Шляхи вдосконалення маркетингової діяльності підприємства

  • Вид работы:
    Курсовая работа (т)
  • Предмет:
    Маркетинг
  • Язык:
    Украинский
    ,
    Формат файла:
    MS Word
    882,45 Кб
  • Опубликовано:
    2013-05-28
Вы можете узнать стоимость помощи в написании студенческой работы.
Помощь в написании работы, которую точно примут!

Шляхи вдосконалення маркетингової діяльності підприємства















Шляхи вдосконалення маркетингової діяльності ТОВ «АСПЕКС»

Вступ

Актуальність дослідження полягає в тому, що формування ринкової економіки зумовило необхідність переорієнтації виробництва та реалізації товарів на задоволення потреб і запитів споживачів. Нова система господарювання в Україні викликала великий інтерес з боку українських підприємців та економістів до маркетингової концепції управління на рівні підприємства, об’єднання. Закордонний досвід переконує в тому, що маркетингова концепція сприяє і вдосконаленню системи внутрішньофірмового управління, і успіху підприємства у конкурентній боротьбі [3, с. 23].

Маркетинг передбачає гнучкість організаційних форм управління, активну заповзятливість, постійний пошук шляхів ефективного пристосування до ринку і впливу на споживача. Маркетинг базується не на затверджених згори планових завданнях, а передусім на глибокому знанні об’єктивної інформації про ринок, про реальні вимоги споживачів та ініціативі [5, с. 12].

Мета маркетингової діяльності підприємства - забезпечення рентабельності, тобто визначеної прибутковості у встановлених часових межах за рахунок максимального задоволення потреб споживачів. Для її досягнення потрібно вирішити дві головні взаємопов’язані проблеми:)  продати максимально можливу кількість товарів фірми;)   дати споживачу максимум задоволення, як покупцю та користувачу. Для цього фірма цілеспрямовано формує і розвиває у споживачів бажання купувати і користуватися її товарами та послугами.

За допомогою маркетингу керівники підприємств та їх заступники отримують необхідну інформацію про споживачів, про ціни, що їх споживачі готові платити, про те, у яких регіонах місткість ринку найбільша, яка сфера діяльності є найвигіднішою для вкладання капіталу чи створення нового підприємства. Маркетинг також дає можливість зрозуміти у який спосіб підприємство має організовувати процес реалізації своєї продукції, товарів чи послуг, як належить проводити кампанію щодо їх просування на ринок, будувати стратегію реклами, формувати попит в умовах конкурентного тиску з боку інших підприємств, які функціонують на тому самому ринку [7, с. 32].

У сучасній літературі маркетинговий комплекс ототожнюють із такими складовими: товар (product), ціна (ргісе), місце (place), просування (promotion). Кожен із цих елементів має комплексний і багаторівневий характер [1, с. 15].

Ефективність управління маркетинговою діяльністю на підприємстві залежить від ефективності функціонування системи організації маркетингу. Оскільки саме служба маркетингу повинна визначити стратегію маркетингу, здійснювати маркетинговий контроль, досліджувати ринок та формувати комплекс маркетингу фірми. Саме це розкриває актуальність дослідження даної теми.

Об’єктом дослідження є маркетингова діяльність ТОВ «АСПЕКС».

Предметом дослідження ТОВ «АСПЕКС».

Методи дослідження. Теоретичною й методологічною основою курсової роботи стали ключові положення економічної теорії, менеджменту та маркетингу, праці вітчизняних і зарубіжних науковців, в яких висвітлено фундаментальні теорії про формування маркетингового комплексу на підприємстві. При постановці проблеми та аналізі існуючих підходів до її вирішення було використано наукову, економічну й довідкову літературу, праці провідних вітчизняних та зарубіжних економістів, періодичні видання України, звітні дані вітчизняних підприємств.

В процесі дослідження було застосовано такі методи: статистичний аналіз - для вивчення, групування, порівняння, оцінки та інтерпретації фактичних даних; метод порівняльного аналізу - для зіставлення існуючих підходів до формування маркетингової діяльності; графічний - для наочного зображення викладених положень.

Основною метою курсової роботи є розробка рекомендацій щодо удосконалення маркетингової діяльності ТОВ «АСПЕКС» в умовах конкурентного середовища та чинного законодавства України.

Для досягнення поставленої мети необхідно вирішити такі завдання:

вивчити основні складові маркетингової діяльності фірми;

на базі діяльності ТОВ «АСПЕКС» проаналізувати комплекс маркетингу підприємства;

дати рекомендації щодо організацій служби маркетингу на підприємстві;

визначити напрямки покрашення товарної, цінової, збутової та комунікаційної політик ТОВ «АСПЕКС».

1. Теоретичні засади маркетингової діяльності підприємства

Серед понять, що стали ознакою сучасного бізнесу, особливе місце займає маркетинг. Саме слово «маркетинг» з’явилося у Сполучених Штатах Америки в процесі пошуку місцевими фермерами ринку збуту для своєї продукції. Йшлося про володіння ринком - Market Getting. Пізніше з цих двох слів утворилось одне - маркетинг [2, с. 43].

Хронологія розвитку маркетингу свідчить про те, що його перші елементи (ціна, збут, реклама) з’явилися ще в середині XVII сторіччя. Бурхливий розвиток маркетингу припадає на 50-60-ті роки XX сторіччя. Сьогодні за принципами маркетингу організовано управління більшістю фірм США, Європи, Японії.

В літературі з маркетингу налічується понад 2000 його визначень. Кожне з них тією чи іншою мірою відображує його призначення, функції, основний зміст. Деякі з них: «Маркетинг - представляє собою процес управління та втілення задуму, ціноутворення та втілення задуму, ціноутворення, просування та реалізацію ідей, товарів та послуг через обмін, що задовольняє цілі окремих осіб та організацій»;

«Маркетинг - це передбачення, управління та задоволення попиту на товари, послуги, організації, людей, території та ідеї через обмін»;

«Маркетинг розуміється сьогодні як вираження орієнтованого на ринок управлінського стилю мовлення, для якого характерні творчі, систематичні та підчас агресивні підходи»;

«Маркетинг - соціальний та управлінський процес, спрямований на задоволення потреб та бажань як індивідів, так і груп, шляхом створення, пропонування та обміну наділених цінністю товарів» [6, с. 33].

Маркетинг як сучасна філософія бізнесу ґрунтується на певних принципах.

Принципи маркетингу - основні положення, обставини, вимоги, які визначають сутність маркетингу та покладені в його основу. До основних принципів можна віднести:

•        орієнтованість на споживача, його потреби і вимоги, що передбачають пропонування ринку не товарів та послуг, а засобів вирішення проблем споживачів;

•        гнучкість у досягненні мети шляхом адаптації до вимог ринку з одночасним спрямованим впливом на нього;

·        комплексний підхід до розробки маркетингових планів, який передбачає використання не окремих маркетингових заходів, а комплексу маркетингу, поєднання окремих елементів якого дозволяє досягти визначених цілей;

•        спрямованість на довгострокову перспективу розвитку фірми.

Перший принцип виходить з того, що фірма в центр своєї діяльності ставить споживача та його потреби. Вирішення проблем споживача - єдиний спосіб досягти цілей фірми, найважливішими з яких є отримання прибутку.

Другий принцип наголошує на необхідність дослідження можливих змін у зовнішньому середовищі і розробку механізмів пристосування до неконтрольованих фірмою факторів, і в той же час, підкреслює важливість активної політики, яка передбачає створення нових товарів, технологій, вдосконалення форм стимулювання збуту, каналів товароруху, методів виходу на нові ринки, інших маркетингових заходів.

Спрямованість на довгострокову перспективу, як принцип маркетингу, передбачає прогнозування розвитку ринку і розробку відповідної стратегії маркетингу як складової стратегії розвитку фірми із урахуванням очікуваних змін [12, с. 45].















