Особенности форм и систем оплаты труда

  • Вид работы:
    Курсовая работа (т)
  • Предмет:
    Эктеория
  • Язык:
    Русский
    ,
    Формат файла:
    MS Word
    126,67 Кб
  • Опубликовано:
    2013-10-28
Вы можете узнать стоимость помощи в написании студенческой работы.
Помощь в написании работы, которую точно примут!

Особенности форм и систем оплаты труда

Министерство образования и науки Российской Федерации

Федеральное государственное бюджетное образовательное учреждение

Высшего профессионального образования «Магнитогорский государственный технический университет им. Г.И.Носова»

Кафедра Экономики и управления








КУРСОВАЯ РАБОТА

по дисциплине «Экономика организаций (предприятий)»

на тему: «Особенности форм и систем оплаты труда»









Магнитогорск, 2012

Содержание

Введение

1. ЗАРАБОТНАЯ ПЛАТА И ЕЕ ФУНКЦИИ

. ФОРМЫ И СИСТЕМЫ ОПЛАТЫ ТРУДА

.1 Повременная заработная плата

.2 Сдельная заработная плата

.2.1 Прямая сдельная система оплаты

.2.2 Сдельно-премиальная система оплаты

.2.3 Косвенно-сдельная система оплаты

.2.4 Сдельно-прогрессивная система оплаты

.2.5 Аккордная система оплаты

.3 Контрактная система оплаты труда

.4 Бестарифная система оплаты труда

.5 Бригадная форма организации труда и оплаты

. ФАКТОРЫ, ВЛИЯЮЩИЕ НА ЗАРАБОТНУЮ ПЛАТУ

. ОТРИЦАТЕЛЬНЫЕ ФАКТОРЫ

. ПРИЧИНЫ НЕРАВЕНСТВА В ДОХОДАХ

. КАДРЫ И ИХ КЛАССИФИКАЦИЯ НА ПРЕДПРИЯТИИ

Заключение

Список использованных источников

Введение


Рабочая сила, как трактуется в курсе экономики, - это совокупность физических и умственных способностей человека, его способность к труду. В условиях рыночных отношений «способность к труду» делает рабочую силу товаром. Но это не обычный товар. Его отличие от других товаров состоит в том, что он, во-первых, создает стоимость больше чем стоит сам, во-вторых, без его привлечения невозможно осуществить любое производство, в-третьих, от него во многом зависит степень (эффективность) использования основных и оборотных производственных фондов.

Так как же заставить рабочую силу работать наиболее эффективно? Ответ на этот вопрос лежит в основе любой кадровой политики. И на одном из первых мест по важности среди факторов, влияющих на эффективность использования рабочей силы, стоит система оплаты труда. Именно заработная плата, а зачастую только она, является той причиной, которая приводит рабочего на его рабочее место. Поэтому значение данной проблемы трудно переоценить.

Заработная плата представляет собой один из основных факторов социально-экономической жизни каждой страны, коллектива, человека. Высокий уровень заработной платы может оказать благотворное влияние на экономику в целом, обеспечивая высокий спрос на товары и услуги. И, наконец, высокая заработная плата стимулирует усилия руководителей предприятий рачительно использовать рабочую силу, модернизировать производство.

В настоящее время заработная плата составляет наибольшую часть дохода работника. В развитой рыночной экономике заработная плата - это цена, выплачиваемая работнику за использование его труда, величина, которая определяется рынком труда, т.е. спросом на рабочую силу и ее предложением. Чем больше спрос на конкретную рабочую силу и чем меньше ее предложение, тем выше заработная плата, и, наоборот, чем выше её предложение, тем ниже заработная плата. Это показывает, насколько актуальна данная тема, особенно для нашей страны, где труд зачастую не имеет достойной материальной оценки.

Целью данной работы является рассмотрение форм и систем заработной платы.

В соответствии с поставленной целью решается ряд задач;

. Изучение сущности заработной платы, ее функций и принципов;

. Рассмотрение различных форм и систем заработной платы.

1. ЗАРАБОТНАЯ ПЛАТА И ЕЕ ФУНКЦИИ


В наиболее общем виде оплата труда работников - это вознаграждение, которое получают работники предприятия в соответствии с их деятельностью. Размеры этого вознаграждения имеют определенные количественные границы, поскольку, с одной стороны, они должны обеспечить:

)        работнику - определенный уровень удовлетворения его личных и социальных потребностей, необходимых для восстановления его способностей к труду, потребленных в производственном процессе;

)        работодателю - получение на данном рабочем месте от работника результата, необходимого для достижения конечной цели предприятия.

Макроуровневая система регулирования величины заработной платы и её организация в масштабе экономики всей страны складываются из трех элементов, или подсистем. А именно механизмов:

)        рыночного саморегулирования в результате стихийного взаимодействия спроса и предложения на рынке труда;

)        установления государственных минимальных социальных стандартов по оплате труда;

)        согласования интересов наемных работников и работодателей с участием органов исполнительной власти в рамках социального партнерства на общегосударственном и отраслевом уровнях.

Косвенно на величину заработной платы работников влияет система налогообложения расходов на заработную плату и непосредственно заработной платы.

Различают денежную и неденежную (натуральную) формы оплаты труда. Основной является денежная форма, позволяющая работнику в условиях существования денег как всеобщего товарного эквивалента и наиболее универсального средства платежа использовать их наиболее эффективно для удовлетворения своих потребностей. К неденежным формам оплаты в современных условиях прибегают весьма редко. Однако в условиях нарушенного денежного обращения, гиперинфляции и нестабильного, кризисного состояния экономики, отсутствия надежного механизма индексации доходов на рост цен неденежные формы оплаты труда могут получать более широкое распространение.

