Экономический рост и его модели
Экономический рост и его
модели
1.
Экономический рост: сущность, цели, факторы и типы
Экономический рост - процесс, характеризующийся увеличением
массы создаваемых потребительных стоимостей (или благ) в национальной экономике
в связи с ростом объемов или структуры общественных потребностей (рис. 1.1.)
[11, с. 102].
Рис. 1.1. Содержание экономического роста
В качестве основных показателей экономического роста
используют:
· коэффициент роста -
отношение показателя изучаемого периода к показателю базисного периода;
· темп роста - коэффициент роста, умноженный
на 100%;
· темп прироста - темп роста минус 100%. [3,
c. 272]
Например, темп роста ВВП вычисляется по формуле:
где ВВПt - объем валового внутреннего продукта в
определенный момент времени; ВВПt-1 - объем валового внутреннего продукта в
период времени, принятый в качестве базового.
Аналогичным образом рассчитываются темпы роста ВНД и ЧНД.
Чем выше (при прочих равных условиях) темп экономического
роста, тем большее количество товаров и услуг поступает в распоряжение людей.
Это приводит к повышению жизненного уровня, обеспечивает возможность решения
более широкого круга социально-экономических проблем, создает благоприятные
условия для дальнейшего роста экономики. Однако очевидно, что экономический
рост ценен не сам по себе, а как основа повышения благосостояния населения,
поэтому качественная его оценка часто дается через оценку динамики потребления.
Вместе с тем названные показатели далеко не всегда
свидетельствуют об эффективности экономики и не позволяют в полной мере оценить
достигнутый жизненный уровень. Для этих целей чаще всего используются величина
национального дохода в расчете на душу населения и рост ВВП или ЧНД в pacчете
на душу населения. Данные показатели тесно связаны с экономическим ростом и
определяют повышение уровня жизни в стране в абсолютном выражении или темпы
этого повышения [7, с. 243-244].
Способность экономики к росту определяется рядом факторов. По
способу воздействия на экономический рост можно различать прямые и косвенные
факторы. Прямыми считаются факторы, которые делают рост физически возможными
(факторы предложения):
ü количество и качество природных ресурсов;
ü количество и качество трудовых ресурсов;
ü объем основного капитала;
ü технология и организация производства;
ü уровень развития предпринимательских
способностей в обществе.
Опыт ряда стран показывает, что наличие природных ресурсов и
трудовых ресурсов в настоящее время не являются решающими факторами
экономического роста. Например, в Японии, показывавшей после Второй мировой
войны высокие темпы экономического роста, практически отсутствуют природные
ресурсы. В то же время в ряде африканских стран наличие природных и трудовых
ресурсов сопровождается стагнацией экономики и низким уровнем душевого ВВП.
Косвенные факторы - это условия, которые позволяют
реализовать имеющийся у общества потенциал экономического роста. [8, с. 179]
Косвенные факторы роста (факторы спроса и распределения):
ü степень монополизации рынка;
ü налоговый климат в стране;
ü эффективность кредитно-банковской системы;
ü величина потребительских, инвестиционных и
государственных расходов;
ü действующая система распределения дохода и
т.д.
Общество развивается как единый организм, где все процессы
взаимообусловлены. Современная наука продолжает расширять и углублять наше
понимание влияния процессов в других сферах общественной жизни на возможность
экономического роста. Поэтому представленный перечень косвенных факторов пополняется.
К факторам экономического роста ряд исследователей относят, например, степень
доверия в обществе, от которого зависит уровень коррупционности бюрократии и
эффективность государственного управления, или влияние религии на нормы
экономического поведения людей [12, с. 249-250].
Типы экономического роста
Выделяют два типа экономического роста: экстенсивный и
интенсивный (рис. 1.2).
Экстенсивный экономический рост - экономический рост,
основанный на использовании экстенсивных факторов производства. Он предполагает
использование дополнительной массы факторов производства: труда, земли,
оборудования на неизменной технической основе по сравнению с предыдущим
периодом. [2, c.
861]
В данном контексте постоянно ускоряющийся экономический рост
носит недолгосрочный характер. В конце концов, он приводит к истощению
ресурсов, необходимых для поддержания этого роста, а, следовательно, к кризису
в системе. [4, c. 126]
Интенсивный экономический рост - такой тип роста, когда
происходит использование более совершенных факторов производства (труда, земли,
оборудования) на более совершенной технической и технологической основе по
сравнению с предыдущим периодом. [10, с. 93]
Рис. 1.2. Типы экономического роста
Интенсивный или экстенсивный типы экономического роста не
существуют в чистом виде. Всегда имеет место их сочетание с преобладанием
одного - преимущественно интенсивного или преимущественно экстенсивного
экономического роста. Отнесение экономического роста в тому или иному типу
зависит от величины удельного веса прироста производства, полученного за счет
качественного или количественного изменения его факторов. [6, c. 191]
В определенные моменты экономического развития возможен и
отрицательный экономический рост, которому соответствует суженное воспроизводство.
Это отражается в сокращении объема национального продукта, ухудшении качества
жизни, структуры продукта, замедлении НТП, количественном и качественном
ухудшении факторов производства [13, с. 131].