Рис. 1.1. Елементи маркетингу [11]

Формула «4Р», розроблялася Філіпом Котлером в середині минулого століття, але і зараз є дуже актуальною. Існують думки інших вчених - маркетологів, що дана формула не повна і її слід оновити. Деякі вчені висловлюють думку про п'ять елементів (5Р), деякі про шість (6Р). І існують навіть теорії де зазначено до дванадцяти різних елементів (12Р).

Деякі включають на додачу до всіх чотирьох елементів ще і package - упаковку, деякі profit - прибуток.

Ці чотири елементи у сукупності складають комплекс маркетингу (рис. 1.2).

Комплекс маркетингу - це сукупність маркетингових засобів (товар, ціна, розподіл, просування), певна структура яких забезпечує досягнення поставленої мети та вирішення маркетингових завдань.

Рис. 1.2. Складові комплексу маркетингу [11, с. 67]

Товар - ключовий елемент комплексу маркетингу, складовими якого є характеристики товару (дизайн, колір, упаковка, розмір), сервіс, торгова марка та асортимент.

Сукупність засобів впливу на споживачів з допомогою товару пов’язують, як правило, з поняттям товарної політики підприємства. До її складових відносять (рис. 1.3):

а) визначення оптимального асортименту товарів та його постійне оновлення;

б) якість та конкурентоспроможність продукції;

в) дизайн та упаковка;

г) товарна марка;

д) імідж товару.


Рис. 1.3. Складові товарної політики підприємства [11, с. 78]

Конкурентоспроможність товару - це сукупність споживчих властивостей товару, яка забезпечує його здатність конкурувати з аналогами на конкретному ринку в певний період часу [29, с. 98].

Якість є основою конкурентоспроможності товару.

Конкурентоспроможність - це відносна величина, адже товар даного рівня якості може бути цілком конкурентоспроможним на одному ринку і неконкурентоспроможний на іншому.

Ще одним елементом товарної політики є упаковка, яка в умовах розвинутого ринку стає дедалі дієвішим інструментом маркетингу, складовою іміджу підприємства і предметом новаторського пошуку [36, с. 57]. Упаковка є важливою частиною продукту. Це засіб або комплекс засобів для забезпечення захисту продукції і навколишнього середовища від ушкоджень та втрат, а також для полегшення процесу обігу.

Ціна і якість є найважливішими ринковими характеристиками товару для споживача. Проте їх оптимальне співвідношення ще не гарантує ринковий успіх продукції. На оцінку товару і його придбання покупцем впливають властиві людям різноманітні смаки, звички, спосіб мислення. Сукупність стійких думок (інколи суто емоційних, а не професійних) і створює імідж товару [13].

Імідж - це сформоване і постійно підтримуване стійке уявлення покупців про престижність товару, послуги, товарної марки, фірми та її керівництва.

В основу іміджу покладено якісні переваги одного виробу над іншим. Імідж може бути позитивним і негативним. Позитивний імідж є важливим фактором успішної діяльності у різних сферах підприємництва і найчастіше досягається високою якістю продукції, стабільністю фінансового стану фірми і відповідною рекламою. Дійовим засобом створення сприятливого іміджу є розвиток інформаційних зв’язків фірми з різними верствами населення, органами місцевого самоврядування, засобами масової інформації. Така діяльність має назву «паблік рілейшнз», вона тісно пов’язана з рекламною роботою, але здійснюється переважно на некомерційних засадах. За допомогою паблік рілейшнз висвітлюється робота фірми щодо підвищення рівня безпеки продукції для споживачів, запровадження екологічно чистих технологій, турботи про техніку безпеки на виробництві і соціальний добробут працівників, проведення благодійних акцій.

У сучасних умовах, коли вимоги споживачів до якості товарів значно зросли, формуванню і зміцненню позитивного іміджу фірми та її продукції дуже сприяє сертифікація. З нею ототожнюють дію, яка проводиться з метою підтвердження того, що продукція відповідає визначеним стандартам або технічним умовам. Об’єктивність і достовірність результатів сертифікації багато в чому залежить від прийнятого порядку і організації робіт для визначення відповідності продукції нормативно-технічним документам, ступеня незалежності і рівня компетентності третьої сторони.

В умовах жорсткої конкурентної боротьби на ринку рівень і співвідношення цін на окремі види продукції, а особливо на конкуруючі вироби, певним чином визначають поведінку споживачів у процесі її вибору та придбання. Це впливає на обсяги реалізації продукції на ринку кожним підприємством. Як наслідок, у даному випадку ціна визначає характер маркетингової діяльності підприємства, бажаної величини прибутку [23, с. 65].

Наявність різних цінових ситуацій на ринку певним чином впливає на характер маркетингової діяльності підприємства:

. Широкий асортимент продукції, різні види якої мало відрізняються за рівнем попиту і витрат;

. Встановлення ціни на продукцію вперше;

. Зміна конкурентами ціни на свою продукцію;

. Інші обставини, що змушують підприємство змінити рівень ціни.

Через урахування даних особливостей при формуванні ціни на підприємстві ще більшою мірою ускладнюється трудомісткий процес ціноутворення. Визначаючи роль ціни в умовах маркетингу, треба нагадати, що вона виконує подвійну роль. З одного боку, ціна є головним чинником досягнення запланованої рентабельності підприємства, з іншого, подібно до реклами, є інструментом стимулювання попиту при реалізації продукції [14, с. 88].

Фірми підходять до питання ціноутворення по-різному, але незалежно від того, яким чином формуються ціни на продукцію, до уваги беруться деякі загальноекономічні критерії, які визначають відхилення від рівня цін вверх чи вниз від споживчої вартості товару [35]. Загальний алгоритм методики розрахунку ціни простий, і його можна подати у вигляді послідовності таких етапів:

·    постановка завдань ціноутворення;

·        оцінка витрат; визначення попиту;

·        аналіз цін і товарів конкурентів;

·        вибір цінової стратегії;

·        вибір методу ціноутворення;

·        встановлення кінцевої ціни на товар.

Отже, цінова політика підприємства - це складний процес, який передбачає врахування багатьох факторів.

Розподіл. Головним змістом політики розподілу є вибір оптимальної схеми доставки продуктів від виробника до споживача, її реалізація, а також після продажне обслуговування споживачів. Важливість цієї складової комплексу маркетингу пояснює така цифра: п’ята частина прибутку від реалізації продукції витрачається європейськими промисловими фірмами середніх розмірів для доведення своєї продукції до споживача. Основна мета політики розподілу - організація ефективного збуту виготовленої продукції.

Функції збуту можна поділити на три групи:

- функції пов'язані з угодами;

логістичні функції;

функції обслуговування.

Завершальним елементом комплексу маркетингу є маркетингові комунікації. Просування товару на ринок здійснюється за допомогою системи маркетингових комунікацій (СМК), яка охоплює будь-яку діяльність підприємства, спрямовану на інформування, переконання та нагадування споживачам про свої товари, стимулювання їх збуту і створення позитивного іміджу підприємства в очах громадськості. Основними елементами СМК є:

- реклама - будь-яка платна, неособистісна форма розповсюдження інформації про фірму та її товар, послуги, ідеї, через засоби масової інформації, а також з використанням прямого маркетингу;

«паблік рілейшнз» (дослівно «взаємини з громадськістю») - діяльність, спрямована на формування позитивного іміджу фірми, доброзичливого ставлення до неї та її товару;

персональний продаж - усне представлення товару в ході бесіди з одним чи декількома потенційними покупцями задля продажу;

стимулювання збуту - короткочасні спонукальні заходи заохочення споживачів до купівлі (знижки, розпродажі, лотереї тощо) [26, с. 127].

Контроль маркетингу включає контроль результатів маркетингової діяльності фірми та маркетинговий аудит (аудит зовнішнього середовища цілей та стратегій маркетингу, маркетингових заходів та організаційної структури маркетингу). Можна виділити три типи маркетингового контролю:

- контроль за виконанням річних планів;

- контроль прибутковості;

контроль за виконанням стратегічних рішень.

