение коэффициента вариации,
тем сильнее изменение анализируемого признака. Эмпирически установлена
следующая качественная оценка различных значений коэффициента вариации:
· до 10% - слабое
изменение;
· от 10 до 25% - умеренное
изменение;
· свыше 25% - высокое
изменение.
Среднее ожидаемое значение события (х) является
средневзвешенной величиной из всех возможных результатов с учетом вероятности
наступления каждого результата и определяется по формуле
где xi - абсолютное значение
i-гo
результата; pi - вероятность наступления i-го результата; п - число
вариантов исхода события.
Среднее значение события представляет
собой обобщенную количественную характеристику и не позволяет принять решение в
пользу какого-либо варианта. Для окончательного решения нужно определить
степень отклонения ожидаемого значения от средней величины, мерами которой
являются дисперсия (σ2) и среднее
квадратическое отклонение (σ).
Дисперсия представляет собой
средневзвешенное из квадратов отклонений действительных результатов от средних
ожидаемых:
Дисперсия сигнализирует о наличии риска,
но при этом не указывает направление отклонения от ожидаемого значения, так как
разность берется в квадрате, а предпринимателю важен знак (плюс или минус)
этого отклонения, чтобы знать, прибыль (+) или убыток (-) можно получить при
сделке. Среднеквадратическое отклонение определяется по формуле
Оно измеряется в тех же единицах, что и
варьирующий признак. Статистический метод может применяться и в несколько
упрощенном виде. Известно, что риск инвестора характеризуется оценкой вероятной
величины максимального и минимального доходов. Чем больше диапазон между ними
при равной их вероятности, тем выше степень риска.
В этом случае для расчета дисперсии можно
использовать следующую формулу:
где Pmах, Pmin - вероятность получения
максимального и минимального доходов;
xmax, xmin - соответственно
максимальная и минимальная величина дохода;

- средняя
ожидаемая величина дохода.
Преимуществами статистического метода оценки риска являются его
точность и несложность математических расчетов, а явным недостатком -
необходимость большого количества исходных данных. Кроме того, метод не годится
для новых организаций.
Метод оценки вероятности ожидаемого ущерба основан на том, что
степень риска (R) определяется как произведение ожидаемого ущерба на вероятность
того, что этот ущерб произойдет. Наилучшим является решение с минимальным
размером рассчитанного показа-геля. Математически суть этого метода можно
выразить в виде формулы
R = A×p1+ (A + B) ×p2,
где А и В - ущерб при принятии различных решений;
Р1 и p2 - степень вероятности получения ущерба.
Метод минимизации потерь основан на расчете возможных потерь при
выборе определенного варианта решения задачи. С этой целью выделяют два вида
потерь:
) потери, вызванные неточностью изучаемой модели (объекта), или
так называемый риск изучения (Rи). Нельзя эффективно управлять объектом, о котором у менеджера
существуют неясные представления;
) потери, вызванные неточностью и неэффективностью управления, или
риск действия (Rд). Он связан с возможностью принятия неверных решений и
возникновением потерь в процессе исполнения этих решений. Степень риска в
настоящем и будущем дает сумма этих потерь:
Рассмотрим условный пример. Предприятие реализует свою продукцию
за полную оплату и в кредит. В феврале 2009 г. предприятие поставляло продукцию
различным организациям. На предприятии было предложено два варианта реализации
продукта:
) максимальный размер дохода, т.е. когда вся продукция оплачена
(100%), составил 6 826 954 руб., а минимальный доход составил 70% от
максимального; вероятность 0,5 и 0,5 соответственно;
) максимальный размер дохода, т.е. когда вся продукция оплачена
(100%), составил - 6 826 954 руб., а минимальный доход составил 50% от
максимального; вероятность 0,4 и 0,6 соответственно.
Необходимо оценить риск ошибочного выбора стратегии продаж
продукта и выбрать наиболее выгодный вариант продажи.
Используем для расчета упрощенную формулу дисперсии для
статистического метода.
Получим для первого варианта:
σ2 = 0,5 (6 826 954,0 - 5 802 910.9) 2 + 0,5 (5 802 910,9
- 4 778 867,8) 2 = 10,486 × 108 руб.
σ = 1024011,719 руб.
KVAR = 1 024 011,719: 5 802 910,9 = 0,176.
Получим для второго варианта:
σ2 = 0,4 (6 826 954,0 - 4 778 867,8) 2 + 0,6 (4 778
867,8-3 413 477.0) 2 =1,878 × 108 руб.
σ = 1370401,401 руб.
