Определение качественного состава меда
МУНИЦИПАЛЬНОЕ БЮДЖЕТНОЕ ОБРАЗОВАТЕЛЬНОЕ УЧРЕЖДЕНИЕ
СРЕДНЯЯ ОБЩЕОБРАЗОВАТЕЛЬНАЯ ШКОЛА № 48
ПРИОКСКОГО РАЙОНА ГОРОДА НИЖНЕГО НОВГОРОДА
Научное общество учащихся
Секция «Прикладная химия»
Тема
Определение
качественного состава меда
Выполнил
Быстров Кирилл
обучающийся
11-Б класса
Научный
руководитель
Тарасьян Г.С.
учитель химии
г. Н.
Новгород 2013г.
Введение
Ухудшение экологической обстановки резко ослабляет защитную реакцию
организма, вызывает развитие многих заболеваний. Удивительным природным
лекарством, оказывающим неповторимое воздействие на организм человека, является
мед.
На сегодняшний день доказано большое значение меда, пчелиного яда,
маточного молочка, цветочной пыльцы на организм человека, а прополиса
(пчелиного клея) и воска - для различных отраслей индустрии. Пчелиный мед, в
котором пчела приберегла молодость природы, раскрывает свои животворные
качества.
Цель работы:
· Исследовать многообразный и сложный химический состав меда, объяснить его
лечебные свойства.
Задачи:
· Изучить состав меда, его лечебные свойства
· Изучить методику проведения качественных реакций для
обнаружения веществ в меде.
Гипотеза:
Ценность меда как продукта питания можно объяснить его сложным химическим
составом и свойствами веществ, входящих в него.
Объект исследования: различные сорта меда.
Предмет исследования: и сложный и многообразный состав меда.
Методы исследования: эксперимент, анализ, синтез.
Основополагающий вопрос:«Любой ли мед для нас полезен???»
Теоретическая часть
«В мёде природа представила нам один из
Драгоценнейших своих даров, значение
Которого для человеческого организма в
Настоящее время слишком недостаточно
Познано или очень слабо познается».
Е. Цандер
Мед. Мы сталкиваемся с этим словом довольно часто. Он ассоциируется со
здоровьем, с пчелами, с медведями и много с чем, но мало кто знаком с его
составом.
Наше знакомство с медом я предлагаю начать с определения слова «мед».
Существует довольно много определений меда. Я привел в своей работе
наиболее известные определения.
Мед - сложный пищевой продукт, углеводная часть которого представляет
собой смесь продуктов гидролиза сахарозы и саму сахарозу. Зрелый мед должен
содержать фруктозу и глюкозу. Поддельный мед содержит крахмал, муку, мел, сахар
и ряд других веществ.
Мед - это продукт питания, представляющий собой частично переваренный в
зобе медоносной пчелы нектар.
В зависимости от происхождения, товарного вида, консистенции, вкуса и
запаха, выделяют несколько типов меда.
По определению И.А.Каблукова: «Мед - сладкое ароматическое вещество, собираемое
пчелами из нектарников или с других частей растений, после соответствующей
переработки в медовом желудочке откладываемое в сотах».
Как вы наверное догадываетесь, что меда бывает несколько видов. Его можно
классифицировать по нескольким признакам:
по происхождению
по товарному виду
по консистенции
по цвету, вкусу и запаху
Виды меда по происхождению:
1. Цветочный мед производится пчёлами в процессе сбора и переработки
нектара, выделяемого нектарниками растений.
. Падевый мед пчелы вырабатывают, собирая падь и медвяную росу (сладкие
выделения тли) с листьев или стеблей растений.
Товарные виды
мёда:
1. Центробежный мёд получают при выкачке его из ячеек сотов с помощью
медогонки. Чаще всего под словом «мёд» подразумевают именно центробежный мёд.
. Сотовый мёд - мёд, не извлечённый из восковых сотов, продаётся рамками
или прямоугольными вырезками. Внутри сота мёд может быть как жидким, так и
севшим.
