Побудова моделі оцінки житлового фонду міста

  • Вид работы:
    Дипломная (ВКР)
  • Предмет:
    Эктеория
  • Язык:
    Украинский
    ,
    Формат файла:
    MS Word
    1,18 Мб
  • Опубликовано:
    2013-11-18
Вы можете узнать стоимость помощи в написании студенческой работы.
Помощь в написании работы, которую точно примут!

Побудова моделі оцінки житлового фонду міста

ЗМІСТ

Вступ

. Нерухомість: житловий та нежитловий фонд

.1 Основні риси ринку нерухомості

.2 Анализ кон’юнктури нерухомості

.3 Основні чинники на житловому ринку

. Дослідження моделей оцінки житлового фонду нерухомості

.1 Прибуткова модель житлового фонду

.2 Ринкова модель оцінки житлового фонду нерухомості

.3 Витратна модель оцінки житлового фонду нерухомості       

. Побудова моделі оцінки житлового фонду міста

.1 Алгоритм побудови моделі формування ціни на житловий фонд

.2 Формування множини чинників

.3 Модель прогнозування ціни житлового фонду

Охорона праці і навколишнього середовища

.1 Загальні питання охорони праці

.2 Перелік небезпечних і шкідливих виробничих чинників

.3 Промислова санітарія

.4 Організація робочого місця

.5 Електробезпека

.6 Пожежна безпека

.7 Охорона навколишнього середовища

Висновки

Список джерел інформації

ВСТУП

Перехід України від командно-адміністративної економіки до ринкової сприяв переосмисленню поняття товару загалом і нерухомості. При Радянському Союзі ринок нерухомості мав жорстко керований і контрольований характер, при цьому попит і пропозиція на ринку житла врівноважувалися. Проте трансформації економіки сприяли формуванню нового ринку, який носить назву ринку нерухомості.

Основною складовою ринку нерухомості є нерухомість житлового фонду, простіше - житловий фонд. В процесі становлення цього ринку ціни на житловий фонд були стихійними. Проте з появою економічних агентів на даному ринку поступово ринок придбав важелі управління.

Для ефективного управління даним ринком необхідна розробкою моделі, яка дозволила б різним суб'єктам ринку адекватно оцінювати вартість житлового фонду. Таким чином, метою дипломної роботи є побудова моделі оцінки вартості житлового фонду.

Для реалізації даної мети був вирішений ряд задач:

аналіз нерухомості з позицій товару;

аналіз тенденцій розвитку ринку нерухомості;

аналіз чинників, що роблять вплив на формування ціни житлового фонду;

аналіз існуючих моделей оцінки нерухомості;

побудова економетричної моделі оцінки житлового фонду міста.

Об'єктом в дипломній роботі виступає ринок нерухомості в частині житлового фонду.

Предметом є моделі оцінки вартості нерухомості

1. НЕРУХОМІСТЬ: ЖИТЛОВИЙ ТА НЕЖИТЛОВИЙ ФОНД

1.1 Основні риси ринку нерухомості

Під нерухомістю розуміється будь-яке майно, що складається із землі, а також будівель і споруд на ній. Вперше термін «нерухоме і рухоме майно» з'явився в законодавстві за часів правління Петра I в Указі від 23 березня 1714 р. «Про порядок спадкоємства в рухомому та нерухомому майні ». Під нерухомим майном признавалися земля, угіддя, удома, заводи, фабрики, лавки. До нерухомого майна відносилися також корисні копалини, що знаходяться в землі, і різні будови, що розташовані як на землі, так і під нею.

В радянському цивільному праві було встановлено, що у зв'язку з відміною приватної власності на землю розподіл майна на рухоме і нерухоме скасований.

В процесі проведення економічних реформ знов введено розподіл майна на рухоме і нерухоме. До нерухомості відносяться земельні ділянки, ділянки надр, відособлені водні об'єкти і все, що пов'язано із землею, тобто об'єкти, переміщення яких без невідповідного збитку їх призначенню неможливе, у тому числі ліси, багаторічні насадження, будівлі, споруди. До нерухомості відносяться також підлягаючі державній реєстрації повітряні і морські судна, судна внутрішнього плавання, космічні об'єкти.

Законом до нерухомості може бути віднесено і інше майно.

Визначення нерухомості, що знаходиться в житловій сфері включає: земельні ділянки і пов'язані з ними житлові будинки з житловими і нежилими приміщеннями, присадибні господарські споруди, зелені насадження з багаторічним циклом розвитку, житлові будинки, квартири, інші житлові приміщення в житлових будинках і інших будовах, придатні для постійного і тимчасового мешкання, споруди і елементи інженерної інфраструктури житлової сфери.

В табл. 1.1 приведені види нерухомого майна в Україні.

Таблиця 1.1 - Види нерухомого майна

Окремі об’єкти

Складні об’єкти

1

Земля

Підприємство в цілому як майновий комплекс, включаючи: земельні ділянки; будівлі і споруди; інвентар і устаткування; сировину і продукцію; вимоги і борги; права на позначення, що індивідуалізуються підприємство, його продукцію, роботи і послуги; нематеріальні активи; інформацію; інші виняткові права

2

Копалини


3

Водні об’єкти


4

Все, що міцно пов'язано із землею, у тому числі: ліси; багаторічні насадження; будівлі; споруди


5

Прирівняні до нерухомості, підлягаючі державній реєстрації: повітряні і морські судна; судна внутрішнього плавання; космічні об'єкти. Інші предмети, що наділяються статусом нерухомості згідно із законом



Речі, що не відносяться до нерухомості, включаючи гроші і цінні папери, признаються рухомим майном.

Нерухоме майно може бути ділимим і неподільним.

Ділимим є майно, яке може бути без порушення його єства розділено на частки і кожна його частка після розділу представляє цілу нерухому річ. Нерухоме майно може мати невіддільні частини, які називають істотними(не можуть бути відокремлений від нерухомої речі без спричинення їй невідповідного збитку - наприклад, ліфт і ліфтове устаткування житлового будинку).

Нерухома річ може мати різні обтяження - умови, заборони, що утрудняють правовласника при здійсненні права власності або інших речових прав на конкретний об'єкт нерухомого майна, встановлюваних на основі договору або закону.

Кадастровий номер - унікальний, що не повторюється в часі і на території України номер об'єкту нерухомості, який привласнюється йому при здійсненні кадастрового і технічного обліку (інвентаризації) відповідно до процедури, встановленої законодавством України, і зберігається, поки даний об'єкт нерухомості існує як єдиний об'єкт зареєстрованого права. Кадастровий номер будівлі або споруди складається з кадастрового номера земельної ділянки, на якій знаходиться будівля або споруда, і інвентарного номера будівлі або споруди. Кадастровий номер приміщення в будівлі або споруді складається з кадастрового номера будівлі або споруди і інвентарного номера приміщення.

Кадастровий і технічний облік (інвентаризація) об'єкту нерухомості - опис і індивідуалізація об'єкту нерухомого майна (земельної ділянки, будівлі, споруди, житлового або нежилого приміщення), внаслідок чого він одержує такі характеристики, які дозволяють однозначно виділити його з інших об'єктів нерухомого майна.

Істотною характеристикою нерухомості є її цільове призначення або дозволене використовування.

Будь-який об'єкт нерухомості в реальній дійсності існує в єдності фізичних, економічних, соціальних і правових властивостей, кожне з яких може у відповідних випадках виступати як основне (визначаючого) залежно від життєвих ситуацій.

Географічна концепція відображає фізичні (технічні) характеристики нерухомості: конструкцію і матеріали будов, розміри, місцеположення, родючість грунтів, поліпшення, навколишнє середовище і інші параметри. Всі об'єкти нерухомості піддаються дії фізичних, хімічних, біологічних, техногенних і інших процесів. В результаті поступово змінюються їх споживацькі якості і функціональна придатність, стан яких враховується при здійсненні операцій, володінні і користуванні майном.

Економічна концепція розглядає нерухомість як ефективний об'єкт інвестування і надійний інструмент генерації доходу. Основні економічні елементи нерухомого майна - вартість і ціна - первинно виникають з його корисності, здібності задовольняти різні потреби і інтереси людей. За рахунок оподаткування власників нерухомості формуються муніципальні бюджети і реалізуються соціальні програми.

На юридичному рівні нерухомість має на увазі сукупність публічних і приватних прав, встановлюваних державою з урахуванням вітчизняних особливостей і міжнародних норм. Приватні права можуть бути неподільними або частковими і розділеними на основі фізичного горизонтального і вертикального розмежування майна на підземні ресурси, поверхні земельних ділянок, будови на них, повітряний простір.

В Україні, як і в інших промислово розвинутих країнах світу, законодавчо гарантовано приватним особам право купувати, продавати, здавати в оренду або передавати майно або права на володіння і користування їм іншим громадянам і підприємствам, тобто вільно розпоряджатися своєю власністю. Проте, коли приватна власність на нерухомість приходить в суперечність з суспільними інтересами, вона перестає відноситися до юрисдикції приватного права.

Соціальна роль нерухомого майна полягає в задоволенні фізіологічних, психологічних, інтелектуальних і інших потреб людей. Володіння нерухомістю престижно в суспільній свідомості і необхідно для формування цивілізованого середнього соціального шару.

Традиційно в Україні нерухомість ділиться на 3 групи: житловий фонд, не житловий фонд, земля. Кожна з цих груп розвивається самостійно, має власну законодавчу і нормативну базу (рис. 1.1).

Рисунок 1.1 - Основні типи нерухомості

Житловий фонд - сукупність всіх житлових приміщень незалежно від форм власності, включаючи житлові будинки, гуртожитки, спеціалізовані будинки, квартири, інші житлові приміщення в інших будовах, придатні для мешкання.

Житлова нерухомість як товар володіє наступними властивостями, що відрізняють його від інших товарів (рис. 1.2).

Рисунок 1.2 - Особливості нерухомості як товару

До нежилого фонду відносяться будівлі, споруди і інші об'єкти або їх частина, розташована на певній земельній ділянці і зареєстровані в установленому порядку. Нежилі приміщення розрізняються по функціональному призначенню на офісні, торгові, складські і виробничі.

Базовий об'єкт нерухомості - це земля, яка є місцем мешкання всіх людей, основним чинником в будь-якій сфері бізнесу, прямо або побічно що бере участь у виробництві всіх інших товарів.

Разом з розподілом на типи, нерухомість класифікується по ряду ознак, що сприяє більш успішному дослідженню ринку нерухомості і полегшує розробку і застосування методів оцінки різних категорій нерухомості, управління ними.

По характеру використовування:

житлова нерухомість: дома, котеджі, квартири.

комерційна нерухомість: готелі, офісні приміщення, магазини, ресторани, пункти сервісу.

виробнича нерухомість: фабрики, заводи, склади.

сільськогосподарська нерухомість: ферми, сади.

спеціальна нерухомість: школи, церкви, монастирі, лікарні, ясла-сади.

По меті володіння

для ведення бізнесу;

для мешкання власника;

як інвестиції;

як товарні запаси і НЗП;

для освоєння і розвитку;

для споживання виснажуваних ресурсів.

По ступеню спеціалізації

спеціалізована (через свій спеціальний характер рідко, якщо взагалі здається в оренду третім особам або продається на відкритому ринку для продовження її існуючого використовування, крім випадків, коли вона реалізується як частина її використовуючого бізнесу): нафтопереробні і хімічні заводи, електростанції; музеї, бібліотеки і подібні їм приміщення, що належать суспільному сектору;

неспеціалізована - вся інша нерухомість, на яку існує загальний попит на відкритому ринку для інвестування, використовування в існуючій або аналогічній меті.

По ступеню готовності до експлуатації

введені в експлуатацію;

вимагаючі реконструкції або капітального ремонту;

незавершене будівництво.

По відтворності в натуральній формі

не відтворні: земельні ділянки, родовища корисних копалин;

відтворні: будівлі, споруди, багаторічні насадження.

Нерухомість має потенційну здатність приносити дохід і є досить привабливим напрямом інвестування. Форми доходу від нерухомості:

) майбутні періодичні потоки грошових коштів;

) збільшення вартості нерухомості за рахунок зміни ринкових цін, придбання нових і розвитку старих об'єктів;

) дохід від перепродажу об'єкту в кінці періоду володіння.

Ринок нерухомості - це сукупність відносин навкруги операцій з об'єктами нерухомості: купівлі-продажу нерухомості, іпотеки, здачі об'єктів нерухомості в арендувати і т.д.

Основні сегменти ринку нерухомості: ринок землі, ринок житла і ринок нежилих приміщень.

Окремо виділяють ринок прибуткової нерухомості, який сегментується по функціональному призначенню об'єктів:

ринок об'єктів офісного призначення;

ринок об'єктів торгового призначення;

ринок об'єктів виробничо-складського призначення;

ринок готельних послуг;

ринок об'єктів незавершеного будівництва.

Залежно від юридичних прав на нерухомість, які є об'єктом операції між продавцем-покупцем, ринок нерухомості ділять на ринки купівлі-продажу і оренди.

На ринку купівлі-продажу в обмін на відповідний еквівалент передається повне право власності, включаюче право розпорядження, тоді як на ринку оренди об'єктом операції є частковий набір прав, що виключає право розпорядження.

Можна виділити наступні особливості ринку нерухомості:

локальність;

низька взаємозамінність об'єктів;

сезонні коливання;

необхідність державної реєстрації операцій.

При фінансуванні нерухомості виділяють три групи витрат:

витрати на підтримку об'єкту нерухомості у функціонально придатному стані;

щорічний податок на володіння нерухомістю;

високі трансакционные витрати при операціях з нерухомістю.

Коливання попиту і пропозиції на ринку нерухомості відбуваються поволі, оскільки за наявності попиту збільшення кількості об'єктів нерухомості відбувається протягом тривалого тимчасового періоду, що визначається терміном будівництва будівлі. У разі надлишку нерухомості ціни залишаються низькими декілька років.

Нерухомість є фінансовим активом, оскільки створюється працею людини і вкладеннями капіталу. Придбання і розвиток нерухомості супроводиться високими витратами і відповідно часто виникаючою необхідністю залучення позикових засобів і т.п. Тому ринок нерухомості є одним з секторів фінансового ринку.

Фінансовий ринок - це складна економічна система, включаюча сукупність інститутів і процедур, направлених на здійснення взаємодії продавців і покупців всіх типів фінансових документів.

Ринок нерухомості - одна з най значущіших складових частин фінансового ринку.

Існує тісний взаємозв'язок фінансового ринку і ринку нерухомості: зростання вкладень в нерухомість пожвавило ринок нерухомості, падіння - згортає. Економічна нестабільність стримує і українських так, і зарубіжних кредиторів і інвесторів. Для активізації фінансування інвестицій в нерухомість необхідна державна підтримка.

Ринок нерухомості, як відносно нова соціально-економічна реальність, з його особливостями і закономерностями, став предметом вивчення і наукових дискусій ведучих представників національної наукової школи.

Ринок нерухомості - це певний набір механізмів, за допомогою яких передаються права на власність і пов'язані з нею інтереси, встановлюються ціни і розподіляється простір між різними конкуруючими варіантами землекористування» [1] .

Проте більш повним буде визначення ринку нерухомості, що представляє комплекс відносин, пов'язаних як із створенням нових об'єктів нерухомості, так і з експлуатацією вже існуючих.

Ринок нерухомості - це взаємозв'язана система ринкових механізмів, що забезпечують створення, передачу, експлуатацію і фінансування об'єктів нерухомості .

Ринок нерухомості є сукупністю регіональних, локальних ринків, істотно відмінних один від одного по рівню цін, рівню ризику, ефективності інвестицій в нерухомість і т.д.

Ринок нерухомості є істотною складовою в будь-якій національній економіці, бо нерухомість - найважливіша складова частина національного багатства, на частку якої доводиться більше 50 % світового багатства. Без ринку нерухомості не може бути ринку взагалі, оскільки ринок праці, ринок капіталу, ринок товарів і послуг і т.д. для свого існування повинні мати або арендувати для своєї діяльності необхідні їм приміщення.

Український ринок нерухомості відображає всі проблеми перехідної економіки і характеризується нерівномірним розвитком своїх сегментів, недосконалою законодавчою базою і низькою інвестиційною активністю громадян і юридичних осіб. Разом з тим цей ринок є перспективною сферою вкладення капіталу.

За допомогою ринкового механізму і державного регулювання ринок нерухомості забезпечує:

створення нових об'єктів нерухомості;

передачу прав на нерухомість;

встановлення рівноважних цін на об'єкти нерухомості;

експлуатацію (управління) об'єкту нерухомості;

розподіл простору між конкуруючими варіантами землекористування;

інвестування в нерухомість

виконуючи при цьому наступні операції, здійснювані з нерухомим майном:

із зміною власника: купівлю-продаж об'єктів нерухомості; спадкоємство; дарування; міну; забезпечення виконання зобов'язань (наприклад, реалізація закладених або арештованих об'єктів нерухомості);

з частковою або повною зміною складу власників: приватизацію; націоналізацію; зміна складу власників, у тому числі з розділом майна; внесення в статутний капітал; банкрутство (ліквідація) господарюючих суб'єктів (із задоволенням вимог кредиторів, у тому числі за рахунок реалізації майна власників);

без зміни власника: інвестування в нерухомість; розвиток нерухомості (розширення, нове будівництво, реконструкція); зміни напряму використовування, назви торгової марки, юридичної адреси і др.; управління, експлуатація; застава; оренда; передачу в господарське ведення або оперативне управління, в безвідплатне користування; регулярно одержуваний дохід від володіння нерухомістю, не вимагаючий від одержувача підприємницької діяльності; ренту; довічний зміст з утриманням; передачу в довірче управління; введення (зняття) сервітутів і інших обтяженні; страхування різних форм і різних операцій, у тому числі при кредитуванні розвитку нерухомості.

Всі ці операції в умовах ринкової економіки здійснюються з використанням ринкових механізмів, а тому вони складають ринок нерухомості [I].

Витрати, які несуть покупці і продавці нерухомості по висновку операцій складають певну частку від вартості нерухомості. Вони необхідні для того, щоб здійснити ринкову трансакцію, визначити, з ким бажано укласти операцію і на яких умовах провести попередні переговори, підготувати контракт, зібрати відомості, щоб переконатися в тому, що умови контракту виконуються і т.д. Таким чином, коли витрати на певну послугу (риелтерську), що надається ринком, буде вищим за витрати на отримання цієї послуги у складі фірми - забудовника, то природно забудовник піде по шляху зниження трансакційних витрат. Цим можна пояснити практично відсутність риэлтерських фірм на первинному ринку житла і бажанням девелоперських компаній мати власну збутову структуру.

Ці особливості дають підставу характеризувати даний ринок як специфічний сектор економіки.

Найважливішою особливістю ринку нерухомості є обмежене число продавців і покупців об'єктів нерухомості.

Ще однією особливістю даного ринку є характер споживацького попиту. Існує велика система факторів котрі впливають на нього

Таблиця 1.2 - Система чинників, що впливають на попит і пропозицію

Чинники

Вплив на пропозицію

Вплив на попит

1. ЕКОНОМІЧНІ

Зміна рівня доходів населення: Зростання скорочення

В сучасних умовах є чинником збільшення пропозиції на ринку готового житла

 Збільшення Зменшення

Зміна рівня доходів бізнесу: зростання скорочення

Збільшення пропозиції на ринку комерційної нерухомості

 Збільшення Зменшення

Доступність фінансових, зокрема, кредитних, ресурсів: зростання скорочення

  Збільшення Зменшення

  Збільшення Зменшення

Ставки арендувати платні: Зростання скорочення

 Збільшення Зменшення

 Зменшення Збільшення

Вартість будівництва: зростання скорочення

 Зменшення Збільшення

Збільшення на ринку готового житла

Ставки оренди: зростання скорочення

 Зменшення Збільшення

 Зменшення Збільшення

Тарифи на комунальні послуги і платежі за ресурси: збільшення зменшення

  Зменшення Збільшення

  Зменшення Збільшення

2. СОЦІАЛЬНІ

Зміна чисельності населення зростання скорочення

  Збільшення

 Збільшення Зменшення

Зміна освітнього рівня: зростання пониження


 Збільшення Зменшення

Зміна рівня злочинності: зростання пониження


 Зменшення Збільшення

3. АДМІНІСТРАТИВНІ

Реальна податкова ставка: зростання пониження

Збільшення

 Зменшення Збільшення

Рівень податку на майно: зростання пониження

Збільшення

Зменшення

Рівень земельного податку: зростання скорочення

Збільшення

Збільшення

Ставки оренди: зростання скорочення

Збільшення

Збільшення

Зональні обмеження: більш строгі менш строгі

Збільшення

Збільшення

Умови здійснення операцій: ліберальні обмежувальні

 Зменшення Збільшення

Збільшення

Умови отримання прав на забудову: ліберальні обмежувальні

 Зменшення Збільшення


4. УМОВИ НАВКОЛИШНЬОГО СЕРЕДОВИЩА

Екологічна обстановка: поліпшення погіршення

Збільшення

Зменшення

Рівень розвитку інфраструктури: високий низький

Збільшення

Зменшення


Система чинників, що визначають стан і тенденції попиту і пропозиції у межах того або іншого регіон, не є вичерпною. Крім того, усередині кожної з вказаних груп чинників можуть бути виділені складові, вплив яких також є істотним. Так, зростання чисельності населення в регіоні може бути викликано його природним приростом або міграцією з інших регіонів.