Контроль за виконанням річних планів полягає в тому, що співставляються поточні показники з контрольними цифрами річного плану діяльності маркетингу і, при необхідності, вживаються заходи щодо виправлення ситуації [7, с. 86]. Контроль прибутковості полягає у визначенні фактичної рентабельності різних товарів, ринків, сегментів ринку й торгових каналів (товароруху). Стратегічний контроль полягає у регулярній перевірці відповідності початкових стратегічних установок фірми фактичним ринковим можливостям. Таким чином, маркетинговий контроль є дійсним інструментом підвищення ефективності маркетингової й підприємницької діяльності фірми. Призначення маркетингового контролю - одержання інформації про закономірності й особливості розвитку ринку й відповідності підприємства компанії запитам споживачів. Він повинний поширюватися не тільки на економіко-фінансові дані, але і на оцінку якісних показників роботи і її конкурентні позиції, на дані, що формуються поза самою фірмою, у її навколишнім середовищі [35, с. 152].

Успішна маркетингова діяльність підприємства можлива за умови доброго інформаційного забезпечення, постійного моніторингу ринкового середовища. Існує декілька передумов успіху в маркетинговій діяльності: інформаційні, кадрові, організаційні і фінансові. Щоб створити потрібні кадрові передумови, важливо перш за все визначити чи достатня кількість працівників працює над проблемами маркетингу, і власне, збуту, чи відповідає ємкості ринку. Але значно більш серйозне питання - якість маркетингової підготовки спеціалістів, їх вміння представляти товар в вигідному регіоні, знаходити контакт з клієнтами, зосереджуватися на вирішенні їх проблем за допомогою послуг фірми.

2. Аналіз маркетингової діяльності ТОВ «АСПЕКС»

ТОВ «АСПЕКС» засноване у 2000 році. Форма власності - товариство з обмеженою відповідальністю. Вид економічної діяльності - оптова та роздрібна торгівля непродовольчими товарами споживчого призначення.

Метою діяльності підприємства є: забезпечення потреб населення у електротоварах та супутніх товарах, послугах, виконуваних підприємством, задоволення соціальних і економічних інтересів його власників, здійснення додаткових робіт та послуг на договірних умовах.

Предметом діяльності товариства є:

. здійснення торгівельної, торгівельно-закупівельної та торговельно-посередницької діяльності;

. організація власної торгівельної мережі для реалізації електротоварів;

. проведення монтажних, шеф-монтажних та пусконаладжувальних робіт;

. надання побутових послуг;

. комерційна, комісійна та посередницька діяльність;

. надання автотранспортних послуг;

. здійснення іншої діяльності.

На даний час підприємство налічує близько 50 працівників, із них 5 - управлінський персонал; 8 - менеджери; 4 - працівники бухгалтерії, 33 - мерчандайзери, обслуговуючий персонал, водії та сторожі (рис. 2.1).

Управління товариством безпосередньо здійснює директор компанії, в його компетенцію входить прийняття остаточних рішень по основній діяльності товариства. А також внутрішньофірмове управління персоналом, що полягає в ухваленні рішень у формі наказів щодо збільшення штату компанії, звільнення та преміювання співробітників, а також всіляких стягнень.

У нього в підпорядкуванні знаходиться заступник директора, в його компетенцію входить управління департаментами товариства та їх керівниками, які безпосередньо керують своїми співробітниками і надають висновки з тієї чи іншої угоди, а також приймають рішення про преміювання та стягнення в письмовій формі, які подають на підпис заступнику директора.

А також в компетенцію заступника генерального входять переговори з великими клієнтами і надання попереднього висновку щодо угоди директору товариства, подача попередніх розрахунків і висновків з операцій, а також різних клопотань і пропозицій керівників департаментів.

До обов’язків директорів департаментів належать:

керує діяльністю відділу, несе персональну відповідальність за організацію роботи його працівників, виконання, віднесених до компетенції відділу завдань;

планує роботу відділу, контролює вчасне і якісне виконання передбачених планами роботи заходів;

вивчає, аналізує стан справ, результати роботи відділу, вживає заходів щодо підвищення їх ефективності, встановлює ступінь відповідальності працівників відділу за доручені ділянки роботи; готує проекти рішень, розпорядчих документів; періодично звітує перед керуючим справами про виконання планів роботи, стан справ з питань, що належить до компетенції відділу;

вивчає, аналізує стан справ, результати роботи відділу, вживає заходи щодо підвищення ефективності роботи відділу, встановлює ступінь відповідальності працівників відділу за доручені ділянки роботи. До обов’язків менеджерів входить:

·        робота з клієнтами;

·        оформлення документів;

·        пошук нових каналів збуту продукції;

До обов’язків мерчендайзерів входить: надання консультацій щодо продукції: її технічних характеристик, переваг та доцільності використання; виклад товару на вітрину та його доповнення.

Підприємство займається оптово-роздрібною торгівлею непродовольчих товарів. ТОВ «АСПЕКС» має два напрямки роботи - це продаж електрофурнітури, елементів освітлення та сайдингових покрівель, водостоків. Асортиментний ряд товарів сягає понад 10 груп товарів, 1000 найменувань (табл. 2.1).

Таблиця 2.1. Асортимент продукції ТОВ «АСПЕКС» [41]


Групи товарів

1.

Електрофурнітура


Автоматичні вимикачі, вимикачі, розетки, рамки, подовжувачі, колодки, аксесуари TM «VIKO», «Makel».

2.

Джерела освітлення


Галогенні лампи, лампи розжарювання, люмінесцентні лампи, ртутні лампи, енергозберігаючі та рефлекторні лампи TM «General Electric», «SPARK».

3.

Світильники адміністративні


Світильники вуличні, прожектори, настінно-потолочні світильники

4.

Модульне захисне обладнання


Автоматичні вимикачі, диф. вимикачі, диф. автоматичні вимикачі

5.

Автомобільне освітлення

6.

Пускорегулююча апаратура


Стартери.

7.

Світильники декоративні


Бра, люстри, торшери, точкове освітлення, аксесуари до світильників.

8.

LED продукція

9.

Сайдинг


Горизонтальний, вертикальний, цокольний сайдинг.

10.

Водостоки

«АСПЕКС» є офіційним дилером TM «V! KO», TM «SPARK», «General Electric», «Makel». Тому ціни є не високими, що робить товар більш доступним та конкурентоспроможним. Найбільш актуальними є електрофурнітура та сайдинг. Попит на групу товарів «Джерела освітлення» є сезонним.

Асортимент ТОВ «АСПЕКС» постійно поповнюється новинками ринку. На даному етапі фірма вивела на ринок нову продукію - LED джерела освітлення. Ця продукція тільки набуває широкого попиту, тому компанія швидко зайняла свою ринкову нішу. Кожні 2 -3 роки асортимент електрофурнітури збільшується, ТМ «VIKO» створює нові декоративні серії продукції, що задовольняє більше потреб та бажань споживачів. [41]

Місія компанії - формування і розвиток своєї частки ринку фасадних покрівель та світлотехнічної продукції, пропонуючи споживачам найкращу в співвідношенні «ціна - якість» продукцію.

Крім своєї продукції, компанія пропонує послуги доставки товарів на місця роздрібної торгівлі по території всієї України, продаж товарів під замовлення, надання індивідуальної консультації щодо монтажу та асортименту продукції. Для постійних клієнтів існує система знижок на певні групи товарів; можливість надання кредиту на придбання товарів.

ТОВ «АСПЕКС» має власну торгову марку, що представлена на рис. 2.2.

Рис. 2.2. Торгова марка ТОВ «АСПЕКС» [40]

Торгова марка надає покупцеві певний набір властивостей товару, переваг і послуг. Вона є міткою, відчутною емблемою, що повідомляє певну інформацію про фірму.

ТОВ «АСПЕКС» зарекомендувало себе, як лідер українського ринку сайдингових покрівель та водостоків та постачальник якісної електрофурнітури та джерел освітлення. Компанія працює з провідними світовими виробниками, має великий асортимент продукції, кваліфікованих спеціалістів та великий обсяг запасів на складі.