Виды мёда по консистенции:
. Жидкий мёд - нормальное состояние свежего мёда после откачки из сотов
(обычно мёд текущего пчеловодного сезона). Жидкий мёд имеет разную степень
густоты (вязкости). Вязкость мёда зависит от бо́льшего или меньшего содержания в нём
воды и отчасти от температуры окружающего воздуха. Слишком жидкий мёд может
свидетельствовать о недостаточной выдержке его в сотах, его называют
«незрелым».
. Закристаллизовавшийся («севший») мёд - образуется из жидкого мёда при
перепадах температуры. Севший мёд не теряет своих свойств в результате
кристаллизации.
Виды мёда по
цвету, вкусу и запаху.
По цвету мёд делят на светлый и тёмный с многочисленными переходным
оттенками от белого до красновато-коричневого.
Натуральный мёд, как правило, имеет сладкий вкус. Резкий кисловатый
привкус присущ только испорченному, забродившему мёду.
Аромат (запах) мёда обусловливается особенностями того или иного
растения.
Состав меда
Состав и пищевая ценность меда зависят от многих факторов: источника
нектара, региона произрастания растений, времени получения, зрелости меда,
породы пчел, погодных и климатических условий, солнечной активности и др.
Мед - это, прежде всего биологический продукт, в котором содержится 500
необходимых для нашего организма компонентов.
Если в шестидесятые годы учеными обнаружилось всего около 60 компонентов,
то с развитием науки к началу 21 века ученые насчитывают в меде около 500! А
время идет, техника развивается, и что покажут исследования в будущем,
неизвестно.
А мед до сих пор остается непознанной загадкой для человека.
|
Вещества
|
Содержание (в %)
|
|
Вода
|
16 - 21%
|
|
Фруктоза
|
35%
|
|
Глюкоза
|
|
Сахароза
|
<7%
|
|
Белки
|
0,04% - 0,3%
|
Минеральные вещества
Мед содержит
большое количество минеральных солей и микроэлементов.
Причем
необходимо отметить, что количество, концентрация и соотношение друг с другом
многих минеральных веществ в меде почти такое же, как в крови людей.
То
есть если человеку требуется энное количество элементов, то, съедая в день
столовую ложку меда
<#"661101.files/image001.jpg">
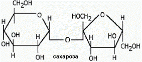
Помимо
сахарозы в пчелином меде содержатся мальтоза, изомальтоза, тураноза и другие
дисахариды. Мальтоза (солодовый сахар) часто встречается как промежуточный
продукт ферментативного расщепления крахмала. Пчелиный мед содержит также
декстрины (смесь полисахаридов), которые образуются при разложении крахмала.
Из дисахаридов в меде встречаются чаще всего сахароза и мальтоза.

Сахароза состоит из молекул глюкозы и фруктозы, мальтоза состоит из двух
молекул глюкозы. Содержание мальтозы в различных медах составляет в среднем 4-6
% по отношению к общему количеству углеводов.
Азотистые вещества.
Представлены в основном белковыми и небелковыми соединениями. Они
попадают в мёд из растений вместе с нектаром, пыльцой, а также из организма
пчёл. Основную часть белковых соединений составляют ферменты, в меде их
обнаружено более 15.
Ферментами называются биологически активные катализаторы белковой
природы, обеспечивающие многообразные превращения в организме. Каждый вид
фермента может катализировать, как правило, только какой-то один тип химической
реакции, в ходе которой ферменты остаются неизменными. Будучи по своей
химической природе белками, ферменты обладают всеми свойствами белков:
амфотерностью, способностью образовывать коллоидные растворы. Кроме того, им
присущи характерные только для них свойства:
· Высокая специфичность
· Действие при определенном значении рН среды.
По содержанию ферментов мед занимает одно из первых мест в ряду
питательных продуктов.