В экономически развитых странах большая часть роста ВВП
достигается посредством применения научно-технических достижений, т.е.
использования интенсивных факторов развития. Именно интенсивный экономический
рост позволяет преодолевать проблему ограниченности ресурсов. [8, с. 181]
2.
Модели экономического роста
2.1
Многообразие моделей экономического роста
Многогранность экономического роста и многообразие его
факторов в совокупности обусловливают появление различных теоретических
моделей. Среди них есть однофакторные, двухфакторные и многофакторные модели,
статические и динамические, классические и национальные концепции
экономического роста. Их знание позволяет избежать многих ошибок при разработке
экономической политики государства. [5, c. 665]
Прямое воздействие на разработку теоретических моделей
экономического роста оказывают доминирование тех или иных методологических,
мировоззренческих и прочих принципов, выбор инструментов экономического
анализа. Различают два основных типа моделей экономического роста -
неокейнсианский и неоклассический.
Неокейнсианский тип построен на следующих принципах.
. Основу экономического роста составляет рост совокупного
спроса, вызванный ростом инвестиций. Благодаря мультипликативному эффекту
прирост объема национального производства происходит в более высокой степени,
чем рост инвестиций.
. Государство может активно воздействовать на темпы
экономического роста, регулируя совокупный спрос с помощью фискальных рычагов
(дотаций, субсидий, государственных инвестиций, социальных трансфертов) и
денежно-кредитных рычагов».
. Цены малоэластичны, поэтому преобладает сбалансированный
тип экономического роста при наращивании объема загрузки производственных
мощностей. В экономике возможна неполная занятость даже в условиях роста.
. Цикличность развития является неотъемлемой чертой экономической
динамики. Долгосрочный период выявляет тренд, вокруг которого происходят
краткосрочные циклические колебания конъюнктуры, вызванные взаимодействием
мультипликатора и акселератора.
. Труд и капитал как факторы производства не взаимозаменяемы.
К неокейнсианским моделям экономического роста относятся
модели М. Калецкого, Р. Гудвина, Р. Айснера, Д. Джоргенсена, Э. Хансена, П.
Кларка, Р. Гордона, Р. Харрода, Л. Клейна, Дж. Дьюзенберри.
Неоклассические модели экономического роста базируются на
следующих принципах:
. Экономический рост обусловливается расширением совокупного
предложения. В свою очередь расширение предложения возможно благодаря либо
увеличению денежной массы (монетаризм), либо снижению налогового бремени
(теория предложения).
. Экономическая система саморегулируется. Возникший временный
дисбаланс между совокупным предложением и совокупным спросом восстанавливается
через механизм гибких цен. В связи с этим преобладают несбалансированные типы
экономического роста, сопровождающиеся либо дефляцией, либо инфляцией.
. Экономика использует полностью свои мощности, безработица
находится на естественном уровне.
. Технический прогресс является важнейшим фактором не только
долгосрочных колебаний, но и краткосрочных технологических изменений,
распространяющихся во времени неравномерно.
. Труд и капитал взаимозаменяемы. Каждый фактор производства
обеспечивает соответствующую долю производимого продукта.
К неоклассическим моделям экономического роста относятся
модели Ф. Кидленда, Э.Дж. Лонга, Р. Кинга, Ч. Плоссера. [9, c. 225-226]
2.2
Неокейнсианские теории экономического роста. Модель Харрода-Домара
Все неокейнсианские теории экономического роста основываются
на учении Дж.М. Кейнса об эффективном совокупном спросе. Как было сказано выше,
в них доказывается, что решающим условием сбалансированного роста экономика
является увеличение совокупного спроса, реализуемое посредством инвестиций.
Модель Домара исследует двоякую роль инвестиций - их влияние
на увеличение как совокупного спроса, так и производственных мощностей
(совокупного предложения). Кейнс рассматривал инвестиции как источник
образования доходов, которые в результате мультипликационного эффекта
увеличивают совокупный спрос и занятость. В условиях товарного
перепроизводства, наблюдавшегося в период, когда был опубликован основной труд
Кейнса, многие страны переживали тяжелейшую депрессию, осложнявшуюся наличием
значительного количества незадействованных производственных мощностей и
массовой безработицей. Важно было оживить спрос, не наращивая предложения
товаров, поэтому инвестиции рассматривались Кейнсом вне связи с товарным
предложением. [8, c. 184]
Евсей Домар дополнил теорию Кейнса, обосновав способность
инвестиций выступать фактором не только образования доходов, но и создания
производственных мощностей и, следовательно, развития производства и
предложения товаров. Он рассматривал сбалансированность национальной экономики
как равенство национального дохода, представляющего совокупный спрос, и
производственных мощностей, представляющих собой совокупное предложение.
Если инвестиции обеспечивают дополнительные доходы и
одновременно увеличивают производственные мощности, то каким должен быть их
рост, чтобы достигалось равенство темпов прироста и дохода, и производственных
мощностей?