Ціни на продукцію ТОВ «АСПЕКС» встановлюються відповідно до характеристик цільового ринку, асортименту пропонованої продукції і рівня конкуренції. Ціна товару повинна забезпечити сталий запланований прибуток і конкурентоспроможність торговця. Водночас вона може змінюватись залежно від завдань, що вирішує підприємство у визначений час і на конкретному ринку, тобто ціни на товар треба використовувати для пристосування до умов ринку: витрат, попиту, конкуренції, це здійснюється за допомогою змін у прейскурантах, націнок, знижок, компенсацій, застережень до умов продажу.

Отже, ціна на продукцію в більшості випадках буде залежати від встановленої ціни виробника і витратами, що пов’язані з просуванням і реалізацією продукції.

Ціна буде змінюватися в залежності від кількості партії, яку придбає наш клієнт. Звичайно на нововведення ціна буде заохочувальною. Ціна звичайно буде змінюватись від інших характеристик (позиція фірми на ринку, кількість конкурентів, ціни виробника, попит на продукцію та інші).

Оскільки конкуренція велика, необхідно звертати і аналізувати ціни наших конкурентів, що є одним з орієнтирів на встановлення ціни на продукцію. Отже, на встановлення цін на товари впливає велика кількість факторів, що і визначають її рівень.

Визначення оптимального рівня ціни на продукцію, беручи до уваги такі чинники:

·        модель конкурентного середовища ринку;

·        цілі фірми;

·        характеристика попиту на товар;

·        витрати на надання послуг;

·        ціни конкурентів;

·        методи ціноутворення.

Цінова політика ТОВ «АСПЕКС» зорієнтована в першу чергу на купівельну спроможність потенційних клієнтів, ціни конкурентів, виробника. [22, с. 129]

Ціну товару визначають додаванням певної надбавки, розрахунок здійснюють, виходячи із собівартості продукції:

Ц = S* (l+Hs/100),

де S - собівартість товару;- надбавка у відсотках до собівартості.

Ціни на товари ТОВ «АСПЕКС» визначаються таким чином:

Ц = S* (1+18%/100).

Надбавка складає 18% від собівартості товару.

Одним з каналів збуту продукції ТОВ «АСПЕКС» є мережі будівельних гіпермаркетів, таких як: «Епіцентр К», «Нова лінія», «Леруа Мерлен», «Практікер».

Конкуренція на цьому сегменті ринку є великою. Товар схожий за технічними характеристиками. Тому для визначення відпускної ціни на товар велику роль відіграє моніторинг цін конкурентів (табл. 2.2.).

Таблиця 2.2. Аналіз цін аналогічних товарів в гіпермаркеті «Епіцентр К4» різних постачальників

Назва товару, група

Ціна ТОВ «АСПЕКС», грн.

Ціна ТОВ «КОМЕТА», грн.

1

2

3

Електрофурнітура

Вимикач одно клавішний, білий

14,50

15,00

Вимикач двох клавішний, кремовий

18,30

18,00

Розетка двійна без заземлення

21,15

22,00

Акційний набір: 3 розетки з з/к + вимикач одно клавішний

49,50

-

Джерела освітлення

Лампа розжарювання А-55, 60 Вт Е27

3,50

3,70

Лампа енергозберігаюча 20 Вт Е27

29,00

31,70

Лампа світлодіодна 3,5 Вт El 4

60,60

55,00

Лампа галогенна 35Вт MR16

8,90

7,90

Модульне захисне обладнання

Автоматичний вимикач 25А, категорія С

25,00

-

Автоматичний вимикач 40А, категорія С

34,65

30,00

Диф.реле 40А, категорія В

152,00

160,00

Диф.автомат 50А, категорія В

170,00

170,00

Сайдинг

J-профіль, білий

48,55 1

49,00


Аналізуючи ціни гіпермаркету «Епіцентр К4» на аналогічну продукцію, можна зробити висновок, що різниця між цінами постачальників ТОВ «АСПЕКС» та ТОВ «КОМЕТА» є не суттєвою. Перевагою досліджуваного підприємства є наявність в продажі певних позицій, які відсутні у ТОВ «Комета». Також ТОВ «АСПЕКС» надає в продаж акційний товар, що привабить увагу до іншої продукції постачальника[43].

Рис. 2.3 Система знижок для оптових клієнтів

Отже, цінова політика фірми залежить від стану ринку, попиту та потреб споживачів, конкурентоспроможності товарів інших постачальників.

Політика розподілу - це діяльність фірми щодо планування, реалізації та контролю руху товарів від виробника до кінцевого споживача з метою задоволення потреб споживачів та отримання фірмою прибутку. Основна мета політики розподілу - організація ефективного збуту виготовленої продукції.

ТОВ «АСПЕКС» на шляху товару від виробника до споживача є посередником.

Від правильності сформульованої збутової політики залежать обсяги реалізації товарів фірми. Для цього потрібно обирати найраціональніші канали збуту продукції, їх ширину, довжину та рівні.

Обсяги реалізації товарів мають позитивну динаміку, що говорить про доцільне застосування збутової політики. Зростання обсягів збуту 1,2% в 2010 році порівняно з 2009 роком та 0,4% в 2011 році порівняно з 2010 роком. Але динаміка є незначною, що потребує подальшого корегування збутової політики.

Оскільки на підприємстві не існує відділу маркетингу, то багато маркетингових функцій бере на себе виконавчий директор, інші деякі функції виконують директори департаментів, це призводить до розпорошеності зусиль, направлених на маркетинг, що знижує його ефективність.

Комплекс маркетингових комунікацій, якими користується ТОВ «АСПЕКС» складається з основних та синтетичних засобів. До яких належать:

•          реклама;

•          стимулювання збуту;

•          персональний продаж;

•          прямий маркетинг;

•          виставки та ярмарки;

•          маркетингові комунікації в місцях продажу.

Рис. 2.7. Елементи маркетингових комунікацій ТОВ «АСПЕКС»

Підприємство задіє майже всі елементи маркетингових комунікацій. Проте, деякі елементи не виконують свої функції повністю. Такі як реклама та виставки, ярмарки.

Тому, на майбутній період потрібно розробити стратегію розвитку комплексу маркетингових комунікацій для розвитку підприємства, підвищення його конкурентоспроможності. Та раціонально поєднати її з іншими складовими маркетингової діяльності підприємства.

3. Визначення ефективності маркетингової діяльності ТОВ «АСПЕКС»

Ефективність - здатність приносити ефект, виконувати дію, це результативність виробництва, співвідношення між результатами господарської діяльності й витратами праці [28, с. 289].

В загальному ефективність маркетингової діяльності можна визначити як співвідношення результатів отриманих від маркетингової діяльності, та інвестиціями в неї.

Об’єктами оцінки ефективності є:

•          комплекс маркетингу (Р1 - товар (Product); Р2 - ціна (Price); РЗ - просування (Promotion); Р4 - дистрибуція (Place) та інші комплекси маркетингу, серед яких товарна, цінова, збутова, комунікаційна політика, окремі маркетингові заходи);

•          функції маркетингу (аналітична, виробнича, збутова, функція управління);

•          результати та мотиваційний механізм діяльності маркетологів;

•          комерційна і комунікативна ефективність реклами, ефективність участі у виставках, ярмарках тощо;

•          процес планування; організаційна структура управління маркетингом, зокрема кваліфікація маркетологів;

•          процес контролю виконання окремих функцій, логістична діяльність підприємства, довгострокові взаємовигідні партнерські відносини, системи маркетингового менеджменту, маркетингові стратегії, внутрішні зв'язки;

•          процес контролю виконання окремих функцій маркетингу; маркетингова інформаційна система (МІС - система внутрішньої звітності, система маркетингових досліджень, система збирання зовнішньої поточної інформації, аналітична система маркетингу) [27, с. 231].

