Оптимальное непроизводственное потребления в односекторной модели экономического роста

  • Вид работы:
    Дипломная (ВКР)
  • Предмет:
    Менеджмент
  • Язык:
    Русский
    ,
    Формат файла:
    MS Word
    839,16 Кб
  • Опубликовано:
    2014-11-14
Вы можете узнать стоимость помощи в написании студенческой работы.
Помощь в написании работы, которую точно примут!

Оптимальное непроизводственное потребления в односекторной модели экономического роста

Министерство образования и науки Российской Федерации

Федеральное государственное бюджетное образовательное учреждение

высшего профессионального образования

"Кубанский государственный университет" (ФГБОУ ВПО "КубГУ")

Кафедра мировой экономики и менеджмента

Допустить к защите ГАК

Заведующий кафедрой

д-р экон. наук, профессор

И.В. Шевченко



Выпускная квалификационная работа бакалавра

Оптимальное непроизводственное потребления в односекторной модели экономического роста


Работу выполнил Д.С. Ващенко

Факультет экономический

Научный руководитель

к.э.н., доц. кафедры КММ

Г.Н. Библя

Нормоконтролер ст. препод.

Ю.С. Клещева

Краснодар 2014

Реферат

математический односекторный экономический кризисный

Дипломная работа 79 с., 19 рис., 10 табл., 16 источников, 1 прил.

Математическое моделирование, односекторная модель экономического роста, фондовооруженность, инвестиции, непроизводственное потребление, MATLAB.

Объектом исследования является сущность, принципы и методы построения моделей экономического роста с ориентацией на процессы оптимизации потребления.

Целью работы является разработка математической модели оптимизации потребления в односекторной модели экономического роста, выявление факторов, влияющих на экономический рост, разработка механизмов их применения в процессе, обеспечения стабилизации при возникновении кризисных ситуаций в экономике.

Основные результаты - разработана имитационная модель в среде программирования MATLAB, позволяющая менять параметры исходной модели, рассматриваемые как постоянные величины. Регулируя норму накопления, можно добиться увеличения в перспективе нормы потребления.

Содержание

Введение

. Теоретико-методологические основы построения математических моделей

.1 Экономико-математическое моделирование как метод научного познания

.2 Классификация экономико-математических моделей

.3 Экономико-математическая модель оптимизационной задачи

.4 Этапы экономико-математического моделирования

2. Построение односекторной модели экономического роста

2.1 Классическая модель экономического роста

.2 Экономический рост и уровень непроизводственного потребления

.3 Кейнсианская модель экономического роста

.4 Построение математической модели в абсолютных показателях

.5 Построение математической модели в относительных показателях

.6 Построение модели в абсолютных показателях с учётом запаздывания при вводе фондов

. Оптимизация непроизводственных потребностей в модели экономического роста

.1 Построение имитационной модели потребления в односекторной модели экономического роста

.2 Построение имитационной модели средствами пакета MatLab

Заключение

Список использованных источников

Приложение

Введение

С развертыванием нового этапа научно-технической революции и выделением новых приоритетов развития экономики, актуальность проблемы обеспечения и эффективного экономического развития, экономического роста и интенсификации расширенного воспроизводства приобретает важнейшее значение в современном обществе. Судьба той или иной системы хозяйства в настоящее время зависит от экономического роста и условий его поддержания.

В последние годы вопросы экономического роста вызывают большой интерес и особую остроту в результате того, что выявилось противоречие между ростом производства материальных благ и безудержным истощением природных ресурсов, сопровождаемым загрязнением окружающей среды. Для мирового сообщества новый подход к пониманию сущности экономического роста оказывается значимым с точек зрения разрешения противоречия между производством и потреблением, бурного развития научно-технического прогресса, роста численности населения, неравного экономического положения стран, и в то же время стремления государств увеличения капитала в своей экономике.

Целью является разработка математической модели оптимизации потребления в односекторной модели Экономического роста, выявление факторов, влияющих на экономический рост, разработка механизмов их применения их в процессе, обеспечения стабилизации при возникновении кризисных ситуаций в экономике.

Для достижения данной цели были поставлены следующие задачи:

обосновать понятие односекторной модели экономического роста в условиях реформировании экономики стран на переходном этапе;

выявить наиболее важные положения и параметры, влияющие на процессы потребления в модели экономического роста;

определить характер макроэкономических условий, при которых может быть применена однофакторная модель экономического роста;

построить однофакторную математическую модель экономического роста для выбранного экономического объекта;

дать анализ полученным результатам и построить имитационную модель экономического роста;

разработать рекомендации по применению результатов работы.

Объектами исследования являются сущность, принципы и методы построения моделей экономического роста с ориентацией на процессы оптимизации потребления.

Предметом исследования является возможность применения теорий и моделей экономического роста к условиям развития экономического объекта.

Теоретическая и методологическая основа дипломной работы опирается на теоретические и методологические подходы и установки, выработанные экономической наукой, использование системного и сравнительного анализа.

Структура дипломной работы: Пояснительная записка состоит из введения, трех разделов, заключения, приложения, библиографии основной использованной литературы.

1. Теоретико-методологические основы построения математических моделей

.1 Экономико-математическое моделирование как метод научного познания

Моделирование в научных исследованиях стало применяться в глубокой древности, постепенно захватывая всё новые области научных знаний: техническое конструирование, строительство и архитектуру, астрономию, физику, химию, биологию и, наконец, общественные науки. Большие успехи и признание практически во всех отраслях современной науки принёс методу моделирования - ХХ век. Однако методология моделирования долгое время развивалась независимо отдельными науками. Отсутствовала единая система понятий, единая терминология. Лишь постепенно стала осознаваться роль моделирования как универсального метода научного познания [4, c. 10]

Термин модель широко используется в различных сферах человеческой деятельности и имеет множество смысловых значений. Рассмотрим только такие модели, которые являются инструментами получения знаний.

Модель - это материальный или мысленно представляемый объект, который в процессе исследования замещает объект - оригинал, так, что его непосредственное изучение даёт новые знания об объекте - оригинале.

Под моделированием понимается процесс построения, изучения и применения моделей. Оно тесно связано с такими категориями, как абстракция, аналогия, гипотеза и др. Процесс моделирования обязательно включает и построение абстракций, и умозаключения по аналогии, и конструирование научных гипотез.

Главная особенность моделирования в том, что это метод опосредованного познания с помощью объектов - заместителей. Модель выступает как своеобразный инструмент познания, который исследователь ставит между собой и объектом и с помощью которого изучает интересующий его объект. Именно эта особенность метода моделирования определяет специфические формы использования абстракций, аналогий, гипотез, других категорий и методов познания.

Необходимость использования метода моделирования определяется тем, что многие объекты (или проблемы, относящиеся к этим объектам) непосредственно исследовать или вовсе невозможно, или же это исследование требует много времени и средств.

Метод моделирования включает три элемента:

−   субъект (исследователь);

−       объект исследования;

−       3 модель, опосредствующую отношения познающего субъекта и познаваемого объекта,

Пусть имеется или необходимо создать некоторый объект А Мы конструируем (материально или мысленно) или находим в реальном мире другой объект В - модель объекта А. Рассмотрим основные этапы моделирования (рисунок 1.1.) [2, c. 16].

Этап построения модели предполагает наличие некоторых знаний об объекте- оригинале. Познавательные возможности модели обусловливаются тем, что модель отражает какие- либо существенные черты объекта - оригинала. Вопрос о необходимой и достаточной мере сходства оригинала и модели требует конкретного анализа. Очевидно, модель утрачивает свой смысл как в случае тождества с оригиналом (тогда он перестаёт быть оригиналом), так и в случае чрезмерного во всех существенных отношениях отличия от оригинала.

Таким образом, изучение одних сторон моделируемого объекта осуществляется ценой отказа от отражения других сторон. Поэтому любая модель замещает оригинал лишь в строго ограниченном смысле. Из этого следует, что для одного объекта может быть построено несколько "специализированных" моделей концентрирующих внимание на определённых сторонах исследуемого объекта или же характеризующих объект с разной степенью детализации.

На втором этапе процесса моделирования модель выступает как самостоятельный объект исследования. Одной из форм такого исследования является проведение "модельных" экспериментов, при которых сознательно изменяются условия функционирования модели и систематизируются данные об ее "поведении". Конечным результатом этого этапа является множество знаний о модели R.

Рисунок 1.1 - Этапы моделирования

На третьем этапе осуществляется перенос знаний с модели на оригинал формирование множества знаний S об объекте. Этот процесс переноса знаний проводится по определённым правилам. Знания о модели должны быть скорректированы с учётом тех свойств объекта - оригинала, которые не нашли отражения или были изменены при построении модели. Мы можем с достаточным основанием переносить какой-либо результат с модели на оригинал, если этот результат необходимо связан с признаками сходства оригинала и модели. Если же определённый результат модельного - исследования связан с отличием модели от оригинала, то этот результат переносить неправомерно [3, c. 22].

Четвёртый этап - практическая проверка полученных с помощью моделей знаний и их использование для построения обобщающей теории объекта, его преобразования или управления им.

Для понимания сущности моделирования важно не упускать из виду, что моделирование - не единственный источник званий об объекте. Процесс моделирования "погружён" в более общий процесс познания. Это обстоятельство учитывается не только на этапе построения модели, но и на завершающей стадии, когда происходит объединение и обобщение результатов исследования, получаемых на основе многообразных средств познания.

Моделирование - циклический процесс. Это означает, что за первым четырёхэтапным циклом может последовать второй, третий и т.д. При этом знания об исследуемом объекте расширяются и уточняются, а исходная модель постепенно совершенствуется. Недостатки, обнаруженные после первого цикла моделирования, обусловленною малым знанием объекта и ошибками в построении модели, можно исправить в последующих циклах В методологии моделирования, таким образом, заложены большие возможности саморазвития.

Проникновение математики в Экономическую науку связано с преодолением значительных трудностей, лежащих в природе экономических процессов и специфике экономической науки.

Большинство объектов, изучаемых экономической наукой, может быть охарактеризовано кибернетическим понятием - "сложная система" [1, c. 14].

Наиболее распространено понимание системы как совокупности элементов, находящихся во взаимодействии и образующих некоторую целостность, единство. Важным качеством любой системы является эмерджентность - наличие таких свойств, которые не присущи ни одному из элементов, входящих в систему. Поэтому при изучении систем недостаточно пользоваться методом их расчленения на элементы с последующим изучением этих элементов в отдельности. Одна из трудностей экономических исследований - в том, что почти не существует экономических объектов, которые можно было бы рассматривать как отдельные (внесистемные) элементы.

Сложность системы определяется количеством входящих в неё элементов, связями между этими элементами, а также взаимоотношениями между системой и средой. Экономика страны обладает всеми признаками очень сложной системы. Она объединяет огромное число элементов, отличается многообразием внутренних связей и связей с другими системами (природная среда, экономика других стран и т. д.). В управлении экономикой взаимодействуют природные, технологические, социальные процессы, объективные и субъективные факторы.

Сложность экономики иногда рассматривалась как обоснование невозможности её моделирования, изучения средствами математики. Но такая точка зрения в принципе неверна. Моделировать можно объект любой природы и. любой сложности, И как раз сложные объекты представляют наибольший интерес для моделирования; именно здесь моделирование может дать результаты, которые нельзя получить другими способами исследования.

Потенциальная возможность математического моделирования любых экономических объектов и процессов не означает, разумеется, её успешной осуществимости при данном уровне экономических и математических знаний, имеющейся конкретной информации и вычислительной технике. И, хотя нельзя указать абсолютные границы математической формализуемости экономических проблем, всегда будут существовать неформализованные ещё проблемы, для которых математическое моделирование недостаточно эффективно.

С экономической точки зрения оптимальные решения, полученные с помощью экономическо-математического моделирования, обладают следующими основными свойствами (рисунок 1.2.) [2, c. 22].

Рисунок 1.2 - Свойства оптимального решения

. Оптимальность решения зависит от целей, поставленных при планировании процесса. Например, выбор типа транспорта по критерию стоимости перевозки будет отличаться от выбора по критерию скорости.

. Оптимальность решения зависит от текущей хозяйственной обстановки (иными словами, оптимум всегда конкретен, его нельзя вычислять абстрактно).

. Существенные изменения оптимального варианта происходят только при значительных изменениях обстановки - это свойство называется устойчивостью базиса оптимального плана относительно малых изменений условий (т.е. оптимальные решения можно находить достаточно надёжно, несмотря на приблизительный характер почти всей экономической информации).

. При определении взаимозависимости решений по всем объектам экономики особое значение имеют обратная связь объектов и издержки обратной связи. Например, если предприятия А и Б потребляют один и тот же ограниченный ресурс, то увеличение доли предприятия А уменьшает долю предприятия Б (обратная связь).