Для ответа на этот вопрос Домар использовал систему трех
уравнений - предложения, спроса и равенства предложения и спроса. [8, c. 185]
В модели Е. Домара предполагаются следующие допущения:
ü труд не является дефицитным ресурсом,
поэтому цена труда не растет в случае увеличения занятости в процессе роста;
ü капиталоемкость (K/Y), норма сбережений (s), предельная
производительность капитала (mrpk) - величины постоянные;
ü выбытие капитала отсутствует;
ü инвестиционный лаг равен нулю;
ü инвестиции равны сбережениям (I=S) [12, c. 251]
♦ Увеличение совокупного предложения ∆AS составит:
где ∆K - прирост капитала.
Прирост капитала обеспечивается соответствующим объемом
инвестиций (∆К = I), следовательно:

где MI - мультипликатор инвестиций,
mps - предельная склонность
к сбережению.
¨ Следует обратить внимание на то, что в
уравнение совокупного предложения входят собственно инвестиции, а в уравнение
спроса - прирост инвестиций. Равновесный экономический рост будет достигнут при
условии равенства совокупного спроса и совокупного предложения (AD = AS),
следовательно:
Преобразовав данное уравнение, получим [7, c. 248]:

левой части этого уравнения показан годовой темп роста инвестиций.
Таким же темпом должен расти и доход. Таким образом, модель Домара позволяет
определить темп, с которым должны постоянно расти инвестиции. Он находится в
прямой зависимости от доли сбережений в национальном доходе и предельной
(средней) эффективности инвестиций (производительности капитала).
Следовательно, только постоянный рост инвестиций обеспечивает в
масштабе общества динамичное равновесие между совокупным спросом и совокупным
предложением. Чтобы обеспечить сбалансированный рост инвестиций, государство
должно воздействовать на долю сбережений (накоплений) в национальном доходе или
на темпы технического прогресса (производительность капитала). [8, c. 186]
К неокейнсианскому направлению относится также модель Роя Харрода,
сходная по содержанию с моделью Евсея Домара: норма уравновешенного роста в ней
также зависит от определенного соотношения между ростом национального дохода и
инвестициями. Поэтому в литературе часто обе модели называют моделью Харрода-Домара.
Однако между ними существуют и важные различия. Модель Домара основывается на
использовании мультипликатора, определяет норму роста инвестиций,
обеспечивающую необходимый рост дохода (выпуска). Модель Харрода включает
эндогенную функцию инвестиций (в отличие от экзогенно заданных инвестиций у
Домара) и определяет норму сбалансированного роста на основе принципа
акселератора и ожиданий предпринимателей.
Действие принципа акселератора можно наиболее наглядно объяснить
на примере стационарной экономики. Если спрос и доход не повышаются, необходимы
инвестиции только на обновление капитала. При этом не существовало бы чистых
инвестиций. Но при росте потребительского спроса для расширения производства
необходимо увеличение чистых инвестиций.
Таким образом, в соответствии с принципом акселератора любой рост
(сокращение) дохода вызывает рост (сокращение) инвестиций, пропорциональный
изменению дохода:
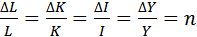
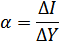
где α - акселератор,
∆I - изменение инвестиций, ∆Y - изменение дохода. [7, c. 248-249]
Создавая модель экономического роста, Р. Харрод исходил из
взаимосвязи трех понятий (уравнений): фактического темпа роста;
гарантированного (прогнозируемого) темпа роста и естественного темпа роста.
¨ Уравнение фактического темпа роста показывает,
какой должна быть доля сбережений в национальном доходе, чтобы обеспечить
экономический рост при изменяющихся темпах технического прогресса (изменяющемся
количестве применяемого капитала):
где G - фактический прирост выпуска продукции за определенный
период; с - коэффициент капиталоемкости продукции, показывающий, во что
обходится единица прироста дохода или продукции (т.е. величина, обратно
пропорциональная производительности капитала); s - предполагаемая норма сбережения,
т.е. сберегаемая часть национального дохода.
Так как предельная капиталоемкость и предельная
капиталоотдача - обратные величины, то с можно представить как 1/MRPk
и преобразовать равенство:
Или
Сопоставление формул 
и 
показывает, что Харрод и Домар пришли к одному и тому же выводу.
¨ Уравнение гарантированного
(прогнозируемого) темпа роста предполагает, что предприниматели строят свои
планы на будущее исходя из предшествующего опыта. Если они удовлетворены
результатами ранее принятых решений, т.е. их прогнозы оправдались, это
означает, что спрос полностью уравновешен предложением и темпы роста объема
выпуска останутся неизменными. Если же спрос выше предложения, они станут
расширять производство, ниже - сворачивать. Это можно выразить формулой:
где Gw - темп роста, прогнозирующий полное
использование возросшей массы применяемого капитала; сr - требуемый коэффициент
капиталоемкости, выражающий потребность в увеличении капитала для выпуска
дополнительной продукции.
При совпадении фактического темпа роста с гарантируемым
экономика имела бы устойчивое непрерывное развитие. Однако, как утверждал
Харрод, такой устойчивости нет ни в кратко-, ни в долгосрочном периоде. На
практике фактический темп роста всегда либо выше, либо ниже гарантированного.