Довгострокові і короткострокові зміни чинників і умов на ринку нерухомості і фінансовому ринку управляють попитом і пропозицією нерухомості [3] . Взаємодія цих чинників визначає ставку доходу від інвестицій в об'єкти нерухомості.

В даний час на українському ринку існує значне перевищення пропозиції в порівнянні із споживацьким попитом (особливо на комерційну нерухомість).

Величина попиту на об'єкти житлової нерухомості обумовлена багатьма чинниками: транспортною оснащеністю району розташування об'єкту, його екологічним станом, наявністю об'єктів соціально-культурного і побутового призначення. Проте, найбільш істотний так званий чинник місцеположення.

Однією з найважливіших особливостей об'єктів нерухомості є необхідність постійного виконання регламентуючих функцій. До особливостей ринку нерухомості можна віднести складний симбіоз переваг і недоліків з погляду доцільності підприємницької і комерційної діяльності.

достатня стійкість споживацького попиту;

менша схильність коливанням економічних циклів;

наявність певного захисту від раптових змін ринкової кон'юнктури зважаючи на довгостроковий характер арендувати і тривалого терміну будівництва конкуруючих об'єктів.

До недоліків можна віднести:

інформація на ринку не така відкрита, як, наприклад, на ринку товарів, що утрудняє процес обгрунтовування для об'єму і характеру інвестицій;

відсутність законодавчої бази відносно обов'язкової публікації інформації про операції на ринку нерухомості;

необхідність використовування інформації про операції, скоювані на ринку нерухомості;

«жорстка залежність» від зовнішніх умов містобудівного регулювання, можливостей будівельного комплексу і специфіки споживацького попиту;

витрати операцій (необхідність перевірки юридичної чистоти об'єкту нерухомості, а також витрати на технічну документацію і реєстрацію) значні, якщо не сказати високі.

1.2 Анализ кон’юнктури нерухомості

Кон'юнктуру ринку житла в Україні більшість фахівців характеризує як сталу, із стійкими традиціями і перевагами, що сформувалися. Ринок житла можна назвати «першопроходцем» вітчизняних сегментів ринку нерухомості, адже стрімкий розвиток саме цього ринку був першим наочним показником, першою ластівкою виходу із затяжної економічної кризи в Україні. Зараз, озираючись назад, можна затверджувати, що саме ринок житла показував стабільні попит і пропозиція, тоді як інші сегменти ринку нерухомості, такі як ринок землі, офісної, торгової і виробничої нерухомості, тільки формували свою кон'юнктуру.

Якщо проводити паралелі між ринком житла і іншими ринками, аналізувати цінові тенденції, неможливо не помітити, що розвиток цього ринку тісно взаємозв'язаний з розвитком ринків капіталу. Адже житло це свого теж роду капіталу - соціальний капітал. З другого боку, об'єкти житлового фонду розташовані на земельних ділянках, а земля в класичному розумінні - це капітал. Без житла неможливо представити одну з основних складових розширеного відтворювання - праця людей. Саме житло є необхідною умовою для нашої повсякденної роботи, на ефективність якій не в останню чергу впливає якість житла. Купуючи (знімаючи) житло в певному регіоні, ми дістаємо доступ на місцевий ринок праці. Наприклад, житло в Києві - це не тільки дах над головою, це певні права і можливості (соціальна база) - це право працювати (вчитися) в регіоні з найвищим рівнем заробітної платні, це потенційна можливість експлуатувати колосальний капітал, сконцентрований в цьому місті.

Не скрізь, але часто, при значному видаленні від крупних ділових центрів спостерігається абсолютно протилежна ситуація - новозбудований приватний будинок, собівартість будівництва якого перевищує 70 тис. доларів, неможливо продати навіть за 15 тисяч. В наявності економічний знос, тобто спостерігається втрата корисності житла - ніхто не хоче жити в регіоні, де немає роботи і відсутні перспективи. Ринок житла в таких регіонах практично не функціонує.

Таким чином, спостерігається чітка залежність - там, де середня заробітна платня вище, де нижче рівень безробіття - там ціни на житлі вище. Спрощений взаємозв'язок виглядає так: чим вище концентрація капіталу, тим вище середній рівень заробітної платні і рівень життя. Чим вище середній рівень життя (реальних доходів), тим вище ціни на житлі. Тому одним з основних чинників формування вартості житлової нерухомості є концентрація капіталу, розташованого в межах доступності житла. Причому, це не обов'язково виробничий капітал, наприклад, в Криму під капіталом ми маємо на увазі море, природні умови і туристичну інфраструктуру (яка залишає бажати кращого).

Існує такий макроекономічний закон: вартість нерухомості росте з часом. Необхідно відзначити, що під нерухомістю в даному випадку в першу чергу є зважаючи на земля, як основна складова будь-якої нерухомості. Закон працює, але з деякими обмовками. Об'єктивна ціна на нерухомість зростає, якщо спостерігається економічне зростання, розвиток навколишньої інфраструктури, розвиток підприємництва, зростання внутрішнього валового продукту. Відомо, що зростання економіки відбувається хвилеподібно (після певного зростання спостерігається спад), але в сучасному представленні такого розвитку кожний подальший приріст перевищує спад, таким чином спостерігається загальна тенденція зростання, у тому числі і по відношенню до цін на нерухомість. Локально ж може спостерігатися і падіння цін на нерухомість, а у випадках економічної кризи і зовсім обвал (що кілька разів відбувалося в 90-х роках). Це викликано або зносом основних фундацій, або структурними економічними проблемами, через які капітал не працює (простоює). На вартість житла впливає безліч інших чинників, а також кон'юнктура і стан всіх сегментів ринку і державної економіки, проте накопичений і природний (природний) капітал є базою формування валових регіональних і національного доходів, від яких залежить величина абсолютної земельної ренти і вартість житла як в регіонах, так і в столиці.

Для більш глибокого розуміння ситуації і цінової кон'юнктури, яка склалася сьогодні на ринку житлової нерухомості, проведемо невеликий аналітичний історичний екскурс. Розглянемо ситуацію починаючи з 2001 роком, коли ціни почали своє стрімке зростання. Серпень 2001 року був точкою екстремуму-мінімуму цін на нерухомість, падіння яких було викликано економічною кризою (однокімнатну квартиру можна було купити за 5200 доларів США). Психологічним поштовхом для початку зростання цін послужила терористична атака 11 вересня. Саме тоді панічні настрої по відношенню до долара стимулювали продавців підвищити ціни на 20-30% (природно у валюті). Проте це було лише психологічним поштовхом, реальні економічні причини зростання цін полягали в іншому. Саме стабілізація економічної ситуації, серед основних причин якої були, на наш погляд, введення спрощеної системи оподаткування і певні структурні зміни економіки, а також поява вільних засобів у населення, поява перспективи економічного розвитку, - все це створило передумови збільшення споживацького попиту. Проте попит, як відомо, з погляду психології споживача складається з двох умов - «хочу» і «можу». На той момент «хочу» вже з'явилося, оскільки з'явилися надлишки засобів і перспективи, проте того самого «можу» явно не вистачало. І ось тут вирішальним моментом стала поява (вперше в історії незалежної України!) іпотечного кредитування. Саме у цей момент ті люди, доходи яких дозволили накопичити певні «запаси» і будувати плани про покупку нерухомості, змогли реалізувати свої бажання. Величезний потенційний, нереалізований попит лавиноподібно прийшов на ринок житлової нерухомості. Тільки за вересень-грудень 2001 року зростання цін склало 30%. Київ відразу став об'єктом роздумів для інвесторів як з регіонів України, так і із зарубіжжя. «Середній клас» (назвемо його так умовно, тому що доходи цього шару суспільства значно перевищують середній рівень), який почав формуватися на той момент в регіонах України, вважав своїм священним обов'язком придбати нерухомість в Києві, і не тільки для житла, але і як об'єкт інвестицій, адже середньорічне зростання ціни на житлі в Києві у той час складало 30%. За Києвом по цьому шляху пішла більшість регіонів України. В нерухомість прийшли національні і іноземні інвестиції, як правило, приватні. Необхідно помітити, що ринок став дуже привабливим для «брудних грошей». Адже 95% договорів проходило за фіктивними заниженими цінами, моніторинг з боку госорганов фактично був відсутній. Таким чином, замість того, щоб шукати шляху «відмивання» грошей, можна було просто купити нерухомість - і проблема вирішена, і, в той же час, зроблена вигідна інвестиція.

Розглядаючи ці процеси з макроекономічної позиції, неможливо не помітити схожість описуваних процесів з інфляцією. Розвиток ситуації в 2001-2005г.г. можна охарактеризувати як інфляційне зростання певного сегменту ринку. Інфляцію ринку житлової нерухомості викликав стрімко виниклий надмірний попит на житлі (як на арендувати так і на продаж), що не компенсується реальною пропозицією. З часом зростання ціни набуло спекулятивних ознак - коли люди купували нерухомість в кредит, не маючи реальних джерел для покриття тіла кредиту, хоча маючи достатньо засобів для погашення відсотків. Через якийсь час нерухомість дорожчала на 30%-60%-100%, тоді об'єкт продавався, кредит погашався, а у позичальника залишалася різниця - «підприємницький прибуток». Це прискорило інфляційне зростання ціни. Незадоволеність попиту викликала притоку інвестицій і інших підприємницьких ресурсів в будівництво нового житла, слідством чого став будівельний бум. Можна сперечатися про причини такого розвитку подій і міркувати про те, погано це або добре, але неможливо не відзначити, що вільний відкритий і конкурентний ринок розвивався по природних ринкових законах. Ну і що з того, що середньостатистичний житель Києва не може купити собі нову квартиру? Є маса інших охочих зробити це з інших точок земної кулі за цими високими цінами і навіть ще дорожче. Чому ж ціна не повинна рости? Найцікавіше в цих процесах те, що вони продовжувалися так довго, і на даний момент немає відповіді на питання: чи зупинився цей процес сьогодні?

На сьогоднішній день попит продовжує перевищувати пропозицію, з цим погодяться, напевно, більшість експертів, особливо в частині «хочу» . Ціни ж виглядають дещо нереальними для більшості жителів Києва, тим більше жителів всієї України. З усіх боків чуються заяви про те що ціни необгрунтовано завишені, звучать звинувачення на адресу різних інституцій і відбувається пошук винуватих. Політики в передвиборному завзятті обіцяють зробити житло доступним, а деякі навіть дешевим (що звучить дещо абсурдно). Давайте спробуємо розібратися, що ж все-таки відбувається і хто в цьому винуватий, а також якомога з цим боротися?

Дійсно, на ринку житла склався певний дисбаланс. Його значення таке: якщо середньостатистичний житель Берліна або Парижа може погасити іпотечний кредит за 7-12 років, але при цьому гасить його за 15-20 років (тому що ставка за іпотечними кредитами низька, і кредит вигідно погашати довго), то середньостатистичний житель Києва взагалі не може погасити іпотечний кредит, якщо бере його у розмірі 80-100% вартості житла. Єдине, що може собі дозволити середньостатистичний житель Києва (вже має квартиру), це трохи поліпшити свої житлові умови, при цьому узявши на себе кредитний тягар терміном літ на 10 (виходячи з середньої заробітної платні 300-400 доларів США). Цікаво, що така ж ситуація спостерігається і в Москві. Хоча середня зарплата в Москві вище в 3-4 рази, але і ціни на нерухомість в середньому вище приблизно в таку ж кількість раз, а то і більше. Проте в Москві вище диференціація між центром і околицею, між елітним і стандартним житлом, і взагалі житла за останні роки було побудоване набагато більше ніж у нас, і, можна сказати, що на околицях житло більш доступно для середньостатистичного москвича.

Коли деякі «експерти» говорять, що ринок перегрітий, що ціни необгрунтовано завишені, що ціни в Києві вище, ніж в Європі, то виникає до них маса питань. Зокрема, що вони мають на увазі під словом «перегрітий»? Адже якщо товар купує і продається за даною ціною на абсолютно конкурентному ринку, значить такі кон'юнктурні реалії. Дійсно, житло можна віднести до товарів, необхідних для життєдіяльності, і можна сказати, що споживач віддасть останнє за квадратні метри, так само як і за хліб, якщо його не вистачає. З другого боку, як ми вже говорили вище, є інвестиційний попит, коли нерухомість купує як об'єкт інвестицій, адже прибутковість житлової нерухомості за певних умов вище за прибутковість депозиту і розглядається як більш надійна інвестиція. І тут важливо розуміти, що ринок житла Києва - це інтернаціональний ринок, доступний іноземному інвестору, який сьогодні розглядає його як дуже перспективний. І не тільки розглядає, але і інвестує. Тому і ціни відповідні.

Дисбаланс цін є видимим не тільки на ринку нерухомості, особливо якщо розглядати Україну в аспекті її рішучого руху в Європейський союз. Просто ринок житла виявився першопроходцем, він випереджає структурні зміни інших ринків. В Європі у принципі інша структура цін. Так, в Німеччині комунальні платежі власника невеликої двокімнатної квартири перевищують 200 євро, які включають оплату тепла, газу, електроенергії і майнових податків . Дуже дорого коштує комунального обслуговування - вивіз сміття, прибирання територій і т.д. При цьому буханець хліба в середньому стоїть 1 євро, пляшка пива - 4 євро і т.д. Чому нас не лякає перспектива таких цін на товари загального споживання? Напевно тому що середня зарплата німця перевищує 2000 євро, і в такому аспекті це не здається чимось надприродним. І коли експерти скаржаться, що середній житель Києва не може купити собі нову квартиру, хоча йому і не вистачає житлоплощі, давайте відповімо самі собі на питання: а чи провів він достатньо продукту, чи накопичив достатньо капіталу щоб побудувати собі нову квартиру (адже всі “старі квартири” вже зайняті)? Напевно в середньому, з макроекономічної позиції, середній житель Києва достатньо створив і накопичив якраз для невеликого поліпшення житлових умов.

Є думка, що у високому рівні цін винуваті олігархи, які скуповували всю нерухомість і монопольно встановили високі ціни “для своїх”. І хоча в цілому позиція абсурдна, проте в будь-якому жарті є частка істини. Соціальна несправедливість питання вічне і риторичний, і нам ще належить знайти власне рішення цього питання, якщо буде політична воля суспільства і бажання керівників.

Деякі звинувачують у високих цінах будівників (управителів будівельними проектами) і урядовців, відповідальних за відведення землі. Це вони, розумієте, заклали в ціни на житлі свої надвисокі рентабельності, це вони в гонці за багатством забули про інтереси простого обивателя. Дійсно, високі рентабельності присутні, проте це не може бути причиною високих цін на житлі. Ціна сьогодні сформована попитом і пропозицією, а прибуток забудовника - це всього лише частина цієї ціни. Надмірно високі рентабельності є швидше слідством того, що ми не уміємо, з одного боку, відкрито і конкурентно продавати землю, а з другого боку, складність і непрозразчность покупки землі (права забудови), складність узгодження проектної документації, яка лягає на інвестора, створюють настільки високі ризики такого інвестування, що жоден нормальний інвестор не стане інвестувати ці проекти, чекаючи рентабельність (внутрішню норму прибутковості) на рівні 20%. Природно, що він схоче мати 40%-60%-100% рентабельності, адже вірогідність втратити всі достатньо велика.

Різке падіння цін на нерухомість сьогодні може бути викликано тільки економічною кризою, а це дуже погано. Стабільність - більш приємна перспектива. Не можна зробити житло доступним просто шляхом ухвалення тих або інших законодавчих актів або шляхом цінового регулювання ринку, шляхом обмеження рентабельності. Можна добитися доступності житла тільки шляхом економічного зростання, створення умов для великих об'ємів будівництва житла і справедливої соціальної політики. Дисбаланс цін зникатиме у міру збільшення реального рівня доходів населення, правда, необхідно допомогти йому і з другого боку. Необхідно створити сприятливі умови для перерозподілу фінансових потоків, а саме відтоку інвестицій з вторинного ринку, який лежить за межами розширеного відтворювання, і перерозподіли інвестицій в реальний виробничий капітал. Адже інвестор, який замість реального виробництва інвестує покупку житлової нерухомості на вторинному ринку, фактично вилучає капітал з виробничого процесу, не роблячи нічого корисного. Фактично це спекулянт, який своїми діями провокує інфляцію.

Первинний ринок - зовсім інша справа. Новозбудоване житло є частиною ВНП, а збільшуючи інвестиції в цей сектор і, отже, об'єми будівництва, ми збільшуємо пропозицію, впливаючи таким чином на ціну у бік її зменшення. Потрібно відзначити, що збільшення доходів населення викличе подальше зростання цін на нерухомість, так само як і зниження ставок за іпотечними кредитами, але якщо створити правильні умови такого розвитку, в середньому реальні доходи ростимуть швидше, ніж ціни на нерухомість. І добитися такого розвитку можна тільки колективними зусиллями всього населення України. Для цього необхідно створити комфортні умови для бізнесу, і не тільки в будівельній сфері, а у всіх сегментах економіки у сфері національного виробництва і послуг. Необхідні структурні зміни економіки для витягання капіталів з сфери спекулятивного обороту. Соціальна відповідальність бізнесу повинна перейти з розряду красивої демагогії в розряд національних досягнень. Необхідно також все зробити для того, щоб земля, як головний елемент національного багатства, залишилася у власності громадян і підприємств України. І найважливіший чинник, який, на жаль, не спрацює без всіх інших, це конкретна робота кожного працездатного громадянина, направлена на виробництво товарів і надання корисних послуг, накопичення національного багатства, як закон стабільного розвитку будь-якої держави сучасної цивілізації.

1.3 Основні чинники на житловому ринку

Ринок нерухомості має складну, розгалужену структуру і диференціювати його можна по різних ознаках. Існує три сектори: сектор розвитку (створення) нерухомості; сектор обороту нерухомості; сектор управління і експлуатації нерухомості.

Кожний з секторів має свою структурну визначеність і специфіку. Їх привабливість, об'їм, динаміка залежать від пов'язаних з ними фінансових потоків, що підрозділяються:

на інвестиції капіталовкладень (розвиток нерухомості);

на товарні (фінансування обороту прав на нерухомість);

на доходи (від операцій і від експлуатації нерухомості);

на податки (оподаткування нерухомості).

Сектор обороту нерухомості формує ринкову ціну її об'єктів.

Сектор управління і експлуатації нерухомості відстежує ступінь впливу тих або інших товарних характеристик об'єктів нерухомості на їх прибутковість. Саме звідси виходить запит до сектора розвитку на створення самих прибуткових типів об'єктів нерухомості. При недостатній розвинутій сектора управління, як це має місце зараз на вітчизняному ринку нерухомості, запит сектору розвитку передається безпосередньо з сектора обороту.