При анализе оплаты труда следует также различать номинальную и реальную заработную плату. Номинальная - это сумма денег, полученная за работу в течение определенного времени (например, за час, день, неделю). Реальная - это количество товаров и услуг, которые можно приобрести на номинальную заработную плату (часто реальную заработную плату называют «покупательной способностью» номинальной заработной платы).

Как социально-экономическая категория, оплата труда отражает противоположность интересов наемного работника и работодателя в их отношениях по поводу выполненной работником работы.

Для работника заработная плата - главная и основная часть его личного дохода, средство воспроизводства его как носителя способностей к труду и члена общества. Интерес работника состоит в увеличении оплаты труда (дохода) путем увеличения как своего трудового вклада и результатов труда, так и цены своих трудовых усилий.

Для работодателя оплата труда работников - это всегда расход на рабочую силу как задействованный в производственном процессе ресурс. Интерес работодателя состоит в минимизации расходов на рабочую силу в расчете на единицу производимой продукции в результате как более продуктивного использования работника в течение рабочего времени при оговоренной оплате за единицу этого времени (ставке заработной платы), так и в заключении более выгодных условий найма.

У нас в стране оплата труда работников регламентируется Конституцией, Трудовым кодексом Российской Федерации и другими нормативными документами. Так, например, исходные критерии оплаты труда приведены в Трудовом кодексе РФ , где сказано, что «заработная плата» каждого работника зависит от его квалификации, сложности выполняемой работы, количества и качества затраченного труда.

Принято выделять четыре основные функции заработной платы.

)        Воспроизводственная функция. Уровень выполнения воспроизводственной функции зависит от того, насколько заработная плата (и в первую очередь её минимальный уровень) обеспечивает прожиточный минимум;

)        Стимулирующая функция заключается в том, чтобы направлять интересы трудящихся на достижение высоких результатов труда за счет обеспечения взаимосвязи размеров вознаграждения и трудового вклада. Степень реализации стимулирующей функции пропорциональна стимулирующей роли заработной платы. При этом если стимулирующую функцию заработной платы измерить, то стимулирующую роль можно оценивать, анализировать и сопоставлять через эффективность. Стимулирующая роль заработной платы зависит от преобразования системы управления, устранения приписок, взяток и других видов нетрудовых доходов; изменения структуры доходов и т.д. Но главным фактором, имеющим доминирующее значение, является соблюдение основных принципов организации заработной платы и построение системы оплаты труда в соответствии с ними;

)        Социальная функция заключается в обеспечении принципа социальной справедливости. Смысл этой функции состоит в том, что социально-экономическое положение работников в значительной мере определяется комплексом их экономических и социальных благ;

)        Учетно-производственная функция характеризует меру участия живого труда в процессе образования цены продукта, его долю в совокупных издержках производства.

Функции заработной платы переплетаются между собой: стимулирующая, воспроизводственная, учетно-производственная одновременно играют и социальную роль. Вместе с тем при общем единстве возникают и противоречия: одни функции ведут к дифференциации заработной платы, другие - к её выравниванию. И чем сильнее выравнивание, тем слабее воздействие стимулирования.

2. ФОРМЫ И СИСТЕМЫ ОПЛАТЫ ТРУДА


Исторически получили широкое распространение две основные формы оплаты труда: повременная заработная плата и сдельная заработная плата.

)        Повременная заработная плата.    Простая повременная. Почасовая.         Поденная.  Понедельная.      Помесячная.       Повременно-премиальная

)        Сдельная заработная плата. Прямая сдельная.        Сдельно-премиальная.         Косвенно-сдельная.     Сдельно-прогрессивная.       Аккордная система

)        Бестарифная система оплаты труда

 

.1 Повременная заработная плата


Повременная заработная плата - это такая оплата труда, которая зависит от фактически отработанного на производстве времени с учетом квалификации работника.

Примечание: повременная заработная плата исторически первой применялась на промышленных предприятиях. Выгода этой формы для предпринимателей состояла в том, что они, пользуясь высоким уровнем безработицы, могли повышать количество рабочих часов в день, снижая часовую оплату, т.е. за 10 - 14 часов работы в день рабочий получал как за 8. Такая практика применялась в XVIII - XIX вв. и в начале XX в. Революция в России обеспечила законодательное ограничение продолжительности рабочего дня в размере 8 часов. Если существовала необходимость в работе больше 8 часов, то эти сверхурочные часы должны были оплачиваться по повышенным расценкам.

По повременной форме оплачивается деятельность части рабочих и большинства служащих, в том числе руководителей и специалистов. Также по повременной форме оплачиваются те, которые заняты на трудно нормируемых и ненормируемых работах (например, контроль и управление технологическим процессом).

Повременная заработная плата разделяется на две системы: простая повременная и повременно-премиальная. При простой повременной учитывается квалификация и отработанное рабочее время. При повременно-премиальной системе, кроме этого, работнику выплачивается премия за достижение определенных количественных и качественных показателей.

Рассмотрим повременную заработную плату для оплаты деятельности рабочих.

Заработок рабочего при простой повременной системе рассчитывается с использованием тарифной системы.