[8, с. 188]
Если фактический темп превысит гарантированный, то склонность
к сбережению не сможет (из-за относительного постоянства) немедленно
увеличиться в той же степени. Это означает, что фактический коэффициент
капиталоемкости понизится и станет меньше прогнозного, на который
ориентировались предприниматели. В этом случае производители, оценивая
фактическую капиталоемкость как чрезмерно низкую, увеличат товарно-материальные
запасы, закупят новое оборудование, что повлечет за собой еще большее ускорение
фактического темпа роста над гарантированным.
Если же фактический темп роста будет ниже гарантированного,
то коэффициент капиталоемкости увеличится и превысит прогнозный, на который
ориентировались предприниматели. Последние придут к заключению, что имеющиеся у
них запасы сырья, материалов и оборудования чересчур велики, и сократят
закупки, чем еще больше снизят фактический темп роста по сравнению с
гарантированным.
Как видим, вместо приспособления фактического темпа развития
производства к равновесному (прогнозному) на практике имеет место обратная
тенденция - все большее удаление действительного темпа роста от равновесного в
сторону повышения либо понижения. На этом основании Харрод сделал вывод о
динамической нестабильности рыночной экономики - так называемый «парадокс
Харрода».
♦ Уравнение естественного темпа роста Харрод ввел,
осознав неизбежность несовпадения фактического и гарантированного темпов роста:

,
где Gn - максимально возможный темп развития
экономики при полном использовании ресурсов.
Для поддержания такого темпа роста в экономике может не хватать
сбережений, поэтому в уравнении естественного темпа роста предусматривалось
отсутствие обязательного равенства между левой и правой частями.
На основании трех уравнений Харрод рассмотрел ряд возможных
ситуаций:
· если действительный (фактический) темп
роста опережает гарантированный, то инвестиции превышают сбережения, вследствие
чего возникает инфляция;
· если фактический темп роста отстает от
гарантированного, то сбережения превышают инвестиции, что ведет к безработице и
недоиспользованию производственных мощностей;
· если гарантированный темп роста превышает
естественный, то экономика не может достигнуть равновесия. Части накоплений не
удастся превратиться в капиталовложения из-за отсутствия рабочей силы и
технического прогресса;
· если гарантированный темп роста
оказывается ниже естественного, то действительный темп роста может его
опередить, потому что избыток трудовых ресурсов позволит увеличить инвестиции,
и экономика испытает подъем. Однако из-за постоянного превышения инвестиций над
сбережениями развивается инфляционная ситуация.
Равенство гарантированного и естественного темпов
экономического роста Р. Харрод определил как условие устойчивого роста при
полной занятости.
Рассмотренные модели темпов роста показывают, что основным
фактором экономического роста и Харрод, и Домар считали сбережения. В то же
время Харрод предупреждал, что рыночный механизм сам по себе не в состоянии
обеспечить размер сбережений, который бы соответствовал требованиям
экономического роста, и делал вывод о необходимости государственного
вмешательства в экономику.
Поскольку выводы Харрода и Домара аналогичны, их модели часто
объединяют в общую модель Харрода-Домара, из которой следует, что при данных
производственных условиях темп экономического роста определяется величиной
предельной склонности к сбережению, а динамическое равновесие в рыночной
системе по своей природе неустойчиво, поэтому возникает необходимость
государственного регулирования экономики. [8, c. 189-190]
2.3 Неоклассические теории экономического роста
Неоклассические модели экономического роста разрабатывались
на основе использования производственных функций, т.е. функций, устанавливающих
зависимость между выпуском продукции и факторами производства. Обычно
исследователи исходят из предпосылки эффективного использования факторов.
Например, из всего множества комбинаций труда и капитала, удовлетворяющих
бюджетным возможностям фирмы, анализ останавливается на множестве комбинаций
факторов, соответствующих полному использованию бюджета.
Рассмотрим производственную функцию в общем виде 
и определим свойства производственных функций. Производственная
функция строится таким образом, чтобы удовлетворить следующим гипотезам
(временно абстрагируемся от технического прогресса):
1. Непрерывность. Функции являются непрерывными и
превращаются в нуль, когда один из производственных факторов превращается в
нуль:
. Аддитивность. Это означает, что объединение усилий
двух групп (L1, K1) и (L2, K2) даст результаты по меньшей мере такие же хорошие, как и
результаты, достигнутые при раздельном производстве этих групп; кооперация
групп не может дать худшие результаты:
. Делимость. Гипотеза делимости означает, что любой
производственный процесс может осуществляться в сокращенных масштабах. Из
закона падающей предельной производительности факторов производства при росте
его объемов следует:
Используя указанные три гипотезы, можно вывести некоторые
важные свойства производственных функций [12, c. 256]:
Свойство 1. Постоянная отдача.
Удвоение факторов производства, например, приводит к удвоению
выпуска продукции:
Если опустить гипотезы 2 и 3, то кроме постоянной отдачи
можно было бы получить возрастающую и убывающую отдачу:

,
Возрастающая отдача при h > 1;
постоянная отдача при h=1; убывающая
отдача при h < 1.
Свойство 2. Падение предельной производительности.