На сьогоднішній момент ознаками ринку розвитку нерухомості є:

переважання позабюджетних джерел інвестування;

велика альтернативність потенційних інвесторів (різні пропозиції по якнайкращому місцеположенню і призначенню об'єктів нерухомості, що інвестуються);

висока складність пошуку керівника інвестиційним проектом (від укладення договору про наміри до здачі об'єкту нерухомості в експлуатацію);

слаба вивчена ринку розвитку;

відсутність якісно відпрацьованих технологій ефективного і економічного будівництва і, отже, довгострокового попиту на будівельне устаткування і матеріали.

) За способом здійснення операцій ринок нерухомості можна розділити на первинний

Під вторинним ринком нерухомості - операції, скоювані з вже створеними об'єктами, що знаходяться в експлуатації і пов'язані з перепродажей або з іншими формами переходу що поступили на ринок об'єктів від одного власника до іншого.

Первинний і вторинний ринки, виступаючи двома частинами єдиного ринку нерухомості, взаємно впливають один на одного.

Наприклад, ціни вторинного ринку є особливим орієнтиром, який показує, наскільки рентабельним є нове будівництво при існуючому рівні витрат. Існує ряд чинників, котрі впливають на рівень цін на житловий фонд нерухомості (рис. 1.3).

Ринок нерухомості визначається також впливом економічної ситуації в цілому як на національному, так і на регіональному рівнях. Можливості реагування на зміну цієї ситуації на первинному і вторинному ринках нерухомості різні. Так, при зниженні попиту вторинний ринок нерухомості може достатньо гнучко реагувати на нього зменшенням пропозиції і падінням цін, нижня межа яких визначається, по суті, трьома чинниками: ціною придбання об'єкту, фінансовим положенням продавця і відповідністю його рівня доходів рівню поточних витрат за змістом нерухомості. Діапазон зниження цін або пропозиції може бути досить широкий. На первинному ринку нерухомості ситуація інша. Нижня межа ціни визначається рівнем витрат на будівництво: при його переході забудовник зазнає прямі збитки. Разом з тим тут складніше як зменшити, так і збільшити пропозицію. В будівельному процесі задіяний ряд організацій, кожна з яких зацікавлена у використовуванні своїх потужностей і ресурсів (що особливо відноситься до підрядчиків), і припинити будівельний процес миттєво неможливо.

Рисунок 1.3 - Система чинників, які впливають на вартість житлового об’єкту (нерухомості)

Пропозиція на первинному ринку є абсолютно нееластичною в короткостроковому періоді.

Вторинний ринок нерухомості є більш інертним у зв'язку з тим, що рішення на ньому приймаються безліччю осіб, а мотивація до продажів більш розмита, ніж на первинному ринку, де продаж - це необхідна фаза, що забезпечує повернення вкладених засобів [I].

Доповнити види ринку нерухомості по цій ознаці можна наступними: організований і неорганізований (вуличний), біржової (аукціони, конкурси) і позабіржової і т.д.

) По видах операцій в рамках всього ринку нерухомості можна виділити:

ринок купівлі-продажу;

оренди;

іпотеки;

речових прав (довірче управління) і ін.

) По ступеню готовності до експлуатації:

незавершене будівництво;

нове

реконструкція і т.д.

) За формою власності:

приватні об'єкти нерухомості;

державні і муніципальні об'єкти нерухомості.

) По галузях:

промислові об'єкти;

сільськогосподарські об'єкти;

суспільні будівлі і споруди;

рекреаційні і т.д.

) По функціональному призначенню:

житлова нерухомість;

виробничі будівлі;

невиробничі будівлі і приміщення (офіси, склади і ін.);

готелі;

торгові приміщення і приміщення громадського харчування і т.д.

) По виду об'єктів нерухомості:

земельний ринок;

будівлі і споруди;

приміщення

підприємства як майнові комплекси;

кондомінімуми;

речові права;

багаторічні насадження.

З вищеназваних ринків нерухомості важливе значення мають самі розвинуті ринки земельних ділянок, житлової і комерційної

Покупець - головний суб'єкт ринку нерухомості. Їм може бути фізична або юридична особа. Саме для покупців і працює вся структура ринку нерухомості

Зважаючи на те, що права володіння, користування і розпорядження нерухомістю відрізняються від прав володіння іншими видами власності і є інтересами багатьох фізичних і юридичних осіб, придбання і інші операції з об'єктами нерухомості (дарування, спадкоємство, оренда) пов'язані з певними процедурами - державною реєстрацією прав на нерухоме майно - покликаними забезпечити облік інтересів держави, муніципальних органів влади і інших суб'єктів ринку нерухомості і гарантувати достовірну інформацію про нерухоме майно.

Під інвестором в даній структурі розуміється юридичні або фізичні особи, що ухвалюють інвестиційні рішення. Він здійснює вкладення власних або позикових грошових, а також інших привернутих майнових або інтелектуальних цінностей в інвестиційний проект і забезпечує їх цільове використовування.

Інвестори, що володіють сучасними методами управління нерухомістю, володіють контролем над нерухомим майном. Як інвестор можуть виступати органи, уповноважені управляти державним або муніципальним майном або майновими правами; фізичні особи - громадяни, у тому числі і іноземні; юридичні особи всіх форм власності (вкладники, замовники, кредитори, покупці).

Кредитні установи (банки),Основною діяльністю кредитних установ на ринку нерухомості повинна бути участь в інвестиційних і девелоперских проектах, іпотечне кредитування придбання житла.

Ключовою фігурою в розвитку ринку нерухомості є професійний підприємець - забудовник.

Як суб'єкт первинного ринку нерухомості він виконує багато організаційних і економічних функцій, об'єднуваних поняттям «управління інвестиціями».

До них відносяться:

вибір економічно ефективного проекту;

створення або перетворення об'єкту нерухомості (забудова неосвоєної ділянки землі, реконструкція будівлі і ін.);

отримання всієї необхідної і передбаченої законодавством документації і дозволів на реалізацію проекту;

пошук інвесторів;

визначення умов залучення інвестицій і позикових засобів;

розробка механізмів обороту засобів і форм їх повернення;

відбір і залучення підрядчиків;

контроль над здійсненням робіт.

В дореформеній економіці деякі з перерахованих функцій виконувалися частково замовниками, частково будівельними організаціями, що виступали як генеральні підрядчики. Проте і ті, і інші діяли в умовах гарантованого державою фінансування і матеріально-технічного забезпечення.

прогноз динаміки населення і його сімейної структури;

оцінку стану платоспроможного попиту на житлі в різних соціально-демографічних групах населення;

визначення економічних параметрів містобудівної ситуації (вибір вигідних місць забудови, стан території забудови і т.д.).

) Визначення якнайкращих умов реалізації проекту і розробка детального плану його здійснення.

На цій стадії визначаються межі конкретних земельних ділянок, необхідних для реалізації проекту і конкретний стан їх інфраструктурної забезпеченості. Виходячи з аналізу кон'юнктури первинного ринку нерухомості, проводяться необхідні проектні роботи і розрахунок вартості реалізації проекту. Визначаються можливі джерела фінансування (власні або позикові засоби, засоби муніципального бюджету, іпотека і т.д.). Висновок про реальну можливість залучення засобів, необхідних для реалізації проекту, а також економічній ефективності його інвестування (повернення засобів з отриманням необхідного прибутку) дозволяє забудовнику перейти до отримання всіх передбачених законодавством дозволів, проведення переговорів з власниками ділянок землі і проведення рекламної кампанії, якщо передбачається широке залучення засобів населення.

В кінці цього етапу діяльності забудовник одержує права на забудову, необхідну проектно-кошторисну документацію, повний набір дозволів і узгодженні, комплект договорів на отримання фінансових ресурсів, що привертаються, і переходить до підготовки практичної реалізації проекту.

) Практичної реалізації проекту.

На цій стадії притягуються будівельні фірми, організовується фінансування здійснюваних робіт, проводиться приймання закінченого будівництвом об'єкту нерухомості і його продаж. Із загальної суми доходу, отриманого від реалізації проекту, забудовник розраховується з кредиторами і що брали участь в проекті інвесторами. Забудовник відповідає:

перед інвесторами - за ефективне управління їх засобами, а перед кредитними установами - за своєчасне повернення кредитів;

перед уповноваженими державними і регіональними органами

за дотримання умов проекту;

перед підрядчиками - за своєчасне фінансування робіт;

перед споживачами - за якість продукції;

кінець кінцем, забудовник є координатором всього інвестиційно-будівельного циклу у межах реалізованого проекту.

Таким чином, забудовник (девелопер) - центральна фігура в процесі розвитку первинного ринку нерухомості.

Ще одним учасником ринку нерухомості є будівельний підрядчик - фізична або юридична особа (спеціалізована фірма), яка виконує для замовника будівництво об'єктів до обумовленого терміну за платню на основі договорів підряду на капітальне будівництво.

Інститут оцінки нерухомості розвивається по нижчеприведених напрямах. Роль оцінювача на ринку нерухомості постійно росте, бо ніяка операція (кредитування під заставу нерухомості, страхування, переоцінка основних засобів, розділ майна, внесення його до статутного фонду, купівля-продаж) на ринку нерухомості не може здійснитися без попередньої оцінки вартості об'єктів нерухомості.

Оцінка об'єктів нерухомості - обгрунтована думка незалежної сторони про ринкову вартість нерухомості відповідно до поставленої за мету, процедурою оцінки і вимогами етики оцінювачів, тому багато крупних фінансових і інвестиційних структур, банки без незалежної оцінки взагалі не працюють.

При виборі оцінювача (індивідуального підприємця) замовнику рекомендує використовувати наступні критерії:

членство оцінювача в професійній організації;

наявність у оцінювача освітніх сертифікатів за оцінкою;

бажано наявність кваліфікаційних звань, підтверджених кваліфікаційними сертифікатами професійної організації;

наявність у оцінювача поліса про страхування професійної (цивільної) відповідальності.

При виборі оцінної фірми споживачу слід зібрати інформацію про досвід роботи фірми на ринку оцінки (кількість виконаних звітів, складність оцінюваних об'єктів), з'ясувати, чи є співробітники фірми або сама фірма членами професійної організації, чи є у фірми поліс про страхування професійної (цивільної) відповідальності.

Розвиток ринку нерухомості і, зокрема, земельного ринку, ринку іпотеки, коли об'єкт застави потребуватиме об'єктивній оцінці, неухильно приведе до активного розвитку оцінної діяльності.

Посередницька діяльність на ринку нерухомості і організаційно-правове оформлення є прерогативою представників риэлтерской сіті - агентств нерухомості - організацій, професіонально що займаються дозволеними законодавством операціями з об'єктами нерухомості: земельними ділянками, житловою фундацією і комерційною нерухомістю. Агентства нерухомості представляють фахівці, виконуючі функції консультантів по операціях з об'єктами нерухомості. З появою ринку нерухомості виникли риелтерські фірми [2] які професіонально здійснюють операції зі всіма об'єктам нерухомості:

здійснення операцій купівлі-продажу, дарування, обміну (у тому числі посередницьких);

здача в оренду приміщень, що знаходяться у власності як юридичних, так і фізичних осіб (у тому числі і посередницька);

продаж об'єктів нерухомості з аукціонів і на конкурсній основі.

ціна житловий нерухомість середовище

2. ДОСЛІДЖЕННЯ МОДЕЛЕЙ ОЦІНКИ ЖИТЛОВОГО ФОНДУ НЕРУХОМОСТІ

2.1 Прибуткова модель житлового фонду

Прибуткова модель - це модель оцінки, яка базується на припущенні, що між вартістю об'єкту нерухомості і доходом, який цей об'єкт може приносити, існує певне співвідношення.

Прибуткова модель оцінки вартості об'єктів житлового фонду - сукупність методів оцінки вартості об'єкту оцінки, заснованих на визначенні очікуваних доходів від об'єкту оцінки.

Дана модель використовується тільки для оцінки прибуткової нерухомості, тобто такій нерухомості, єдиною метою якої є отримання доходу, і в його основі лежать наступні принципи оцінки нерухомості:

принцип очікування (вартість об'єкту, що приносить дохід, визначається поточною вартістю майбутніх доходів, які цей об'єкт принесе);

принцип заміщення (вартість об'єкту нерухомості має тенденцію встановлюватися на рівні величини ефективного капіталовкладення, необхідного для придбання зіставного, заміщаючого об'єкту, що приносить бажаний прибуток).

Сутність прибуткової моделі полягає в оцінці поточної (сьогоднішньої) вартості майбутніх вигод, які як очікуються, принесуть експлуатація і можливий продаж надалі нерухомого майна, тобто шляхом капіталізації доходу.

Капіталізація доходу - це процес перерахунку потоку майбутніх доходів в кінцеву величину, рівну сумі їх поточних вартостей. Ці величини враховують:

суму майбутнього доходу;

час, коли повинен бути отриманий дохід;

тривалість отримання доходу.

Визначення ринкової вартості нерухомості прибутковим підходом відбувається в 2 етапи:

прогнозування майбутніх доходів;

капіталізація майбутніх доходів в справжню вартість.

Розглянемо кожний етап більш детально

Прогнозування майбутніх доходів засновано на використовуванні фінансових звітів власника:

спрощеного балансу;

звіту про рух грошових коштів, що реконструюється оцінювачем для задач економічного аналізу статей доходів і витрат.

Результати прогнозування зводяться до бюджету доходів і витрат про експлуатацію об'єкту нерухомості. Горизонт прогнозування вибирається власником, проте найбільш часто використовуються терміни володіння об'єктом. Структура бюджету, перелік і послідовність визначення доходів і витрат представлена в табл. 2.1.

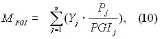
Потенційний валовий дохід (ПВД або PGI) - загальний дохід від нерухомості, який можна отримати від нерухомості при 100% зайнятості без урахування всіх втрат і витрат. ПВД рівний сумі чотирьох становлять:

Контрактна річна орендної платні (планова оренда), PC - частина потенційного валового доходу, яка утворюється за рахунок умов орендного договору. При розрахунку даного показника необхідно враховувати всі знижки і компенсації, направлені на залучення орендарів: такі позиції можуть мати вид додаткових послуг орендарям, можливості для них переривати договір, використовування репутації будівлі і т.д.

Ковзний дохід, PH - частина потенційного валового доходу, яка утворюється за рахунок пунктів договору, що передбачають додаткову оплату орендарями тих витрат, які перевищують значення, відзначені в договорі. Ринкова річна орендна платня (ринкова оренда), PM - частина потенційного валового доходу, яка відноситься до вільної і зайнятої власником площі і визначається на основі ринкових ставок орендної платні.

Таблиця 2.1 - Бюджет доходів та витрат

Найменування показника

Сума, грн

Потенційний валовий дохід (ПВД або PGI), у тому числі:


- контрактна річна оренда


- ковзний дохід


- ринкова річна оренда


- інші доходи, пов'язані з нормальним функціонуванням об'єкту нерухомості


Втрати доходу (ПД або V&L), у тому числі:


Втрати від недовантаження


Втрати при зборі оренди


Дійсний валовий дохід (ДВД або EGI)


Операційні (експлуатаційні) витрати (ОР або OE), у тому числі


Поточні операційні витрати, у тому числі


- умовно-постійні


- умовно-змінні


- резерв на заміщення


Чистий операційний дохід (ЧОД або NOI)


Виплати по обслуговуванню боргу (ОД або DS)


Чистий валовий дохід (ЧВД або PTCF)


Податок на прибуток (НПП або Tax)


Чистий дохід (ЧД або ATCF)


Дохід від продажу об'єкту (ДПО або Rev)



Інші доходи, PA - доходи, одержувані за рахунок функціонування об'єкту нерухомості і що не включаються в оренду. Є доходами від бізнесу, нерозривний пов'язаним з об'єктом нерухомості, а також доходи від оренди земельних ділянок і каркаса будівлі, не основних приміщень: допоміжних і технічних.

Слід зазначити, що перші три складові, відносяться до використовування основних приміщень будівлі, а четверта - до вільної частини земельної ділянки, а також до приміщень і елементів конструкцій допоміжного або технічного призначення.

Втрати доходу (ПД або V&L) - витрати, обумовлені недовантаженням унаслідок обмеженого попиту або втрати часу на зміну орендаря і втрат, зв'язаних із затримкою або припиненням чергових платежів оренди орендарями у зв'язку з втратою ними платоспроможності.

Розміри витрат для прогнозованого року визначаються на підставі обробки інформації по місцевому ринку за попередні роки.

Для кожної складової ПВД розрахунок втрат від недозагрузки або неплатежів рекомендується проводити відособлено:

                              (2.1)

Розрахункове значення розміру коефіцієнта втрат доходу від недозагрузки Kv, K*v (в частках одиниці) визначається на основі аналізу коефіцієнта недовантаження (kj) об'єктів нерухомості даного типу протягом mj останніх місяців, таким чином:

                                                              (2.2)

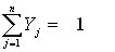
де kj - частка, n - загальне число проаналізованих об'єктів, Yj - ваговий коефіцієнт, що враховує відмінність якостей j-го об'єкту і управління їм порівняно з об'єктом оцінки, при цьому справедливо


Розрахункове значення розміру коефіцієнта втрат доходу через неплатежі Kl, K*l (в частках одиниці) визначається на основі аналізу частки приміщень (аj) об'єктів нерухомості даного типу і числу місяців gj, за які орендна платня не була внесена протягом минулого року, таким чином

                                                              (2.3)

Дійсний (ефективний) валовий дохід (ДВД або EGI) - передбачуваний дохід при повному функціонуванні об'єкту нерухомості з урахуванням втрат від не зайнятості, зміни орендарів і несплати орендної платні:

                                                         (2.4)

Операційні витрати (ОР або OE) - це періодичні витрати для забезпечення нормального функціонування об'єкту і відтворювання потенційного валового доходу. Операційні доходи прийнято ділити на:

умовно-постійні витрати;

умовно-змінні витрати;

витрати на заміщення або резерви

Умовно-постійні - витрати, розмір яких не залежать від ступеня эксплутационной завантаженості об'єкту.

Умовно-змінні - витрати, розмір яких залежать від ступеня эксплутационной завантаженості об'єкту. Витрати на заміщення - витрати на періодичну заміну швидкозношуваних елементів споруди, щорічні відрахування, що є, до фонду заміщення. Чистий операційний дохід (ЧОД або NOI) - чистий річний дохід на весь капітал (власний і позиковий), інвестований в об'єкт оцінки, що розраховується як дійсний валовий дохід за вирахуванням операційних витрат:

                                                            (2.5)

ЧОД включає дві складові: частину, що доводиться на позикові засоби (виплати по обслуговуванню боргу, ОД або DS - платежі по обслуговуванню іпотечних кредитів) і частину, що доводиться на власні (чистий валовий дохід, ЧВД або PTCF).

                                                          (2.6)

У свою чергу чистий дохід від експлуатації об'єкту (ЧД або ATCF) є різницею ЧВД і податку на прибуток (НПП або Tax) і містить в собі чистий прибуток (ЧП) і суму, зарезервовану для забезпечення простого відтворювання об'єкту, що зношується, по закінченню терміну його корисного використовування (капітальні витрати, КЗ):

                                                      (2.7)

Дохід від продажу об'єкту (реверсії) визначається як грошовий потік, що поступає інвестору при закінченні проекту. Величина доходу від реверсії прогнозується:

безпосереднім призначенням абсолютної величини реверсії;

призначенням відносної зміни вартості нерухомості за період володіння;

призначенням термінального коефіцієнта капіталізації (Rt).

При складанні реконструйованого звіту про доходи і витрати не враховуються:

витрати, пов'язані з бізнесом;

бухгалтерська амортизація;

прибуткові податки власника

Капіталізація майбутніх доходів в справжню вартість здійснюється з використовуванням:

методу прямої капіталізації, що включає техніки мультиплікаторів валового доходу, техніки коефіцієнтів капіталізації і техніки залишку;

методу капіталізації по нормі віддачі, включаючого техніки безпосереднього дисконтування, модельні техніки і техніки іпотечно-інвестиційного аналізу.

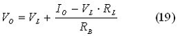
Метод прямої капіталізації встановлює зв'язок якого-небудь доходу, обчисленого на кінець першого року, наступного за датою оцінки, з вартістю об'єкту нерухомості (Vпро) за допомогою норми грошових потоків (мультиплікатора або коефіцієнта капіталізації).

Метод включає техніки мультиплікаторів валового доходу, техніки коефіцієнтів капіталізації і техніки залишку.