Рисунок 1 3 - Типы проблем планирования и управления

Объектом для экономико-математического моделирования является полностью структурированные проблемы, характеристики которых приведены в блоке 1 рисунка 1.3. Частично или слабо структурированные проблемы, определяются во втором блоке, является объектами для методов системного анализа, сочетающих неформализованные решения специалистов с модельными расчётами по отдельным предметам [14, c. 31].

Неструктурированные проблемы (блок 3) является объектами для экспертных решений, принимаемых на основе опыта и интуиции специалистов

Уже длительное время главной проблемой практического применения математического моделирования в экономике является сложность наполнения разработанных моделей конкретной и качественной информацией. Точность и полнота первичной информации, реальные возможности её сбора и обработки во многом определяют выбор типов прикладных моделей. С другой стороны, исследования по моделированию экономики выдвигают новые требования к системе информации.

В зависимости от моделируемых объектов и назначения моделей используемая в них исходная информация имеет существенно различный характер и происхождение. Она может быть разделена на две категории: о прошлом развитии и современном состоянии объектов (экономические наблюдения и их обработка) и о будущем развитии объектов, включающую данные об ожидаемых изменениях их внутренних параметров и внешних условий (прогнозы). Вторая категория информации является результатом самостоятельных исследований, которые так же могут выполняться посредством моделирования.

Методы экономических наблюдений и использование результатов этих наблюдений разрабатываются эконометрикой. Поэтому стоит отметить только специфические проблемы экономических наблюдений, связанные с моделированием экономических процессов.

В экономике многие процессы являются массовыми, они характеризуются закономерностями, которые не обнаруживаются на основании лишь одного или нескольких наблюдений. Поэтому моделирование в экономике должно опираться на массовые наблюдения.

Другая проблема порождается динамичностью экономических процессов, изменчивостью их параметров и структурных отношений. Вследствие этого экономические процессы приходится постоянно держать под наблюдением, необходимо иметь устойчивый поток новых данных. Поскольку наблюдения за процессами и обработка эмпирических данных обычно занимают довольно много времени, то при построении математических моделей экономики требуется корректировать исходную информацию с учётом её запаздывания [3, c. 45].

Познание количественных отношений экономических процессов и явлений опирается на экономические измерения. Точность измерений в значительной степени предопределяет и точность конечных результатов количественного анализа посредством моделирования. Поэтому необходимым условием эффективного использования математического моделирования является совершенствование экономических измерителей. Применение математического моделирования заострило проблему измерений и количественных различных аспектов и явлений социально-экономического развития, достоверности и полноты получаемых данных, их защиты от намеренных и технических искажений.

В процессе моделирования возникает взаимодействие "первичных’ и "вторичных экономических измерителей. Любая модель в экономике опирается на определённую систему экономических измерителей (продукции, ресурсов элементов и т.д.). В то же время одним из важных результатов экономико-математического моделирования является получение новых (вторичных) экономических измерителей - экономически обоснованных цен на продукцию различных отраслей, оценок эффективности разнокачественных природой ресурсов, измерителей общественной полезности продукции. Однако, эти вторичные измерители могут испытывать влияние недостаточно обоснованных первичных измерителей, что вынуждает разрабатывать особую методику корректировки первичных измерителей для экономических моделей.

С точки зрения "интересов" моделирования экономики в настоящее время наиболее актуальными проблемами совершенствования экономических измерителей являются: оценка результатов интеллектуальной деятельности (особенно в сферё научно- технических разработок, индустрии информатики), построение обобщающих показателей экономического развития, измерение эффектов обратных связей (влияние экономических и социальных механизмов на эффективность производства).

Для методологии планирования экономики важное значение имеет понятие неопределённости экономического развития. В исследованиях по экономическому прогнозированию и планированию различают два типа неопределённости:

−             "истинную", обусловленную свойствами экономических процессов,

−       "информационную", связанную с неполнотой и неточностью имеющейся информации об этих процессах. Истинную неопределённость нельзя смешивать с объективным существованием различных вариантов экономического развития и возможностью сознательного выбора среди них эффективных вариантов. Речь идёт о принципиальной невозможности точного выбора единственного (оптимального) варианта [2, c. 15].

В развитии экономики неопределённость вызывается тем, что ход планируемых и управляемых процессов, а также внешние воздействия на эти процессы не могут быть точно предсказаны из-за действия случайных факторов и ограниченности человеческого познания в каждый момент. Особенно характерно это для прогнозирования научно- технического прогресса, потребностей общества, экономического поведения. Неполнота и неточность информации об объективных процессах и экономическом поведении усиливают истинную неопределённость.

На первых этапах исследований по моделированию экономики применились в основном модели детерминистского типа. В этих моделях все параметры предполагаются точно известными. Однако, детерминистские модели неправильно понимать в механическом духе и отождествлять их с моделями, которые лишены всех "степеней выбора" (возможностей выбора) и имеют единственное допустимое решение. Классическим представителем жёстко детерминистских моделей являлась оптимизационная модель народного хозяйства, которая применялась для определения наилучшего варианта экономического развития среди множества допустимых вариантов.

В результате накопления опыта использования жестко детерминистских моделей были созданы реальные возможности успешного применения более совершенной методологии моделирования экономических процессов, учитывающих стохастику и неопределённость. Здесь можно выделить такие основные направления исследований как: усовершенствование методики моделей жестко детерминистского типа, проведение многовариантных расчётов и модельных экспериментов с вариацией конструкции модели и её исходных данных, изучение устойчивости и надежности получаемых решений, выделение зоны неопределённости, включение в модель резервов, применение приёмов, повышающих приспособляемость экономических решений вероятным и непредвиденным ситуациям, а также распространение моделей, непосредственно отражающих сложность и неопределённость экономических процессов и соответствующий математический аппарат: теорию вероятностей и математическую статистику, теорию игр и статистических решений, теорию массового обслуживания, стохастическое программирование, теорию случайных процессов.

 

.2 Классификация экономико-математических моделей


Для классификации математических моделей экономических процессов и явлений используются разные признаки (рисунок 1.4.) [2, c. 17].

По целевому назначению экономико-математические модели делятся на теоретико-аналитические, используемые в исследованиях общих свойств и закономерностей экономических процессов, и прикладные, применяемые в решении конкретных экономических задач (модели экономического анализа, прогнозирования, управления).

При классификации моделей по исследуемым экономическим процессам и содержательной проблематике можно выделить модели макро- и микроэкономики, а также комплексы моделей производства, потребления, формирования и распределения доходов, трудовых ресурсов, ценообразования, финансовых связей и т.д. Остановимся более подробно на характеристике таких классов экономико-математических моделей, с которыми связаны наибольшие особенности методологии и техники моделирования.

Рисунок 1.4. Признаки классификации экономико-математических моделей

В соответствии с общей классификацией математических моделей они подразделяются на функциональные и структурные, а также включают промежуточные формы (структурно - функциональные). В исследованиях он макроэкономическом уровне чаще применяются структурные модели, поскольку в планировании и управлении большое значение имеют взаимосвязи подсистем. Типичными структурными моделями являются модели межотраслевых связей. Функциональные модели широко применяются в экономическом регулировании, когда на поведение объекта ("выход") воздействуют путём изменения "входа". Примером может служить модель поведения потребителей в условиях рыночных отношений. Один м тот же объект может описываться одновременно и структурной, и функциональной моделью. Так, например, для планирования отдельной отраслевой системы используется структурная модель, а на макроэкономическом уровне каждая отрасль может быть представлена функциональной моделью[2, c. 20].

Следующим признаком является характер модели-дескриптивная или нормативная. Дескриптивные модели отвечают на вопрос: как это происходит? или как это вероятнее всего может дальше развиваться?, т.е. они только объясняют наблюдаемые факты или дают вероятный прогноз. Нормативные модели отвечают на вопрос: как это должно быть? т.е. предполагают целенаправленную деятельность. Типичным примером нормативных моделей являются модели планирования, формализующие тем или иным способом цели экономического развития, возможности и средства их достижения.

Применение дескриптивного подхода с моделировании экономики объясняется необходимостью эмпирического выявления различных зависимостей в экономике. Установления статистических закономерностей экономического поведения социальных групп, изучения вероятных путей развития каких-либо процессов при не изменяющихся условиях или протекающих без внешних воздействий. Примерами дескриптивных моделей являются производственные функции покупательского спроса, построенные на основе обработки статистических данных.

Является ли экономико-математическая модель дескриптивной или нормативной, зависит не только от её математической структуры, но от характера использования этой модели. Например, модель межотраслевого баланса дескриптивная, если она используется для анализа пропорций прошлого периода. Но эта же математическая модель становится нормативной, когда она применяется для расчётов сбалансированных вариантов развития макроэкономических процессов.

Многие экономико-математические модели сочетают признаки дескриптивных и нормативных моделей. Типична ситуация, когда нормативная модель сложной структуры объединяет отдельные блоки, которые являются частными дескриптивными моделями. Например, межотраслевая модель может включать функции покупательского спроса, описывающие поведение потребителей при изменении доходов. Подобные примеры характеризуют тенденцию эффективного сочетания дескриптивного и нормативного подходов к моделированию экономических процессов, дескриптивный подход широко применяется в имитационном моделировании.

По характеру отражения причинно-следственных связей различают модели жёстко- детерминистские и модели, учитывающие случайность и неопределённость, при этом необходимо различать неопределённость, для описания которой законы теории вероятностей неприменимы. Данный тип неопределенности гораздо более сложен для моделирования [3, c. 25].

По способам отражения фактора времени экономико-математические модели делятся на статистические и динамические. В статистических моделях все зависимости относятся к одному моменту или периоду времени, динамические модели характеризуют изменения экономических процессов во времени. По длительности рассматриваемого периода времени различаются модели краткосрочного (до года), среднесрочного (до 5 лет), долгосрочного (10-15 и более лет) прогнозирования и планирования. Само время в экономико-математических моделях может изменяться либо непрерывно, либо дискретно.

Модели экономических процессов чрезвычайно разнообразны по форме математических зависимостей. Особенно важно выделить класс линейных моделей, наиболее удобных для анализа и вычислений и получивших вследствие этого большое распространение. Различия между линейными и нелинейными моделями существенны не только с математической точки зрения, но и в теоретико-экономическом отношении, поскольку многие зависимости в экономике носят принципиально нелинейный характер: эффективность использования ресурсов при увеличении производства, изменение спроса и потребления населения при увеличении производства, изменение спроса и потребления населения при росте доходов и т.п.

По соотношению экзогенных и эндогенных переменных, включаемых в модель, они могут разделяться на открытые и закрытые. Полностью открытых моделей не существует; модель должна содержать хотя бы одну эндогенную переменную. Полностью закрытые экономико-математические модели, т.е. не включающие экзогенных переменных, исключительно редки; их построение требует полного абстрагирования от "среды", т.е. серьёзного упрощения реальных экономических систем, всегда имеющих внешние связи. Подавляющее большинство экономико-математических моделей занимает промежуточное положение, и различаются по степени открытости (закрытости).

В зависимости от этапа принимаемых решений модели бывают одноэтапные и многоэтапные. В одноэтапных задачах требуется принять решение относительно однократно выполняемого действия, а в многоэтапных оптимальное решение находится за несколько этапов взаимосвязанных действий.

В зависимости от характера системы ограничений выделяются модели обычного вида и специальные виды (транспортные, распределительные задачи), отличающиеся более простой системой ограничений и возможностью благодаря этому использовать более простые методы решения [6, c. 21].

Таким образом, общая классификация экономико-математических моделей включает более десяти основных признаков. С развитием экономико-математических исследований проблема классификации применяемых моделей усложняется. Наряду с появлением новых типов моделей (особенно смешанных типов) и новых признаков их классификации осуществляется процесс интеграции моделей разных типов в более сложные модельные конструкции.

 

.3 Экономико-математическая модель оптимизационной задачи


Обязательными элементами экономико-математической модели оптимизационной задачи являются переменные параметры процесса, ограничения задачи и критерии оптимальности (рисунок 1.5).

Рисунок 1.5 - Элементы математической модели оптимизационной задачи

При этом, переменные параметры процесса это - набор неизвестных величин, численные значения которых определяются в ходе решения и используются для рациональной организации процесса, ограничения задачи символическая запись обязательных условий организации данного процесса (как правило, линейные неравенства или уравнения), критерий оптимальности экономический показатель, сведение которого к максимуму или минимуму говорит о наиболее полном достижении целей оптимизации. Запись критерия в виде функции от переменных задачи называется целевой функцией.

Рисунок 1.6 - Типы ограничений

Правильное установление Ограничений является важным этапом разработки оптимизационной экономико-математической модели. При этом следует избегать двух крайностей: переусложение модели, которое затрудняет подготовку данных и процесс решения и переупрощение модели, которое может привести к получению модели, неадекватной реальному процессу. Типы ограничений показаны на рисунке 1.6 [4, c. 34].