KVAR = 1 370 401,401: 4 778 867,8 = 0,287.
Вывод: первый
вариант реализации продукции на предприятии менее рискованный, так как
коэффициент вариации в первом случае значительно меньше, чем во втором.
3.3.5 Риск
упущенной финансовой выгоды
Риск упущенной финансовой выгоды - это
риск наступления косвенного (побочного) финансового ущерба (неполученная
прибыль) в результате неосуществления какого-либо мероприятия (например,
страхование, инвестирование капитала) или остановки хозяйственной деятельности.
Риск упущенной выгоды относится к
спекулятивным рискам, которые выражаются в возможности получения как
положительного, так и отрицательного результата. Инвестор, осуществляя вложение
капитала, заранее знает, что для него возможны только два вида результатов: доход
или убыток. Под риском упущенной выгоды понимается возможность неполучения
прибыли от реализации инвестиционных проектов, отказ от этой реализации и
каких-либо иных мероприятий. Объектом риска в данном случае выступают
имущественные интересы лица - инвестора, вкладывающего в проект в той или иной
форме свои средства.
Методы определения риска упущенной выгоды.
Теория и практика выработали множество
методов для определения величины рисков, связанных с различными видами
деятельности организации. Расчет риска упущенной выгоды показывает вероятность
потери прибыли или дохода вследствие выбора ошибочного варианта действия.
Методы расчета риска можно объединить в две группы:
) объективные, основанные на обработке
статистических показателей;
) субъективные, основанные на личном
опыте, оценке экспертов, мнении финансового консультанта и других специалистов.
Чтобы количественно определить величину риска, необходимо знать все возможные
последствия какого-либо отдельного действия и вероятность самих последствий.
Вероятность означает возможность получения определенного результата.
Применительно к экономическим задачам методы вероятности сводятся к исчислению
значений вероятности наступления событий и выбору из возможных событий самого
предпочтительного исходя из наибольшей величины математического ожидания.
Величина риска или степень риска
измеряется двумя критериями:
) среднее ожидаемое значение;
) колеблемость (изменчивость) возможного
результата.
Среднее ожидаемое значение - это то
значение величины событий, которое связано с неопределенной ситуацией. Среднее
ожидаемое значение является средневзвешенным для всех возможных результатов,
где вероятность каждого результата используется в качестве частот или веса
соответствующего значения.
Средняя величина представляет собой
обобщенную количественную характеристику и не позволяет принять решение в
пользу какого-либо варианта вложения капитала. Для окончательного принятия
решения необходимо измерить колеблемость показателей, т.е. определить меру
изменчивости возможного результата.
Колеблемость возможного результата
представляет собой степень отклонения ожидаемого значения от средней величины.
Для этого на практике обычно применяют два близко связанных критерия: дисперсию
и среднеквадратическое отклонение. Дисперсия - средневзвешенное из квадратов
отклонений действительных результатов от средних ожидаемых.
где G2 - дисперсия;
_Х - ожидаемое значение для каждого случая
наблюдения;
X - среднее ожидаемое
значение;
я - число случаев наблюдения (частота).
Среднеквадратическое отклонение
определяется по формуле
При равенстве частот имеем частный случай:
Среднеквадратическое отклонение является
именованной величиной и указывается в тех же единицах, в каких измеряется
варьирующий признак. Дисперсия и среднеквадратическое отклонение служат мерами
абсолютной колеблемости.
Для анализа обычно используют коэффициент
вариации. Коэффициент вариации представляет собой отношение среднеквадратического
отклонения к средней арифметической и показывает степень отклонения полученных
значений.
Коэффициент вариации - относительная величина. Поэтому на его
размер не оказывают влияния абсолютные значения изучаемого показателя. С
помощью коэффициента вариации можно сравнивать даже колеблемость признаков,
выраженных в разных единицах измерения. Коэффициент вариации может изменяться
от 0 до 100%. Чем больше коэффициент, тем сильнее колеблемость. В экономической
статистике установлена следующая оценка различных значений коэффициента
вариации: до 10% - слабая колеблемость; до 10-25% - умеренная колеблемость;
свыше 25% - высокая колеблемость.
Субъективные методы более разнообразны,
распространённы и точны по сравнению с объективными методами.
Суть многих методов определения рисков
упущенной выгоды на основе заключений экспертов или других специалистов
сводится к следующему: выявляются все возможные причины появления риска
упущенной выгоды; все выявленные причины ранжируются по степени значимости
(влияния на риск), и для каждой из них устанавливаются определенный балл и
весовой коэффициент; обобщенная оценка риска определяется путем умножения
значения каждой причины в баллах на весовой коэффициент и их суммирования по
формуле
где Р - обобщенная оценка риска;
di - весовой коэффициент
каждой причины риска;
Zi - абсолютное значение
каждой причины в баллах.