Техніки мультиплікаторів валового доходу.

В основі визначення вартості об'єкту нерухомості лежать наступні техніки:

техніка мультиплікаторів ПВД;

техніка мультиплікаторів ДВД.

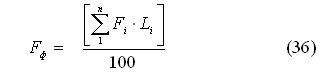
Процедура капіталізації для даних методів полягає в множенні відповідно ПВД або ДВД на середньорічні величини мультиплікатора, характерні для оцінюваного типу об'єктів нерухомості.

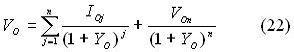
Vo = PGI · M PGI                                                                          (2.8)= EGI · M EGI                                                                            (2.9)

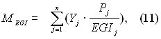
Мультиплікатори визначаються на підставі обробки ринкових даних про ціни продажів (Pj) і про величини доходах відповідно PGIj або EGIj на кінець року, наступного за датою продажу для конкретних об'єктів, з використанням Yj - вагового коефіцієнта, що враховує відмінність якостей j-го об'єкту і управління їм порівняно з об'єктом оцінки.

                                                         (2.10)

                                                         (2.11)

Техніки коефіцієнтів капіталізації забезпечують визначення вартості об'єкту нерухомості через капіталізацію ЧОД (NOI або IО) шляхом його розподілу на норму грошового потоку, звану загальним коефіцієнтом капіталізації:

                                                                            (2.12)

В основі визначення загального коефіцієнта капіталізації лежить одна з наступних технік: техніка групи компонентів власності; техніка інвестиційної групи або групи компонентів капіталу; техніка коефіцієнта покриття боргу; техніка порівняльного аналізу; техніка коефіцієнта операційних витрат.

Техніка порівняльного аналізу полягає в обробці ринкових даних про ціни продажів Pj і чистих операційних доходів Ioj на кінець року, наступного за датою продажу з використанням Yj - вагового коефіцієнта, що враховує відмінність якостей j-го об'єкту і управління їм порівняно з об'єктом оцінки:

                                                                  (2.13)

Даний метод є одним з найважливіших, проте вимагає достовірної і повної інформації про об'єкти порівнянних продажів.

Техніка групи компонентів власності заснована на припущенні про те, що за наявності в об'єкті нерухомості фізичних складових землі і будівлі загальний коефіцієнт капіталізації повинен задовольняти вимогам доходу власників всіх інтересів:

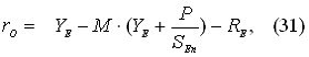
                                                    (2.14)

де L - частка величини вартості землі VL у величині ринкової вартості всього об'єкту VO, VB - ринкова вартість поліпшень (будівель), RL - ринкова величина коефіцієнта капіталізації для землі, RB - ринкова величина коефіцієнта капіталізації для поліпшень (будівель). VL може бути визначений за допомогою методу порівняння продажів або методу розподілу для оцінки земельних ділянок.

Техніка інвестиційної групи або групи компонентів капіталу заснована на припущенні про те, що за наявності в об'єкті нерухомості фінансових інтересів власників власного капіталу і кредиторів загальний коефіцієнт капіталізації повинен задовольняти вимогам доходу власників всіх інтересів

                                                (2.15)


де M - частка величини позикового капіталу VM у величині ринкової вартості всього об'єкту VO, VE - ринкова вартість власного капіталу, RM - ринкова величина коефіцієнта капіталізації для позикового капіталу, RE - ринкова величина коефіцієнта капіталізації власного капіталу, ML - сума іпотечного кредиту, EI - сума власного капіталу. VM може бути визначений на основі аналізу ринкових операцій з аналогічними оцінюваному об'єктами нерухомості.

Техніка коефіцієнта покриття боргу припускає визначення RПРО з урахуванням необхідного покриття боргу:

                                    (2.16)

де DCR - коефіцієнт покриття боргу.

Техніка коефіцієнта операційних витрат застосовується у випадках, коли повна інформація про об'єкти порівняння неприступна, але є дані про ДВД і ОР:

                                          (2.17)

де КOE - коефіцієнт операційних доходів.

Техніки залишку полягають в капіталізації доходу, що відноситься до однієї з інвестиційних складових, тоді як вартість інших відома і може бути достатньо точно визначена.

В основі визначення вартості об'єкту нерухомості лежить одна з наступних технік:

техніка залишку для землі;

техніка залишку для поліпшень;

залишку для власного капіталу;

техніка залишку для позикового капіталу.

Техніка залишку для землі застосовується при аналізі якнайкращого і найефективнішого використовування землі, визначаючи вартість поліпшень як, наприклад, вартість нової будівлі. Застосування техніки виявляється ефективним, якщо немає достовірних даних про продажі землі:

                                                   (2.18)

Техніка залишку для поліпшень застосовується при аналізі економічної доцільності модернізації або ліквідації будівлі, оскільки прямо виміряє внесок будівлі у вартість. Застосування техніки також доцільно для оцінки нерухомості, що має значний знос

                                                    (2.19)

Техніка залишку для власного капіталу застосовується для оцінки повного права власності наново споруджуваного об'єкту нерухомості:

                                                  (2.20)

Техніка залишку для позикового капіталу застосовується також для оцінки повного права власності наново споруджуваного об'єкту нерухомості:

                                                     (2.21)

Метод капіталізації по нормі віддачі встановлює (з використанням норми доходу на капітал як норма дисконту) зв'язок величин чистого операційного доходу, обчислених для кожного року всього прогнозного періоду, і вартість реверсії на кінець останнього року прогнозного періоду з вартістю об'єкту.

Метод включає ряд технік, які розрізняються між собою вибором типа доходу, що капіталізується, і способом капіталізації:

техніки безпосереднього дисконтування;

модельні техніки;

техніки іпотечно-інвестиційного аналізу.

Техніки безпосереднього дисконтування забезпечують визначення вартості об'єкту нерухомості через дисконтування потоків чистих операційних доходів (IО) і реверсии VOn з використанням локальних (для періодів) і середніх величин загальної норми віддачі УПРО

                                             (2.22)

Середня величина загальної норми віддачі визначається обробкою ринкової інформації про прибутковість інвестиційних проектів, пов'язаних з придбанням і прибутковим використовуванням об'єктів, або з використанням інформації про прибутковість альтернативних проектів, найближчих до оцінюваного типу об'єктів по рівню ризиків.

Для визначення середньої величини загальної норми віддачі УПРО використовуються наступні техніки:

техніка кумулятивної побудови;

техніка порівняння з альтернативними проектами;

техніка порівняння продажів;

техніка моніторингу ринкових даних.

Техніка дисконтування з сумуванням ризиків (техніка кумулятивної побудови) полягає в сумуванны величин, що відображають ступінь ризику даного проекту. Загальна формула має наступний вигляд:

                                                      (2.23)

де YRF - без ризикова норма, що включає без інфляційну складову і величину індексу інфляції; YR - премії за ризик, включаючи премію за наступні види ризиків: фізичні, правові, економічні, фінансові і соціальні як зовнішні (страновой ризик) так і внутрішні, за винятком премії за ризик низької ліквідності і премії за ризики, пов'язані з фінансовим менеджментом, які відокремлюються для того що б підкреслити відмітну особливість нерухомості від інших фінансових інструментів; YL - премії за ризик низької ліквідності; YFM - премії за ризики, пов'язані з фінансовим менеджментом

Техніка порівняння з альтернативними проектами полягає в пошуку на фінансовому ринку інвестиційних проектів з аналогічним ступенем ризику для подальшого коректування їх норми прибутку стосовно інвестицій в нерухомість.

При цьому для величини загальної норми віддачі YО визначається діапазон можливих значень з межами знизу Y1 і зверху Y2:

                                                                      (2.24)

Техніка порівняння продажів полягає в аналізі даних по досконалих операціях купівлі-продажу з метою відтворення припущень інвестора відносно майбутніх вигод від володіння нерухомістю. На основі схеми грошових потоків проекту визначається внутрішня норма прибутку проекту.

Техніка моніторингу ринкових даних полягає в аналізі ретроспективних ринкових даних з метою визначення поточних перспективних значень норм прибутку. При цьому слід використовувати кореляційні зв'язки тенденцій зміни прибутковості інвестицій в нерухомість з тенденціями зміни інших інструментів фінансового ринку.

Модельні техніки забезпечують визначення ринкової вартості всього об'єкту нерухомості для відносно простих окремих випадків капіталізації чистих операційних доходів, не змінних по періодах, і величини вартості реверсії, пов'язуваної з вартістю шляхом прогнозу зміни її в часі:

                                        (2.25)

де dn = 1/(1+ YO)n - дисконтний множник, an = 1/(1- dn)n - поточна вартість одиничного аннуитета.

При цьому використовується однакова для всіх періодів загальна норма віддачі, визначувана аналогічно величині загального коефіцієнта капіталізації:

                                                          (2.26)

де SFFO = 1/SOn- коефіцієнт фундації відшкодування, , SOn = 1/(1+YO)n -1 - майбутня вартість одиничного аннуітету ΔO = (VOn - VO)/ VO - величина відносного приросту вартості об'єкту.

В цій групі представлені:

техніки без урахування амортизації;

техніки повної амортизації;

техніки лінійної амортизації.

Техніки без урахування амортизації застосовується в двох випадках: або є нескінченний потік доходу (SFFО>0), або потік доходу кінцевий, але ціна продажу об'єкту рівна початковій ціні покупки (ΔO =0), тобто первинної інвестиції.

В результаті (26) набуває наступний вигляд:

                                                                              (2.27)

Вартість такої нерухомості визначається шляхом розподілу чистого операційного доходу на відповідну норму віддачі (12).

Техніки повної амортизації застосовується у випадках, коли доходи від експлуатації забезпечують не тільки формування доходу на капітал, але і повне повернення капіталу (ΔO=-1, R0=Y0+ SFFO).

В результаті (26) набуває наступний вигляд:

                                                                   (2.28)

Для розрахунку чинника фонду відшкодування (SFFПРО) використовують норму віддачі, характерну для оцінюваного проекту (техніка Інвуда) або по безризиковій ставці (техніка Хоськольда)

Техніки лінійної амортизації застосовують для визначення справжньої вартості у випадках, коли і дохід, і вартість нерухомості змінюються відомим регулярним чином.

Для обліку зміни вартості активу застосовується базова формула Еллвуда:

                                                                        (2.29)

де А - величина корегування

При цьому, якщо вартість об'єкту зменшується, то коректування А має знак «+», а якщо вартість збільшуватиметься, то коректування матиме знак «-».

Чисельне значення коректування визначається множенням відносної зміни вартості ΔO) на чинник фундації відшкодування (SFFПРО), а загальна формула для коефіцієнта капіталізації приймає вигляд (26).

Техніки іпотечно-інвестиційного аналізу забезпечують визначення вартості нерухомості з урахуванням зміни її вартості і доходу, а також з урахуванням умов фінансування. Існують дві техніки іпотечно-інвестиційного аналізу:

техніка іпотечно-інвестиційного аналізу з дисконтуванням;

модельна техніка аналізу (техніка Еллвуда).

Техніка іпотечно-інвестиційного аналізу з дисконтуванням заснована на складанні основної суми іпотечного кредиту (VM) з дисконтованою поточною вартістю майбутніх грошових надходжень і виручки від перепродажу активу:

                             (2.29)

де dEn = 1/(1+ YE)n - дисконтний множник, aEn = 1/(1- dEn)n - поточна вартість одиничного аннуітету, розраховані для т періодів при нормі віддачі на власний капітал, УE визначається тими ж техніками, що і загальна норма віддачі, IE = NOI - DS - величина доходу на власний капітал, VEn = VOn - VMn - вартість реверсії для власного капіталу, визначувана як різниця загальної вартості реверсії (VOn) і залишку платежів по кредиту (VMn).

Модельна техніка аналізу (техніка Еллвуда)

Дана техніка застосовується для окремих випадків постійності доходів і норм віддачі. В основі даної техніки лежить формула для розрахунку загального коефіцієнта капіталізації

                                                                     (2.30)

                                                (2.31)

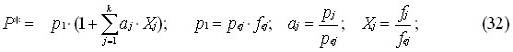
де rO - базовий коефіцієнт капіталізації, який берет за основу вимоги інвестора по нормі віддачі власного капіталу до коректувань на зміни доходу і вартості нерухомості. Якщо дохід і вартість нерухомості не змінюються, базовий коефіцієнт капіталізації відповідатиме загальному коефіцієнту капіталізації; P=[(l+Ym)N-1]/[(l+Ym)n-1] - частка кредиту, що самоамортизується, що виплатила до кінця n-го періоду, при загальному терміні кредитної угоди, рівному N літ (див. вище), Ym - ефективна ставка відсотка за цим кредитом.

2.2 Ринкова модель оцінки житлового фонду нерухомості

Ринкова (порівняльна) модель - сукупність методів оцінки вартості об'єкту житлового фонду нерухомості, заснованих на порівнянні об'єкту оцінки з аналогічними об'єктами нерухомості, відносно яких є інформація про ціни операцій з ними.

Початковою передумовою застосування ринкової моделі до оцінки нерухомості є наявність розвинутого ринку нерухомості. В основі даної моделі лежать наступні принципи оцінки нерухомості:

принцип попиту і пропозиції (існує взаємозв'язок між потребою в об'єкті нерухомості і обмеженістю її пропозиції);

принцип заміщення (обізнаний, розумний покупець не заплатить за об'єкт нерухомості більше, ніж ціна придбання (пропозиції) на тому ж ринку іншого об'єкту нерухомості, що має аналогічну корисність.).

Сутність ринкового підходу до оцінки вартості нерухомості полягає у формуванні висновку про ринкову вартість об'єкту на підставі обробки даних про ціни операцій (купівлі-продажу або оренди) з об'єктами, подібними (аналогічними) об'єкту оцінки по набору ціноутворюючих чинників (об'єктами порівняння). При цьому мається на увазі, що поняття ринкової вартості по суті своїй співпадає з поняттям рівноважної ціни, яка виявляється функцією тільки кількісних характеристик вичерпно повній сукупності ціноутворюючих чинників, що визначають попит і пропозицію для об'єктів порівняння.

Елементи і одиниці порівняння. Число елементів порівняння вельми велике, число їх поєднань - нескінченно велике, в результаті доводиться обмежуватися тільки тими об'єктивно контрольованими чинниками, які впливають на ціни операцій найістотнішим чином.

При дослідженні ринку операцій як ціноутворюючі чинники (об'єктів порівняння) розглядаються характеристики споживацьких властивостей власне об'єкту і середовища його функціонування [1]. В порівняльному аналізі операцій вивчаються тільки ті чинники, якими об'єкти порівняння відрізняються від об'єктів оцінки і між собою. В процесі дослідження виявляється вичерпний набір таких чинників і оцінюється в грошових одиницях зміна кожного чинника з цього набору.

Оскільки загальне число ціноутворюючих чинників для будь-якого об'єкту нерухомості вельми велике, в процесі дослідження за допомогою аналізу чутливості виключаються з розгляду чинники, зміна яких надає нехтуючи малий вплив на зміну ціни операції.

Проте число чинників, вплив яких повинен враховуватися, виявляється значним. Для спрощення процедур аналізу чинники, що залишилися, групуються і в цьому випадку як елементи порівняння можна розглядати згадані групи. В таблиці 4 приведений перелік таких груп, а також елементи порівняння з цих груп, що рекомендуються до використовування в аналізі.

Таблиця 2.2

Елементи порівняння, що враховуються при корегуванні цін

Група чинників

Елементи порівняння для операцій купівлі-продажу

1. Якість прав

1.1. Обтяження об'єкту договорами оренди 1.2. Сервітути і суспільні обтяження 1.3. Якість права на земельну ділянку у складі об'єкту

2. Умови фінансування

2.1. Пільгове кредитування продавцем покупця 2.2. Платіж еквівалентом грошових коштів

3. Особливі умови

3.1. Наявність фінансового тиску на операцію 3.2. Неринковий зв'язок ціни продажу з орендною ставкою 3.3. Обіцянка субсидій або пільг на розвиток

4. Умови ринку

4.1. Зміна цін в часі 4.2. Відмінність ціни пропозиції від ціни операції

5. Місцеположення

5.1. Престижність району 5.2. Близькість до центрів ділової активності і життєзабезпечення 5.3. Доступність об'єкту (транспортна і пішохідна) 5.4. Якість оточення (рекреація і екологія)

6. Фізичні характеристики

6.1. Характеристики земельної ділянки 6.2. Розміри і матеріали будов 6.3. Знос і потреба в ремонті будов 6.4. Стан навколишньої забудови

7. Економічні характеристики

7.1. Можливості ресурсозберігання 7.2. Відповідність об'єкту принципу ННЕВ

8. Сервіс і додаткові елементи

8.1. Забезпеченість зв'язком і комунальними послугами 8.2. Наявність парковки і (або) гаража 8.3. Стан системи безпеки 8.4. Наявність устаткування для бізнесу


Розглянемо приведені елементи порівняння докладніше [3].

. Якість прав для об'єктів-аналогів і об'єкту оцінки зв'язується із ступенем зниження цінності обтяженого об'єкту порівняно з об'єктом повного права власності.

.1. Обтяження об'єкту-аналога або об'єкту оцінки договором оренди із ставками орендної платні, не злагодженими з динамікою зміни ринкових умов в період дії договору оренди, може привести до зниження доходу від експлуатації об'єкту, що придбавався, порівняно з ринковим рівнем.

Якщо таке зниження торкається об'єкту-аналога, то ціна операції з ним коректується у бік збільшення. Якщо об'єкт-аналог необтяжений таким договором оренди, а об'єкт оцінки зданий в оренду на невигідних умовах, то ціна операції з об'єктом-аналогом коректується в меншу сторону.

.2. Права володіння і користування об'єктом-аналогом або об'єктом оцінки можуть обмежуватися приватним або публічним сервітутом, а також іншими обтяженнями.

Будь-яке з вказаних вище обмежень може привести до зменшення цінності об'єкту. Отже, якщо обтяження торкається об'єкту-аналога, то ціна останнього коректується у бік збільшення. Навпаки, якщо обмежуються можливості використовування об'єкту-оцінки, то ціна об'єкту-аналога зменшується па величину поправки.

.3. Відмінність якостей права на земельну ділянку у складі об'єкту-аналога або об'єкту оцінки виявляється у випадках, коли:

власник будови при операції передає покупцю не право власності, а право оренди або інше майнове право на земельну ділянку;

є або відсутній заборона на подальший продаж об'єкту без зміни (або із зміною) прав на земельну ділянку.

В даному випадку поправка може оцінюватися шляхом капіталізації змін платежів за користування землею. Інші випадки ускладнень або заборон можна буде враховувати тільки на підставі порівняльного аналізу операцій і експертних оцінок внеску конкретних особливостей обтяженні.

. При аналізі умов фінансування розглядаються суб'єктивні договірні умови розрахунків по операції, що відбулася для об'єкту-аналога і планованої для об'єкту оцінки. При цьому можливі варіанти:

.1. Продавець кредитує покупця по частині платежу за покупку з умовами, відмінними від умов на ринку капіталу (відсоток по кредиту нижче ринкового) або надає йому безпроцентне відстрочення платежів.

.2. Платіж по операції з об'єктом-аналогом повністю або частково здійснюється не грошима, а еквівалентом грошових коштів (зменшується сума готівки, що бере участь в операції), у тому числі шляхом: передачі пакету цінних паперів, включаючи застави; передачі матеріальних ресурсів.

В цьому випадку здійснюється оцінка ринкової вартості згаданого платіжного засобу і саме сума, відповідна цій вартості (а не сума, вказана в договорі купівлі-продажу нерухомості) вважається ціною (або відповідною частиною ціни) операції.

. Група чинників, іменована умовами продажу, включає інші суб'єктивні умови до говору операції, зовнішні по відношенню до об'єкту і що розглядаються у разі їх відмінності від умов, передбачених визначенням оцінюваного виду вартості.

.1. Фінансовий тиск обставин, пов'язаних з банкрутством або реалізацією зобов'язань приводить до вимушеного прискорення здійснення операції, тобто час експозиції об'єкту на ринку явно зменшене в порівнянні з ринковим маркетинговим періодом. В цьому випадку продаж скоюється терміново за рахунок зниження ціни.