Элементы тарифной системы:

)        тарифно-квалификационный справочник

)        тарифные ставки

)        тарифные разряды и коэффициенты (тарифная сетка)

Справочник определяет квалификацию рабочих и тарифные разряды.

Тарифная ставка - выражает в денежной форме размер оплаты труда отработанного времени (чаще всего - это час труда, но может быть день или месяц).

Величина тарифных ставок неодинакова для разных отраслей промышленности, так как учитываются роль и значение соответствующих отраслей, а также интенсивность и условия труда отдельных категорий рабочих. Поэтому тарифные ставки рабочих в таких отраслях промышленности, как угольная, металлургическая, нефтяная выше, чем, например, в машиностроении, легкой и пищевой промышленности.

Для большинства отраслей промышленности применяются часовые тарифные ставки рабочих. Если в отрасли установлены месячные тарифные ставки, то часовые тарифные ставки рабочих могут быть определены исходя из средней продолжительности рабочего месяца в 162,2 часа для 40-часовой рабочей недели, и 152,3 - для 36-часовой.

Если нет данных о средней продолжительности рабочего месяца, то месячный фонд рабочего времени можно рассчитать по формуле


где: Дк - календарные дни месяца, т.е 30 дней или 31 день;

Дв - выходные дни (всего за месяц, например, при двух выходных днях за четыре недели работы их общее число составит: 2 дня  48);

Дпр - праздничные дни.

Например, при данных за январь 2010 г.

Следующий элемент тарифной системы - тарифная сетка, т.е. определенное соотношение тарифных ставок, тарифных коэффициентов и тарифных разрядов.

Тарифные разряды определяют степень квалификации рабочего, степень сложности, точности и ответственности выполняемой работы.

Тарифный коэффициент показывает степень увеличения тарифной ставки от увеличения разряда (по сравнению с I разрядом), т.е. - во сколько раз оплата данной работы, выполняемой рабочим более высокой квалификации, превышает уровень работы и оплаты, отнесенной к 1 разряду тарифной сетки. С помощью тарифных коэффициентов может быть определена тарифная ставка любого разряда по известной ставке I разряда в данной отрасли по формуле:


где: Tn - тарифная ставка n-го (любого) разряда; T1 - тарифная ставка 1 разряда; KT - тарифный коэффициент.

Например, для 1-го разряда при нормальных условиях тарифный коэффициент равен 1,0, для 4-го - 1,35 и для 8-го - 2,0.

Тогда:

Тарифные разряды и тарифные коэффициенты на предприятиях обычно устанавливаются в соответствии с Единым тарифно-квалификационным справочником (ЕТКС).

Применение повременной заработной платы наиболее эффективно при следующих обстоятельствах:

)        функции рабочего сводятся к наблюдению и контролю за ходом технологического процесса;

)        первоочередное значение приобретает качество продукции и срок исполнения;

)        на предприятии функционируют поточные и конвейерные линии со строго заданным режимом;

)        трудно или невозможно определить количественный результат;

)        работа неоднородна по своему содержанию и переменна по времени.

2.2 Сдельная заработная плата

заработный плата труд контрактный

Сдельная заработная плата - это такая форма оплаты труда, которая зависит от объёма выработанной продукции соответствующего качества. Сдельная заработная плата направлена в основном на поощрение роста количества продукции. Применение сдельной заработной платы наиболее эффективно при следующих обстоятельствах:

)        имеется необходимость в увеличении количества продукции;

)        результат производственной деятельности зависит от индивидуальных усилий рабочего;

)        имеется возможность точного учета объемов выполняемых работ;

)        необходимо в данном производственном подразделении (участке или цехе) увеличить выпуск продукции, чтобы не сдерживать процесс производства в других взаимосвязанных подразделениях.

При применении сдельной формы оплаты необходимо учитывать, что увеличение выпуска продукции может привести к ухудшению качества продукции и к ухудшению обслуживания оборудования, нерациональному использованию ресурсов, нарушению техники безопасности и т.п.

Сдельная заработная плата подразделяется на следующие основные системы:

)        прямая сдельная;

)        сдельно-премиальная;

)        косвенно-сдельная;

)        сдельно-прогрессивная;

)        аккордная.

 

.2.1 Прямая сдельная система оплаты

При прямой сдельной системе оплата производится на основе индивидуальной сдельной расценки с учетом объема продукции по формуле:


где: Зр - сдельная расценка за единицу продукции (работы); q1 - количество изготовленных изделий 1-го вида. При этом сдельная расценка за единицу работы может быть рассчитана по следующим формулам:


где: Зч - часовая тарифная ставка, устанавливаемая в соответствии с разрядом выполняемой работы; Вч - норма выработки данной продукции за час; tн - норма времени на единицу продукции (работы).

Пример. Часовая тарифная ставка рабочего (Тч) равна 5,6 р., а норма выработки данной продукции (Вч) составляет 10 шт. в час. Общий объем данной продукции (q1) за месяц составляет 4700 шт.

Определить сдельную расценку за единицу продукции (Зр) и рассчитать прямую сдельную заработную плату за месяц.

Решение.

)        Сдельная расценка

)        Прямая сдельная заработная плата за месяц

 

.2.2 Сдельно-премиальная система оплаты

При сдельно-премиальной системе рабочий получит основной заработок, рассчитанный по сдельным расценкам, и премию за выполнение показателей, установленных положением о премировании. Следовательно, заработок по сдельно-премиальной системе (Зспр) может быть рассчитан по следующей формуле:


где: Зосн - основной заработок, исчисленный по сдельным расценкам;

У - размер премии в % к основному заработку рабочего.