Обычно абсолютное значение в баллах
колеблется от 1 до 10 или от 1 До 100, но чаще всего от 1 до 10.
С приближением значения Р к единице
величина риска упущенной выгоды снижается, и наоборот.
Пример определения риска упущенной выгоды.
Предположим, что на предприятие поступили
три различных инвестиционных проекта. Надо определить степень риска упущенной
выгоды по каждому из них. После детального анализа проектов эксперты получили
необходимую информацию для определения степени риска упущенной выгоды по
каждому инвестиционному проекту. Эта информация приводится в таблице
(см. приложение 12).
Обобщенную оценку риска упущенной выгоды
по каждому инвестиционному проекту определяем по формуле
По отдельным инвестиционным проектам она
составит:
проект 1: Р = 6 х 0,2 + 8 х 0,4 + 7 х 0,2
+ 2 х 0,1 + 7 х 0,1 = 6,7;
проект 2: Р = 6 х 0,2 + 2 х 0,1 + 3
х 0,4 + 5 х 0,1 + 6 х 0,2 - 4,3;
проект 3: Р= 6 х 0,2 + 2 х 0,1 + 4 х 0,4 +
5 х 0,2 + 6 х 0,1 = 4,6.
Из приведенного примера следует, что риск
упущенной выгоды, т.е. возможность недополучения вероятного дохода от
реализации инвестиционного проекта, наиболее высок в первом случае, так как
отказавшись от его реализации, предприятие рискует не получить ожидаемые 87
млн. руб., приобретение которых может благоприятно сказаться на его дальнейшем
финансовом развитии. Наименьшее значение риска упущенной выгоды наблюдается во
втором случае, исходя из которого предприятие рискует не получить 74 млн. руб.
Пути снижения риска упущенной выгоды.
При управлении риском упущенной выгоды
используется ряд приемов: в основном они состоят из средств разрешения риска и
приемов степени его снижения.
Снижение степени риска - сокращение
вероятности и объема похерь. Для снижения степени риска применяются различные
приемы, из которых наиболее распространенными являются: диверсификация, приобретение
дополнительной информации о выборе и результатах, лимитирование,
самострахование, страхование.
Наиболее известным и распространенным из
этих приемов является диверсификация, реализующая правило "нельзя класть
яйца в одну корзину".
Под диверсификацией в широком смысле
понимается сознательный подбор комбинаций инвестиционных проектов, когда
достигается не просто их разнообразие, а определенная взаимозависимость
динамики доходов и приемлемый уровень рискованности.
Диверсификация реальных инвестиций в
основном направлена на создание диверсифицированного производства, т.е. на
расширение номенклатуры и ассортимента выпускаемой продукции не только
основного производства, но и продукции и услуг, несвойственных для данного
предприятия.
Диверсификация портфельных инвестиций на
предприятии должна быть направлена на создание такого портфеля ценных бумаг,
который был бы оптимальным как по уровню доходности, так и по степени риска.
Исходя из этого можно сделать вывод, что
диверсификация как реальных, так и портфельных инвестиций является одним из
действенных направлений по снижению риска, но из этого не следует, что во всех
случаях необходимо прибегать к диверсификации производства. Если предприятие
является узкоспециализированным, а его продукция является конкурентоспособной
как на данном этапе, так и в перспективе, то вряд ли целесообразно прибегать к
диверсификации производства.
Важным фактором для снижения риска
упущенной выгоды являются достоверность и полнота информации, на основе которых
принимаются решения. Вся эта информация в зависимости от источника ее получения
может быть классифицирована следующим образом:
· информация, полученная из
официальных, открыто публикуемых источников (статистические сборники, газеты,
журналы, экономическая и социальная политика государства и др.);
· информация, полученная по
закрытым каналам;
· информация, полученная на
основе обработки и анализа, статистической и иной информации.
Полная и достоверная информация - товар
особого рода, за который надо платить, но эти расходы с лихвой окупаются в
результате
получения существенной выгоды от вложения
инвестиций или в процессе деятельности предприятия.
Лимитирование - установление предприятием
предельно допустимой суммы средств на выполнение определенных операций, в
случае невозврата которой это несущественно отразится на финансовом состоянии
предприятия.