Облік впливу фінансового тиску на операцію споріднених зв'язків, партнерських і інших відносин виявляється можливим лише на рівні експертних оцінок, що спираються на аналіз реальної ситуації. Частіше за все такі оцінки зробити скрутно і операції з об'єктами-аналогами, обтяженими такого типу тиском, з розгляду виключаються.

.2. Облік впливу на ціни операцій неринкових співвідношень між орендною платнею і ціною операції необхідний у випадках, коли покупець і продавець зв'язаний між собою відносинами купівлі-продажу і оренди одночасно.

Поширеною є ситуація, коли покупець дає дозвіл продавцю орендувати приміщення (повністю або частково), що продаються, протягом довгого часу після продажу. Для зниження податкових платежів сторони домовляються про одночасне зниження (проти ринкових цін) ціни купівлі-продажу і контрактних орендних ставок. Коректування ціни операції об'єкту-аналога можна виконати, виходячи з умови, що продавець кредитує покупця.

До даних елементів порівняння відноситься також випадок продажу об'єкту-аналога орендодавцем орендарю на умовах, передбачених опціоном, умови якого не відповідають ринковим умовам на дату продажу.

.3. Наявність або перспектива отримання урядової або іншої субсидії для розвитку інфраструктури або можливість пільгового кредитування розвитку об'єкту можуть додатково стимулювати покупців, забезпечуючи перевищення ціни операції над ринковий обґрунтованою величиною. Величина поправки може бути оцінений, виходячи з припущення, що субсидії зменшать в майбутньому внесок покупця в розвиток інфраструктури на цю величину. Така оцінка здійснюється порівнянням конкретних даних про норми відрахування засобів на інфраструктуру в районі розташування об'єкту оцінки і об'єкту-аналога. При обіцянці пільгового кредитування поправка оцінюється, виходячи з поточної вартості різниці між річними платежами по пільговому і ринковому кредитуванню.

. Умови ринку пов'язані із змінами співвідношення попиту і пропозиції, у тому числі через зміну пріоритетів по функціональному використовуванню об'єктів оцінюваного типу. Ці зміни впливають і па величину відмінності ціни пропозиції від ціни операції.

.1. Умовами ринку визначається зміна цін на нерухомість за проміжок часу від моменту здійснення операції з об'єктом-аналогом до дати оцінки. Коректуванню підлягають відмінності в ринкових цінах на об'єкти нерухомості, що мають призначення, аналогічне об'єкту оцінки, але передані раніше від продавця до покупця в момент, «віддалений» від моменту оцінки більш ніж на один місяць. Наближена оцінка величини поправки на час операції з об'єктом-аналогом здійснюється на основі аналізу зміни в часі індексу інфляції, цін на будівельну продукцію, а також цін операцій з нерухомістю в різних сегментах ринку.

.2. Якщо для об'єкту-аналога відома ціна пропозиції, вона коректується внесенням поправки (як правило, у бік зменшення), визначеної на основі експертних оцінок операторів ринку нерухомості.

. До чинників місцеположення відносяться:

.1. Престижність району розташування об'єкту, як соціальний чинник, що характеризується зосередженням в мікрорайоні знаменитих користувачів або об'єктів, у тому числі історичних і архітектурних пам'ятників, заповідних зон, інших визначних пам'яток.

.2. Віддаленість його від центру ділової активності і життєзабезпечення, у тому числі від адміністративних, суспільних, фінансових, торгових, складських комплексів, джерел постачання ресурсами.

.3. Транспортна і пішохідна доступність об'єкту, у тому числі близькість його до основних і допоміжних транспортних магістралей, до парковок для автомобілів і до зупинок суспільного транспорту.

.4. Якість найближчого оточення, у тому числі тип забудови і архітектурні особливості будов, близькість до рекреаційної зони - лісу, парку, озеру, річці, а також віддаленість від джерел екологічного дискомфорту - звалищ, хімічних і інших шкідливих виробництв.

Вплив відмінностей всіх чинників цієї групи на ціни операцій з об'єктами-аналогами і об'єктами оцінки враховується при коректуванні ціп операцій техніками порівняльного аналізу на основі ринкових даних.

. Фізичними характеристиками володіють земельна ділянка і поліпшення.

.1. До характеристик земельної ділянки відносяться: розмір, форма, топографічні і геологічні параметри, рівень підготовленості (позбавлення від рослинності і нерівностей) земельної ділянки і якість грунтового покриву. При цьому з топографічних параметрів ділянки найважливішими є нерівності поверхні, наявність схилів, горбів, ровів і скельних утворень.

З геологічних параметрів найбільшої уваги заслуговують прочностные характеристики (несуча здатність) порід земної кори під ділянкою, наявність і режими прояву грунтових вод.

Корисні також відомості про можливе залягання корисних копалин (як джерелі можливих обтяженні в майбутньому).

.2. З характеристик поліпшень основну увагу надається розмірам будівлі, включаючи будівельний об'єм, поверховість і номер поверху приміщення. Враховуються розміри приміщень, у тому числі загальна площа всіх приміщень, площі основних, допоміжних і технічних приміщень, висота стель. Істотний вплив на ціни операцій надають тип і якість матеріалів, з яких виготовлені елементи конструкцій.

.3. До складу важливих чинників включені: стан елементів конструкцій, потреба в їх реконструкції і ремонті, зовнішній вигляд будови (архітектурний стиль) і стан фасаду, орієнтація входу (в двір або на вулицю).

.4. Окрім характеристик власне будови, істотними виявляються і характеристики оточення: тип і архітектура навколишньої забудови, стан фасадів будов і упорядкувала території, забрудненість ґрунту і повітряного середовища.

Коректування по більшості чинників цієї групи здійснюються на підставі порівняння цін операцій. Коректування на відмінність розмірів приміщень і будівельного об'єму здійснюється на основі даних про ринкову вартість одиниці площі або одиниці об'єму будови даного типу. Поправки на відмінності величин площі земельних ділянок у складі об'єкту-аналога і об'єкту оцінки визначаються на основі даних про ринкову вартість одиниці площі земельної ділянки. При оцінці і внесенні поправок до цін операцій з об'єктами-аналогами, що мають розміри, відмінні від розмірів об'єкту оцінки, корисним буде використовування технік коректування питомих цін.

Поправки, пов'язані з потребою в ремонті, розраховуються по величині витрат на проведення ремонтних робіт з додаванням прибутку підприємця, розрахованого по нормі віддачі на капітал, вкладений в нове будівництво.

. До економічних відносяться характеристики, які роблять вплив на прибутковість об'єкту.

.1. Істотними для економіки і цінності об'єкту є можливості економії ресурсів.

Від відношення корисної площі до загальної площі приміщень залежить характеристика прибутковості об'єкту: чим більше це відношення, тим більше відношення доходу до витрат на експлуатацію об'єкту і тим менше частка суми, що підлягає резервуванню на відтворювання об'єкту (повернення капіталу) в чистому доході від здачі об'єкту в оренду. Коректування на відмінність цієї характеристики для об'єкту-аналога і об'єкту оцінки може бути виконано капіталізацією перевитрати засобів на податки, страховку, експлуатаційні, комунальні платежі і інші операційні витрати за «надмірні квадратні метри» допоміжних і технічних приміщень.

Неможливість контролю (за відсутності лічильників витрат) і мінімізації втрат тепла і інших ресурсів (через конструктивні особливості поліпшень) веде до збільшення коефіцієнта операційних витрат, а також до зменшення чистого операційного доходу і вартості. Втрата вартості унаслідок відсутності лічильників може бути оцінений як вартість установки останніх.

Втрати вартості через недоліки проекту або конструкцій, що приводять до відмінності витрат ресурсів для об'єкту оцінки і об'єкту-аналога, оцінюються по різниці коефіцієнтів операційних витрат.

.2. Використовування об'єкту-аналога до і після продажі може не повною мірою відповідати принципу якнайкращого і найефективнішого використовування (ННЕВ). Так, наприклад, при виконанні обов'язкової вимоги про відповідність цьому принципу набору функцій, реалізовуваних на об'єкті, вельми часто не повною мірою реалізується потенціал об'єкту для витягання ковзаючих або інших доходів, не використовуються додаткові заходи стимулювання орендарів для зменшення втрат від нсдозагрузки і неплатежів. Ця обставина повинна враховуватися шляхом коректування ціни операції з об'єктом-аналогом.

. Наявність або відсутність необхідних або бажаних елементів сервісу, включаючи додаткові компоненти, що не відносяться до нерухомості, може робити істотний вплив на ціну операції.

.1. Відсутність або недоліки телефонних ліній, центральної або місцевої системи опалювання, системи газо-, водо- і енергопостачання, каналізаційних систем приводить до зниження цінності об'єкту. За наявності цих недоліків у об'єкту-аналога ціну операції належить коректувати у бік збільшення. Якщо ці недоліки властиві об'єкту оцінки, то ціна операції з об'єктом-аналогом коректується у бік зменшення. За наявності магістральних комунікацій відповідного профілю поблизу об'єкту величина коректування визначається витратами на підключення до цих комунікацій з урахуванням прибутку підприємця. За відсутності магістральних комунікацій коректування визначаються витратами на створення автономних систем забезпечення об'єкту ресурсами і видалення відходів (також з урахуванням прибутку підприємця).

.2. Для реалізації більшості прибуткових функцій вельми важливою умовою є наявність парковки для автотранспорту. При цьому еталонним вважається варіант, коли мінімальне число парковочных місць не менше за максимально можливий. Будь-яке відхилення від вимоги «еталона» приводить до необхідності відповідного коректування ціни операції (як правило, шляхом капіталізації майбутніх витрат покупця на постійну або тимчасову оренду частини прилеглих територій).

.3. Наявність або відсутність на об'єкті технічних засобів систем безпеки (в достатній кількості і належної якості), а також договірних відносин з надійною службою безпеки роблять (за рідкісними виключеннями в нетипових випадках) вплив на суму операції. В цьому випадку коректування ціни операції можна виконати шляхом додавання (виключення) витрат (з прибутком підприємця) на установку (ремонт, заміну) устаткування і пошук партнера з числа фірм, що спеціалізуються на забезпеченні безпеки.

.4. Нерідко в ціну продажу об'єкту-аналога включаються предмети власності, що не є елементами об'єкту нерухомості: торгівлі або офісне устаткування, особисте майно власника або керівника (перший варіант). Іноді такого роду елементи виявляються у складі нерухомого майна, що є об'єктом оцінки (другий варіант). В таких випадках скоректована ціна операції (розрахункова ціна об'єкту оцінки) знаходиться шляхом зменшення ціни (в першому варіанті) або збільшення (в другому варіанті) ціни операції з об'єктом-аналогом на розрахунок.

Реалізація чинників даної групи веде до збільшення ставки орендної платні. Якщо ці елементи властиві тільки об'єкту-аналогу і не реалізовані для об'єкту оцінки, то ставка орендної платні об'єкту-аналога підлягає коректуванню у бік зменшення. Розміри коректувань визначаються порівняльним аналізом ринкових операцій за договорами оренди, а також оцінками додаткових витрат на придбання сервісних послуг орендарями самостійно, «на стороні».

Послідовність внесення коректувань здійснюється таким чином [4]:

коректування з першого по четвертий елемент порівняння здійснюються завжди у вказаній черговості, після кожного коректування ціна продажу порівнянного об'єкту перераховується наново (до переходу до подальших коректувань);

подальші (після четвертого елемента порівняння) коректування можуть бути виконаний у будь-якому порядку, після кожного коректування ціна продажу порівнянного об'єкту наново не перераховується.

Одиниці порівняння для об'єкту-аналога і об'єкту оцінки (питомі характеристики) використовують на противагу помітному дефіциту надійних даних про ринкові операції.

Виділяють наступні одиниці порівняння:

. для земельної ділянки без поліпшень використовуються питомі характеристики (питомі ціни):

.1. ціна за одиницю площі ділянки:

квадратний метр - для ділянок під забудову в населеному пункті;

«сотка» (сотня кв. м) - для ділянок під садівництво або індивідуальне житлове будівництво зовні населеного пункту;

гектар (десять тисяч кв. м) - для сільськогосподарських і лісових угідь;

.2. ціна за одиницю довжини (погонний метр) межі ділянки уздовж «червоної лінії» (транспортної або пішохідної магістралі) - для об'єктів торгового, складського, виробничого призначення, успішність бізнесу яких залежить від доступності об'єктів для відвідин їх покупцями і користувачами, для доставки і відправлення вантажів;

.3. ціна за ділянку площею, стандартною для даного типу функціонального використовування;

. для земельної ділянки з поліпшеннями як питома характеристика приймається питома ціна одиниці вимірювання кількості ціноутворюючого чинника для компоненту власності, що вносить найбільший внесок у вартість всього об'єкту. Якщо вартість будови явно більше вартості земельної ділянки, то як основна одиниця порівняння для всього об'єкту використовується питома ціна для будови:

.1. ціна за одиницю корисної (орендної, загальної) площі будови (кв. м);

.2. ціна за одиницю об'єму будови;

.3. ціна за квартиру або кімнату;

.4. ціна за один елемент об'єкту, який дає дохід (посадочне місце в ресторані або театрі, місце або номер в готелі);

. для характеристики віддаленості об'єкту від якої-небудь точки «тяжіння» доцільно використовувати проміжок часу, протягом якого можна доїхати від об'єкту до цієї крапки суспільним або індивідуальним транспортом (залежно від призначення об'єкту). В цьому випадку як одиниця порівняння можна розглядати ціну одиниці вимірювання згаданого проміжку часу.

В даній моделі використовують два основні методи.

метод моделювання ринкового ціноутворення;

метод порівняльного аналізу операцій.

Метод моделювання ринкового ціноутворення, передбачає побудову лінійної або мультиплікативної залежності відповідно типу (32) або (33) шляхом статистичної обробки достатньо великого масиву даних про операції, що відбулися, з об'єктами порівняння

(2.32)

або

(2.33)

де P* - ринкова вартість (рівноважна ціна); fj - елемент порівняння; fj і fej - кількісні характеристики j-гo чинника порівняння відповідно для будь-якого об'єкту порівняння і для деякого спеціально підібраного «еталонного об'єкту»; pj = Pfj/fj - питома характеристика цінності чинника одиниці вимірювання, де Pfj - ціна j-гo чинника розміром fj.

Вказана залежність призначається для тривалого використовування в оцінці безлічі об'єктів, що вимагає забезпечення коректування цієї залежності в часі на основі моніторингу ринку нерухомості. При цьому згаданий набір ціноутворюючих чинників (елементів порівняння) включає не тільки чинники, характеризуючі самі об'єкти, але також і чинники, що визначають єдину для всіх об'єктів фізичне, юридичне, економічне і соціальне середовище їх функціонування.

Метод моделювання ринкового ціноутворення вимагає вельми великих витрат ресурсів, застосовується він лише в масовій оцінці для мети державного управління (при визначенні бази оподаткування нерухомості [4] або ставок орендної платні для здачі в оренду державного майна [2]).

Метод порівняльного аналізу операцій спирається на аналіз цін невеликого числа ринкових операцій з об'єктами порівняння, відібраними по ознаці найбільшої близькості до об'єкту оцінки не тільки набором (як в методі моделювання ринкового ціноутворення), але і величинами характеристик ціноутворюючих чинників. При цьому об'єкти порівняння називаються також об'єктами-аналогами і відбираються для аналізу з числа об'єктів, що мають функціональне призначення, аналогічне призначенню об'єкту оцінки і відповідне принципу якнайкращого і найефективнішого використовування даного типу об'єктів нерухомості.

Реалізація методу порівняльного аналізу операцій припускає наступну послідовність етапів:

аналіз ринкової ситуації по об'єктах нерухомості даного типу, регіону і вибір інформаційного масиву для реалізації подальших етапів;

визначення одиниць порівняння і показників (елементів порівняння), істотно впливаючих на вартість даного об'єкту нерухомості;

розробка моделі, яка зв'язує одиниці порівняння з показниками (елементами) порівняння;

розрахунок коректувань показників (елементів порівняння) за даними ринку;

застосування моделі до об'єктів порівняння для розрахунку скоректованих цін продажів об'єктів порівняння;

аналіз скоректованих цін продажів об'єктів порівняння для визначення вартості оцінюваного об'єкту.

При реалізації даного методу використовують процентні і вартісні поправки.

Процентні (відносні) поправки вносяться шляхом множення ціни продажу об'єкту-аналога або його одиниці порівняння на коефіцієнт, що відображає ступінь відмінностей в характеристиках об'єкту-аналога і оцінюваного об'єкту. Якщо оцінюваний об'єкт краще за зіставний аналог, то до ціни останнього вноситься коефіцієнт, що підвищує, якщо гірше - знижуючий.

Вартісні (абсолютні) поправки змінюють ціну проданого об'єкту-аналога на певну суму, в яку оцінюється відмінність в характеристиках об'єкту-аналога і оцінюваного об'єкту. Позитивна поправка вноситься, якщо оцінюваний об'єкт краще за зіставний аналог, негативна, якщо гірше.

Підсумкові значення скоректованих цін продажів порівнянних об'єктів можуть не співпадати. У зв'язку з цим вибір значення скоректованої ціни продажу як базис для визначення ринкової вартості оцінюваного об'єкту нерухомості заснований на виборі підсумкової скоректованої ціни продажу порівнянного об'єкту (або об'єктів), по якому абсолютне підсумкове значення коректувань мінімально або число коректувань мінімально. Це правило виходить з теоретичної передумови адекватності ціни продажу найподібнішого порівнянного об'єкту (по всіх даних характеристиках) ринкової вартості оцінюваного об'єкту.

Метод порівняльного аналізу продажів реалізується двома групами технік, що розрізняються інструментами аналізу і способами «приведення» цін операцій з об'єктами-аналогами до ціни об'єкту оцінки:

техніки кількісного аналізу;

техніки якісного аналізу

Техніки кількісного аналізу:

техніки компенсаційних коректувань цін;

техніки аналізу чинника.

Техніки компенсаційних коректувань цін передбачають внесення поправки в ціну операції з об'єктом-аналогом, володіючим деяким недоліком порівняно з об'єктом оцінки. При цьому поправка вважається рівній розрахунковій надбавці до цієї ціни, що забезпечує «компенсацію» згаданого недоліку об'єкту-аналога.

Розглянемо декілька варіантів реалізації цих технік, спираючись на техніки прибуткового підходу до оцінки вартості.

Коректування цін у зв'язку з обтяженням об'єкту-аналога або об'єкту оцінки договором оренди розраховується на основі визначення упущеної (додаткової) вигоди від продажу об'єкту нерухомості відповідно до заниженої (завищеної) контрактної орендної платні, а також при необхідності рівнем втрат від недовантаження і неплатежів.

Коректування цін у зв'язку з різними умовами фінансових розрахунків при придбанні об'єкту-аналога або об'єкту оцінки оренди розраховується на основі виявлення тенденції зміни вартості нерухомості або за допомогою індексів, що відображають вартість будівельної продукції, або за допомогою хронологічної статистики, що показує пряму динаміку зміни цін на нерухомість.

Техніка парного порівняння цін операцій полягає в тому, що ціна об'єкту оцінки розраховується шляхом коректування ціни операції з відповідним об'єктом-аналогом по кожному елементу порівняння з використанням поправки, розмір якої визначається як різниця цін операцій для пар об'єктів-аналогів, відмінних тільки цим елементом порівняння.

Техніка побудови трендів заснована на описі регресійним рівнянням даних про ціни ринкових операцій з об'єктами-аналогами, що розрізняються величиною кількісної характеристики тільки одного з ціноутворюючих чинників, - за наявності монотонної залежності ціни від кількісної характеристики вказаного чинника.

Техніки лінійної алгебри засновані на застосування замкнутих систем рівнянь алгебри (число операцій перевищує число елементів порівняння).

Техніка множинного регресійного аналізу заснована на застосування диференціювання для розрахунку коефіцієнтів замкнутих систем рівнянь алгебри.

Техніки якісного аналізу включають наступні техніки:

техніка якісного порівняння цін;

техніка кваліметричного моделювання.