Пример.

Основной заработок (Зосн) составляет 2632 р., а премия (У) установлена в размере 40% к основному заработку.

Определить величину сдельно-премиальной заработной платы.

Решение.

Величина сдельно-премиальной заработной платы составит

 

.2.3 Косвенно-сдельная система оплаты

Косвенно-сдельная система заработной платы используется для оплаты труда вспомогательных рабочих, которые не создают непосредственно продукцию, а обслуживают основных рабочих-сдельщиков. Заработную плату они получают по сдельным (косвенным) расценкам, устанавливаемым за единицу продукции, производимой основными рабочими-сдельщиками.

Сдельная косвенная расценка (Зрк) рассчитывается с учетом норм выработки обслуживаемых рабочих и их численности по формуле:


где: Тч - тарифная часовая ставка обслуживаемого рабочего, оплачиваемого по косвенной сдельной системе;

Нв - норма выработки часовая одного обслуживаемого рабочего в ед. продукции; Р - количество обслуживаемых рабочих

2.2.4 Сдельно-прогрессивная система оплаты

Сдельно-прогрессивная система оплаты труда включает структурно две части, которые оплачиваются:

)        как прямая сдельная;

Расчет может быть выполнен по формуле:


где: Зпр - основной заработок, рассчитанный по прямой сдельной расценке;

П - фактическое выполнение норм с учетом перевыполнения в %;

Пб - базовый (исходный) уровень выполнения норм в %;

Кр - коэффициент увеличения норм (в долях единицы) за выработку продукции сверх установленной нормы.

Пример.

Рассчитать заработок по сдельно-прогрессивной системе (Зсп), если: заработок по прямой сдельной составляет 2632 р., фактически выполнены нормы на 120%; базовый уровень - 100%; коэффициент увеличения норм составляет 0,3.

Решение.

Заработок по сдельно-прогрессивной системе составит



2.2.5 Аккордная система оплаты

Аккордная система заработной платы предусматривает установление определенной величины заработной платы за выполнение заданного объема работы с учетом срока выполнения. Если заданная работа полностью выполнена раньше установленного срока, то всё равно выплачивается вся сумма заработной платы.

Аккордная система обычно вводится тогда, когда имеется необходимость быстро выполнить значительный и сложный объем работы. Хозяйственная практика показывает, что при такой системе средняя заработная плата на 1 работника выше, чем при повременной и сдельной заработной плате.

Оплата служащих на предприятии по своему содержанию близка к повременно-премиальной системе, т.к. основу, как правило, составляет должностной оклад (обычно месячный) и добавляется премия с учетом качества работы. Должностной оклад устанавливается в соответствии со штатным расписанием и с учетом квалификации работника, объема и характера выполняемой работы.

2.3 Контрактная система оплаты труда


С 1990 года в России получила широкое распространение контрактная система, когда заключается контракт (трудовой договор) на определенный срок между работодателем и исполнителем. При этом в контакте оговариваются условия труда, права и обязанности сторон, режим работы и уровень оплаты труда, а также срок действия контракта. Наряду с этим в контракте излагаются и последствия, которые могут наступить для сторон в случае досрочного расторжения договора одной из сторон. Контрактом может быть предусмотрена как сдельная, так и повременная заработная плата. Контрактная система хорошо зарекомендовала себя в условиях рынка.

2.4 Бестарифная система оплаты труда


Бестарифная система оплаты труда характеризуется следующими основными признаками:

)        учитывает через индивидуальный коэффициент вклад каждого работника;

)        величина коэффициента учитывает квалификацию и качество выполненной работы;

)        индивидуальная оплата зависит от общего итога деятельности через фонд заработной платы (ФЗП) предприятия.

Наиболее характерная формула расчета индивидуальной заработной платы по бестарифной системе:


где: З/плинд - индивидуальная заработная плата работника;

К1 - индивидуальный коэффициент работника;

Кср - средний коэффициент, который рассчитывается как отношение суммы всех коэффициентов к количеству работников;

N - число работников;

Фопл - общий фонд оплаты всех работников.

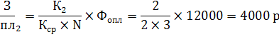
Пример.

Коэффициенты 3 рабочих составляют соответственно следующие значения: 1, 2 и 3. Общий фонд оплаты составляет 12000 р. Рассчитать индивидуальную заработную плату каждого рабочего.

Решение.

)        Прежде всего, рассчитываем средний коэффициент по формуле


)        Определяем индивидуальную заработную плату первого рабочего с коэффициентом равным 1


)        Определяем индивидуальные заработные платы второго и третьего рабочего


Примечание: если при неизменном фонде оплаты квалификация и уровни коэффициентов возрастут, то изменится и индивидуальная заработная плата. Так, если коэффициенты трех рабочих составят 1, 4 и 7, то заработная плата получится соответственно 1000 р., 4000 р., 7000р. Следовательно, при росте квалификации рабочих величина оплаты смещается в сторону большего коэффициента при неизменном фонде оплаты.

2.5 Бригадная форма организации труда и оплаты


Бригадную форму можно считать комбинированной системой оплаты труда, так как она включает элементы как тарифной (например, тарифный разряд рабочего), так и бестарифной системы (коэффициент трудового участия). Бригадная система предназначена для повышения эффективности деятельности и работников, и всего предприятия в целом. Это достигается за счет более полного использования рабочего времени и материальных ресурсов, повышения производительности труда (рост квалификации, творческая активность, взаимопомощь, инициатива и т.д.).