Страхование и самострахование являются
важными приемами по снижению степени риска. Страховые компании получили
довольно широкое распространение во многих странах мира, но особенно в странах
с развитой рыночной экономикой. Идет процесс становления страхового дела и в
Российской Федерации.
Страхование - отношения по защите
имущественных интересов хозяйствующих субъектов при наступлении определенных
событий (страховых случаев) за счет денежных фондов, формируемых из
уплачиваемых ими страховых взносов (страховых премий).
Самострахование означает, что
предприниматель предпочитает подстраховаться сам, нежели покупать страховку в
страховой компании. Тем самым он экономит затраты по страхованию.
Самострахование представляет собой децентрализованную форму создания
натуральных и денежных страховых (резервных) фондов непосредственно в
хозяйствующем субъекте, особенно в тех, чья деятельность подвержена риску.
Но самый верный прием снижения степени риска
- компетентное управление предприятием (организацией) начиная с момента
создания и на всех последующих этапах его функционирования.
При этом никогда не следует забывать, что
могут произойти негативные явления, не зависящие от управленческого персонала,
но и к ним предприятие должно быть в определенной степени готово. Необходимо
правильно ориентироваться в деятельности предприятия, правильно определять,
какое решение приведет к вероятному доходу, чтобы максимально минимизировать
риск упущенной выгоды. Во всем этом и заключается смысл искусства управления.
3.3.6 Риск
банкротства
В условиях рынка любое предприятие может
оказаться банкротом или стать жертвой "чужого" банкротства.
Необходимо прогнозировать вероятность банкротства для своевременного выявления
различных сбоев и упущений в деятельности предприятия, потенциально опасных с
точки зрения вероятности наступления банкротства. Предприятие, на котором
серьезно поставлена аналитическая работа, способно заранее распознать
надвигающийся кризис, оперативно отреагировать на него и с большей вероятностью
избежать "неприятностей" или уменьшить степень риска.
Методы диагностики вероятности
банкротства.
Для любого предприятия важно оценивать
свою платежеспособность и прогнозировать возможное банкротство. Для диагностики
вероятности банкротства могут быть использованы следующие методы.
Многокритериальный
подход. Многие
крупные компании и аудиторские фирмы используют для своих аналитических оценок
системы критериев. Одной из систем являются рекомендации Комитета по обобщению
практики аудирования (Великобритания).
В соответствии с ними выделяется две
группы признаков банкротства.
К первой группе относятся показатели,
свидетельствующие о возможных финансовых затруднениях и вероятности банкротства
в недалеком будущем:
· повторяющиеся
существенные потери в основной деятельности, выражающиеся в хроническом спаде
производства, сокращении объемов продаж и хронической убыточности;
· низкие значения
коэффициентов ликвидности и тенденция к их снижению;
· наличие хронической просроченной
кредиторской и дебиторской задолженности;
· увеличение до опасных
пределов доли заемного капитала в обшей его сумме;
· дефицит собственного
оборотного капитала;
· систематическое
увеличение продолжительности оборота капитала;
· наличие сверхнормативных
запасов сырья и готовой продукции;
· использование новых
источников финансовых ресурсов на невыгодных условиях;
· неблагоприятные изменения
в портфеле заказов;
· падение рыночной
стоимости акций предприятия;
· снижение
производственного потенциала.
Во вторую группу входят показатели,
неблагоприятные значения которых не дают основания рассматривать текущее
финансовое состояние как критическое, но сигнализируют о возможности резкого
его ухудшения в будущем при неприятии действенных мер. К ним относятся:
· чрезмерная зависимость
предприятия от какого-либо одного конкретного проекта, типа оборудования, вида
актива, рынка сырья или рынка сбыта;
· потеря ключевых
контрагентов;
· недооценка обновления
техники и технологии;
· потеря опытных
сотрудников аппарата управления;
· вынужденные простои,
неритмичная работа;
· неэффективные
долгосрочные соглашения;
· недостаточность
капитальных вложений и т.д.
К достоинствам этой системы индикаторов
возможного банкротства можно отнести системный и комплексный подходы, а к
недостаткам - высокую степень сложности принятия решения в условиях
многокритериальной задачи, субъективность прогнозного решения независимо от
числа критериев.
Дискриминантные факторные
модели. В
зарубежных странах Для оценки риска банкротства широко используются
дискриминантные факторные модели Альтмана, Бивера, Лиса, Таффлера.
Дискриминантные факторные
модели Альтмана. Чаще всего для оценки вероятности банкротства предприятия
используются Z-модели, предложенные известным западным экономистом Эдвардом
Альтманом, который предполагает расчет индекса кредитоспособности.