Основную
часть составляют: амилаза, инвертаза, каталаза, пероксидаза, полифенолоксидаза,
фосфолипаза, глюкозооксидаза, инулаза, гликогеназа и др. Главный фермент
<#"661101.files/image004.jpg">
|
Лейцин
|
Leu
|
|
|
Гидроксиминоамино-карбоновые
кислоты
|
Треонин
|
Thr
|
|
|
Серусодержащиемоноамино-монокарбоновые
кислоты
|
Метионин
|
Met
|
|
|
Моноамино-дикарбоновые
кислоты
|
Глутаминовая кислота
|
Glu
|
|
|
Аспарагиновая кислота
|
Asp
|
|
|
Диамино-дикарбоновые
кислоты
|
Аргинин
|
Arg
|
|
|
Лизин
|
Lys
|
|
|
Ароматические аминокислоты
|
Фенилаланин
|
Phe
|
|
|
Тирозин
|
Tyr
|
|
|
Гетероциклические
аминокислоты
|
Пролин
|
Pro
|
|
|
Триптофан
|
Trp
|
|
Кислоты
Во всех сортах меда содержатся около 0,3% органических и 0,03 %
неорганических кислот. Органические кислоты находятся в свободном состоянии, в
составе солей и эфиров. Из предельных органических кислот в меде обнаружены
моно-, ди-и трикарбоновые кислоты; их представителями являются молочная,
яблочная и лимонная кислоты. В состав меда входят также непредельные высшие
карбоновые кислоты например линолевая или цис-цис-октадекадиен-9,12-овая
кислота. Кислоты попадают в мед с нектаром, падью, пыльцевыми зернами,
выделениями желез пчел, а также синтезируются в процессе ферментативного
разложения и окисления сахаров.
|
Название кислоты
|
Структурная формула
|
|
Яблочная
|
|
|
Лимонная
|
|
|
Молочная
|
|
Витамины
« Трудно найти такой раздел физиологии и биохимии, который бы не
соприкасался с учением о витаминах; обмен веществ, деятельность органов чувств,
функции нервной системы, явления роста и размножения- все эти и многие другие
разнообразные и коренные по своей важности области биологической науки теснейшим
образом связаны с витаминами»,- так
определил значение витаминов один из основоположников отечественной
биохимии академик А.Н.Бах
Витамины классифицируют по их способности растворяться в воде или жирах,
в связи с чем выделяют 2 группы витаминов:
Жирорастворимые витамины: A, D, E, K
Мед содержит витамины, хотя и в очень небольших количествах. Тем не
менее, они имеют огромное значение, так как находятся в благоприятном сочетании
с другими очень важными для организма веществами. В меде содержатся в основном
водорастворимые витамины, они долго сохраняются, так как мед имеет кислую
среду.
В 100 г меда обнаружены следующие витамины:
Витамины на 100г. продукта:
|
Название витамина
|
Содержание на 100г продукта
|
Суточная потребность:
|
Структурная формула
|
Тиамин, витамин B1 0,010 мг 2 - 3мг
|
По своей химической
структуре он представляет соединение двух циклических веществ-пиримидина и
тиазола с наличием аминной группы и атома серы.
|
Рибофлавин, витамин B2 0,03 мг 1,5 - 2,4мг
|
Состоит из спирта рибитола
и изоаллоксазина.
|
|
|
Пантотеновая кислота,
витамин B3
|
0,1 мг
|
10 мг
|
|
|
Пиридоксин, витамин B6
|
0,1 мг
|
2 - 3мг
|
|
Фолиевая кислота, витамин B9 15,0 мкг 0,1
- 0,2мг
|
Химическая структура
витамина довольна сложна. Она представлена птеридином, парааминобензойной и
глутаминовой кислотами.
|
|
|
Аскорбиновая кислота,
витамин C
|
2,0 мг
|
60 - 100мг
|
|
|
Биотин, витамин H
|
0,04 мкг
|
150 - 200мкг
|
|
Никотиновая кислота, никотинамид, витамин PP 0,2
мг 15 -25 мг
|
Это производное пиридина.
|
Однако указанное количество витаминов в меде следует считать
ориентировочным, так как оно зависит в основном от наличия в нем цветочной
пыльцы.