В большинстве оптимизационных задач соблюдается принцип единственности критерия. При выборе критерия оптимальности учитывается ряд общих требований (рисунок 1.7.).

В качестве критерия оптимальности могут быть приняты только те показатели, которые поддаются вычислению для каждого возможного варианта с ошибкой не более 2-3%, иначе сравнение вариантов становятся ненадежным.

Сложность экономических процессов и явлений и другие отмеченные выше особенности экономических систем затрудняют не только построение математических моделей, но и проверку их адекватности, истинности получаемых результатов.

Можно привести следующие примеры локальных критериев оптимальности: предположим, предприятие выпускает дефицитную продукцию, в этом случае цепь оптимизации - максимальное увеличение выпуска, а локальным критерием может служить максимальный выпуск продукции с единицы производственной мощности [6, c. 25].

Если производственные мощности предприятия достаточны для полного удовлетворения потребностей в выпускаемой продукции, то при оптимизации выбирается наилучший вариант организации производства и возможный локальный критерий оптимальности в этом случае - получаемая прибыль.

Рисунок 1.7 - Требования к локальному критерию оптимальности

Если объём производства задан и не подлежит вариации, то при оптимизации критерием могут служить издержки (в стоимостном выражении) или минимум расхода какого- либо дефицитного ресурса.

В естественных науках достаточным условием истинности результатов моделирования и любых других форм познания является совпадение результатов моделирования с наблюдаемыми фактами. Категория "практика" совпадает здесь с категорией "действительность". В экономике и других общественных науках понимаемые таким образом принцип "практика - критерий истины" в большей степени применим к простым дескриптивным моделям, используемым для пассивного описания и объяснения действительности (анализа прошлого развития краткосрочного прогнозирования неуправляемых экономических процессов и т.п.)

Однако, основная задача экономической науки конструктивно разработка научных методов планирования и управления экономикой. Поэтому распространённый тип математических моделей экономики - это модели управляемых и регулируемых экономических процессов используемые для преобразования экономической действительности. Такие модели называются нормативными. Если ориентировать нормативные модели только на подтверждение действительности то они не смогут служить инструментом решения качественно новых экономических задач.

Специфика верификации нормативных моделей экономики состоит в том, что они, как правило, "конкурируют" с другими уже нашедшим практическое применение методами планирования и управления. При этом далеко не всегда можно поставить чистый эксперимент по верификации модели, устранив влияние других управляющих воздействий на моделируемый объект.

Ситуация ещё более усложняется когда ставится вопрос о верификации моделей долгосрочного прогнозирования и планирования (как дескриптивных, так и нормативных) Ведь нельзя же 10-15 лет и более пассивно ожидать наступления событий, чтобы проверить правильность предпосылок модели.

Несмотря на отмеченные усложняющие обстоятельства, соответствие модели фактам и тенденциям реальной экономической жизни остаётся важнейшим критерием определяющим направления совершенствования моделей. Всесторонний анализ выявляемых расхождений между действительно и моделью. сопоставление результатов по модели с результата полученными иными методами, помогают выработать пути коррекции моделей.

Значительная роль в проверке моделей принадлежит логическому анализу, в том числе средствами самого математического моделирования. Такие формализованные приёмы верификации моделей, как доказательство существование решения модели, проверка истинности статистических гипотез о связях между параметрами и переменными модели, сопоставления размерности величин и т.д., позволяют сузить класс потенциально "правильных" моделей

Внутренняя непротиворечивость предпосылок модели проверяется также путём сравнения друг с другом получаемых с её помощью следствий, а также со следствиями "конкурирующих" моделей [3, c. 22].

Оценивая современное состояние проблемы адекватности математических моделей экономики, следует признать, что создание конструктивной комплексной методики верификации моделей, учитывающей как объективные особенности моделируемых объектов, так и особенности их познания. по- прежнему является одной из наиболее актуальных задач экономико-математических исследований.

.4 Этапы экономико-математического моделирования

Рассмотрим последовательность и содержание этапов одного цикла экономико-математического моделирования (рисунок 1.8.)

. Постановка экономической проблемы п её качественный анализ.

Главное задача этого этапа - чётко сформулировать сущность проблемы, принимаемые допущения и те вопросы, на которые требуется получить ответы. Этап включает выделение важнейших черт и свойств моделируемого объекта и абстрагирование от второстепенных; изучение структуры объекта, основных зависимостей, связывающих его элементы; формирование гипотез (хотя бы предварительных), объясняющих поведение и развитие объекта.

. Построение математической модели.

Это этап формализации экономической проблемы, выражения её в виде конкретных математических зависимостей и отношений (функций, уравнений, неравенств и т.д.). Обычно, сначала определяется основная конструкция (тип) математической модели, а затем уточняются детали этой конструкции (конкретный перечень переменных и параметров, форма связей). Таким образом, построение модели подразделяется в свою очередь на несколько стадий.

Неправильно полагать, что, чем больше фактов учитывает модель, тем она лучше "работает" и даёт лучшие результаты. То же можно сказать о таких характеристиках сложности модели, как используемые формы математических зависимостей (линейные и нелинейные), учёт факторов случайности и неопределённости и т.д. Излишняя сложность и громоздкость модели затрудняют процесс исследования. Нужно учитывать не только реальные возможности информационного и математического обеспечения но и сопоставлять затраты на моделирование с получаемым эффектом (при возрастании сложности модели прирост затрат может превысить прирост аффекта).

Рисунок 1.8 - Этапы экономико-математического моделирования

Одна из важных особенностей математических моделей - потенциальная возможность их использования для решения разнокачественных проблем. Поэтому, даже сталкиваясь с новой экономической задачей, не нужно стремиться "изобретать" модель вначале необходимо попытаться применить для решения этой задачи уже известные модели.

В процессе построения модели осуществляется взаимосопоставление двух систем научных знаний - экономических и математических. Естественно стремиться к тому, чтобы получить модель, принадлежащую хорошо изученному классу математических задач. Часто это удаётся сделать путём некоторого упрощения исходных предпосылок модели, не искажающих существенных черт моделируемого объекта. Однако возможна и такая ситуация, когда формализация экономической проблемы приводит к неизвестной ранее математической структуре. Потребности экономической науки и практики в середине ХХ в. способствовали развитию математического программирования, теории игр, функционального анализа, вычислительной математики. Вполне вероятнее’ что в будущем развитие экономической науки станет важным стимулом для создания новых разделов математики [8, c. 5].

. Математический анализ модели.

Целью этого этапа является выяснение общих свойств модели, для чего применяются математические приёмы исследования. Наиболее важный момент- доказательство существования решений в сформулированной модели (теорема существования). Если удастся доказать, что математическая задача не имеет решения, то необходимость в последующей работе по первоначальному варианту модели отпадает; следует скорректировать либо постановку экономической задачи, либо способы её математической формализации. При аналитическом исследовании модели выясняются такие вопросы, как, например, единственно ли решение, какие переменные (неизвестные) могут входить в решение, каковы будут соотношения между ними, в каких пределах и в зависимости от каких исходных условий они изменяются, каковы тенденции их изменения и т.д. Аналитическое исследование модели по сравнению с эмпирическим (численным) имеет то преимущество, что получаемые выводы сохраняют свою силу при различных конкретных значениях внешних и внутренних параметров модели.

Знание общих свойств модели имеет важное значение, но модели сложных экономических объектов с большим трудом поддаются аналитическому исследованию. В тех случаях, когда аналитическими методами не удаётся выяснить общих свойств модели, а упрощение модели приводит к Недопустимым результатам, переходят к численным методам исследования.

. Подготовка исходной информации

Моделирование предъявляет жёсткое требования к системе информации. В то же время реальные возможности получения информации ограничивают выбор моделей, предназначаемых для практического использования. При этом принимается во внимание не только принципиальная возможность подготовки информации (за определенные сроки), но и затраты на подготовку соответствующих информационных массивов. Эти затраты не должны превышать эффект от использования дополнительной информации.

В процессе подготовки информации широко используется методы теории вероятностей, теоретической и математической статистики. При системном экономико-математическом одел исходная информация, используемая в одних моделях, является результатом функционирования других моделей.

. Численное решение.

Этот этап включает разработку алгоритмов для численного решения задачи, подбор необходимого программного обеспечения и непосредственное проведение расчётов. Трудности этого этапа обусловлены прежде всего большой размерностью экономических задач и необходимостью обработки значительных массивов информации.

Обычно расчёты по экономико-математической модели носят многовариантный характер. Благодаря высокому быстродействию современных компьютеров удаётся проводить Многочисленные "модельные" эксперименты, изучая "поведение" модели при различных изменениях некоторых условий. Исследование, проводимое численными методами, может существенно дополнить результаты аналитического исследования, а для многих моделей оно является единственно осуществимым. Класс экономических задач, которые можно решать численными методами, значительно шире, чем класс задач, доступных аналитическому исследованию.

. Анализ численных результатов п их применение.

На этом заключительном этапе цикла встаёт вопрос о правильности и полноте результатов моделирования, о степени практической применимости последних.

Математические методы проверки могут выявлять некорректные построения модели и тем самым сужать класс потенциально правильных моделей. Неформальный анализ теоретических выводов и численных результатов, получаемых посредством модели, сопоставление их с имеющимися знаниями и фактами действительности также позволяют обнаруживать недостатки постановки экономической задачи, сконструированной математической модели, её информационного и математического обеспечения.

Уже на этапе построения модели может выясниться, что постановка задачи противоречива или приводит к слишком сложной математической модели. В соответствии с этим исходная постановка задачи корректируется. далее, математический анализ модели (этап 3) может показать, что небольшая модификация постановки задачи или её формализации даёт интересный аналитический результат.

Наиболее часто необходимость возврата к предшествующим этапам моделирования возникает при подготовке исходной информации (этап 4). Может обнаружиться, что необходимая информация отсутствует или же затраты на её подготовку слишком велики. Тогда приходится возвращаться к постановке задачи и её формализации, изменяя их так, чтобы приспособиться к имеющейся информации [4, c. 55].

Недостатки, которые не удаётся исправить на промежуточных этапах моделирования, устраняются в последующих циклах. Но результаты нашего цикла имеют и вполне самостоятельное значение. Начав исследование с построения простой модели, можно быстро получить полезные результаты, а затем перейти к созданию более совершенной модели, дополняемой новыми условиями, включающей уточнённые математические зависимости.

По мере развития и усложнения экономико-математического моделирования его отдельные этапы обособляются в специализированные области исследований, усиливаются различия между теоретико-аналитическими и прикладными моделями, происходит дифференциация моделей по уровням абстракции и идеализации.

Теория математического анализа моделей экономики развивалась в особую ветвь современной экономической науки- математическую экономику, ценность моделей которой для экономической теории и практики состоит в том, что они служат теоретической базой для моделей прикладного типа.

Довольно самостоятельными областями исследований является подготовка и обработка экономической информации и разработка математического обеспечения для решения экономических задач (создание баз данных и банков информации, программ автоматизированного построения моделей и программного сервиса для экономистов- пользователей). На этапе практического использования моделей ведущую роль должны играть специалисты в соответствующей области экономического анализа, планирования, управления. Главным участком работы экономистов- математиков остаётся постановка и формализация экономических задач и синтез процесса экономико-математического Моделирования.

Следует выделить четыре основных, аспекта применения математических методов в решении практических проблем.

. Совершенствование системы экономической информации. Математические методы позволяют упорядочить систему экономической информации, выявлять недостатки в имеющейся информации и вырабатывать требования для подготовки новой информации или её корректировки. Разработка и применение экономико-математических моделей указывают пути совершенствования экономической информации, ориентированной на решение определённой системы задач планирования и управления. Прогресс в информационном обеспечении планирования и управления опирается на бурно развивающиеся технические и программные средства информатики.

. Интенсификация и повышение точности экономических расчётов. Формализация экономических задач и применение компьютеров многократно ускоряют типовые, массовые расчёты, повышают точность и сокращают трудоёмкость, позволяют проводить многовариантные экономические обоснования сложных мероприятий.

. Углубление количественного анализа экономических проблем, Благодаря применению метода моделирования значительно усиливаются возможности конкретного количественного анализа: влияния многих факторов на экономические процессы, количественная оценка последствий изменения условий развития экономических объектов и т.п.

. Решение принципиально новых экономических задач. Посредством математического моделирования удаётся решать такие экономические задачи, которые иными средствами решать практически невозможно.