Это свойство известно из экономической теории: когда один фактор
из двух увеличивается, то его предельная производительность снижается (свойство
постоянной отдачи соблюдается при увеличении двух факторов в одинаковой
пропорции). [12, c. 257]
Производственная функция Кобба-Дугласа - это производственная
функция, которая учитывает совокупность двух факторов производства - капитала и
труда - и обладает установленными выше свойствами. В соответствии с общим
свойством всех производственных функций данная функция предполагает полное
использование капитала и полную занятость.
Функция Кобба-Дугласа была введена двумя американскими
экономистами - Ч. Коббом и П. Дугласом - для изучения замены факторов
«труд-капитал»:
где 0 < α < 1. [12,
c. 258]
Существует еще один фактор, помимо труда и капитала, который
вызывает рост производства - технический прогресс. Этот термин отражает не
только технологическое обновление производства на основе использования более
производительной техники или новых материалов, но и все другие причины, которые
влияют на отдачу труда и капитала (более совершенная организация труда, улучшение
качества рабочей силы, улучшение отраслевой структуры производства, повышение
эффективности государственного управления и пр.).
В производственной функции технический прогресс задается
экзогенным параметром:
или в общем виде,
где λ, или A(t), задает
постоянный во времени темп роста выпуска, вызванный техническим прогрессом.
[12, c. 258-259]
В модели Роберта Солоу показано, как связаны между собой рост
запасов капитала, рабочей силы и улучшение технологии и каким образом они
воздействуют на объем выпуска. Первоначальный анализ заключается в определении
влияния спроса и предложения товаров на накопление капитала. При этом объем
рабочей силы и технология предполагаются неизменными. В последующем анализе
этих допущений не будет.
Взаимозаменяемость факторов (изменение капиталовооруженности)
объясняется не только технологическими условиями, но и классической предпосылкой
о совершенной конкуренции на рынках факторов. Другими предпосылками анализа в
модели Солоу служили убывающая предельная производительность капитала,
постоянная отдача от масштаба, постоянная норма выбытия, отсутствие
инвестиционных лагов. [7, c. 254-255]
Как неоднократно отмечалось выше, необходимым условием равновесия
экономической системы является равенство совокупного спроса и совокупного
предложения. Совокупное предложение в модели Р. Солоу описывается
производственной функцией с постоянной отдачей от масштаба:
где Y - объем выпуска; F (K, L) - функция от капитала и труда соответственно.
Вследствие допущения постоянной отдачи от масштаба производства
для любого положительного числа z верно
следующее равенство:
Допустим, 
. Тогда
где 
- объем выпуска в расчете на одного работника; 
- объем капитала в расчете на одного работника. [7, c. 255]
Обозначим 
через y (производительность труда), а 
через k (капиталовооруженность) и представим уравнение 
в виде взаимосвязи производительности и капиталовооруженности:
График производственной функции 
показывает зависимость между капиталовооруженностью k и средней производительностью труда: [8, c. 195-196]
Так как доход делится между потреблением и сбережениями в
соответствии со сложившейся предельной склонностью к сбережению, то потребление
будет равно: с = (1 - mps) y (где mps - норма сбережения (накопления), или
предельная склонность к сбережению). Тогда уравнение

примет вид:
После преобразования получим:
Это уравнение показывает, что инвестиции (как и потребление)
пропорциональны доходу. В условиях равновесия они равны сбережениям и норма
сбережения отражает, какая часть произведенной продукции идет на капитальные
вложения. Заменим y выражением производственной функции и
получим функцию инвестиций от капиталовооруженности:
Чем выше уровень капиталовооруженности, тем больше объем выпуска и
инвестиции, приходящиеся на одного работника. [7, c. 255-256]
Для определения устойчивого состояния экономики в модели Солоу
необходимо рассмотреть проблему накопления капитала. Динамика объема выпуска
зависит от объема (запаса) капитала, который в свою очередь зависит от объема
инвестиций i и нормы выбытия капитала: инвестиции
увеличивают запас капитала, а выбытие - уменьшает.
Обозначим норму выбытия капитала (норму амортизации) символом 
. Так как по условию норма выбытия 
постоянна, то ежегодно вследствие выбытия капитала его запас
должен уменьшаться на 
и увеличиваться на i. Тогда условие
накопления капитала можно записать в виде уравнения:

.
Поскольку инвестиции равны сбережениям, то изменение запасов
капитала можно выразить следующим образом:
.
Данное уравнение представляет собой условие накопления капитала.
Если прирост инвестиций в текущем году равен выбытию в текущем году, то
изменение запаса капитала 
равно нулю. Производство, сбережения и требуемые инвестиции
достигают определенного устойчивого уровня, т.е. в экономике устанавливается состояние
равновесия. Уровень капиталовооруженности k', при котором 
, называется равновесным устойчивым уровнем капиталовооруженности.
Он характеризует состояние долгосрочного равновесия экономики. В равновесном
состоянии объем выпуска не изменяется, а сбережения и требуемые инвестиции
равны.