Красящие вещества
Красящие вещества - это растительные пигменты, перешедшие в мёд вместе с
нектаром и представленные жиро- и водорастворимыми веществами. Жирорастворимые
пигменты, присутствующие в мёде (производные каротина, ксантофилла,
хлорофилла), придают жёлтый или зеленоватый оттенок светлоокрашенным медам.
Красящие вещества тёмных медов водорастворимы - это в основном антоцианы,
танины. На окраску меда также влияют меланоидины, накапливающиеся при
длительном хранении и нагревании мёда и придающие ему тёмно-коричневую окраску.
Состав красящих веществ мёда зависит от его ботанического происхождения,
поэтому их определение позволяет существенно повысить надёжность установления
вида мёда.

Они придают светлоокрашенным медам желтый или зеленоватый оттенок.
Большая часть красящих веществ темных медов - антоцианы и танины. На цвет меда
влияют также меланоидины, накапливающиеся при длительном хранении и нагревании
меда и придающие ему темно-коричневую окраску.
Вода
Зрелый мед содержит от 15 до 21 % воды. Влажность меда -один из главных
показателей его качества. В меде с повышенной влажностью создаются
благоприятные условия для брожения, что влечет порчу меда.
Экспериментальная (практическая) часть работы
В практической части, я выполнил десять опытов, подтверждающих
качественный состав меда, причиной тому стала наглая фальсификация меда.
Способы фальсификации меда.
Поддельный и фальсифицированный мёд весьма обычен на наших рынках. Обычно
применяемым веществом является обыкновенный сахар, разведенный водой в виде
сиропа и сдобренный различными ароматическими веществами. Этот препарат обычно
смешивается с настоящим медом, и на практике этот способ настолько
распространен, что весьма мало можно найти "чистого меда", который
был бы действительно чист.
Грубые способы фальсификации.
Для фальсификации меда к нему подмешивают самые различные продукты: сахарный
сироп (обыкновенный сахар), сахарин, свекловичная или крахмальная патока,
картофельную, кукурузную и другие каши, муку, мел, песок, древесные опилки и
т.д.
Самый изощренный способ фальсификации.
Пчел, приносящих нектар, подкармливают еще и сахарным сиропом. Они
перерабатывают сахар так же, как нектар. В этом случае подделку трудно
установить даже лабораторным путем. Единственный способ ее выявить - определить
наличие и соотношение тех компонентов, которые должны присутствовать в медах
данного региона: белков, солей и т.д., но сделать это непросто. В любом случае
покупатель не сможет выявить недоброкачественный продукт "на глазок".
Самый наглый способ (подделка). Делают сироп с 20%-ным содержанием влаги,
добавляют ароматические вещества, например, капельку розового масла, и бросают
мертвых пчел или кусочки сотов.
Чтобы не стать жертвой поддельного меда, для начала ознакомимся с
Государственным Стандартом на мед: ГОСТ на мед
Существует
несколько направлений оценки качества мёда и продуктов, которые называются
«мёдом». Основой для оценки качества являются стандарты
<#"661101.files/image029.gif">
Результаты эксперимента
|
Название меда
|
Предполагаемый результат
|
Реальный результат
|
|
Мед Белорусский
|
Красное окрашивание
(фруктоза присутствует)
|
Красное окрашивание
|
|
Мед Емельяновский
|
|
Красное окрашивание
|
|
Мед Краснодарский
|
|
Красное окрашивание
|
|
Мед Назаровский
|
|
Красное окрашивание
|
Вывод: фруктоза была обнаружена во всех четырех образцах
3. Реакция Троммера на глюкозу
мл раствора меда
+ 3 капли 10% раствора NaOH
капли 7% раствора CuSO4
В пробирку наливаю 3 мл раствора меда, к нему приливаю 3 капли раствора
гидроксида натрия, к получившемуся раствору приливаю 4 капли раствора сульфата
меди(II), выпадает голубой осадок. Смесь осторожно нагрел и наблюдал появление
желтого осадка ( СuОН), переходящего в красный цвет ( Сu 2 О ).