2. Построение односекторной модели экономического роста

.1 Классическая модель экономического роста

В соответствии с классическими традициями, как нам уже известно, факторам производства вменяются доли производимых ими продукта, совокупного дохода. С целью факторного анализа обеспечения экономического роста используется аппарат так называемой производственной функции:

 (2.1)

При условии, что dF/da1, dF/da2,…,dF/dan представляют собой предельные производительности каждого из задействованных факторов производства. Как частный случай производственной функции можно использовать формулу Кобба-Дугласа:

 (2.2)

где Y - национальный продукт; L - труд; К - капитал; А - постоянный коэффициент, отражающий воздействие прочих факторов (его еще называют коэффициентом пропорциональности или масштабности); α и β - переменные коэффициенты эластичности соответственно по труду и капиталу. Причем α+β=1, или β=1-α; ert - фактор, отражающий влияние качественных изменений в производстве, в том числе технического прогресса [3, c. 35].

Главные недостатки данной модели заключаются в разобщенности факторов производства, ибо вклад каждого фактора в производство продукта оценивается при неизменности всех прочих условий. В действительности изменение одного из факторов так или иначе сказывается на изменении других. В частности, при увеличении занятости (труда) и неизменности величины капитала не может не произойти изменение хотя бы в его вооруженности. Выраженная в показателях среднегодовых темпов прироста, функция преобразуется и имеет следующий вид:

, (2.3)

где y, k, l - соответственно темпы роста продукции, капитала и труда; r - комплексный показатель роста совокупной экономической эффективности всех факторов производства.

Дальнейшие исследования на основе данной модели привели бы к более совершенной и динамичной модели экономического роста - модели Солоу. В ней нашли отражение воздействие сбережений, роста населения и технического прогресса на объем производства в динамике. Достоинством данной модели является то, что она учитывает взаимодействие спроса и предложения в их влиянии на накопление капитала. Функция Y = F (K, L), как нам известно, выражает зависимость объема производства от капитала и труда. Для упрощения вида этой функции все ее величины были соотнесены с одним и тем же фактором - трудом (числом занятых). В результате функция приобрела следующий вид:

 (2.4)

Теперь она определяет объем производства в расчете на одного работника (Y/L) как функцию его капиталовооруженности (K/L), т.е. капитала, приходящегося на одного работника [3,c.45]..

Обозначив показатели производительности труда (Y/L) и капиталовооруженности (K/L) соответственно через y и k, получим уравнение y = f(k), где f(k) = F (k, 1). Это позволяет наблюдать изменение предельного продукта на одного работника в зависимости от капиталовооруженности (Рисунок 2.1).

Рисунок 2.1 - Зависимость объема выпуска от фондовооруженности

Как видно из рисунка 2.1, тангенс угла наклона графика производственной функции, выражающий величину предельной производительности капитала, уменьшается по мере подъема по кривой f(k) (точки M и N), что указывает на снижение предельной производительности капитала по мере его возрастания.

Обращаясь к спросу, необходимо рассмотреть функцию потребления произведенного продукта. Исходя из склонности к потреблению и сбережению можно сказать, что произведенный каждым работником продукт распадается на потребление в расчете на одного работника и инвестиции, приходящиеся также на одного работника: у = п + и. Отсюда можно определить функцию потребления: п = (1 - с) у. Так как с - норма сбережений и, следовательно, (1 - с) - норма потребления, то ежегодно одна часть дохода потребляется (1 - с), а другая часть сберегается (с). В результате, подставив в уравнение у = п + и формулу функции потребления, получим: у = (1 - с) у + и. Преобразуем данное уравнение следующим образом: у = у - су + и; у - у + су = и или и = су, где с - норма сбережений. Последнее уравнение показывает, что инвестиции пропорциональны доходу. При равенстве сбережений и инвестиций норма сбережений указывает на долю капиталовложений в произведенном продукте [3, c. 56].

Основными характеристиками неоклассических моделей экономического роста являются:

−             предположение о функционировании экономики в условиях совершенной конкуренции, обеспечивающей гибкую систему цен и равенство цен факторов производства их предельной производительности;

−       отсутствие функции совокупного спроса, поскольку гибкая система цен постоянно приравнивает объем совокупного спроса к объему совокупного предложения;

−       отсутствие функции инвестиций, так как при равновесии на рынке благ I=S;

−       представление технологии в виде производственной функции с взаимозаменяемыми факторами производства и постоянным эффектом масштаба [6, c. 42].

Имея производственную функцию у = f (k) и функцию потребления, преобразованную в функцию инвестиций и = су, можно представить инвестиции на одного работника как функцию от капиталовооруженности (фондовооруженности):

 (2.5)

Отсюда следует прямая зависимость инвестиций от фондовооруженности и объема выпуска. Как видно, это уравнение включает и производственную функцию, и функцию потребления и увязывает запасы капитала на одного работника (k) с накоплением капитала (и). На Рисунок 2.2 представлена взаимоувязка производственной функции и функции потребления и показано влияние нормы сбережений на распределение продукта на потребление и инвестиции.

Рисунок 2.2 - Зависимость производства, потребления, инвестиций от капиталовооруженности

Такая взаимосвязь элементов производственной функции и функции потребления позволяет перейти к анализу экономического роста в зависимости от накопления капитала. Сама же величина функционирующего капитала зависит от инвестиций, которые увеличивают его, тогда как износ, амортизация уменьшают его величину.

При существующей норме амортизации (А′) величина выбытия будет равна А′·Косн , тогда как изменение запаса капитала на одного работника ( k) зависит от выбытия и от инвестиций: k = И - А. Учитывая, что И = С, данное уравнение приобретает следующий вид: Δk = с f (k) - А. Как уже отмечалось, инвестиции увеличивают запас капитала, амортизация (выбытие) его сокращает. Следовательно, величина капитала и капиталовооруженность не будут изменяться в том случае, если инвестиции и выбытие будут сбалансированы, т.е. инвестиции будут равны амортизации (И = А) [6,c.49].

Рисунок 2.3 - Инвестиции, выбытие и устойчивый уровень капиталовооруженности

Это значит, что на графике (Рисунок 2.3) кривая выбытия (А′•Косн) и кривая инвестиций [сf(k)] должны будут пересечься в точке М, где инвестиции равны выбытию, а капиталовооруженность остается неизменной. Поскольку выбытие капитала идет равномерно, линия имеет постоянный угол наклона. Несмотря на это, норма сбережений (С), объем инвестиций (И) изменяются неравномерно ввиду неравенства значений объема выпуска при различных уровнях капиталовооруженности.

Уровень капиталовооруженности, соответствующий значению КМ, называется устойчивым и соответствует равновесию экономики в долгосрочном периоде. При значении капиталовооруженности меньшие КМ (например, КN) инвестиции превышают выбытие, и запасы капитала увеличиваются. И наоборот, при значениях капиталовооруженности больше уровня КМ (в частности, КР), выбытие превышает инвестиции, и запасы капитала уменьшаются. Независимо от первоначальной величины функционирующего капитала, при которой начинает развиваться экономика, последняя затем достигает устойчивого состояния [7,c.69].

Заслуживает внимания влияние изменения нормы сбережений на экономический рост. Сначала повышение нормы сбережений приведет к повышению уровня инвестиций, тогда как выбытие останется неизменным при данной величине функционирующего капитала и неизменной норме амортизации.

В результате инвестиции превысят выбытие капитала. Дальнейшее наращивание капитала, а вместе с ним и увеличение амортизационных отчислений, будут происходить до тех пор, пока экономика вновь не достигнет устойчивого состояния.

Следовательно, норма сбережений оказывает решающее воздействие на уровень устойчивой капиталовооруженности, ее увеличение сказывается на повышении уровня производства.

Однако, как известно, экономический рост не самоцель, а лишь средство для повышения уровня благосостояния общества. Уровень накопления, который обеспечивает устойчивое состояние экономики с наивысшим уровнем потребления, называется "золотым" уровнем накопления капитала.

 

.2 Экономический рост и уровень непроизводственного потребления

 

Для выяснения наибольшего непроизводственного потребления обратимся к известному нам уравнению у = п + и, откуда п = у - и, что определяет потребление как разность между производством и инвестициями. С целью определения устойчивого потребления подставим в последнее уравнение значения у и и, соответствующие условиям устойчивого уровня капиталовооруженности f(k) и и, соответствующие условиям устойчивого уровня капиталовооруженности f(k) и А′·Косн. Учитывая, что при устойчивом положении инвестиции равны выбытию капитала (и = А′·Косн), получим

 (2.6)

Отсюда следует, что устойчивый уровень непроизводственного потребления одного работника представляет собой разность между объемом выпуска и величиной выбытия капитала в устойчивом состоянии. При росте капиталовооруженности увеличивается выпуск продукта. Однако это требует все большего количества продукта для возмещения выбытия капитала. Поэтому выполнение "золотого" правила:

 (2.7)

где ППК - предельный продукт капитала, по достижении максимума душевого потребления связано с равенством предельного продукта капитала и нормы амортизации (выбытия). Это значит, что необходимо найти такие точки производственной функции f (k) и функции выбытия капитала А′·Косн, в которых тангенсы их углов наклона совпали бы, т.е. касательная к кривой производственной функции и линия выбытия капитала были бы параллельны (Рисунок 2.4).

Рисунок 2.4 - Экономический рост при устойчивом уровне непроизводственного потребления

Из рисунку 2.4, можно сделать вывод, что капиталовооруженность, которая меньше уровня, соответствующего "золотому" правилу, вызовет увеличение запасов капитала и рост производства, превышающий наращивание выбытия капитала, а это означает рост непроизводственного потребления. При этом угол наклона производственной функции f (k) больше, чем угол наклона линии А′·Косн, и расстояние между ними увеличивается по мере возрастания капиталовооруженности. Напротив, при объеме капитала, превышающем его величину, соответствующую "золотому" правилу, дальнейший рост капиталовооруженности уменьшает потребление, так как рост выпуска продукта окажется меньше прироста выбытия капитала [3, c. 155].

В заключение следует заметить, что рост экономики может осуществляться за рамками "золотого" правила. В одном случае он будет сопровождаться ростом потребления в обществе до момента достижения "золотого" уровня накопления капитала, в другом - будет сопровождаться сокращением потребления (при превышении "золотого" уровня накопления капитала). При этом надо давать себе отчет в том, что "золотое" правило - это оптимум с точки зрения более полного удовлетворения потребностей общества.

Однако у государства могут быть масштабные и более ответственные задачи (например, срочное укрепление обороноспособности страны или ускоренное обеспечение ее национальной и экономической безопасности).

Наконец, в модель экономического роста можно включить население и НТП.

Если предположить стабильный прирост населения и рабочей силы (Н′), сохранив удельные показатели, приходящиеся на одного работника, то изменение запаса капитала можно записать в следующем виде: (2.9)

 (2.8)

Преобразовав уравнение через производственную функцию (и=сƒ(k)), получим

 (2.9)

Увеличение разности нормы выбытия капитала и прироста населения указывает на ускоренное сокращение капиталовооруженности труда, так как капитал распределяется на большее число занятых.

Экономика находится в устойчивом положении, если капиталовооруженность остается неизменной, следовательно, дополнительные инвестиции должны поддерживать на установившемся уровне фондовооруженность вновь вовлеченных в производство работников и компенсировать выбытие капитала.

Для того чтобы экономика находилась в устойчивом положении, инвестиции должны компенсировать выбытие капитала и рост населения.

На Рисунок 2.5 этому условно соответствует точка М пересечения кривой инвестиций сf (k) и линии выбытия капитала и роста населения (А′ + Н′) •k.

Рисунок 2.5. Экономический рост с учетом прироста населения

Линия (А′ + Н′)·k указывает на более высокий темп прироста населения, что сказывается на сокращении капиталовооруженности труда, снижении его производительности.

Из этого делаются выводы, что рост населения может обеспечить непрерывный выпуск валовой продукции, понизить уровень производительности труда, замедлить увеличение ВВП (ВНП) на душу населения и даже вызвать обнищание страны [7, c. 38].

Однако данные выводы не столь бесспорны, как кажется на первый взгляд. Никто не может вычеркнуть вековую историю колониализма и ограбления народов. Нельзя игнорировать и определенные национальные и религиозные традиции стран, а также не учитывать те политические и военные катаклизмы, которые сотрясали и до сих пор сотрясают многие страны мира. В то же время отдельные страны, вступившие на путь индустриализации, добились успехов не только вследствие сокращения роста населения своих стран. И стоит ли закрывать глаза на "ножницы" цен на сырьевые товары (поставщики - развивающиеся страны) и готовую промышленную продукцию (экспортеры - развитые страны), на нерешенность в течение практически всей второй половины XX в. проблемы установления нового экономического порядка, которого добиваются развивающиеся страны.

Проследим теперь за последствиями изменения экзогенных параметров п и s. Увеличение темпа прироста трудовых ресурсов отображено на рисунке 2.6 поворотом луча n1ᴪ против часовой стрелки. При заданной норме сбережений не хватает инвестиций для равновесной капиталовооруженности труда. Увеличение предложения труда снижает его цену и предприниматели переходят к менее капиталоемким способам изготовления продукции. Когда капиталовооруженность труда снизится до Ψ1 тогда установится новое динамическое равновесие при полном использовании труда и капитала с возросшим темпом роста национального дохода при более низкой производительности труда.