Загалом, за критеріями способу оцінювання, усі сучасні найпоширеніші методи оцінки ефективності можна поділити на дві категорії: ті, в основі яких лежать експертні оцінки, та ті, що розраховують на основі визначення фінансової оцінки.

Перший підхід, побудований на вивченні думки експертів, використовується для таких функцій, як:

•          дослідження ринку, сегментування ринку і вибір цільових сегментів ринку,

•          позиціонування товару, розроблення ефективного товарного асортименту, введення на ринок нових товарів,

•          здійснення гнучкої цінової політики,

•          вибір ефективних каналів збуту і організація збутової діяльності,

•          ефективна комунікаційна діяльність.

Основними функціями управління є планування і організація, тому від того, наскільки якісними і об'єктивними будуть плани маркетингу і від ефективної побудови служби маркетингу залежить всієї маркетингової діяльності. Цю експертну оцінку здійснюють фахівці служби маркетингу підприємства. Засобом такого оцінювання є використання спеціально розроблених анкет.

Застосовуючи методи, в розрахунках використовують фінансові показники.

1.         Відношення результату (ефекту) від проведення маркетингових заходів до всієї сукупності витрат, необхідних для їхнього здійснення.

2.         Показник ефективності комплексу маркетингу, який може вимірюватися в натуральних (речовинних і нематеріальних) і вартісних формах.

3.         Економічна ефективність реклами може визначатися співвідношенням між результатом, одержаним від реклами, і розміром витрат (матеріальних, фінансових) на здійснення рекламних заходів за фіксований проміжок часу.

Визначення ефективності маркетингової діяльності підприємства відбувається завдяки контролю маркетингу.

Контроль маркетингової діяльності підприємства - це дослідження сукупності маркетингових дій, умов, зв’язків і результатів з метою з’ясування міри ефективності діяльності підприємства для досягнення маркетингових цілей. Він має сприяти такому:

• досягненню успіху і підвищенню продуктивності (контроль якості продукції, процесів реклами, розподілу, збуту тощо);

• дотриманню умовних обмежень (контроль річного балансу, бюджетів на рекламу, розподіл тощо).

Контроль маркетингової діяльності підприємства поширюється на виконання річних планів збуту, прибутковості та ефективності маркетингових заходів.

Праналізувавши показники контролю маркетингу, можна зробити висновки щодо ефективності його використання на підприємстві.

І. Контроль річних планів збуту проводиться за окремими показниками:

·        товарооборот окремих видів продукції (рис. 3.1):

Рис. 3.1 Валовий товарооборот продукції ТОВ «АСПЕКС», грн.

Отже, можна зробити висновки про не однорідність обсягів товарооборотів різних видів продукції. Це залежить від попиту на товар та його ціни. Також прослідковується збільшення товарообороту продукції: вимикач 1 кл. з підсвіткою білий, лампа світлодіодна куля 4,5 Вт. Відбулось зменшення товарообороту продукції групи сайдинг - профіль, білий. Товарна група «Сайдинг». Завдяки чому можна зробити висновки про його високу конкурентоспроможність серед продукції ТОВ «АСПЕКС».

Рис. 3.2 Валовий товарооборот ТОВ «АСПЕКС» 2010-2011 p.p., тис. грн.

Отже, в 2010 році відбулось перевиконання плану на 500 тис. грн., в 2011 році на 900 тис. грн. та загальне збільшення обсягу товарообороту 600 тис. грн.

•        структура товарообороту підприємства в асортиментному розрізі (рис. 3.3):

Рис. 3.3 Структура товарообороту підприємства в асортиментному розрізі

Отже, майже 50% всього товарообороту підприємства займає група товарів «Сайдинг». 14% займає «Електрофурнітура» та 12% - «Водостоки», 10% - «Джерела освітлення», 9% - «Світильники декоративні»; інші -5%. Найбільший попит споживачів на продукцію групи «Сайдинг». Тому потрібно привернути увагу до інших груп товарів для збільшення обсягу їх реалізації. Для цього потрібно застосувати засоби комунікаційної та збутової політики маркетингу підприємства.. Контроль ефективності маркетингових заходів на підприємстві здійснюється за такими показниками:

•          зростання ринку (Р):

=Qз/Qпп *100%

де Q3 - обсяги продажу продукції підприємства у звітному році (періоді);.n - обсяги продажу продукції підприємства в попередньому році (періоді);

Р = 3563/3256 * 100% = 109,5%

Показник свідчить про зростання частки ринку, що займає ТОВ «АСПЕКС»

·        частка ринку (Qn):

=Qi/QiЗ*100%,

де Qi - обсяг товарообороту і-ї продукції підприємства на даному ринку;

QiЗ - загальні обсяги продажу і-ї продукції всіма постачальниками на даному ринку;= 326,45/12658,2 * 100% = 2,58%

Підприємство працює в умовах чистої конкуренції. Тому частка ринку, яку займає ТОВ «АСПЕКС» є прогнозованою та має тенденції зростання.

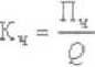
·        продуктивність маркетингу (П):

П=Q/К,

де Q - валовий товарооборот підприємства;

К - кількість працівників маркетингової служби;

Неможливо визначити продуктивність маркетингу через відсутність маркетингової служби на підприємстві.

•          динаміка замовлень (Кз):

з=Q nз/Qnnз,

де Q nз - кількість (обсяги) замовлень поточного періоду;з - кількість (обсяги) замовлень попереднього аналогічного періоду; Кз = 405,6/423,5 = 0,96.

Динаміка замовлень має незначний негативний характер, що пов’язано з зовнішніми чинниками (економічна ситуація, природні умови).

•          структура та динаміка споживачів (клієнтів) підприємства (частки старих та нових споживачів (клієнтів) підприємства в їхній загальній кількості в поточний період та проти попереднього періоду (рис. 3.4).

Рис. 3.4. Структура та динаміка споживачів підприємства [42]

Отже, можна зробити висновки про те, що на даному етапі більшість своєї продукції підприємство реалізує через мережі роздрібної торгівлі, протягом 2011-2012 років кількість нових оптових клієнтів зменшилась.

·        ефективність рекламних витрат (Кр):

Кр = Рв/Q,

Де Рв - сума рекламних витрат;

Кр = 107652/124000000 = 0,0009

Ефективність рекламних витрат є незначною. Тому потрібно змінювати маркетингову політику комунікацій, застосовуючи інші засоби.

•        коефіцієнт знижок (Кз):

Кз =Qз/Q,

де Qз - загальна сума наданих споживачам знижок;

Кз = 1263567/124000000 = 0,01

Коефіцієнт знижок показав, що система знижок, якими користується підприємство є неефективною.

Контроль прибутковості здійснюється за такими показниками:

•          валовий прибуток (Пв):

Пв=Q-C,

де С - собівартість реалізованих товарів;

Пв = 124000000-100000000 = 24000000 грн.

•          чистий прибуток (Пч):

Пч=Пв-В,

де В-витрати на виробництво та реалізацію продукції;


Кч (2011 р.) = 9230000/123600000 = 0,07;

Кч (2012 р.) = 10000000/124000000 = 0,08.

Зростання коефіцієнту чистого прибутку показує, що підприємство збільшує обсяги своєї діяльності, функціонує. Проте, динаміка є незначною, тому підприємству потрібно змінювати завдання, цілі підприємства для збільшення прибутковості. Методи оцінки ефективності маркетингової діяльності підприємства не охоплюють маркетингову діяльність загалом, а досліджують ефективність її окремих складових. Тому, оцінювання ефективності маркетингової діяльності повинно враховувати зовнішні та внутрішні чинники, що впливають на підприємство, маркетингові стратегічні та тактичні заходи (рис. 3.5).

Рис. 3.5. Залежність ефективності функціонування маркетингу на підприємстві

4. Шляхи вдосконалення маркетингової діяльності TOB «АСПЕКС»

Аналізуючи маркетингову діяльність ТОВ «АСПЕКС» варто зазначити про позитивну динаміку показників прибутковості та про збільшення обсягу товарообороту. Проте, показники ефективності рекламних витрат та коефіцієнт знижок є не значними, що говорить про їхній не суттєвий вплив на ефективність функціонування діяльності підприємства.