Модель Солоу показывает, что норма сбережения (накопления) - это
основной фактор, определяющий уровень устойчивой капиталовооруженности. Более
высокая норма сбережения обеспечивает больший запас капитала и более высокий
уровень выпуска на душу населения. Рост нормы сбережения с s1 до s2 сдвигает кривую инвестиций s1f(k) в
положение s2f(k), и экономика переходит в новое
равновесное состояние.
Увеличение нормы сбережения обеспечивает экономический рост до
момента достижения нового устойчивого равновесия (с большей
капиталовооруженностью и производительностью), при котором запасы капитала и
объем выпуска постоянны. Если в экономике поддерживается высокая норма
сбережений, то и капиталовооруженность, и производительность будут высоки.
Вместе с тем очевидно, что увеличение нормы сбережения не может объяснить
механизм непрерывного экономического роста в долгосрочном периоде. Необходимо
расширить модель Солоу, включив в нее два других источника экономического роста
- рост населения и технологический прогресс.
Важным источником экономического роста является рост населения, а
точнее - увеличение численности занятых (работников). Предположим, что
население растет с постоянным темпом п, а его численность равна числу занятых.
Следовательно, количество работников также увеличивается темпами п. Линия
инвестиций 
, требуемых для замены изнашиваемого капитала и поддержания
устойчивого равновесия, сместится влево в положение (п + 
) k.
Если n - темп роста занятых, а 
- норма выбытия капитала, то (п+
) k - объем инвестиции, необходимый для
поддержания капиталовооруженности на постоянном уровне.
При постоянном запасе капитала и росте численности работников
уровень устойчивой капиталовооруженности уменьшится до 
. Одновременно уменьшится и выпуск на душу населения до 
. Это позволяет объяснить низкий уровень дохода на душу населения
во многих развивающихся странах.
Но чтобы капиталовооруженность оставалась k’ и при росте населения, запас капитала должен увеличиваться
одинаковыми с ним темпами. Это возможно, если такими же окажутся темпы роста
инвестиций. Рост последних приведет к повышению уровня выпуска национального
продукта гармонизированными темпами, т.е. можно записать:

.
В этом случае при росте численности населения темпами п
национальный продукт будет возрастать с тем же темпом, что и население, и
достигнет 
. [8, c. 201-202] Таким образом, рост населения
является одной из причин непрерывного экономического роста в условиях
устойчивого состояния экономики, но он не объясняет повышение уровня жизни в
долгосрочном периоде. Третьим источником экономического роста после инвестиций
и увеличения численности занятых является технологический прогресс. В модели
Солоу предполагается трудосберегающий тип технологического прогресса, под
влиянием которого повышается эффективность труда одного работника.
Производственная функция представлена как Y=F (K, L∙E), где Е - эффективность труда, а L∙E - число занятых с постоянной
эффективностью Е. Чем выше Е, тем больше продукции может быть произведено
данным числом работников. Предполагается, что эффективность труда одного
работника увеличивается с постоянным темпом g, то есть ∆E/E=g. Рост
эффективности труда в данном случае аналогичен по результатам росту численности
занятых. Если численность занятых L растет
с темпом n: а
эффективность труда Е
увеличивается в связи с технологическим прогрессом с темпом g, то L∙E будет увеличиваться с темпом n+g, или ∆L/L+∆E/E=n+g. Но, в отличие от ситуации с ростом населения, с таким же
темпом g станут расти капиталовооруженность (K/L), выпуск (Y/L). Последнее
может служить основой повышения благосостояния населения. Включение в модель
Солоу фактора технологического прогресса позволяет понять механизм непрерывного
роста уровня жизни. Когда экономика достигает устойчивого состояния, темп
увеличения выпуска продукции на одного работника зависит только от скорости
технологического прогресса. В модели Солоу найдено объяснение причин
непрерывного экономического роста в режиме устойчивого состояния экономики при
полной занятости ресурсов в долгосрочном периоде. [8, c. 202]
3
Выработка национальной модели экономического роста в трансформационный период
.1
Факторы, влияющие на национальную модель экономического роста
Изложенные выше теоретические модели экономического роста
призваны установить причинно-следственные зависимости, существующие между
экономическими явлениями, высветить основные факторы, определяющие экономическую
динамику.
Вместе с тем любая теоретическая модель - это всего лишь
научная абстракция. Сложность и многообразие национальной практики
хозяйствования приводят к тому, что каждая теоретическая модель содержит
значительные упрощения. Обнаруживается заметное противоречие между
количественным и качественным анализом. Тем более что далеко не все
экономические обстоятельства можно с одинаковым успехом формализовать, т.е.
дать их количественную интерпретацию.
При формировании национальной модели экономического роста
доминирует конкретный экономический анализ, предлагаются практические решения.
В такой страноведческой модели экономического роста отражаются не только
общечеловеческие ценности и основные тенденции формирования смешанной
экономики, но и национальные факторы развития.
Модель экономического роста всегда выступает составной частью
общей модели национальной экономики, может быть представлена в виде
национальной концепции экономического развития.