Последствия повышения нормы сбережений представлены на рисунке 2.6. Рост нормы сбережений сдвигает кривую sq вверх. В результате новое динамическое равновесие устанавливается при более высоких значениях капиталовооруженности и производительности труда, но с исходным темпом роста национального дохода, равным темпу роста населения.

Рисунок 2.6 - Последствия увеличения темпа роста населения

В момент повышения нормы сбережений темп роста национального дохода резко увеличивается, так как возрастает не только масштаб производства, но и производительность труда из-за увеличения его капиталовооруженности.

В дальнейшем вместе с замедлением роста производительности труда по мере приближения к новому равновесию темп роста национального дохода снижается до темпа роста населения.

Рисунок 2.7 - Последствия роста нормы сбережения

Динамика показателей результативности производства в переходный период показана на рисунок 2.8.

Рисунок 2.8 - . Изменение результативности производства при повышении нормы сбережений

Поскольку в данной модели устойчивый рост при полном использовании обоих факторов производства достигается при любой норме сбережений и темп прироста национального дохода всегда равен темпу прироста населения, то возникает проблема определения оптимальной нормы сбережения.

Рассмотрим проблему экономического роста с учетом технического прогресса. Обозначим постоянный темп технического прогресса через Т′, который означает, что каждая единица труда увеличивает отдачу на данную величину. Это равносильно тому, как если бы ежегодно на эту величину увеличивалось число занятых при прежней капиталовооруженности. Следовательно, технический прогресс носит трудосберегающий характер. Однако если учесть еще и рост населения (Н′), то темп роста общего количества эффективных единиц труда составляет (Н′ + Т′). В таком случае ранее приводимое уравнение прироста капитала принимает следующий вид:

 (2.10)

Новый график (рисунок 2.6) отличается от предыдущего только включением дополнительного элемента - технического прогресса. Под воздействием роста технического прогресса требуется меньший объем капитала (К). При устойчивом состоянии экономики инвестиции [с f (k)] в точности компенсируют уменьшение К вследствие его выбытия, роста населения и технического прогресса.

Отсюда можно сделать вывод о том, что технический прогресс содействует росту общественной производительности труда, повышению уровня жизни населения. В противоположность сбережениям, технический прогресс обеспечивает непрерывный рост выпуска продукции, не ограничиваясь моментом достижения равновесного состояния. Он, а также рост населения, вносят коррективы в ранее сформулированное "золотое" правило для накопления капитала (ППК= А′ * Kосн). Теперь

 (2.11)

Рисунок 2.6 - Экономический рост с учетом технического прогресса

.3 Кейнсианская модель экономического роста

В Кейнсианской модели, важное место отводится сбережениям и инвестициям. В связи с этим главная роль в ней отводится инвестированию нового капитала, т.е. накоплению капитала как источника инвестиций для наращивания производственных мощностей. Величины инвестиций и сбережений могут не совпадать, хотя в процессе общественного производства между ними постепенно устанавливается равенство. Функцию выравнивания инвестиций и сбережений берут на себя незапланированные инвестиции, которые возникают из-за несовпадения запланированных и фактических инвестиций. Фактические инвестиции включают в себя запланированные и незапланированные инвестиции. Последние находят свое выражение в товарно-материальных запасах, которые либо увеличиваются, либо сокращаются в зависимости от конкретной экономической ситуации и тем самым поддерживают баланс между сбережениями и инвестициями.

Увеличение инвестиций вызывает мультипликационный эффект роста объема производства, чистого внутреннего продукта (ЧВП). Под инвестициями, которые вызывают мультипликационный эффект, подразумеваются автономные, т.е. независимые инвестиции, причем к ним могут быть приравнены и государственные закупки, и экспорт [7, c. 122].

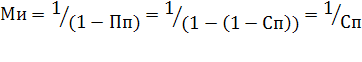
Формула мультипликатора имеет следующий вид:

 (2.12)

где Ми - мультипликатор инвестиций; ΔД - прирост реального дохода; ΔИа - прирост автономных инвестиций. Отсюда:

 (2.13)

Для определения мультипликатора обратимся к ΔД, который распадается на прирост потребления (ΔП) и прирост инвестиций (ΔИ):

, откуда.

Подставив данное значение ΔИ в формулу (2.12), получим

 (2.14)

Разделив числитель и знаменатель на ΔЧВП=ΔД, получим

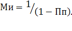
Ми=1/(1-ΔП/ΔЧВП).

Но, как известно, ΔП/ΔЧВП - представляет собой предельную склонность к потреблению (Пп). Поэтому формула (2.14) мультипликатора инвестиций приобретает следующий вид:

 (2.15)

В тоже время мы знаем, что предельная склонность к потреблению (Пп) и предельная склонность к сбережению (Сп) в сумме равны единице (). Отсюда следует, что

.

В свою очередь, подставив Пп в формулу (2.15), получим следующее значение мультипликатора:

 (2.16)

Таким образом, мультипликатор автономных инвестиций является обратной величиной предельной склонности к сбережению

.

Подставив полученное значение мультипликатора в формулу прироста дохода (), получим

 (2.17)

Доход, возросший в соответствии с величиной мультипликатора, вызовет рост спроса на потребительские товары и объема их производства. Рост инвестиций, спровоцированный ростом доходов, называется эффектом акселерации. Инвестиции, вызванные увеличением доходов, называются индуцированными инвестициями.

Эффект акселерации обусловлен в решающей степени двумя факторами: длительностью периода изготовления оборудования, вследствие чего в этот период неудовлетворенный спрос вызывает расширение производства, и длительностью периода эксплуатации оборудования, вследствие чего процентный прирост новых инвестиций к восстановительным инвестициям больше процентного прироста продукции, спрос на которую вызывает новые инвестиции.

Коэффициент акселерации (акселератор) равен отношению прироста инвестиций к вызвавшему их приросту дохода, потребительского спроса или объема готовой продукции в предшествующем периоде. Он рассчитывается по следующей формуле.

 (2.18)

где V - акселератор;  - прирост индуцированных инвестиций в t-году; ,  - величины национального дохода (продукта) соответственно в двух предшествовавших инвестициям годах.

Отсюда можно получить величину прироста индуцированных инвестиций:

 (2.19)

В данной модели учитываются только производные инвестиции от прироста национального дохода.

Если происходит сокращение доходов, спроса, то следствием этого также будет резкое сокращение инвестиций. Отсюда можно сделать вывод о том, что эффект акселерации наиболее отчетливо проявляется в циклическом характере экономического развития. В связи с этим в моделях экономического цикла акселератор используется во взаимодействии с мультипликатором. Наиболее известная модель представлена уравнением национального дохода:

, (2.20)

где  - национальный доход в рассматриваемом году; Аt - автономные инвестиции в том же году; (1-S) - доля потребления в национальном доходе, склонность к потреблению;  - величина индуцированных инвестиций

В рамках кейнсианской концепции широко известна и модель экономического роста Харрода-Домара. Это однофакторная модель определения темпов роста, в которой в качестве источника роста учитывается только капитал. При этом капиталоемкость признается относительно неизменной величиной. Ее постоянство связано с тем, что в случае роста производительности труда (сбережения труда) одновременно происходит увеличение отношения капитала к труду и отношения выпуска продукции к затратам труда. Это указывает на то, что коэффициент "капитал-выпуск" остается постоянным.

При использовании данной модели дается ряд весьма важных допущений: полная задействованность всех факторов, равенство спроса и предложения и их приростных величин.

Рассмотрим модель Харрода-Домара на примере упрощенной и одновариантной формулы:

, (2.21)

где  - темп прироста национального дохода;  - норма накопления капитала в национальном доходе;  - капиталоемкость прироста национального дохода.

Числитель и знаменатель этой функции могут быть представлены в следующем виде:

 (2.22)

где ФН - фонд накопления; НД - национальный доход; ΔНД - прирост национального дохода за счет задействования фонда накопления (сбережений) [7, c. 135].

В данном случае берутся чистые сбережения (фонд накопления), от которых зависит размер инвестиций, а чем значительней прирост инвестиций, тем выше темп роста. Следовательно, между сбережениями и чистыми инвестициями и экономическим ростом существует прямая зависимость.

В отношении капиталоемкости и экономического роста действует обратная зависимость: чем выше капиталоемкость производства, тем ниже темпы экономического роста, и, напротив, снижение уровня капиталоемкости в результате НТП, структурных сдвигов, сокращения неустановленного оборудования приводит к увеличению темпов экономического роста.

Капиталоемкость прироста национального дохода (ΔКЕ) может быть выражена через капиталоотдачу (фондоотдачу) прироста национального дохода (ΔКО) как обратную ей величину ΔКЕ = 1/Δ КО.

Подставив в исходную формулу (Тпр = Н′к /ΔКЕ) капиталоемкость, выраженную через фондоотдачу (капиталоотдачу), получим:

 (2.23)

Отсюда вытекает вывод о зависимости темпа прироста национального дохода от нормы накопления в национальном доходе и капиталоотдачи прироста национального дохода. Сам же темп прироста национального дохода (в процентах) выражается формулой: (2.24)

 (2.24)

Обеспечение в долгосрочном периоде постоянного и равномерного экономического роста требует соблюдения следующих условий:

−             необходимо достигнуть равенства, т.е. оптимального сочетания текущего прироста сбережений и ожидаемого прироста инвестиций (С = И);

−             следует не просто поддерживать уровень чистых инвестиций и государственных капитальных вложений, а увеличивать их в качестве нового импульса к росту;

−             необходимо постоянно поддерживать равновесное состояние между спросом, провоцирующим инвестиции, и предложением совокупного продукта, который может быть создан при использовании всех факторов и полной занятости.

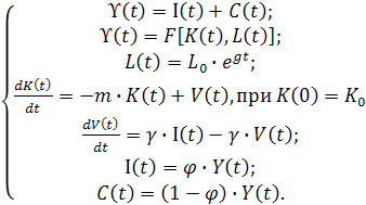
2.4 Построение математической модели в абсолютных показателях

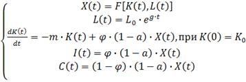
Сформулированная в середине прошлого века концепция экономического роста имела целью заменить кейнсианскую модель динамического развития экономики Харрода-Домара неоклассической теорией роста. При этом в исходной модели экономическая система рассматривается как единое целое, в которой производится один универсальный продукт. Этот продукт может потребляться и инвестироваться. Экспорт-импорт в явном виде не учитывается. Состояние экономической системы задается следующими эндогенными переменными:

− X(t) - выпуск товаров и услуг;

−       C(t) - фонд непроизводственного потребления;

−       I(t) - валовые инвестиции в производственный капитал;

−       L(t) - число занятых в производственной деятельности;

− K(t) - основные производственные фонды.

Время t измеряется в годах и считается непрерывным. Кроме того, состояние экономической системы определяется экзогенными (заданными извне) показателями:

а)      g - годовой темп прироста числа занятых в производственной деятельности;

б)      m - доля основных производственных фондов, выбывших за один год;

в)      а - доля промежуточного продукта в выпуске товаров и услуг;

г)       φ - доля валовых инвестиций в валовом внутреннем продукте (норма накопления).

Данные экзогенные показатели могут изменяться в следующих пределах: -1 < g < 1; 0 < m< 1; 0 < а < 1; 0 < φ < 1.

Годовой выпуск товаров и услуг X(t) в каждый момент времени t связан с ресурсами K(t) и L(t) посредством линейно- однородной неоклассической производственной функции:

 (2.25)

Сами ресурсные показатели, являясь эндогенными показателями, изменяются за небольшой промежуток времени ∆t следующим образом:

. В соответствии с определением темп прироста числа занятых в производственной деятельности будет равен:

 (2.26)

Разделив уравнение (2.26) на ∆t и умножив его на L(t), при dt не равном нулю, получим:

 (2.27)

или, при записи в стандартном виде:

 (2.28)

Решение данного однородного линейного дифференциального уравнения имеет вид:

 (2.29)

Используя начальное условие L(0) = L0, получим:

 (2.30)

2.      Прирост основных производственных фондов за промежуток времени ∆t с учетом инвестиций и выбытия фондов за счет износа со ставит:

 (2.31)


 , при K(0)=K0 (2.32)

3.      Функцию изменения валовых инвестиций во времени можно получить следующи

 (2.33)

где Y(t) - текущее значение валового внутреннего продукта, а Z(t) = a • X(t) - величина промежуточного продукта.

4.      Величина фонда непроизводственного потребления, исходя из (10.9), находится по формуле:

. (2.34)

Таким образом, получаем модель Солоу в абсолютных величинах в виде системы уравнений:

 (2.35)

Схема функционирования экономики для этого случая представлена на рисунке 10.1.