Техніка якісного порівняння цін (ТЯП) застосовується в умовах ринку нерухомості, що розвивається, коли число операцій не перевищує число елементів порівняння.

Дана техніка заснована на порівнянні об'єкту оцінки по черзі з кожним з об'єктів порівняння по всіх ціноутворюючих чинниках, з позначенням напряму коректувань і подальшим ранжируванням об'єктів по напряму, співпадаючим з напрямом більшості коректувань.

При цьому для позначення елементів порівняння можуть використовуватися якісні характеристики: «значно краще», «трохи краще», «рівний», «трохи гірше», «значно гірше», або п’яти бальна шкала: -2, 1, 0, 1, 2 або 0, 1, 2, 3, 4.

Крім того, для кожного елемента порівняння можуть бути введений експертно оцінювані коефіцієнти значущості (коефіцієнти важливості або умовних терезів). Проте, відсутність достатнього обгрунтовування вибору коефіцієнтів значущості не тільки не гарантує поліпшення результату розрахунку, але може навіть усугубляти помилку.

Розглянемо приклад визначення ринкової вартості об'єкту нерухомості на основі якісного аналізу порівнянних продажів.

Техніка кваліметричного моделювання реалізується шляхом аналізу ринкових даних про операції, а також експертних оцінок якості об'єктів і середовища. При цьому всі властивості об'єкту і середовища як ціноутворюючі чинники, представляються у вигляді ієрархічної структури («дерева») взаємозв'язаних властивостей (якостей) об'єкту, які відображають що визнаються продавцем переваги покупців. Також береться до уваги, що ціна об'єкту є результатом операції, в якій продавець і покупець, діючи в своїх інтересах, виступають як експерти, що формують свої висновки на основі власного досвіду або на основі рекомендацій експертів-оцінювачів.

Завершуючи розгляд ринкового підходу до оцінки вартості об'єкту, відзначимо його переваги і недоліки.

Переваги ринкового підходу:

) В підсумковій вартості відображається думка типових продавців і покупців.

) В цінах продажів відбивається зміна фінансових умов і інфляція.

) Статично обґрунтований.

) Вносяться коректування на відмінності порівнюваних об'єктів.

) Достатньо простий в застосуванні і дає надійні результати.

До недоліків ринкового підходу можна віднести:

) Відмінності продажів.

) Складність збору інформації про практичні ціни продажів.

) Проблематичність збору інформації про специфічні умови операції.

) Залежність від активності ринку.

) Залежність від стабільності ринку.

) Складність узгодження даних про продажі, що істотно розрізняються.

2.3 Витратна модель оцінки житлового фонду нерухомості

Витратна модель - сукупність методів оцінки вартості об'єкту житлового фонду нерухомості, заснованих на визначенні витрат, необхідних для відновлення або заміщення об'єкту нерухомості, з урахуванням його зносу. Витратний підхід заснований на принципі заміщення, згідно якому передбачається, що розумний покупець не заплатить за об'єкт нерухомості більше, ніж вартість будівництва об'єкту, аналогічного по своїй корисності оцінюваному об'єкту. Згідно витратному підходу загальна вартість об'єкту нерухомості (Соб) визначається як суми вартості ділянки землі (Сзу) і відновної вартості (вартості заміщення або відтворювання) об'єкту нерухомості (Свс) за мінусом накопиченого зносу (Сиз)

                                                                  (2.34)

Застосування витратного підходу до оцінки нерухомості складається з наступних етапів:

оцінка ринкової вартості земельної ділянки;

оцінка відновної вартості (вартості заміщення) оцінюваної будівлі, у тому числі оцінка величини підприємницького прибутку;

розрахунок виявлених видів зносу;

Визначення вартості ділянки землі, що входить до складу оцінюваної витратним методом нерухомості, засновано на припущенні його якнайкращого і найефективнішого використовування як вільного від забудови.

Для оцінки ринкової вартості землі застосовують наступні методи:

метод порівняння продажів;

метод розподілу;

метод виділення;

метод розбиття на ділянки;

техніка залишку для землі;

капіталізації чистої земельної ренти.

Метод порівняння продажів за наявності необхідної інформації є найпереважнішим і загальнозастосовним. Основними елементами порівняння для землі є: права власності; умови фінансування; умови продажу; умови ринку; місцерозташування; фізичні характеристики; доступні комунальні послуги; умови зонування; якнайкраще і найефективніше використовування.

При оцінці землі можна використовувати декілька одиниць порівняння, коректуючи ціну кожної з них і набуваючи в кінці декілька значень вартості, що визначають діапазон вартості.

Метод розподілу заснований на положенні про те, що для кожного типу нерухомості існує нормальне співвідношення між вартістю землі і вартістю споруд. Таке співвідношення найбільш достовірно для нових поліпшень, які відображають якнайкраще і найефективніше використовування землі.

Визначення відновної вартості (вартості заміщення) оцінюваної будівлі засновано на включення у вартість нового будівництва прямих і непрямих витрат.

Прямі витрати - витрати, безпосередньо пов'язані з будівництвом, і в загальному випадку включають: вартість будівельних матеріалів, виробів і устаткування; вартість експлуатації будівельних машин і механізмів; основну заробітну платню будівельних робітників; вартість тимчасових будівель, споруд і інженерних сітей; прибуток і невигідні витрати підрядчика.

Непрямі витрати - витрати, супутні, але не що відносяться безпосередньо до будівництва. Непрямі витрати звичайно включають:

витрати на підготовку території будівництва;

витрати на проектні і дослідницькі роботи;

інші витрати і роботи;

зміст дирекції (технічний нагляд) підприємства (установи), що будується, витрати на авторський нагляд;

інші види непрямих витрат.

Визначення значень прямих витрат засновано на застосуванні загальних правил визначення кошторисної вартості будівництва, висловлених в діючих нормативних і керівних документах.

Розрахунки значень прямих витрат можуть бути виконаний одним з двох способів:

перерахунком відомої величини кошторисної вартості будівництва із застосуванням індексів;

шляхом складання відновного кошторису на об'єкт оцінки.

За відсутності проектно-кошторисної документації на об'єкт оцінки слід відновити кошторис одним з двох способів:

по укрупнених кошторисних нормативах (метод порівняльної одиниці);

по збірках одиничних розцінок і прейскурантах (метод кількісного аналізу).

Використовування укрупнених кошторисних нормативів для обчислення прямих витрат допустимо для типових проектних вирішень будівель і споруд, а також повторно вживаних економічних індивідуальних проектів.

Для мети оцінки ринкової вартості нерухомості застосовують наступні види укрупнених показників:

укрупнені показники кошторисної вартості (УПКВ);

укрупнені кошторисні норми (УКН) на будівлі, споруди, конструкції і види робіт;

прейскуранти на будівництво будівель і споруд (ПББС);

укрупнені показники відновної вартості для мети переоцінки основних фундацій.

При цьому вартість будівельно-монтажних робіт може приводитися з розбиттям по видах робіт і комплексах будівельних конструкцій (метод розбиття на компоненти).

Значення непрямих витрат, як правило, визначаються як відсоток від прямих витрат за ринковими даними.

Прибуток підприємця визначається як сума, яку підприємець чекає отримати у вигляді премії за використовування свого капіталу. Значення прибутку підприємця приймається за ринковими даними.

Визначення зносу оцінюваної будівлі

Знос - це зменшення вартості об'єкту нерухомості, обумовлене різними причинами. Знос звичайно виміряють у відсотках, а вартісним виразом зносу є знецінення.

Накопичений (сукупний) знос об'єкту оцінки - сукупність всіх можливих видів зносу, який характеризується зменшенням корисності об'єкту нерухомості, його споживацької привабливості з погляду потенційного інвестора і виражається в зниженні з часом вартості (знеціненні) під впливом різних чинників.

У міру експлуатації об'єкту поступово погіршуються параметри, що характеризують конструктивну надійність будівель і споруд, а також їх функціональна відповідність поточному і тим більше майбутньому використовуванню, пов'язані з життєдіяльністю людини. Крім того, на вартість нерухомості в не меншому ступені роблять вплив і зовнішні чинники, обумовлені зміною ринкового середовища, накладенням обмежень на певне використовування будівель і т.д.

Знос в оцінній практиці необхідно відрізняти по значенню від подібного терміну, що використовується в бухгалтерському обліку (нарахування зносу). Оцінний знос - один з основних параметрів, що дозволяють розрахувати поточну вартість об'єкту оцінки на конкретну дату.

Таким чином, облік зносу об'єкту - це свого роду коректування вартості знов відтвореної будівлі (відтвореного за допомогою витратного підходу) для того, щоб визначити вартість оцінюваного об'єкту.

Сукупний накопичений знос є функцією часу життя об'єкту. Розглянемо основні оцінні поняття, що характеризують цей показник.

Фізичне життя будівлі (ФЖ) - період експлуатації будівлі, протягом якої стан несучих конструктивних елементів будівлі відповідає певним критеріям (конструктивна надійність, фізична довговічність і т.п.). Термін фізичного життя об'єкту закладається при будівництві і залежить від групи капітальної будівель. Фізичне життя закінчується, коли об'єкт зноситься.

Хронологічний вік (ХВ) - період часу, що пройшов з дня введення об'єкту в експлуатацію до дати оцінки.

Економічне життя (ЕЖ) - час експлуатації, протягом якого об'єкт приносить дохід. В цей період поліпшення, що проводяться, вносять внесок у вартість об'єкту. Економічне життя об'єкту закінчується, коли експлуатація об'єкту не може принести дохід, позначений відповідною ставкою по зіставних об'єктах в даному сегменті ринку нерухомості. Поліпшення, що при цьому проводяться, вже не вносять внесок у вартість об'єкту унаслідок його загального зносу.

Ефективний вік (ЕВ) розраховується на основі хронологічного віку будівлі з урахуванням його технічного стану і що склалися на дату оцінки економічних чинників, що впливають на вартість оцінюваного об'єкту. Залежно від особливостей експлуатації будівлі ефективний вік може відрізнятися від хронологічного віку у велику або меншу сторону. У разі нормальної (типової) експлуатації будівлі ефективний вік, як правило, рівний хронологічному.

Термін економічного життя будівлі, що залишився, - період часу від дати оцінки до закінчення його економічного життя.

Суб'єктивність визначення таких показників, як термін економічного життя і ефективний вік, вимагає від оцінювача достатньо високої кваліфікації і чималого практичного досвіду.

Для визначення величини накопиченого зносу використовую наступні методи [1]:

метод порівняння продажів;

бухгалтерський;

метод розбиття.

Метод порівняння продажів заснований на визначенні величини накопиченого зносу як різниці між вартістю нового будівництва і вартістю споруди на дату оцінки, при цьому наявність достовірних даних про продажі подібних об'єктів і вартості вільних ділянок землі є необхідною умовою.

У вартісному виразі сукупний знос є різницею між відновною вартістю і ринковою ціною оцінюваного об'єкту:

                                                        (2.35)

Бухгалтерський метод розрахунку зносу заснований на використовуванні бухгалтерських методів, тобто на визначенні відношення хронологічного віку об'єкту до його нормативного терміну служби, визначуваний на підставі єдиних норм амортизаційних відрахувань.

Метод розбиття полягає в докладному розгляді і обліку всіх видів зносу, до яких відносять :

усунений і неусувний фізичний знос;

усунений і неусувний функціональний знос;

зовнішній знос.

Усунений (поправний) знос - це знос, усунення якого фізично можливо і економічно доцільно, тобто вироблювані витрати на усунення того або іншого виду зносу сприяють підвищенню вартості об'єкту в цілому.

Неусувний (непоправний) знос - це знос, усунення якого або фізично не можливо або економічно недоцільно, тобто вироблювані витрати на усунення того або іншого виду зносу не сприяють підвищенню вартості об'єкту в цілому.

Для застосування методу розбиття при визначенні накопиченого зносу необхідно як розрахункова база мати дані об вартості нового будівництва, виконані з розбиттям по конструктивних елементах.

Фізичний знос - поступова втрата спочатку закладених при будівництві технико-експлуатаційних якостей об'єкту під впливом природно-кліматичних чинників, а також життєдіяльності людини. Фізичний знос відбиває зміни фізичних властивостей об'єкту нерухомості з часом (наприклад, дефекти конструктивних елементів).

Існують чотири основні методи розрахунку фізичного зносу:

експертний (нормативний);

вартісної;

метод розрахунку терміну життя будівлі.

Експертний метод розрахунку фізичного зносу заснований на створенні дефектної відомості і визначення відсотків зносу всіх конструктивних елементів будівлі або споруди. Експертний метод є найточнішим, але і самим трудомістким.

Даний метод припускає використовування різних нормативних інструкцій міжгалузевого або відомчого рівня. Фізичний знос будівлі визначається таким чином:

                                       (2.36)

Де Fф - фізичний знос будівлі (%);- фізичний знос i-го конструктивного елемента (%);- коефіцієнт, відповідний довше відновній вартості i-го конструктивного елемента (ділянки) в загальній вартості будівлі;- кількість конструктивних елементів в будівлі

Частки відновної вартості окремих конструкцій, елементів і систем в загальній відновній вартості будівлі, слід приймати по укрупнених показниках відновної вартості житлових будівель, затверджених в установленому порядку, а для конструкцій, елементів і систем, затверджених показників, що не мають, - по їх кошторисній вартості.

Вартісної метод розрахунку фізичного зносу заснований на припущенні про те, що фізичний знос на момент оцінки виражається співвідношенням вартості об'єктивно необхідних ремонтних заходів, що знімають пошкодження конструкції, елемента або будівлі в цілому, і їх відновною вартістю.

Даний метод дозволяє відразу розрахувати знос елементів і будівлі в цілому у вартісному виразі. Оскільки розрахунок знецінення проводиться на основі розумних фактичних витрат на доведення зношених елементів до «практично нового стану», результат по даному підходу можна вважати достатньо точним. Недоліки методу - обов'язкова деталізація і точність розрахунку витрат на проведення ремонту зношених елементів будівлі.

Метод розрахунку терміну життя будівлі заснований на припущенні про те, що співвідношення між фізичним зносом (ФИ) і відновною вартістю (Вс) визначається співвідношенням між ефективним віком (ЕФ) і типовим терміном економічного життя (ФЖ):

                                                                 (2.37)

Визначення величини фізичного зносу складається з декількох послідовних етапів:

визначення величини поправного фізичного зносу;

визначення величини непоправного фізичного зносу в короткоживучих елементах;

визначення величини непоправного фізичного зносу в довгоживучих елементах.

Визначення величини поправного фізичного зносу (його називають також відкладеним ремонтом, оскільки передбачається, що типовий покупець проведе негайний ремонт, щоб відновити нормальні експлуатаційні характеристики споруди: косметичний ремонт, відновлення ділянок протікаючої крівлі, ремонт інженерного устаткування і т.д.) здійснюється з використанням вартісного або експертного методу розрахунку фізичного зносу.

Непоправний фізичний знос відповідає позиціям, виправлення яких в даний час практично неможливе або економічно недоцільно. Величина цього типу зносу визначається на базі різниці між повною відновною (або заміщаючої) вартістю і сумою усуненого фізичного зносу.

Для мети розрахунку зносу елементи споруди, що мають неусувний фізичний знос, ділять на довгоживучі і короткоживучі.

У довгоживучих елементів очікуване залишкове життя співпадає із залишковим економічним життям всієї споруди. Короткоживучі елементи мають менше залишкове економічне життя, ніж вся споруда.

Для оцінки непоправного фізичного зносу в короткоживучих елементах використовують метод розрахунку терміну життя будівлі: різницю між повною відновною (або заміщаючої) вартістю елемента і сумою поправного зносу елемента умножають на відношення дійсного віку до загального фізичного життя елемента.

При цьому загальне фізичне життя елемента визначається за довідковими даними, що враховують періодичні ремонти і підтримку нормальних експлуатаційних характеристик.

Для оцінки непоправного фізичного зносу в довгоживучих елементах використовують також метод розрахунку терміну життя будівлі: величину поправного фізичного зносу і суми відновної вартості короткоживучих елементів з непоправним фізичним зносом віднімають з повної відновної (або заміщаючої) вартості і отриманий результат умножають на залишкову відновну (або заміщаючу вартість) довгоживучих елементів, а також відношення дійсного віку до загального фізичного життя будівлі.

Загальне фізичне життя будівлі визначається залежно від типу основних конструктивних елементів для різних категорій будівель по довговічності. Класифікація житлових і суспільних будівель по довговічності приведена в нормативній літературі.

Функціональний знос - це втрата у вартості, викликана тим, що об'єкт не відповідає сучасним стандартам: з погляду його функціональної корисності, по архітектурно-естетичних, об'ємно-планувальних, конструктивних рішеннях, упорядкувала, безпеці, комфортності і іншим функціональним характеристикам.

Розрізняють наступні види функціонального зносу:

знос поправний (якщо додатково отримана вартість перевищує витрати на відновлення);

знос непоправний (якщо додатково отримана вартість не перевищує витрати на відновлення).

Поправний функціональний знос вимірюється вартістю його виправлення і викликається:

недоліками, що вимагають додавання елементів;

недоліками, що вимагають заміни або модернізації елементів;

«сверхпокращення».

Недоліки, що вимагають додавання елементів - елементи будівлі і устаткування, яких немає в існуючій будівлі і без яких воно не може відповідати сучасним експлуатаційним стандартам.

Кількісним вимірником поправного функціонального зносу за рахунок недоліків, що вимагають додавання, є різниця між вартістю виконання необхідних додавань на момент оцінки і вартістю виконання цих же додавань, якби вони були виконані при будівництві об'єкту оцінки.

Недоліки, що вимагають заміни або модернізації елементів - елементи будівлі і устаткування, які є в існуючій будівлі і ще виконують свої функції, але вже не відповідають сучасним експлуатаційним стандартам.

Поправний функціональний знос за рахунок позицій, що вимагають заміни або модернізації, вимірюється як вартість існуючих елементів з урахуванням їх фізичного зносу, мінус вартість повернення матеріалів, плюс вартість демонтажу існуючих і плюс вартість монтажу нових елементів. При цьому вартість повернення матеріалів визначається як вартість матеріалів і устаткування, що демонтуються, при використовуванні їх на інших об'єктах.

«Сверхпокращення» - елементи будівлі і устаткування, які є в існуючій будівлі і їх наявність яких в даний час неадекватно сучасним експлуатаційним стандартам.

Поправний функціональний знос за рахунок «сверхпокращень» вимірюється як поточна відновна вартість позицій « сверхпокращень », мінус фізичний знос, плюс вартість демонтажу і мінус повернення матеріалів, якщо він має місце.

Якщо вартість будівництва визначається як заміщаюча, то при визначенні поправного функціонального зносу мають місце деякі особливості. Оскільки в цьому випадку « сверхпокращення» відсутні, то немає необхідності визначати що доводиться на них частку фізичного зносу.

Зовнішній (економічний) знос - знецінення об'єкту, обумовлене негативним по відношенню до об'єкту оцінки впливом зовнішнього середовища: ринкової ситуації, сервітутів на певне використовування нерухомості, змін навколишньої інфраструктури і законодавчих рішень в області оподаткування і т.п., що накладаються Зовнішній знос нерухомості залежно від що викликали його причин в більшості випадків є неусувним унаслідок незмінності місцеположення, але у ряді випадків може «самоусунутися» через позитивну зміну навколишнього ринкового середовища.

Для оцінки зовнішнього зносу можуть застосовуватися наступні методи:

метод капіталізації втрати доходу, що відноситься до зовнішньої дії;

метод порівняння продажів подібних об'єктів за наявності і без зовнішніх дій.

За наявності достатньої кількості даних, другий підхід більш переважний.

Метод капіталізації втрати доходу припускає визначення втрат доходу всієї власності за рахунок зовнішніх дій. Потім частка втрат, що доводиться на будівлю, капіталізується при нормі капіталізації для будівель.

Метод парних продажів заснований на аналізі наявної цінової інформації по недавно проданих аналогічних об'єктах (парним продажам). При цьому передбачається, що об'єкти парного продажу відрізняються один від одного тільки виявленим і співвіднесеним до об'єкту оцінки економічним зносом

Витратний підхід володіє поряд переваг і недоліків.

Переваги витратного підходу:

. При оцінці нових об'єктів витратний підхід є найнадійнішим.