При аналізі організаційної структури ТОВ «АСПЕКС» було виявлено відсутність маркетингового відділу та посади маркетолога на підприємстві.

Тому організаційна структура потребує певних модифікацій. Насамперед потрібно створити окремий відділ маркетингу. Впровадження концепції маркетингу у практику дає можливість підприємству оперативно реагувати на ринкову ситуацію та перемагати в умовах конкуренції (рис. 4.1).

Організація маркетингу передбачає:

)        побудову та вдосконалення структури управління маркетингом;

2)      створення належних умов для ефективної роботи маркетингового персоналу;

)        забезпечення ефективної взаємодії маркетингової служби з іншими службами фірми.

Діяльність маркетолога повинна забезпечити:

■         надійну, достовірну й своєчасну інформацію про ринок, структуру й динаміку конкретного попиту, смаки та переваги покупців, тобто інформацію про зовнішні умови функціонування фірми;

■         створення такого товару, набору товарів (асортименту), що більш повно задовольняє вимогам ринку, ніж товари конкурентів;

■         необхідний вплив на споживача, на попит, на ринок, що забезпечує максимально можливий контроль сфери реалізації.

Так як, підприємство налічує не велику кількість управлінського персоналу, тому для виконання маркетингових функцій потрібно створити 2 посади маркетологів. в обов’язки яких будуть входити:

-          проведення дослідження та здійснення аналізу стану ринку електротоварів;

-          оцінка діяльності основних конкурентів;

-          дослідження купівельної поведінки споживачів;

-          управління та оцінка якості і конкурентоздатності продукції;

-          здійснення цінової політики та визначення оптимальної ціни на товарні групи.

-          проведення рекламної кампанії і організація сервісу для клієнтів.

Кожен маркетолог підпорядковується директору департаменту до штату якого входить, тобто кожен маркетолог працює зі своїми групами товарів, що робить його роботу більш ефективною.

За сучасних умов планування та управління асортиментом є невід’ємною частиною маркетингу. Крім збуту цей процес безпосередньо зачіпає сфери виробництва, фінансувати, матеріально-технічного забезпечення, а також взаємовідносини із конструкторськими та технологічними підрозділами. Сутність управління асортиментом у кінцевому підсумку полягає у створенні продуктів, які споживач бажає придбати, і виробництво яких приносить підприємству максимальні прибутки.

В умовах економічної та фінансової нестабільності у державі та впливу інших макро - та мікроекономічних факторів на діяльність ТОВ «АСПЕКС» дана ситуація може суттєво змінитись. Тому, у процесі управління товарним асортиментом, відділу маркетингу підприємства рекомендується вживати таких заходів (рис. 4.2):

-          періодично ревізувати наявний асортимент і приймати рішення щодо доповнення товарного асортименту новими виробами;

-          здійснювати постійний контроль за впливом зовнішніх чинників - коливань попиту на певні товари на певних сегментах ринку, змін у товарній пропозиції конкурентів тощо;

-          забезпечувати відповідне обслуговування споживачів у процесі використання товарів наявного асортименту.

- забезпечити необхідну інтенсифікацію зусиль щодо формування попиту під час оцінки, створення та пропозиції нового товару на ринку шляхом активнішого проведення комунікаційної політики.

Також для удосконалення маркетингової цінової політики ТОВ «АСПЕКС» рекомендується зробити ціни на продукцію підприємства більш гнучкими. Це можна здійснити шляхом коригування прогнозованого рівня ціни, пропонування і створення умов для ефективного її використання. ТОВ «АСПЕКС» надає певні види цінових знижок, що зазначено у розділі 2 даної роботи, але рекомендується розробити більш досконалу систему цінових знижок. Це зможе збільшити обсяги реалізації продукції підприємства і зробити підприємство більш конкурентоспроможним на ринку.

Дані рівні знижок були визначені на основі попереднього досвіду підприємства та вже існуючих знижок.

Використання даної системи поправок до ціни, зорієнтованої на уточнення рівня ціни та забезпечення її відповідності реальним умовам процесу реалізації продукції, дає змогу в умовах реальної ринкової ситуації застосувати цінові знижки та надбавки як дієвий інструмент при впровадженні цінової тактики. При цьому потрібно час від часу переглядати своє ставлення до рівня ціни залежно від тих змін, що відбуваються на ринку. Невиконання цих вимог може привести підприємство до втрати частки ринку та завдати збитків, що потребує поміркованого підходу до використання даного методу ціноутворення.

Розвиток та збільшення каналів збуту продукції ТОВ «АСПЕКС» є стратегічним напрямом діяльності. Сегмент мереж роздрібної торгівлі вже створений. Тому компанія приділяє більшу увагу великим оптовим та будівельним організаціям, магазинам роздрібної торгівлі, непродовольчим ринкам. Пошук нових клієнтів та довгострокова співпраця з ними є головними завданнями, які реалізовуватимуться завдяки маркетинговій політиці комунікацій.

Планування рекламної діяльності необхідне для проведення ефективної рекламної кампанії. Оскільки фірмі «АСПЕКС» потрібно підняти реалізацію по асортиментних групах, привернути увагу нових клієнтів, затвердити своє становище то без рекламної підтримки тут не обійтись.

Розробимо рекламну кампанію для ТОВ «АСПЕКС» на основі таких етапів:

1.         Цілі реклами:

-          формування іміджу фірми, привернення уваги нових клієнтів;

-          інформування про товари фірми (інформативна реклама).

2.         Визначення рекламного бюджету. Використовуємо метод «Відсоток від обсягу продажу» (приблизно 3,5% від обсягу продажу).

3. Визначення цільової аудиторії і розроблення концепції товару.

При розробленні рекламної стратегії важливе значення мають два взаємопов’язаних етапи - правильне визначення цільової аудиторії і розроблення концепції товару.

Визначення цільової аудиторії передбачає сегментацію ринку і відбір цільових сегментів. Адресатом рекламної комунікації є як потенційні споживачі, так і особи, які впливають на прийняття рішення про покупку.

В умовах розвиненої конкуренції більшість ринків характеризуються присутністю споживачів з різноманітними вимогами, потребами, купівельними мотивами, ключовими критеріями щодо вибору запропонованих товарів і послуг. Такі споживачі вимагають з боку постачальників індивідуального підходу, адаптованого до їх специфічних проблем. Тому багато підприємств відмовляються від стратегії масового маркетингу і проводять сегментацію ринку для визначення цільового сегмента та ідентифікації ключових факторів, які сприяють досягненню успіху на ньому.

Здійснивши сегментацію фірма повинна визначити, які сегменти є для неї найпривабливішими. При цьому слід врахувати сильні сторони підприємства, рівень конкуренції, конкурентоспроможність товару тощо. Слід відібрати ті сегменти, для успішної роботи на яких підприємство має всі необхідні ділові передумови.

В основу сегментації ринку електротоварів покладено дві характеристики:

1.       демографічна (стать);

2.       демографічна (вікова категорія).

Виходячи з даної сегментації, можемо зробити висновок, що нашими цільовими споживачами є чоловіки віком від 25 до 65 років.

Паралельно слід розробити чітку концепцію рекламованого товару, визначити його позицію на ринку, від чого буде залежати вибір засобів розповсюдження реклами, зміст рекламного звернення, для цього необхідно правильно провести позиціонування товару.

Позиціонування електротоварів ТОВ «АСПЕКС» проводимо за двома характеристиками:

.        Ціна товарів.

.        Насиченість товарного асортименту фірми.

Виходячи з даної сегментації, можемо зробити висновок, що нашими цільовими споживачами є чоловіки віком від 25 до 65 років.

Паралельно слід розробити чітку концепцію рекламованого товару, визначити його позицію на ринку, від чого буде залежати вибір засобів розповсюдження реклами, зміст рекламного звернення, для цього необхідно правильно провести позиціонування товару.