Рисунок 2.7 - Схема функционирования экономики

Данная схема наглядно представляет взаимосвязь абсолютных показателей в экономической системе согласно модели экономического роста.

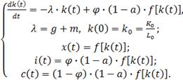
.5 Построение математической модели в относительных показателях

При выполнении определенных условий экономическая система, поведение которой описывается моделью Солоу, может иметь так называемую стационарную траекторию. При этом стационарной траекторией называют такое поведение экономической системы, когда ее относительные показатели не изменяются во времени.

Определим условия, выполнение которых приводит к неизменности относительных показателей экономической системы, описываемой моделью Солоу. В качестве относительных показателей примем


С учетом введенных относительных показателей можно записать:

Пункт 1.

 (2.36)

Пункт 2.

 (2.37)

или, используя третье уравнение из системы (2.35), получим:

 (2.38)

Разделим данное уравнение на L(t) и разрешим его относительно

В этом случае будем иметь:

(2.39)

Пункт 3.

 (2.40)

Пункт 4.

 (2.41)

С учетом выведенных в пунктах 1-4 уравнений модель экономического роста в относительных показателях можно записать в виде следующей системы уравнений:

 (2.42)

Если установить неизменными во времени показатели: k(t) = k0 = const, x(t) = x0 = const, i(t) = i0 = const, c(t) = c0 = const, то экономическая система будет находиться на стационарной траектории.

Как видно из системы уравнений (2.42), выход на стационарную траекторию можно обеспечить путем установления фондовооруженности труда на постоянном уровне, т.е. при соблюдении условия, что k(t) = k0 = const. В этом случае

 (2.43)

и, следовательно

 (2.44)

Выражение (2.44) можно переписать в следующем виде:

 (2.45)

Учитывая, что X(t) = F [K(t), L(t)] является неоклассической функцией, то f(0) = 0, f/ >0, f// <0. Если дополнительно задать условие,

 (2.45)

то уравнение (2.45) будет иметь единственное ненулевое решение k0. Данное положение показано на рисунке 2.10.

Рисунок 2.8 - Графики функций h(k)

Одинаковая скорость роста функций h1(k) и h2(k), как показано на рис. 2.46, достигается при k = k~ и, следовательно, значение k~ является корнем уравнения:

 (2.46)

Таким образом, решив уравнение (2.46), можно найти численное значение k~. Соотношение между величиной k~ и k0 оказывает существенное влияние на вид переходных процессов в модели Солоу. Если в начальный момент времени t=0 экономическая система имеет фондовооруженность k(0) = k0 = k0, то она уже находится на стационарной траектории. В этом случае данную систему перевести в другое состояние можно только путем изменения значения одного из экзогенных показателей, например доли валовых инвестиций в валовом внутреннем продукте или, изменив производственную функцию, X(t) = F [K(t), L(t)].

В случае если k0 k0, то в экономической системе происходит переходный процесс с выходом на стационарную траекторию, т.е. k(t) → k0. При этом наблюдаются три типа переходных процессов. Рассмотрим их применительно к изменению фондовооруженности труда во времени:

−       если k0 < k~ , то сначала происходит ускоренный рост фондовооруженности труда k(t), а затем, после достижения равенства k(t) = k~ , сменяется замедленным ростом данного показателя, с постепенным приближением к величине k0;

−       если k~ < k0 < k0, то наблюдается замедленный рост фондовооруженности труда k(t) к величине k0;

−       если k0 > k0, то происходит замедленное снижение фондовооруженности труда к величине k0.

Аналогичным образом изменяются и остальные относительные показатели в модели Солоу, т.к. они связаны с фондовооруженностью труда.

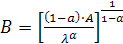
Развитие экономической системы во многом определяется выбором величины нормы накопления. Естественно, что увеличение нормы накопления ведет к более быстрому развитию системы, но при этом снижается доля непроизводственного потребления и его объем растет недостаточно быстрыми темпами. Существенное уменьшение нормы накопления ведет к увеличению первоначального объема потребления, но и к замедлению развития экономической системы, что в конечном итоге также приводит к медленному росту объема потребления. Очевидно, имеется такая величина нормы накопления, которая позволяет максимизировать через определенное время объем непроизводственного потребления.

Рассмотрим возможность нахождения нормы накопления, которая максимизирует среднедушевое потребление при нахождении экономической системы на стационарной траектории. В общем случае можно записать:

 (2.47)

Для производственной функции вида:

 (2.49) будем иметь:

Следовательно, можно записать:

 (2.50)

или для стационарной траектории:

 (2.51)

С другой стороны, для стационарной траектории справедливо уравнение (2.46), которое можно записать, с учетом уравнения (2.51), в следующем виде:

 и (2.52)

 (2.53)

 (2.54)

Подставляя выражение (2.53) в (2.51), получим:

 (2.55)

где  (2.56)

 (2.57)

Таким образом, значение среднедушевого потребления в зависимости от нормы накопления определяется функцией W(φ).

Следовательно, для нахождения максимума среднедушевого потребления на стационарных траекториях необходимо определить максимум функции W(φ).

Для этого возьмем производную от функции W(φ) и приравняем ее к нулю:

 (2.58)

Выражение (2.58) равно нулю при φ = α, значит c0(φ) принимает максимальное значение в случае, когда норма накопления равна эластичности выпуска по основным производственным фондам. Из выражений (2.55) и (2.54) следует, что  ,при φ>α и , при φ<α. При заданных значениях a = 0,6; a = 0,5; A = 1,1, l = 0,06 график изменения функции c0(φ) будет иметь вид кривой , представленной на рисунок 2.9.

Рисунок 2.9 - Норма непроизводственного накопления

Из рисунка видно, что при норме накопления (φ) меньше a, равного в данном случае 0,6, имеет место недонакопление, а при φ больше a = 0,6 - перенакопление. Максимальное среднедушевое потребление (c0) достигается в данном случае, когда норма накопления  = 0,6, т.е. равна коэффициенту эластичности по производственным фондам (a). В результате получим, что норма накопления меньше своего оптимального значения.

2.6 Построение модели в абсолютных показателях с учётом запаздывания при вводе фондов

Модель экономического роста в абсолютных показателях (2.35) может быть записана для условия, когда в качестве выходного показателя производственной системы принимается не выпуск товаров и услуг , а валовой внутренний продукт . В этом случае во всех уравнениях системы параметр а равен нулю и система уравнений примет следующий вид:

 (2.59)

Однако в данной модели, как и во всех предыдущих записях модели экономического роста, не учитывается запаздывание при превращении инвестиций в основные производственные фонды и их дальнейшее освоение. Для учёта инвестиционного лага имеются два подхода:

1.      Запаздывание учитывается в виде фиксированного лага t. В этом случае, пренебрегая лагом освоения, ввод фондов в сущности есть инвестиции, сделанные в момент времени :

 (2.60)

2.      Другим подходом является использование распределенного ла га. В этом случае инвестиции, осуществленные в момент времени t в объеме , осваиваются постепенно долями, в соответствии с некоторым распределением . Причем справедливо условие: объеме , осваиваются постепенно долями, в соответствии с некоторым распределением . Причем справедливо условие:

 (2.61)

В связи с тем, что инвестиции осуществляются не только в какой-то один фиксированный момент времени, но и в другие моменты времени, то ко времени t накопится следующий объём вводимых (и освоенных) фондов:

 (2.62)

Если процесс инвестирования и ввода фондов (с освоением) имеет стационарный характер, то ,и выражение (2.62) можно записать в следующем виде:

 (2.63)

Принимая, что распределение  является показательным:

(10.33)

 (2.64)

будем иметь:

 (2.64)

Произведя дифференцирование выражения (2.64), получим:

 (2.65)

Используя уравнение (2.65), как уравнение, учитывающее запаздывание при вводе основных производственных фондов, получаем на основе системы уравнений (2.58) односекторную модель экономики с учетом запаздывания во вводе фондов:

 (2.66)

Данная система уравнений отражает: баланс распределения валового внутреннего продукта на инвестиции и непроизводственное потребление;

·   величину валового внутреннего продукта в зависимости от ресурсов;

·   изменение трудовых ресурсов во времени;

·   динамику основных производственных фондов во времени;

·   динамику ввода основных производственных фондов в зависимости от инвестиций и запаздывания во вводе фондов;

·   изменение инвестиций во времени;

·   изменение непроизводственного потребления во времени.

Для данной системы уравнений можно вывести систему уравнений в относительных показателях. На основе системы уравнений в относительных показателях можно получить оптимальную норму накопления, которая, как и для системы уравнений (2.42), равна коэффициенту эластичности по основным производственным фондам.

3. Оптимизация непроизводственных потребностей в модели экономического роста

.1 Построение имитационной модели потребления в односекторной модели экономического роста

Имитационное моделирование один из наиболее продуктивных методов по разработке программных моделей реальных или гипотетических систем, а также реализации этих программ на компьютере. На основе получаемых систем проводится анализ результатов компьютерных экспериментов по исследованию поведения моделей. Имитация является численным методом проведения на цифровых вычислительных машинах экспериментов с математическими моделями, описывающими поведение сложных систем в течение продолжительного времени. Методы имитационного моделирования экономических систем динамично меняются, не только в плане толкования смысла этого понятия, но, особенно, в отношении используемого программного обеспечения и возможностей вычислительной техники. Реализуем модель экономического роста в Excel и построим имитационную схему для модели экономического роста в Matlab для сравнения результатов. Проследим ее динамику на протяжении 30 лет для следующих значений параметров:

ν=0,1 μ=0,3 ρ=0,4 Х=3

Начальные значения переменных:

=800000 L=1000000

- темп прироста населения;

µ - темп потерь фондов;- норма накопления;- объем основных производственных фондов;- трудовые ресурсы;- инвестиции;

С - непроизводственное потребление;

с - норма потребления.

Построим имитационную схему для модели экономического роста и проследим ее динамику на протяжении 50 лет:

Найдем значения K и L, воспользовавшись следующими соотношениями:

 (3.1)

 (3.2)

Система уравнений модели выглядит следующим образом:

 (3.3)

 (3.4)

 (3.5)

 (3.6)

 (3.7)

Найдем решение с использованием электронных таблиц Microsoft Excel:

Таблица 1 - Расчетные показатели для построения имитационной модели

t

K

L

X

I

C

k

0

800000

1000000

2624069

1049628

1574441

0,8

1

1609628

1100000

4146805

1658722

2488083

1,463298

2

2785461

1210000

5986509

2394604

3591906

2,302034

3

4344427

1331000

8119924

3247970

4871954

3,264032

4

6289068

1464100

10531769

4212708

6319061

4,295518

5

8615055

1610510

13214827

5285931

7928896

5,349272

6

11316469

1771561

16169265

6467706

9701559

6,387852

7

14389234

1948717

19401861

7760744

11641117

7,383952

8

17833208

2143589

22925327

9170131

13755196

8,319323

9

21653377

2357948

26757794

10703117

16054676

9,183145

10

25860481

2593742

30922454

12368982

18553473

9,970335

11

30471319

2853117

35447354

14178941

21268412

10,68001

12

35508864

3138428

40365303

16146121

24219182

11,31422

13

41002326

3452271

45713904

18285562

27428343

11,87691

14

46987190

3797498

51535676

20614270

30921406

12,3732

15

53505303

4177248

57878260

23151304

34726956

12,80874

16

60605016

4594973

64794715

25917886

38876829

13,18942

17

68341397

5054470

72343885

28937554

43406331

13,52098

18

76776532

5559917

80590840

32236336

48354504

13,80893

19

85979908

6115909

89607394

35842958

53764437

14,0584

20

96028894

6727500

99472697

39789079

59683618

14,27408

21

1,07E+08

7400250

1,1E+08

44109560

66164340

14,46023

22

1,19E+08

8140275

1,22E+08

48842765

73264148

14,62065

23

1,32E+08

8954302

1,35E+08

54030896

81046344

14,75872

24

1,47E+08

9849733

1,49E+08

59720363

89580544

14,87743

25

1,62E+08

10834706

1,65E+08

65962199

98943299

14,97941

26

1,8E+08

11918177

1,82E+08

72812518

1,09E+08

15,06694

27

1,99E+08

13109994

2,01E+08

80333013

1,2E+08

15,14202

28

2,19E+08

14420994

2,21E+08

88591517

1,33E+08

15,20639

29

2,42E+08

15863093

2,44E+08

97662611

1,46E+08

15,26155

30

2,67E+08

17449402

2,69E+08

1,61E+08

15,3088


Как видно из расчетов при увеличении объемов инвестиций и потребления в динамике за 30 лет фондовооруженность увеличивается, что соответствует первому режиму изменения фондовооруженности.

Рисунок 3.1 - График изменения фондовооруженности k

Вычислим стационарное значение фондовооруженности.