. Даний підхід є доцільним або єдино можливим в наступних випадках:

техніко-економічний аналіз вартості нового будівництва;

обгрунтовування необхідності оновлення діючого об'єкту;

оцінка будівель спеціального призначення;

при оцінці об'єктів в «пасивних секторах» ринку;

аналіз ефективності використовування землі;

рішення задач страхування об'єкту;

рішення задач оподаткування;

при узгодженні вартостей об'єкту нерухомості, отриманих іншими методами.

Недоліки витратного підходу:

Витрати не завжди еквівалентні ринковій вартості.

Спроби досягнення більш точного результату оцінки супроводяться швидким зростанням витрат праці.

Невідповідність витрат на придбання оцінюваного об'єкту нерухомості витратам на нове будівництво точно такого ж об'єкту, оскільки в процесі оцінки з вартості будівництва віднімається накопичений знос.

Проблематичність розрахунку вартості відтворювання старих будов.

Складність визначення величини накопиченого зносу старих будов і споруд.

3. ПОБУДОВА МОДЕЛІ ОЦІНКИ ЖИТЛОВОГО ФОНДУ МІСТА

.1 Алгоритм побудови моделі формування ціни на житловий фонд

При побудові моделей оцінки житлового фонду зробимо ряд припущень:

ціна формує попит на житловий фонд;

ціна формується під впливом ряду чинників зовнішнього середовища;

ціна виступає обмежувачем по пропозиції на ринку.

Відповідно до цих припущень здійснимо побудову ряду моделей оцінки житлового фонду.

Побудова моделі формування ціни на грунтується на наступному алгоритмі

Рисунок 3.1 - Алгоритм побудови моделі формування ціни на житловий фонд

Крок 1. Формування системи показників.

Формування системи показників є одним з основних етапів для побудови даної моделі. Це пов'язано з тим на формування ціни робить вплив велика кількість чинників, серед яких спостерігаються як кількісні, так і якісні. Тому задача формування загального набору чинників є достатньо трудомісткої. Аналіз загальної кількості чинників був приведений в п.1.3.

Приведені чинники умовно класифікуємо на дві групи:

кількісні;

якісні.

Кількісні чинники надають превалюючу дію на формування ціни на ринку нерухомості. Тоді як якісні здійснюють коректування ціни на даному ринку.

Крок 2. Якісний аналіз досліджуваної системи чинників.

На даному кроці проводиться скорочення простору чинників за допомогою експертного аналізу.

Експертиза проводиться по наступних кроках.

1. Дослідник знаходить допустиму безліч оцінок , в яких міститься шукана оцінка.

. Дослідник визначає безліч допустимих оцінок  з якої здійснюють вибір експерти.

. Кожний експерт вибирає свою оцінку, тобто вирішує задачу вибору якнайкращої оцінки з безлічі допустимих оцінок (МДО)

. По наперед розробленому алгоритму дослідник проводить обробку отриманої від експертів інформації і знаходить результуючу оцінку з, є рішенням початкової задачі оцінювання.

. Якщо отримане рішення не влаштовує дослідника, він може надати експертам додаткову інформацію, тобто організувати зворотний зв'язок.

При проведенні експертизи використовують наступну п’ятірку параметрів

 - початкове МДО;

 - МДО для експертів;- взаємодія між експертами;- зворотний зв'язок;

 - обробка.

Представлена п'ятірка параметрів є схемою експертизи. Під підготовкою експертизи розуміється попередня розробка схеми експертизи, а під реалізацією - отримання від експертів інформації і її обробка. Результат реалізації експертизи повністю визначається її підготовкою. Підготовка експертизи полягає в конкретизації виділених параметрів.

. Безліч допустимих оцінок. МДО визначається вирішуваній здачей оцінювання. Існують наступні типи МДО:

Дане МДО відповідає задачі попарного порівняння.


Відповідна задача ранжирування полягає у впорядковуванні об'єктів, створюючих систему.

 . Відповідна задача класифікації полягає у віднесенні заданого елемента до одного з підмножин.

 . Відповідна задача чисельної оцінки.

. Безліч допустимих оцінок для експерта ().

Для конкретизації даної множини необхідно описувати вид його представлення експерту, який залежить від форми опиту експерта.

Існують наступні види опиту: анкетування, інтерв'ю, метод доповідної записки.

. Взаємодія експертів (L).

Існують три види взаємодії експертів:

експерти можуть вільно обмінюватися інформацією один з одним;

обмін інформацією між експертами регламентований;

експерти ізольовані один від одного.

. Зворотний зв'язок в експертизі.

В експертизі експерти дають оцінки, які обробляються. Після цього кожному з них пред'являють результуючу оцінку з іншими даними. На підставі отриманих даних експерти уточнюють свої оцінки, після чого процедура повторюється до тих пір, поки не буде отримана задовольняюча дослідника узгодженість оцінок.

. Обробка експертизи.

Під обробкою експертизи розуміється аналіз отриманих від експерта оцінок. Даний аналіз будується на основі методів експертного аналізу. Результатом такого аналізу є впорядкованість рішень, тобто кожна альтернатива матиме свою вагу при ухваленні рішення.

У ряді випадків при експертизі обробка представлена у вигляді наступної функції:


де  - функція вибору i-го експерта;

 - композиція функцій вибору  і відображення .

Це означає, що спочатку знаходиться оцінка експертів , а потім по ній знаходиться результуюча оцінка  .

Крок 3. Вибір виду залежності.

На даному кроці проводиться аналіз чинників, їх вплив на залежну величину. Даний аналіз здійснюється за допомогою критерію парної кореляції. Цей коефіцієнт розраховується по формулі:

                                                                    (3.1)

Де  - одна з незалежних змінних;

 - залежна змінна

Даний коефіцієнт дозволяє перевірити наявність лінійного зв'язку між залежною і незалежною змінними. Він змінюється в межах від -1 до 1. Якщо коефіцієнт прагнути до по модулю до 1, то між аналізованими чинниками спостерігається тісний лінійний зв'язок. В осоружному випадку може спостерігатися нелінійний зв'язок.

Крок 4. Знаходження аналітичного виду залежності.

Після вибору виду залежності перед дослідником стоїть задача визначення параметрів моделі. Існує два основні методи визначення параметрів:

метод максимальної правдоподібності;

метод якнайменших квадратів.

Найпоширенішим серед них є метод якнайменших квадратів. Суть його полягає в мінімізації квадратів різниць між реальними даними і теоретичними. Для моделі з одним чинником формули розрахунку параметрів моделі мають вигляд:

                                                                             (3.2)

                                                                                              (3.3)

Даний метод дозволяє отримати незміщені, спроможні і ефективні оцінки.

Крок 5. Перевірка моделі.

Існує дві основні перевірки моделі:

перевірка параметрів моделі;

перевірка моделі на адекватність.

Перевірка параметрів моделі здійснюється за допомогою критерію Стьюдента. Розрахункове значення критерію виходить виходячи з наступної формули:

                                                                                            (3.4)

Якщо отримане значення більше табличного, то параметри є статистично значущими і отже їх можна включати в модель.

Перевірка моделі на адекватність здійснюється для оцінки можливості подальшого її застосування. Для такої оцінки застосовується коефіцієнт множинної кореляції. Даний коефіцієнт змінюється в межах від 0 до 1. Якщо він більше 0,8 то модель є адекватною. Він розраховується по формулі:

                                                                           (3.5)

Якщо модель адекватна і всі параметри є статистично значущими, то модель можна використовувати для прогнозування.

Крок 6. Використовування моделі

Використовування моделі має на увазі побудову прогнозів з її допомогою. Адекватна модель дозволяє отримати якісні прогнози. Таким чином, дана алгоритм побудови моделі формування ціни на нерухомість дозволяє виділити чинники, які роблять найбільший вплив, побудувати модель досліджувати її і провести прогнозування ціни на нерухомість залежно від зміни кожного чинника.

3.2 Формування множини чинників

Серед кількісних чинників можна виділити наступні чинники (табл. 3.1).

Таблиця 3.1 - Кількісні чинники, що формують ціну на житловий фонд

Чинник

Визначення

1

Площа

2

Кількість кімнат

3

Відношення етаж/етажність

4

Висота потолків


Список якісних чинників приведений в табл. 3.2

Таблиця 3.2 - Якісні чинники, що формують ціну на нерухомість

Чинник

Визначення

1

Наявність балкону

2

Привабливість району

3

Зелені місця

4

Транспорт

5

Супермаркети

6

Соціальні установи

7

Угловатість квартири

8

Неекологічні об’єкти


Перелік чинників достатньо великий, що утрудняє збір інформації по всіх чинником, тому необхідно провести відбір найзначущіших чинників. Для цієї мети необхідно провести експертний аналіз за допомогою людей володіючих спеціальними знаннями в досліджуваній області. Для обробки експертної інформації скористаємося методом більшості голосів.

На першому кроці експерти виставляють кожній альтернативі певний ранг. В більшості методів експертного аналізу ранги змінюються з кроком рівним одиниці, і якнайкращій альтернативі привласнюється якнайменший ранг. Для відбору чинників використовувалися три риэлтера з агентств по нерухомості. Дані риэлтеры виставили наступні ранги (табл. 3.3)

Крок 2. Аналіз узгодженості експертів.

Одним з критеріїв перевірки якісності формування групи експертів може служить перевірка узгодженості. Під узгодженістю розуміється збіг думок експертів.

Таблиця 3.3 - Матриці рангів

Якісні фактори

Експерт

Кількісні фактори

Експерт


1

2

3


1

2

3

Наявність балкону

8

7

7

Площа

1

1

1

Привабливість району

1

1

2

Кількість кімнат

4

3

2

Зелені місця

5

5

4

Відношення етаж/етажність

2

2

3

Транспорт

2

3

1

Висота потолків

3

4

4

Супермаркети

4

2

3


Соціальні установи

3

4

5


Угловатість квартири

7

8

6


Неекологічні об’єкти

6

6

8



Одним з основних критеріїв перевірки узгодженості експертів виступає коефіцієнт конкордации, який розраховується по наступній формулі:

, де                                                         (3.5)

Де m - кількість експертів;- кількість чинників.

Даний коефіцієнт змінюється в межах від 0 до 1. Думки групи експертів будуть злагоджені, якщо виконуватиметься наступна умова: W>0.8. Розрахунок коефіцієнта конкордации представлений в табл. 3.4

Таблиця 3.4 - Значення коефіцієнта конкордации


Для группы качественных факторов

Для группы количественных факторов

Значение коэффициента

0,9

0,8


Аналіз даних коефіцієнтів свідчить про повну узгодженість експертів.

Крок 3. Побудова матриці парних порівнянь . Елементи матриць парних порівнянь будуються відповідно до наступної умови:

                                                                                (3.6)

Де  - ранги відповідно i-го і j-го чинників.

Матриці парних порівнянь приведені нижче:

Для кількісних чинників:

, ,

Для якісних чинників

, ,

Крок 4. Розрахунок впорядкованості рішень Для розрахунку впорядкованості рішень необхідно побудувати матрицю-медіану. Елемент даної матриці розраховується як середнє аритмічне відповідних елементів кажной матриці парних порівнянь.

Для кількісних чинників матриця-медіана матиме наступний вигляд:


Для якісних чинників


Розрахунок впорядкованості рішень представлений в табл. 3.5

Таблиця 3.5 - Розрахунок впорядкованості рішень

Чинник

Впорядкованість

Чинник

Впорядкованість

Наявність балкону

0,05

0,40

Привабливість району

0,21

Кількість кімнат

0,20

Зелені місця

0,12

Відношення етаж/етажність

0,27

Транспорт

0,19

Висота потолків

0,13

Супермаркети

0,17


Соціальні установи

0,14


Угловатість квартири

0,06


Неекологічні об’єкти

0,06


Отримана таблиця дозволяє виділити найзначущіші чинники в кожній групі. Слід зазначити, що однією з основних вимог до побудови моделей є баланс між мікроопис і агрегацією, тому щоб не перенавантажувати модель великою кількістю змінних виділимо по два чинники з кожної групи. Такий вибір обгрунтований тим, що групи чинників є рівнозначними для покупця при виборі квартири, проте, як було сказане вище одні чинники впливають безпосередньо на формування ціни, а другі здійснюють її коректування.

Аналіз табл. 3.5 показує, що найзначущішими є наступні чинники:

серед кількісних чинників: термін споруди і відношення поверх/поверховість;

серед якісних чинників: привабливість району і наявність транспортної розв'язки.

Таким чином, проведений експертний аналіз дозволив виділити найзначущіші чинники при оцінки вартості нерухомості, які використовуватимуться для побудови моделі.

3.3 Модель прогнозування ціни житлового фонду

Для побудови моделі під ціною розумітимемо вартість 1 кв. метра площі нерухомості. При побудові моделі з використанням якісних чинників необхідно проаналізувати можливі стани і кожному стану привласнити кількісний опис.

Привабливість району.

Під привабливістю району розумітимемо його близькість до центру міста. Проведений аналіз районів р. Донецька дозволив виділити наступні групи районів і привласнити їм індекс привабливості, де «1» - найпривабливіший район і «6» - найпривабливіший район (табл. 3.6).

Таблиця 3.6 - Зміни чинника привабливості району

Район

Привабливість

Центр

6

Близько до центру

5

Спальний район

4

Промисловий район

3

Край міста

2

Місто-супутник

1


Наявність транспортної розв'язки.

Даний чинник є також якісною характеристикою вартості квартири. Він може приймати наступні значення: дуже добре, добре, середньо, погано, дуже погано, відсутній. Дані значення приймаються залежно від наступних умов (табл. 3.7).

З використанням даних допущень були досліджено 40 комерційних пропозицій по вторинному ринку нерухомості в р. Донецьку на основі чого були сформовані початкові дані. Для обробки отриманих даних використовувався ПП Статистика (рис.3.5)

Таблиця 3.7 - Значення чинника «наявність транспортної розв'язки»

Значення чинника

Умова

Кількісна характеристика

Дуже добре

Близько розташовано три види транспорту (трамвай, тролейбус і автобус), не менше 10 рейсових номерів

6

Добре

Близько розташовано два види транспорту, не менше 7 рейсових номерів

5

Середньо

На середній відстані розташований транспорт від 3 до 5 номерів

4

Погано

Розташований в 15 хвилинах ходьби, не більше трьох номерів

3

Дуже погано

Розташований в 15 хвилинах ходьби, не більше одного номера

2

Відсутній

До найближчої транспортної розв'язки не менше 25 хвилин

1

  

Рисунок 3.5 - Початкові дані

Щоб припустити наявність лінійного зв'язку між залежними і незалежними чинниками скористаємося аналізом коефіцієнта парної кореляції. Результати розрахунку даного коефіцієнта приведені на рис. 3.6.

Рисунок 3.6 - Розрахунок коефіцієнта парної кореляції

Як видно з даного рисунку всі коефіцієнти парної кореляції мають високе значення і є значущими, що свідчить про наявність тісного лінійного зв'язку між кожною незалежною змінною і залежної. Для дослідження формування ціни на ринку нерухомості скористаємося регресійною економетричною моделлю. Вона має вигляд:

                                           (3.7)

Для оцінки параметрів даної моделі скористаємося МНК, реалізованим в ПП Статистика. Розрахунок параметрів моделі приведений на рис. 3.7.

Рисунок 3.7 - Розрахунок параметрів моделі

Даний розрахунок показав, що параметр при чиннику наявність транспортній розв'язці спостерігається статистичний не значущий параметр, оскільки значення вірогідності помилки складає 0,2, що є достатньо великою величиною (повинна бути не більше 0,05). Таким чином, даний параметр необхідно виключити з розгляду. Тоді модель (3.7) прикмет вигляд:

                                                              (3.7)

Розрахунок параметрів даної моделі приведений на рис. 3.8

Рисунок 3.8 - Розрахунок параметрів модифікованої моделі

Порівняємо значення параметрів в першій і другій моделях (табл. 3.8).

Таблиця 3.8 - Порівняння параметрів

Змінна

Перша модель

Модіфікована модель

Абсолютне відхілененя

Відносне відхілення

Вільний член

714,15

797,82

83,66

11,71

Площа/термін спороди

-6,63

-7,60

-0,97

14,65

Відношення етаж/етажність

304,19

294,50

-9,68

-3,18

Привабливість району

37,72

44,09

6,37

16,90

Транспортна розв'язка

18,54


-18,54

-100,00


Аналіз табл. 3.8 дозволяє зробити ряд висновків:

при виключенні чинника транспортної розв'язки відбулася значна зміна коефіцієнтів як у бік збільшення, так і у бік зменшення.;

найбільше збільшення спостерігалося для параметра привабливість регіону (збільшення склало 16,90%);

зменшення спостерігалося для чинника поверховість (склало 3.18%).

Проведемо аналіз значущості коефіцієнтів. Їх значущість приведені в табл. 3.9

Таблиця 3.9 - Значущість коефіцієнтів

Змінна

Значущість при першій моделі

Значущість при модифікованій моделі

Вільний член

66,05

69,74

Площа/термін спороди

0,61

0,66

Відношення етаж/етажність

28,13

25,74

Привабливість району

3,49

3,85

Транспортна розв'язка

1,71

0,00


Як бачимо з табл. 3.9 найбільше значення має вільний член, що обумовлене в першу чергу світовими тенденціями на ринку нерухомості.

Решта чинників надає коректуючу дію на ціну на ринку нерухомості як у бік збільшення, так і у бік зменшення. Дані коректування приведені нижче:

збільшення терміну споруди зменшує вартість одного квадратного метра площі на 6,63 долари. Так різниця між сучасною спорудою і спорудою епохи перебудови складе порядка 48 долара за 1 квадратний метр що складе при середній площі однокімнатної квартири в 35 кв. метрів всього 1680 долари;

збільшення поверховості на 0,2 одиниці (на два поверхи в десятиповерховому будинку або на один поверх в п'ятиповерховому) приведе до збільшення ціни на 63 долари за квадратний метр, при стандартній площі це складе 2205 доларів;

збільшення привабливості району на 1 одиницю приведе до подорожчання 1 квадратного метра на 44 долари, тобто переїзд з однотипної квартири з міста супутника в центр Донецька обійдеться в 7700 доларів.

Проведемо аналіз адекватності моделі за допомогою коефіцієнта множинної кореляції. Він представлений на рис. 3.9.

Рисунок 3.9 - Оцінка адекватності моделі

Оцінка адекватності моделі свідчить про те, що модель є адекватною оскільки коефіцієнт множинної кореляції складає 0,959.

Таким чином, побудовану модель можна використовувати для прогнозування, що дозволить визначити ціну на житловий фонд в м. Донецьку. Запропоновані рекомендації можуть бути використаний риэлтерами, покупцями і продавцями для оцінки можливих варіантів зміни квартири.

4. Охорона праці і навколишнього середовища

4.1 Загальні питання охорони праці

В законі України „Про охорону праці” (2002г.) сказано, що державна політика базується на принципах пріоритету життя і здоров'я працівників по відношенню до результатів виробничої діяльності підприємства, повної відповідальності власника за створення безпечних і нешкідливих умов праці.

Для управління охороною праці на підприємстві використовуються економічні методи. Створюються національні, галузеві, регіональні програми з питань охорони праці, враховуючі різні напрями економічної і соціальної політики держави. Встановлюються єдині нормативи по охороні праці для всіх підприємств, організацій незалежно від форм власності. Створюються страхові фонди. Існують різні пільги і компенсації за важкі і шкідливі умови праці. Здійснюється соціальний захист працівників, повне відшкодування збитку особам, потерпілим від нещасних випадків на виробництві і професійних захворювань.

Проводиться навчання населення, професійна підготовка і підвищення кваліфікації працівників з питань охорони праці. Координаційна діяльність державних органів і об'єднань громадян, що вирішують різні проблеми в області охорони праці і здоров'я працівників на підприємстві.

Забезпечується міжнародна співпраця в області охорони праці, використовується світовий досвід по поліпшенню умов і підвищення безпеки праці [36].

4.2 Перелік небезпечних і шкідливих виробничих чинників

Перелік небезпечних і шкідливих виробничих чинників, які зустрічаються на робочому місці, надані в таблиці 4.1 [37].