Самой простой из этих моделей является
двухфакторная. Для нее выбираются два основных показателя, от которых, по
мнению Э. Альтмана, зависит вероятность банкротства:
· коэффициент покрытия
(характеризует ликвидность);
· коэффициент финансовой
зависимости (характеризует финансовую устойчивость). На основе анализа западной
практики были выявлены весовые коэффициенты каждого из этих факторов.
Z = - 0,3877 - 1,0736КП
+ 0,579КФЗ,
где КП - коэффициент
покрытия (отношения текущих активов к текущим обязательствам);
КФЗ - коэффициент финансовой
зависимости, определяемой как отношение заемных средств к общей величине
пассивов.
Для предприятий, у которых Z = 0, вероятность
банкротства равна 50%. Если Z < 0, то вероятность банкротства меньше 50% и далее
снижается по мере уменьшения Z. Если Z > 0, то вероятность банкротства больше 50% и
возрастает с ростом Z
Достоинство модели - в возможности
применения в условиях ограниченного объема информации о предприятии, но данная
модель не обеспечивает высокую точность прогнозирования банкротства, так как не
учитывает влияния на финансовое состояние предприятия других важных показателей
(рентабельности, отдачи активов, деловой активности).
В западной практике чаще используются многофакторные
модели Альтмана.
В 1968 г. им была предложена пятифакторная
модель прогнозирования. Данная формула применима для акционерных обществ
открытого типа:
Z = 1,2КОБ +
1,4Кнп + 3,3КР + 0,6КП + 1,0КОМ,
где КОБ - доля оборотных средств
в активах, т.е. отношение текущих активов к общей сумме активов;
КНП - рентабельность активов,
исчисленная исходя из нераспределенной прибыли, т.е. отношение нераспределенной
прибыли к общей сумме активов;
КР - рентабельность активов,
исчисленная по балансовой стоимости (т.е. отношение прибыли до уплаты % к сумме
активов;
Кп - коэффициент покрытия по рыночной
стоимости собственного капитала, т.е. отношение рыночной стоимости акционерного
капитала к краткосрочным обязательствам;
КОМ - отдача всех активов, т.е.
отношение выручки от реализации к общей сумме активов. Уровень угрозы
банкротства предприятия для акционерных обществ открытого типа:
· значение Z менее 1,81 - вероятность
банкротства очень высокая;
· значение Z от 1,81 до 2,7 -
вероятность банкротства высокая;
· значение Z от 2,7 до 2,99 -
вероятность банкротства невелика;
· значение Z более 2,99 - вероятность
банкротства ничтожна. Для акционерных обществ закрытого типа и предприятий,
акции которых не котируются на рынке, рекомендуется следующая модель Альтмана:
Z = 0,7КОБ +
0,8Кнп + 3,1КР + 0,4КП + 1,0КОМ,
где КП - коэффициент
покрытия по балансовой стоимости, т.е. отношение балансовой стоимости
акционерного капитала (суммарная балансовая стоимость акций предприятия) к
краткосрочным обязательствам.
Константа сравнения - 1,23:
· если Z < 1,23, то это
признак высокой вероятности банкротства;
· если Z > 1,23, то это
свидетельствует о малой его вероятности. Точность прогноза в этой модели на
один год составляет 95%, на два года - до 83%, что говорит о достоинствах
данной модели. Однако существуют мнения, согласно которым в условиях переходной
экономики использовать модель Альтмана нецелесообразно. Аргументами сторонников
этих мнений служат:
· несопоставимость
факторов, генерирующих угрозу банкротства;
· различия в учете
отдельных показателей;
· влияние инфляции на их
формирование;
· несоответствие балансовой
и рыночной стоимости отдельных активов и другие объективные причины.
Дискриминантная факторная
модель Таффлера. Таффлер разработал следующую модель:
Z = 0,53x1 +0,13x2 +0,18x3 +0,16x4,
где х1 - прибыль от
реализации/краткосрочные обязательства; х2 - оборотные
активы/сумма обязательств; x3 - краткосрочные обязательства/сумма активов; x4 - выручка/сумма активов.
Если величина Z > 0,3, то это
говорит, что у фирмы хорошие долгосрочные перспективы. Если Z < 0,2, то это
свидетельствует о высокой вероятности банкротства. Отечественные
дискриминантные модели прогнозирования банкротств представлены
двухфакторной моделью М.А. Федотовой и пятифакторной моделью Р.С. Сайфулина,
Г.Г. Кадыкова.