Найдем значение стационарной фондовооруженности по формуле:

 (3.8)

В нашем случае k*= 15,58846.

Вычислим теоретические значения критической фондовооруженности  по формуле:

 (3.9)

Получим: = 4,346916

Подберем начальные значения K, L таким образом, чтобы смоделировать два режима изменения фодовооруженности.

Зададим начальные параметры K=13570000 и L=1425000, остальные параметры оставим без изменения.

Таблица 2 - Расчет параметров модели для начальных значений К и L

t

K1

L1

k1*

X1

I1

0

13570000

1425000

9,522807

16527041

6610816

1

16109816

1567500

10,27739

19030869

7612348

2

18889219

1724250

10,95504

21751527

8700611

3

21923064

1896675

11,55868

24709228

9883691

4

25229836

2086343

12,09285

27926992

11170797

5

28831682

2294977

12,56295

31430737

12572295

6

32754472

2524474

12,97477

35249423

14099769

7

37027900

2776922

13,33415

39415239

15766096

8

41685625

3054614

13,64677

43963837

17585535

9

46765472

3360075

13,91798

48934602

19573841

10

52309672

3696083

14,15273

54370977

21748391

11

58365161

4065691

14,35553

60320819

24128327

12

64983940

4472260

14,53045

66836810

26734724

13

72223482

4919486

14,6811

73976915

29590766

14

80147203

5411435

14,81071

81804889

32721956

15

88824998

5952579

14,9221

90390843

36156337

16

98333836

6547837

15,01776

99811866

39924746

17

1,09E+08

7202620

15,09984

1,1E+08

44061087

18

1,2E+08

7922882

15,17024

1,22E+08

48602638

19

1,33E+08

8715170

15,23057

1,34E+08

53590383

20

1,47E+08

9586687

15,28227

1,48E+08

59069386

21

1,62E+08

10545356

15,32654

1,63E+08

65089200

22

1,78E+08

11599892

15,36444

1,79E+08

71704308

23

1,96E+08

12759881

15,39688

1,97E+08

78974626

24

2,16E+08

14035869

15,42465

2,17E+08

86966037

Продолжение таблицы 2

25

2,39E+08

15439456

15,4484

2,39E+08

95750997

26

2,63E+08

16983402

15,46871

2,64E+08

1,05E+08

27

2,89E+08

18681742

15,48609

2,9E+08

1,16E+08

28

3,19E+08

20549916

15,50095

3,19E+08

1,28E+08

29

3,51E+08

22604907

15,51366

3,51E+08

1,41E+08

30

3,86E+08

24865398

15,52452

3,87E+08

1,55E+08


Эти данные соответствуют второму режиму фондовооруженности.

Рисунок 3.3 - График фондоворуженности k1*

Вычислим K2, L2 и k2* аналогично, взяв за начальные параметры K=13000000 и  L=670000.  Результаты расчетов приведены в приложении  А.

Из таблицы видно, что эти данные соответствую третьему режиму фондовооруженности.

Рисунок 3.3 - График  фондоворуженности k2*

Фондовооруженность асимптотически стремится к значению

 (3.10)

Фондовооруженность убывает при большем начальном значении и возрастая при меньшем.

Возрастание является ускоренным при малых значениях фондовооруженности и замедленным при больших.

Покажем данное свойство графически:

Рисунок 3.3 - "Золотое правило" накопления

Проверим полученную модель на соответствие  «золотому правилу накопления»

Данная имитационная схема позволяет менять параметры исходной модели, рассматриваемые там как постоянные величины. Так, регулируя норму накопления, можно добиться увеличения в перспективе нормы потребления. «Золотое правило накопления», выводимое на основе аналитического решения, дает для нормы накопления наилучшее значение .

Найдем норму потребления с для каждого значения p, принадлежащий промежутку (0,1;0,9) (с шагом 0,1), на пять периодов:

Рисунок 3.3 - Норма  непроизводставенного потребления

Выполнение правила "золотого накопления", которое заключается в том, что при полной занятости и полной загрузке производственных мощностей в растущей с постоянным темпом экономике средняя норма потребления достигает максимума при равенстве нормы сбережения и эластичности выпуска по капиталу и выглядит следующим образом (Рисунок 3.5).

Рисунок 3.5 - Норма непроизводственного потребления

Наибольшее непроизводственное потреблении достигается при ставке процента, равной эластичности выпуска по капиталу.

В результате работы построена однофакторная модель экономического роста и прослежена ее динамика, начислено стационарное значение фондовооруженности, найдены при различных значениях K и L три режима фондовооруженности, проверено "золотое правило накопления".

.2 Построение имитационной модели средствами пакета MatLab

является высокопроизводительным языком для технических расчетов. Он может использоваться для:

−       математических вычислений,

−       создания алгоритмов,

−       моделирования,

−       анализа, исследования и визуализации данных,

−       научной и инженерной графики,

−       разработки приложений, включая создание графического интерфейса.

В MatLab важная роль отводится специализированным наборам инструментов Toolboxes, которые позволяют изучать и применять специализированные методы: обработка сигналов, системы управления, идентификация систем, построение и анализ нейронных систем, поиск решений на основе нечеткой логики и т.д. Одной из наиболее важных сопутствующих программ является Simulink, который позволяет моделировать нелинейные динамические системы. Он имеет библиотеку стандартных графических блоков со встроенными математическими функциями, причем создание модели происходит с помощью мыши, то есть блоки соединяются информационными связями, что позволяет наглядно представить структуру модели. Именно поэтому Simulink часто называют средством визуального моделирования.

Рисунок 3.6 - Окно системы MatLab

Основной панелью является Command Window. В ней набираются команды пользователя, подлежащие немедленному выполнению. Здесь же выдаются результаты исполняемых команд.

Сначала создадим М-функцию с описанием правых частей дифференциального уравнения. Для этого в главном меню следует выбрать File→New→M-file, и в окне редактора М-файлов написать следующий текст:

function dkdt = solou (t,k)s alfa A n=s*A*(k^alfa)-n*k;

Для использования функции необходимо ее сохранить. Команда global делает переменные, перечисленные за ней, глобальными (то есть их значения можно изменить как внутри функции, так и в командном окне).

Воспользуемся решателем ode45. В командном окне следует написать следующие команды, которые решат дифференциальное уравнение с заданными начальными параметрами и построят график полученной траектории (рис. 1.4)

>> global s alfa A n

>> A=0.9;

>>alfa=0.5;

>>s=0.8;

>>n=0.05;

>>[t,k]=ode45(‘solou’,[0 500],[1]);

>>plot(t,k)

Рисунок 3.7 - Зависимость фондовооруженности от времени

Из рисунка видно, что k стабилизируется на уровне 207 единиц. Убедимся в том, что это значение (k*) является устойчивым. Для этого рассчитаем траекторию для различных начальных условий.

>> hold on

>> for i=0:100:500

[t,k]=ode45('solou',[0 500],[i]);

plot(t,k)

График на рисунке 1.5 иллюстрирует устойчивость состояния равновесия k*.

Рисунок 3.8 - Устойчивость состояния равновесия k*

Далее изложим процесс имитации в программном пакете Simulink . Программа Simulink является приложением к пакету MatLab, которая реализует принципы визуального программирования, т.е. пользователь создает на экране модель с помощью встроенных стандартных блоков. При этом пользователю не нужно досконально изучать язык программирования и численные методы, а достаточно общих знаний о программе и в той области исследования, в которой он работает. При работе с Simulink пользователь может пользоваться как встроенной библиотекой блоков, так и создавать свои собственные не только блоки, но и целые библиотеки блоков.

Для запуска программы необходимо сначала запустить MatLab. После этого можно либо набрать команду Simulink в окне команд, либо нажать на кнопку на панели инструментов. Чтобы запустить уже готовую модель можно воспользоваться командой Open из меню File и открыть файл модели (mdl). После запуска приложения появится окно обозревателя разделов библиотеки Simulink (рисунок 3.1).

Рисунок 3.9 - Окно обозревателя разделов библиотеки

Для того чтобы построить модель нужно сначала создать новый файл модели (рис. 3.10) с помощью команды File→ New→ Model или соответствующей кнопки на панели инструментов.

Рисунок 3.10 - Новое окно для разработки модели

Далее нужно расположить блоки в окне модели, т.е. курсором перетащить нужные блоки из библиотеки в окно модели. Чтобы удалить блок, его нужно выбрать и нажать клавишу Delete. Далее, если это требуется, нужно изменить параметры блока, щелкнув два раза мышкой на изображении блока.

После установки на схеме всех блоков их нужно соединить. Для этого нажать мышкой на выход из блока (при этом курсор будет в виде большого креста из тонких линий), и вести стрелку, не отпуская мыши, до нужного входа в блок (курсор примет вид креста из сдвоенных линий). В случае правильного соединения изображение стрелки на входе в блок поменяет цвет. Для создания точки разветвления в соединительной линии нужно подвести курсор к предполагаемому узлу и, нажав правую клавишу "мыши", протянуть линию. Для удаления линии требуется выбрать линию (так же, как это выполняется для блока), а затем нажать клавишу Delete на клавиатуре. После составления схемы необходимо сохранить ее в виде файла на диске

Построим модель Экономического роста, используя встроенные блоки Simulink. Для этого воспользуемся следующими блоками [24]:

Библиотека Sources - источники сигналов и воздействий.Constant - константа, задает постоянный по уровню сигнал. Параметры: Constant value - Постоянная величина.

Interpret vector parameters as 1-D - Интерпретировать вектор параметров какодномерный (при установленном флажке). Данный параметр встречается у большинства блоков библиотеки Simulink. Значение константы может быть действительным или комплексным числом, вычисляемым выражением, вектором или матрицей.

Step - шаг, прирост, ступень. формирует ступенчатый сигнал. Параметры:

−       Step time - Время наступления перепада сигнала (с);

−       Initial value - Начальное значение сигнала;

−        Final value - Конечное значение сигнала.  Перепад может быть как в большую сторону (конечное значение больше чем начальное), так и в меньшую (конечное значение меньше чем начальное). Значения начального и конечного уровней могут быть не только положительными, но и отрицательными (например, изменение сигнала с уровня -5 до уровня -3).

Библиотека Sinks - регистрирующие устройства, приемники сигналов. Scope - осциллограф, индикатор, графопостроитель, строит графики исследуемых сигналов в функции времени.

Позволяет наблюдать за изменениями сигналов в процессе моделирования. Открыть окно просмотра можно на любом этапе расчета (как до начала расчета, так и после него, а также во время расчета). В том случае, если на вход блока поступает векторный сигнал, то кривая для каждого элемента вектора строится отдельным цветом.

Sample time - шаг модельного времени. Определяет дискретность отображения данных.display - перевод блока в "свободный" режим. В данном режиме входной порт блока отсутствует, а выбор сигнала для отображения выполняется щелчком левой клавиши "мыши" на соответствующей линии связи.

Библиотека Continuous - линейные блоки. Integrator - интегратор, выполняет интегрирование входного сигнала.

Параметры: External reset - Внешний сброс. Тип внешнего управляющего сигнала, обеспечивающего сброс интегратора к начальному состоянию. Библиотека Continuous - линейные блоки.

Параметрами являются: External reset - внешний сброс, тип внешнего управляющего сигнала, обеспечивающего сброс интегратора к начальному состоянию, который выбирается из списка:

Таблица 3.2 - Тип внешнего управляющего сигнала

none

нет (сброс не выполняется)

rising

нарастающий сигнал (передний фронт сигнала)

falling

спадающий сигнал (задний фронт сигнала)

either

нарастающий либо спадающий сигнал

level

не нулевой сигнал (сброс выполняется, если сигнал на управляющем входе становится не равным нулю)


В том случае, если выбран какой-либо (но не none), тип управляющего сигнала, то на изображении блока появляется дополнительный управляющий вход. Рядом с дополнительным входом будет показано условное обозначение управляющего сигнала.

Initial condition source - Источник начального значения выходного сигнала. Выбирается из списка: internal - внутренний; external - внешний.

В этом случае на изображении блока появляется дополнительный вход, обозначенный x0, на который необходимо подать сигнал, задающий начальное значение выходного сигнала интегратора.

Initial condition - Установка начального значения выходного сигнала интегратора. Параметр доступен, если выбран внутренний источник начального значения выходного сигнала.output (флажок) - Использование ограничения выходного сигнала. Upper saturation limit - Верхний уровень ограничения выходного сигнала. Может быть задан как числом, так и символьной последовательностью inf. Lower saturation limit - Нижний уровень ограничения выходного сигнала. Может быть задан как числом, так и символьной последовательностью inf. Show saturation port - управляет отображением порта, выводящего сигнал, свидетельствующий о выходе интегратора на ограничение.