|
Название меда
|
Предполагаемый результат
|
Реальный результат
|
|
Мед Белорусский
|
Появление кирпично -
красного осадка(глюкоза присутствует)
|
Кирпично - красное
окрашивание
|
|
Мед Емельяновский
|
|
Кирпично - красное
окрашивание м
|
|
Мед Краснодарский
|
|
Кирпично - красное
окрашивание
|
|
Мед Назаровский
|
|
При нагревании появилось
коричнево - зеленое окрашивание
|
Вывод: глюкоза была обнаружена в образцах №1,2,3, в образце №4, при нагревании,
наблюдал коричнево - зеленое окрашивание, поэтому я не могу судить о содержании
глюкозы в этом образце.
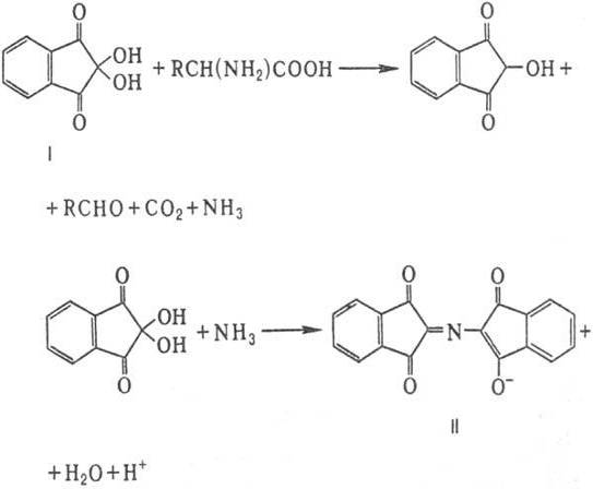
4. Определение аминокислот с помощью нингидриновой реакции
мл раствора меда
+ 1 мл уксусной кислоты
,1 мл нингидрина
В пробирку наливал 1 мл раствора меда, к нему приливал 1 мл уксусной
кислоты и 0,1 мл нингидрина. Смесь кипятил на водяной бане и наблюдали
красно-коричневое окрашивание, что говорит о наличии аминокислоты пролина.
Результаты эксперимента
|
Название меда
|
Предполагаемый результат
|
Реальный результат
|
|
Мед Белорусский
|
Появление кирпично -
красного окрашивания(аминокислота пролин присутствует)
|
Кирпично - красное
окрашивание
|
|
Мед Емельяновский
|
|
Оранжевое окрашивание
|
|
Мед Краснодарский
|
|
Желтое окрашивание
|
|
Мед Назаровский
|
|
Желтое окрашивание
|
Вывод: аминокислота пролин обнаружена в образце №1, так как там появилось
кирпично-красное окрашивание.
5. Обнаружение тиамина в меде
мл раствора меда
+ 5 капель NaOH
капля 5%-ного раствора K3Fe (CN)6
В пробирку наливал 2 мл раствора меда, к нему аккуратно приливаю 5 капель
раствора гидроксида натрия и капля раствора красной кровяной соли. Смесь нагрел
и наблюдал окрашивание в желтый цвет в результате окисления тиамина в тиохром.
Результаты эксперимента
|
Название меда
|
Предполагаемый результат
|
Реальный результат
|
|
Мед Белорусский
|
Появление желтого
окрашивания(тиамин присутствует)
|
Желтый
|
|
Мед Емельяновский
|
|
Красный
|
|
Мед Краснодарский
|
|
Оранжевый
|
|
Мед Назаровский
|
|
Желтый
|
Вывод: путем окисления тиамина в тиохром, тиамин был обнаружен в
пробирках №1 и №3(образцы №1 и №3 соответственно).
6. Выявление примесей сахарной (свекловичной) патоки
мл раствора меда
капель 5% раствора нитрата серебра
В пробирку наливаю 5 мл раствора меда, к нему приливаю 5 капель нитрата
серебра. Появление мути или белого осадка свидетельствует о наличии сахарной
(свекловичной) патоки.