Распределение заработка бригады производится с учетом 3 составляющих тарифного разряда рабочего, фактически отработанного времени, коэффициента трудового участия (КТУ).

Коэффициент трудового участия (КТУ) - это обобщенная количественная оценка реального вклада каждого рабочего в результаты коллективного труда бригады. Обычно величина КТУ может иметь пределы от 0 до 2, но в хозяйственной практике самое низкое значение - 0,1, а максимальная величина - 1,9. Первоначально каждому члену бригады устанавливается коэффициент равный 1,0, а потом его величина корректируется советом бригады (в соответствии с действующим на предприятии положением) с учетом реального вклада. Практика показывает, что устанавливать КТУ целесообразно ежедневно или ежемесячно.

При установлении КТУ учитывается не только конкретная деятельность работника по специальности, но и следующие виды деятельности, способствующие повышению этого коэффициента: совмещение профессий, выполнение более сложной работы, расширение зоны обслуживания , творческая инициатива, помощь в работе другим членам бригады и т.п.

Снижение КТУ происходит за нарушение технологического процесса, трудовой дисциплины и правил эксплуатации техники, невыполнение распоряжений бригадира и т.д.

Типичный порядок расчета заработной платы на основе тарифных ставок и КТУ следующий:

)        определяется тарифная заработная плата с учетом разряда рабочего;

)        рассчитывается коэффициент трудового участия с учетом плюсов и минусов;

)        тарифная заработная плата умножается на коэффициент трудового участия.

Расчет приведен в таблице 2.6.

Таблица 2.6 Расчет фактической оплаты труда

Наименование

Тарифная заработная плата (р)

КТУ

Фактическая заработная плата (р)

1

Слесарь 6-го разр

4000

1,5

6000

2

Слесарь 5-го разр

3600

0,9

3240

3

Слесарь 4-го разр

3200

1,3

4160


Анализ данных в таблице позволяет сделать вывод, что КТУ исключает уравнительность и формальную оплату. Так, слесарь 4-го разряда, имея меньший разряд и тарифную заработную плату, за счет более активной деятельности и большего значения КТУ, чем у слесаря 5-го разряда, получает в итоге более высокую фактическую заработную плату.

Однако бригадная оплата по КТУ имеет недостатки, которые выявила хозяйственная практика: субъективность в установлении КТУ, значительная зависимость членов бригады от бригадира и от его отношения и т.п.



3. ФАКТОРЫ, ВЛИЯЮЩИЕ НА ЗАРАБОТНУЮ ПЛАТУ


На оплату труда работников в условиях рынка воздействует целая система разнообразных факторов, которые можно распределить по группам.

Первая группа - это внутренние факторы, связанные с природой работника и его деятельностью.

)        Социально-производственный фактор, который обуславливает нормальное функционирование работника и его воспроизводство. Это связано с прожиточным минимумом, который в соответствии с мировой хозяйственной практикой включает две основные части: продовольственные и непродовольственные товары. До перехода к рынку в нашей стране прожиточный минимум законодательно не устанавливался. Впервые это произошло в 1992 г., когда был введен биологический прожиточный минимум;

)        Классификация работника. Оплата труда должна стимулировать высокий уровень классификации. Так, например, у рабочих, которые выполняют сложные и ответственные работы, - более высокий уровень оплаты труда (наладчики, ремонтники, слесари и механики-сборщики). Низкий уровень - у рабочих, которые заняты на работах, не требующих специальной подготовки (например, уборщики);

)        Производительность и интенсивность труда. Здесь прямая зависимость: при их росте должна увеличиваться и оплата труда;

)        Условия труда, т.е. чем они хуже (тяжелый, вредный или опасный труд), тем выше должна быть оплата для того, чтобы привлекать работников в эту сферу деятельности.

Вторая группа - факторы предприятия (фирмы): эффективность деятельности, прибыльность и взаимодействие с профсоюзами. При анализе величины оплаты труда, которую обеспечивает предприятие, надо учитывать его возможности. Ко второй группе факторов относится и воздействие профсоюзов, которые выступают обычно как коллективный представитель работников при переговорах с администрацией об уровне оплаты. От позиции профсоюзов зависит уровень оплаты не только в текущем, но и в будущем периоде. При этом существенную роль для предприятия играет согласованность деятельности администрации и профсоюзов. Это особенно важно в критических ситуациях на предприятии. Взаимопонимание этих двух сторон может способствовать выходу предприятия из кризиса.

Третья группа - факторы внешнего окружения.

)        Роль государства, которое законодательно управляет системой оплаты труда, вводит исходные моменты для оценки уровня оплаты (такие, как: «минимальная заработная плата», «прожиточный минимум» и т.п.). Кроме того, оно определяет продолжительность рабочего дня, величину оплачиваемого отпуска и т.п. Наряду с этим, государство является атрибутом через судебную систему в спорах работников и руководителей предприятий;

)        Рыночная среда, где прежде всего надо учитывать спрос и предложение на рынке труда. В этой ситуации спрос - это желание нанимателя (администрации предприятия), а предложение - это желание работника В данном случае наблюдается типичная зависимость: если спрос растет, то и оплата труда увеличивается, и наоборот; если предложение труда растет, то оплата уменьшается, и наоборот;

На предложение труда чаще всего оказывает воздействие:.      численность и рост населения;. доля трудоспособного населения в общей численности населения;.         продолжительность рабочего дня, недели и оплачиваемого отпуска;.         количество и качество труда, квалификация работников.