Модель оценки вероятности
банкротств Федотовой опирается на коэффициент текущей ликвидности (x1) и долю заемных средств
в валюте баланса (x2):
Z = - 0,3877 - 1,0736x1 + 0,0579x2.
При отрицательном значении индекса Z вероятно, что предприятие
останется платежеспособным.
Уравнение Сайфулина,
Кадыкова имеет
вид:
Z = 2x1 +0,1х2 +0,08x3 +0,45x4 + х5,
где x1 - коэффициент
обеспеченности собственными средствами (нормативное значение x1 > 0,1);
х2 - коэффициент текущей
ликвидности (х2 > 2);
x3 - интенсивность оборота
авансируемого капитала, характеризующая объем реализованной продукции,
приходящейся на 1 руб. средств, вложенных в деятельность предприятия (х3
> 2,5);
x4 - коэффициент менеджмента,
рассчитываемый как отношение прибыли от реализации к выручке;
х5 - рентабельность
собственного капитала (x5 > 0,2).
При полном соответствии значений
финансовых коэффициентов минимальным нормативным уровням индекс Z равен 1. Финансовое
состояние предприятия с рейтинговым числом менее 1 характеризуется как
неудовлетворительное.
Недостатками таких моделей являются
переоценка роли количественных факторов, произвольность выбора системы базовых
количественных показателей, высокая чувствительность к искажению финансовой
отчетности и др.
3.3.7 Способы
снижения риска
Способы снижения риска в большой степени
зависят от вида риска.
Высокая степень финансового риска проекта
приводит к необходимости поиска путей ее искусственного снижения. Назовем
четыре способа снижения финансового риска:
· распределение риска между
участниками проекта;
· самострахование (передача
части риска всем соискателям прибыли от данного проекта);
· страхование (заключение
договора со специализированной страховой фирмой);
· резервирование средств на
покрытие непредвиденных расходов. Даже устойчивые организации могут столкнуться
с временным снижением доходов из-за краткосрочного падения спроса на их товары
и услуги.
Для предупреждения кредитного риска обычно
используют: регулярную оценку платежеспособности организации; уменьшение размеров
получаемых кредитов; страхование кредитов; устойчивое обеспечение кредита;
заключение постоянных кредитных договоров вместо получения разовых кредитов и
т.п.
Способы снижения процентного риска, с
одной стороны, подобны способам снижения кредитного риска; с другой стороны,
они подобны способам снижения риска финансовых инвестиций - свопам, фьючерсным
контрактам, опционам.
Для управления налоговым риском следует
использовать все законные способы снижения налогов, консультации аудиторов,
применение новых законодательных норм.
Для снижения валютного риска могут
быть использованы следующие приемы: получение кредитов в различных валютах,
форвардные контракты, страхование валютного риска, ускорение оборота валюты,
работа с несколькими видами валюты (диверсификация).
Инвестиции осуществляются в двух
направлениях: реальные инвестиции (вложение средств в материальные активы) и
финансовые инвестиции. Инвестиционный риск всегда сопутствует
выбору вариантов вложений, связан со значительной неопределенностью, т.е. возникает
риск нежизнеспособности проекта. При этом следует максимально снизить влияние
других видов рисков: кредитного, валютного и т.д. Для решения этой задачи
следует количественно определить общую степень финансового риска на основе
сравнения альтернативных вариантов.
Считается, что оценка инвестиционных
рисков вообще и риска финансовых инвестиций в частности является одной из самых
типичных и самых разработанных с точки зрения применения стандартного
математического и статистического инструментария.
Большинство российских предприятий подвержены следующим видам
рисков:
возможная утрата, недостача или повреждение основных или
оборотных средств предприятия;
возникновение гражданской ответственности предприятия
вследствие причинения вреда жизни, здоровью и имуществу третьих лиц или
окружающей природной среде;
возможные убытки или неполучение ожидаемой прибыли из-за
изменения условий функционирования предприятия по не зависящим от него
обстоятельствам;
нарушения своих обязательств контрагентами, партнерами и прочее.
На страховом рынке России можно в полной мере проследить
операции по защите от первых из перечисленных видов, а вот страхование риска
нарушения своих обязательств контрагентами и партнерами долгое время только
декларировалось страховыми компаниями, несмотря на огромную востребованность
данного продукта.
Заключение
В заключение можно сказать, что в данной
курсовой были рассмотрены: сущность предпринимательских рисков, виды, их
функции и способы их минимизации. И, исходя их выше изложенного, подведем итог:
причинами возникновения производственного риска являются: снижение планируемого
объема производства, рост материальных, трудовых затрат и др.