Результаты эксперимента
Если раствор прозрачный, то свекловичной патоки в образце меда не
присутствует, если же раствор помутнел, то это говорит о наличии свекловичной
патоки в образце меда.
|
Название меда
|
Предполагаемый результат
|
Реальный результат
|
|
Мед Белорусский
|
Раствор должен оставаться
прозрачным
|
Появление мути
|
|
Мед Емельяновский
|
|
Появление мути
|
|
Мед Краснодарский
|
|
Появление мути
|
|
Мед Назаровский
|
Вывод: во всех четырех пробирках появилась белая (голубоватая) муть, что
свидетельствует о наличии в меде свекловичной патоки
. Выявление примесей крахмальной патоки
мл раствора меда
капель нашатырного спирта.
Если при отстаивании, выпадает осадок темного цвета, то можно говорить, о
присутствии в составе крахмальной патоки.
Результаты эксперимента
Если при отстаивании раствор не окрасится в темно - синий цвет, то в
составе меда не присутствует крахмальная патока, если же окрасился, то
крахмальная патока присутствует
|
Название меда
|
Предполагаемый результат
|
Реальный результат
|
|
Мед Белорусский
|
При отстаивании раствор не
окрашивается в темно - синий цвет
|
Раствор прозрачный
|
|
Мед Емельяновский
|
|
Раствор прозрачный
|
|
Мед Краснодарский
|
|
Раствор прозрачный
|
Вывод: ни в одном из исследуемых образцов, не выпал осадок темного цвета,
значит, в составе меда нет крахмальной патоки
. Определение примесей крахмала или муки
мл раствора меда
капля настойки йода.
При наличии синей окраски, можно судить о примесях крахмала или муки.
Результаты эксперимента
Если при добавления йода, раствор не окрасился в синий цвет - крахмал не
присутствует, если же наоборот окрасился, то крахмал в состав меда входит.
|
Название меда
|
Предполагаемый результат
|
Реальный результат
|
|
Мед Белорусский
|
При добавлении йода раствор
не окрашивается в синий цвет
|
Раствор не окрасился
|
|
Мед Емельяновский
|
|
Раствор не окрасился
|
|
Мед Краснодарский
|
|
Раствор не окрасился
|
|
Мед Назаровский
|
|
Раствор не окрасился
|
Вывод: ни в одной из пробирок с исследуемыми образцами, не появилось
синего окрашивания.
. Определение примеси желатина или клея
мл щелочного раствора меда (1:2)
При нагревании до кипения, пары раствора меда, имеющего примеси желатина
или клея окрасят лакмусовую бумажку в красный цвет, это покраснение вызывает
аммиак.
Результаты эксперимента
Если при кипячении пары раствора окрасят лакмусовую бумажку в красный
цвет, то примесей желатина нет, если же окрашивание произошло, то в состав меда
входит желатин
|
Название меда
|
Предполагаемый результат
|
Реальный результат
|
|
Мед Белорусский
|
Лакмусовая бумажка не
окрашивается в красный цвет
|
Окрашивания нет
|
|
Мед Емельяновский
|
|
Окрашивания нет
|
|
Мед Краснодарский
|
|
Окрашивания нет
|
|
Мед Назаровский
|
|
Окрашивания нет
|
Вывод: ни один раствор, при кипячении не окрасил лакмусовую бумажку в
красный цвет, значит, что в исследуемых образцах отсутствуют примеси клея или
желатина.