Позиціонування електротоварів ТОВ «АСПЕКС» проводимо за двома характеристиками:

1.         Ціна товарів.

2.         Насиченість товарного асортименту фірми.

4. Вибір засобів розповсюдження реклами

Правильний вибір найбільш ефективних засобів передачі реклами у значній мірі визначає успіх всієї рекламної кампанії. Від вірного вирішення даної проблеми залежить, якої кількості потенційних споживачів досягне сигнал, наскільки сильною буде дія на них, яка сума буде витрачена на рекламу і наскільки ефективними будуть ці затрати.

При виборі медіа-каналу, за допомогою якого рекламне звернення має доноситись до цільової аудиторії необхідно врахувати певні особливості рекламованого товару і фірми, а також ретельно зважити переваги і недоліки всіх можливих засобів розповсюдження реклами (табл. 4.1)

Таблиця 4.1. Характеристики основних медіа-каналів

Засоби розповсюдження реклами

Переваги

Недоліки

Газети

оперативність; гнучкість; багаточисельність аудиторії; низька вартість одного контакту.

короткотривалість існування; низька якість відтворення; незначна аудиторія «вторинних читачів»; розміщення поруч з рекламою конкурентів.

Журнали

висока якість відтворення; довготривалість існування; велика кількість «вторинних читачів»; достовірність; престижність; висока вибірковість.

тривалий часовий розрив між купівлею місця і появою реклами; сусідство з рекламою конкурентів; відносно висока вартість.

Телебачення

ширина охоплення; багаточисельна аудиторія; поєднання зображення, звуку і руху; високий ступінь притягання уваги; сильний емоційний вплив.

висока абсолютна вартість; перевантаженість рекламою; швидкоплинність рекламного контакту; слабка вибірковість аудиторії.

Радіо

масовість аудиторії; відносно низька вартість одного рекламного контакту.

обмеженість звукового представлення; невисокий ступінь залучення уваги.

«Дірект мейл»

висока вибірковість аудиторії; гнучкість; особистісний характер; відсутність реклами конкурентів.

відносно висока вартість одного контакту; образ макулатурності.

Друкована реклама

висока якість відтворення; значна тривалість контакту (календарі); відсутність реклами конкурентів.

низька вибірковість аудиторії; немо-жливість контакту із віддаленими аудиторіями.

Зовнішня реклама

висока частота повторних контактів; гнучкість; помірна вартість.

відсутність вибірковості аудиторії; обмеження творчого характеру.

Реклама на місці продажу

стимулює «імпульсивну» покупку; гнучкість; помірна вартість.

вимагає додаткових знань і навичок у справі оформлення вітрин і прилавків.

Сувенірна реклама

сувеніри мають самостійну цінність; велика тривалість дії; здатність досягнути прихильності отримувача.

дуже обмежені площі для розміщення звернення; високі витрати на один контакт; творчі обмеження.

Реклама у Інтернеті

вибірковість аудиторії; гнучкість; розширення географії.

висока ціна; потребує сучасних засобів зв’язку; обмежена кількість адресатів.


Отже, при виборі ефективного способу розповсюдження реклами необхідно врахувати такі особливості ТОВ «АСПЕКС»:

Компанія працює з оптовими клієнтами, для яких одним з найголовніших факторів є низька ціна. Що забезпечує ТОВ «АСПЕКС» завдяки системі знижок.

При низькому рівні цін фірма надає високоякісний товар.

Наявність транспортного відділу, що функціонує по всій території України.

Обмеженість грошових коштів, що закладаються у рекламний бюджет підприємства.

Ці особливості товару і підприємства привели до вибору саме таких засобів розповсюдження реклами:

Реклама у інтернеті забезпечує вибірковість аудиторії; гнучкість; розширення географії. Зараз є найактуальнішою через швидке збільшення користувачів інтернет ресурсів та його комфортністю.

Сувенірна реклама. Сувеніри мають самостійну цінність; велика тривалість дії; здатність досягнути прихильності отримувача.

Зовнішня реклама забезпечує високу частоту повторних контактів, охоплює велику кількість аудиторії.

Для конкретизації медіа-каналів необхідно назвати медіа-носії, на яких буде подаватися реклама ТОВ «АСПЕКС». Отже, ними є:

1.         Зовнішня реклама:

-          Розміщення рекламного звернення на щитах у м. Київ:

-          Розміщення світлової реклами (касетонів із дизайном логотипу фірми) біля магазинів офісу «АСПЕКС»;

-          Оформлення транспорту.

2.         Реклама у інтернеті. Розміщення реклами на сайтах з інтернет адресою та контактними номерами телефонів фірми.

3.         Сувенірна реклама. Наприклад: блокноти, ручки, чашки, календарі, ключниці з логотипом компанії.

Ефективність впливу рекламного звернення на цільову аудиторію буде багато в чому залежати від того, яку частину цієї аудиторії досяг сигнал рекламного послання і скільки було рекламних контактів із зверненням у представників цільової аудиторії. Для рішення даної проблеми використовують такі показники:

*          охоплення носія - це частина населення чи цільової аудиторії, яка може мати контакт із носієм, що містить рекламне звернення, хоча б один раз протягом зазначеного періоду часу;

*          частота експозиції - показує, яка частина цільової аудиторії і скільки саме разів контактувала із носієм, що містить рекламне звернення.

ТОВ «АСПЕКС», виходячи зі своїх маркетингових цілей, надає перевагу екстенсивній рекламній кампанії, щоб охопити більшу кількість цільової аудиторії. Акцент на охопленні аудиторії дає змогу проінформувати про товари велику кількість потенційних споживачів. Також варто зазначити, що графік рекламної кампанії підприємства буде мати сезонний характер, тобто реклама буде більш активною у весняно-літній період, коли існує підвищений попит на всі групи товарів.

Реалізація практично усіх функцій управління рекламою тісно пов’язана з проблемою фінансування, розробкою і виконанням рекламного бюджету. Формування бюджету сприяє більш чіткому визначенню цілей рекламної діяльності і розробці програм по їх досягненню. Розроблений бюджет дозволяє більш ефективно розподіляти ресурси у процесі практичної реалізації планів, чітко визначити основних виконавців, а також допомагає забезпечити контроль не тільки за витрачанням засобів на рекламу, але і за ефективністю рекламної кампанії в цілому.

Окрім реклами, важливою є робота зв’язків з громадськістю. Тому доцільним є вміщення матеріалів про зміни, що відбуваються на фірмі «АСПЕКС» в газетах місцевого значення.

З метою збільшення кількості клієнтів створити бонусну систему, за якої клієнт що реєструє за собою ще одного клієнта отримує додаткову знижку на продукцію.

Вище наведені рекомендації при умові комплексного впровадження приведуть до прориву в реалізації всього асортименту продукції фірми «АСПЕКС».

Висновки

маркетинговий реклама товарний політика

В умовах становлення ринкової економіки важливим чинником успішного функціонування вітчизняного торгівельного підприємства є його переорієнтація на засади маркетингу. Власне впровадження концепції маркетингу у практику дає можливість оперативно реагувати на ринкову ситуацію та перемагати в умовах конкуренції.

Саме тому в І розділі курсової роботи розглянуті теоретичні аспекти маркетингової діяльності торгівельного підприємства. Визначено етапи, які підприємству слід дотримуватись для того, щоб функціонувати на засадах маркетингу.

В II розділі розглянуто діяльність ТОВ «АСПЕКС», а саме час заснування підприємства та основні етапи розвитку, вид діяльності, організаційна структура. Встановлено, що на підприємстві «АСПЕКС» маркетингова служба відсутня. Багато маркетингових функцій бере на себе виконавчий директор, інші деякі функції виконують директори департаментів. Це призводить до розпорошеності зусиль, направлених на маркетинг, що знижує його ефективність.