Предпринимательское решение - основа управления, выбор лучшего способа действий
из нескольких возможных. Поскольку риск определяет соотношение двух полярных
результатов: отрицательного (полный срыв запланированного) и положительного
(достижение запланированного), то только разумная производственная и финансовая
политика, проводимая на основе детального анализа деятельности предприятия,
позволит, с одной стороны, уменьшить вероятность реализации неблагоприятных
ситуаций, а с другой - свести к минимуму отрицательные последствия этих
ситуаций, если они все-таки наступили. Принятие предпринимателем оптимального
решения - залог успеха деятельности предприятия, так как оно значительно
снижает степень риска и позволяет получить высокий конечный результат.
Риск в России приобретает свой специфический характер. Это
связано как с законодательством, так и с условиями перехода от централизованной
системы управления к рыночной, что создает трудности не только для
отечественных предпринимателей, но главным образом для иностранных. Но есть т
положительные моменты, которые выражаются в развитии их деятельности.
В условиях неопределенности выживают те организации, которые
являются более гибкими и мобильными в изменяющейся рыночной ситуации. Т.е.
действующий на рынке предприниматель, чтобы организовать в современных условиях
доходное дело, должно иметь хорошую профессиональную подготовку, а также
необходимые знания в области экономики, политики, психологии, организации
производства и уметь сотрудничать с учеными, специалистами по маркетингу,
владельцами капитала.
Кроме того, в уменьшении предпринимательского риска важную
роль играет государство. С одной стороны риск имеет опасность для
предпринимательской деятельности, но с другой, как и конкуренция, несет
очистительную функцию, т.е. помогает рынку очиститься от мобильных организаций,
способствует при правильном подходе к риску, развитию экономики.
Последствия риска чаще всего проявляются в
виде финансовых потерь или невозможности получения ожидаемой прибыли, однако
риск - это не только нежелательные результаты принятых решений при определенных
вариантах предпринимательских проектов существует не только опасность не
достичь намеченного результата, но и вероятность превысить ожидаемую прибыль. В
этом и заключается предпринимательский риск, который характеризуется сочетанием
возможности достижения как нежелательных, так и особо благоприятных отклонений
от запланированных результатов.
Список
используемой литературы
1) Гражданский
кодекс РФ. (В 2 частях) // М.: ЮНИТИ, 2012. - 509 с.
) Налоговый
кодекс Российской Федерации. Часть первая. От 31.07.1998 N 146-ФЗ:
3) ред.
от 04.03.2013 // АБАК, 2013 г. - 672 с.
) Регионы
России. Социально-экономические показатели. 2010: Стат. сб/Росстат - М., 2010.
- 991 с.
5) Буянов,
В.П. Рискология: управление рисками // В.П. Буянов и др. - М.: Экзамен, 2012. -
384 с.
6) Вавилин
М.В. "Политические риски в нефтегазовом секторе экономики
государства", Сборник научных работ Итоговой конференции Казанского
государственного университета // 2010 год.
) Вишняков,
Я.Д. Общая теория рисков: учеб. пособ. // Я.Д. Вишняков, Н.Н. Радаев. - 2-е
изд, испр. - М.: Издательский центр "Академия", 2011. - 368 с.
) Галиев
А. Тест на адекватность // Эксперт, 2011, № 1-2. - 56 с.
) Лапуста,
М.Г. Предпринимательство: учебник // М.Г. Лапуста и др. - М.: ИНФРА-М, 2011. -
448 с.
) Муравьёв
А.И. Малый бизнес: экономика, организация, финансы // А.И. Муравьёв. - М.,
2010. - 452 с.
) Райзберг,
Б.А. Курс экономики: учебник // Б.А. Разберг, Е.Б. Стародубцева. - 5-е изд.,
переработ. и доп. - М.: ИНФРА-М, 2010. - 672 с.
) Тэпман
Л.Н., Риски в экономике: Учеб. пособие для вузов // Л.Н. Тэпман, В.А. Швандар.
- М.: Юнити-дана, 2012. - 380 с.
) Уродовских,
В.Н. Управление рисками предприятия: учеб. пособ. // - М.: Вузовский учебник
ИНФРА-М, 2011. - 168 с.
) Хохлов,
Н.В. Управление риском: учеб. пособ. // Н.В. Хохлов. - М.: ЮНИТИ, 2013. - 239с.
Приложения
Приложение 1
Классификация предпринимательских рисков.
Приложение 2
Эффект финансового левериджа - получение предприятием
дополнительной прибыли на собственный капитал за счет использования заемных
средств. Повышает коэффициент рентабельности собственного капитала; имеет место
при превышении валовой рентабельности активов уровня процентов за кредит.