Выходной сигнал данного порта может принимать следующие значения: ноль, если интегратор не находится на ограничении; +1, если выходной сигнал интегратора достиг верхнего ограничивающего предела; -1, если выходной сигнал интегратора достиг нижнего ограничивающего предела.

Show state port (флажок) - Отобразить/скрыть порт состояния блока. Данный порт используется в том случае, если выходной сигнал интегратора требуется подать в качестве сигнала обратной связи этого же интегратора.tolerance - Абсолютная погрешность.

Библиотека Math Operations - блоки математических операций. Gain - пропорциональное звено, выполняют умножение входного сигнала на постоянный коэффициент. Параметры: Gain - коэффициент усиления, Multiplication - способ выполнения операции, может принимать значения (из списка):

Таблица 3.3 - Коэффициент усиления

Element-wise K*u

Поэлементный.

Matrix K*u

Матричный. Коэффициент усиления является левосторонним операндом.

Matrix u*K

Матричный. Коэффициент усиления является правосторонним операндом.


Math Function - математическая функция, выполняет вычисление математической функции. Параметры: Function - вид вычисляемой функции.- произведение, выполняет вычисление произведения текущих значений сигналов. Параметры:

−       Number of inputs - Количество входов. Может задаваться как число или как список знаков. В списке знаков можно использовать знаки * (умножить) и / (разделить).

−       Multiplication - способ выполнения операции. Может принимать значения: Element-wise - поэлементный или Matrix - матричный.

−       Saturate on integer overflow (флажок) - Подавлять переполнение целого. При установленном флажке ограничение сигналов целого типа выполняется корректно.

Если параметр Number of inputs задан списком, включающим кроме знаков умножения также знаки деления, то метки входов будут обозначены символами соответствующих операций. Блок может использоваться для операций умножения или деления скалярных векторных или матричных сигналов. Типы входных сигналов блока должны совпадать. Если в качестве количества входов указать цифру 1 (один вход), то блок можно использовать для определения произведения элементов вектора. При выполнении матричных операций необходимо соблюдать правила их выполнения. Например, при умножении двух матриц необходимо, чтобы количество строк первой матрицы равнялось количеству столбцов второй матрицы.

Sum - сумматор, выполняет вычисление суммы текущих значений сигналов. Параметры:

−       Icon shape - Форма блока. Может быть round - круглой или rectangular - прямоугольной.

−       List of sign - Список знаков. В списке можно использовать следующие знаки: + (плюс), - (минус) и | (разделитель знаков).

−       Saturate on integer overflow (флажок) - Подавлять переполнение целого. При установленном флажке ограничение сигналов целого типа выполняется корректно.

Количество входов и операция (сложение или вычитание) определяется списком знаков параметра List of sign, при этом метки входов обозначаются соответствующими знаками. В параметре List of sign можно также указать число входов блока. В этом случае все входы будут суммирующими. Если количество входов блока превышает 3, то удобнее использовать блок Sum прямоугольной формы. Блок может использоваться для суммирования скалярных, векторных или матричных сигналов. Типы суммируемых сигналов должны совпадать. Нельзя, например, подать на один и тот же суммирующий блок сигналы целого и действительного типов. Если количество входов блока больше, чем один, то блок выполняет поэлементные операции над векторными и матричными сигналами. При этом количество элементов в матрице или векторе должно быть одинаковым. Если в качестве списка знаков указать цифру 1 (один вход), то блок можно использовать для определения суммы элементов вектора.

Add - сложение, позволяет складывать сигналы разных типов. Параметры: совпадают с параметрами блока Sum, но блок имеет дополнительные параметры:

−    Require all inputs to have the same data type (флажок) - входные сигналы должны иметь одинаковый тип.

−       Output data type mode - тип данных на выходе из блока.

Структурная схема модели Экономического роста, построенная в Simulink, представлена на рисунке 2.3.

Рисунок 3.11 - Односекторная модель экономического роста

Перед выполнением расчетов необходимо предварительно задать параметры расчета. Задание параметров расчета выполняется в панели управления меню Simulation→ Parameters.

Рисунок 3.12 - Панель управления.

Запуск расчета выполняется с помощью выбора пункта меню Simulation→ Start. или инструмента Она панели инструментов. Процесс расчета можно завершить досрочно, выбрав пункт меню Simulation/Stop или инструмент. Расчет также можно остановить (Simulation→ Pause) и затем продолжить (Simulation→ Continue). После запуска модели на дисплее появится значение k*.

В результате работы модели был получен следующий график для фондовооруженности:

Рисунок 3.13 - График фондовооруженности

Из полученной модели видно, что график фондовооруженности соответствует результатам, полученным в первой модели. Максимизация среднедушевого непроизводственного потребления происходит в том случае, когда норма накопления стремится к коэффициенту эластичности по производственным фондам.

Обеспечение в долгосрочном периоде постоянного и равномерного экономического роста требует соблюдения следующих условий:

−       необходимо достигнуть равенства, т.е. оптимального сочетания текущего прироста сбережений и ожидаемого прироста инвестиций ;

−             следует не просто поддерживать уровень чистых инвестиций и государственных капитальных вложений, а увеличивать их в качестве нового импульса к росту;

−             необходимо постоянно поддерживать равновесное состояние между спросом, провоцирующим инвестиции, и предложением совокупного продукта, который может быть создан при использовании всех факторов и полной занятости.

Заключение

В ходе работы над темой были исследованы теоретические вопросы построения математичеких моделей, в частности рассмотрены вопросы зависимости экономического роста от уровня потребления, фондовооруженности. Исследована Кейсианская модель экономического роста. Обосновано понятие односекторной модели экономического роста в условиях реформировании экономики на переходном этапе

Выполнено построение математической модели экономического роста в абсолютных и относительных показателях. Выявлены, что наиболее важными параметрами, влияющими на процессы потребления в модели экономического роста являются коэффициент эластичности и фондовооруженность, а также норма накопления. В ходе построения модели оптимизации потребления был определен характер макроэкономических условий, при которых может быть применена однофакторная модель экономического роста.

Имитационная модель, которая была построена в среде Matlab, содержит механизмы расчета, обеспечивающие стабилизацию при возникновении кризисных ситуаций в экономике. Анализ полученных результатов позволил сделать вывод о том, что максимизация среднедушевого непроизводственного потребления происходит в том случае, когда норма накопления стремится к коэффициенту эластичности по производственным фондам.

Следует заметить, что рост экономики может осуществляться за рамками "золотого" правила. В одном случае он будет сопровождаться ростом потребления в обществе до момента достижения "золотого" уровня накопления капитала, в другом - будет сопровождаться сокращением потребления (при превышении "золотого" уровня накопления капитала). "Золотое" правило - это оптимум с точки зрения более полного удовлетворения потребностей общества. Однако у государства могут быть масштабные и более ответственные задачи (например, срочное укрепление обороноспособности страны или ускоренное обеспечение ее национальной и экономической безопасности).

Список использованных источников

1. Анфилатов В.С., Емельянов А.А., Кукушкин А.А. Системный анализ в управлении / [Текст] - М.: Финансы и статистика. 2012. - 368 с.

2. Ашманов С.А. Введение в математическую экономику. - М.: Наука. 2013. - 296 с.

3. Вентцель Е.С. Исследование операций: Задачи, принципы, методология. Учебное пособие / [Текст] - М.: Дрофа, 2004.

4. Колемаев В.А. Математическая экономика. Учебник для вузов / [Текст] - М.: ЮНИТИ-ДАНА, 2005.

6. Орехов Н.А., Левин А.Г., Горбунов Е.А. Математические методы и модели в экономике. Учебное пособие для вузов / Под ред. проф. Н.А. Орехова / [Текст] - М.: ЮНИТИ-ДАНА, 2010.

7. Экономико-математическое моделирование. Учебник для вузов / Под общ. ред. И.Н. Дрогобыцкого / [Текст] - М.: Изд. "Экзамен", 2013.

8. Макоха А.Н., Сахнюк П.А., Червяков Н.И. Дискретная математика: Учебное пособие / [Текст] - М.: Физматлит, 2005.

9. Малыхин В.И. Математика в экономике: Учебное пособие /[Текст] - М.: ИНФРА-М, 2002.

10.  Самаров К.Л., Шапкин А.С. Задачи с решениями по высшей математике и математическим методам в экономике: Учебное пособие / [Текст] - М.: Издателъско-торговая корпорация "Дашков и К°", 2007.

11.  Таха X.А. Введение в исследование операций / [Текст] - М.: ВИЛЪЯМС, 2007.

12.  Краснощеков П.С., Петров А.А. Принципы построения моделей. - М.: Изд. МГУ. 2011. - 264с.; Изд.2-е, пересмотр. и дополнен.: - М.: ФАЗИС:ВЦ РАН. 2000. - XII + 412 с.

13.  Краснощеков П.С. Математические модели в исследовании операций. / [Текст] - М.: Знание. 2010. - 64 с.

14.  Глазьев С.Ю. Теория долгосрочного экономического развития / [Текст] - М.: ВлаДар. 1993. -310 с.

15.  Дородницын А.А. Проблемы математического моделирования в описательных науках / [Текст] - Кибернетика. 1983. №4. С. 6-10.

16.  Калман Р., Фалб П., Арбиб М. Очерки по математической теории систем: Пер. с англ. / Под. ред. Я.З. Цыпкина. / [Текст] - М.: Мир. 1971. - 398 с.

17.  Клейнер Г.Б. Экономико-математическое моделирование и экономическая теория. / [Текст] - Экономика и математические методы. 2001. Т. 37. №3. С. 111-126.

18.  Кротов, В.Ф. (Ред.) Основы теории оптимального управления // Авт.: Кротов В.Ф., Лагоша Б.А., Лобанов С.М., Данилина Н.И., Сергеев С.И. / - Под редакцией В.Ф. Кротова / [Текст] - М.: Изд. "Высшая школа". - 1990. - 430 с.

19.  Кузнецов Ю.А. Особенности метода математического моделирования в исследовании экономических систем // Вестник Нижегородского университета. Серия: Инновации в образовании. / [Текст] - №1(2). 2001. С. 127-134.

20.  Лагоша Б.А., Емельянов А.А. Основы системного анализа / Учебное пособие для студентов, обучающихся по специальностям 07.19.00 "Информационные системы в экономике " и 06.18.00 "Математические методы в экономике " / [Текст] - М.: Изд-во МЭСИ. 1998. - 86 с.

21.  Матросов В.М., Анапольский Л.Ю., Васильев С.Н. Метод сравнения в математической теории систем. / [Текст] - Новосибирск: Наука. 1980. - 481 с.

22.  Месарович М., Такахара Я. Общая теория систем: Математические основы. / [Текст] - М.: Мир. 1978. - 311 с.

Приложение

Результаты расчетов математической модели (вторая итерация)

t

K2

L2

k2*

X2

I2

0

13000000

670000

19,40299

11910149

4764060

1

13864060

737000

18,81148

12860045

5144018

2

14848860

810700

18,3161

13921345

5568538

3

15962740

891770

17,90006

15103822

6041529

4

17215447

980947

17,54982

16418385

6567354

5

18618167

1079042

17,25435

17877167

7150867

6

20183584

1186946

17,00464

19493624

7797450

7

21925958

1305640

16,79326

21282657

8513063

8

23861233

1436205

16,61409

23260739

9304295

9

26007159

1579825

16,46205

25446062

10178425

10

28383436

1737807

16,3329

27858703

11143481

11

31011887

1911588

16,2231

30520799

12208320

12

33916640

2102747

16,12968

33456751

13382700

13

37124349

2313022

16,05015

36693441

14677377

14

40664421

2544324

15,98241

40260482

16104193

15

44569287

2798756

15,92468

44190478

17676191

16

48874692

3078632

15,87546

48519328

19407731

17

53620016

3386495

15,83348

53286549

21314620

18

58848631

3725145

15,79768

58535634

23414254

19

64608295

4097659

15,76712

64314449

25725780

20

70951586

4507425

15,74105

70675668

28270267

21

77936378

4958167

15,71879

77677253

31070901

22

85626366

5453984

15,69978

85382981

34153192

23

94091648

5999383

15,68356

93863020

37545208

24

1,03E+08

6599321

15,6697

1,03E+08

41277830

25

1,14E+08

7259253

15,65786

1,13E+08

45385033

26

1,25E+08

7985178

15,64775

1,25E+08

49904196

27

1,37E+08

8783696

15,63912

1,37E+08

54876438

28

1,51E+08

9662066

15,63174

1,51E+08

60346998

29

1,66E+08

10628272

15,62544

1,66E+08

66365641

30

1,83E+08

11691100

15,62006

1,82E+08

72987114


Похожие работы на - Оптимальное непроизводственное потребления в односекторной модели экономического роста

 

Не нашли материал для своей работы?
Поможем написать уникальную работу
Без плагиата!
Без нейросетей!