Среди современных
требований, которые предъявляются к национальной экономической системе,
необходимо выделить:) обеспечение эффективного использования национальных
(доминирующих в стране) факторов производства;) максимальную адаптацию к
влиянию природно-климатических и) внешних условий хозяйствования;) полный
учет сложившихся национальных обычаев и традиций,) максимальное
использование национальных факторов развития;) активное участие в
интеграционных процессах, позволяющих стране занять достойное место в системе
международного разделения труда. [14, c. 71]
Вывод: реальная практика хозяйствования любой
суверенной страны нуждается в разработке и постоянном обновлении национальной
модели экономического роста. [5, c. 671-672]
3.2
Отказ от преимущественно экстенсивного экономического роста
Вступление большой группы бывших социалистических стран в
трансформационный период одновременно означало, что взят курс на отказ от
прежней модели экономического роста. [5, c. 672-673]
Прежде всего, необходимо отказаться от преимущественно
экстенсивного типа экономического роста, так как это грозит вечным застоем и
увеличением технологического отставания от передовых стран мира, сохранением
затратного характера производства, ускоренным истощением природных ресурсов и
провоцированием чрезмерного наращивания производственных фондов.
Традиционный технократический подход к управлению, вместе с
«линейными», «линейно-функциональными» и прочими вертикально интегрированными
структурами, ушел в прошлое. Успешными в настоящее время являются только
горизонтально интегрированные компании, развивающиеся на основе знаний и
инноваций. [15, c. 55]
Вывод: решение задачи обеспечения в переходный период
нового качества экономического роста предполагает отказ от преимущественно
экстенсивного типа экономического роста.
3.3
Промышленная политика
Индустриальный комплекс призван поставлять в необходимом
ассортименте станки и оборудование, формировать материальные предпосылки
расширенного воспроизводства. Поэтому составной частью национальной модели
экономического роста всегда выступает промышленная политика.
Выделим основные функции промышленной политики:
а) защитительная - сохранение и укрепление
отечественного промышленного комплекса;
б) адаптивная - приспособление к изменяющимся внутренним
и внешним экономическим условиям хозяйствования;
в) инициативная - ориентация на ближайшее будущее.
В рамках промышленной политики предопределяются основные
приоритеты развития индустриального комплекса страны. В переходный период в
качестве таких ориентиров выступают:
) наращивание объема выпуска в отраслях с быстрым оборотом
капитала и высокой бюджетной эффективностью;
) поддержка отраслей наукоемких и высоких технологий;
3)расширение производства конкурентоспособной продукции;
4) ресурсо- и энергосбережение как важнейшие условия
функционирования национальной промышленности;
5)сохранение и увеличение занятости населения, наращивание
высокоэффективных рабочих мест.
Повседневная реализация основных приоритетов предполагает
сертификацию систем качества международного уровня, обеспечение заслона против
проникновения на внутренний рынок некачественной и низкосортной продукции,
импорт новых технологий, стимулирование инновационного процесса,
Конечно, при этом не обойтись без четкого государственного
регулирования, включая систему налоговых, таможенных и инвестиционных мер по
стимулированию отечественного производителя, без поддержки развития мелкого и
среднего бизнеса через систему институтов экономического самоуправления.
Государственная промышленная политика предполагает содействие расширению спроса
на отечественную продукцию (закупка товаров, реклама на внешних рынках,
организация тематических и достоянных выставок, развитие инфраструктуры).
Для переходной экономики особое значение приобретают качество
трудовых ресурсов и отечественного менеджмента; уровень научных исследований,
связь науки и производства обеспечение высокой скорости распространения
технологических и иных инноваций.
Вывод: национальная модель экономического роста в
период трансформации предполагает соблюдение всех условий, которые
предопределяют достижение высокой конкурентоспособности отечественной
продукции. [5, c. 673-674]
Таким образом, модернизация белорусской экономики будет
происходить крайне медленно до тех пор, пока государство не изменит свои
функции и институты так, чтобы и государственное управление, и управление в
организациях и корпорациях обеспечивало рост и развитие на основе знаний и
инноваций. Только осознание необходимости, овладение навыками и создание
государством соответствующих институтов, а также создание соответствующих систем
управления в корпорациях и организациях обеспечит переход Беларуси к
постиндустриальному информационному обществу, новой экономике, основанной
знаниях. [15, c.
57]
Заключение
. Экономический рост - процесс, характеризующийся увеличением
массы создаваемых потребительных стоимостей (или благ) в национальной экономике
в связи с ростом объемов или структуры общественных потребностей. Различают два
типа экономического роста: экстенсивный и интенсивный. Факторы делят на прямые
(факторы предложения): количество и качество природных и трудовых ресурсов,
объем основного капитала и др.; и косвенные (факторы спроса): степень
монополизации рынка, налоговый климат в стране, эффективность
кредитно-банковской системы и др.
. Все неокейнсианские теории экономического роста
основываются на учении Дж.М. Кейнса об эффективном совокупном спросе. В них
доказывается, что решающим условием сбалансированного роста экономика является
увеличение совокупного спроса, реализуемое посредством инвестиций.