Проведено аналіз комплексу маркетингу, за чотирма складовими. Отже, ціни на продукцію підприємства «АСПЕКС» залежать від встановлених цін виробника і витрат, які пов’язані з просуванням і реалізацією продукції. Ціни змінюються в залежності від кількості партії, яку придбає клієнт. Аналізуючи ціни ТОВ «АСПЕКС» та ТОВ «КОМЕТА» у мережі роздрібної торгівлі «Епіцентр К», можна зробити висновки про незначні розбіжності в ціні на аналогічний товар. Але асортимент ТОВ «АСПЕКС» є більшим та наявний акційний товар.

На підприємстві застосовується стимулювання збуту - існує гнучка система знижок, індивідуальний підхід до кожного клієнта.«АСПЕКС» застосовує такі знижки:

•          знижки за кількість придбаного товару;

•          бонусні знижки оптовим клієнтам;

В III розділі проаналізовані показники ефективності використання маркетингової діяльності. Показники прибутковості свідчать про покращення діяльності підприємства. Проте показники ефективності реклами є незадовільними.

В IV розділі було запропоновано створення посади маркетолога на підприємстві «АСПЕКС». Завданням маркетолога буде визначення найпривабливіших напрямків проведення рекламної кампанії з врахуванням особливостей сфери діяльності, окрім цього він повинен збирати інформацію про стан ринку, про основних конкурентів, їх товари та ціни, основні тенденції на ринку, а саме попит на продукцію та на інновації.

Відносно цінової політики, було запропоновано застосувати розроблену систему знижок.

Оскільки ТОВ «АСПЕКС» потрібно підняти реалізацію по деяким асортиментних групах, знайти нові канали збуту продукції, то ми запропонували проведення рекламної кампанії. При реалізації запропонованих шляхів вдосконалення маркетингової діяльності підприємства та врахування зовнішніх факторів дозволить ефективно працювати та досягати поставлених цілей.

Література

1.     Андреева О.Д. Технология бизнеса: маркетинг. Учебное пособие. М.: Издательская группа ИНФРА • М - НОРМА, 2004.

2.       Астахова I. Е. Маркетинг: Навчальний посібник - X.: ХНЕУ, 2006. - 208 с.

.        Балабанова Л.В. Маркетинг: підручник / вид. 3-тє, перероб. і доп. - К.: КНЕУ, 2011. - 543 с.

.        Бернет Дж. Маркетингові комунікації: інтегрований підхід / пер. з англ. мови, - Сбп: Питер, 2001. - 864 с.

.        Близнюк С.В. Стратегічний маркетинг торговельної фірми: Методичні і організаційні аспекти управління. - К.: Логос, 2006.

.        Бородкіна Н.О. Маркетинг: навч. посібник. - К.: Кондор, 2007. - 362 с.

.        Василенко В.А., Шостка В.І. Ситуаційний менеджмент. Навчальний посібник.-К.: ЦУЛ, 2005.

.        Власенко Я.О., Карпенко С.В. Основи сучасного маркетингу. - К.: Видавництво «Фірма «ІНКОС», 2011. - 328 с.

.        Всё о маркетинге. - М.: Азимут-Центр, 2007.

.        Гаркавенко С. С Маркетинг. - 4-те вид. доп. - Київ: Лібра, 2006. - 720 с.

.        Гаркавенко С.С. Маркетинг. - К.: «Лібра», 2008 р.

.        Герасимчук В.Г. Маркетинг: Теорія і практика: Навчальний посібник. - К.: Вища школа, 2004 р.

.        Герчикова И.Н. Маркетинг та міжнародна комерційна справа. - М.: Внешторгиздат, 2006 р.

.        Гірченко Т.Д., Дубовик О.В. Маркетинг: навч. посіб. - К.: «Фірма «ІНКОС», центр навч. літератури, 2007. - 255 с.

.        Голубков Е.П. Маркетинговые исследования: теория, методология, и практика. - М.: Издательство «Финпресс», 2005.

.        Голубкова Н.А. Маркетингові комунікації. - М.: Фінпресс, 2000. - 175 с.

.        Гончаров С.М., Дупляк В.Д. Основи маркетингу. - К.-Рівне. 2004.

.        Гончарук Я.А., Павленко, А.Ф., Скибінський С.А Маркетинг Навч. посіб. у тестах/Київський національний економічний ун-т; Львівська комерційна академія. - К.: КНЕУ, 2002. - 314 с.

.        Грищенко ІМ. Маркетингові основи комерційного посередництва: Навч. посіб. - К.: Грамота, 2006. - 303 с.

.        Дайновский Ю.А. 505 приемов бизнеса: Маркетинг, менеджмент, реклама, торговля, производство, налоги, стимулирование труда. - К.: А.С.К.; 2003. - 297 с.

.        Данилишин Б.М., Любченко ОМ. Маркетингова стратегія регіонального продовольчого ринку. - Кіровоград: Імекс-ЛТД, 2006 - 250 с.

.        Діброва Т. Г Маркетингова політика комунікацій: стратегії, вітчизняна практика. - К.: Видавничий дім «Професіонал», 2009. - 320 с.

.        Дорошев В.И. Введение в теорию маркетинга: Учеб. пособие. - М.: ИНФРА-М, 2000. - 284 с.

.        Дурович А., Анастасова Л. Маркетинговые исследования в туризме: Учеб.-практ. пособие - М.: Новое знание, 2002. - 348 с.

.        Заборовський В.П. Основи Маркетингу/Подільська держ. аграрно - технічна академія. - Кам'янець-Подільський: Абетка, 2002. - 153 с.

.        Ілляшенко СМ., Баскакова М.Ю. Маркетингові дослідження: Навч. посіб. для студ. вищ. навч. закл. / Сумський держ. ун-т. - К.: Центр навчальної літератури, 2006. - 192 с.

.        Кардаш В.Я., Антонченко М.Ю. Маркетингова товарна політика: Навч.-метод, посібник для самост. вивчення дисципліни/Київський національний економічний ун-т ім. Вадима Гетьмана - 3. вид., доп. та перероб. - К.: КНЕУ, 2006.-248 с.

.        Котлер Ф. Основы маркетинга. - СПб: Коруна, 2005. - 450 с.

.        Лук'янець Т. І. Маркетингова політика комунікацій: навч. посіб. - 2-ге вид., доп. і перероб. - К.: КНЕУ, 2003. - 534 с.

.        Матвіїв М.Я. Маркетинг знань: методологічний та організаційний аспекти. - Т.: Економічна думка, 2007. - 448 с.

.        Мельник Л.Г., Корінцева О./., Старченко /1. В. Маркетингова цінова політика: Навч. посіб. для студ. виш. навч. закл. - Суми: Університетська книга, 2007. - 240 с.

.        Норіцина H. І Маркетингова політика комунікацій: Курс лекцій. - K.: МАУП, 2003 - 120 с.

.        Павленко A.Ф., Войчак А.В. Маркетинг Підручник/Київський національний економічний ун-т. - K.: КНЕУ, 2003. - 246 с.

.        Панько А.В., Романов А.А. Маркетингові комунікації: - М.: ЕСМО, 2006. - 432 с.

.        Парсяк В.И., Маркетинг: від теорії до практики: Навч. посіб. для студ. вищ. навч. закл. - К.: Наукова думка, 2007. - 256 с.

.        Примак Т.О. Маркетинг: Навч. посіб. - K.: МАУП, 2004. - 228 с.

.        Скибінський СВ., Штуль В.П. Маркетинг: навч. посібник у схемах і таблицях/Київський національний економічний ун-т ім. Вадима Гетьмана. - K. КНЕУ, 2007.-224 с.

.        Старостіна А.О., Зозульов О.В. Маркетинг: навч. посіб. - 2-е вид., перероб. і доп. - K.: Знання-Прес, 2003. - 326 с.

Похожие работы на - Шляхи вдосконалення маркетингової діяльності підприємства

 

Не нашли материал для своей работы?
Поможем написать уникальную работу
Без плагиата!
Без нейросетей!