Приложение 3
Спекуляция - это операции покупки и продажи финансовых
инструментов, стоимость и доходность которых в будущем являются величинами
неопределенными. К спекулятивным рискам относятся финансовые риски (валютный,
процентный и др.).
Приложение 4
Такие риски, в частности, связаны с действиями органов
власти, на которые отдельные субъекты хозяйствования не могут оказать влияния.
Решаясь работать в определенной правовой или корпоративной среде,
предприниматель соглашается на то, что на результаты его деятельности будут
оказывать влияние решения иерархических структур власти и управления.
Приложение 5
Финансовый риск - это потенциально возможное (вероятностное),
случайное событие, воздействующее на процессы получения, целевого использования
расчетов, хранения или накопления денежных средств юридических, физических лиц
и причиняющее им убытки, потерю доходов, дополнительные расходы, для возмещения
которых проводится страхование.
Предпринимательский риск - это потенциально возможное,
случайное событие, результатом воздействия которого на материальные, денежные
ресурсы, производственные, экономические процессы предпринимательской
деятельности являются убытки, дополнительные расходы, уменьшение получаемых
доходов, прибыли, обусловливающие необходимость страхования с целью возмещения
причиненного событием ущерба.
Приложение 6
|
Предприниматели,
пользовавшиеся в 2002 г. теми или иными кредитными источниками (в % к числу
респондентов)
|
|
Источник
кредитования
|
Направление
использования кредитов
|
|
Финансовые
капиталовложения
|
Кредитование
оборотных средств
|
|
Сбербанк
|
6,6
|
5,0
|
|
Другие
коммерческие банки
|
7,5
|
8,8
|
|
Крупные фирмы-партнеры
|
9,9
|
10,2
|
|
Малые
фирмы-партнеры
|
10,6
|
10,2
|
|
Физические лица
|
27,0
|
24,9
|
Приложение 7.
Приложение 8
Приложение 9
Приложение 10
Таблица. Расчет дисперсии при вложении капитала в
мероприятия А и Б.
|
Номер события
|
Полученная прибыль
х, тыс. руб.
|
Число случаев
наблюдения п
|
_ (х - х)
|
_ (х - х) 2
|
_ (х - х) 2хn
|
|
Мероприятие А
|
|
1
|
48
|
-
|
-
|
-
|
|
2
|
200
|
36
|
-50
|
2 500
|
90 000
|
|
3
|
300
|
36
|
+50
|
2 500
|
90 000
|
|
Итого
|
x =250
|
120
|
|
|
180 000
|
|
Мероприятие Б
|
|
1
|
400
|
30
|
+ 100
|
10 000
|
300 000
|
|
2
|
300
|
50
|
-
|
-
|
-
|
|
3
|
150
|
20
|
-150
|
22 500
|
450 000
|
|
Итого
|
x =300
|
100
|
|
|
750 000
|
Приложение 11
Таблица. Данные по авариям/отказам по предприятию
за последние годы
|
Показатель
|
|
Число аварий
(отказов)
|
|
|
|
|
год
|
|
|
|
2005
|
2006
|
2007
|
2008
|
2009
|
|
Элемент 1
|
2
|
3
|
5
|
3
|
4
|
|
Элемент 2
|
3
|
1
|
3
|
2
|
2
|
|
Элемент 3
|
1
|
1
|
2
|
4
|
1
|
Приложение 12
Таблица Информация для определения степени
риска
|
Возможные
основные причины возникновения риска упущенной выгоды
|
Баллы от 1 до
10
|
Весовой
коэффициент каждой причины
|
Доход по
каждому проекту, млн руб.
|
|
проекты
|
проекты
|
проекты
|
|
|
1
|
2
|
3
|
1
|
2
|
3
|
1
|
2
|
3
|
|
Инфляционные
процессы
|
6
|
6
|
6
|
0,2
|
0,2
|
0,2
|
|
|
|
|
Изменение
процесса производства
|
8
|
2
|
2
|
0,4
|
0,1
|
0,1
|
|
|
|
|
Снижение спроса
на выпускаемую продукцию
|
7
|
3
|
4
|
0,2
|
0,4
|
0,4
|
|
|
|
|
Усиление
конкурентной борьбы
|
2
|
5
|
5
|
0,1
|
0,1
|
0,2
|
|
|
|
|
Плохие условия
для предпринимательской деятельности
|
7
|
6
|
6
|
0,1
|
0,2
|
0,1
|
87
|
74
|
77
|