. Основным фактором экономического роста и Харрод, и Домар
считали сбережения. В то же время Харрод предупреждал, что рыночный механизм
сам по себе не в состоянии обеспечить размер сбережений, который бы
соответствовал требованиям экономического роста, и делал вывод о необходимости
государственного вмешательства в экономику. Поскольку выводы Харрода и Домара
аналогичны, их модели часто объединяют в общую модель Харрода-Домара, из
которой следует, что при данных производственных условиях темп экономического
роста определяется величиной предельной склонности к сбережению, а динамическое
равновесие в рыночной системе по своей природе неустойчиво, поэтому возникает
необходимость государственного регулирования экономики.
. Неоклассические модели экономического роста разрабатывались
на основе использования производственных функций, т.е. функций, устанавливающих
зависимость между выпуском продукции и факторами производства.
. В модели Р. Солоу показано, как связаны между собой рост
запасов капитала, рабочей силы и улучшение технологии и каким образом они
воздействуют на объем выпуска. Модель Солоу показывает, что норма сбережения
(накопления) - это основной фактор, определяющий уровень устойчивой
капиталовооруженности. Более высокая норма сбережения обеспечивает больший
запас капитала и более высокий уровень выпуска на душу населения. Можно
усовершенствовать модель Солоу, включив в нее два других источника
экономического роста - рост населения и технологический прогресс. Рост
населения является одной из причин непрерывного экономического роста в условиях
устойчивого состояния экономики, но он не объясняет повышение уровня жизни в
долгосрочном периоде. Включение в модель Солоу фактора технологического
прогресса позволяет понять механизм непрерывного роста уровня жизни. Когда
экономика достигает устойчивого состояния, темп увеличения выпуска продукции на
одного работника зависит только от скорости технологического прогресса.
. Модель экономического роста всегда выступает составной
частью общей модели национальной экономики, может быть представлена в виде
национальной концепции экономического развития. Реальная практика
хозяйствования любой суверенной страны нуждается в разработке и постоянном
обновлении национальной модели экономического роста.
. Решение задачи обеспечения в переходный период нового качества
экономического роста предполагает мобилизацию экономических и социальных
факторов. Для переходной экономики особое значение приобретают качество
трудовых ресурсов и отечественного менеджмента; уровень научных исследований,
связь науки и производства обеспечение высокой скорости распространения
технологических и иных инноваций.
Список
источников
1.
Агапова Т.А., Серегина С.Ф. МАКРОЭКОНОМИКА: Учебник / Под ред. профессора, д.
э. н. А.В. Сидоровича. М.: МГУ им. М.В. Ломоносова, Издательство «ДИС», 1977. -
416 с.
.
БОЛЬШОЙ ЭКОНОМИЧЕСКИЙ СЛОВАРЬ / Под ред. А.Н. Азрилияна.
4-е
изд., доп. и перераб. - М.: Институт новой экономики, 1999. - С. 860 - 862.
.
Вечканов Г.С., Вечканова Г.Р. Макроэкономика: учебник. - 2-е изд. - СПб.:
Питер, 2006. - 544 с.
.
Деревятко, И.П. Основы устойчивого экономического роста / И.П. Деревятко; Под
ред. д-ра экон. наук А.В. Неверова. - Мн.: Дикта, 2005. - 304 с.
.
Макроэкономика: учебное пособие / Н.И. Базылев, М.Н. Базылева, С.П. Гурко и
др.; под ред. Н.И. Базылева, С.П. Гурко. - 2-е изд., перераб. - Мн.: БГЭУ,
2000. - 214 с.
.
Макроэкономика: учебное пособие / А.В. Бондарь [и др.]. - 2-е изд. - Мн.: БГЭУ,
2009. - 415 с.
.
Макроэкономика: учебное пособие / В.А. Воробьев, А.В. Бондарь, Л.Н. Новикова и
др.; под ред. проф. В.А. Воробьева. - Мн.: БГЭУ, 2009. - 270 с.
.
Макроэкономика: учебное пособие / Т.С. Алексеенко и др.; под ред. Л.П.
Зеньковой. - Мн.: ИВЦ Минфина, 2007. - 380 с.
.
Макроэкономика: учебное пособие / П.Г. Никитенко, Э.А. Лутохина, В.В.
Козловский и др.; под ред. Э.А. Лутохиной. - Мн.: ОДО «Равноденствие», 2004. -
296 с.
.
Макроэкономика: социально ориентированный подход: учебное пособие / Э.А.
Лутохина, В.В. Козловский, В.Н. Бусько и др.; под ред. Э.А. Лутохиной. - Мн.:
Тесей, 2003. - 320 с.
.
Макроэкономика: учебник / И.В. Новикова и др.; под ред. И.В. Новиковой, Ю.М.
Ясинского. - Мн.: Тетра Системс, 2010. - 384 с.
.
Макроэкономика: учебное пособие / М.И. Плотницкий, Э.И. Лобкович, М.Г.
Муталимов и др.; под ред. М.И. Плотницкого. - 2-е изд., стер. - М.: Новое
знание, 2004. - 462 с.
.
Черченко Н.В. Этапы формирования конкурентоспособности национальной экономики
// Вестник БГУ. Сер. 3. 2005. №3. - с. 72 - 75.
.
Ясинский, Ю.М. Экономический рост и проблемы модернизации белорусской экономики
// Проблемы управления. - 2008. - №2. - С. 50 - 57.
экономический
производственный рост модель