Таблиця 4.1- Небезпечні і шкідливі виробничі чинники

Найменування чинників

Джерела виникнення

Характер дії на організм людини

Нормований параметр

Шум

Принтери, сканери

Розлади ЦНС, зниження слуху

Рівень звуку Lр, дБА

Вібрація

Системні блоки ЕОМ

Розлади серцево-судинної системи

Рівень вібро-швидкість Lv, дБ

М'яке рентгенівське випромінювання

Монітори ЕОМ

Захворювання органів зору, серцево-судинної системи, стомлення

Еквівалентна доза, Р, мкР/ч

Електромагнітне випромінювання

Монітори ЕОМ

Пониження кров'яного тиску, гальмування рефлексів

Напруженість, Е, В/м

Ультрафіолетове, інфрачервоне випромінювання

Монітори ЕОМ

Головний біль, сонливість, запаморочення.

Інтенсивність теплових випро-мінювань Е Вт/м2

Електростатичне поле

Комп'ютерна техніка

Головний біль, погіршення зору

Напруженість Е, кВ/м

Яскравість екрану

Екран комп'ютера

Стомлення очей

Не більше 40 кд/м2

Підвищена іонізація повітря

Комп'ютер

Опромінювання

Кількість іонів в 1см3 n+ =1500 - 3000 n- = 3000 - 5000

Напруга в електромережі

Проводка, штучне освітлення

Поразка електричним струмом

Uпр

Монотонність праці

Безперервна робота на ЕОМ

Стомлення ЦНС

-


4.3 Промислова санітарія

Метеорологічні умови вибираються відповідно до вимог [38], виходячи з таких чинників: категорії тяжкості робіт по енерговитратах, періоду року.

При роботах, пов'язаних з великою нервово-емоційною напругою, передбачені оптимальні значення параметрів мікроклімату в приміщенні. Енерговитрати складають 139 Вт, оскільки роботи виконуються сидячи. Категорія виконуваних робіт - Iа. Оптимальні норми температури, відносної вологості, швидкості руху повітря в приміщенні в холодний і теплий період року для категорії робіт Iа надані в таблиці 4.2 [38].

Таблиця 4.2 - Оптимальні параметри мікроклімату

Період року

Категорія виконуваних робіт по енерговитратах

Температура, 0 С

Відносна вологість, %

Швидкість руху повітря, м/с

Теплий

I а

23 - 25

40 - 60

0,1

Холодний

I а

22 - 24

40 - 60

0,1


Для забезпечення параметрів мікроклімату в межах норми, оптимального рівня іонізації повітря [n+ = (1500 ÷ 3000), n- = (3000 ÷ 5000)], концентрації пилу нижче встановленого значення ПДК = 4 мг/м3, в даному приміщенні передбачені прилади зволоження і штучної іонізації повітря, а також кондиціонування повітря. Вид опалювання - центральний [39].

В приміщенні, що вивчається, передбачено природне і штучне освітлення. За найменшим розміром об'єкту розрізнення, встановлюємо розряд зорових робіт - III, підрозряд зорових робіт -"в", контраст об'єкту розрізнення з фоном - малий, характеристика фону - світлий.

Природне освітлення - односторонньо бічне. Нормативне значення коефіцієнта природної освітленості визначаємо по наступній формулі:

 %                                                                                    (4.1)

де еN - коефіцієнт природної освітленості;н - коефіцієнт природної освітленості для III розряду зорових робіт;N - коефіцієнт світлового клімату (0,9);

 номер групи забезпеченості природним світлом

Штучне освітлення - загальне рівномірне. Як джерела світла використовуємо люмінесцентні лампи типу ЛБ 80-2. Нормативне значення освітленості для IIIв розряду зорових робіт Еmin складає 300 лк. Загальне освітлення виконано у вигляді переривистих ліній світильників типу ЛСПО 1В переважно прямого світла (Н) з дзеркальними екранними сітками і відбивачами.

Основні характеристики освітлення, передбаченого в приміщенні, надані в таблиці 4.3 [40].

Таблиця 4.3- Характеристика освітлення

Площа підлоги, м2

Розряд зорових робіт

Освітлення



природне

штучне



Вид освітлення (верхнє, бічне)

КЕО, еN %

Мінімальна освітленість Еmin, лк

30

IIIв

бічне

1,8

300


Джерелами шуму в приміщенні є вентиляційна система, працюючий принтер. Допустимий рівень звуку для робочого місця, що вивчається, складає 50 дБА [41]. Для зменшення рівня звуку і вібрації застосовуються демпфуючі матеріали (гумова прокладка під принтер).

Комп'ютер і в першу чергу монітор є джерелами: електростатичного поля, слабких електромагнітних випромінювань в низькочастотному і високочастотному діапазонах (2 Гц …400 Гц), рентгенівського випромінювання, ультрафіолетового, інфрачервоного і випромінювання видимого діапазону.

Згідно [42], встановлюються гранично допустимі значення напруженості електричного і магнітного полів частотою 50 Гц залежно від часу перебування персоналу в приміщенні. Напруженість електричного поля не перевищує 5кВ/м, напруженість магнітного поля на робочому місці не перевищує 8 кА/м, а напруженість електростатичного поля не перевищує 20 кВ/м [43], що дозволяє не регламентувати час перебування в приміщенні.

Рівні всіх можливих випромінювань достатньо низькі і не перевищують діючі норми. На робочому місці, що вивчається, розміщений найбезпечніший монітор, в якому створений додатковий металевий внутрішній контур, замкнутий на вбудований захисний екран. Джерела надходження води - міський водопровід, діюча каналізація - господарсько-побутова [44].

4.4 Організація робочого місця

Організація робочого місця, передбачає місце користувача ЕОМ. Воно повинно забезпечувати відповідність всіх елементів робочого місця і їх розташування ергономічним вимогам [45], а також характеру і особливостям трудової діяльності (рисунок № 4.1, 4.2).

Рисунок 4.1 - Розміщення оператора на робочому місці

Рисунок 4.2 - Визначення оптимальної зони моторного поля (вид зверху)

Для виключення порушень в опорно-руховому апараті і виключення виникнення синдрому постійних навантажень, правильна поза і положення рук є досить важливим. Тому, вибрана оптимальна робоча поза: стопи ніг - на підлозі, стегна - в горизонтальній площині; передпліччя - вертикально; лікті - під кутом 70 - 90 град. до вертикальної площини; зап'ястки - зігнуті під кутом не більше 20 град., нахил голови - 15 - 20 град. відносно вертикальної площини. Характеристика приміщення, в якому знаходиться комп'ютер:

Розміри приміщення: площа: S = 6 × 5 = 30 м2, об'єм: V = 6 × 5 ×3,0 =90 м3.

Згідно [45], норма площі на одного працюючого не повинна бути менше 6м2. В приміщенні, що розглядається, чотири робітничих місця, таким чином необхідна площа: Sнеобх. = 6 × 4 = 24м2. Отже, приміщення відповідає вимогам [45].

При організації робочого місця за комп'ютером дотримувалися наступні розміри:

відстань від підлоги до сидіння крісла дорівнює 440 мм;

відстань від сидіння крісла до нижнього краю робочої поверхні 330 мм;

відстань від очей до дисплея 550 мм;

простір для ніг 770 мм;

відстань від ніжки столу до краю робочої поверхні столу 640 мм;

М - відстань між передньою поверхнею тіла і краєм робочої поверхні столу 80 мм;

відстань від очей до документації 500 мм;

оптимальна зона моторного поля 360 мм;

висота робочої поверхні 800 мм;

кут огляду документів 30!.

Екран дисплея по висоті розташований на столі так, що кут між нормаллю до центру екрану і горизонтальною лінією погляду складає 20!. Кут спостереження екрану в горизонтальній площині не перевищує 60°.

Передбачені перерви, що регламентуються, для відпочинку тривалістю 15 хвилин після кожних двох годин роботи.

4.5 Електробезпека

При проектуванні систем електропостачання, при монтажі силового електрообладнання і електричного освітлення в будівлях і приміщеннях для ЕОМ необхідно дотримуватися вимог нормативно-технічної документації (ПУЕ, ПТЕ, ПТБ).

ЕОМ є однофазним споживачем електроенергії живлення від трифазної чотирьох провідної мережі з глухозаземленою нейтраллю змінного струму частотою 50 Гц. Електробезпека ЕОМ забезпечується комплексом конструктивних, схемноконструктивных і експлуатаційних засобів і способів захисту [48].

Експлуатаційні заходи захисту ґрунтуються на дотриманні правил техніки безпеки при роботі з високою напругою і наступних запобіжних засобів:

не підключати і не відключати роз'єми кабелів при включеній напрузі мережі;

технічне обслуговування і ремонтні роботи проводити тільки при вимкненому живленні мережі.

Конструктивні заходи безпеки забезпечують захист від випадкового дотику до струмопровідних частин за допомогою захисних оболонок і ізоляції струмопровідних елементів. Ступінь захисту оболонки ЕОМ повинен відповідати класу пожежонебезпечної зони приміщення П-ІІа [49] і бути не нижчим ІP-44. В мережах напругою до 1000В з глухозаземленою нейтраллю як схемноконструкртивной міра захисту застосовується занулення.

Експлуатаційні заходи.

Необхідно дотримувати правила техніки безпеки при роботі з високою напругою і наступні запобіжні засоби:

монтаж, обслуговування, ремонт і наладка ЕОМ, заміна деталей, пристосувань і блоків повинна здійснюватися тільки при повному виключенні живлення;

в приміщеннях, де експлуатуються більше 5 комп'ютерів на видному і доступному місці встановлюється аварійний і резервний вимикач для повного відключення електроживлення;

заземлені конструкції в приміщенні повинні бути надійно захищени діелектричними щитками або сітками від випадкового дотику.

4.6 Пожежна безпека

Категорія приміщення по вибухо-пожежонебезпеки- В [50], вогнестійкість будівлі - II [51]. Зона класу приміщення П-IIа. Ступінь захисту оболонки для вказаної пожене небезпечної зони - IР44[49]. З можливих елементів системи пожежного захисту, обов'язковими є первинні засоби пожежогасіння [51]. В приміщенні розташовані вогнегасники ВВК- 5.

Таблиця 4.4 -Первинні засоби пожежогасіння

Приміщення

Площа, м2

Первинні засоби (найменування, тип)

Кількість шт.

Вогнегасна дія

Приміщення, яке належить до категорії В

30

Вуглекислоті вогнегасники ручні ВВК - 5

3

Ізоляція та охолодження


4.7 Охорона навколишнього середовища

Зростання витрат на охорону природи за останні роки пов'язано з різким збільшенням кількості не нормованих викидів в атмосферу і водне середовище. При цьому завдається відчутного збитку не тільки природі, але і народному господарству, а також здоров'ю і самопочуттю людини. Цей збиток виявляється одночасно в декількох аспектах: моральному, естетичному, престижному, натуральному, соціальному, економічному, правовому.

В моральному плані він перш за все відчувається в погіршенні настрою, як втрата вільного часу, призначеного для іншого використовування, негативних емоцій з приводу хвороби рідних і близьких.

В естетичному аспекті збиток відчувається у вигляді втрати важливих якостей природного середовища: красивих пейзажів і гармоній ландшафту, пам'ятників історії і т.п.

В престижному аспекті збиток виявляється в негативному відношенні людини до забрудненого району мешкання і місцю відпочинку.

Вказані три види збитку важко піддаються виразу в грошовій формі, але відносно легко їх можна визначити непрямим шляхом.

В натуральній формі збиток виражається в зниженні врожайності сільськогосподарських культур, продуктивності худоби і птаха, зменшенні терміну служби основних фондів, збільшенні числа захворювань людини, тобто всі результати як наслідки забруднень можуть бути представлені в натуральних показниках: кілограмах, метрах, годинах, умовних одиницях, що мають вартісний вираз.

Соціальний збиток виявляється в підвищеній захворюваності, скороченні тривалості життя і збільшенні витрат населення на боротьбу із забрудненням в домашньому господарстві, зростанні вартості очищення води і т.п.

Економічний збиток (спричинення шкоди) - це фактичні або можливі втрати, негативні зміни природи і живих істот, які виникають від будь яких дій, настання подій і їх комбінацій, що виражаються у вартісній формі.

Правовий аспект збитку виявляється у вигляді грошових штрафів або санкцій і в цьому відношенні він є як би еквівалентом іншої шкоди.

ЕОМ складається з безлічі компонентів, які складають істотні труднощі при їх утилізації. Переробка таких матеріалів після експлуатації устаткування є однією з головних екологічних проблем нашого часу[52].

ВИСНОВКИ

Аналіз ринку нерухомості дозволив зробити висновок, що даний ринок є ринком товарів, що динамічно розвивається. Основною складовою для цього ринку для населення є житловий фонд. На оцінку житлового фонду впливає велика кількість чинників.

В першому розділі були освітлені питання, пов'язані з ринком нерухомості її кон’юнктури та основні чинники житлового фонду. Проведений аналіз показав, що нерухомість є специфічним товаром, на ринку нерухомості діють специфічні закони, не завжди є віддзеркаленням взаємодії попиту і пропозиції.

Другий розділ був присвячений аналізу існуючих моделей, внаслідок чого були виділені такі моделі як: прибуткова модель оцінки вартості; ринкова модель оцінки; витратна модель оцінки. Дані моделі володіють поряд специфічних особливостей. Проте вони не відображають повною мірою вплив чинників при формуванні.

Тому в третьому розділі була запропонована економетрична модель оцінки житлового фонду. Побудова моделі оцінки грунтувалася на експертному і кореляційно-регресійному аналізах. Проведений експертний аналіз дозволив виділити найзначущіші чинники при оцінки житлового фонду, які використовуватимуться для побудови моделі: серед кількісних чинників: термін споруди і відношення поверх/поверховість; серед якісних чинників: привабливість району і наявність транспортної розв'язки.

В результаті побудови моделі був проведений аналіз впливу кожного чинника, при цьому чинник наявності транспортної розв'язки є неістотним. Таким чином, побудована модель є адекватною і може бути використаний агентствами при оцінці житлового фонду

СПИСОК ДЖЕРЕЛ ІНФОРМАЦІЇ

1.     Ардемасов Е.Б.. Горбунов А.А., Песоцкая ЕВ. Маркетинг в управлении недвижимостью. Под ред. Горбунова А.А. - СПб: ИСЭП РАН

2.      Асаул А.Н., Старинский В.Н. Рынок недвижимости - новая социально- экономическая реальность - СПб: МАИЭС, 1998.

.        Балабанов И.Г. Операции с недвижимостью в России. - М.: «Финансы и статистика»,1996.

.        Балабанов И.Г. Операции с недвижимостью в России. М.: Финансы и статистика, 1996.

.        Беренс В., Хааранек П.М. Руководство по оценке эффективности вложений. М.: АОЗТ «Интерэксперт», «ИНФРА-М», 1995.

.        Горемкин В.А. Экономика недвижимости: Учебник. М.: Издательско-книготорговый центр «Маркетинг», 2001.

.        Горемыкин В.А., Бугулов Э.Р. Недвижимость: регистрация пpaв и сделок, ипотечное кредитование в схемах - М., 1998.

.        Грабовый П.Г., Петрова С.Н., Романова Г.К. и др. Риски в современном бизнесе. М.: АЛАНСБ, 1994.

.        Калачева С.А. Операции с недвижимостью. М.: ПРИОР, 1997.

.        Коростелев С. П. Основы теории и практики оценки недвижимости Учебное пособие. - М.: «Русская деловая литература», 1998.

.        Кудрявцев В.А., Кудрявцева В.В. Основы организации ипотечного кредитования. Учебное пособие. - М.: «Высшая школа», 1999.

.        Максимов С.Н. Экономика недвижимости: Учебное пособие. - СПб: Изд-во Санкт-Петербургского Университета, 1999.

.        Международные стандарты оценки МСО -1. МСО - 5.

.        Мелкумов Я.С. Экономическая оценка инвестиций. М.: ИКЦ ДИС, 1997.

.        Основы бизнеса на рынке недвижимости. СПб.: Просветительско-издательское объединение ДЕАН+АДИЛ-М, 1997.

.        Оценка недвижимости: Учебник /Под ред. А.Г.Грязновой, М.А.Федотовой. - М.: «Финансы и статистика», 2003.

.        Оценка рыночной стоимости недвижимости. Серия «Оценочная деятельность»: Учебное и практическое пособие. - М.: «Дело», 1998.

.        Прорвич В.А. Основы экономической оценки городских земель. М.: Дело, 1998.

.        Скворцов О.Ю. Регистрация сделок с недвижимостью: правовое регулирование и судебно-арбитражная практика, «Бизнес-школа», «Интел-Синтез», 1998.

.        Смирнов А.Л. Организация финансирования инвестиционных проектов. М.: АО Консалтбанкир, 1993.

.        Старинский В.Н., Асаул А.Н., Кускова Т.А. Экономика недвижимости Учебное пособие/ Под ред. Краюхина Г.А. - СПб.: СПбГИЭА, 1999.

.        Тарасевич Е.И. Оценка недвижимости - СПб ГГУ, СПб, 1997.

.        Тарасевич Е.И. Оценка недвижимости. СПб.: СПбГТУ, 1999.

.        Теория и методы оценки недвижимости. СПб.: Изд-во СПб ГУЭФ, 1998.

.        Щербакова Н.А. Экономика недвижимости: Учебное пособие. - Ростов - н/Д: Феникс, 2002.

.        Щербакова Ю.В. Экономика недвижимости. Ростов-на-Дону: ФЕНИКС, 2002.

.        Экономика и управление недвижимостью. Учебник для вузов/ Под ред. проф. П.Г. Грабовского. Смоленск: Изд-во «Смолин плюс», М.: Изд-во «АСВ», 1999.

.        Экономика и управление недвижимостью: Учебник для вузов/Под общ. ред. Грабовского П.Г. - М.: Изд-во «ACS», 1999.

29.   Экономика недвижимости Учебное пособие /Под ред. Ресина В.И. - М., «Дело», 2000.

36. Закон України «Про охорону праці», листопад 2002 р.

. ГОСТ 12.0.003 - 74 ССБТ. Опасные и вредные производственные факторы. Классификация. - Введ. 01.01.76.

38. ГОСТ 12.1.005-88 ССБТ. Общие санитарно-гигиенические требования к воздуху рабочей зоны. - Введ. 01.01.89.

39. СНиП 2.04.05-91 Нормы проектирования. Отопление, вентиляция и кондиционирование воздуха. - М.: Стройиздат, 1991

40. ДБН В.2.5-28-2006 Природне і штучне освітлення. К.: Мінбуд. Укр., 2006. 74с.

41. ГОСТ 12.1.003-83* ССБТ. Шум. Общие требования безопасности.

42. ГОСТ 12.1.002-84 ССБТ. Электрические поля промышленной частоты. Допустимые уровни напряжённости на рабочих местах.

. ГОСТ 17.1.3.03-77*. Правила выбора и оценка качества источников централизованного хозяйственно-питьевого водоснабжения. - Введ. 01.07.78.

45. НПАОП 0.00 - 1.31 - 99 Правила охорони праці під час експлуатації ЕОМ.

. Державні санітарні правила і норми роботи з візуальними дисплейними терміналами електронно-обчислювальних машин ДСанПіН 3.3.2.007, Київ 1998.

47. Методические указания к созданию благоприятных условий труда пользователей ПЭВМ, работающих с дисплеями на ИВЦ -Харьков: Минздрав УССР, 1986.

. Правила устройства электроустановок. Энергоатомиздат, 1987.

. НПАОП 40.1 - 1.32 - 01 Правила будови електроустановок. Електрообладнання спеціальних установок.

50. НАПБ Б.03.002-2007 Норми визначення категорій приміщень, будинків та зовнішніх установок за вибухопожежною та пожежною небезпекою. Київ -2007.

. ДБН В.1.1 - 7 - 2002 Пожежна безпека об’єктів.

52. Дуганов Г.В. и др. Охрана окружающей природной среды.- К.:Выща шк. 1988.- 304 с.

Похожие работы на - Побудова моделі оцінки житлового фонду міста

 

Не нашли материал для своей работы?
Поможем написать уникальную работу
Без плагиата!
Без нейросетей!