)        Воздействие конкуренции, которая при прочих равных условиях в национальном масштабе приводит к выравниванию оплаты труда работников в определенной профессии с равным уровнем образования и квалификации;

)        Безработица, которая существенно влияет на предложение рабочей силы и оплату труда (чем выше уровень безработицы, тем ниже оплата труда) и на уровень заработной платы работающих, т.к. при росте безработицы, во-первых, сдерживается рост заработной платы; во-вторых, часто происходит некоторое её снижение. Кроме того, безработица приводит к снижению уровня классификации работников, которые потеряли работу. Многолетняя зарубежная практика показала, что после потери работы возвращение на неё связано с переходом на более низкий уровень квалификации. Наряду с этим, она часто приводит к психологическому разрушению личности, в том числе заболеваниям и самоубийству;

)        Инфляция. Она прежде всего снижает уровень реальной заработной платы, т.к. при инфляции происходит общий рост цен на товары и услуги. Поэтому на полученную в качестве оплаты труда сумму денег (номинальная заработная плата) может быть приобретено меньшее количество товаров по сравнению с доинфляционным периодом.

Наряду с этим инфляция вызывает рост заработной платы работающих, которые пытаются таким путем компенсировать свои потери при приобретении товаров. Этот рост заработной платы ведет к росту издержек производства, что способствует новому росту цен на товары.

Кроме этого, из-за инфляции предприятиям становится затруднительно осуществлять техническое обновление, да и сбыт продукции по возрастающим ценам становится проблематичным при открытом для компаний рынке. Все это ухудшает финансовое положение предприятия и ограничивает рост заработной платы;

)        Воздействие НТП (научно-технического прогресса), которое приводит к появлению новых профессий (например, наладчик станков с ЧПУ, программист) и отмиранию старых, например, таких, как машинист паровоза.

4. ОТРИЦАТЕЛЬНЫЕ ФАКТОРЫ


)        Дискриминация в оплате труда, когда величина оплаты труда зависит не от трудового вклада, способностей и умения трудиться, а от национальности, пола и возраста.

Дискриминация по национальному признаку, несмотря на воздействие государства и общественности, характерна для многих развитых стран.

Дискриминации подвергаются и женщины, которые в развитых странах за одинаковый объем работы получают меньше оплату на 15-25%, чем мужчины.

Следующая группа работников, подвергающихся дискриминации, это пожилые и молодежь (обычно до 18 или 25 лет). Молодых работников не только в последнюю очередь берут на работу, но и получают они, как правило, на 15-20% меньше, чем взрослые работники;

)        Географическое ограничение подвижности трудовых ресурсов, когда они или не имеют возможности переехать в районы, где имеется недостаток рабочей силы и высокая заработная плата, или просто не знают об уровне оплаты в других районах страны;

)        Сложность смены профессии, когда в одной сфере возникает избыток работников, а в другой - недостаток. Но для получения новой специальности нужны время и деньги.

5. ПРИЧИНЫ НЕРАВЕНСТВА В ДОХОДАХ


Анализ хозяйственного опыта стран, где давно существует рынок труда, позволяет выявить следующие основные причины неравенства:

)        Различия в способностях

Люди имеют разные интеллектуальные, физические и эстетические способности. Так, одни унаследовали интеллектуальные способности и поэтому, при прочих равных условиях, могут после окончания учебы получить высокооплачиваемую работу. Другие наделены исключительными физическими способностями и могут стать высокооплачиваемыми профессиональными спортсменами. Третьи обладают эстетическим талантом, позволяющим стать известными художниками и музыкантами.

Следовательно, врожденные таланты позволяют одним получать высокие доходы, а другим (без особых талантов) - средние или низкие;

)        Различия в образовании и обучении

Данные различия, во-первых, могут быть результатом свободного выбора. После окончания школы (колледжа) человек может самостоятельно принять решение: либо учиться дальше и стать специалистом, либо пойти на предприятие и стать рабочим.

Во-вторых, они обусловлены недостатком денежных средств для получения платного образования, для бесплатного - имеющийся уровень знаний недостаточен;

)        Различия в профессиональном доходе

Одни работники могут увеличивать свои доходы путем совместительства, т.е. работая в двух или трех местах; другие - за счет сверхурочных часов работы; третьи - рискуя потерпеть неудачу, пытаются заниматься предпринимательской деятельностью и т.п.

Однако есть и такие работники, которых устраивает спокойная и ненапряженная деятельность, обеспечивающая достаточный для них доход;

)        Различие в собственности

Одна часть населения может обладать значительным наследуемым имуществом (предприятия, значительные участки земли, пакеты ценных бумаг и т.п.) и получать с помощью этого значительные доходы («богатство порождает богатство»)

Другие, как правило, большая часть населения, не имеют наследуемого богатства и вынуждены становиться наемными работниками. Зарубежная практика показывает, что чаще всего дети рабочих остаются рабочими;

)        Удача, связи, несчастья

Хозяйственная практика показывает, что удача, выбор оптимального временного момента и умение «оказаться в нужном месте в нужный момент» - все это помогает разбогатеть.

Наряду с этим, полезны и роль личных контактов, использование политического влияния в получении высоких доходов.

