Омыляемые липиды
Омыляемые липиды
К липидам относят большую группу
веществ растительного и животного происхождения. Эти вещества весьма разнородны
по составу. Общей характеристикой липидов является их отношение к растворителем
- они не растворимы в воде и растворяются в органических растворителях (бензол,
диэтиловый эфир). С помощью этих растворителей их выделяют из растительного и
животного материала.
Липиды делят на 2 группы по их
отношению к гидролизу: омыляемые липиды и не омыляемые липиды. Омыляемые липиды
гидролизуются в кислой и щелочной средах. При гидролизе в щелочной среде
образуются соли высших карбоновых кислот (мыла), глицерин и другие компоненты.
Простые липиды состоят из карбоновых
кислот, глицерина или высших спиртов.
При гидролизе сложных липидов
образуются глицерин, сфингозин, карбоновые кислоты и другие вещества
Не омыляемые липиды гидролизу не
подвергаются.
Высшие жирные кислоты. В состав
омыляемых липидов входят различные карбоновые кислоты от С4 до С28, в основном
монокарбоновые кислоты с неразветвленной цепью и чётным числом атомов углерода,
что определяется особенностями биосинтеза. Наиболее распространены кислоты С16
и С18.
Биосинтез карбоновых кислот
Насыщенные карбоновые кислоты
твёрдые, воскообразные вещества, ненасыщенные - жидкие. Ненасыщенные кислоты
существуют только в цис-форме.
Из насыщенных кислот в омыляемых
липидах наиболее распространены пальмитиновая и стеариновая. В некоторых жирах
содержание пальмитиновой кислоты достигает 10 - 15% от общего содержания
кислот. Олеиновая кислота является самой распространённой в природных липидах -
в некоторых жирах она составляет около половины от общей массы кислот.
Человеческий организм способен синтезировать насыщенные, а такие ненасыщенные
карбоновые кислоты. Однако линолевую, линоленовую и арахидоновую кислоты
организм должен получать с пищей, в основном с растительными маслами. Эти
кислоты называются незаменимыми. Они выполняют ряд важных функций, в
частности являются предшественниками синтеза простагландинов, важнейших
гормональных биорегуляторов.
Из насыщенных кислот в омыляемых
липидах наиболее распространены пальмитиновая и стеариновая. В некоторых жирах
содержание пальмитиновой кислоты достигает 10-15% от общего содержания кислот.
Олеиновая кислота является самой распространённой в природных липидах - в
некоторых жирах она составляет около половины от общей массы кислот.
Человеческий организм способен синтезировать насыщенные, а также ненасыщенные
карбоновые кислоты. Однако, линолиевую, линоленовую и арахидоновую кислоты
организм должен получать с пищей, в основном с растительными маслами. Эти
кислоты называются незаменимыми. Они выполняют ряд важных функций, в
частности являются предшественниками синтеза простагландинов, важнейших
гормональных биорегуляторов.
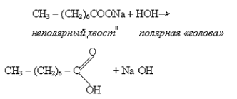
Высшие жирные кислоты нерастворимы в
Н2О. Так как их молекулы содержат большой неполярный углеводородный радикал.
Эта часть молекулы кислоты является гидродробной, однако их соли гидролизуются
в Н2О, обладают хорошей растворимостью, так как содержат высокополярный, анион.
Высшие жирные кислоты обладают
химическими свойствами карбоновых кислот, а ненасыщенные к тому же и свойствами
алкенов (реакции присоединения, окислительного расщепления по двойной связи).
Важной характеристикой липидов
является йодное число - количества J2 в г. которое способно присоединять 100 г. жира.
Омыляемые липиды можно разделить на простые
и сложные. Простые состоят только из спиртов и высших жирных кислот. Сложные
- глицерофосфолипиды содержат также остатки Н3РО4 И ДРУГИХ СОЕДИНЕНИЙ.
В живых организмах омыляемые липиды
выполняют несколько важных функций. В них запасается энергия, высвобождаемая
при окислительном расщеплении. Другой функцией омыляемых липидов является
защитная функция. Вместе с белками являются основными структурными элементами
клеточных мембран.
К простые липидам относятся воска,
масла и жиры.
Воска представляют собой сложные
эфиры высших одноатомных спиртов и высших жирных кислот. Так пчелиный воск
состоит в основном из цетилового эфира пальмитиновой кислоты и высших жирных
кислот. Воска выполняют защитную функцию, покрывая поверхность кожи, меха,
листьев и плодов. Используется в качестве основы кремов и мазей.
Жиры и масла (растительные жиры) представляют собой эфиры глицерина и высших
жирных кислот, то есть это триацилглицерины. Простые липиды триацилглицерины.
Простые: триацилглицирины содержат остатки одинаковых кислот, а смешанные -
остатки различных кислот. Твердые триацилглицерины содержат остатки насыщенных
кислот, а жидкие - ненасыщенные карбоновые кислоты.
Химические свойства. Гидролиз протекает как в кислой, так и щелочной средах
(омыление) и представляет собой обычную реакцию гидролиза сложного эфира.
Гидролиз протекает ступенчато и продуктами полного гидролиза, являются глицерин
и смесь высших жирных кислот.
Реакции окисления липидов и высших
карбоновых кислот протекают с участием двойных связей и образуются низшие
карбоновые кислоты, в частности масляная кислота (прогоркание жира). Окисление
также происходит в клеточных мембранах с участием АФК.
Бета - окисление. Окислению жиров предшествует гидролиз, а затем насыщенные
карбоновые кислоты окисляются с расщеплением углеводородного скелета. При
окислении жиров выделяется энергия 37,7 кДж/моль (сравнить энергетическую
ценность липидов и белков).
К сложным липидам также относятся
липиды, имеющие в молекуле фосфор и азотсодержащие фрагменты и углеводные
остатки.
• Фосфолипиды - производные L-фосфатидовой кислоты
• L-глицеро - 3 фосфаты.
• Бифильные молекулы
фосфатидов составляют бифильный слой клеточной мембраны.
• Сфигомиелины, цереброзиды и
ганглиозиды - производные 2-х атомного спирта сфингозина.

• Производные изопрена -
терпены и терпеноиды
липид кислота расщепление окисление
Литература
1. Суворов А.В..Никольский А.Б. Общая химия: Учеб. для вузов.
- СПб.: Химия, 2007. 624 с.
2. Ахметов Н.С. Общая и неорганическая химия. - М.: Высш.
шк., 2008. 639 с.
. Спицын В.И., Мартыненко Л.И. Неорганическая химия. - М.:
Изд-во Моск. ун-та, 2004.
. Кукушкин Ю.Н. Химия координационных соединений. - М.:
Высш. шк., 2005. - 455 с.
. Лилич Л.С., Хрипун М.К Растворы как химические системы:
Учеб. пособие. - СПб.: Изд. СПбГУ, 2004. - 216 с.
. Угай Я.А. Неорганическая химия. - М.: Высш. шк., 2009. -
463 с.
. Хьюи Дж. Неорганическая химия. - М., 2007. - 696 с.