. Определение среды раствора
мл раствора меда
капель 1% раствора фенолфталеина
,5 мл раствора гидроксида натрия
При смешивании появляется красивое малиновое окрашивание. Если при
встряхивании это окрашивание исчезнет, то можно судить о повышенной кислотности
меда и о наличии признаков брожения
Результаты эксперимента
Если раствор при встряхивании не обесцветился, то кислотность среды не
повышена и признаков брожения нет, если же наоборот, раствор обесцветился - это
говорит о повышенной кислотности среды в образце меда, а значит о наличии
признаков брожения
|
Название меда
|
Предполагаемый результат
|
Реальный результат
|
|
Мед Белорусский
|
Раствор должен остаться
малиновым
|
Малиновое окрашивание
|
|
Мед Емельяновский
|
|
Малиновое окрашивание
|
|
Малиновое окрашивание
|
|
Мед Назаровский
|
|
Малиновое окрашивание
|
Вывод: ни один из исследуемых образцов не поменял окраску, значит
кислотность среды, не повышена
Проведя вышеописанные опыты, я выяснил, что ни один из исследуемых
образцов меда, не подходит полностью к ГОСТу, но все - таки, в магазине или на
ярмарке меда, можно приобрести хороший, качественный мед, для этого нужно
помнить несколько простых правил:
1. Не покупайте сразу много меда, если не уверены
в его качестве.
. На рынке вы можете оценить мед по его
вязкости. Для этого быстрыми круговыми движениями переверните ложку несколько
раз. Зрелый вязкий мёд не стекает крупными редкими каплями, а навёртывается на
неё. Однако надо помнить, что акациевый и клеверный меды по своей вязкости
относятся к очень жидким медам.
. Вне зависимости от того где Вы покупаете мед,
всегда следует спрашивать, где и когда он был собран. Помните, при длительном
хранении качество меда может снижаться, за счет снижения активности фермента
диастазы.
. Покупая мед зимой, помните, что в это время
года многие сорта меда не могут быть жидкими( за исключением акациевого,
клеверного)
. При покупке меда в специализированном
магазине ознакомьтесь внимательно с его этикеткой. Она вам и подскажет, какой
это мед.
Этикетка белого цвета укажет на качественный мед, синего - что мед низкого
качества или падевый. На этикетке должен быть написан стандарт, сорт,
ботанический вид меда, время и место его сбора, наименование и адрес
поставщика.
Заключение
В заключении хочется сказать, что проведя большую работу, был изучен
литературный материал, который помог изучить:
• Химический состав мёда. Мёд состоит из: 16-21% воды, 32-35%
глюкозы, 38-40% фруктозы, 7 % сахарозы, 3% декстринов, 0.43% органических
кислот, 0.04% белков и 0.2% минеральных веществ.
• В состав мёда входят также различные минеральные соли и около
тридцати микроэлементов (соли меди, марганца, йода, цинка, алюминия, кобальта,
никеля). Минеральных веществ иногда не достает в ежедневно употребляемых
пищевых продуктах. Употребление же мёда восполняет их недостаток в организме и
способствует восстановлению здоровья.
• Были проведены качественные реакции на мед, с помощью которых в
различных видах меда были обнаружены:
фруктоза реакцией Селиванова
аминокислоты с помощью нингидриновой реакции
глюкоза реакцией Троммера
тиамин
определили диастазное число
определили содержание примесей крахмала, крахмальной патоки, свекловичной
патоки
Исследуемый нами мед соответствует всем нормам пищевого продукта!!!
Библиографический список
1. Солодова
Н.И., Волкова Н.А., Волков В.Н. Мёд и его качество. - М: Химия в школе, 2005.
2. Аганин
В.П. Мёд и его исследование. - Саратовский университет, 1985.
. Чепурной
И.П. Заготовка и переработка мёда. - М.: Агропромиздат, 1987.
. Методы
биохимического исследования растений. - Л.: Агропромиздат, 1987.
. Ольгин
О опыты без взрывов. - М: Химия, 1986
. Браун
Т., Лемей Г.Ю. химия в центре наук. М: Мир, 1986.
7. ГОСТ 19792-2001 на
натуральный мёд
<http://www.pchelovod.com/page52.html?PHPSESSID=31dcc587434ef38ef4883783ae227907>.
. ГОСТ 19792-87
. Правила
ветеринарно-санитарной экспертизы меда», 1978 г