Однако, в жизни случаются и отрицательные моменты (например, несчастный случай, длительная болезнь, неожиданный крах предприятия и т.п.), которые могут привести к бедности. Статистика показывает, что такие отрицательные моменты распределяются очень неравномерно среди населения, а это способствует неравенству доходов.

6. КАДРЫ И ИХ КЛАССИФИКАЦИЯ НА ПРЕДПРИЯТИИ


Кадры - это основной компонент успешной деятельности предприятия. С развитием техники возрастает роль кадров, т.к для сложной техники необходимы высококвалифицированные кадры. В связи с увеличением требований к качеству продукции особенно ценится неформальное и творческое отношение работников к производству, т.к. именно такое неформальное отношение будет способствовать повышению качества продукции.

Особенно значительна роль кадров при создании предприятия и при кризисном его положении. Хозяйственная практика показывает, что часто для улучшения финансового положения предприятия заменяется его руководящий состав.

Кадры представляют собой совокупность работников, занятых на предприятии и входящих в его списочный состав.

Кадровый состав (персонал предприятия) имеет качественные и количественные характеристики.

Для качественной характеристики кадров обычно применяются следующие параметры: характер участия в производственном процессе, особенность трудовой деятельности, отраслевая принадлежность, личностные характеристики и т.п.

В зависимости от участия в производственном процессе кадровый состав делится на две категории: промышленно-производственный (ППП) и непромышленный персонал.

К непромышленному персоналу относятся работники, которые непосредственно не связаны с производством и его обслуживанием. В основном это работники принадлежащих предприятию учреждений: медицинских; общественного питания и торговли; учебных; жилищного хозяйства; культуры; детских и т.п. К промышленно-производственному персоналу относятся следующие работники:

)        занятые выполнением основных операций по изготовлению продукции;

)        занятые обслуживающими и вспомогательными операциями, необходимыми для нормального хода основного производства;

)        аппарата заводоуправления и функциональных служб предприятия (например, бухгалтерии, планового отдела, технологического отдела);

)        заводских лабораторий, опытных установок, исследовательских учреждений, обслуживающих производственную деятельность предприятия;

)        подсобного и побочного производства, занятые переработкой отходов производства или - в подразделении, сопутствующем основному производству (например, модельное производство).

Промышленно-производственный персонал в зависимости от выполняемых им функций подразделяется на две основные группы: рабочие и служащие.

К рабочим относятся работники предприятия, непосредственно занятые созданием материальных и транспортных услуг. Рабочие, в свою очередь, подразделяются на основных и вспомогательных. К основным относятся рабочие, которые непосредственно связаны с производством продукции, а к вспомогательным - рабочие, занятые обслуживанием производства.

В группе служащих обычно выделяются следующие категории работающих: руководители, специалисты и собственно служащие.

Отнесение работников предприятия к той или иной группе и категории определяется классификатором профессий рабочих, должностей и тарифных разрядов служащих.

К руководителям, как правило, относятся работники, занимающие должности руководителей предприятия и их структурных подразделений, а также их заместители. Это обычно: директора, начальники, управляющие, заведующие в структурных подразделениях; главные специалисты (главный бухгалтер, главный инженер, главный механик, главный технолог, главный экономист и другие). Руководители, в свою очередь, подразделяются в зависимости от выполняемых ими функций и по уровню. Так, в зависимости от выполняемых функций принято подразделять руководителей на линейных и функциональных. К линейным относятся руководители, возглавляющие коллективы производственных предприятий, подразделений и их заместители; к функциональным - руководители, возглавляющие коллективы функциональных служб (отделов, секторов) и их заместители.

По уровню, занимаемому в общей системе управления, все руководители подразделяются на руководителей низового, среднего и высшего звена. К руководителям низового звена обычно относятся: мастера, старшие мастера, прорабы, начальники небольших цехов и их заместители, а также - руководители подразделений внутри функциональных отделов.

Руководителями среднего звена считаются начальники крупных цехов и функциональных отделов, их заместители.

К руководителям высшего звена обычно относятся директора предприятий и их заместители.

Хозяйственная практика показала, что эффективность работы предприятия на 70% и более зависит от его руководителя, т.к. именно руководитель подбирает кадры и определяет перспективу предприятия, его тактику и стратегию.

К специалистам относятся работники предприятия, которые выполняют инженерно-технические, экономические, бухгалтерские, юридические и другие аналогичные виды работ. Например, бухгалтеры, экономисты, инженеры, техники, технологи, механики.

К собственно служащим относятся работники, осуществляющие учет и контроль, подготовку и оформление документации, хозяйственное делопроизводство и обслуживание и т.п. Например, кассиры, делопроизводители, агенты по снабжению, экспедиторы, учетчики, табельщики, секретари и другие. Кроме того, в состав служащих включается и младший обслуживающий персонал (МОП), а именно: работники по уходу за служебными помещениями (уборщики), ученики и другие. Кадры предприятия в связи с разделением труда и наличием различных видов работ подразделяются по профессиям, специальностям и уровням квалификации.

Профессия - род трудовой деятельности (занятий) работника, владеющего комплексом специальных теоретических знаний и практических навыков, приобретенных в результате специальной подготовки и опыта работы. Внутри профессии различают специальности, которые характерны специфическими особенностями и требуют от работников дополнительных специальных знаний и навыков для выполнения работы. Например, экономисты (профессия) подразделяются по специальностям: бухгалтеры, плановики, маркетологи, финансисты и т.д.

Работники каждой профессии и специальности отличаются квалификацией, т.е. степенью овладения работниками той или иной специальностью. Квалификация отражается в квалификационных категориях и разрядах. На промышленных предприятиях России рабочие классифицируются или по 6, или по 8 разрядам, а служащие по 16 или 18 разрядам (в зависимости от категорий работников). При этом для каждого разряда определены знания, навыки и уровень подготовки.

В хозяйственной практике на промышленных предприятиях рабочие по уровню квалификации делятся на четыре группы: неквалифицированные, малоквалифицированные, квалифицированные и высококвалифицированные. К неквалифицированным относятся рабочие, не имеющие никакой специальной подготовки и занятые на работах, для выполнения которых не требуется специальной подготовки; малоквалифицированные - заняты на работах, для выполнения которых специальная подготовка обеспечивается в течение нескольких недель; квалифицированные рабочие требуют для своей подготовки длительного периода времени (обычно 2 - 2,5 года); высококвалифицированные рабочие обладают знаниями и умениями, которые приобретаются в течение многих лет обучения и производственной работы.

По степени квалификации различаются и специалисты. Например, экономист II категории, экономист I категории, старший экономист, ведущий экономист и главный экономист предприятия.

Профессионально-квалифицированная структура служащих предприятия находит своё отражение в штатном расписании - документе, ежегодно утверждаемым руководителем предприятия и представляющем собой перечень сгруппированных по отделам и службам должностей служащий с указанием разряда (категории) работ и должностного оклада.

Кроме этого, кадры делятся по возрасту и полу.

Деление работников по возрасту, прежде всего, обусловлено тем, что в зависимости от достигнутого возраста работники могут иметь разные права и обязанности в соответствии с Гражданским кодексом Российской Федерации.

Количественная характеристика кадров (персонала) определяется следующими показателями: общая, списочная, явочная и среднесписочная численность работников.

Общая численность работающих определяется как сумма численности промышленно-производственного и непромышленного персонала.

Списочная численность включает общее число всех работников предприятия (постоянных, сезонных и временных), в том числе работников фактически работающих, но находящихся в командировках, в отпусках, не вышедших на работу в связи с выполнением государственных и общественных обязанностей и по болезни, а также с разрешения администрации и совершивших прогулы.

Не включаются в списочную численность работники-совместители, привлекаемые со стороны, а также - работники, откомандированные для работы в другие организации и получающие заработную плату от этих организаций. Кроме того, не включаются учащиеся вузов и техникумов, присланные для прохождения практики, работники, выполняющие случайные работы продолжительностью до 5 дней.

Явочная численность - это количество работников списочного состава, явившихся на работу.

Среднесписочная численность работников за месяц определяется на основе суммы списочного числа персонала за все календарные дни месяца. Численность работников в нерабочие дни (выходные и праздничные) принимается равной количеству персонала, имевшемуся в соответствующей предвыходной и предпраздничный день. Эта сумма списочного числа персонала делится на количество календарных дней месяца.

Для расчета среднесписочной численности за год суммируется среднесписочная численность работников за все месяцы года и полученная сумма делится на 12.

Наряду с этими основными показателями применяются еще и следующие:

)        индекс численности рабочей силы на начало или конец периода - определяется отношением численности работников - на начало данного периода плюс число вновь принятых работников за данный период минус число уволенных работников - к численности работников на начало периода;

)        коэффициент текучести кадров - определяется делением выбывшего числа работников предприятия (цеха, отдела), на среднесписочное число работников за тот же период.

Заключение


В данной курсовой работе были рассмотрены сущность заработной платы, ее функции, системы и формы оплаты труда. Таким образом, можно сделать вывод, что Выполнение заработной платой своих функций реализуется через ее организацию. Через организацию заработной платы достигается компромисс между интересами работника и работодателя, способствующий развитию отношений социального партнерства между двумя движущими силами рыночной экономики. Главными требованиями к организации заработной платы на предприятии и соответственно критерием ее эффективности являются обеспечение реального роста заработной платы при снижении ее затрат на единицу продукции и гарантия повышения оплаты труда каждого работника по мере роста эффективности деятельности предприятия в целом. Анализу затрат на оплату труда на всех, без исключения, предприятиях следует уделять первоочередное внимание. Это связано прежде всего с тем, что затраты на оплату труда занимают значительный удельный вес в себестоимости продукции, и поэтому являются одним из важнейших источников снижения себестоимости. Чтобы заинтересовать работников в улучшении трудовых показателей, нужно выплачивать им достойную заработную плату. А для того чтобы работники были довольны своей зарплатой и могли влиять на ее повышение, добиваясь лучших результатов, необходимо правильно выбрать систему оплаты труда. Выбор системы оплаты труда - важный шаг для любой организации. Эта система должна быть достаточно простой и ясной, чтобы каждый работник видел зависимость между производительностью и качеством своего труда и получаемой заработной платой.

Список использованных источников


1.      Елизаров Ю.Ф. Экономика организаций: Учебник - М.: "Экзамен: 2006.

.        Горфинкель В.Я., Швандар В.А. Экономика предприятия: Учебник - М.: «ЮНИТИ-ДАНА», 2007.

.        Фролова Т. А. Экономика предприятия: конспект лекций - Таганрог: ТРТУ, 2005.

4.      Рофе А.И. Экономика труда: учебник - М.КНОРУС, 2010.

Похожие работы на - Особенности форм и систем оплаты труда

 

Не нашли материал для своей работы?
Поможем написать уникальную работу
Без плагиата!
Без нейросетей!